Servicios Personalizados
Revista
Articulo
Indicadores
-
Citado por SciELO -
Accesos
Links relacionados
-
Similares en
SciELO
Compartir
Revista de Medio Ambiente y Mineria
versión impresa ISSN 2519-5352
REV. MAMYM vol.10 no.1 Oruro jun. 2025
ARTÍCULOS ORIGINALES
Assessment of environmental damage caused by blast vibrations - case study on Portugal's Marão tunnel
Navarro Torres Vidal Felix.1
1 Vale Institute of Technology, Brazil
Abstract
This paper deals with an innovative assessment approach of environmental damage and effects on nearby communities caused by blast vibrations generated during tunnel excavation. Moreover, a mathematical model that evaluates particle vibrations at a specific point of interest located at a certain distance from the source on the basis of the depth of detonation, tunnel axis position, explosive charge and the number of holes blasted per delay is presented. Anew proposal is presented for the assessment of damage levels. A case study in a populated area surrounding the portal of Portugal's Marão tunnel is conducted. The case study presents vibration data recorded during the detonation of explosive charges around land occupied by humans. Data processing was performed using the multiple linear regression method to obtain the propagation law of vibrations for the area under study, and damage assessment was performed based on Portuguese standard NP 2074 and international standard ISO 2631 for human comfort.
Key words: Blasting, tunnel, environment, blast damage, human comfort
Resumen
Este artículo aborda un enfoque innovador para la evaluación del daño ambiental y los efectos en las comunidades cercanas causados por las vibraciones generadas por explosiones durante la excavación de túneles. Además, se presenta un modelo matemático que evalúa las vibraciones de partículas en un punto específico de interés, ubicado a cierta distancia de la fuente, en función de la profundidad de la detonación, la posición del eje del túnel, la carga explosiva y el número de barrenos detonados por retardo. Se propone un nuevo método para la evaluación de los niveles de daño. Se lleva a cabo un estudio de caso en una zona poblada alrededor del portal del túnel de Marão, en Portugal. El estudio de caso presenta datos de vibración registrados durante la detonación de cargas explosivas en terrenos habitados. El procesamiento de los datos se realizó mediante el método de regresión lineal múltiple para obtener la ley de propagación de vibraciones en el área de estudio, y la evaluación del daño se efectuó con base en la norma portuguesa NP 2074 y la norma internacional ISO 2631 para el confort humano.
Palabras clave: Voladuras, túnel, medio ambiente, daño por explosiones, confort humano.
1. INTRODUCTION
Rock tunnelling using explosives must be performed by scientific procedures fundamentally based dynamics of rock mechanics science, which enables better understanding of blasting actions in surrounding rock masses. For environmental control of tunnel blasting effects requires blast local vibration characterization and design blasting patterns based in maximum explosive charge detonate per delay.
According to Dinis da Gama (1998), only 5 to 15% of the energy released by the det onation of explosives in rock is used effectively to fragment the rock. This means that the largest explosive energy is transferred to the surrounding environment and causes diverse environmental effects such as ground vibrations, airblast (shock waves propagating through the atmosphere), flyrock, dust and over-breaking of the remaining rock, which may cause instability of adjacent lands.
Vibration is the most common cause of concern, and there have been protests by people living near areas where these activities are conducted.
Several countries have established standards to control blasting-induced vibrations: Germany: DIN 4150, Australia: AS 2187, Switzerland: SN 640312a, Sweden: SS4604866, USA: USBM(RI 8507), UNE: 22-381-93, Portugal: NP 2074 and ISO 2631 (Navarro Torres VF, 2013).
2. MATHEMATICAL MODELLING TO CONTROL GROUND VIBRATIONS IN TUNNELS
For the process of detonating cylindrical explosive charges in rock hole surrounding perpendicular section to a explosive charge axis, define three zones: explosive cavity, transition zone, and seismic or elastic zone (Fig. 1).
Fig. 1 Distinct zones defined in a rock around an explosive charge after a blast (according to Atchison, 1968, cited by Carlos Dinis da Gama, 2001)
The first zone, where the explosion occurs, is originally occupied by an explosive charge (Q) and is associated with hydrodynamic mechanisms of detonation. The second zone has a greater extent and may be divided into four distinct zones: hydrodynamic, plastic, fragmented and fractured. Finally, there is a third region called elastic or seismic zone comprising non-fractured intact material, indicating that the tension occurring here would be below the elastic limit of the rock. This zone is significant for ground vibration problems resulting from rock excavation with explosives.
