Services on Demand
Journal
Article
Indicators
-
Cited by SciELO -
Access statistics
Related links
-
Similars in
SciELO
Share
Acta Nova
On-line version ISSN 1683-0789
RevActaNova. vol.1 no.4 Cochabamba June 2002
Artículo Científico
Aplicación de la Simulación a los Fenómenos de Espera en Paralelo
Rafael Terrazas Pastor
Dirección Administrativa Financiera
Universidad Católica Boliviana San Pablo
Cochabamba, Bolivia
e-mail: terrazas@ucbcba.edu.bo
Resumen
El propósito de este trabajo es la obtención de resultados esperados para un sistema de colas o fenómenos de espera en paralelo, utilizando para ello la herramienta de la simulación. El análisis se orienta a problemas cuyas distribuciones de probabilidad del número de arribos y de servicios son diferentes a la distribución de Poisson; es así que se hace el análisis para la Distribución Gamma y la Empírica. Se trata de demostrar si el modelo de simulación y el software creado brindan resultados esperados comparables a los que podrían ser obtenidos por fórmulas analíticas deducidas.
Palabras Clave: Colas, simulación, gamma, empírica.
1. Marco Teórico
1.1. Noción, Concepto y Alcance de la Investigación Operativa (IO)
Para encontrar una definición y un concepto de la I0, es necesario acudir a cinco elementos que se constituyen en la esencia primordial de esta herramienta: Sistemas, Modelos, Optimización, Decisión y Método Científico. Estos elementos se relacionan de una manera integral y biunívoca, retroalimentándose continuamente.
Estos factores, de acuerdo a la Figura 1, se exponen en términos de un enfoque mundo real-ideal, donde a partir de un problema enfocado como Sistema, se hace una abstracción en forma de Modelo matemático para, luego de un proceso de análisis, encontrar Soluciones Óptimas. Estas soluciones interpretadas deben constituirse en orientaciones que ayuden a la toma de Decisiones y todo el proceso se sustenta en un razonamiento basado en el Método Científico que aporta la metodología adecuada para el análisis de problemas en el contexto de la I0.
Gracias al anterior análisis, se puede construir una definición de Investigación de Operaciones, acorde con la naturaleza y alcance de esta importante herramienta:
"La IO es la utilización del método científico en el análisis y solución de problemas del mundo real (industria, economía, comercio, educación, defensa, etc.) que deben ser concebidos como sistemas y entidades complejas que manejan recursos (equipos, útiles, información). Estos sistemas son representados en el mundo ideal por modelos matemáticos cuyo análisis y solución busca la optimización de resultados que deben ser interpretados y comprometidos para ofrecer asistencia y ayudar a la toma de decisiones." [4]
1.2. Noción, Concepto y Alcance de la Simulación
La IO trabaja con modelos matemáticos que desde el punto de vista de su forma de solución se clasifican en analíticos y experimentales. Los modelos analíticos encuentran solución a través de la utilización de algoritmos definidos cuyos pasos quedan claramente establecidos. Los modelos experimentales trabajan con la teoría de ensayo y error, es decir tratan de generar respuestas óptimas a través de la experimentación y por aproximaciones sucesivas. Estos procedimientos, en la mayoría de los casos, se traducen en programas de computador.
La simulación debe aplicarse, por lo general, a problemas cuya solución analítica es sumamente difícil por no decir imposible. La simulación permite la emulación de cualquier proceso cuya marcha o desarrollo depende de factores aleatorios, constituyéndose en un método universal que se aplica a la solución de problemas modelados matemáticamente. En este sentido la simulación aplica la metodología de la figura 2 dentro de un esquema mundo real-ideal. Los datos obtenidos del problema real se abstraen y por un proceso de análisis se transforman en un modelo matemático y en un programa de computadora que ofrece una gama de resultados. Estos resultados se interpretan y se llevan nuevamente al mundo real donde se sintetizan y se validan para implementar el Simulador.
