<?xml version="1.0" encoding="ISO-8859-1"?><article xmlns:mml="http://www.w3.org/1998/Math/MathML" xmlns:xlink="http://www.w3.org/1999/xlink" xmlns:xsi="http://www.w3.org/2001/XMLSchema-instance">
<front>
<journal-meta>
<journal-id>2518-4431</journal-id>
<journal-title><![CDATA[Investigación & Desarrollo]]></journal-title>
<abbrev-journal-title><![CDATA[Inv. y Des.]]></abbrev-journal-title>
<issn>2518-4431</issn>
<publisher>
<publisher-name><![CDATA[UNIVERSIDAD PRIVADA BOLIVIANA]]></publisher-name>
</publisher>
</journal-meta>
<article-meta>
<article-id>S2518-44312019000200004</article-id>
<title-group>
<article-title xml:lang="es"><![CDATA[DETERMINANTES SOCIOECONÓMICOS DEL RECICLAJE EN LA PAZ, BOLIVIA: UN ANÁLISIS DE POLÍTICA PÚBLICA]]></article-title>
<article-title xml:lang="en"><![CDATA[SOCIOECONOMIC DETERMINANTS OF RECYCLING IN LA PAZ, BOLIVIA: A PUBLIC POLICY ANALYSIS]]></article-title>
</title-group>
<contrib-group>
<contrib contrib-type="author">
<name>
<surname><![CDATA[Osorio Borrero]]></surname>
<given-names><![CDATA[María del Pilar]]></given-names>
</name>
<xref ref-type="aff" rid="A01"/>
</contrib>
</contrib-group>
<aff id="A01">
<institution><![CDATA[,Universidad Privada Boliviana Programa Doctoral en Economía y Administración ]]></institution>
<addr-line><![CDATA[ ]]></addr-line>
</aff>
<pub-date pub-type="pub">
<day>00</day>
<month>00</month>
<year>2019</year>
</pub-date>
<pub-date pub-type="epub">
<day>00</day>
<month>00</month>
<year>2019</year>
</pub-date>
<volume>19</volume>
<numero>2</numero>
<fpage>59</fpage>
<lpage>74</lpage>
<copyright-statement/>
<copyright-year/>
<self-uri xlink:href="http://www.scielo.org.bo/scielo.php?script=sci_arttext&amp;pid=S2518-44312019000200004&amp;lng=en&amp;nrm=iso"></self-uri><self-uri xlink:href="http://www.scielo.org.bo/scielo.php?script=sci_abstract&amp;pid=S2518-44312019000200004&amp;lng=en&amp;nrm=iso"></self-uri><self-uri xlink:href="http://www.scielo.org.bo/scielo.php?script=sci_pdf&amp;pid=S2518-44312019000200004&amp;lng=en&amp;nrm=iso"></self-uri><abstract abstract-type="short" xml:lang="es"><p><![CDATA[Se realiza el análisis de factores determinantes en la probabilidad de reciclar en la ciudad de La Paz mediante información de la Encuesta de Hogares del Gobierno Autónomo Municipal de La Paz 2016. El estudio identifica las variables socioeconómicas que tienen mayor efecto en la probabilidad de reciclar a través de un modelo Probit. Así mismo, se evalúa el impacto de la implementación de los puntos verdes de recolección de material de reciclaje en la ciudad, como estrategia de política pública ambiental a través de la estimación de la distancia como vínculo del programa y la decisión de reciclar, comprobando los efectos de política mediante estimaciones econométricas de matching, estimadores de interacciones de variables y modelos semiparamétricos.]]></p></abstract>
<abstract abstract-type="short" xml:lang="en"><p><![CDATA[The analysis of determinants in the probability of recycling in the city of La Paz through information from the Household Survey of the Autonomous Municipal Government of La Paz 2016, the study identifies the socioeconomic variables that have the greatest effect on the probability of recycling through a Probit model. Likewise, the impact of the implementation of the green points of collection of recycling material in the city is evaluated as a public environmental policy strategy through the estimation of distance as a link of the program and the decision to recycle, checking the effects of policy by means of econometric estimations of matching, estimators of interactions of variables and semiparametric models.]]></p></abstract>
<kwd-group>
<kwd lng="es"><![CDATA[Reciclaje]]></kwd>
<kwd lng="es"><![CDATA[Política Pública]]></kwd>
<kwd lng="es"><![CDATA[Evaluación de Impacto]]></kwd>
<kwd lng="en"><![CDATA[Recycling]]></kwd>
<kwd lng="en"><![CDATA[Public Policy]]></kwd>
<kwd lng="en"><![CDATA[Impact Evaluation]]></kwd>
</kwd-group>
</article-meta>
</front><body><![CDATA[ <p><font color="#800000" size="2" face="Verdana, Arial, Helvetica, sans-serif"><b>DOI:</b> 10.23881/idupbo.019.2-4e</font></p>     <p align=right><font size="2" face="Verdana, Arial, Helvetica, sans-serif"><b>ART&Iacute;CULOS - ECONOM&Iacute;A Y EMPRESA</b></font></p>     <p align=center><font size="2" face="Verdana, Arial, Helvetica, sans-serif"><b>&nbsp;</b></font></p>     <p align=center><font size="4" face="Verdana, Arial, Helvetica, sans-serif"><b>DETERMINANTES SOCIOECONÓMICOS DEL RECICLAJE EN LA PAZ, BOLIVIA: UN ANÁLISIS DE POLÍTICA PÚBLICA</b></font></p>      <p align=center><font size="2" face="Verdana, Arial, Helvetica, sans-serif"><b>&nbsp;</b></font></p>      <p align=center><font size="3" face="Verdana, Arial, Helvetica, sans-serif"><b>SOCIOECONOMIC DETERMINANTS OF RECYCLING IN LA PAZ, BOLIVIA: A PUBLIC POLICY ANALYSIS</b></font></p>     <p align=center>&nbsp;</p>     <p align=center><font size="2" face="Verdana, Arial, Helvetica, sans-serif"><b>&nbsp;</b></font></p>     <p align=center><font size="2" face="Verdana, Arial, Helvetica, sans-serif"><b>María del Pilar Osorio Borrero</b></font></p>      <p align=center><font size="2" face="Verdana, Arial, Helvetica, sans-serif"><i>Programa Doctoral en Economía y Administración</i></font>    ]]></body>
<body><![CDATA[<br> <font size="2" face="Verdana, Arial, Helvetica, sans-serif"><i>Universidad Privada Boliviana</i></font>    <br> <font size="2" face="Verdana, Arial, Helvetica, sans-serif"><a href="mailto:pilarosorio@lp.upb.edu">pilarosorio@lp.upb.edu</a></font></p>      <p align=center><font size="2" face="Verdana, Arial, Helvetica, sans-serif">(Recibido el 30 junio 2019, aceptado para publicación el 15 noviembre 2019)</font></p>     <p align=center>&nbsp;</p>     <p align=center><font size="2" face="Verdana, Arial, Helvetica, sans-serif"><b>&nbsp;</b></font></p> <hr noshade>     <p align="justify"><font size="2" face="Verdana, Arial, Helvetica, sans-serif"><b>RESUMEN&nbsp;</b></font></p>      <p align="justify"><font size="2" face="Verdana, Arial, Helvetica, sans-serif">Se realiza el análisis de factores determinantes en la probabilidad de reciclar en la ciudad de La Paz mediante información de la Encuesta de Hogares del Gobierno Autónomo Municipal de La Paz 2016. El estudio identifica las variables socioeconómicas que tienen mayor efecto en la probabilidad de reciclar a través de un modelo Probit.  Así mismo, se evalúa el impacto de la implementación de los puntos verdes de recolección de material de reciclaje en la ciudad, como estrategia de política pública ambiental a través de la estimación de la distancia como vínculo del programa y la decisión de reciclar, comprobando los efectos de política mediante estimaciones econométricas de matching, estimadores de interacciones de variables y modelos semiparamétricos.</font></p>      <p align="justify"><font size="2" face="Verdana, Arial, Helvetica, sans-serif"><b>Palabras Clave: </b>Reciclaje, Política Pública, Evaluación de Impacto.</font></p>  <hr align="JUSTIFY" noshade>     <p align="justify"><font size="2" face="Verdana, Arial, Helvetica, sans-serif"><b>ABSTRACT</b></font></p>      <p align="justify"><font size="2" face="Verdana, Arial, Helvetica, sans-serif">The analysis of determinants in the probability of recycling in the city of La Paz through information from the Household Survey of the Autonomous Municipal Government of La Paz 2016, the study identifies the socioeconomic variables that have the greatest effect on the probability of recycling through a Probit model. Likewise, the impact of the implementation of the green points of collection of recycling material in the city is evaluated as a public environmental policy strategy through the estimation of distance as a link of the program and the decision to recycle, checking the effects of policy by means of econometric estimations of matching, estimators of interactions of variables and semiparametric models.</font></p>      ]]></body>
<body><![CDATA[<p align="justify"><font size="2" face="Verdana, Arial, Helvetica, sans-serif"><b>Keywords: </b>Recycling, Public Policy, Impact Evaluation.</font></p>  <hr align="JUSTIFY" noshade>     <p align="justify"><font size="2" face="Verdana, Arial, Helvetica, sans-serif"><b>&nbsp;</b></font></p>     <p align="justify">&nbsp;</p>     <p align="justify"><font size="3" face="Verdana, Arial, Helvetica, sans-serif"><b>1.&nbsp;&nbsp;&nbsp;&nbsp;INTRODUCCIÓN</b></font></p>      <p align="justify"><font size="2" face="Verdana, Arial, Helvetica, sans-serif">Las economías de los países han basado su desarrollo económico en el crecimiento industrial y urbano mediante la extracción de recursos con residuos contaminantes que aceleran la degradación y el uso insostenible del medio ambiente. [1]</font></p>      <p align="justify"><font size="2" face="Verdana, Arial, Helvetica, sans-serif">Los gobiernos implementan programas de mejoramiento de los procesos de producción, consumo y manejo de los residuos para evitar los grandes impactos al medio ambiente, a través de la reutilización y el reciclaje de materiales, disminuyendo la generación de residuos y generando un mayor aprovechamiento de recursos. [1]</font></p>      <p align="justify"><font size="2" face="Verdana, Arial, Helvetica, sans-serif">El reciclaje es una alternativa para resolver la problemática de manejo de residuos sólidos y se ha identificado en algunos países de Latinoamérica mediante procesos informales y programas exitosos de agrupación de los sectores que cubren el servicio de reciclaje en altos porcentajes, esto es evidenciado principalmente en algunas ciudades de Brasil y Colombia. [2]</font></p>      <p align="justify"><font size="2" face="Verdana, Arial, Helvetica, sans-serif">En Bolivia, la base de política para acciones de reciclaje es el Reglamento de Gestión Ambiental de Residuos Sólidos, el cual norma, regula y determina cómo realizar la disposición final; con aplicación directa de las administraciones públicas, mediante acciones que cumplan con el aprovechamiento de residuos sólidos para reutilización y su clasificación. [3].</font></p>      <p align="justify"><font size="2" face="Verdana, Arial, Helvetica, sans-serif">El Gobierno Autónomo Municipal de La Paz (GAMLP) como administrador público, realiza actividades encaminadas a proveer soluciones a los problemas ambientales que son definidos en el eje 1 del Plan Integral La Paz 2040, “La Paz sustentable y ecoeficiente” que busca el equilibrio social, cultural, económico, político y ecoambiental de la ciudad, cumpliendo con la reducción del impacto ambiental y mejorando los procesos de utilización de recursos naturales,  mediante actividades de promoción de gestión ambiental con separación, recolección diferenciada y reciclaje de residuos sólidos metropolitanos. [4].</font></p>      <p align="justify"><font size="2" face="Verdana, Arial, Helvetica, sans-serif">El Gobierno Autónomo Municipal de La Paz (GAMLP) inició en el año 2014, un programa de gestión integrada que incluía las fases de reducción de residuos, segregación en la fuente y el reaprovechamiento de los residuos, donde los habitantes de la ciudad debían ser los colaboradores directos en la etapa de segregación mediante el acceso a puntos verdes ubicados en diversos lugares de la ciudad, iniciando con 20 puntos verdes móviles en los macro distritos urbanos de la ciudad que con el tiempo se consolidaron en 9 puntos verdes fijos, a fin de acopiar materiales tales como papel, plástico, cartón y vidrio, los que finalmente serían trasladados al plan complementario de plantas de tratamiento y realización de nuevos productos, entre ellos la plastimadera con alcance directo a unidades educativas de la ciudad.</font></p>      ]]></body>
