<?xml version="1.0" encoding="ISO-8859-1"?><article xmlns:mml="http://www.w3.org/1998/Math/MathML" xmlns:xlink="http://www.w3.org/1999/xlink" xmlns:xsi="http://www.w3.org/2001/XMLSchema-instance">
<front>
<journal-meta>
<journal-id>2518-4431</journal-id>
<journal-title><![CDATA[Investigación & Desarrollo]]></journal-title>
<abbrev-journal-title><![CDATA[Inv. y Des.]]></abbrev-journal-title>
<issn>2518-4431</issn>
<publisher>
<publisher-name><![CDATA[UNIVERSIDAD PRIVADA BOLIVIANA]]></publisher-name>
</publisher>
</journal-meta>
<article-meta>
<article-id>S2518-44312018000200006</article-id>
<title-group>
<article-title xml:lang="es"><![CDATA[MORTALIDAD DE LA NIÑEZ MENOR DE CINCO AÑOS EN BOLIVIA: ANÁLISIS DE SUPERVIVENCIA Y SUS FACTORES DE RIESGO ASOCIADOS ENDSA 2003, 2008 Y EDSA 2016]]></article-title>
<article-title xml:lang="en"><![CDATA[UNDER-FIVE MORTALITY IN BOLIVIA: SURVIVAL ANALYSIS AND RISK FACTORS FROM 2003, 2008 AND 2016 HEALTH AND DEMOGRAPHIC SURVEYS]]></article-title>
</title-group>
<contrib-group>
<contrib contrib-type="author">
<name>
<surname><![CDATA[Córdova Olivera]]></surname>
<given-names><![CDATA[Pamela]]></given-names>
</name>
<xref ref-type="aff" rid="A01"/>
</contrib>
<contrib contrib-type="author">
<name>
<surname><![CDATA[Román Eyzaguirre]]></surname>
<given-names><![CDATA[Soraya]]></given-names>
</name>
<xref ref-type="aff" rid="A01"/>
</contrib>
<contrib contrib-type="author">
<name>
<surname><![CDATA[Soria Galvarro Ferrufino]]></surname>
<given-names><![CDATA[Zarela]]></given-names>
</name>
<xref ref-type="aff" rid="A01"/>
</contrib>
</contrib-group>
<aff id="A01">
<institution><![CDATA[,Universidad Privada Boliviana Centro de Investigaciones Económicas y Empresariales (CIEE) ]]></institution>
<addr-line><![CDATA[ ]]></addr-line>
</aff>
<pub-date pub-type="pub">
<day>00</day>
<month>00</month>
<year>2018</year>
</pub-date>
<pub-date pub-type="epub">
<day>00</day>
<month>00</month>
<year>2018</year>
</pub-date>
<volume>18</volume>
<numero>2</numero>
<fpage>73</fpage>
<lpage>92</lpage>
<copyright-statement/>
<copyright-year/>
<self-uri xlink:href="http://www.scielo.org.bo/scielo.php?script=sci_arttext&amp;pid=S2518-44312018000200006&amp;lng=en&amp;nrm=iso"></self-uri><self-uri xlink:href="http://www.scielo.org.bo/scielo.php?script=sci_abstract&amp;pid=S2518-44312018000200006&amp;lng=en&amp;nrm=iso"></self-uri><self-uri xlink:href="http://www.scielo.org.bo/scielo.php?script=sci_pdf&amp;pid=S2518-44312018000200006&amp;lng=en&amp;nrm=iso"></self-uri><abstract abstract-type="short" xml:lang="es"><p><![CDATA[La mortalidad en la niñez menor de cinco años (5q0) es un factor que se asocia con el bienestar de una población y un indicador de desarrollo en salud y el estado socioeconómico de un país. Según el Informe sobre Equidad en Salud del año 2016, los países con la más alta mortalidad de menores de cinco años en América Latina y el Caribe son Bolivia y Haití. La presente investigación, busca identificar los efectos de factores individuales, del hogar y comunitarios (contextuales) en la mortalidad de niños menores de cinco años. Primero se comparan los tiempos de supervivencias estimados de acuerdo a la función de Kaplan-Meier para las encuestas de demografía y salud de los años 2003, 2008 y 2016. Posteriormente, se utiliza el modelo de riesgos proporcionales de Cox y el modelo proporcional de Cox jerárquico o multinivel para comparar el riesgo de muerte de menores de cinco años para diferentes años y covariables. Se encuentra que en el tiempo hay una mayor concentración de muertes durante el primer año de vida, en especial durante el primer mes de vida (mortalidad neonatal). Además, el estudio da cuenta de importantes diferencias en el riesgo de muerte según región de residencia (Oriente y Occidente para datos de la ENDSA 2003 y Altiplano, Valles y Llanos para la ENDSA 2008 y EDSA 2016). Por lo tanto, con el fin de incidir en las recomendaciones de política, los estudios futuros deberían centrarse en la identificación de factores de riesgo de 5q0 para cada región de Bolivia por separado.]]></p></abstract>
<abstract abstract-type="short" xml:lang="en"><p><![CDATA[Infant mortality under five years (5q0) is a factor associated with the well-being of the population and an indicator of health development and the socioeconomic status of a country. According to the Health Equity Report 2016, the countries with the highest under-five mortality rate in Latin America and the Caribbean are Bolivia and Haiti. This study seeks to identify the effects of individual, household and community (contextual) factors on the under-five mortality rate. Initially, we estimate survival times for 2003, 2008 and 2016 health and demographic surveys using the Kaplan-Meier function. Then, we use Cox’s proportional hazards model and Cox’s hierarchical (or multilevel) proportional model to compare children under-five’s risk of death for different years and covariates. We find an increase in the concentration of deaths in the first year of life over time, especially during the first month of life (neonatal mortality). In addition, the study shows important differences in the risk of death respect to the region of residence (East and West for data from the ENDSA 2003 and Altiplano, Valleys and Llanos for the ENDSA 2008 and EDSA 2016). Hence, for policy recommendations, future studies should focus on the identification of 5q0 risk factors for each region of Bolivia separately.]]></p></abstract>
<kwd-group>
<kwd lng="es"><![CDATA[Mortalidad]]></kwd>
<kwd lng="es"><![CDATA[Supervivencia]]></kwd>
<kwd lng="es"><![CDATA[Kaplan-Meier]]></kwd>
<kwd lng="es"><![CDATA[Riesgos Proporcionales]]></kwd>
<kwd lng="en"><![CDATA[Mortality]]></kwd>
<kwd lng="en"><![CDATA[Survival]]></kwd>
<kwd lng="en"><![CDATA[Kaplan-Meier]]></kwd>
<kwd lng="en"><![CDATA[Proportional hazards]]></kwd>
</kwd-group>
</article-meta>
</front><body><![CDATA[ <p align=left><font color="#800000" size="2" face="Verdana, Arial, Helvetica, sans-serif"><b>DOI:</b> 10.23881/idupbo.018.2-5e</font></p>     <p align=right><font size="2" face="Verdana, Arial, Helvetica, sans-serif"><b>ART&Iacute;CULOS &ndash; ECONOM&Iacute;A Y EMPRESA</b></font></p>     <p align=right>&nbsp;</p>     <p align=center><b><font size="4" face="Verdana, Arial, Helvetica, sans-serif">MORTALIDAD DE LA NIÑEZ MENOR DE CINCO AÑOS EN BOLIVIA: ANÁLISIS DE   SUPERVIVENCIA Y SUS FACTORES DE RIESGO ASOCIADOS</font> <font size="4" face="Verdana, Arial, Helvetica, sans-serif">ENDSA 2003, 2008 Y EDSA 2016</font></b></p>     <p align=center>&nbsp;</p>     <p align=center><b><font size="3" face="Verdana, Arial, Helvetica, sans-serif">UNDER-FIVE MORTALITY IN BOLIVIA: SURVIVAL ANALYSIS AND RISK FACTORS FROM 2003, 2008 AND 2016 HEALTH AND DEMOGRAPHIC SURVEYS</font></b></p>     <p align=center>&nbsp;</p>     <p align=center>&nbsp;</p>     <p align=center><b><font size="2" face="Verdana, Arial, Helvetica, sans-serif">Pamela Córdova Olivera, Soraya Román Eyzaguirre y Zarela Soria Galvarro Ferrufino</font></b></p>      <p align=center><font size="2" face="Verdana, Arial, Helvetica, sans-serif"><i>Centro de Investigaciones Económicas y Empresariales </i>(CIEE)</font>    ]]></body>
<body><![CDATA[<br> <font size="2" face="Verdana, Arial, Helvetica, sans-serif"><i>Universidad Privada Boliviana</i></font>    <br> <font size="2" face="Verdana, Arial, Helvetica, sans-serif"><a href="mailto:pcordova@upb.edu">pcordova@upb.edu</a></font></p>      <p align=center><font size="2" face="Verdana, Arial, Helvetica, sans-serif">(Recibido el 10 de noviembre 2018, aceptado para publicación el 23 de diciembre 2018)</font></p>     <p align=center>&nbsp;</p>     <p align=center>&nbsp;</p> <hr align="JUSTIFY" noshade>     <p align="justify"><font size="2" face="Verdana, Arial, Helvetica, sans-serif"><b>RESUMEN</b></font></p>      <p align="justify"><font size="2" face="Verdana, Arial, Helvetica, sans-serif">La mortalidad en la niñez menor de cinco años (5q0) es un factor que se asocia con el bienestar de una población y un indicador de desarrollo en salud y el estado socioeconómico de un país. Según el Informe sobre Equidad en Salud del año 2016, los países con la más alta mortalidad de menores de cinco años en América Latina y el Caribe son Bolivia y Haití. La presente investigación, busca identificar los efectos de factores individuales, del hogar y comunitarios (contextuales) en la mortalidad de niños menores de cinco años. Primero se comparan los tiempos de supervivencias estimados de acuerdo a la función de Kaplan-Meier para las encuestas de demografía y salud de los años 2003, 2008 y 2016. Posteriormente, se utiliza el modelo de riesgos proporcionales de Cox y el modelo proporcional de Cox jerárquico o multinivel para comparar el riesgo de muerte de menores de cinco años para diferentes años y covariables. Se encuentra que en el tiempo hay una mayor concentración de muertes durante el primer año de vida, en especial durante el primer mes de vida (mortalidad neonatal). Además, el estudio da cuenta de importantes diferencias en el riesgo de muerte según región de residencia (Oriente y Occidente para datos de la ENDSA 2003 y Altiplano, Valles y Llanos para la ENDSA 2008 y EDSA 2016). Por lo tanto, con el fin de incidir en las recomendaciones de política, los estudios futuros deberían centrarse en la identificación de factores de riesgo de 5q0 para cada región de Bolivia por separado.</font></p>      <p align="justify"><font size="2" face="Verdana, Arial, Helvetica, sans-serif"><b>Palabras Clave</b>: Mortalidad, Supervivencia, Kaplan-Meier, Riesgos Proporcionales</font></p> <hr align="JUSTIFY" noshade>     <p align="justify"><font size="2" face="Verdana, Arial, Helvetica, sans-serif"><b>ABSTRACT</b></font></p>     <p align="justify"><font size="2" face="Verdana, Arial, Helvetica, sans-serif">Infant mortality under five years (5q0) is a factor associated with the well-being of the population and an indicator of health development and the socioeconomic status of a country. According to the Health Equity Report 2016, the countries with the highest under-five mortality rate in Latin America and the Caribbean are Bolivia and Haiti. This study seeks to identify the effects of individual, household and community (contextual) factors on the under-five mortality rate. Initially, we estimate survival times for 2003, 2008 and 2016 health and demographic surveys using the Kaplan-Meier function. Then, we use Cox’s proportional hazards model and Cox’s hierarchical (or multilevel) proportional model to compare children under-five’s risk of death for different years and covariates. We find an increase in the concentration of deaths in the first year of life over time, especially during the first month of life (neonatal mortality). In addition, the study shows important differences in the risk of death respect to the region of residence (East and West for data from the ENDSA 2003 and Altiplano, Valleys and Llanos for the ENDSA 2008 and EDSA 2016). Hence, for policy recommendations, future studies should focus on the identification of 5q0 risk factors for each region of Bolivia separately.</font></p>      ]]></body>
