1. Introducción
El estudio de las exportaciones de un país no es un tema nuevo. Por su importancia para la economía, ha sido objeto de análisis en distintas investigaciones. Sin embargo, la mayoría de ellas fue realizada de manera agregada; es decir, se consideró la totalidad de exportaciones de una nación. A diferencia de dichos estudios, en el presente documento se pretende analizar las exportaciones bolivianas desde una perspectiva más microeconómica.
La necesidad de un estudio más desagregado radica en la información que el mismo puede arrojar. En ese sentido, es posible obtener mayores detalles sobre el comportamiento de cada sector de exportación mediante el cálculo de elasticidades (precio, ingreso y tipo de cambio). Pese a esas ventajas, la literatura especializada no cuenta con análisis de este tipo para Bolivia. En el caso de la elasticidad del tipo de cambio, solo se tienen estudios del pass-through a los precios domésticos; empero, investigaciones del efecto transmisión sobre los precios de exportaciones bolivianas son nulas. Es por ese motivo que se hace importante la realización de un trabajo con las características mencionadas.
Para el análisis de las exportaciones bolivianas desagregadas, el presente documento cuenta con siete secciones. Inicialmente, se presenta una revisión de la literatura más relevante sobre el tema. Posteriormente, se muestra la teoría en la cual se enmarca tanto la descomposición como la desagregación de las exportaciones. A continuación, se muestran la metodología y los datos utilizados para el caso boliviano. Subsiguientemente, se presentan siete hechos estilizados sobre las exportaciones bolivianas. Como antepenúltimo punto, se exponen los resultados de los modelos econométricos. Luego, se discuten los resultados hallados y las posibles políticas a aplicar. Finalmente, se plantean las conclusiones.
2. Revisión de la literatura
Antes de desarrollar otras secciones, es importante conocer el estado de investigación del tema. Al respecto, es sustancial notar que existe cierto número de documentos que abarca las exportaciones desagregadas y sus elasticidades, aunque estos son menos numerosos en comparación con los realizados sobre las importaciones. A continuación, se presentan los más importantes de las últimas décadas.
En el decenio de los noventa, Parsley (1993) realizó un análisis de las exportaciones japonesas. Se buscaba examinar la existencia del pass-through en los precios de las exportaciones. Para ese cometido, se realizó la desagregación de las mismas en seis sectores. Posteriormente, mediante modelos de corrección de error, se calcularon las elasticidades tanto para las exportaciones agregadas como las desglosadas; los resultados mostraron que en tres sectores -químico, eléctrico y maquinaria general- el pass-through no era significativamente diferente de cero. A partir de dichos resultados, se concluyó que el comportamiento a nivel sectorial es bastante diverso, lo que no se puede observar si solo se realiza el análisis a nivel agregado.
Otro estudio sobre el pass-through en las exportaciones japonesas corresponde a Athukorala & Menon (1994). En este trabajo, los autores estudiaron las exportaciones de manufacturas, exclusivamente. Sin embargo, al igual que Parsley (1993), realizaron una desagregación, obteniéndose siete categorías. A continuación, por medio de mínimos cuadrados ordinarios, encontraron que el pass-through en las exportaciones manufactureras son incompletas. Asimismo, en coincidencia con el anterior autor, concluyeron la importancia de desagregar las exportaciones para una mejor comprensión de dicha variable.
Ya en el siglo XXI, se encuentra el trabajo de Hoque & Razzaque (2004). Estos autores realizaron el estudio de las exportaciones en Bangladesh. Nuevamente, se prestó atención a la existencia de pass-through en los precios de exportaciones. En este caso, el análisis se realizó para dieciocho categorías. A través de la estimación de datos de panel, se encontró que, a excepción de las cuerdas de yute y cordería, el pass-through en los precios de exportaciones es completa. También, se concluyó que el pass-through depende de los mercados de exportación.
Por su parte, Mallick & Marques (2008) realizaron el análisis en las exportaciones indias. Para ello, desagregaron la variable en veintisiete sectores. A continuación, mediante estimaciones en datos de panel, hallaron la existencia de pass-through incompletos. Por otro lado, concluyeron que los sectores en los cuales las empresas exportadoras son tomadoras de precios presentaron un coeficiente más tendiente a cero.