<body><![CDATA[<p align="justify"><font size="2" face="Verdana, Arial, Helvetica, sans-serif">Los puntos verdes establecidos en el año 2016, ubicados en: Monumento Busch, Huallparrimachi, Estadio Bolívar, Plaza Abaroa, Fuente del Prado, Plaza Humboldt, Cruce de Villas, Iglesia San Miguel y Achumani; a partir del año 2018 se instalaron nuevos contenedores en 28 puntos de la ciudad para la recolección de plásticos, papeles y cartón además de 4 islas verdes en las que se depositan metales y vidrios.</font></p>      <p align="justify"><font size="2" face="Verdana, Arial, Helvetica, sans-serif">A través de información socioeconómica el principal aporte del documento es la identificación empírica de los principales determinantes del reciclaje y la aproximación a la teoría del comportamiento prosocial o proambiental, que describa los probables motivos de los individuos para contribuir en bienes ambientales, los determinantes del compromiso de los habitantes de La Paz en las acciones de reciclaje.  Finalmente se evalúa el impacto final que ha tenido el programa de ubicación de puntos verdes de recolección de material de reciclaje desde el hogar.</font></p>      <p align="justify"><font size="2" face="Verdana, Arial, Helvetica, sans-serif">Los resultados obtenidos proveen información para el planteamiento de herramientas dirigidas hacia una mayor contribución voluntaria a los bienes públicos o comunes, específicamente en el aporte al reciclaje de la ciudad, identificando las motivaciones de índole altruistas o egoístas o la presencia de satisfacción moral [5], para que a partir de allí, se definan líneas de acción que promuevan las mejoras en la calidad del medio ambiente de la ciudad, esto, sustentado en el comportamiento racional de los individuos sujetos de conflicto de búsqueda de bienestar individual o colectivo [6].</font></p>      <p align="justify">&nbsp;</p>      <p align="justify"><font size="3" face="Verdana, Arial, Helvetica, sans-serif"><b>2.&nbsp;&nbsp;&nbsp;&nbsp; LITERATURA RELACIONADA</b></font></p>      <p align="justify"><font size="2" face="Verdana, Arial, Helvetica, sans-serif">Los programas de reciclaje deben realizarse en concordancia con los instrumentos de política que restrinjan y controlen los residuos a partir de decisiones de la administración pública y se implementen modelos para la elección y evaluación del impacto, y su efectividad para la regulación de residuos y actividades de reciclaje [7]; </font></p>      <p align="justify"><font size="2" face="Verdana, Arial, Helvetica, sans-serif">El uso de alternativas de políticas a través de incentivos, el resultado o impacto en reciclaje se presenta en algunos casos con el establecimiento de tasas de basura y acera, su estimación puede mostrar efectos negativos en la generación de basura o un efectos positivos en el precio cruzado del reciclaje [8];[9].</font></p>      <p align="justify"><font size="2" face="Verdana, Arial, Helvetica, sans-serif">Modelos del comportamiento de los individuos usuarios de agua embotellada que al incorporar leyes de reciclaje se identifiquen con  características ambientalistas como, el pertenecer a un grupo ambiental y la influencia de la intervención pública en personas que aún no deciden reciclar o que tienen bajos ingresos [10].</font></p>      <p align="justify"><font size="2" face="Verdana, Arial, Helvetica, sans-serif">Estudio de factores para la determinación de una tasa de reciclaje y análisis del efecto de políticas utilizadas como, el precio pagado por la disposición de basuras, el gasto realizado en educación, la provisión de servicios en acera y la medición del efecto de variables como el ingreso y características demográficas, los componentes socioeconómicos y demográficos como determinantes de reciclaje y las políticas de manejo de residuos [11].</font></p>      <p align="justify"><font size="2" face="Verdana, Arial, Helvetica, sans-serif">Estimaciones logit y probit de participación ciudadana en acciones y programas de reciclaje a través de la relación de la distancia y el lugar del acopio y la actitud hacia iniciativas como la calidad del programa, medido con un modelo de utilidad por reciclar condicionado a información del programa, la actitud hacia este, las características socioeconómicas y el lugar de residencia [12].</font></p>      ]]></body>
<body><![CDATA[<p align="justify"><font size="2" face="Verdana, Arial, Helvetica, sans-serif">Una serie de estudios [13], [8], [9] y [7], que desarrollan alternativas para promover la actividad de reciclaje con pago de cuotas, programas de reciclaje en la acera e impuestos donde establecen funciones de demanda en función de las actividades de reciclaje, precios de disposición de residuos, políticas, ingresos y características demográficas con modelos probit y tobit, donde en algunos casos se encuentra evidencia de dumping ilegal al establecer este tipo de mecanismos.<a href="#_ftn1" name="_ftnref1" title=""><sup>[1]</sup></a></font></p>     <p align="justify"><font size="2" face="Verdana, Arial, Helvetica, sans-serif">Estudios de actitud hacia el medio ambiente, relacionando   variables demográficas y socioeconómicas a algunas conductas, asociando el   nivel de estudios como promotor de mayor consumo de productos ecológicos y   reciclaje [14]; la influencia de la edad en   participación de actividades ambientales [15]; la actitud de las mujeres hacia acciones de protección   ambiental [16],la preocupación de personas casadas por   la conservación [17]; y variables que de manera   conjunta contribuyan a la decisión de participar en actividades ambientales [18].</font></p>     <p align="justify"><font size="2" face="Verdana, Arial, Helvetica, sans-serif">Políticas que toman la información directa de los individuos en su intención de reciclaje y que aumentan la probabilidad para aplicar e influir en las preferencias de los individuos [19]. La identificación del comportamiento prosocial de los individuos y su motivación para generar un mayor esfuerzo ambiental [20], describiendo la conducta que motiva a generar transferencias voluntarias intergeneracionales mediante contribuciones como contrapartida a las deudas que generan el uso previo de un bien público.</font></p>      <p align="justify"><font size="2" face="Verdana, Arial, Helvetica, sans-serif">El reconocimiento de la motivación por el altruismo o el egoísmo [21]; y la identificación de las condiciones y reglas personales asociadas a la reputación del individuo y como su fuerza de voluntad puede motivar y encaminar la toma de decisiones, basándola en sus acciones pasadas  y su interacción social [22].</font></p>      <p align="justify"><font size="2" face="Verdana, Arial, Helvetica, sans-serif">Así mismo, la información de los beneficios ambientales o sociales como política que compara las alternativas entre sanciones o multas, aplicación de autoridad y recordatorios, determina efectos de tratamiento para cada una de las alternativas postuladas y se decide sobre la participación en un programa específico de reciclaje [23].</font></p>     <p align="justify">&nbsp;</p>     <p align="justify"><font size="3" face="Verdana, Arial, Helvetica, sans-serif"><b>3.&nbsp;&nbsp;&nbsp;&nbsp;MARCO TEÓRICO</b></font></p>      <p align="justify"><font size="2" face="Verdana, Arial, Helvetica, sans-serif">Las nuevas formas de producción conllevan a identificar costos del manejo y control de los residuos sólidos, donde los individuos deben involucrar actitudes de mayor respeto hacia el medio ambiente a partir de sus características socioeconómicas, compatibles con los valores humanos y el comportamiento social a través del cual se revelen sus preferencias hacia la conservación y mejoramiento de la calidad ambiental, de la mano con los incentivos económicos presentes en las decisiones individuales ambientales.</font></p>      <p align="justify"><font size="2" face="Verdana, Arial, Helvetica, sans-serif">El presente estudio considera la distancia y las variables socioeconómicas como factores que afectan la conducta del individuo y su efectiva participación en un programa,  lo que conlleva a identificar pautas para la existencia de una motivación personal, incentivos económicos [24], e incentivos personales hacia el cuidado del medio ambiente.</font></p>      <p align="justify"><font size="2" face="Verdana, Arial, Helvetica, sans-serif">El modelo se desarrolla con el reciclaje como una variable cualitativa, reflejo de una función de utilidad dependiente de un conjunto de variables de características socioeconómicas, obteniendo a través de un modelo probit, estimaciones econométricas, con las que se pretende identificar las intenciones de comportamiento proambiental, la orientación de los individuos y el apego a su entorno, originados por valores intrínsecos de los individuos y su compromiso con la sociedad.</font></p>      ]]></body>