<body><![CDATA[<p align="justify"><font size="2" face="Verdana, Arial, Helvetica, sans-serif"><b>Keywords</b>: Mortality, Survival, Kaplan-Meier, Proportional hazards </font></p>  <hr align="JUSTIFY" noshade>     <p>&nbsp;</p>     <p>&nbsp;</p>     <p><font size="3" face="Verdana, Arial, Helvetica, sans-serif"><b>1. INTRODUCCIÓN</b></font></p> <h4 align="justify"><font size="2" face="Verdana, Arial, Helvetica, sans-serif"><b>1.1. Mortalidad de la Niñez Menor de Cinco Años en el Mundo</b></font></h4>      <p align="justify"><font size="2" face="Verdana, Arial, Helvetica, sans-serif">El estado de salud de los menores de cinco años es un indicador determinante de la calidad de vida de la población, del nivel de desarrollo económico, los aciertos y desaciertos de las políticas públicas ejecutadas en los diferentes países del mundo. Los avances en la reducción de la mortalidad de la niñez menor de cinco años desde 1990 han sido notables, las muertes han disminuido a nivel mundial desde 12.7 millones en 1990 a 5.9 millones en 2015, es decir, las muertes diarias han caído en 19.000 niños (35.000 en 1990 a 16.000 en 2015). Desde el año 1990 al 2015, la mortalidad global cayó en 53%, de 91 muertos a 43 muertos por cada mil nacidos vivos. En este mismo periodo, 62 países de 195 lograron alcanzar la meta establecida en el cuarto Objetivo de Desarrollo del Milenio (ODM 4), consistente en la reducción en dos terceras partes, entre 1990 y 2015, la mortalidad de niños menores de 5 años. Sin embargo, a pesar de estos esfuerzos a nivel global, muchas regiones aún están lejos de alcanzar el ODM 4, particularmente en Cáucaso, Asia Central, Oceanía, Asia Meridional y África Subsahariana, mientras que el Norte de África, América Latina y el Caribe, Asia Oriental y Asia Occidental sí lograron cumplir dicha meta [1]</font></p>      <p align="justify"><font size="2" face="Verdana, Arial, Helvetica, sans-serif">Por otro lado, el Índice de Desarrollo Humano (IDH)<a href="#_ftn1" name="_ftnref1" title=""><sup>[1]</sup></a>en los países de IDH bajo y medio-bajo llega a alcanzar el año 2015 a 94 y 47 muertos por cada mil nacidos vivos respectivamente. Según [1], 9 de cada 10 muertes se dan en países de IDH bajo y medio-bajo, la probabilidad de muerte de niños en esos países es 1.9 mayor que la de los niños de hogares en países de IDH muy alto, alto y medio alto. </font></p>  <h4 align="justify"><font size="2" face="Verdana, Arial, Helvetica, sans-serif"><a name="_gjdgxs"></a><b>1.2. Mortalidad de la Niñez Menor de Cinco Años en América Latina y el Caribe</b></font></h4>      <p align="justify"><font size="2" face="Verdana, Arial, Helvetica, sans-serif">En el Informe sobre Equidad en Salud del año 2015 publicado por [1] se estima que en América Latina y el Caribe alrededor de 19.600 niños menores de cinco años murieron el año 2015<a href="#_ftn2" name="_ftnref2" title=""><sup>[2]</sup></a> (18 niños muertos por cada mil nacidos vivos), de los cuales 85% murieron antes del primer año de vida (mortalidad infantil - 1q0) y 15% entre el primer y quinto año de vida (mortalidad post-infantil - 4q1). Según este informe, los países con la más alta mortalidad de menores de cinco años en América Latina y el Caribe son Bolivia (38 muertos por cada mil nacidos vivos), Guyana (39 muertos por cada mil nacidos vivos) y Haití (69 muerto por cada mil nacidos vivos). La tasa de mortalidad de menores de cinco años, en países como Cuba (5q0=6), Antigua y Barbuda (5q0=8), Chile (5q0=8), Uruguay (5q0=10) y Costa Rica (5q0=10) son las más bajas, y Haití (5q0=69), Guyana (5q0=39), Bolivia (5q0=38), República Dominicana (5q0=31) y Guatemala (5q0=29) son los países que reportan las tasas de mortalidad más altas de toda la región.</font></p>      <p align="justify"><font size="2" face="Verdana, Arial, Helvetica, sans-serif"><a name="_30j0zll"></a>A pesar de los importantes avances en la reducción de la tasa de mortalidad de la niñez menor de cinco años en América Latina y el Caribe, las desigualdades existentes entre niños nacidos en contextos de alta vulnerabilidad y los nacidos en condiciones no vulnerables continúan presentes. Países como Cuba, Costa Rica y Chile han logrado reducir con éxito las desigualdades en mortalidad entre los grupos más vulnerables y no vulnerables de la población. El éxito de estas reducciones se debe principalmente a las políticas dirigidas a mejorar el acceso de las mujeres a la educación y mayor cobertura en salud pública. En el otro extremo de esta situación encontramos a Bolivia y Haití donde la probabilidad de supervivencia del niño es menor cuando la madre no tiene ninguna educación, pertenece al quintil más pobre de ingresos y reside en la zona rural [2].</font></p>  <h4 align="justify"><font size="2" face="Verdana, Arial, Helvetica, sans-serif"><a name="_3znysh7"></a><b>1.3. Mortalidad de la Niñez Menor de Cinco Años en Bolivia</b></font></h4>      <p align="justify"><font size="2" face="Verdana, Arial, Helvetica, sans-serif">Bolivia es uno de los países de la región que más ha reducido su tasa de mortalidad, sin embargo, continua en una posición poco alentadora con respecto a países como Chile, Uruguay y el vecino Perú. Según datos de la CEPAL [3] el descenso de la tasa de mortalidad de menores de cinco años en Bolivia ha sido importante, pero no suficiente para alcanzar la meta establecida en el ODM 4.</font></p>      <p align="justify"><font size="2" face="Verdana, Arial, Helvetica, sans-serif"><a name="_3dy6vkm"></a>Según datos de la Unidad de Análisis de Política Económica (UDAPE), la mayor parte de las muertes de niños menores de cinco años en Bolivia se da en los departamentos con alta concentración de población indígena y rural (La Paz y Potosí). </font></p>      ]]></body>
<body><![CDATA[<p align="justify"><font size="2" face="Verdana, Arial, Helvetica, sans-serif">Se pueden identificar algunos posibles determinantes de la mortalidad de menores de cinco años en Bolivia, que además dan cuenta de los esfuerzos económicos, sociales y políticos de las últimas décadas. En el marco del diseño e implementación de políticas económicas de salud, Bolivia ha implementado numerosas acciones y programas a través del Ministerio de Salud, con el fin de disminuir las tasas de mortalidad neonatal, infantil, post-infantil y preservar y conservar la salud de las madres bolivianas, con especial énfasis en el cumplimiento de los ODM`s 4 y 5<a href="#_ftn3" name="_ftnref3" title=""><sup>[3]</sup></a>.</font></p>      <p align="justify"><font size="2" face="Verdana, Arial, Helvetica, sans-serif">El año 1938 se reconoció como un deber del Estado proteger la salud de los ciudadanos bolivianos. Se creó el Ministerio de Higiene y Salubridad encargado de la ejecución de este tipo de deberes. El año 1967, la nueva CPE reconoció el derecho a la salud individual y colectiva, creando al mismo tiempo el Ministerio de Salud Pública. Entre los años 1970 y 1981, se formularon distintos planes nacionales de salud y acción que buscaron las mejoras de salud de la población a través de distintas acciones con horizontes temporales de 5 años. El año 1978, se aprobó el Código de Salud que designó como “Autoridad de Salud” al Ministerio de Previsión Social y Salud Pública. Para el año 1982 se estableció como prioridad el desarrollo de programas de corto plazo que permitieron mayor protección de la madre-niño y saneamiento del entorno [4].</font></p>      <p align="justify"><font size="2" face="Verdana, Arial, Helvetica, sans-serif">A partir de la promulgación de la Ley de Participación Popular en 1994, los recursos provenientes de la misma lograron mejorar el acceso a servicios de salud, el control de enfermedades de tipo preventivas [5]. El año 1995 se implementó el programa sobre la Atención Integral de las Enfermedades Prevalentes de la Infancia (AIEPI clínico) que buscaba brindar una metodología integradora para la mejora de capacidades del personal de salud en la atención de pacientes menores de 5 años. Posteriormente, el año 2001 el Ministerio de Salud comenzó con la implementación del AIEPI Comunitario que buscaba promover prácticas de cuidado para el niño/a. </font></p>      <p align="justify"><font size="2" face="Verdana, Arial, Helvetica, sans-serif">Es a partir de la Reforma de Salud en la década los 90’s, que se impulsaron medidas de protección a los sectores más vulnerables de la sociedad identificados como grupos de mujeres embarazadas, mujeres en edad fértil, niños/niñas y personas de la tercera edad, con cobertura nacional. Entre las medidas más importantes de alcance nacional para la cobertura del binomio madre-niño que se implementaron se encuentran: El Seguro Nacional de Maternidad y Niñez (SNMN) creado en mayo de 1996 con prestaciones básicas a mujeres embarazadas y niños/as menores a cinco años; posteriormente se crea el Seguro Básico de Salud (SBS) en diciembre de 1998 con 92 prestaciones de salud a mujeres, niños/as menores a cinco años y el resto de la población de bajos recursos; seguidamente se crea el Seguro Universal Materno Infantil (SUMI) en noviembre del 2002 con un número más alto de prestaciones dirigido a  mujeres embarazadas y niños/as menores de cinco años de edad [6]. En diciembre de 2013 se promulga la ley N°475 que reemplaza el SUMI por el Servicios de Salud Integral, con prestaciones gratuitas y cuya población objetivo de este servicio está conformada por mujeres embarazadas, niños/as menores de cinco años, personas a partir de los sesenta años, mujeres en edad fértil (atenciones de salud sexual y reproductiva) y personas con discapacidad [7].</font></p>      <p align="justify"><font size="2" face="Verdana, Arial, Helvetica, sans-serif"><a name="_1t3h5sf"></a>En abril del año 2009, se creó el programa de transferencias monetarias condicionadas Bono Juana Azurduy, vigente actualmente y que tiene como objetivo efectivizar los derechos de acceso a salud y desarrollo integral para lograr la disminución de la mortalidad infantil y materna, y además disminuir la desnutrición crónica en menores de dos años. Pueden ser partícipes de este programa todas las mujeres embarazadas y niños/as menores de dos años que no estén cubiertos por ningún seguro del sistema de seguridad social o un seguro privado [8]. Los resultados de este programa han demostrado que es un instrumento eficiente para estimular la demanda de servicios de salud, las mujeres acuden a su primer control prenatal antes de cumplir las 12 semanas de gestación, hay mayor probabilidad de que acudan a todos los controles necesarios, mayor probabilidad de ser atendidas por personal calificado al momento del parto, menor probabilidad de nacidos con bajo peso y evidencia que sugiere que existe una reducción en mortalidad debido al incremento de atenciones de salud en el periodo de gestación de la madre [8].</font></p>      <p align="justify"><font size="2" face="Verdana, Arial, Helvetica, sans-serif">Este trabajo permitirá entender las variables de mayor significancia sobre la probabilidad de que el niño o niña logre sobrevivir a su quinto cumpleaños a partir de un estudio que reconozca que no sólo importan las decisiones del hogar en cuestión, para conocer las causas de muerte del niño, sino que la decisión de otros hogares dentro de la comunidad intervienen de manera indirecta sobre la probabilidad de muerte. </font></p>      <p align="justify"><font size="2" face="Verdana, Arial, Helvetica, sans-serif">El presente estudio busca consolidarse como una pauta para comprender la realidad del país respecto al tema para futuros análisis de aplicación de políticas públicas. Si las políticas públicas se orientan de manera adecuada, los ahorros que se tendrían en materia social y financiera serían los necesarios como para asegurar una calidad de vida digna para la población en su conjunto, ya que se asume que las variables que afectan a la salud de los niños, también afectan a la salud de cualquier miembro de cualquier edad de cualquier familia.</font></p>      <p align="justify"><font size="2" face="Verdana, Arial, Helvetica, sans-serif">Los niños menores de cinco años anidados dentro de las mismas familias pueden compartir características similares, los riesgos de mortalidad son heterogéneos para niños menores de cinco años de diferentes hogares y comunidades [9] [10]. Este estudio, sin embargo, tratará de aprovechar los resultados de los estudios previos mediante el avance del conocimiento existente más allá de la comprensión de los factores individuales como determinantes de la mortalidad de menores de cinco años. Esto se debe a que las características comunitarias y de los hogares donde los niños son criados tienden a modificar los factores a nivel individual. Pero, los estudios rara vez se han ocupado de estos determinantes comunitarios en Bolivia y en general en América Latina. </font></p>      <p align="justify"><font size="2" face="Verdana, Arial, Helvetica, sans-serif">El objetivo general es analizar la supervivencia de la niñez menor de cinco años en Bolivia y sus factores de riesgo asociados, utilizando la información de la Encuesta Nacional de Demografía y Salud de Bolivia (ENDSA) 2003 y 2008, y la Encuesta de Demografía y Salud (EDSA) 2016.</font></p>     <p align="justify">&nbsp;</p>     ]]></body>