En la última década, resalta el trabajo de Kirby, Carreras, Meaning, Piggott, & Warren (2016). Si bien no realizaron su análisis a un nivel desagregado, el mérito de esos autores es que no se circunscribieron al estudio del pass-through, sino que lo ampliaron a las elasticidades ingreso y precio. Para ello, consideraron los resultados encontrados por otros autores. Al comparar dichos resultados, se halló que, en el corto plazo, la elasticidad precio presentaba el signo esperado. Asimismo, en la mayoría de los casos, las demandas eran inelásticas. Respecto a la elasticidad ingreso, se observaba su signo positivo, lo que mostraba que se transan bienes normales, en su mayoría. Además, resaltaron su valor, menor a 1, lo cual indicaba que la demanda tiende a ser inelástica respecto a los ingresos.
Si bien el anterior trabajo muestra datos interesantes, como se mencionó, el problema es que los resultados analizados son agregados. Quienes superaron este problema y fueron más allá del efecto pass-through son Sasaki & Yoshida (2017). A través de un nuevo análisis de las exportaciones japonesas, los autores realizaron su descomposición en cincuenta sectores. Posteriormente, construyeron datos de panel para estimar las elasticidades precio e ingreso, y el pass-through. Sus hallazgos mostraron que las exportaciones japonesas se volvieron más insensibles a la oscilación del yen y de los ingresos de los socios comerciales.
En cuanto a trabajos sobre las exportaciones bolivianas y sus elasticidades, las mismas son casi nulas. El que resalta - aunque no toma en cuenta las elasticidades que se pretende estudiar en el presente documento - es el desarrollado por Cupé (2002). En el mismo, se estudió el efecto pass-through sobre la inflación y los términos de intercambio internos. Para ello, se manejaron cuatro sectores: productos agrícolas, industriales transables, no transables y servicios. Utilizando métodos de estimación de series de tiempo, se encontró que el efecto ha disminuido a lo largo del tiempo. En específico, el sector de industriales transables -el cual se puede asociar más con las exportaciones- muestra un pass-through parcial.
Como se aprecia, la mayoría de los estudios prestó especial atención al efecto pass-through de la variación del tipo de cambio nominal sobre los precios de las exportaciones. Solo un par también calculó las elasticidades precio e ingreso de la demanda de exportaciones. Considerando su importancia para comprender la balanza comercial (Houthakker & Magee, 1969; Magee, 1973), en el siguiente capítulo, se toma en cuenta todos los elementos descritos.
3. Descomposición de las exportaciones
Para comprender la importancia de las elasticidades en las exportaciones, es necesario partir de una igualdad básica; las exportaciones de un país no son más que la cantidad vendida al exterior a un nivel de precios. En ese sentido, en la ecuación (1), se aprecia que las exportaciones de los bienes i al país k en el período t (X_ik^t) son equivalentes al precio (P_ik^t) multiplicado por la cantidad (Q_ik^t).
Además, es importante notar que tanto el precio como la cantidad son variables endógenas. En el caso del precio, depende del tipo de cambio nominal (e_k^t). En cuanto a la cantidad, se encuentra en función del nivel de precio al cual se venden los bienes i al país k (P_ik^t) y del nivel de ingresos del país k (Y_k^t).
Diferenciando la ecuación (1), se tiene:
Reagrupando:
El primer término del lado derecho muestra el efecto precio y del tipo de cambio. En cambio, el segundo refleja el efecto ingreso. Para una mejor comprensión, luego de realizar algunos artificios matemáticos, se llega a la expresión con elasticidades.
Como se observa, la variación de las exportaciones depende de: i) la elasticidad del tipo de cambio (ε_(P,e)), ii) la elasticidad precio (ε_(Q,P)) y iii) la elasticidad ingreso (ε_(Q,Y)). Es por este motivo que se hace importante el cálculo de las mismas. Para ese cometido, se presenta la siguiente sección.
4. Metodología y datos
4.1. Cálculo de las elasticidades
Considerando la descomposición de las exportaciones ya expuesta, se utilizará la siguiente ecuación para estimar la elasticidad del tipo de cambio:
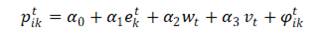
Donde p_ik^t denota el logaritmo natural del índice de precios de los bienes de la categoría i exportados al país k. Por su parte, e_k^t muestra el logaritmo del tipo de cambio nominal de la moneda del socio comercial en Bolivianos. Asimismo, siguiendo a Athukorala & Menon (1994), se maneja - en logaritmos - el salario mínimo en Bolivia (w_t) y el precio de bienes de capital (v_t) como variables de control. Respecto a α_0, es el intercepto y φ_ik^t es el término de perturbación.