<body><![CDATA[<p align="justify"><font size="2" face="Verdana, Arial, Helvetica, sans-serif">Considerando que los individuos se encuentran expuestos a un dilema de contribución voluntaria para al mejoramiento de un bien ambiental (la ciudad libre de contaminación y de residuos sólidos), se analiza si las respuestas de aporte al reciclaje son consecuencias específicas de los factores socioeconómicos y de las acciones altruistas o egoístas, y si se destinan recursos privados económicos a las actividades ambientales en pro de generar beneficios ambientales [20].</font></p>      <p align="justify">&nbsp;</p>      <p align="justify"><font size="3" face="Verdana, Arial, Helvetica, sans-serif"><b>4.&nbsp;&nbsp;&nbsp;&nbsp;METODOLOGÍA Y RESULTADOS</b></font><font size="2" face="Verdana, Arial, Helvetica, sans-serif"><b>&nbsp;</b></font></p>      <p align="justify"><font size="2" face="Verdana, Arial, Helvetica, sans-serif"><b>4.1 Datos y descripción de variables</b></font><font size="2" face="Verdana, Arial, Helvetica, sans-serif"><b>&nbsp;</b></font></p>      <p align="justify"><font size="2" face="Verdana, Arial, Helvetica, sans-serif">Los datos utilizados fueron tomados de la Encuesta de Hogares 2016 del Gobierno Autónomo Municipal de La Paz (GAMLP) Secretaría Municipal de Planificación para el Desarrollo, que cuenta con información socioeconómica, demográfica y de percepción tomada de individuos residentes en la ciudad de La Paz, la acción directa de reciclar de los individuos encuestados, así como información proxy de conciencia ambiental de los individuos a través de participación en otros programas de índole ambiental tales como la plantación de árboles.  </font></p>      <p align="justify"><font size="2" face="Verdana, Arial, Helvetica, sans-serif">Las variables utilizadas son la diferenciación de residuos sólidos o reciclaje (recicl), el ingreso percápita en bolivianos del hogar por mes (yhogpc), los años de escolaridad del jefe de hogar (escolaridad1), la edad del jefe de hogar (edad), el estado civil del jefe de hogar como variable dicotómica donde 1 si tiene pareja y 0 otro caso (est_civ), el género del jefe de hogar donde, variable dicotómica 1 si es mujer y 0 otro caso (genero), la participación en otro programa ambiental de la alcaldía  variable dicotómica donde toma el valor de 1 si ha participado 0 en otro caso, un índice de riqueza material del hogar (índice) y finalmente la distancia del hogar al punto verde más cercano.</font></p>      <p align="justify"><font size="2" face="Verdana, Arial, Helvetica, sans-serif">La base de datos cuenta con una muestra de 3254 hogares, en ella se identifica que, el 35,7% son hogares donde se confirma la acción de diferenciación de residuos o reciclaje y el restante de la muestra no asumen esta acción.  Paralelamente, se identifica una submuestra de 1650 hogares, que incluye la variable plantacion1 y un índice socioeconómico de riqueza donde el 24% respondieron a la consulta de haber participado en programas de plantación de árboles de la alcaldía. La muestra principal se identifica para las estimaciones de lo que se denominará el modelo 1 y la submuestra a las estimaciones del modelo 2.</font></p>      <p align="justify"><font size="2" face="Verdana, Arial, Helvetica, sans-serif">En la <a href="#t1">Tabla 1</a> se identifica datos de ingreso medio en los hogares de La Paz de 1832 bolivianos, la edad promedio de los jefes de hogar en la ciudad es de 53 años y los años de escolaridad promedio en los jefes de hogar es de 14 años que corresponde máximo, a la conclusión de los estudios de bachillerato o secundaria.</font></p>      <p align=center><a name="t1"></a><img src="/img/revistas/riyd/v19n2/a04_tabla_01.gif" width="581" height="282"></p>     <p align=justify><font size="2" face="Verdana, Arial, Helvetica, sans-serif">Respecto a la correlación de variables   independientes de acuerdo a la matriz de correlación, el mayor nivel de   correlación encontrado se da entre las variables ingreso y escolaridad con un   valor de 0.44 lo que no genera efectos para la estimación del modelo.</font><font size="2" face="Verdana, Arial, Helvetica, sans-serif"><b>&nbsp;</b></font></p>     ]]></body>
<body><![CDATA[<p align="justify"><font size="2" face="Verdana, Arial, Helvetica, sans-serif"><b>4.2 Métodos econométricos y resultados</b></font><font size="2" face="Verdana, Arial, Helvetica, sans-serif"><b>&nbsp;</b></font></p>      <p align="justify"><font size="2" face="Verdana, Arial, Helvetica, sans-serif"><b>4.2.1 Modelo econométrico Probit</b></font></p>      <p align="justify"><font size="2" face="Verdana, Arial, Helvetica, sans-serif">La regresión se realiza a partir de un modelo de elección binaria Probit que, incluye factores determinantes en la decisión y probabilidad de reciclar en los hogares de la ciudad de La Paz.</font></p>      <p align="justify"><font size="2" face="Verdana, Arial, Helvetica, sans-serif">El análisis probit con una distribución para modelar la relación <img width=28 height=17 src="/img/revistas/riyd/v19n2/a04_image001.png" align="absmiddle"> donde la variable Z es una función lineal de las variables que determinan la probabilidad [25]:</font></p>      <p align="center"><img src="/img/revistas/riyd/v19n2/a04_ecuacion_01.gif" width="714" height="28"></p>     <p align="justify"><font size="2" face="Verdana, Arial, Helvetica, sans-serif">Y la probabilidad de ocurrencia del evento para los   valores de Z:</font></p>     <p align="center"><img src="/img/revistas/riyd/v19n2/a04_ecuacion_02.gif" width="709" height="28"></p>      <p align=justify><font size="2" face="Verdana, Arial, Helvetica, sans-serif">Los efectos marginales obtenidos se derivan de:</font></p>      <p align="center"><img src="/img/revistas/riyd/v19n2/a04_ecuacion_03.gif" width="712" height="34"></p>      <p align="justify"><font size="2" face="Verdana, Arial, Helvetica, sans-serif">donde la variable dependiente reciclaje: a través de la separación y diferenciación de basura en el hogar: No recicla = 0, Recicla = 1</font></p>      ]]></body>
<body><![CDATA[<p align="justify"><font size="2" face="Verdana, Arial, Helvetica, sans-serif">Inicialmente, se incluyen los Macro distritos que conforman la ciudad de La Paz en estimaciones obtenidas para el modelo 1 y modelo 2 con la variable categórica de macrodistritos tomando como referencia el macrodistrito 1-Cotahuma, identifica a los macrodistritos 2-Max Paredes, 6-Mallasa y 7-Centro como los que, ante la probabilidad de reciclar en Cotahuma asumen esa probabilidad de reciclar, <a href="#t2">Tabla 2</a> (columna 1 y 2).  En la segunda etapa se realiza la estimación sin la inclusión de los macrodistritos, <a href="#t2">Tabla 2</a> (columna 3 y 4).</font></p>      <p align="justify"><font size="2" face="Verdana, Arial, Helvetica, sans-serif">La relevancia medida por el valor P de la <i>chi</i>-cuadrado igual a 0; la hipótesis nula de los parámetros iguales a 0 se rechazan concluyendo que al menos un coeficiente es distinto a cero.</font></p>      <p align="justify"><font size="2" face="Verdana, Arial, Helvetica, sans-serif">La función de máxima verosimilitud para ambos modelos es alta (Modelo 1 = -951.78481 y Modelo 2 = -2010.8327), estadísticamente significativas con un Pseudo R de Mc Fadden con valores de 0.0656 y 0.0232, respectivamente, para los modelos 1 y 2.  </font></p>      <p align="justify"><font size="2" face="Verdana, Arial, Helvetica, sans-serif">Las variables de mayor significancia en las estimaciones realizadas son: escolaridad1, est_civ, género, yhogpc y plantación1, columna (4), <a href="#t2">Tabla 2</a>, lo que evidenciaría que, la conducta de reciclaje explicada en la probabilidad a reciclar está determinada por factores tales como, mayor número de años de escolaridad, estar casado, ser mujer, mayores niveles de ingreso y pertenecer a programas ambientales realizados por la Alcaldía.</font></p>      <p align=center><a name="t2"></a><img src="/img/revistas/riyd/v19n2/a04_tabla_02.gif" width="500" height="832"></p>     <p align=justify><font size="2" face="Verdana, Arial, Helvetica, sans-serif"><b>4.2.2 Análisis de efectos marginales en   el modelo probit</b></font></p>     <p align="justify"><font size="2" face="Verdana, Arial, Helvetica, sans-serif">En la <a href="#t3">Tabla 3</a> de efectos marginales de las variables independientes sobre la variable dependiente (reciclaje), se identifica el efecto de cada una de éstas sobre la probabilidad de reciclar. Las variables con mayor efecto para el caso del modelo 1 son Estado civil (casado=1), género (mujer=1) y la variable años de escolaridad que implica que, a mayor número de años de escolaridad mayor es la probabilidad de reciclar.  En el modelo 2 es mayor el efecto en las mismas variables anteriormente mencionadas y de igual forma las variables plantacion1 e índice presentan un mayor efecto en la probabilidad de reciclar.  </font></p>      <p align="justify"><font size="2" face="Verdana, Arial, Helvetica, sans-serif">La variable dmin representa la distancia desde el hogar a los puntos verdes del programa de la alcaldía, sin mayor efecto y con diferencia en el signo en los dos modelos alternativos, que, al incluir la participación en un programa ambiental adicional (plantacion1) y el índice de riqueza de los individuos (índice), se demuestra un efecto positivo, lo que indicaría que al ser incluidas, el efecto de la distancia afecta de manera positiva la probabilidad a reciclar.</font></p>      <p align=center><a name="t3"></a><img src="/img/revistas/riyd/v19n2/a04_tabla_03.gif" width="534" height="528"></p>        <p align="justify"><font size="2" face="Verdana, Arial, Helvetica, sans-serif"><b>4.2.3&nbsp;&nbsp;&nbsp;&nbsp;&nbsp;Estimación de efectos de interacción del modelo probit en modelos no lineales</b></font></p>      ]]></body>
<body><![CDATA[<p align="justify"><font size="2" face="Verdana, Arial, Helvetica, sans-serif">La alternativa para corroborar los determinantes del reciclaje en los habitantes de La Paz es la estimación de interacciones, con la inferencia de los efectos que se obtienen en una variable independiente a una variable dependiente en la magnitud de otra variable independiente. [26].</font></p>      <p align="justify"><font size="2" face="Verdana, Arial, Helvetica, sans-serif">En modelos no lineales y específicamente en el caso de un modelo probit, se expresa el valor esperado de variable dependiente condicionado de las variables independientes así:</font></p>      <p align=center><img src="/img/revistas/riyd/v19n2/a04_ecuacion_07.gif" width="715" height="44"></p>      <p align="justify"><font size="2" face="Verdana, Arial, Helvetica, sans-serif">El valor <img src="/img/revistas/riyd/v19n2/image009.png" width="11" height="11" align="baseline"> es la distribución estándar normal acumulada donde <img src="/img/revistas/riyd/v19n2/a04_image007.png" width=11 height=17 align="absmiddle">es el índice de  <img width=171 height=17 src="/img/revistas/riyd/v19n2/a04_image008.png" align="absmiddle"> donde las variables independientes son continuas. El efecto marginal de esta interacción es:</font></p>      <p align="center"><img src="/img/revistas/riyd/v19n2/a04_ecuacion_08.gif" width="711" height="30"></p>      <p align="justify"><font size="2" face="Verdana, Arial, Helvetica, sans-serif">El efecto total en la interacción se identifica a través de la derivada parcial del valor esperado de y,</font></p>      <p align="center"><img src="/img/revistas/riyd/v19n2/a04_ecuacion_09.gif" width="709" height="36"></p>      <p align="justify"><font size="2" face="Verdana, Arial, Helvetica, sans-serif">En los modelos no lineales el estadístico <i>t</i> de la interacción entre las variables independientes no puede ser testeado, pero, el cálculo de la significancia de la derivada cruzada completa es realizado. Así mismo, se indica que el signo del coeficiente <img width=18 height=17 src="/img/revistas/riyd/v19n2/a04_image011.png" align="absmiddle"> no es indicador del comportamiento del efecto de la interacción. [27].</font></p>      <p align="justify"><font size="2" face="Verdana, Arial, Helvetica, sans-serif">Las interacciones miden la magnitud del efecto de diversas variables de control independientes a través de la variable dmin, la distancia existente para cada uno de los individuos hasta los puntos de reciclaje, para así determinar si existe el efecto de estas interacciones en la probabilidad de reciclar (variable dependiente).</font></p>      <p align="justify"><font size="2" face="Verdana, Arial, Helvetica, sans-serif">Las variables interactuadas con distancia son ingreso, escolaridad y edad, las interacciones son incluidas en el modelo 1 y modelo 2, con variables de observaciones calculadas en sus medias.</font></p>      ]]></body>