<body><![CDATA[<p align="justify"><font size="3" face="Verdana, Arial, Helvetica, sans-serif"><b>2. REVISIÓN DE LA LITERATURA Y MARCO TEÓRICO CONCEPTUAL</b></font></p>      <p align="justify"><font size="2" face="Verdana, Arial, Helvetica, sans-serif"><b>2.1. Marco Teórico</b></font></p>      <p align="justify"><font size="2" face="Verdana, Arial, Helvetica, sans-serif">Este estudio tiene su base teórica en dos modelos teóricos - (1) modelo Mosley- Chen y (2) el marco de Sastry. El primero es un modelo diseñado por Mosley y Chen [11] para el estudio de los determinantes de la supervivencia de menores de cinco años en los países en desarrollo; mientras que el último es un marco desarrollado por Sastry [12] para interpretar el efecto de los factores en los distintos niveles de operación (es decir, a nivel individual, familiar y comunitario) en la supervivencia. Por lo tanto, en este estudio, la relación entre los determinantes contextuales de la mortalidad de menores de cinco años fue conceptualizado basado en el fundamento establecido por estos dos modelos teóricos.</font></p>      <p align="justify"><font size="2" face="Verdana, Arial, Helvetica, sans-serif"><b>2.1.1. Modelo Mosley-Chen (1984)</b></font></p>      <p align="justify"><font size="2" face="Verdana, Arial, Helvetica, sans-serif">Mosley &amp; Chen [11], propusieron un modelo de análisis de dos niveles que hacen que las teorías de las ciencias sociales (como la economía) y la ciencia puramente médica, puedan complementarse conociendo los diversos canales por los que variables de distintos niveles afectan a la variable dependiente.</font></p>      <p align="justify"><font size="2" face="Verdana, Arial, Helvetica, sans-serif">Estos niveles son clasificados por Mosley &amp; Chen [11] en cinco grupos de determinantes proximales que influyen sobre la supervivencia de un niño en países en vías de desarrollo. El nivel proximal incluye factores biomédicos y bio-demográficos que se asocian directamente con las muertes de niños menores de cinco años. Estos determinantes próximos involucran la interacción de la desnutrición y las enfermedades infecciosas y factores maternos que pueden resultar adversos o riesgosos. El nivel distal incluye las condiciones socioeconómicas y culturales, tales como la asociación entre la mortalidad y la educación materna, la ocupación de los padres, entre otros.  Así, este análisis se basa principalmente en una simbiosis entre el punto de vista médico y de las ciencias sociales, tomando el primero los factores inmediatos, y el segundo, los factores socioeconómicos que los autores definen como causas indirectas.</font></p>      <p align="justify"><font size="2" face="Verdana, Arial, Helvetica, sans-serif">Uno de los puntos fuertes de este marco referencial reside en el enfoque que le da al tema de la desigualdad por el énfasis que hace en la pobreza desproporcionada entre las mujeres, el nivel educativo, su participación en el espacio laboral y en las decisiones reproductivas y del hogar, su estatus social y la falta de acceso a oportunidades económicas que, de acuerdo a los autores, son características influyentes en muchos niveles sobre la salud del niño [11]. </font></p>      <p align="justify"><font size="2" face="Verdana, Arial, Helvetica, sans-serif">El estudio de los determinantes proximales se asienta sobre diferentes supuestos: al menos el 97 por ciento de los nacidos vivos tienen que tener la probabilidad de sobrevivir más allá de su quinto cumpleaños, si esta probabilidad inicial disminuye se debe a fuerzas de carácter social, biológica, ambiental y económica. También los determinantes socioeconómicos, deberían canalizarse a través de variables mucho más próximas que desencadenan en el riesgo de padecer enfermedades y el desenlace de los procesos de tales enfermedades. Una vez entendidos estos puntos, la variable dependiente del modelo teórico de Mosley y Chen, la mortalidad en los niños, es el cúmulo de la consecuencia de múltiples enfermedades y de las interacciones bio-sociales [11]</font></p>      <p align="justify"><font size="2" face="Verdana, Arial, Helvetica, sans-serif">Los determinantes proximales se reparten en las siguientes categorías:</font></p>      <blockquote>       ]]></body>
<body><![CDATA[<p align="justify"><font size="2" face="Verdana, Arial, Helvetica, sans-serif">(1) Factores     asociados a la madre: edad, intervalos entre nacimientos, cantidad de partos     que la madre ha tenido.</font></p>       <p align="justify"><font size="2" face="Verdana, Arial, Helvetica, sans-serif">(2) Ambiente: aire, agua,     alimentos, tierra, vectores y transmisores de enfermedades a través de insectos     u objetos inanimados.</font></p>       <p align="justify"><font size="2" face="Verdana, Arial, Helvetica, sans-serif">(3) Daños y lesiones:     intencionadas, accidentales.</font></p>       <p align="justify"><font size="2" face="Verdana, Arial, Helvetica, sans-serif">(4) Controles de salud y     factores de comportamiento: medidas de salud preventiva, tratamiento médico,     etc.</font></p>       <p align="justify"><font size="2" face="Verdana, Arial, Helvetica, sans-serif">(5) Deficiencia nutricional</font></p> </blockquote>     <p align="justify"><font size="2" face="Verdana, Arial, Helvetica, sans-serif">La mortalidad es una variable con mucho poder, ya que es un evento que puede ser fácilmente cuantificado. Los expertos en ciencias sociales que realizan estudios acerca del tema suelen considerar esta como su variable dependiente, sin embargo, al ser un evento raro, es muy difícil medir la variable a no ser que se consideren poblaciones muy grandes o poblaciones pequeñas durante un período de tiempo muy largo. Por otro lado, los especialistas en salud se concentran en el estado de salud de los individuos, es decir, la morbilidad del individuo. Este marco teórico hace que se puedan analizar ambos enfoques combinándolos en una sola variable dependiente que hace posible el análisis de niños sobrevivientes y muertos en un período de tiempo razonable y que se ajusta a estudios tanto de muestras como poblacionales [13].</font></p>      <p align="justify"><font size="2" face="Verdana, Arial, Helvetica, sans-serif">Los determinantes socioeconómicos según Mosley &amp; Chen [11] se dividen en tres categorías:</font></p>      <blockquote>       <p align="justify"><font size="2" face="Verdana, Arial, Helvetica, sans-serif">(1) Variables a nivel     individual: Factores que determinan la productividad de la crianza de los     niños: educación de los padres, situación laboral de la madre, y empoderamiento     de la mujer; es decir, las normas y las costumbres.</font></p>       <p align="justify"><font size="2" face="Verdana, Arial, Helvetica, sans-serif">(2) Variables a nivel de los hogares: Factores como la condición     social y económica de los hogares: activos fijos de uso doméstico, índice de     riqueza, y el acceso a la asistencia sanitaria.</font></p>       ]]></body>
<body><![CDATA[<p align="justify"><font size="2" face="Verdana, Arial, Helvetica, sans-serif">(3) Variables a nivel comunitario: Factores que incluyen el tipo de     lugar de residencia del hogar, tales como el área rural o urbana, inversión de     los hogares en infraestructura en cuanto a educación, agua y saneamiento     básico, política económica y la inmunización del niño en la comunidad.</font></p> </blockquote>     <p align="justify"><font size="2" face="Verdana, Arial, Helvetica, sans-serif">Los autores resaltan lo que resulta evidente: la mortalidad de menores de cinco años cae en toda una red de ciencias multidisciplinarias que observan a las poblaciones e integran instituciones que deben emplear transacciones de tipo económico y social, por lo que un estudio y acercamiento multidisciplinario resultarían clave para entender y aliviar la mortalidad.</font></p>      <p align="justify"><font size="2" face="Verdana, Arial, Helvetica, sans-serif"><b>2.1.2. Marco de Sastry</b></font></p>      <p align="justify"><font size="2" face="Verdana, Arial, Helvetica, sans-serif">Sastry [12], basándose en la premisa establecida por modelo de Mosley-Chen clasifica los determinantes próximos en tres grandes categorías: genéticos, conductuales y ambientales. Sostuvo que estos determinantes pueden ocurrir en tres niveles diferentes de funcionamiento: niño, la familia y la comunidad; y que los tres niveles proporcionan una organización lógica de las variables que pueden influir en la mortalidad infantil. Haciendo hincapié en que un niño en particular se encuentra dentro de una familia que se encuentra dentro de una comunidad. Sin embargo, señaló que los niños pertenecientes a la misma familia están expuestos a la misma situación de los hogares. El marco establece además que las variaciones en el entorno de la casa entre los niños de la misma comunidad a menudo resultan principalmente de factores conductuales observados o características socioeconómicas medidas. Se estableció que, &quot;todos los niños que viven en la misma comunidad están expuestos a la misma infraestructura, el clima, el medio ambiente físico y entorno socio-económico y cultural; además, los niños están expuestos a las mismas enfermedades, que se transmiten dentro de la comunidad a través de los patrones normales de contacto” [12] Sobre la base del modelo de Mosley-Chen, marco de Sastry por efecto de la interpretación individual, características de la familia y de la comunidad en la supervivencia del niño ofrece una organización lógica para el conjunto de covariables que pueden influir en la supervivencia infantil a nivel individual (niño o de la madre), la familia (es decir, los hogares), y los niveles de la comunidad (contextual). El autor sostiene que el resultado real de la salud del niño depende en gran medida de la interacción entre la comunidad de los atributos (como los sistemas comunitarios de salud y las infraestructuras) y las características individuales y de los hogares. La idea central del argumento, sin embargo, fue que los resultados de salud infantil son influenciados por los factores determinantes individuales y los niveles de uso doméstico, así como por los atributos de la situación contextual de la comunidad en la que se eleva a un niño. El marco Sastry (<a href="#t1">Tabla 1</a>) ofrece una explicación analítica del efecto de diferentes niveles de agrupación a nivel individual, hogar, y el nivel de la comunidad en la supervivencia de menores de cinco años.