En este sentido se puede intentar dar una definición de simulación acorde con estos propósitos:
"La Simulación es una técnica experimental que trabaja en base a la teoría "ensayo - error", que analiza problemas complejos a través de la formulación de modelos matemáticos implementados en computadora. Estos modelos generalmente son de naturaleza estocástica y su objetivo es dar respuesta aproximada a los sistemas reales en períodos extensos de tiempo." [5]
1.3. Noción, Concepto y Alcance de los Fenómenos de Espera
Los atrasos que suceden en las actividades productivas y de gestión pueden resultar sumamente onerosos debido principalmente a la "espera" que se realiza hasta cumplir o realizar la tarea. Estos "atrasos" son estudiados por la teoría de colas o fenómenos de espera y el propósito fundamental es minimizarlos o finalmente eliminarlos.
La teoría de colas fue investigada y estudiada por Erlang en el año de 1909. Este matemático se preocupó de los problemas de congestión en el tráfico de comunicación telefónica; le interesó todo el análisis probabilístico que se presentaba en este tema por eso escribió el libro "Solutions of some problems in the theory of probabilities". Más tarde, Molina (1927) y Thornton (1928) enriquecieron este trabajo.
Saaty dice que la teoría de colas trata de desarrollar un modelo simbólico del sistema físico para simplificar la solución del problema y que "la teoría de colas no es una técnica de optimización, pero si una herramienta analítica que permite explorar y conocer el comportamiento de un sistema de servicio, logrando de esta manera indirecta una optimización aproximada".
Se puede decir que la teoría de colas (TC) analiza problemas de los sistemas de servicio y atención al cliente con el objetivo de buscar un equilibrio entre el EXCESO y la INSUFICIENCIA de servicio; es decir en términos económicos, lograr un balance entre el COSTO DE SERVICIO y el COSTO asociado a la ESPERA. En este sentido se podrá definir a la TC como:
"La TC es una técnica matemática, probabilística que se ocupa del análisis de problemas caracterizados por un flujo de "CLIENTES" (personas, máquinas, automóviles, etc.), hacia una o más "ESTACIONES DE SERVICIO" (bancos, mecánicos, estaciones de gasolina, etc.) con el propósito de estudiar este tipo de comportamiento, obteniendo información relevante tal como: el tiempo medio de espera de un cliente, el tiempo medio de ocio, la longitud promedio de clientes en la cola, la probabilidad de que haya n clientes en el sistema de colas, etc. Esta información permitirá la toma de decisiones y el cálculo de costos pertinente para tomar o no las acciones correctivas necesarias en procura de lograr la mayor eficiencia del sistema." [5]
Se pueden citar varias situaciones que caracterizan a los sistemas de colas:
Arribo de clientes a los cajeros de un banco.
Arribo de automóviles a las estaciones de gasolina.
Funcionamiento y congestión de las centrales telefónicas.
Venta de entradas en las ventanillas.
Reparación de máquinas por los mecánicos.
Aterrizaje de aviones en un aeropuerto.
Ejecución de tareas en los centros de cómputo.
Las soluciones analíticas más conocidas y expresadas en la bibliografía clásica de estos modelos proponen que tanto las distribuciones de tiempos de llegada como de tiempos de servicio siguen la distribución probabilística exponencial continua; esto quiere decir que los eventos de llegada y de servicio siguen la distribución discreta de Poisson. Para un modelo analítico de esta naturaleza con S servidores y con cola infinita, se tiene:
1) El diagrama, de tasas (ver Figura 3) donde:
λ = tasa promedio de llegadas y/o arribos al sistema [Clientes/tiempo]
μ = tasa promedio de servicio [Clientes/tiempo]
S = número de servidores en paralelo para el sistema
Se puede notar que para este modelo:

2) La tasa de ocupación ρ del sistema sería:
![]()
3) Las probabilidades Pn de estado estable serían:

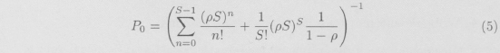
4) La probabilidad Po de que haya cero clientes en el sistema:

5) La longitud Lq promedio de clientes en la cola:

6) La longitud L promedio de clientes en el sistema:

Donde:
w = El tiempo esperado de espera en el sistema
wq = El tiempo esperado de espera en la cola
Ψ = λ/μ = Intensidad de Tráfico
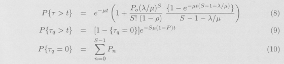
7) Las probabilidades:

2. Planteamiento del Problema
Para obtener soluciones analíticas en torno a un modelo de esta naturaleza, la teoría probabilística provee de conceptos y expresiones matemáticas que fueron deducidas analíticamente y permiten calcular los parámetros relevantes y característicos del sistema, tales como: la longitud promedio de clientes en el sistema y en la cola, el tiempo esperado que pasa un cliente en la cola y en el sistema, las probabilidades de estado estable, los porcentajes de ocupación y de ocio, etc.
Sin embargo, estas expresiones conocidas y deducidas en base a la propiedad markoviana y al proceso de nacimientos y muertes consideran que las distribuciones de los tiempos de llegadas y de servicios siguen la distribución exponencial; en otras palabras, se dice que el número de eventos que corresponden a las llegadas y servicios sigue la distribución de Poisson, originando de esta manera los procesos denominados Poissonianos.
Cuando las distribuciones de probabilidad de los tiempos de arribo o de servicio siguen distribuciones diferentes (Normal, Gamma, Beta Chi-cuadrado, T de Student, etc.), las fórmulas analíticas deducidas no brindan resultados satisfactorios. Existen intentos muy interesantes para los siguientes casos: tiempo de arribo exponencial, servicio cualquiera y un servidor con la fórmula de Pollatzeck-Kintchine; tiempo de arribo cualquiera, servicio exponencial y un servidor con el análisis de las Cadenas de Markov Inducidas.
Planteada esta problemática, se puede acudir a la utilización de un procedimiento numérico y experimental, tal como la Simulación Montecarlo. Esta técnica tiene la virtud de poder establecer generadores de procesos que siguen cualquier distribución de probabilidad conocida, e inclusive empírica. Aún más, el procedimiento establecido se traduce en un modelo matemático que puede ser bien implementado en un programa de computadora, llegando a obtener resultados mediante la emulación del proceso en períodos extensos de tiempo real. Este trabajo trata justamente de abordar esta problemática.
3. Aplicación de la Metodología de la Simulación a un Fenómeno de Espera con Distribución Diferente
3.1. Análisis y Validación de Datos
Este paso trata de la recolección y análisis de los datos de entrada al modelo, tomando en cuenta lo siguiente:
1) Recolección y Muestreo de Datos
2) Distribución e Histogramas de frecuencia de los datos
3) Estimación de parámetros y de momentos
4) Pruebas de Bondad de Ajuste a distribuciones conocidas
3.2. Formulación del Modelo Matemático
Se trata de definir dos elementos importantes que caracterizarán al modelo: Variables y Relaciones Funcionales. Las Variables pueden ser Exógenas o de entrada, de Estado o intermedias y Endógenas o de salida. Las Relaciones Funcionales pueden ser, Identidades o ecuaciones tautológicas y Características de Operación que son funciones atribuidas a distribuciones probabilísticas.
Para el caso de aplicación caracterizamos al modelo de la siguiente manera:
Variables Exógenas
CLIENTES = El número de clientes a simular
CANAL = El número de estaciones en paralelo
TAi = Tiempo de arribo del i-ésimo cliente
TSi = Tiempo de servicio para el i-ésimo cliente
Variables de Estado
TEi = Tiempo de Espera del i-ésimo cliente en una de las estaciones
TO¡ = Tiempo de Ocio del servidor cuando llega el i-ésimo cliente
TTE = Tiempo Total de Espera
TTO = Tiempo Total de Ocio
TTA = Tiempo Total de Arribo
TTS = Tiempo Total de Servicio
Parámetros
1/λ = La media del tiempo entre arribos
1/μ = La media del tiempo de Servicio
Variables Endógenas
TEEC = El Tiempo Esperado de Espera en la Cola
TEO = El Tiempo Esperado de Ocio por cliente
TEES = El Tiempo Esperado de Espera en el Sistema (cola + servicio)
NCOLA = El Número esperado de Clientes en la Cola
NSIS = El Número esperado de clientes en el Sistema (cola + servicio)
UTIL = El porcentaje de Utilización del sistema de colas
VTE = La Varianza observada del Tiempo de Espera en la cola
VTO = La Varianza observada del Tiempo de inactividad u Ocio
Identidades
TEEC = ΣTEi/CLIENTES = TTE/CLIENTES
TEO = ΣTOi/CLIENTES = TTO/CLIENTES
TTA = ΣTAi
TTS = ΣTSi
λ = TTE/CLIENTES
μ = TTO/CLIENTES
TEES = TEEC + CLIENTES/TTS
VTE = (ΣTEi2 - TTE2/CLIENTES)/CLIENTES
VTO = (ΣTOi2 - TTO2/CLIENTES)/CLIENTES
NCOLA = TEEC x (CLIENTES/TAT)
NSIS = NCOLA + TTS/TTA
UTIL = TTS/(CANAL x TAT)
Características de Operación
Se considera la distribución Gamma con parámetro K entero, (la distribución exponencial es una Gamma con K = 1).
La función de densidad Gamma está dada por:
![]()
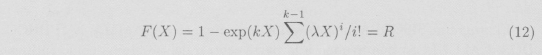
La función acumulada es:

R es un número aleatorio distribuido uniformemente entre 0 y 1.
Entonces, el generador gamma queda:

Para el caso en que la distribución de frecuencias es empírica se sigue el siguiente procedimiento:
Se construye la función acumulativa a partir del histograma de frecuencias obtenido
Se lanza un número aleatorio que sigue la distribución uniforme sobre el histograma acumulado F(X)
Se verifica sobre qué rango de valores de F(X) cae el número aleatorio lanzado y se elige la variable que corresponde a este rango como variable aleatoria elegida
3.3. Formulación del Programa de Computador
Una vez establecidos los elementos del modelo matemático, se debe desarrollar un programa de computador, sea en un lenguaje de propósitos especiales o en un lenguaje de alto nivel.
Para este trabajo se ha desarrollado un software en PASCAL y se le ha llamado SISCOPA (Sistemas de Colas en Paralelo). Este software comprende básicamente un menú integrado por:
Análisis de Datos que comprende:
1) Obtención de las Distribuciones de Frecuencias
2) Estimación de Parámetros (Medias y Varianzas)
3) Pruebas de Bondad de Ajuste (Gamma y Normal)
Modelos de Filas en Paralelo
1) Modelo con Cola Infinita
2) Modelo con Cola Finita
3) Modelo con Población y Cola Limitada
4) Modelo de Número de Servidores Optimo
Modelo de Simulación Montecarlo
1) Generación de Números Aleatorios
2) Pruebas de Validez Para el Generador
3) Modelo de Simulación para S Servidores y Cola Infinita
El programa SISCOPA maneja varios procedimientos (GAMMA, EMPÍRICO, UNO, DOS, CALCULOS) que ayudan a la parte central del programa como rutinas importantes. Estos procedimientos codificados en PASCAL se muestran en el ápendice A.
3.4. Obtención de Resultados
Para una tasa de llegadas λ = 30 Clientes/Hr; una tasa de servicios μ = 12 Clientes/Hr, número de servidores S = 4 y Cola Infinita; se obtienen los siguientes resultados con las fórmulas analíticas presentadas para una distribución Gamma con k = 1 (Exponencial) y a través del SISCOPA:

Los resultados esperados obtenidos por el modelo de simulación en el SISCOPA se muestran en la Tabla 1, para 5 simulaciones con semillas diferentes.
3.5. Validación del Simulador
Realizado el programa de computador, se debe obtener los resultados correspondientes y establecer las pruebas de resultados y la validez del simulador. Para este trabajo, se desarrollaron generadores para las distribuciones Gamma y Empírica. La validez del simulador se logra comparando los resultados obtenidos con los resultados de las fórmulas analíticas y con el simulador.
Para validar el Modelo de Simulación, se toman los valores promedio y se utiliza el test de hipótesis T de Student, donde el Tc calculado es igual a:
![]()
Xs = Se refiere a la media simulada de la variable a ser verificada
Xt = Se refiere a la media teórica obtenida con fórmulas analíticas
S = Es la Desviación Estándar de la variable simulada
n = El número de simulaciones o experimentos
Por tanto, los resultados son para TEEC:
![]()
Este resultado se compara con los valores de la tabla T de Student, para un nivel de significancia α = 5 %:

El resultado de w simulado (TEES) es 0.1035 y el valor teórico obtenido por fórmula es 0.1011, arrojando una diferencia de 2.4 x 10-3.
4. Conclusiones
Por los resultados obtenidos y las comparaciones realizadas se puede afirmar que el simulador brinda resultados esperados dentro de márgenes de error permisibles.
El propósito de la simulación es el de obtener resultados que no pueden ser calculados con los medios analíticos. En este trabajo se plantea un medio de obtener los resultados esperados de un modelo de colas donde las distribuciones de arribo y de servicio pueden ser diferentes a la distribución de Poisson.
El modelo puede ser completado considerando todas las distribuciones de probabilidad conocidas.
A. Procedimientos para el programa de Simulación
Referencias
[1] G. de Ghellinck. Modelisation stochastique. Notes de Cours, Louvain la Neuve, 1993. [ Links ]
[2] Ruegg. Processus Stochastiques. Francia, 1989.
[3] R. Terrazas. Analyse, application et programmation d'un modele de simulation pour les phenomenes d'attente en paiallele. Tesis de Maestría, Université Catholique de Louvain, Bélgica, 1994.
[4] R. Terrazas. Modelos Lineales de Optimización. Ed. Verbograf, Cochabamba, 2000. [ Links ]
[5] R. Terrazas. Programación Dinámica y Modelos Estocásticos. En edición, Cochabamba, 2002.


