The most widely accepted mathematical model to determine particle vibration velocity was proposed by Dinis da Gama, C. (1993) and Holmberg, R. (2000), which considers the energy (Q) as the vibration source and the distance (D) from the source as key variables.
Here a, b and c are coefficients obtained from measurements in situ and are determined by multiple regression analysis. To evaluate tunnel vibrations, Navarro Torres VF (2010) developed a mathematical model considering simultaneous explosive charges detonation of several holes around the F point, which is the source of energy detonation. Using the model, the vibrations at several points including point S located on the outer surface, specifically on a line perpendicular to the tunnel axis, and point P located anywhere on the external surface (Fig. 2) can be calculated.
Fig. 2 Explosive charge in a hole and vibration points on the outer surface
a) The vibration velocity at point P anywhere outside of the rock mass caused by a number of holes (n) detonated by an explosive charge (Qf) for each delay and hole can be calculated from equation (1) as follows:
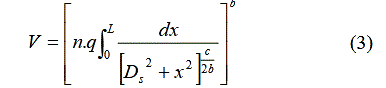
b) Consider the vibrations at point S located on the straight adjacent line perpendicular to the tunnel axis on the outer surface caused by a linear explosive charge (q).
This particular case is significant because it constitutes the most unfavourable case of the distance from the source (Ds), that is, from the central part of the hole to any point on the outer surface located on the line perpendicular to the tunnel axis. The vibration velocity at point S can be given by
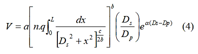
d) Let us consider the vibrations at superficial points located anywhere (X) as a function of the rock mass attenuation coefficient (a) caused by a linear explosive charge (q).
In addition to the distance (Ds) between the central part of the charged hole to any point (S) located on the outer surface on the line perpendicular to the tunnel axis, it is also subjected to the distance (Dp) between the source (F) and any point on the outer surface P (Fig. 2). The vibration velocity at point X can be given by the following equation, where L is the length of the hole:
Applying the model for a granitic rock with coefficients a = 700, b = 0.75, c = 1.50, a = 0.0003(5 Hz) and for holes with 3.1 m of explosive charge detonating at 20 m depth (h), the vibration propagation law results in equation 5 (Fig. 3).
Distance from the blast D(m)
Fig. 3 Attenuation of particle velocity (mm/s) at points on the external surface for explosive charges of length 3.1 m detonated at 20 m depth
3. PROPOSED METHODOLOGY FOR PREVENTING ENVIRONMENTAL DAMAGE CAUSED BY BLASTS IN TUNNELS
Rock mass dynamic properties determined from vibration data and further processing enable characterization of rock types and prediction of ground vibration propagation mechanisms (Dinis da Gama, 1988).
It is essential to obtain parameters from vibration data, which allows analysis of vibration velocity and frequency as well. These experimental data (fieldwork) are obtained from engineering seismographs installed with multiple geophones suitably located on the ground in relation to blast design. Geophones convert mechanical vibrations into electrical energy with an intensity proportional to the oscillating motion of the ground.
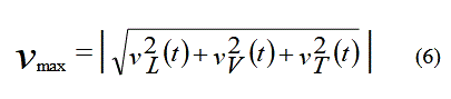
The maximum value of velocity recorded in the vibration event is termed the 'peak velocity sum'
(PVS), and it is presented in seismograms as the output of the resultant vectors (L, V, T) corresponding to three coordinates at the same instant of time (t) (equation 6). However, it is usual that the largest component of all meassure at the corresponding instant of time, usually being 5 to 10% greater than this peak (Dowding, 1992).
Navarro Torres VF et al. 2004 proposed a methodology to control ground vibrations caused by rock blasting (Fig. 4), which permits obtaining results to simulate various scenarios. To determine the maximum admissible explosive charge per delay for a given situation, the important parameters are the distance to the sensible local from the vibration, rock particle vibration and their frequency.
Fig. 4 Methodology to control ground vibrations caused by blasts
Implementation of this methodology allows controlling blast vibrations in a systematic and effective manner, providing a ready tool to obtain immediate results when adjustments in blast design are necessary.