</font></p>      <p align=center><a name="t1"></a><img src="/img/revistas/riyd/v18n2/a06_tabla_01.gif" width="671" height="214"></p>      <p align="justify"><font size="2" face="Verdana, Arial, Helvetica, sans-serif"><b>2.1.3. Relevancia del Modelo de Mosley – Chen y el Marco Teórico de Sastry en el Estudio de Mortalidad de Menores de Cinco Años en Bolivia</b></font></p>      <p align="justify"><font size="2" face="Verdana, Arial, Helvetica, sans-serif">Bolivia es un país multiétnico y pluricultural, con la mayor población indígena en Sud América concentrada en 36 grupos étnicos<a href="#_ftn4" name="_ftnref4" title=""><sup>[4]</sup></a> identificables en tres regiones geográficas Altiplano, Valles y Llanos. Según el último Censo (2012) más de dos millones de bolivianos se identifican con un pueblo indígena. Se encuentra dividida en tres regiones diferenciadas por pisos ecológicos: i) Altiplano: La Paz, Oruro y Potosí (entre 3000 a 5000 msnm), clima frío y seco (temperatura media anual es de 10ºC); ii) Valles: Cochabamba, Chuquisaca y Tarija (entre 1900 hasta 2600 msnm), clima templado seco (temperatura media anual es de 20 grados); iii) Llanos: Santa Cruz, Beni y Pando (entre 150 a 420 msnm), clima cálido de tropical a semitropical (las temperaturas pueden variar desde 25 hasta 38ºC). </font></p>      <p align="justify"><font size="2" face="Verdana, Arial, Helvetica, sans-serif">Estas diferencias geográficas y culturales generan diferentes condiciones de vida para las comunidades y familias del país. Asociadas a ellas, se observan también variaciones regionales en los indicadores de salud. Por lo tanto, es apropiado aplicar el modelo de Mosley-Chen y el marco de Sastry al estudio de la mortalidad de menores de cinco años en un entorno diverso como el de Bolivia. </font></p>      <p align="justify"><font size="2" face="Verdana, Arial, Helvetica, sans-serif">Estos modelos teóricos proporcionan un marco analítico para el estudio de la mortalidad infantil y de niñez en un contexto diverso con una agrupación de casos a nivel individual, doméstico y comunitario o regional, de ahí la adopción de los modelos de Mosley-Chen y Sastry para este estudio. </font></p>      <p align="justify"><font size="2" face="Verdana, Arial, Helvetica, sans-serif">Para que las variables identificadas para este tipo de estudios encajen en los principios de estos modelos (<a href="#t1">Tabla 1</a>) se especifican en varios niveles de operación: individual, hogares y comunidad. Por lo tanto, este estudio aplicó estos modelos para responder a las preguntas de investigación para llenar las brechas de conocimiento identificadas en la literatura generada para el caso boliviano. </font></p>      ]]></body>
<body><![CDATA[<p align="justify"><font size="2" face="Verdana, Arial, Helvetica, sans-serif"><b>2.2.Dirección de Relación entre las Variables</b></font></p>      <p align="justify"><font size="2" face="Verdana, Arial, Helvetica, sans-serif">Mientras que algunas de las variables independientes ejercen influencia directa sobre las variables de resultado (mortalidad infantil, post-infantil y de menores de cinco años); un buen número de las variables independientes ejercen influencia en las variables de resultado a través de un conjunto de variables que intervienen. Las variables que tienen relación directa con las variables de resultado son: la edad materna, el sexo del niño, edad de la madre en el primer parto, la educación materna, la región de residencia y etnia.</font></p>      <p align="justify"><font size="2" face="Verdana, Arial, Helvetica, sans-serif">Las variables independientes comprenden variables en los tres niveles de operación: individual (madre/hijo), familiar (hogar) y comunitario. Las variables intervinientes se agrupan en tres: distal, intermedia y próxima. Según Schell et al [14] la mortalidad de menores de cinco años pueden ser el resultado de una serie de factores determinantes jerárquicos que pueden ser proximales, intermedios o distales. En el marco anterior, las variables consideradas como determinantes distales son esencialmente las características de la situación socioeconómica. </font></p>      <p align="justify"><font size="2" face="Verdana, Arial, Helvetica, sans-serif">Este estudio consideró niños menores de cinco años y la mortalidad como las variables de resultado. Estos son los riesgos de mortalidad infantil y post-infantil. El riesgo de muerte infantil se define como la probabilidad de morir entre el nacimiento y el primer cumpleaños (0-11 meses); mientras que el riesgo de muerte post-infantil se define como la probabilidad de morir entre el primer y el quinto cumpleaños (12-59 meses). En general, la mortalidad de menores de cinco años es la probabilidad de morir entre el nacimiento y los cinco años de edad (0 a 59 meses). Los riesgos de mortalidad de menores de cinco años pueden ser influenciados por las características a nivel individual, familiar (hogar) y comunitario. </font></p>     <p align="justify">&nbsp;</p>     <p align="justify"><font size="3" face="Verdana, Arial, Helvetica, sans-serif"><b>3. DATOS Y METODOLOGÍA</b></font></p>      <p align="justify"><font size="2" face="Verdana, Arial, Helvetica, sans-serif"><b>3.1. Fuentes de Datos</b></font></p>      <p align="justify"><font size="2" face="Verdana, Arial, Helvetica, sans-serif">Este estudio es un estudio analítico de corte transversal realizado mediante el análisis de datos de la ENDSA 2003, ENDSA 2008 y EDSA 2016. Las encuestas contienen información sobre indicadores demográficos y de salud, representativos tanto a nivel nacional como regional y recolectados mediante tres cuestionarios, uno para hogares, otros para mujeres en edad fértil y hombres entre 15 y 64 años, respectivamente. Los organismos responsables del relevamiento de información fueron el Instituto Nacional de Estadística de Bolivia (INE) y el ministerio de salud. En las primeras 2 encuestas, también se contó con apoyos financieros de la Agencia de los Estados Unidos para el Desarrollo Internacional (USAID) y el Fondo de Población de las Naciones Unidas (UNFPA), y asistencia técnica de ICF Macro International. Las muestras fueron seleccionadas mediante un diseño por conglomerados, estratificado y en dos etapas, constituido por 996 clusters el 2003, 999 el 2008 y 949 el 2016. </font></p>      <p align="justify"><font size="2" face="Verdana, Arial, Helvetica, sans-serif">Las encuestas del estudio son comparables, pero no por completo. A pesar de tener el mismo diseño, las ENDSA difieren de la EDSA por su marco muestral y nivel de precisión. Así, la EDSA 2016 utilizó el censo de población y vivienda 2012, actualización cartográfica multipropósito y el censo agropecuario 2013 para armar el marco muestral; mientras que las otras dos encuestas utilizaron el censo de población y vivienda 2001. La muestra de la EDSA 2016 es más pequeña (menos precisa) que las de las ENDSA 2003 y 2008. Además, la EDSA entrevista a mujeres a partir de los 14 años, mientras que las otras dos encuestas, lo hacen a partir de los 15 años<a href="#_ftn5" name="_ftnref5" title=""><sup>[5]</sup></a>. </font></p>      <p align="justify"><font size="2" face="Verdana, Arial, Helvetica, sans-serif">Este estudio utilizará los datos generados a través del cuestionario de mujeres para obtener información sobre todo el historial de nacimientos (alumbramientos) de las mujeres en edad fértil. Por lo tanto, el criterio para la inclusión de las mujeres en el análisis es que una mujer tenga al menos un hijo nacido vivo en los cinco años anteriores a la encuesta; el hijo nacido vivo es la unidad de análisis. Este período de referencia fue escogido con el fin de explorar los acontecimientos en el tiempo más reciente en los hogares y la comunidad. Considerando este criterio, el estudio incluirá 7.325 mujeres que tuvieron un total de 10.448 hijos nacidos vivos para el año 2003, 6.429 mujeres que tuvieron un total de 8.605 hijos nacidos vivos el año 2008 y 4.212 mujeres que tuvieron un total de 5.315 hijos nacidos vivos para el año 2016, todos nacidos cinco años antes a la encuesta respectiva.</font></p>      ]]></body>
<body><![CDATA[<p align="justify"><font size="2" face="Verdana, Arial, Helvetica, sans-serif"><b>3.2. Variables y Medición de Variables</b></font></p>      <p align="justify"><font size="2" face="Verdana, Arial, Helvetica, sans-serif">La variable dependiente en este estudio es la mortalidad de la niñez, es decir, la muerte antes de llegar al quinto cumpleaños. Se utilizará esta variable para examinar, en general, los riesgos de muerte durante los primeros cinco años de vida. Para obtener información sobre la muerte de niños se recurre a la memoria de la madre, registrada en los historiales de nacimientos (alumbramientos) de mujeres de 15 a 49 años. En las encuestas se formulan preguntas sobre el número de hijos e hijas de que han tenido las mujeres y si los niños estaban vivos o muertos. Las respuestas - sí o no - fueron dadas a la pregunta: “¿Está vivo el hijo?”. Otra información obtenida incluye: el sexo del niño, la edad actual del niño, así como la edad de muerte si el niño había muerto.</font></p>     <p align="justify"><font size="2" face="Verdana, Arial, Helvetica, sans-serif"> Por otro lado, las variables independientes en este estudio incluyen   características importantes a nivel individual, nivel familiar y comunitario   (contexto). Teóricamente, la selección de las variables independientes está   fundamentada por la literatura revisada. Empíricamente, las variables   independientes seleccionadas en este estudio (a nivel individual, del hogar y   de la comunidad) son conocidas por tener influencia estadísticamente   significativa en la supervivencia infantil, según se establece en la   literatura. </font></p>     <p align="justify"><font size="2" face="Verdana, Arial, Helvetica, sans-serif">A nivel individual, las variables incluyen características a nivel del niño y la madre. Estas constituyen: la edad materna, el estado civil, el sexo del niño, el orden de nacimiento, el intervalo de nacimiento, duración de la lactancia, el tamaño del niño al nacer, la edad materna al nacimiento del niño, la educación materna y la afiliación étnica. A nivel familiar, las variables que podrían influir en la supervivencia infantil son: tamaño de la familia, hijos nacidos vivos, la jefatura de hogar, instalaciones de uso doméstico y artículos de propiedad y ocupación del padre. Finalmente, a nivel de la comunidad, las variables son: región de residencia, distancia entre la casa de los encuestados y las instalaciones de salud, distancia a centros de salud (facilidad), nivel de educación materna en la comunidad, infraestructura de la comunidad, cuidado prenatal en la comunidad y asistencia médica (hospitales) en la comunidad. </font></p>      <p align="justify"><font size="2" face="Verdana, Arial, Helvetica, sans-serif">Variables que intervienen en este estudio incluyen determinantes distales, determinantes intermedios y próximos. Los determinantes distales son principalmente las características de estatus socioeconómico, se usan los activos del hogar como variables proxy. Estos activos de los hogares se emplean para generar otra variable denominada índice de riqueza. Utilizando el análisis de componentes principales se le asigna peso a cada activo del hogar como la televisión, coche, bicicleta, etc., las puntuaciones resultantes se estandarizan y se suman para cada hogar (APN e ICF Macro, 2009). El nivel socioeconómico de los individuos se clasifica de acuerdo a la casa donde viven. Los determinantes intermedios incluyen: acceso a la electricidad, fuente de agua potable, el tipo de instalación sanitaria y el acceso a la atención prenatal. Además, los determinantes próximos seleccionados son: lugar de alumbramiento y el uso de anticonceptivos.