En cuanto a los parámetros, α_1 muestra la elasticidad del precio respecto al tipo de cambio. A diferencia de las importaciones, se espera que muestre un signo negativo; es decir, una depreciación de la moneda nacional tendría que traducirse en una reducción del precio de exportación. En adición, se entenderá que existe un pass-through completo cuando α_1=-1; en cambio, si α_1=0, no se da el pass-through del tipo de cambio a los precios. Por otro lado, α_2 y α_3 deberían tomar valores positivos, pues incrementos en cualquiera de los costos (salario o interés), llevaría a un incremento en los precios.
Para el cálculo de las elasticidades precio e ingreso, se manejará la ecuación (6)
Donde q_ik^t muestra el logaritmo neperiano de la cantidad exportada de los bienes correspondientes a la categoría i al país k, p_ik^t se mantiene como el logaritmo del índice de precios de la exportación de los bienes de la categoría i al país k, y_k^t refleja el logaritmo del nivel de ingreso real del país de destino k. En último lugar, β_0 es el intercepto y μ_ik^t es el término de perturbación.
Es sencillo notar que β_1 y β_2 son las elasticidades precio e ingreso, respectivamente. Se espera que β_1 sea negativo, considerando la ley de la demanda. En cambio, β_2 puede salir positivo o negativo, dependiendo del tipo de bien que es. En general, se esperaría que se trate de bienes normales (β_2>0)
4.2. Desagregación de las exportaciones bBolivianas
Además de la descomposición, también es importante la desagregación de las exportaciones para contar con información más precisa y detallada. En este caso, las exportaciones bolivianas se desglosarán en dieciocho categorías, siguiendo el criterio de la Nomenclatura Común de Designación y Codificación de Mercancías de Países Miembros de la Comunidad Andina (NANDINA). A continuación, se detallan las categorías:
Cuadro 1 Desagregación de las exportaciones
Fuente: Elaboración propia
Al respecto, es importante notar que se descartaron cuatro categorías: i) material de transporte, ii) armas y municiones, iii) objetos de arte y antigüedades y iv) mercancías con tratamiento especial. Su exclusión se debió a la falta de exportaciones ininterrumpidas durante el período de estudio.
Una vez distinguida cada categoría, también es esencial realizar la construcción de los índices de precios y de la cantidad.
4.3. Índices de precios y cantidad
Para el cálculo del índice de precios de la categoría i de exportaciones, se parte de la obtención del valor exportado (V_sk^t) y cantidad exportada (Q_sk^t) de cada subcategoría s según país de destino k; en el caso de las exportaciones bolivianas, la más detallada de NANDINA es de diez dígitos. A continuación, se obtiene el precio de cada una.
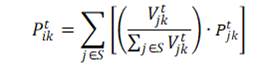
Una vez obtenido el precio, siguiendo a Sasaki & Yoshida (2017), se construye el índice de precios para cada categoría i del siguiente modo:
Como se aprecia, el precio para cada categoría i con país de destino k se obtiene a partir de: i) la ponderación del valor de cada subcategoría V_jk^t respecto al total y ii) el precio de exportación de cada subcategoría P_jk^t.
Respecto a la cantidad exportada a cada país, no es más que el valor de la exportación respecto a su índice de precios.
Una vez calculados el precio y la cantidad, basta con la aplicación de logaritmo para llegar a las ecuaciones (5) y (6).
4.4. Datos y muestra
Como se apreció en el subtítulo anterior, los índices de precio y cantidad fueron construidos con datos del Instituto Nacional de Estadística (2021). En cuanto a las demás variables, tanto el ingreso real de los países como el tipo de cambio nominal se obtuvieron del Banco Mundial (2021); en cambio, el salario mínimo y el índice de precio de los bienes de capital fueron recabados del Instituto Nacional de Estadística (2021).
Asimismo, para el presente trabajo de investigación se consideran todas las exportaciones ininterrumpidas a los países de destino durante el período 2000-2019. La muestra es representativa, pues dichas exportaciones constituyen más del 80% del total. A partir de cada categoría, se construyó un panel de datos para la estimación respectiva. El tamaño de cada panel varía de acuerdo al número de socios comerciales que existen en cada categoría. Asimismo, en cada uno de los casos, se aplicó el método más idóneo para obtener resultados consistentes.
5. Hechos estilizados
Antes de presentar el cálculo de las elasticidades, es importante comprender de mejor manera la estructura de las exportaciones bolivianas. De ese modo, se podrá realizar una interpretación de resultados más completa. Para ese cometido, se presentan siete hechos estilizados sobre el tema.
5.1. Composición del valor de las exportaciones
Mediante la desagregación de las exportaciones bolivianas, es posible encontrar la composición de las mismas durante el período 2000-2019. Lo que se encuentra es una gran concentración de las exportaciones en una categoría, la correspondiente a productos minerales.