4. CASE STUDY ON MARÃO TUNNEL, PORTUGAL
4.1. Site characteristics and blasting design
The case study was carried out in the portal of Marão tunnel, Portugal, throughout its building process, using 23 vibration records which correspond the number of blasts performed in the North portal between PK 19+281 and 19+574 and 30 records that also correspond to blasts in South portal between PK 19+401 and 19+576. The total of 53 records was then monitored in 25 points located in the houses or buildings located in the surrounding area to the portals (Fig. 5).
Fig. 6 Vibration measurement points and blasting points
The typical blast design was the burn-cut type with four empty holes placed on the central part, at 4 m depth. Spanish Riodin explosives with 18 to 80 ms of delay were used (Fig. 6, 7) (Tables 1, 2, 3, 4).
Fig. 6 Typical blast designused in the Maraotuiinel portal
Fig. 7 Blast layout in Marao tunnel
Table 1. Blast accessories and details.
Table 2 Blast locations and details in Marão tunnel
Table 3 Blast delays and details in Marão tunnel
Table 4 Blast data in Marão tunnel
To determine the propagation law of vibrations, the seismograph Sinco model S-6-eak Vibration Monitor registers equipped with two sets of three geophones and a seismograph Instantel Minimate Plus installed with two geophones were used in sensitive areas surrounding the portal.
Aiming to quantify vibrations in the surrounding area of the Marão tunnel nascent portal, some locations and the respective blast sites were chosen. Blasts were carried out between PK 19 + 281.6 and 19 + 574 in the North Tunnel and between PK 19 + 401 and 19 + 576 in the South Tunnel. Moreover, 53 registered values of peak particle velocity (mm/s) (Tables 5 and 6) were used. This information was then processed by multiple linear regression analysis involving three main variables.
Table 5 Peak velocity sum (PVS) for different explosive charges and distances registered in the North tunnel.
The seismograph presents the vibration velocity in three directions: vertical, longitudinal and transversal, and adds them automatically to obtain the peak velocity sum to construct the seismogram chart. For successive measurements, 'triggers' of 0. 127, 0.130, 0.230 and 0.51 mm/s for the Instantel seismograph were used.
The locations of the measuring stations as well as the blast design coordinates have enabled determining the distances between the holes with maximum explosive charge and the location of evaluation.
Statistical processing of the recorded data using the software Mlinreg.bas has allowed obtaining the propagation law of vibrations as a function of vibrations v (mm/s), the maximum explosive charge per delay (kg) and the distance D (m) by the following equation with a correlation of 0.87:
Table 6 Peak velocity sum (PVS) for different explosive charges and distances registered in the North tunnel.
This equation may be represented in a logarithmic graphic for various admissible vibration standards (Fig. 8).
4.2. Assessment of vibration level in the nascent Portal surrounding area
Based on the determined propagation law of vibrations for the area under study, vibration variations in the nascent Portal surrounding area can be evaluated.
This assessment was performed considering the quantity of explosive charges detonated by delay (59.3, 49.5, 29.2 and 27.8 kg) and the corresponding distances between the evaluation points and the vibration sources (Fig. 9).
Fig. 7 Variations in explosive charge and vibration velocity versus distances for the area under study
Fig. 8 Vibration velocity amplitudes versus points of evaluation according to the determined propagation law of vibrations and those recorded.
It can be observed that the largest vibration amplitude would have occurred at points A, B, C and D, gradually decreasing as the distance increases.
It is interesting to observe that the vibration amplitudes decrease noticeably over short distances (Fig. 10). This is because there is a large attenuation of vibrations caused by the influence of the free face in the front of the tunnel, where the wave propagation experiences a total reflection due to the change in impedance of the rock mass, where vibrations and air in the underground atmosphere are generated.
Fig. 9. Vibration behaviour according to the propagation law of vibrations for a blast using 49.5 kg of explosive charges per delay
Applying Portuguese standard NP 2074 for the area under study, we have considered the bass ground as "grauváquicas" schist (a = 2.0), a weak quality of residences (P = 0.5), and more than three blasts per day (y = 0.7). As a result, the admissible value of vibration velocity was
V'L = 0.7 cm/s = 7 mm/s
The amplitudes of vibration caused by blasts with the applied explosive charges had been well inferior to the admissible value of Portuguese standard NP 2074 (Fig. 11).