<body><![CDATA[<p align="justify"><font size="2" face="Verdana, Arial, Helvetica, sans-serif">La escolaridad en interacción con distancia es la única relación significativa y el efecto en la media implica que las personas que están a la menor distancia de ubicación a los puntos de reciclaje y que a su vez tienen mayor número de años de escolaridad son aquellos que tienen mayor probabilidad de tomar la decisión de reciclar.</font></p>      <p align="justify"><font size="2" face="Verdana, Arial, Helvetica, sans-serif">Se verifica con los efectos marginales tomados de todas las observaciones en su promedio cruzado de estas, sus errores estándar son calculados en la media de las variables independientes [27] estimando los errores estándar a través del método delta<a href="#_ftn2" name="_ftnref2" title=""><sup>[2]</sup></a> [28].</font></p>      <p align="justify"><font size="2" face="Verdana, Arial, Helvetica, sans-serif">Los efectos marginales de la variable años de escolaridad calculados en el modelo 1 y modelo 2, identifican un efecto marginal en esta variable de 0.03 y 0.02 respectivamente.</font></p>      <p align="justify"><font size="2" face="Verdana, Arial, Helvetica, sans-serif">La interacción de la variable escolaridad y distancia, como modelo no lineal, en el primer modelo el z estadístico es de -2.08 y el efecto de la interacción en la media es negativo (-2.51e-06) con una gran variación, el efecto para todas las observaciones es negativo, (<a href="#f1">Figuras 1</a> y <a href="#f2">2</a>). La significancia del efecto de interacción se encuentra distribuida entre las probabilidades 0.2 y 0.5.</font></p>     <p align="center"><b><font size="2" face="Verdana, Arial, Helvetica, sans-serif"><a name="f1"></a><img src="/img/revistas/riyd/v19n2/a04_figura_01.gif" width="462" height="378"></font></b></p>     <p align="center">&nbsp;</p>     <p align="center"><b><font size="2" face="Verdana, Arial, Helvetica, sans-serif"><a name="f3"></a><img src="/img/revistas/riyd/v19n2/a04_figura_02.gif" width="480" height="333"></font></b></p>     <p align="justify"><font size="2" face="Verdana, Arial, Helvetica, sans-serif">El segundo modelo obtiene un z estadístico de -0.55 y el efecto de la interacción en la media es negativo (-8.51e-07) con un efecto negativo para todas las variables. (<a href="#f3">Figuras 3</a> y <a href="#f4">4</a>).  Los valores de mayor significancia de los efectos de la interacción se encuentran distribuidos en la probabilidad predicha entre 0.1 y 0.6.</font></p>     <p align="center"><a name="f3"></a><img src="/img/revistas/riyd/v19n2/a04_figura_03.gif" width="440" height="329"></p>     <p align="center">&nbsp;</p>     ]]></body>
<body><![CDATA[<p align="center"><a name="f4"></a><img src="/img/revistas/riyd/v19n2/a04_figura_04.gif" width="481" height="329"></p>     <p align="justify"><font size="2" face="Verdana, Arial, Helvetica, sans-serif">Las interacciones de variables independientes evidencian que al interactuar la variable escolaridad con la variable distancia, los efectos en su media, implican que las personas con mayor número de años de escolaridad y menor distancia a los puntos de reciclaje son aquellos que toman la decisión de reciclar.</font></p>      <p align="justify"><font size="2" face="Verdana, Arial, Helvetica, sans-serif">Los efectos de las interacciones de otras variables tienen efectos positivos, resultados no esperados inicialmente pero que confirman que las personas con mayores ingresos y así mismo, las personas con mayor edad evidencian mayor probabilidad de reciclar en una mayor distancia de sus hogares a los puntos de reciclaje.</font></p>      <p align="justify"><font size="2" face="Verdana, Arial, Helvetica, sans-serif"><b>4.2.4&nbsp;&nbsp;&nbsp;&nbsp;&nbsp;Estimación del modelo semi no paramétrico (SNP)</b></font><font size="2" face="Verdana, Arial, Helvetica, sans-serif"><b>&nbsp;</b></font></p>      <p align="justify"><font size="2" face="Verdana, Arial, Helvetica, sans-serif">Se identifican variables observables significativas que impactan el modelo de estimación binaria en un modelo semi no paramétrico SNP, discutido por diversos autores [29], [30] y [31].</font></p>      <p align="justify"><font size="2" face="Verdana, Arial, Helvetica, sans-serif">En modelos de elección discreta estimados en máxima verosimilitud los estimadores serán consistentes si son especificados correctamente, de no ser así, los modelos alternativos o semiparamétricos provienen de la aproximación de distribuciones desconocidas y desarrolladas a través de expansiones polinomiales [32], al comparar con los efectos marginales del modelo estimado por máxima verosimilitud probit, los resultados similares determinan robustez en la identificación del modelo original y explicación, en este caso,  de los factores determinantes a la probabilidad de reciclar.</font></p>      <p align="justify"><font size="2" face="Verdana, Arial, Helvetica, sans-serif">La estimación paramétrica de elección discreta a través de SNP con grados expansión de un polinomio R=4, obtiene estimadores los efectos marginales para ser comparados con las estimaciones probit iniciales en los modelos 1 y 2.</font></p>      <p align="justify"><font size="2" face="Verdana, Arial, Helvetica, sans-serif">Los efectos marginales de variables independientes de los modelos sobre la variable dependiente determinan el efecto de estas sobre la probabilidad de reciclar de los individuos, en modelo 1, las variables que más influyen en esta probabilidad son: est_civ, género y escolaridad, coincidiendo el signo negativo en la variable dmin; en el modelo 2, las variables que más influyen son: plantacion1, genero, est_civ y escolaridad coincidiendo el signo negativo para la variable índice (<a href="#t4">Tablas 4</a> y <a href="#t5">5</a>).</font></p>      <p align="center"><a name="t4"></a><img src="/img/revistas/riyd/v19n2/a04_tabla_04.gif" width="505" height="470"></p>     <p align="center">&nbsp;</p>     ]]></body>
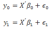
<body><![CDATA[<p align="center"><a name="t5"></a><img src="/img/revistas/riyd/v19n2/a04_tabla_05.gif" width="506" height="551"></p>     <p align="justify"><font size="2" face="Verdana, Arial, Helvetica, sans-serif"><b>4.2.5&nbsp;&nbsp;&nbsp;&nbsp;&nbsp;Metodología de <i>Propensity Score Matching</i> (PSM)</b></font><font size="2" face="Verdana, Arial, Helvetica, sans-serif"><b>&nbsp;</b></font></p>      <p align="justify"><font size="2" face="Verdana, Arial, Helvetica, sans-serif">La segunda etapa de estudio aplica la metodología de Propensity Score Matching, que estima y verifica la respuesta o impacto de los individuos, bajo la alternativa de ser participantes o no en un programa o en el tratamiento, considerando el programa como aquella actividad derivada de objetivos de política pública, en este caso la implementación y acceso a los puntos verdes de la ciudad de La Paz.</font></p>      <p align="justify"><font size="2" face="Verdana, Arial, Helvetica, sans-serif">La metodología de <i>Propensity Score Matching</i> encuentra estimadores coincidentes a través de la combinación de las covariables en las probabilidades de tratamiento, estimadas como puntajes de la propensión de las variables observables, bajo el supuesto que todas afectan una asignación en la propensión o el tratamiento correspondiente, incluyéndolas todas en el modelo [33]. </font></p>      <p align="justify"><font size="2" face="Verdana, Arial, Helvetica, sans-serif">El estimador obtenido es el de emparejamiento o PSM, a través de diferentes modelos de probabilidad que son basados en métodos estándar.<a href="#_ftn3" name="_ftnref3" title=""><sup>[3]</sup></a> Los estimadores obtenidos a través del comando nnmatch se aplica a las covariables multidimensionales que combinadas ayudan a disminuir sesgos, aunque con mayor varianza [34]. </font></p>      <p align="justify"><font size="2" face="Verdana, Arial, Helvetica, sans-serif">Los estimadores pueden ser medidos como el efecto promedio de un tratamiento específico en la población conocida como ATE o el efecto promedio del tratamiento en quienes reciben el tratamiento conocido como ATET, donde t es el tratamiento aleatorio y recibido.</font></p>      <p align="center"><img src="/img/revistas/riyd/v19n2/a04_ecuacion_09_01.gif" width="174" height="60"></p>      <p align="justify"><font size="2" face="Verdana, Arial, Helvetica, sans-serif">El modelo de producto potencial es descrito a través de la variable observada como <img width=10 height=17 src="/img/revistas/riyd/v19n2/a04_image018.png" align="absmiddle"> donde se representa <img width=13 height=17 src="/img/revistas/riyd/v19n2/a04_image019.png" align="absmiddle"> cuando <img width=30 height=17 src="/img/revistas/riyd/v19n2/a04_image020.png" align="absmiddle"> y <img width=13 height=17 src="/img/revistas/riyd/v19n2/a04_image021.png" align="absmiddle"> cuando <img width=30 height=17 src="/img/revistas/riyd/v19n2/a04_image022.png" align="absmiddle"> </font></p>     <p align="center"><img src="/img/revistas/riyd/v19n2/a04_ecuacion_09_02.gif" width="134" height="26"></p>     <p align="justify"><font size="2" face="Verdana, Arial, Helvetica, sans-serif">La forma funcional de <img width=13 height=17 src="/img/revistas/riyd/v19n2/a04_image019.png" align="absmiddle"> y de <img width=11 height=17 src="/img/revistas/riyd/v19n2/a04_image024.png" align="absmiddle"> es</font></p>      ]]></body>
<body><![CDATA[<p align="center"><img src="/img/revistas/riyd/v19n2/a04_ecuacion_09_03.gif" width="104" height="60"></p>      <p align="justify"><font size="2" face="Verdana, Arial, Helvetica, sans-serif">Los supuestos necesarios son los de la independencia condicional que con variables observables hace que el sesgo sea cero y la superposición asegura que los individuos pueden recibir un tratamiento con distribución idéntica e independiente. [35]</font></p>      <p align="justify"><font size="2" face="Verdana, Arial, Helvetica, sans-serif">El método puede ser utilizado en este caso por ser un estudio con una sola observación en el tiempo existiendo observaciones de grupo de tratamiento y grupo de control. [33], se identifica la pertenencia o acceso a programa a través de la distancia a los puntos verdes, donde, se define que aquellos individuos con el 5% inferior de distribución de las distancias de cada hogar a cada uno de los puntos verdes de reciclaje corresponden al grupo de tratamiento, el resto pertenecen al grupo de control.  En la muestra, el 32,64% corresponden al grupo tratado y el 67,36% al grupo de control (<a href="#f5">Figura 5</a>), el resultado se obtiene por la estimación del efecto promedio del tratamiento y al tratado con datos de observación por coincidencia del vecino más cercano en las muestras de los modelos identificados<a href="#_ftn4" name="_ftnref4" title=""><sup>[4]</sup></a>.</font></p>      <p align="center"><a name="f5"></a><img src="/img/revistas/riyd/v19n2/a04_figura_05.gif" width="533" height="445"><font size="2" face="Verdana, Arial, Helvetica, sans-serif"><b>&nbsp;</b></font></p>      <p align="justify"><font size="2" face="Verdana, Arial, Helvetica, sans-serif"><b>4.2.5.1 Estimadores de efectos</b></font></p>      <p align="justify"><font size="2" face="Verdana, Arial, Helvetica, sans-serif">La estimación de efectos se refleja en los estimadores RA, IPW, AIPW, IPWRA o PSM, para una comprobación paralela de resultados de los modelos planteados en este estudio.</font></p>      <p align="justify"><font size="2" face="Verdana, Arial, Helvetica, sans-serif"><b>4.2.5.1.1 Estimadores RA</b></font><font size="2" face="Verdana, Arial, Helvetica, sans-serif">Uso de las medias del producto predicho para cada nivel de tratamiento, generando un estimador venerable sin <i>missing</i> values y de manera bien predicha es el método altamente robusto.</font></p>      <p align="justify"><font size="2" face="Verdana, Arial, Helvetica, sans-serif"><b>4.2.5.1.2 Estimadores IPW</b></font></p>     <p align="justify"><font size="2" face="Verdana, Arial, Helvetica, sans-serif">Estima la ponderación de la probabilidad inversa de estar en los grupos de tratamiento observados. Las probabilidades se obtienen a través del modelo del tratamiento observado en función de las características de los sujetos que determinan el grupo de tratamiento.</font></p>     <p align="justify"><font size="2" face="Verdana, Arial, Helvetica, sans-serif"><b>4.2.5.1.3 Estimadores IPWRA</b></font></p>      ]]></body>