</font></p>      <p align="justify"><font size="2" face="Verdana, Arial, Helvetica, sans-serif"><b>3.3. Análisis de Datos</b></font></p>      <p align="justify"><font size="2" face="Verdana, Arial, Helvetica, sans-serif">El análisis de datos contiene dos partes. La primera parte es un análisis comparativo de supervivencia del menor de 5 años para los 3 periodos de estudio, 2003, 2008 y 2016. Para esto utilizamos el estimador no paramétrico de la función de supervivencia de Kaplan y Meier. Por otro lado, en la segunda parte, estimamos el modelo de riesgos proporcionales de Cox y el modelo multinivel de riesgos proporcionales de Cox para examinar la relación entre el riesgo de muerte y un conjunto de variables independientes seleccionadas. Todos los análisis a nivel univariado, bivariado y multivariante se realizaron utilizando el paquete estadístico Stata (versión 15). Para tener en cuenta el sobremuestreo de algunas secciones de la población, se aplicó el factor de ponderación de las encuestas por año y nivel de desagregación, cuando fue necesario.</font></p>      <p align="justify"><font size="2" face="Verdana, Arial, Helvetica, sans-serif"><b>3.3.1. Modelos de Supervivencia y Datos de Duración</b></font></p>      <p align="justify"><font size="2" face="Verdana, Arial, Helvetica, sans-serif">Según Rabe-Hesketh y Skrondal [15] , la variable de mayor interés en el análisis de supervivencia es el tiempo del estado de origen (nacimiento) hasta la transición al estado de destino (muerte). Se dice que una unidad o sujeto corre el riesgo de (o ser elegible para) el evento de interés después de que haya ocurrido el evento inicial.</font></p>      <p align="justify"><font size="2" face="Verdana, Arial, Helvetica, sans-serif">Se necesitan métodos especiales para los datos de supervivencia principalmente debido a la censura de datos. La censura ocurre cuando se conoce que algunos tiempos de falla ocurrieron dentro de ciertos intervalos y el resto de los tiempos de vida no son conocidos exactamente porque el evento pudo no haber sucedido hasta el final del período de observación, tal es el caso de la censura por derecha [15].</font></p>      ]]></body>
<body><![CDATA[<p align="justify"><font size="2" face="Verdana, Arial, Helvetica, sans-serif">Si los tiempos de supervivencia de los diferentes eventos no son condicionalmente independientes dadas las covariables, el modelado conjunto es complejo y requiere suposiciones no verificables. Bajo la independencia condicional y en el caso del tiempo continuo, cada evento se puede analizar por separado, tratando a todos los demás eventos como censurables. En la mayoría de los estudios se presentan entradas escalonadas, de manera que los sujetos entran a lo largo de un periodo y su tiempo de falla esta medido por su propia fecha de entrada [15]. Para el caso de este estudio, el evento de interés (falla) es la muerte del niño menor de cinco años, se considera el tiempo de falla la edad a la que el niño murió y el tiempo de observación o inicio comienza en el nacimiento del niño.</font></p>      <p align="justify"><font size="2" face="Verdana, Arial, Helvetica, sans-serif">Suponemos que los eventos de interés son absorbentes en el sentido de que una vez que un evento ha ocurrido para una unidad, la unidad ya no está en riesgo por este evento. El periodo de tiempo durante el cual se corre el riesgo de experimentar el evento se denomina tiempo de supervivencia y se denota t. El tiempo de supervivencia t puede considerarse como la realización de una variable aleatoria T continua con una función de densidad acumulativa F (t) y la función de densidad de probabilidad f (t). </font></p>      <p align="justify"><font size="2" face="Verdana, Arial, Helvetica, sans-serif">Según Rabe-Hesketh y Skrondal [15], el interés en el análisis de supervivencia se explica por su capacidad de establecer la probabilidad de sobrevivir al tiempo t o más allá, la función de supervivencia S(t), que está dada por:</font></p>      <p align=center><img src="/img/revistas/riyd/v18n2/a06_ecuacion_01.gif" width="744" height="32"></p>      <p align="justify"><font size="2" face="Verdana, Arial, Helvetica, sans-serif">donde F(.) es una función de densidad acumulativa.</font></p>      <p align="justify"><font size="2" face="Verdana, Arial, Helvetica, sans-serif"><a name="_2xcytpi"></a>La representación gráfica de <i>S(t)</i> se denomina curva de supervivencia. La pendiente de la curva tiende a ser más convexa al punto de origen cuando la tasa de supervivencia es baja y menos convexa al punto de origen cuando hay una alta tasa de supervivencia.</font></p>      <p align="justify"><font size="2" face="Verdana, Arial, Helvetica, sans-serif">Estimamos la función de supervivencia <i>S(t)</i> usando el estimador de Kaplan-Meier o también conocido como Estimador del Producto Limite (EPL) de la función de supervivencia. Es un método no paramétrico (no asume ninguna función de probabilidad) y por máxima verosimilitud, es decir se basa en maximizar la función de verosimilitud de la muestra. El procedimiento para su cálculo requiere que los <i>n </i>tiempos de supervivencia sean ordenados (todos los tiempos que terminan en el evento en lugar de ser censurados) de manera que <img src="/img/revistas/riyd/v18n2/a06_image002.png" width=97 height=16 align="absmiddle">  donde <img src="/img/revistas/riyd/v18n2/a06_image003.png" width=12 height=16 align="absmiddle"> es el k-ésimo mayor tiempo de supervivencia. Esto define <i>n-1</i> intervalos (<img src="/img/revistas/riyd/v18n2/a06_image004.png" width=64 height=16 align="absmiddle">(<img src="/img/revistas/riyd/v18n2/a06_image005.png" width=60 height=16 align="absmiddle"></font></p>      <p align="justify"><font size="2" face="Verdana, Arial, Helvetica, sans-serif">El estimador Kaplan-Meier <img src="/img/revistas/riyd/v18n2/a06_image006.png" width=23 height=17 align="absmiddle"> de la función de supervivencia <i>S(t)</i> se define como:</font></p>      <p align=center><img src="/img/revistas/riyd/v18n2/a06_ecuacion_02.gif" width="744" height="43"></p>      <p align="justify"><font size="2" face="Verdana, Arial, Helvetica, sans-serif"><a name="_2grqrue"></a><a name="_vx1227"></a>donde el producto es sobre todos los intervalos<i> k</i> que terminan antes del tiempo<i> t.</i> Aquí <img src="/img/revistas/riyd/v18n2/a06_image008.png" width=11 height=16 align="absmiddle"> es el número de sujetos en riesgo antes del momento <img src="/img/revistas/riyd/v18n2/a06_image009.png" width=12 height=16 align="absmiddle">, y <img src="/img/revistas/riyd/v18n2/a06_image010.png" width=14 height=16 align="absmiddle"> es el número de sujetos que experimentaron el evento en el tiempo<img src="/img/revistas/riyd/v18n2/a06_image011.png" width=14 height=16 align="absmiddle">. El ratio <img src="/img/revistas/riyd/v18n2/a06_image012.png" width=11 height=25 align="absmiddle"> puede ser interpretado como la probabilidad estimada de experimentar el evento al finalizar el <i>k</i> intervalo, dado que el sujeto aún se encuentre en riesgo [15].</font></p>      ]]></body>
<body><![CDATA[<p align="justify"><font size="2" face="Verdana, Arial, Helvetica, sans-serif">Por ejemplo, la función de supervivencia en el segundo tiempo <i>t(2)</i> es igual a la probabilidad estimada de no experimentar el evento en el tiempo<i> t(1)</i> multiplicado por la probabilidad estimada de experimentar el evento en el tiempo<i> t(2)</i>, dado que sujeto todavía está en riesgo en <i>t(2).</i></font><font size="2" face="Verdana, Arial, Helvetica, sans-serif"><a name="_1jge09ywfob9"></a></font></p>      <p align="justify"><font size="2" face="Verdana, Arial, Helvetica, sans-serif">Otra función de interés para los datos de supervivencia es la <b>función de riesgo</b>, la función de intensidad o la tasa de incidencia <i>h(t)</i>. Esta representa el riesgo instantáneo del evento por unidad de tiempo, dado que el evento aún no se ha producido.</font></p>      <p align="justify"><font size="2" face="Verdana, Arial, Helvetica, sans-serif">La función de riesgo (o ratio de riesgo) representa el riesgo instantáneo del evento por unidad de tiempo, dado que éste no se ha producido aún y se denota como <i>h(t).</i> Se define como la probabilidad de falla durante un intervalo de tiempo muy pequeño, suponiendo que el sujeto de estudio ha sobrevivido hasta el inicio del intervalo, o como el límite de la probabilidad de que un sujeto falle en un intervalo muy corto, <i>t</i> a <i>t</i>+D dado que el individuo ha sobrevivido hasta el tiempo<i> t</i>. </font></p>      <p align="justify"><font size="2" face="Verdana, Arial, Helvetica, sans-serif">Para obtener una definición formal del riesgo, considere un evento que ocurre en un intervalo de tiempo de -t a t+&#916; (donde &#916; es positivo), es decir, <img src="/img/revistas/riyd/v18n2/a06_image013.png" width=78 height=16 align="absmiddle">. Si queremos la probabilidad de que ocurra el evento en el intervalo entre los que todavía corren el riesgo de experimentar el evento, debemos condicionarnos al evento que aún no se haya producido en el momento<i> t</i>, es decir, <img src="/img/revistas/riyd/v18n2/a06_image014.png" width=31 height=16 align="absmiddle">. La probabilidad condicional de que el evento ocurra en el intervalo de tiempo, dado que el evento aún no ha ocurrido es<img src="/img/revistas/riyd/v18n2/a06_image015.png" width=141 height=16 align="absmiddle">. El riesgo es esta probabilidad dividida por la longitud del intervalo de tiempo &#916; cuando el intervalo de tiempo se vuelve minúsculo.</font></p>      <p align="justify"><font size="2" face="Verdana, Arial, Helvetica, sans-serif">Si la probabilidad de ocurrencia del evento en el intervalo entre encontrarse en riesgo y experimentar el evento la condición es <img src="/img/revistas/riyd/v18n2/a06_image014.png" width=31 height=16 align="absmiddle">. Por tanto, la probabilidad condicional de la ocurrencia del evento se da por estas condiciones y el riesgo es la probabilidad dividida por la extensión del intervalo de tiempo cuando este es pequeño [16]:</font></p>      <p align=center><img src="/img/revistas/riyd/v18n2/a06_ecuacion_03.gif" width="741" height="37"></p>      <p align="justify"><font size="2" face="Verdana, Arial, Helvetica, sans-serif">La función de riesgo (3) puede alternativamente expresarse como la función de densidad <i>f (t)</i> dividida por la función de supervivencia <i>S (t)</i>. Dado que <i>T</i> en este caso es una variable continua y aleatoria, entonces la función de riesgo puede derivarse de la siguiente manera:</font></p>      <p align=center><img src="/img/revistas/riyd/v18n2/a06_ecuacion_04.gif" width="744" height="37"></p>      <p align="justify"><font size="2" face="Verdana, Arial, Helvetica, sans-serif">La función de supervivencia puede expresarse alternativamente como:</font></p>      <p align=center><img src="/img/revistas/riyd/v18n2/a06_ecuacion_05.gif" width="741" height="35"></p>      ]]></body>