Fig. 10 Amplitudes of vibrations versus points of evaluation in comparison to the admissible value of Portuguese standard NP 2074
In Portugal, there are no official standards to evaluate human comfort based on the admissible value of vibration velocity. Consequently, it is recommended that the evaluation should be based on ISO 2631 procedures (Table 7), which was elaborated by a working group comprising specialists from participant countries of the International Standardization Organization located in Switzerland.
Table 7 Admissible values of vibration velocity for human comfort in different localities according to ISO 2631 (1989).
Comparison of the amplitudes of velocities (according to the propagation law of vibrations) with the admissible values of ISO 2631 reveals that some points have exceeded the admissible values (Fig. 12).
Fig. 11 Amplitudes of blast vibration versus points of evaluation compared with ISO 2631.
Therefore, blast design optimization is a necessity to reduce vibrations to admissible levels.
5. CONCLUSIONS
The developed mathematical model for controlling ground vibrations due to blasts is a powerful tool in tunnel engineering.
The constants a, b, c and a are related to geological, geotechnical and blasting conditions.
There was no damage to the surrounding buildings, according to NP 2074. However, there is human discomfort in eleven residences near the portal, according to ISO 2613.
ACKNOWLEDGEMENTS
A special thanks to Carlos Dinis da Gama for the opportunity to participate in this specific research topic. We would like to thanks to Portuguese "Fundacáo para a Ciência e a Tecnologia - FCT" for the study support and Vale Institute of Technology- ITV, where the main author currently is principal researcher.
REFERENCES
Dinis da Gama, C.; Jimeno, C.L. (1993). "Rock fragmentation control for blasting cost optimization and environmental impact abatement". 4th Int. Symp. Rock Fragmentation by Blasting, pp.272-280. Viena. Publisher A. Balkema, Rotterdam. [ Links ]
Dinis da Gama, C. (1998). "Ruídos e Vibracoes Ligados a Utilizacao dos Explosivos e Equipamentos". Comunicacoes do Io Seminario de Auditorias Ambientais Internas. Divisão de Minas e Pedreiras do Instituto Geológico e Mineiro. [ Links ]
Dinis da Gama, C.; Bernardo, P.A.M. (2001). "Condicoes Técnicas para Uso de Explosivos na Escavacao de Tunéis Urbanos em Maricos Rochosos". Book about urban tunnels (organized by SPG e FCT-UC) - Coimbra. [ Links ]
Dowding, C.H. (1992). "Rock Breakage: Explosives - Monitoring and Control of Blast Effects". SME Mining Engineering Handbook. Society for Mining, Metallurgy and Exploration, Inc. Hartman, H. L. (Editor). 2nd Edition. Volume 1, pp 746-760. Littleton, Colorado. Guadalajara, México - 3, 4, 5 July 2013 [ Links ]
Holmberg, R. (2000) - Explosives and Blasting Technique. Proc. 1st World Conference on Explosives & Blasting Techniques. A. Balkema, Rotterdam. [ Links ]
Kiely, G. (1999). "Ingeniería Ambiental - Fundamentos, Entornos, Tecnologias y Sistemas de Gestión". (Edición Española - tradución y revisión técnica de Veza, J.M.). McGraw-Hill. Spain. [ Links ]
Navarro Torres VF; Bernardo P (2004). El "Blastware III" e "Mlinreg.bas" como herramientas para la prevención y control ambiental de vibraciones en voladuras. V Simposium Internacional de Tecnología de la Información Aplicada a la Minería 14 - 17 de septiembre, Lima-Perú. [ Links ]
Navarro Torres VF (2006). Desenvolvimento sustentável e gestão do ambiente subterráneo- vibracoes. Scientific Report. Fundacao para a Ciência e a Tecnologia, Portugal, p.63 [ Links ]
Navarro Torres VF e Dinis da Gama C.(2010). Analysis of LENEC report about vibration induced by blast in buildings nearby the nascente portal of Marão tunnel. Universidade de Lisboa, Scientific report, p. 18. [ Links ]
Navarro Torres, VF (2013). Análise das principais normas ibero-americanas de vibracoes induzidas aplicáveis para o meio subterráneo. T Jornada técnico-científica de "Medio Ambiente Subterráneo y Sostenibilidad" -Ambiente, seguridad y salud [ Links ]
Artículo recibido en: 10.04.2025
Artículo aceptado: 18.05.2025