Fuente: Elaboración propia
Gráfico 1: Composición promedio del valor de las exportaciones bolivianas, 2000-2019 (En porcentaje)
En el gráfico 1, se observa el gran peso de la categoría 5 respecto a las demás. Esta situación no llega a ser sorprendente pero sí alarmante para la economía boliviana. Era previsible que un gran porcentaje de las exportaciones se concentraran en dicha categoría, considerando que la misma contempla tanto minerales como combustibles minerales; principales productos de Bolivia. Sin embargo, la alta dependencia de la demanda de los bienes de esta categoría implica muchos riesgos; una caída en la demanda puede causar serios problemas en el sector externo boliviano.
Este panorama se hace más complicado si se presta atención al peso de las otras categorías. Diez de ellas tienen un porcentaje menor al 1%. Las únicas que muestran mayores pesos, aunque muy lejos de los productos minerales, son las 2, 3, 4, 9, 11, 14 y 15.
En resumen, el primer hecho estilizado puede ser planteado del siguiente modo:
En el período 2000-2019, el 65.81% del valor de las exportaciones se concentraron en los productos minerales.
Otro punto que llama la atención es la reconcentración de las exportaciones en la categoría de productos minerales.

Fuente: Elaboración propia
Gráfico 2: Evolución de las exportaciones de productos minerales, 2000-2019 (En porcentaje)
En el gráfico anterior, se observa el incremento del peso de los productos minerales dentro de la composición de las exportaciones; de un 32% en el 2000, pasó al 71% en el 2019. De igual modo, se aprecia que en el año 2008 se alcanzó el mayor porcentaje, casi 80%. Todo esto se puede explicar por el incremento de los precios internacionales de los commodities, principalmente, minerales y gas natural, lo cual llevó a un aumento del valor de exportación de esta categoría. Sin embargo, no deja de llamar la atención la importante reconcentración de las exportaciones considerando que la bonanza de precios también alcanzó a otros sectores, como el agrícola. Por tanto, el segundo hecho estilizado puede ser plasmado de la siguiente forma:
En el período 2000-2019, se dio una reconcentración de las exportaciones bolivianas en los productos minerales, pasó de representar el 32% en el año 2000 al 71% en el año 2019.
Para una mejor comprensión del comportamiento de las exportaciones, se hace necesario considerarlas también en volumen.
5.2. Composición del volumen de las exportaciones
Tomando en cuenta solamente el volumen de las exportaciones, se tiene lo siguiente:

Fuente: Elaboración propia
Gráfico 3: Composición promedio de las exportaciones bolivianas en volumen, 2000-2019 (En porcentaje)
En el gráfico 3, se observa que casi el 50% de las exportaciones corresponden a la categoría 4 -productos de industrias alimentarias, bebidas, líquidos alcohólicos y vinagre, tabaco y sucedáneos del tabaco elaborado - cuando solo se presta atención al volumen. En cuanto a los productos minerales, representan el 22% del total de exportaciones. Por su parte, las categorías 2 y 3 significaron el 6.71% y 18.51%, respectivamente. Entre los cuatro sectores mencionados, se llega al 96% de las exportaciones bolivianas. Por ende, las demás catorce categorías solo representan el 4%. Todo esto puede ser resumido en el tercer hecho estilizado.
En volumen, cuatro categorías -las 2, 3, 4 y 5- representaron el 95% de las exportaciones bolivianas en el período 2000-2019.
Para complementar el anterior análisis, se estudia la evolución de las cuatro categorías mencionadas en el período de investigación.

Fuente: Elaboración propia
Gráfico 4: Evolución de las exportaciones de las categorías 2, 3, 4 y 5 en volumen, 2000-2019 (En porcentaje)
En el gráfico 4, es posible notar un incremento en el peso del volumen de exportaciones de las categorías 4 y 5. En cambio, existe una disminución en la participación de las clasificaciones 2 y 3. Por tanto, se obtiene el cuarto hecho estilizado.
En el período 2000-2019, se dio una mayor concentración del volumen de las exportaciones en las categorías 4 y 5, en detrimento de las 2 y 3.
Otro aspecto al que se debe prestar atención es a los países de destino de las exportaciones.
5.3. Mercados de destino de las exportaciones
Con el propósito de estudiar los mercados de destino para los bienes de cada categoría, inicialmente, se presenta el número con los que cada clase cuenta.