<body><![CDATA[<p align="justify"><font size="2" face="Verdana, Arial, Helvetica, sans-serif">donde <img src="/img/revistas/riyd/v18n2/a06_image019.png" width=27 height=16 align="absmiddle"> es la función de riesgo integrada o la función de riesgo acumulativa.</font></p>      <p align="justify"><font size="2" face="Verdana, Arial, Helvetica, sans-serif"><a name="_3as4poj"></a>El riesgo es la derivada del riesgo acumulado, <i>H(t). </i>Así, estimamos la función de riesgo siguiendo los pasos de riesgo acumulado de Nelson-Aalen, suavizándolos con estimadores de kernel, para cada muerte observada en <img src="/img/revistas/riyd/v18n2/a06_image020.png" width=9 height=17 align="absmiddle">, llegando a obtener una contribución de riesgo estimada:</font></p>      <p align=center><img src="/img/revistas/riyd/v18n2/a06_ecuacion_06.gif" width="740" height="33"></p>      <p align="justify"><font size="2" face="Verdana, Arial, Helvetica, sans-serif">Posteriormente podemos estimar <i>h(t)</i> con:</font></p>      <p align=center><img src="/img/revistas/riyd/v18n2/a06_ecuacion_07.gif" width="741" height="32"></p>      <p align="justify"><font size="2" face="Verdana, Arial, Helvetica, sans-serif">Para funciones de densidad simétricas <i>K( )</i> (de núcleo) y ancho de banda <i>b;</i> la suma es hasta <i>D</i> veces que la falla ocurra.</font></p>      <p align="justify"><font size="2" face="Verdana, Arial, Helvetica, sans-serif"><b>3.3.1.1. Test de Hipótesis de Log-Rank</b></font></p>      <p align="justify"><font size="2" face="Verdana, Arial, Helvetica, sans-serif">El test de Log-rank o prueba de logaritmo del rango, es como su nombre lo indica, una prueba que permite hacer una comparación entre dos o más curvas de supervivencia, siendo que su hipótesis nula es que no hay diferencia entre dichas curvas (H0: h1(t)=h2(t)=...=hr(t)). Esta compara el número de eventos de interés en cada grupo con el número de eventos de interés que podrían esperarse, asignando al mismo tiempo ponderaciones iguales para cada uno de estos grupos [17]. Este sigue una distribución de tipo chi cuadrado con n-1 grados de libertad. Para la comparación entre dos grupos de análisis, el cálculo se hace de la siguiente manera:</font></p>     <p align="center"><img src="/img/revistas/riyd/v18n2/a06_ecuacion_08.gif" width="744" height="42"></p>     <p align="justify"><font size="2" face="Verdana, Arial, Helvetica, sans-serif">donde: <img src="/img/revistas/riyd/v18n2/a06_image024.png" width=14 height=16 align="absmiddle"> = número de eventos de interés observados en el grupo 1, <img src="/img/revistas/riyd/v18n2/a06_image025.png" width=13 height=16 align="absmiddle">= número de eventos de interés esperados en el grupo 1, <img src="/img/revistas/riyd/v18n2/a06_image026.png" width=14 height=16 align="absmiddle"> = número de eventos de interés observados en el grupo 2 y <img src="/img/revistas/riyd/v18n2/a06_image027.png" width=14 height=16 align="absmiddle"> = número de eventos de interés esperados en el grupo 2.</font></p>      ]]></body>
<body><![CDATA[<p align="justify"><font size="2" face="Verdana, Arial, Helvetica, sans-serif">Si hay interés de hacer una comparación con r grupos, se asume que, en los grupos combinados hay k distintos tiempos de falla, que en el tiempo de falla <i>t</i><sub>j</sub> hay <i>r</i><sub>j</sub> sujetos en riesgo, de los cuales dj experimentan el evento y (<i>r</i><sub>j</sub>&#8722;<i>d</i><sub>j</sub>) sobreviven.</font></p>      <p align="justify"><font size="2" face="Verdana, Arial, Helvetica, sans-serif"><b>3.3.2. Modelos de Riesgos Proporcionales de Cox</b></font></p>      <p align="justify"><font size="2" face="Verdana, Arial, Helvetica, sans-serif">El modelo de riesgo proporcional es el modelo más utilizado para representar los efectos de un conjunto de variables explicativas sobre la probabilidad de falla, suponiendo que el sujeto de estudio ha sobrevivido hasta el momento <img src="/img/revistas/riyd/v18n2/a06_image028.png" width=6 height=16 align="absmiddle">, es decir, sobre la función de riesgo<i> h(t)</i> [16]. Suponemos que para cada sujeto tenemos un vector X de variables explicativas. En nuestro caso, la función de riesgo nos muestra el riesgo de muerte del menor de 5 años.</font></p>      <p align="justify"><font size="2" face="Verdana, Arial, Helvetica, sans-serif">El modelo de Cox expresa la función de riesgo en función del tiempo y de un conjunto de covariables que definen al sujeto en estudio del siguiente modo: </font></p>      <p align=center><img src="/img/revistas/riyd/v18n2/a06_ecuacion_09.gif" width="741" height="33"></p>      <p align="justify"><font size="2" face="Verdana, Arial, Helvetica, sans-serif">El modelo de Cox asume que las covariables cambian multiplicativamente respecto al riesgo de base (también se interpreta que la función de riesgo basal sería aquella función “básica” del modelo si éste no incorporara predictores) de la función de riesgo y no se asume que el riesgo tiene una forma en particular a través del tiempo. Este afirma que el ratio de riesgo para el j-ésimo sujeto en los datos es (8), donde los coeficientes de la regresión <img src="/img/revistas/riyd/v18n2/a06_image031.png" width=12 height=17 align="absmiddle"> son estimados de los datos.</font></p>      <p align="justify"><font size="2" face="Verdana, Arial, Helvetica, sans-serif">En el modelo de Cox se busca como primer paso la relación entre los riesgos de muerte de dos individuos expuestos a factores de riesgo diferentes. Para ello, el modelo parte de una hipótesis fundamental, la de que los riesgos son proporcionales. Para comprender esta noción definiremos previamente la denominada “razón de riesgos” (Hazard Ratio, HR) entre dos sujetos con diferente vector de covariables <img src="/img/revistas/riyd/v18n2/a06_image032.png" width=79 height=17 align="absmiddle"> y <img src="/img/revistas/riyd/v18n2/a06_image033.png" width=92 height=17 align="absmiddle">  como [15]:</font></p>      <p align=center><img src="/img/revistas/riyd/v18n2/a06_ecuacion_10.gif" width="743" height="38"></p>      <p align="justify"><font size="2" face="Verdana, Arial, Helvetica, sans-serif">Se observa que el resultado de la razón de riesgo (9) no depende de la función de riesgo basal, tan sólo del valor de los predictores y de las betas estimadas, es decir, no depende del tiempo. Por lo tanto, en el modelo de Cox se supone la hipótesis de que los riesgos son proporcionales, ya que se suponen covariables no dependientes del tiempo. La hipótesis de riesgos proporcionales significa explícitamente que la razón de riesgo (9) es constante en el tiempo: <img src="/img/revistas/riyd/v18n2/a06_image035.png" width=171 height=16 align="absmiddle"> Si se aplica a la expresión resultante en el modelo de Cox (9), denominando <img src="/img/revistas/riyd/v18n2/a06_image036.png" width=8 height=16 align="absmiddle"> a la constante y una vez estimados los coeficientes de la regresión por máxima verosimilitud parcial, tenemos que la razón de proporcionalidad es constante en el tiempo e igual a:</font></p>      <p align=center><img src="/img/revistas/riyd/v18n2/a06_ecuacion_11.gif" width="742" height="28"></p>      ]]></body>
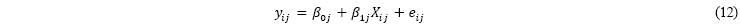
<body><![CDATA[<p align="justify"><font size="2" face="Verdana, Arial, Helvetica, sans-serif"><b>3.4. Modelo de Riesgos Proporcionales de Cox Multinivel O Jerárquico</b></font></p>      <p align="justify"><font size="2" face="Verdana, Arial, Helvetica, sans-serif">Andréu (2011), establece que el análisis multinivel es una respuesta a la necesidad de analizar la relación entre los individuos y los diversos contextos en los que se desenvuelven. Las hipótesis de partida de estos modelos nos dicen que los individuos pertenecientes a un mismo contexto tenderán a ser más similares en su comportamiento entre sí, que respecto a su pertenencia a distintos contextos.</font></p>      <p align="justify"><font size="2" face="Verdana, Arial, Helvetica, sans-serif">El objetivo fundamental del análisis multinivel, es modelar estadísticamente la influencia de variables contextuales sobre las actitudes o los comportamientos medidos a nivel individual. Separar los efectos composicionales (características a nivel del niño-madre) de los contextuales para explicar las causas de la mortalidad de la niñez menor de cinco años no es una tarea fácil. Si bien puede ser posible abordarlos con metodologías tradicionales como la regresión lineal múltiple o la regresión logística, se presentan algunos problemas en los supuestos básicos para el ajuste de los modelos, lo que hace que se pierda explicación útil proveniente del contexto del individuo, ya que con estos modelos se hacen análisis sin tener en cuenta la jerarquía en los datos y se analizan las variables de interés como si todas perteneciesen solo al nivel composicional [16]</font></p>      <p align="justify"><font size="2" face="Verdana, Arial, Helvetica, sans-serif">Modelos como los mencionados estiman la variación dentro de los contextos sociales en una población y entre ellos mismos; tienen la capacidad de evaluar las pequeñas fluctuaciones que los métodos tradicionales no alcanzan a detectar y, más específicamente, de introducir las características de los individuos en un modelo que relacione las variables del ambiente cercano con las características del contexto social que rodea al individuo, evitando fenómenos como la falacia ecológica (consistiría, fundamentalmente, en atribuir a los miembros de un agregado estadístico las propiedades de tal agregado) y la falacia individualista (inferir incorrectamente a partir de unidades de nivel inferior la condición de sistemas de más alto orden, se trata muy raramente en la literatura metodológica), en los que se presenten relaciones espurias por no tener en cuenta la variabilidad de los contextos. Con los modelos tradicionales pueden ser adaptados a distintas propiedades estadísticas, como son el de varianza constante e independencia entre las unidades de estudio. En individuos agrupados en un contexto, la variabilidad es distinta entre diferentes grupos [18].</font></p>      <p align="justify"><font size="2" face="Verdana, Arial, Helvetica, sans-serif">Desde un punto de vista puramente estadístico, el análisis multinivel, también denominado análisis jerárquico, permite resolver la limitación del uso de modelos de regresión múltiple que invalidan la hipótesis de independencia cuando se presenta mayor homogeneidad entre individuos de un mismo grupo respecto a individuos de distintos grupos. Esta similitud entre los individuos dentro de los grupos establece una estructura de correlación intracontextual (intracluster) que impide el cumplimiento de la hipótesis de independencia sobre la que están basados los modelos de regresión tradicionales e invalida, por tanto, sus métodos de estimación, lo que se traduce en estimaciones incorrectas de los errores estándar [19]. Según Sánchez y Ocaña [20] los modelos multinivel resuelven dos problemas que se presentan cuando se usan análisis de un único nivel a datos que son jerárquico: 1º.- Problemas estadísticos de correlación entre los individuos en la estimación de los mínimos cuadrados ordinarios ineficientes y con significaciones espurias. 2º.