<body><![CDATA[<p align="justify"><font size="2" face="Verdana, Arial, Helvetica, sans-serif">Estimadores con combinación de los métodos anteriores y que al igual que el IPW combina modelos para el nivel de producto y de tratamiento, utiliza la ponderación de la probabilidad inversa para corregir los datos no encontrados o <i>missing values</i>.</font></p>      <p align="justify"><font size="2" face="Verdana, Arial, Helvetica, sans-serif"><b>4.2.5.1.4 Estimadores AIPW</b></font></p>      <p align="justify"><font size="2" face="Verdana, Arial, Helvetica, sans-serif">Estimadores de doble robustez que incluye aumentos en el término donde es posible corregir el estimador cuando está mal especificado. </font><font size="2" face="Verdana, Arial, Helvetica, sans-serif"><b>&nbsp;</b></font></p>      <p align="justify"><font size="2" face="Verdana, Arial, Helvetica, sans-serif"><b>4.2.5.1.5 Estimadores nnmatching (vecino más cercano)</b></font><font size="2" face="Verdana, Arial, Helvetica, sans-serif"><b>&nbsp;</b></font></p>      <p align="justify"><font size="2" face="Verdana, Arial, Helvetica, sans-serif">Usan el promedio de los resultados de los individuos más cercanos para aplicar el resultado potencial de cada muestra individual donde la diferencia entre lo observado y lo aplicado es un estimado del efecto del tratamiento a nivel individual.  La cercanía usa una función de ponderación de las covariables de cada observación<a href="#_ftn5" name="_ftnref5" title=""><sup>[5]</sup></a>.</font></p>      <p align="justify"><font size="2" face="Verdana, Arial, Helvetica, sans-serif"><b>4.2.5.1.6 Estimadores Propensity Score Matching</b></font></p>     <p align="justify"><font size="2" face="Verdana, Arial, Helvetica, sans-serif">Incluye todas las covariables en sus probabilidades de tratamiento estimado a través de ponderaciones de propensión usando una sola covariable como la de coincidencia. </font></p>     <p align="justify"><font size="2" face="Verdana, Arial, Helvetica, sans-serif"><b>4.2.5.1.7 Estimación Matching</b></font></p>     <p align="justify"><font size="2" face="Verdana, Arial, Helvetica, sans-serif">El uso de cinco metodologías encontrando efectos a través de cada una de las correcciones, que especificadas correctamente obtienen resultados consistentes asumiendo los supuestos del modelo, los resultados de todos los estimadores son similares como se demuestra a continuación.</font></p>     <p align="justify"><font size="2" face="Verdana, Arial, Helvetica, sans-serif"><b>4.2.5.2 Supuesto de superposición</b></font></p>      ]]></body>
<body><![CDATA[<p align="justify"><font size="2" face="Verdana, Arial, Helvetica, sans-serif">Se realiza la prueba para indicar que no existe evidencia o violación del supuesto de superposición, el cual se viola cuando se observa que las observaciones de control, como de tratamiento, tengan la misma probabilidad en el mismo individuo, el supuesto requiere ser cumplido para los estimadores de los efectos implementados, de no ser así, no puede darse explicación a aquello que no es observado.</font></p>      <p align="justify"><font size="2" face="Verdana, Arial, Helvetica, sans-serif">En las <a href="#f6">Figuras 6</a> y <a href="#f7">7</a> se refleja la densidad estimada de las probabilidades predichas que un individuo que no recicla efectivamente, no recicle y la densidad estimada de las probabilidades predichas que un individuo que recicla efectivamente, no recicle.  En ninguna gráfica se evidencia demasiada probabilidad de masa cerca de 0 o 1, y las dos densidades estimadas tienen la mayoría de sus masas respectivas en regiones en las que se superponen entre sí.  Así que, no hay evidencia que el supuesto de superposición es violado.</font></p>      <p align="center"><a name="f6"></a><img src="/img/revistas/riyd/v19n2/a04_figura_06.gif" width="404" height="330"></p>     <p align="center">&nbsp;</p>     <p align="center"><a name="f7"></a><img src="/img/revistas/riyd/v19n2/a04_figura_07.gif" width="405" height="331"></p>     <p align="justify"><font size="2" face="Verdana, Arial, Helvetica, sans-serif"><b>4.2.5.3 Estimaciones</b></font><font size="2" face="Verdana, Arial, Helvetica, sans-serif"><b>&nbsp;</b></font></p>      <p align="justify"><font size="2" face="Verdana, Arial, Helvetica, sans-serif">Las estimaciones realizadas para comprobar el efecto de los grupos de tratamiento y control a través de las diferentes metodologías se presentan en las <a href="#t6">Tablas 6</a> y <a href="#t7">7</a> descritas para los dos modelos del estudio, evidenciando que en ninguna de las metodologías de los efectos de tratamiento hay significancia de la estimación del efecto de la distancia entre grupo de tratamiento y grupo de control.</font></p>      <p align=center><a name="t6"></a><img src="/img/revistas/riyd/v19n2/a04_tabla_06.gif" width="652" height="210"></p>     <p align=center>&nbsp;</p>     <p align=center><a name="t7"></a><img src="/img/revistas/riyd/v19n2/a04_tabla_07.gif" width="650" height="207"></p>     ]]></body>
<body><![CDATA[<p align=justify><font size="2" face="Verdana, Arial, Helvetica, sans-serif">Los resultados estimados a través del nnmatch para la   población como para el grupo tratado, se trabajaron con las opciones biasadj, corrigiendo   el sesgo de la muestra usando variables especificadas; el ivariance que estima una   medida a través de la diagonal de la inversa en la muestra de las covarianzas   de las covariables; y el euclidean como medida en la identidad.</font></p>     <p align="justify"><font size="2" face="Verdana, Arial, Helvetica, sans-serif">A través de la estimación de la probabilidad de participación en el programa (reciclaje) con las muestras identificadas en tratamiento y control, se predicen las probabilidades de participación de los individuos, donde se determina que los efectos del impacto de la distancia ante la probabilidad de reciclar no son estadísticamente significativos para ninguno de los estimadores.</font></p>     <p align="center"><font size="2" face="Verdana, Arial, Helvetica, sans-serif"><a name="t8"></a><img src="/img/revistas/riyd/v19n2/a04_tabla_08.gif" width="580" height="204"></font></p>     <p align="center">&nbsp;</p>     <p align="center"><font size="2" face="Verdana, Arial, Helvetica, sans-serif"><a name="t9"></a><img src="/img/revistas/riyd/v19n2/a04_tabla_09.gif" width="586" height="206"></font></p>     <p align="justify"><font size="2" face="Verdana, Arial, Helvetica, sans-serif">Los resultados presentados en las <a href="#t8">Tablas 8</a> y <a href="#t9">9</a>, evidencian que la variable distancia observada, no representa una variable de impacto en la decisión de reciclaje de los individuos de la muestra, efecto que previamente había sido evidenciado mediante los efectos marginales del modelo probit y se indica que son otras las variables que impactan en mayor manera en la decisión final de reciclar.</font></p>      <p align="justify">&nbsp;</p>      <p align="justify"><font size="3" face="Verdana, Arial, Helvetica, sans-serif"><b>5.&nbsp;&nbsp;&nbsp;&nbsp; CONCLUSIONES</b></font></p>      <p align="justify"><font size="2" face="Verdana, Arial, Helvetica, sans-serif">El estudio concluye que, las principales variables identificadas como factores determinantes de la decisión de reciclar en la ciudad de La Paz son: el estado civil, género, años de escolaridad, la participación en programas alternativos ambientales y de manera negativa el índice de riqueza de los individuos. La variable ingreso pese a tener un efecto positivo, no es de gran impacto. La variable distancia a través de la cual se evaluaría el impacto del programa de implementación de puntos verdes para el reciclaje o diferenciación de residuos de la fuente, no representa efecto positivo en la probabilidad de reciclar y no tiene significancia como determinante en las observaciones de individuos tratados en los programas de reciclaje o quienes tienen acceso más fácil al programa (cercanía a puntos verdes).</font></p>      <p align="justify"><font size="2" face="Verdana, Arial, Helvetica, sans-serif">La variable escolaridad al interactuar con la variable distancia, presenta una relación negativa y significativa, que explica el hecho que los individuos que poseen mayor nivel de escolaridad y se encuentran a una menor distancia de los puntos verdes presentan un mayor efecto en la probabilidad de reciclar, pero estas variables de manera independiente no determinan la actividad de reciclaje en la ciudad de La Paz.</font></p>      ]]></body>