Como se observa en el anterior gráfico, la categoría que cuenta con mayores mercados es la 2, la de productos del reino vegetal; tiene 24 países que demandaron ininterrumpidamente durante el período 2000-2019. En contrapartida, la categoría 1 de productos animales solo cuenta con un mercado, el cual compró todos los años del lapso estudiado. Considerando que la Organización Mundial de Comercio (OMC) cuenta con más de 160 países miembro, los mercados de destino de los productos nacionales son pocos. El quinto hecho estilizado se resume así:
La categoría que tiene mayores países de destino es la de productos del reino vegetal. En cambio, la que solo cuenta con un mercado es la de animales vivos y productos del reino animal.
Continuando con el estudio de los mercados, se analiza al principal socio comercial de cada categoría.

Fuente: Elaboración propia
Gráfico 6: Demanda promedio de exportaciones del principal socio comercial de cada categoría, 2000-2019 (En porcentaje respecto al total de exportaciones de cada categoría)
Del anterior gráfico, se puede resaltar la recurrencia de algunos países como principales socios comerciales. Estados Unidos se consolidó como el comprador más importante en siete categorías. Por su parte, el único país de continente diferente al americano fue Italia, el cual resultó ser el principal demandante de los bienes catalogados en la categoría 8.
En cuanto a la proporción que cada país demanda respecto al total, en cada categoría, es posible notar que existe una especie de monopsonio tanto en la categoría 1 como en la 14. En cambio, en las clases 2, 7 y 13, el peso de demanda es menor; lo que lleva a suponer que existe una mayor diversidad de mercados.
A partir de lo establecido, se formula el hecho estilizado 6:
En el período 2000-2019, los principales socios comerciales fueron Estados Unidos (en siete categorías), Brasil (en tres categorías), Perú (en tres categorías), Chile (en dos categorías), Colombia (en dos categorías) e Italia (en una categoría).
Finalmente, para culminar esta sección, se analizan los mercados de destino desde otra perspectiva: el número de categorías en las cuales cada país demanda.
En el gráfico 7, se aprecia que existen dos países con presencia en dieciséis categorías: Estados Unidos y Perú. Es importante resaltar la presencia del primero más allá de la situación de las relaciones políticas entre Bolivia y Estados Unidos. Por su parte, también llama la atención el número de clases en las que Chile está presente - quince - lo que muestra la potencialidad de complementariedad económica si se supera el problema centenario del enclaustramiento geográfico boliviano.
Por el otro lado, sobresalen Rusia y China, países con los cuales se dio una mayor aproximación política en los últimos decenios. Más allá de dicho acercamiento, su incidencia para las exportaciones bolivianas es bastante baja; en el caso de Rusia, solo demanda en una categoría de bienes, respecto a China, en cuatro de ellas.
Por tanto, el séptimo - y último - hecho estilizado queda de la siguiente manera:
En el período 2000-2019, los países con demanda de exportaciones en un mayor número de categorías de bienes son Estados Unidos y Perú.
Una vez comprendidas las exportaciones bolivianas y su composición, es posible proceder a la estimación de las elasticidades para cada categoría y su correspondiente análisis.
6. Estimación de las elasticidades
Inicialmente, se estimó la ecuación 5, obteniéndose los siguientes resultados:
Cuadro 2 Elasticidades del tipo de cambio, salario e interés

Fuente: Elaboración propia Errores estándar en paréntesis * p<0.10, ** p<0.05, *** p<0.01
En el cuadro anterior, se observa la existencia del pass-through del tipo de cambio al precio de exportaciones en quince categorías. Asimismo, en todas ellas, el signo es el esperado. Cuando se da una depreciación del Boliviano, el precio de exportación tiende a disminuir. Por su parte, existen tres categorías en las que el precio es perfectamente inelástico al tipo de cambio; se trata de las 1, 13 y 14. Sin embargo, se confirmará lo anterior con los resultados del cuadro 3. Empero, antes, es importante analizar los resultados de las variables de control.
En cuanto al nivel mínimo salarial, no es significativo en la mayoría de las categorías. Solo es explicativo en las clases 1, 2, 3, 6, 9 y 15. Es comprensible esta situación, pues la significancia se da en los sectores que son más intensivos en mano de obra menos calificada, como en la de productos del reino animal y del reino vegetal. Asimismo, llama la atención el signo obtenido en las categorías 3 y 6. En esos casos, es posible que predomine el efecto sustitución; es decir, se reemplace la mano de obra por bienes de capital; de ese modo, al sustituirse por el factor comparativamente más barato, el precio puede disminuir. Una explicación similar puede encontrarse para las categorías en las cuales el salario no resulta significativo.