- Problemas conceptuales ya que se emplea el nivel equivocado (analizar los datos a un nivel y extraer conclusiones a otro). Desde esta segunda problemática nos podemos encontrar con dos tipos de falacia, a) falacia ecológica (interpretar datos agregados a nivel individual) y b) la falacia atomística (interpretación agregada a partir de datos individuales). Además, resuelven otros problemas tales como fijar el efecto directo de las variables explicativas individuales de grupo, determinar si las variables de grupo “moderan” las relaciones a nivel individual (interacciones entre niveles) y establecer qué porcentaje de variabilidad de la variable explicada o dependiente, una vez controlada por las variables explicativas, es imputable al individuo y que porcentaje es imputable al grupo. El análisis multinivel tiene por lo tanto como objetivo, modelizar estadísticamente la influencia de variables contextuales sobre las actitudes o los comportamientos medidos a nivel individual. En este sentido, nos permite, en ciencias sociales, tener en cuenta el efecto de las variables de la estructura social y económica sobre el individuo [21] </font></p>      <p align="justify"><font size="2" face="Verdana, Arial, Helvetica, sans-serif">El supuesto es que &quot;los niños (nivel 1) están anidados dentro de las comunidades (nivel 2)&quot;, [10]. Esto sugiere que los individuos con similares características del hogar pueden tener diferentes resultados de salud cuando residen en diferentes comunidades con características diferentes. Griffith <i>et al.</i> [22] opinaron que sería metodológicamente incorrecto ajustar un modelo de regresión estándar de un solo nivel en el análisis de la supervivencia de menores cinco años. Esto se debe a que los modelos de regresión estándar no pueden manejar la estructura jerárquica en los conjuntos de datos debido a su suposición de independencia[22]. En este estudio, por lo tanto, se llevó a cabo un análisis de regresión de riesgos proporcionales de múltiples niveles de Cox para determinar hasta qué punto los determinantes contextuales explican la mortalidad de menores de cinco años en Bolivia. El modelo de riesgos proporcionales de Cox (es decir, el análisis de supervivencia) es apropiado para analizar observaciones censuradas, como la mortalidad del menor de 5 años. Además, el análisis del modelo de riesgos puede hacerse para cuidar la estructura multinivel o jerárquica de los datos de la ENDSA (es decir, la interdependencia de los determinantes, porque los niños y madres (nivel 1) están anidados dentro de las comunidades (nivel 2). La modelación multinivel proporciona un mejor análisis que producirá resultados más sólidos sobre los factores asociados con la mortalidad de la niñez menor de cinco años.</font></p>      <p align="justify"><font size="2" face="Verdana, Arial, Helvetica, sans-serif">Se hace referencia a modelos jerárquicos donde las unidades se clasifican por algún factor en clusters (grupos) de nivel superior. Las unidades en este nivel superior son subclasificadas por un factor adicional en un cluster de nivel más bajo y así sucesivamente.</font></p>      <p align="justify"><font size="2" face="Verdana, Arial, Helvetica, sans-serif">Para relajar la suposición de independencia condicional entre las respuestas para el mismo niño analizado dadas las covariables, podemos incluir un intercepto aleatorio específico de la comunidad en el predictor lineal para obtener un modelo de regresión de intercepto aleatorio. El análisis de regresión multinivel de riesgos proporcionales de Cox, es la extensión de una regresión de intercepto aleatorio, donde varían los niveles de clusters. Por efectos prácticos, se determinará como primer nivel <i>i</i> (niños) y  <i>j</i> (cluster).</font></p>      <p align="justify"><font size="2" face="Verdana, Arial, Helvetica, sans-serif">Para empezar, una regresión de dos niveles puede escribirse como [23]:</font></p>      <p align=center><img src="/img/revistas/riyd/v18n2/a06_ecuacion_12.gif" width="740" height="28"></p>      ]]></body>
<body><![CDATA[<p align="justify"><font size="2" face="Verdana, Arial, Helvetica, sans-serif">donde <img src="/img/revistas/riyd/v18n2/a06_image039.png" width=16 height=17 align="absmiddle"> representa el valor de la variable dependiente del niño i en el grupo (cluster)  j del nivel 2. El coeficiente <img src="/img/revistas/riyd/v18n2/a06_image040.png" width=18 height=17 align="absmiddle">, conocido como intercepto o constante, representa la media del riesgo de muerte de un niño el cual obtiene cero puntos en el predictor <img src="/img/revistas/riyd/v18n2/a06_image041.png" width=17 height=17 align="absmiddle">. El coeficiente <img src="/img/revistas/riyd/v18n2/a06_image042.png" width=18 height=17 align="absmiddle">, conocido como pendiente o coeficiente de regresión, representa el cambio que pronostica el modelo en el riesgo de muerte por cada unidad de cambio en el predictor. El término error <img src="/img/revistas/riyd/v18n2/a06_image043.png" width=15 height=17 align="absmiddle"> representa el error asociado a cada predicción individual que realiza el modelo, error que se supone que se distribuye normalmente y con varianza <img src="/img/revistas/riyd/v18n2/a06_image044.png" width=17 height=16 align="absmiddle"> En la ecuación tanto el intercepto (<img src="/img/revistas/riyd/v18n2/a06_image040.png" width=18 height=17 align="absmiddle">) como la pendiente (<img src="/img/revistas/riyd/v18n2/a06_image042.png" width=18 height=17 align="absmiddle">) aparecen con el subíndice j, lo que informa de que cada unidad de nivel 2 (cluster) tiene su propio intercepto y su propia pendiente, es decir, no se los interpreta como parámetros fijos, sino que pueden variar entre las unidades de 2do novel (cluster). Por esta razón, s incluye en el modelo un predictor perteneciente al nivel 2 (cluster), con el objetivo de poder dar una explicación de esa variabilidad. Tanto el intercepto como la pendiente se especifican de la siguiente forma:</font></p>      <p align="center"><img src="/img/revistas/riyd/v18n2/a06_ecuacion_13.gif" width="739" height="51"></p>      <p align="justify"><font size="2" face="Verdana, Arial, Helvetica, sans-serif">Se obtiene la expresión prototipo de un modelo multinivel de dos niveles, el cual es un caso especial del&nbsp;modelo general mixto propuesto por Harville (1977) [23]:</font></p>      <p align=center><img src="/img/revistas/riyd/v18n2/a06_ecuacion_14.gif" width="740" height="31"></p>      <p align="justify"><font size="2" face="Verdana, Arial, Helvetica, sans-serif">El parámetro <img src="/img/revistas/riyd/v18n2/a06_image047.png" width=18 height=16 align="absmiddle"> indica el valor promedio del riesgo de muerte&nbsp;cuando el predictor de nivel 2 (cluster) es cero. El parámetro <img src="/img/revistas/riyd/v18n2/a06_image048.png" width=18 height=16 align="absmiddle"> indica el efecto principal del predictor&nbsp;de nivel 2 (cluster) sobre el intercepto. El parámetro <img src="/img/revistas/riyd/v18n2/a06_image049.png" width=18 height=16 align="absmiddle"> indica la relación entre el predictor&nbsp;de nivel de niños y el riesgo de muerte en función del predictor de&nbsp;nivel 2 (cluster). El parámetro <img src="/img/revistas/riyd/v18n2/a06_image050.png" width=18 height=16 align="absmiddle"> indica el efecto del predictor de nivel&nbsp;2 (cluster) en la relación del predictor de nivel 1 (niños) y el riesgo de muerte. El Factor aleatorio <img src="/img/revistas/riyd/v18n2/a06_image051.png" width=18 height=17 align="absmiddle"> es el promedio del riesgo de muerte, manteniendo constante el predictor del nivel 2 (cluster). El Factor aleatorio <img src="/img/revistas/riyd/v18n2/a06_image052.png" width=18 height=17 align="absmiddle"> es la pendiente del riesgo de muerte, manteniendo constante el predictor del nivel 2 (cluster). El término interacción <img src="/img/revistas/riyd/v18n2/a06_image053.png" width=28 height=17 align="absmiddle">, denominado habitualmente como interacción entre niveles, es consecuencia de&nbsp;modelar la variación del coeficiente de regresión (<img src="/img/revistas/riyd/v18n2/a06_image042.png" width=18 height=17 align="absmiddle">) del&nbsp;predictor de nivel 1 (niños) con el predictor de nivel 2 (cluster). Expresa el efecto moderador del predictor de nivel superior en la&nbsp;relación entre el riesgo de muerte y el predictor de nivel inferior (niños).</font></p>      <p align="justify"><font size="2" face="Verdana, Arial, Helvetica, sans-serif">Así, si la variación del riesgo de muerte en las unidades de mayor nivel (cluster) no fuese significativa, no se justificaría el análisis multinivel. Para justificar la especificación de un modelo multinivel partimos de analizar el coeficiente de correlación intracluster<a href="#_ftn6" name="_ftnref6" title=""><sup>[6]</sup></a> el cual establece la proporción de la varianza total explicada por diferencias entre clusters. Una reducción del CCI al introducir un nuevo predictor en el modelo indica que tal predictor ha explicado una cantidad importante de variabilidad en el nivel superior. </font></p>      <p align="justify"><font size="2" face="Verdana, Arial, Helvetica, sans-serif">Estos modelos proporcionan comprensión sobre las influencias de los factores individuales, hogar y comunidad (contexto) sobre las oportunidades de supervivencia de los niños. Los distintos modelos se describen de la siguiente manera:</font></p>      <blockquote>       <p align="justify"><font size="2" face="Verdana, Arial, Helvetica, sans-serif"><b>Modelo 0 -</b> Este es el modelo vacío     que no contiene variables explicativas. Este modelo se enfocó principalmente en     la descomposición de la varianza total en componentes individuales y     comunitarios.</font></p>       <p align="justify"><font size="2" face="Verdana, Arial, Helvetica, sans-serif"><b>Modelo 1 -</b> Este modelo consideró     sólo la covariante región de residencia (zona) con el fin de examinar la     influencia independiente de la región (zona) donde los niños nacieron y se     criaron en su oportunidad de supervivencia.</font></p>       ]]></body>
<body><![CDATA[<p align="justify"><font size="2" face="Verdana, Arial, Helvetica, sans-serif"><b>Modelo 2 -</b> Modelo 2 incorporó las variables a nivel del niño y la madre en     el análisis multinivel.</font></p>       <p align="justify"><font size="2" face="Verdana, Arial, Helvetica, sans-serif"><b>Modelo 3 -</b> Modelo 3 incorporó las variables a nivel del hogar en el análisis     multinivel</font></p>       <p align="justify"><font size="2" face="Verdana, Arial, Helvetica, sans-serif"><b>Modelo 4 -</b> Modelo 4 incorporó las variables a nivel de la comunidad en el     análisis multinivel.</font></p>       <p align="justify"><font size="2" face="Verdana, Arial, Helvetica, sans-serif"><b>Modelo 5 -</b> Este es el modelo final.     La construcción de este modelo involucró dos pasos. En primer lugar, se realizó     un análisis de supervivencia gradual para determinar las variables clave     asociadas con la mortalidad. En segundo lugar, todas las variables seleccionadas     mediante el análisis de regresión de Cox paso a paso se incorporaron en el     modelo multinivel.</font></p>       <p align="justify">&nbsp;</p> </blockquote>     <p align="justify"><font size="3" face="Verdana, Arial, Helvetica, sans-serif"><b>4. RESULTADOS Y ANÁLISIS</b></font></p>      <p align="justify"><font size="2" face="Verdana, Arial, Helvetica, sans-serif">A continuación, mostramos las curvas de supervivencia de la mortalidad de la niñez para los años 2003, 2008 y 2016, y el análisis de riesgo para un modelo Cox multinivel para los tres años de estudio. </font></p>      <p align="justify"><font size="2" face="Verdana, Arial, Helvetica, sans-serif"><b>4.1. Curvas de supervivencia</b></font></p>      <p align="justify"><font size="2" face="Verdana, Arial, Helvetica, sans-serif">La <a href="#f1">Figura 1</a> muestra las curvas de supervivencia de los menores de 5 años el 2003, 2008 y 2016. En general, podemos observar que la probabilidad de que un niño sobreviva hasta el quinto año de vida fue superior al 90% entre 2003 y 2016. Pero, además, esta probabilidad aumenta en el tiempo, lo que indica que hubo una mejora en la tasa de mortalidad de la niñez durante el periodo de análisis. En específico, la probabilidad de supervivencia de un niño que alcanza los 5 años de edad fue 93.82% el 2003; esta probabilidad subió a 95.46% el 2008 y 96.9% el 2016. Utilizamos el test log-Rank para establecer que estas diferencias fueron estadísticamente significativas. </font></p>      <p align=center><a name="f1"></a><img src="/img/revistas/riyd/v18n2/a06_figura_01.gif" width="482" height="346"></p>     ]]></body>