<body><![CDATA[<p align="justify"><font size="2" face="Verdana, Arial, Helvetica, sans-serif">Los resultados pueden ser derivados de las diferencias de los individuos en la preocupación por el medio ambiente y que sus valores no representan un comportamiento de protección y conservación,  al no existir el compromiso con el reciclaje como un aporte o contribución al medio ambiente, no se involucran acciones desde lo privado para la producción o aporte de un bien público, no es posible precisar si estas conductas parten desde un comportamiento egoísta por parte de los habitantes de la ciudad, pero probablemente si la falta de compromiso y ausencia de reglas personales desincentiven las contribuciones desde el presente pensando en las próximas generaciones. Al no existir una cultura de protección del medio ambiente y el no reconocimiento social de estos actos, la conducta de autorregulación no es aún visible.</font></p>      <p align="justify"><font size="2" face="Verdana, Arial, Helvetica, sans-serif">Ante los resultados presentados se evidencia que los individuos que habitan la ciudad, no basan sus decisiones de reciclar motivados por la implementación de políticas como el acceso a puntos verdes de reciclaje; se debe plantear tener en cuenta lo que realmente representa para los individuos el valor del bien o servicio público (reciclaje), basados en los determinantes y sus características para poder replantear alternativas enfocadas a campañas de información, educación y políticas de incentivos económicos.</font></p>      <p align="justify"><font size="2" face="Verdana, Arial, Helvetica, sans-serif">La evidencia empírica apunta que hay fallas en la implementación de medidas directas aplicadas al mejoramiento del bien común medio ambiente, se propone realizar esfuerzos que motiven a concientizar hacia mayores esfuerzos de contribución social y un mayor comportamiento prosocial para mejorar las contribuciones individuales para otorgar mayores beneficios públicos bajo consideraciones de eficiencia y equidad.</font></p>      <p align="justify">&nbsp;</p>      <p align="justify"><font size="3" face="Verdana, Arial, Helvetica, sans-serif"><b>6.&nbsp;&nbsp;&nbsp;&nbsp;REFERENCIAS BIBLIOGRÁFICAS</b></font></p>      <p align="justify"><font size="2" face="Verdana, Arial, Helvetica, sans-serif">[1] M. Saiz Aja et al,&quot;La economía     circular,&quot; <i>Ambienta, </i>nº 117, p. 4, 2016. </font></p>         <p align="justify"><font size="2" face="Verdana, Arial, Helvetica, sans-serif">[2] M. Medina, &quot;Reciclaje de desechos     sólidos en América Latina,&quot; <i>Frontera Norte, </i>vol. 11, nº 21, pp.     24-26, 1999. </font></p>       <!-- ref --><p align="justify"><font size="2" face="Verdana, Arial, Helvetica, sans-serif">[3] Estado Plurinacional de Bolivia, <i>Ley     No. 755 Gesti&oacute;n Integral de Residuos, </i>La Paz, 2015. </font>&nbsp;&nbsp;&nbsp;&nbsp;&nbsp;&nbsp;&nbsp;&nbsp;[&#160;<a href="javascript:void(0);" onclick="javascript: window.open('/scielo.php?script=sci_nlinks&ref=973450&pid=S2518-4431201900020000400003&lng=','','width=640,height=500,resizable=yes,scrollbars=1,menubar=yes,');">Links</a>&#160;]<!-- end-ref --><!-- ref --><p align="justify"><font size="2" face="Verdana, Arial, Helvetica, sans-serif">[4] Gobierno Aut&oacute;nomo Municipal de La Paz,   &quot;Plan Integral La Paz 2004,&quot; Gobierno Aut&oacute;nomo Municipal de La Paz,     La Paz, 2015.</font>&nbsp;&nbsp;&nbsp;&nbsp;&nbsp;&nbsp;&nbsp;&nbsp;[&#160;<a href="javascript:void(0);" onclick="javascript: window.open('/scielo.php?script=sci_nlinks&ref=973451&pid=S2518-4431201900020000400004&lng=','','width=640,height=500,resizable=yes,scrollbars=1,menubar=yes,');">Links</a>&#160;]<!-- end-ref --><p align="justify"><font size="2" face="Verdana, Arial, Helvetica, sans-serif">5] L. A. Palacio y D. F. Parra, &quot;El     dilema de la contribución voluntaria a bienes públicos: una revisión de     trabajos experimentales,&quot; <i>Cuad. Econ, </i>vol. 33, nº 62, pp.     123-144, 2014. </font></p>       ]]></body>
<body><![CDATA[<p align="justify"><font size="2" face="Verdana, Arial, Helvetica, sans-serif">[6] A. Pérez, V. Rodríguez y F. Sotelo,   &quot;Altruismo vs. egoísmo, en la educación humanista,&quot; <i>CIFE 21, </i>vol.     14, nº 21, pp. 197-214, 2012. </font></p>       <p align="justify"><font size="2" face="Verdana, Arial, Helvetica, sans-serif">[7] T. C. Kinnaman y D. Fullerton,   &quot;The economics of residential solid waste mangement,&quot; <i>NBER     Working Paper Series, </i>nº 7326, 1999. </font></p>       <p align="justify"><font size="2" face="Verdana, Arial, Helvetica, sans-serif">[8] T.     C. Kinnaman y D. Fullerton, &quot;Garbage and recycling with endogenous local     policy,&quot; <i>Journal of Urban Economics, </i>vol. 48, pp. 419-442, 2000. </font></p>       <p align="justify"><font size="2" face="Verdana, Arial, Helvetica, sans-serif">[9] T. C. Kinnaman y D. Fullerton,   &quot;Garbage and recycling in communities with curbside recycling and unit     based pricing,&quot; <i>NBER Working Paper Series, </i>nº 6021, 1997. </font></p>       <p align="justify"><font size="2" face="Verdana, Arial, Helvetica, sans-serif">[10] K. Viscusi, J. Huber, J. Bell y C. Cecot,   &quot;Discontinuous behavioral responses to recycling laws and plastic water     bottle deposits,&quot; <i>NBER Working Paper Series, </i>nº 15585, 2009. </font></p>       <p align="justify"><font size="2" face="Verdana, Arial, Helvetica, sans-serif">[11] S. Sidique, S. Joshi y F. Lupi,   &quot;Factors influencing the rate of recycling: an analysis of Minnesota     counties,&quot; <i>Resources, Conservation and Recycling, </i>vol. 54, nº 4,     pp. 242-249, 2010. </font></p>       <p align="justify"><font size="2" face="Verdana, Arial, Helvetica, sans-serif">[12] J. Franco y E. Huerta,   &quot;Determinantes de la participación ciudadana en programas de reciclaje     de residuos sólidos urbanos&quot; <i>Investigaciones Económicas, Universidad     Pública de Navarra España, </i>pp. 271-280, 1996. </font></p>       <p align="justify"><font size="2" face="Verdana, Arial, Helvetica, sans-serif">[13] T. C. Kinnaman y D. Fullerton,   &quot;How a fee per unit garbage affects aggregate recycling in a model with     heterogeneous households,&quot; <i>Natural Resources Management an Policy -       Public Economics and the Environmental in an Imperfect world, </i>vol. 8, pp.     135-159, 1994. </font></p>       <p align="justify"><font size="2" face="Verdana, Arial, Helvetica, sans-serif">[14] M. Zeidner y Schecter,   &quot;Psychological responses to air pollution: Some personality and     demographic correlates.  <i>Journal     of Environmental Psychology, </i>vol. 8, pp. 191-208, 1998. </font></p>       <p align="justify"><font size="2" face="Verdana, Arial, Helvetica, sans-serif">[15] F. H. Buttel y W. L. Flinn,   &quot;The Structure of support for the environmental movement,&quot; <i>Rural     Sociology, </i>vol. 39, nº 1, 1974. </font></p>       ]]></body>
<body><![CDATA[<p align="justify"><font size="2" face="Verdana, Arial, Helvetica, sans-serif">[16] T. Arcury, S. Scollay y T.     Johnson, &quot;Sex differences in environmental concern adn knowledge: The     case of acid rain,&quot; <i>A Journal of REsearch, </i>vol. 16, pp. 463-472,     1987. </font></p>       <p align="justify"><font size="2" face="Verdana, Arial, Helvetica, sans-serif">[17] K. Neuman, &quot;Personal     Values and Commitment to Energy Conservation,&quot; <i>Environment and     Behavior, </i>vol. 18, pp. 53-74, 1986. </font></p>       <p align="justify"><font size="2" face="Verdana, Arial, Helvetica, sans-serif">[18] E. Fraj Andrés, &quot;Las variables     demográficas y socioeconómicas como determinantes del comportamiento de     reciclaje. Su importancia sobre la gestión de residuos sólidos,&quot; <i>Revista     de Gestión Pública y Privada, </i>nº 8, pp. 103-117, 2003. </font></p>       <p align="justify"><font size="2" face="Verdana, Arial, Helvetica, sans-serif">[19] C. A. Romay Martínez, <i>TFG,     Desarrollo de un Modelo de Comportamiento Prosocial en la Segregación de     Residuos Sólidos de los Hogares, </i>La Paz, Bolivia. Trabajo final de grado,     Universidad Privada Boliviana, 2017. </font></p>       <p align="justify"><font size="2" face="Verdana, Arial, Helvetica, sans-serif">[20] R. Weaver, &quot;Prosocial     Behavior: Private Contributions to Agriculture's Impact on the     Environment,&quot; <i>Land Economics, </i>vol. 72, nº 2, pp. 231-247, 1996. </font></p>       <p align="justify"><font size="2" face="Verdana, Arial, Helvetica, sans-serif">[21] J. Andreoni, &quot;Giving with     impure altruism: Applications to Charity and Ricardian Equivalence,&quot; <i>The     Journal of Political Economy, </i>vol. 97, nº 6, pp. 1447-1458, 1989. </font></p>       <p align="justify"><font size="2" face="Verdana, Arial, Helvetica, sans-serif">[22] R. Bénabou y T. Jean,   &quot;Willpower and Personal Rules,&quot; <i>Journal of Political Economy, </i>vol.     102, nº 4, 2004. </font></p>       <p align="justify"><font size="2" face="Verdana, Arial, Helvetica, sans-serif">[23] A. Chong, J. Shapiro, J. Zinman     y D. Karlan, &quot;(Ineffective) Messages to encourage recycling, evidence     from a randomized evaluation in Peru,&quot; <i>The World Bank Economic     Review, </i>vol. 29, nº 1, pp. 180-206, 2013. </font></p>       <p align="justify"><font size="2" face="Verdana, Arial, Helvetica, sans-serif">[24] E. Geller y J. Chaffee,   &quot;Promoting paper recycling on a university campus,&quot; <i>Journal of     Environmental Systems, </i>nº 5, pp. 39-57, 1975. </font></p>       <!-- ref --><p align="justify"><font size="2" face="Verdana, Arial, Helvetica, sans-serif">[25] C. Dougherty, Introduction to     econometrics, <i>OUP Catalogue</i>, 2016. </font>&nbsp;&nbsp;&nbsp;&nbsp;&nbsp;&nbsp;&nbsp;&nbsp;[&#160;<a href="javascript:void(0);" onclick="javascript: window.open('/scielo.php?script=sci_nlinks&ref=973472&pid=S2518-4431201900020000400025&lng=','','width=640,height=500,resizable=yes,scrollbars=1,menubar=yes,');">Links</a>&#160;]<!-- end-ref --><p align="justify"><font size="2" face="Verdana, Arial, Helvetica, sans-serif">[26] E. Norton, &quot;Computing     interaction effects and standard errors in logit and probit moels,&quot; <i>The     Stata Journal, </i>pp. 154-167, 2004. </font></p>       <p align="justify"><font size="2" face="Verdana, Arial, Helvetica, sans-serif">[27] P. Karaca Mandic, E. Norton y     B. Dowd, &quot;Interaction terms in nonlinear models,&quot; <i>Health     Services Research, </i>vol. 47, nº 1, pp. 255-274, 2003. </font></p>       <p align="justify"><font size="2" face="Verdana, Arial, Helvetica, sans-serif">[28] W. Greene, Econometric     Analysis, Boston: Prentice Hall, pp. 803-805, 2012.</font></p>       <p align="justify"><font size="2" face="Verdana, Arial, Helvetica, sans-serif">[29] C. Manski, &quot;Maximun score     estimation of the stochastic utility model of choice&quot;, <i>Journal of     Econometrics, </i>pp. 205-228, 1974. </font></p>       <p align="justify"><font size="2" face="Verdana, Arial, Helvetica, sans-serif">[30] S. Cosslett, &quot;Distribution     free maximun likelihood estimator of binary choice models&quot;, <i>Econometrica,     </i>nº 51, pp. 765-782, 1983. </font></p>       <p align="justify"><font size="2" face="Verdana, Arial, Helvetica, sans-serif">[31] J. Horowitz, &quot;A smoothed     maximum score stimator for the binary responde model&quot;, <i>Econometrica, </i>nº   60, pp. 505-531, 1992. </font></p>       <p align="justify"><font size="2" face="Verdana, Arial, Helvetica, sans-serif">[32] D. L. Giuseppe, &quot;SNP and     SML estimation of univariate and bivariate binary choice models,&quot; <i>The     stata Journal, </i>vol. 8, nº 1, pp. 190-220, 2008. </font></p>       <p align="justify"><font size="2" face="Verdana, Arial, Helvetica, sans-serif">[33] R. Bernal y X. Peña, Guía práctica     para la evaluación de impacto, Bogotá: Ediciones Uniandes, 2011. </font></p>       <p align="justify"><font size="2" face="Verdana, Arial, Helvetica, sans-serif">[34] A. Abadie, J. Leber, G. Imbens     y D. Drukker, &quot;Implementing matching estimators for average treatment     effects in Stata&quot;, <i>The Stata Journal, </i>vol. 4, nº 3, pp. 290-311,     2004. </font></p>       <!