Respecto a los bienes de capital, su precio es significativo en diez categorías. En todas ellas, el signo es positivo; lo cual muestra que el aumento en el precio del capital se traduce en el incremento del precio final. Asimismo, se observa que el precio final es más sensible en las categorías 5, 6 y 15, mismas que resultan ser más intensivas en capital. Por el otro lado, de las clases donde el precio de capital no es significativo, resalta el caso de la primera categoría - de animales y productos del reino animal -, el cual suele ser intensivo en mano de obra, lo que explica claramente la no significancia del otro factor.
Finalmente, realizando un análisis generalizado de las tres elasticidades, llama la atención el caso de las categorías 13 y 14. En ambas clases, ninguna de las variables es significativa. Esto puede mostrar la existencia de un poder mercado por el lado del demandante que impide que el oferente exportador varíe sus precios.
Una vez estudiados los resultados referentes a las variables de control, es tiempo de volver al análisis del pass-through. Para ello, se presente el cuadro 3, donde se resumen las conclusiones de las pruebas estadísticas de significancia.
En el cuadro anterior, se confirma lo establecido anteriormente. Aparentemente, no existe pass-through entre tipo de cambio y precio en tres sectores; no obstante, dos de ellos muestran resultados contradictorios, como se explicará más adelante. En cambio, si se contrasta la hipótesis de un pass-through completo (ε_(p,e)=-1), los resultados son más variados. Se encuentra que, al 5% de significancia, existen once categorías donde el efecto es total; es decir, un incremento del tipo de cambio en 1% lleva a una disminución del precio también en 1%. Por su parte, existen indicios de un pass-through parcial en cuatro categorías: 5, 9, 11 y 16.
Nuevamente, existen dos sectores que muestran valores probabilísticos bastante particulares; se tratan de las 13 y 14. En ambos casos, no se puede obtener una conclusión, pues, en ambas pruebas, no se rechazan las hipótesis nulas. De ese modo, los resultados obtenidos para esos sectores son ambiguos.
Una vez culminado el estudio sobre el pass-through, se analizan las elasticidades precio e ingreso.
Cuadro 4 Elasticidades precio e ingreso

Fuente: Elaboración propian Errores estándar en paréntesis: * p<0.10, ** p<0.05, *** p<0.01
Inicialmente, en el cuadro 4, se debe resaltar el signo de las elasticidades precio en todos los casos significativos, es negativo. Esta situación demuestra el cumplimiento de la ley de la demanda: un mayor precio reduce la cantidad demandada. Al respecto, debe notarse que aquello se da en quince categorías. De ellas, es posible notar que en las clases 1, 2, 4, 7, 9, 10, 11, 13 y 18, la demanda es elástica. En esos casos, es conveniente una reducción de precios para el incremento, en mayor proporción, de la cantidad demandada. En ese sentido, considerando que el efecto pass-through se da en la mayoría de dichas categorías -las excepciones son la 1 y 13-, se hace importante su rol para mantener la competitividad de los bienes e incrementar el volumen exportado.
Por su parte, las otras seis categorías (5, 6, 8, 14, 16 y 17) muestran una demanda inelástica. En esos casos, se puede asumir que los bienes exportados de dichas clases son considerados como necesarios por los socios comerciales. Complementariamente, la inelasticidad de la demanda también puede mostrar la poca existencia de bienes sustitutos. Para respaldar dichas suposiciones, basta con prestar atención a algunos de los bienes que conforman las categorías en cuestión: los productos minerales y las piedras preciosas. En el caso de los primeros, resultan imprescindibles para la producción de otros bienes, lo que incrementa la necesidad de tenerlos. Respecto a las piedras preciosas, el grado de sustitución por otros bienes es ínfimo.
Más allá de las demandas elásticas e inelásticas, existen tres categorías que muestran una situación extrema; se trata de las 3, 12 y 15. En cada una de esas clases, los resultados arrojaron una nula significancia de la variable en cuestión. En esos casos, se puede decir que la demanda es perfectamente inelástica. Esto llevaría a conclusiones similares a las planteadas para la demanda inelástica; es decir, los países demandantes consideran a dichos bienes como enormemente necesarios y/o no cuentan con otros bienes para sustituirlos.
Pasando al estudio de las elasticidades ingreso, se pueden observar signos positivos - significativos - en once categorías (1, 2, 4, 5, 6, 9, 12, 13, 14, 15 y 16). Dicho signo muestra que los bienes de esas clases son normales; es decir, un mayor ingreso de los socios comerciales debería llevar a una mayor demanda de los bienes. Dentro de dichas categorías, cabe notar que diez cuentan con demandas elásticas. A su vez, en el interior de ese grupo, resaltan las clases 2, 4 y 5, las que componen una mayoritaria parte de las exportaciones bolivianas. Es importante realizar dicha observación, pues la demanda elástica de esos bienes explica el gran incremento de las exportaciones cuando incrementan los ingresos en los países demandantes.
Sin embargo, lo que parece un aspecto positivo puede volverse en su opuesto. No se debe olvidar que la demanda elástica implica una respuesta en mayores proporciones de la cantidad demandada cuando varía el ingreso. Por ende, así como el auge económico de los socios comerciales puede llevar a un mayor volumen exportado, crisis económicas también pueden causar la caída de las exportaciones en grandes proporciones. Este aspecto puede ser más negativo cuando se toma en cuenta que las tres clases en las que se concentran las exportaciones bolivianas sufren de ese riesgo.
Continuando con el análisis, también se debe prestar atención a la única categoría que arrojó un signo negativo, la 17. Dicha elasticidad muestra que los bienes de esa clase son considerados como inferiores por parte de los demandantes; es decir, son tratados como bienes de menor calidad respecto a sus sustitutos. Por ese motivo, se espera que serán demandados menos ante un incremento en el ingreso de los socios comerciales. Si se realiza el estudio conjunto de las elasticidades de esa categoría; se puede intuir que dichos bienes son necesarios, pero considerados de baja calidad para los demandantes.
Por último, cabe estudiar a las categorías 3, 7, 8, 10, 11 y 18. En todas ellas, el ingreso no es significativamente diferente de cero, lo que implicaría que la demanda es perfectamente inelástica. Es decir, la variación de ingresos de los socios comerciales no afectará en la cantidad demandada de los bienes. Para una menor exposición a la situación económica de los socios comerciales, resulta importante diversificar las exportaciones hacia estas categorías.
A lo largo de las últimas páginas, se pudo realizar un análisis de las elasticidades estimadas para cada categoría. Para una mejor comprensión de las mismas, se presenta el cuadro 5, mismo que resume los principales hallazgos.
7. Discusión
Los resultados presentados en la sección anterior contrastan con los hallados por Cupé (2002) respecto a la inflación doméstica. A diferencia de lo que sucedía con los precios internos, se observa que la mayoría de los precios de las exportaciones son más sensibles al tipo de cambio. Esta situación no debe sorprender, puesto que la relación de dichos tipos de bienes - los exportables - es más íntima con el tipo cambiario.
Asimismo, en el mismo sentido, se demostró la importancia del tipo de cambio para el incremento de las exportaciones. Considerando que en la mayoría de las categorías, la elasticidad precio es diferente de cero, una depreciación de la moneda nacional es relevante para aumentar el volumen exportable. En ese sentido, se hace importante la adopción de un sistema cambiario más flexible.
Los sectores más beneficiados de la variación del tipo de cambio son siete:
I. Productos del reino vegetal (Categoría 2)
II. Productos de las industrias alimentarias, bebidas, líquidos alcohólicos y vinagre, tabaco y sucedáneos del tabaco elaborados (Categoría 4)
III. Plástico y sus manufacturas, caucho y sus manufacturas (Categoría 7)
IV. Madera, carbón vegetal y manufacturas de madera, corcho y sus manufacturas, manufacturas de espartería o cestería (Categoría 9)
V. Pasta de madera o de las demás materias fibrosas celulósicas, papel o cartón para reciclar (desperdicios y desecho). Papel o cartón y sus aplicaciones (Categoría 10)
VI. Materias textiles y sus manufacturas (Categoría 11)
VII. Mercancías y productos diversos (Categoría 18)
En todos los anteriores casos, su demanda es elástica. Por consiguiente, una disminución del precio - que puede ser causada por el pass-through - lleva a un incremento mayor en la cantidad exportada. Si a todo ello, se recuerda que las categorías 7, 9, 10, 11 y 18 son parte del 4% del volumen de exportaciones, se hace más evidente que el incremento del tipo de cambio puede coadyuvar a la diversificación de las exportaciones bolivianas.
No obstante, es importante realizar una aclaración: una nueva política cambiaria debe ir acompañada de una menor intervención estatal en el mercado de los factores. Los resultados mostraron que el tipo de cambio no es la única variable determinante de los precios. También es primordial prestar atención a los precios de los factores de producción. Al respecto, es sustancial que los precios de los factores sean determinados por las fuerzas del mercado; en lo posible, con una menor intrusión gubernamental.