-- ref --><p align="justify"><font size="2" face="Verdana, Arial, Helvetica, sans-serif">[35] StataCorp LLC, <i>Stata treatment-effects     reference manual: Potential outcomes/counterfactual outcomes,</i>Texas, 2017.  </font>&nbsp;&nbsp;&nbsp;&nbsp;&nbsp;&nbsp;&nbsp;&nbsp;[&#160;<a href="javascript:void(0);" onclick="javascript: window.open('/scielo.php?script=sci_nlinks&ref=973482&pid=S2518-4431201900020000400035&lng=','','width=640,height=500,resizable=yes,scrollbars=1,menubar=yes,');">Links</a>&#160;]<!-- end-ref --><p align="justify"><font size="2" face="Verdana, Arial, Helvetica, sans-serif"><a href="#_ftnref1" name="_ftn1" title="">[1]</a> El dumping ilegal no se evidencia en población con mayores niveles de educación [8].</font></p>        <p align="justify"><font size="2" face="Verdana, Arial, Helvetica, sans-serif"><a href="#_ftnref2" name="_ftn2" title="">[2]</a> El método delta para la explicación y estimación de los errores estándares de estimadores de funciones no lineales a través de las derivadas parciales y varianzas asintóticas de una distribución asintótica que aproxima a la verdadera distribución muestral de la variable aleatoria [28].</font></p>        <p align="justify"><font size="2" face="Verdana, Arial, Helvetica, sans-serif"><a href="#_ftnref3" name="_ftn3" title="">[3]</a> El estimador PSM parametriza el término de corrección de sesgo en la probabilidad de tratamiento del modelo [35].</font></p>        <p align="justify"><font size="2" face="Verdana, Arial, Helvetica, sans-serif"><a href="#_ftnref4" name="_ftn4" title="">[4]</a> En el modelo de tratamiento de matching por vecino más cercano se especifica el modelo no paramétrico por tener una forma funcional explícita en la población ni para el grupo de tratamiento, con coincidencia en las covariables por categorías de las características o atributos de la población.  Por esta circunstancia, el estimador del modelo necesita gran cantidad de datos para obtener un valor real generándose un sesgo que dentro de esta metodología es corregido a través del uso del teffects psmatch, el cual coincide con una única covariable continua [35].</font></p>        <p align="justify"><font size="2" face="Verdana, Arial, Helvetica, sans-serif"><a href="#_ftnref5" name="_ftn5" title="">[5]</a> Los estimadores nnmatching son no paramétricos por no tener una forma funcional explícita en sus resultados, converge a un verdadero valor de manera más lenta que un modelo paramétrico, el estimador usa una corrección sesgada para corregir esta situación [35].</font></p>     <p align="justify">&nbsp;</p>      ]]></body><back>
<ref-list>
<ref id="B1">
<label>1</label><nlm-citation citation-type="journal">
<person-group person-group-type="author">
<name>
<surname><![CDATA[Saiz Aja]]></surname>
<given-names><![CDATA[M.]]></given-names>
</name>
</person-group>
<article-title xml:lang="es"><![CDATA[La economía circular]]></article-title>
<source><![CDATA[Ambienta]]></source>
<year>2016</year>
<numero>117</numero>
<issue>117</issue>
<page-range>4</page-range></nlm-citation>
</ref>
<ref id="B2">
<label>2</label><nlm-citation citation-type="journal">
<person-group person-group-type="author">
<name>
<surname><![CDATA[Medina]]></surname>
<given-names><![CDATA[M.]]></given-names>
</name>
</person-group>
<article-title xml:lang="es"><![CDATA[Reciclaje de desechos sólidos en América Latina]]></article-title>
<source><![CDATA[Frontera Norte]]></source>
<year>1999</year>
<volume>11</volume>
<numero>21</numero>
<issue>21</issue>
<page-range>24-26</page-range></nlm-citation>
</ref>
<ref id="B3">
<label>3</label><nlm-citation citation-type="">
<collab>Estado Plurinacional de Bolivia</collab>
<source><![CDATA[Ley No. 755 Gestión Integral de Residuos]]></source>
<year>2015</year>
<publisher-loc><![CDATA[La Paz ]]></publisher-loc>
</nlm-citation>
</ref>
<ref id="B4">
<label>4</label><nlm-citation citation-type="book">
<collab>Gobierno Autónomo Municipal de La Paz</collab>
<source><![CDATA[Plan Integral La Paz 2004]]></source>
<year>2015</year>
<publisher-loc><![CDATA[La Paz ]]></publisher-loc>
<publisher-name><![CDATA[Gobierno Autónomo Municipal de La Paz]]></publisher-name>
</nlm-citation>
</ref>
<ref id="B5">
<label>5</label><nlm-citation citation-type="journal">
<person-group person-group-type="author">
<name>
<surname><![CDATA[Palacio]]></surname>
<given-names><![CDATA[L.A.]]></given-names>
</name>
<name>
<surname><![CDATA[Parra]]></surname>
<given-names><![CDATA[D.F.]]></given-names>
</name>
</person-group>
<article-title xml:lang="es"><![CDATA[El dilema de la contribución voluntaria a bienes públicos: una revisión de trabajos experimentales]]></article-title>
<source><![CDATA[Cuad. Econ]]></source>
<year>2014</year>
<volume>33</volume>
<numero>62</numero>
<issue>62</issue>
<page-range>123-144</page-range></nlm-citation>
</ref>
<ref id="B6">
<label>6</label><nlm-citation citation-type="journal">
<person-group person-group-type="author">
<name>
<surname><![CDATA[Pérez]]></surname>
<given-names><![CDATA[A.]]></given-names>
</name>
<name>
<surname><![CDATA[Rodríguez]]></surname>
<given-names><![CDATA[V.]]></given-names>
</name>
<name>
<surname><![CDATA[Sotelo]]></surname>
<given-names><![CDATA[F.]]></given-names>
</name>
</person-group>
<article-title xml:lang="es"><![CDATA[Altruismo vs. egoísmo, en la educación humanista]]></article-title>
<source><![CDATA[CIFE]]></source>
<year>2012</year>
<volume>14</volume>
<numero>21</numero>
<issue>21</issue>
<page-range>197-214</page-range></nlm-citation>
</ref>
<ref id="B7">
<label>7</label><nlm-citation citation-type="journal">
<person-group person-group-type="author">
<name>
<surname><![CDATA[Kinnaman]]></surname>
<given-names><![CDATA[T.C.]]></given-names>
</name>
<name>
<surname><![CDATA[Fullerton]]></surname>
<given-names><![CDATA[D.]]></given-names>
</name>
</person-group>
<article-title xml:lang="en"><![CDATA[The economics of residential solid waste management]]></article-title>
<source><![CDATA[NBER Working Paper Series]]></source>
<year>1999</year>
<numero>7326</numero>
<issue>7326</issue>
</nlm-citation>
</ref>
<ref id="B8">
<label>8</label><nlm-citation citation-type="journal">
<person-group person-group-type="author">
<name>
<surname><![CDATA[Kinnaman]]></surname>
<given-names><![CDATA[T.C.]]></given-names>
</name>
<name>
<surname><![CDATA[Fullerton]]></surname>
<given-names><![CDATA[D.]]></given-names>
</name>
</person-group>
<article-title xml:lang="en"><![CDATA[Garbage and recycling with endogenous local policy]]></article-title>
<source><![CDATA[Journal of Urban Economics]]></source>
<year>2000</year>
<volume>48</volume>
<page-range>419-442</page-range></nlm-citation>
</ref>
<ref id="B9">
<label>9</label><nlm-citation citation-type="journal">
<person-group person-group-type="author">
<name>
<surname><![CDATA[Kinnaman]]></surname>
<given-names><![CDATA[T.C.]]></given-names>
</name>
<name>
<surname><![CDATA[Fullerton]]></surname>
<given-names><![CDATA[D.]]></given-names>
</name>
</person-group>
<article-title xml:lang="en"><![CDATA[Garbage and recycling in communities with curbside recycling and unit based pricing]]></article-title>
<source><![CDATA[NBER Working Paper Series]]></source>
<year>1997</year>
<numero>6021</numero>
<issue>6021</issue>
</nlm-citation>
</ref>
<ref id="B10">
<label>10</label><nlm-citation citation-type="journal">
<person-group person-group-type="author">
<name>
<surname><![CDATA[Viscusi]]></surname>
<given-names><![CDATA[K.]]></given-names>
</name>
<name>
<surname><![CDATA[Huber]]></surname>
<given-names><![CDATA[J.]]></given-names>
</name>
<name>
<surname><![CDATA[Bell]]></surname>
<given-names><![CDATA[J.]]></given-names>
</name>
<name>
<surname><![CDATA[Cecot]]></surname>
<given-names><![CDATA[C.]]></given-names>
</name>
</person-group>
<article-title xml:lang="en"><![CDATA[Discontinuous behavioral responses to recycling laws and plastic water bottle deposits]]></article-title>
<source><![CDATA[NBER Working Paper Series]]></source>
<year>2009</year>
<numero>15585</numero>
<issue>15585</issue>
</nlm-citation>
</ref>
<ref id="B11">
<label>11</label><nlm-citation citation-type="journal">
<person-group person-group-type="author">
<name>
<surname><![CDATA[Sidique]]></surname>
<given-names><![CDATA[S.]]></given-names>
</name>
<name>
<surname><![CDATA[Joshi]]></surname>
<given-names><![CDATA[S.]]></given-names>
</name>
<name>
<surname><![CDATA[Lupi]]></surname>
<given-names><![CDATA[F.]]></given-names>
</name>
</person-group>
<article-title xml:lang="en"><![CDATA[Factors influencing the rate of recycling: an analysis of Minnesota counties]]></article-title>
<source><![CDATA[Resources, Conservation and Recycling]]></source>
<year>2010</year>
<volume>54</volume>
<numero>4</numero>
<issue>4</issue>
<page-range>242-249</page-range></nlm-citation>
</ref>
<ref id="B12">
<label>12</label><nlm-citation citation-type="book">
<person-group person-group-type="author">
<name>
<surname><![CDATA[Franco]]></surname>
<given-names><![CDATA[J.]]></given-names>
</name>
<name>
<surname><![CDATA[Huerta]]></surname>
<given-names><![CDATA[E.]]></given-names>
</name>
</person-group>
<source><![CDATA[Determinantes de la participación ciudadana en programas de reciclaje de residuos sólidos urbanos]]></source>
<year>1996</year>
<page-range>271-280</page-range><publisher-name><![CDATA[Investigaciones Económicas, Universidad Pública de Navarra España]]></publisher-name>
</nlm-citation>
</ref>
<ref id="B13">
<label>13</label><nlm-citation citation-type="journal">
<person-group person-group-type="author">
<name>
<surname><![CDATA[Kinnaman]]></surname>
<given-names><![CDATA[T.C.]]></given-names>
</name>
<name>
<surname><![CDATA[Fullerton]]></surname>
<given-names><![CDATA[D.]]></given-names>
</name>
</person-group>
<article-title xml:lang="en"><![CDATA[How a fee per unit garbage affects aggregate recycling in a model with heterogeneous households]]></article-title>
<source><![CDATA[Natural Resources Management an Policy - Public Economics and the Environmental in an Imperfect world]]></source>
<year>1994</year>
<volume>8</volume>
<page-range>135-159</page-range></nlm-citation>
</ref>
<ref id="B14">
<label>14</label><nlm-citation citation-type="journal">
<person-group person-group-type="author">
<name>
<surname><![CDATA[Zeidner]]></surname>
<given-names><![CDATA[M.]]></given-names>
</name>
<name>
<surname><![CDATA[Schecter]]></surname>
<given-names><![CDATA[M.]]></given-names>
</name>
</person-group>
<article-title xml:lang="en"><![CDATA[Psychological responses to air pollution: Some personality and demographic correlates]]></article-title>
<source><![CDATA[Journal of Environmental Psychology]]></source>
<year>1998</year>
<volume>8</volume>
<page-range>191-208</page-range></nlm-citation>
</ref>
<ref id="B15">
<label>15</label><nlm-citation citation-type="journal">
<person-group person-group-type="author">
<name>
<surname><![CDATA[Buttel]]></surname>
<given-names><![CDATA[F.H.]]></given-names>
</name>
<name>
<surname><![CDATA[Flinn]]></surname>
<given-names><![CDATA[W.L.]]></given-names>
</name>
</person-group>
<article-title xml:lang="en"><![CDATA[The Structure of support for the environmental movement]]></article-title>