Por otro lado, se debe prestar atención a la elasticidad ingreso. En este caso, resaltan las categorías con demandas inelásticas - o perfectamente inelásticas -:
I. Grasas y aceites animales o vegetales, productos de su desdoblamiento, grasas alimenticias, ceras de origen animal o vegetal (Categoría 3)
II. Plástico y sus manufacturas, caucho y sus manufacturas (Categoría 7)
III. Pieles, cueros, peletería y manufacturas de estas materias, artículos de talabartería o guarnicionería, artículos de viaje, bolsos de mano (carteras) y continentes similares, manufacturas de tripa (Categoría 8)
IV. Pasta de madera o de las demás materias fibrosas celulósicas, papel o cartón para reciclar (desperdicios y desecho). papel o cartón y sus aplicaciones (Categoría 10)
V. Materias textiles y sus manufacturas (Categoría 11)
VI. Metales comunes y manufacturas de estos metales (Categoría 15)
VII. Instrumentos y aparatos de óptica, fotografía o cinematografía, de medida, control o precisión, instrumentos y aparatos médico quirúrgicos, aparatos de relojería, instrumentos musicales, partes y accesorios de estos instrumentos (Categoría 17)
VIII. Mercancías y productos diversos (Categoría 18)
Sin que esto signifique dejar de lado los otros sectores, es recomendable impulsar las ocho categorías mencionadas; pues las demandas de las mismas son poco sensibles al nivel de ingresos de los socios comerciales. Por ende, recesiones económicas en otros países pueden afectar en menor medida al volumen de exportaciones bolivianas.
Finalmente, a partir de los hechos estilizados, todo lo anterior debe ser complementado con la búsqueda de un mayor número de mercados extranjeros. Para ello, se hace primordial contar con una política comercial que base sus acciones en dicho objetivo. En ese sentido, son esenciales los agregados comerciales que acerquen a los exportadores con sus posibles socios comerciales. Asimismo, se requiere la suscripción de más acuerdos comerciales que facilite el flujo comercial boliviano.
8. Conclusiones
Como se mencionó al inicio del presente trabajo, las exportaciones son importantes para toda economía. Por eso se hace primordial su estudio de manera más pormenorizada. En tal sentido, se realizó la desagregación de las exportaciones bolivianas en dieciocho categorías. Posteriormente, para cada una de ellas, se estimaron elasticidades que mostraron información importante.
En cuanto al efecto pass-through entre el tipo de cambio y el precio de exportación, se pudo constatar su existencia en quince categorías, de las cuales once mostraron una transmisión total y cuatro, parcial. Esta situación muestra la importancia del tipo de cambio para determinar el precio de las exportaciones. Dicha relevancia se hace mayor cuando se presta atención a la sensibilidad de la cantidad demandada respecto al precio.
Al momento de estimar la elasticidad precio, se encontró que la misma es significativa para quince clases. De ellas, nueve mostraron una demanda elástica; situación que muestra la importancia de tener precios competitivos para incrementar el volumen exportado. Es ese panorama en el cual el tipo de cambio puede resultar útil para coadyuvar al incremento de las exportaciones. Es posible que la depreciación del Boliviano respecto a la moneda del socio comercial pueda ayudar a una disminución del precio de exportación, y, por consiguiente, un incremento del volumen exportado. Adicionalmente, dicha medida también puede aportar a la diversificación de las exportaciones, un aspecto vital, considerando la reconcentración de las exportaciones en solo cuatro categorías.
Si bien el tipo de cambio resultó ser importante para el precio de exportación, también se debe prestar atención a la remuneración de los factores. Al respecto, se halló que existen seis categorías en las cuales el salario es significativo y diez categorías en las que el precio del capital lo es. Como se podía suponer, cada categoría encontró como significativo al factor del cual el bien es intensivo. Un aspecto que llamó la atención es el indicio de sustitución de un factor por otro (en este caso, capital por mano de obra) debido al incremento sostenido del salario mínimo. Se deberá indagar más sobre este tema en futuros estudios.
Finalmente, se encontró la elasticidad ingreso. Dentro de los resultados, resalta que diez categorías presentan una demanda elástica ante el ingreso de los compradores, incluyendo las tres que componen la mayor parte de las exportaciones bolivianas. De ese modo, se comprende el importante incremento de las exportaciones hace algunos años. Sin embargo, también muestra su exposición a significativas reducciones si los socios comerciales se encuentran en crisis. Por ese motivo, es necesario incentivar el incremento de exportaciones de las categorías con demanda inelástica. De ese modo, se puede atenuar la exposición del volumen exportable a una caída de ingresos en los socios comerciales.
Como se puede apreciar mediante el cálculo de las elasticidades, se obtuvo información relevante sobre las exportaciones desagregadas en categorías. Es necesario considerarla para incrementar las exportaciones en volumen y aumentar su diversificación.



