<source><![CDATA[Rural Sociology]]></source>
<year>1974</year>
<volume>39</volume>
<numero>1</numero>
<issue>1</issue>
</nlm-citation>
</ref>
<ref id="B16">
<label>16</label><nlm-citation citation-type="journal">
<person-group person-group-type="author">
<name>
<surname><![CDATA[Arcury]]></surname>
<given-names><![CDATA[T.]]></given-names>
</name>
<name>
<surname><![CDATA[Scollay]]></surname>
<given-names><![CDATA[S.]]></given-names>
</name>
<name>
<surname><![CDATA[Johnson]]></surname>
<given-names><![CDATA[T.]]></given-names>
</name>
</person-group>
<article-title xml:lang="en"><![CDATA[Sex differences in environmental concern adn knowledge: The case of acid rain]]></article-title>
<source><![CDATA[A Journal of Research]]></source>
<year>1987</year>
<volume>16</volume>
<page-range>463-472</page-range></nlm-citation>
</ref>
<ref id="B17">
<label>17</label><nlm-citation citation-type="journal">
<person-group person-group-type="author">
<name>
<surname><![CDATA[Neuman]]></surname>
<given-names><![CDATA[K.]]></given-names>
</name>
</person-group>
<article-title xml:lang="en"><![CDATA[Personal Values and Commitment to Energy Conservation]]></article-title>
<source><![CDATA[Environment and Behavior]]></source>
<year>1986</year>
<volume>18</volume>
<page-range>53-74</page-range></nlm-citation>
</ref>
<ref id="B18">
<label>18</label><nlm-citation citation-type="journal">
<person-group person-group-type="author">
<name>
<surname><![CDATA[Fraj Andrés]]></surname>
<given-names><![CDATA[E.]]></given-names>
</name>
</person-group>
<article-title xml:lang="es"><![CDATA[Las variables demográficas y socioeconómicas como determinantes del comportamiento de reciclaje. Su importancia sobre la gestión de residuos sólidos]]></article-title>
<source><![CDATA[Revista de Gestión Pública y Privada]]></source>
<year>2003</year>
<numero>8</numero>
<issue>8</issue>
<page-range>103-117</page-range></nlm-citation>
</ref>
<ref id="B19">
<label>19</label><nlm-citation citation-type="">
<person-group person-group-type="author">
<name>
<surname><![CDATA[Romay Martínez]]></surname>
<given-names><![CDATA[C.A.]]></given-names>
</name>
</person-group>
<source><![CDATA[TFG, Desarrollo de un Modelo de Comportamiento Prosocial en la Segregación de Residuos Sólidos de los Hogares, La Paz, Bolivia]]></source>
<year>2017</year>
</nlm-citation>
</ref>
<ref id="B20">
<label>20</label><nlm-citation citation-type="journal">
<person-group person-group-type="author">
<name>
<surname><![CDATA[Weaver]]></surname>
<given-names><![CDATA[R.]]></given-names>
</name>
</person-group>
<article-title xml:lang="en"><![CDATA[Prosocial Behavior: Private Contributions to Agriculture’s Impact on the Environment]]></article-title>
<source><![CDATA[Land Economics]]></source>
<year>1996</year>
<volume>72</volume>
<numero>2</numero>
<issue>2</issue>
<page-range>231-247</page-range></nlm-citation>
</ref>
<ref id="B21">
<label>21</label><nlm-citation citation-type="journal">
<person-group person-group-type="author">
<name>
<surname><![CDATA[Andreoni]]></surname>
<given-names><![CDATA[J.]]></given-names>
</name>
</person-group>
<article-title xml:lang="en"><![CDATA[Giving with impure altruism: Applications to Charity and Ricardian Equivalence]]></article-title>
<source><![CDATA[The Journal of Political Economy]]></source>
<year>1989</year>
<volume>97</volume>
<numero>6</numero>
<issue>6</issue>
<page-range>1447-1458</page-range></nlm-citation>
</ref>
<ref id="B22">
<label>22</label><nlm-citation citation-type="journal">
<person-group person-group-type="author">
<name>
<surname><![CDATA[Bénabou]]></surname>
<given-names><![CDATA[R.]]></given-names>
</name>
<name>
<surname><![CDATA[Jean]]></surname>
<given-names><![CDATA[T.]]></given-names>
</name>
</person-group>
<article-title xml:lang="en"><![CDATA[Willpower and Personal Rules]]></article-title>
<source><![CDATA[Journal of Political Economy]]></source>
<year>2004</year>
<volume>102</volume>
<numero>4</numero>
<issue>4</issue>
</nlm-citation>
</ref>
<ref id="B23">
<label>23</label><nlm-citation citation-type="journal">
<person-group person-group-type="author">
<name>
<surname><![CDATA[Chong]]></surname>
<given-names><![CDATA[A.]]></given-names>
</name>
<name>
<surname><![CDATA[Shapiro]]></surname>
<given-names><![CDATA[J.]]></given-names>
</name>
<name>
<surname><![CDATA[Zinman]]></surname>
<given-names><![CDATA[J.]]></given-names>
</name>
<name>
<surname><![CDATA[Karlan]]></surname>
<given-names><![CDATA[D.]]></given-names>
</name>
</person-group>
<article-title xml:lang="en"><![CDATA[(Ineffective) Messages to encourage recycling, evidence from a randomized evaluation in Peru]]></article-title>
<source><![CDATA[The World Bank Economic Review]]></source>
<year>2013</year>
<volume>29</volume>
<numero>1</numero>
<issue>1</issue>
<page-range>180-206</page-range></nlm-citation>
</ref>
<ref id="B24">
<label>24</label><nlm-citation citation-type="journal">
<person-group person-group-type="author">
<name>
<surname><![CDATA[Geller]]></surname>
<given-names><![CDATA[E.]]></given-names>
</name>
<name>
<surname><![CDATA[Chaffee]]></surname>
<given-names><![CDATA[J.]]></given-names>
</name>
</person-group>
<article-title xml:lang="en"><![CDATA[Promoting paper recycling on a university campus]]></article-title>
<source><![CDATA[Journal of Environmental Systems]]></source>
<year>1975</year>
<numero>5</numero>
<issue>5</issue>
<page-range>39-57</page-range></nlm-citation>
</ref>
<ref id="B25">
<label>25</label><nlm-citation citation-type="book">
<person-group person-group-type="author">
<name>
<surname><![CDATA[Dougherty]]></surname>
<given-names><![CDATA[C.]]></given-names>
</name>
</person-group>
<source><![CDATA[Introduction to econometrics]]></source>
<year>2016</year>
<publisher-name><![CDATA[OUP Catalogue]]></publisher-name>
</nlm-citation>
</ref>
<ref id="B26">
<label>26</label><nlm-citation citation-type="journal">
<person-group person-group-type="author">
<name>
<surname><![CDATA[Norton]]></surname>
<given-names><![CDATA[E.]]></given-names>
</name>
</person-group>
<article-title xml:lang="en"><![CDATA[Computing interaction effects and standard errors in logit and probit moels]]></article-title>
<source><![CDATA[The Stata Journal]]></source>
<year>2004</year>
<page-range>154-167</page-range></nlm-citation>
</ref>
<ref id="B27">
<label>27</label><nlm-citation citation-type="journal">
<person-group person-group-type="author">
<name>
<surname><![CDATA[Karaca Mandic]]></surname>
<given-names><![CDATA[P.]]></given-names>
</name>
<name>
<surname><![CDATA[Norton]]></surname>
<given-names><![CDATA[E.]]></given-names>
</name>
<name>
<surname><![CDATA[Dowd]]></surname>
<given-names><![CDATA[B.]]></given-names>
</name>
</person-group>
<article-title xml:lang="en"><![CDATA[Interaction terms in nonlinear models]]></article-title>
<source><![CDATA[Health Services Research]]></source>
<year>2003</year>
<volume>47</volume>
<numero>1</numero>
<issue>1</issue>
<page-range>255-274</page-range></nlm-citation>
</ref>
<ref id="B28">
<label>28</label><nlm-citation citation-type="book">
<person-group person-group-type="author">
<name>
<surname><![CDATA[Greene]]></surname>
<given-names><![CDATA[W.]]></given-names>
</name>
</person-group>
<source><![CDATA[Econometric Analysis]]></source>
<year>2012</year>
<page-range>803-805</page-range><publisher-loc><![CDATA[Boston ]]></publisher-loc>
<publisher-name><![CDATA[Prentice Hall]]></publisher-name>
</nlm-citation>
</ref>
<ref id="B29">
<label>29</label><nlm-citation citation-type="journal">
<person-group person-group-type="author">
<name>
<surname><![CDATA[Manski]]></surname>
<given-names><![CDATA[C.]]></given-names>
</name>
</person-group>
<article-title xml:lang="en"><![CDATA[Maximun score estimation of the stochastic utility model of choice]]></article-title>
<source><![CDATA[Journal of Econometrics]]></source>
<year>1974</year>
<page-range>205-228</page-range></nlm-citation>
</ref>
<ref id="B30">
<label>30</label><nlm-citation citation-type="journal">
<person-group person-group-type="author">
<name>
<surname><![CDATA[Cosslett]]></surname>
<given-names><![CDATA[S.]]></given-names>
</name>
</person-group>
<article-title xml:lang="en"><![CDATA[Distribution free maximun likelihood estimator of binary choice models]]></article-title>
<source><![CDATA[Econometrica]]></source>
<year>1983</year>
<numero>51</numero>
<issue>51</issue>
<page-range>765-782</page-range></nlm-citation>
</ref>
<ref id="B31">
<label>31</label><nlm-citation citation-type="journal">
<person-group person-group-type="author">
<name>
<surname><![CDATA[Horowitz]]></surname>
<given-names><![CDATA[J.]]></given-names>
</name>
</person-group>
<article-title xml:lang="en"><![CDATA[A smoothed maximum score stimator for the binary responde model]]></article-title>
<source><![CDATA[Econometrica]]></source>
<year>1992</year>
<numero>60</numero>
<issue>60</issue>
<page-range>505-531</page-range></nlm-citation>
</ref>
<ref id="B32">
<label>32</label><nlm-citation citation-type="journal">
<person-group person-group-type="author">
<name>
<surname><![CDATA[Giuseppe]]></surname>
<given-names><![CDATA[D.L.]]></given-names>
</name>
</person-group>
<article-title xml:lang="en"><![CDATA[SNP and SML estimation of univariate and bivariate binary choice models]]></article-title>
<source><![CDATA[The stata Journal]]></source>
<year>2008</year>
<volume>8</volume>
<numero>1</numero>
<issue>1</issue>
<page-range>190-220</page-range></nlm-citation>
</ref>
<ref id="B33">
<label>33</label><nlm-citation citation-type="book">
<person-group person-group-type="author">
<name>
<surname><![CDATA[Bernal]]></surname>
<given-names><![CDATA[R.]]></given-names>
</name>
<name>
<surname><![CDATA[Peña]]></surname>
<given-names><![CDATA[X.]]></given-names>
</name>
</person-group>
<source><![CDATA[Guía práctica para la evaluación de impacto]]></source>
<year>2011</year>
<publisher-loc><![CDATA[Bogotá ]]></publisher-loc>
<publisher-name><![CDATA[Ediciones Uniandes]]></publisher-name>
</nlm-citation>
</ref>
<ref id="B34">
<label>34</label><nlm-citation citation-type="journal">
<person-group person-group-type="author">
<name>
<surname><![CDATA[Abadie]]></surname>
<given-names><![CDATA[A.]]></given-names>
</name>
<name>
<surname><![CDATA[Leber]]></surname>
<given-names><![CDATA[J.]]></given-names>
</name>
<name>
<surname><![CDATA[Imbens]]></surname>
<given-names><![CDATA[G.]]></given-names>
</name>
<name>
<surname><![CDATA[Drukker]]></surname>
<given-names><![CDATA[D.]]></given-names>
</name>
</person-group>
<article-title xml:lang="en"><![CDATA[Implementing matching estimators for average treatment effects in Stata]]></article-title>
<source><![CDATA[The Stata Journal]]></source>
<year>2004</year>
<volume>4</volume>
<numero>3</numero>
<issue>3</issue>
<page-range>290-311</page-range></nlm-citation>
</ref>
<ref id="B35">
<label>35</label><nlm-citation citation-type="">
<collab>StataCorp LLC</collab>
<source><![CDATA[Stata treatment-effects reference manual: Potential outcomes/counterfactual outcomes]]></source>
<year>2017</year>
<publisher-loc><![CDATA[Texas ]]></publisher-loc>
</nlm-citation>
</ref>
</ref-list>
</back>
</article>