<body><![CDATA[<p align=center>&nbsp;</p>     <p align=center><a name="t2"></a><img src="/img/revistas/riyd/v18n2/a06_tabla_02.gif" width="644" height="287"></p>     <p align="justify"><font size="2" face="Verdana, Arial, Helvetica, sans-serif">La <a href="#f2">Figura 2</a> muestra las curvas de supervivencia de los menores de 5 años que murieron durante los 5 años anteriores al momento de cada encuesta, el 2003, 2008 y 2016. </font></p>     <p align="center"><a name="f2"></a><img src="/img/revistas/riyd/v18n2/a06_figura_02.gif" width="512" height="344"></p>     <p align="center">&nbsp;</p>     <p align="center"><a name="t3"></a><img src="/img/revistas/riyd/v18n2/a06_tabla_03.gif" width="641" height="291"></p>     <p align="justify"><font size="2" face="Verdana, Arial, Helvetica, sans-serif">El área debajo de la curva muestra el tiempo promedio que un niño menor de 5 años demora en morir. Como podemos observar, esta área se hace sucesivamente más pequeña a medida que pasan años analizados, lo que indica que, si un niño muere, lo hace cada vez siendo más joven. En 2003, la probabilidad de que un niño sobreviva hasta el 10mo mes de vida era del 25%; mientras que esta probabilidad cae alrededor de 5 puntos porcentuales el 2008 y 3 puntos porcentuales más el 2016. El test log-Rank muestra que las diferencias en las curvas de supervivencia para los 3 momentos de análisis son estadísticamente significativas. </font><font size="2" face="Verdana, Arial, Helvetica, sans-serif">                </font></p>      <p align="justify"><font size="2" face="Verdana, Arial, Helvetica, sans-serif">Los dos patrones observados en los datos - una caída en la mortalidad de la niñez y una mayor concentración de las muertes en los primeros meses de vida - son consistentes con la tendencia mundial de la mortalidad de la niñez. Como se puede observar en la <a href="#f3">Figura 3</a>, la tasa de la mortalidad de la niñez también tuvo una tendencia decreciente entre 1991 y 2018. Además, la caída en la mortalidad de la niñez fue más pronunciada que la caída en la mortalidad infantil y la mortalidad neonatal, lo que indica que la mayor parte del descenso en la mortalidad de la niñez está explicada por una reducción en la mortalidad postinfantil (de 1 a 4 años). De hecho, al comparar el año 1991 con el 2018, podemos observar un incremento en el porcentaje de muertes ocurridas durante el primer mes de vida respecto al total de muertes en menores de 5 años.</font></p>      <p align=center><a name="f3"></a><img src="/img/revistas/riyd/v18n2/a06_figura_03.gif" width="518" height="330"></p>      <p align="justify"><font size="2" face="Verdana, Arial, Helvetica, sans-serif">Estimaciones a nivel mundial el año 2010 apuntaban que entre las principales causas de muerte durante la niñez se encontraban desórdenes infecciosos, entre los principales: neumonía, diarrea y malaria. Durante el periodo neonatal prevalecen las muertes por complicaciones por nacimientos prematuros, complicaciones relacionadas al parto sepsis neonatal o meningitis. También reportan un número importante de muertes las lesiones, anomalías congénitas y SIDA. Por otro lado, el panorama para el año 2016, mostraba que entre las principales causas de muerte durante la niñez se encontraban: la sepsis, infecciones respiratorias, condiciones perinatales y nutricionales. Durante el periodo neonatal destacan complicaciones por nacimientos prematuros, sepsis y otras condiciones infecciosas, e infecciones respiratorias [24].</font></p>      ]]></body>
<body><![CDATA[<p align="justify"><font size="2" face="Verdana, Arial, Helvetica, sans-serif">En general, podemos notar que la caída en la mortalidad de la niñez en los últimos años está asociada a una reducción de la mortalidad por enfermedades infecciosas, las cuales tienden a estar influenciadas por factores ambientales (entorno del hogar, clima, infraestructura) y de comportamiento (competencia de los padres, preferencias, valores e influencias culturales) en distintos periodos de la niñez[24]. Como veremos en la siguiente sección, estos factores también contribuyen a explicar el riesgo de morir de los niños en el caso boliviano.</font></p>      <p align="justify"><font size="2" face="Verdana, Arial, Helvetica, sans-serif"><b>4.2. Factores Determinantes de la Mortalidad de la Niñez</b></font></p>      <p align="justify"><font size="2" face="Verdana, Arial, Helvetica, sans-serif">A continuación, describimos los principales resultados del modelo de riesgo proporcional de Cox multinivel para los 3 años de estudio: 2003, 2008, 2016. En cada una de las secciones analizamos los resultados con el apoyo del marco teórico de Sastry, que divide el análisis en factores individuales, familiares y comunitarios.</font></p>      <p align="justify"><font size="2" face="Verdana, Arial, Helvetica, sans-serif"><b>4.2.1. ENDSA 2003</b></font></p>      <p align="justify"><font size="2" face="Verdana, Arial, Helvetica, sans-serif">La siguiente tabla muestra los resultados de la especificación final del año 2003. Este año, a diferencia de los siguientes, tiene efectos aleatorios estadísticamente no significativos, por lo que el modelo estimado no es un modelo mixto, sino simplemente un modelo de efectos fijos. Como señalamos previamente, los efectos aleatorios capturan heterogeneidades no observables a nivel de la comunidad. Si estos efectos no son significativos, la correlación intraclase es baja, que implica que los factores individuales, familiares y la región de residencia son los que explican en mayor medida el riesgo de muerte.</font></p>      <p align=center><a name="t4"></a><img src="/img/revistas/riyd/v18n2/a06_tabla_04.gif" width="556" height="635"></p>      <p align="justify"><font size="2" face="Verdana, Arial, Helvetica, sans-serif">Según nuestras estimaciones, la lactancia materna es uno de los factores más relevantes para explicar el riesgo de muerte. Los resultados muestran que los menores de 5 años que recibieron de lactar al menos 6 meses disminuyen en 1.66 veces su riesgo de muerte en relación a los niños que lactaron menos de 6 meses, mientras que los menores que jamás lactaron tienen 80 por ciento más riesgo de muerte. A corto plazo, la lactancia genera efectos protectores contra enfermedades diarreicas, de manera más intensa en menores de 6 meses, y también contra infecciones respiratorias, las cuales están entre las principales causas de muerte durante el periodo de la niñez[25].</font></p>      <p align="justify"><font size="2" face="Verdana, Arial, Helvetica, sans-serif">El intervalo de nacimiento calcula el tiempo transcurrido entre el momento del nacimiento del hermano menor y el nacimiento del niño. Los resultados muestran que los niños que nacieron más de dos años después del nacimiento de su hermano tienen 47% menos riesgo de morir respecto a niños con un intervalo menor. Tal como demuestra la evidencia el trabajo realizado por Curtis, Diamond y McDonald [26], intervalos de nacimientos espaciados contribuyen a reducir los riesgos de mortalidad, sobre todo en el periodo postneonatal. </font></p>      <p align="justify"><font size="2" face="Verdana, Arial, Helvetica, sans-serif">El nivel de educación de la madre también genera cambios significativos, tomando como referencia la categoría “Ninguna”, los menores con madres que sólo alcanzaron el nivel primario tienen un riesgo de morir de 22% menor en relación a la referencia. Los menores que tienen una madre que haya alcanzado la educación secundaria tienen un riesgo de morir 40% menor, y niños cuyas madres que tengan educación superior tienen un riesgo de morir 1.11 veces menor respecto a la categoría de referencia. Las madres con un elevado nivel de educación formal suelen estar expuestas a más y mejores pautas para el cuidado de la salud de los niños, durante y después del embarazo [27].</font></p>      <p align="justify"><font size="2" face="Verdana, Arial, Helvetica, sans-serif">En cuanto al tamaño del hogar, se observa que mientras mayor el número de miembros en el hogar, reduce más el riesgo de muerte del menor de 5 años. Tomando como referencia hogares con 4 miembros o menos, el riesgo de morir disminuye en 53% cuando el hogar tiene entre 5-6 miembros, y disminuye en 90% cuando el hogar tiene al menos 7 miembros. Familias con más de 4 miembros probablemente pueden ser consideradas familias extendidas, donde están incluidos abuelos, tíos, etc. Estas personas constituyen un apoyo adicional para el cuidado de los niños, especialmente entre las familias indígenas, lo que podría explicar el efecto de tener una familia numerosa en la mortalidad de la niñez [28].</font></p>      ]]></body>
<body><![CDATA[<p align="justify"><font size="2" face="Verdana, Arial, Helvetica, sans-serif">Medimos el status socioeconómico a partir de los quintiles del índice de riqueza de la encuesta, detallado previamente. El status socioeconómico contribuye a la reducción del riesgo de muerte en algunos casos, a saber, cuando comparamos a menores que están en los extremos de la distribución de riqueza. Casi todos los quintiles intermedios no resultaron estadísticamente significativos. Los resultados indican que los menores que se encuentran en el quintil más rico tienen un riesgo de muerte menor en 81% respecto a los menores del quintil más pobre. Adicionalmente, observamos que el riesgo de muerte para menores con status socioeconómico mediano es menor en 23% respecto al de los más pobres. La relación negativa entre los niveles de ingresos y mortalidad es conocida, y se tiende a profundizar en países de ingresos medios y bajos. </font></p>      <p align="justify"><font size="2" face="Verdana, Arial, Helvetica, sans-serif">Los resultados muestran que los menores que nacen en el hospital o algún centro de salud tienen un riesgo de muerte 40% menor que los que nacen en el hogar. Esto es consistente con los hallazgos del estudio de mortalidad materna en Bolivia, que encuentra que la atención del parto en casa está asociada a una mayor mortalidad materna [29].</font></p>      <p align="justify"><font size="2" face="Verdana, Arial, Helvetica, sans-serif">La distancia para llegar al centro de salud también presenta efectos significativos, siendo que los menores cuyas madres reportaron que la distancia no era un problema tenían 22% menos probabilidad de muerte respecto a menores cuyas madres reportaron que sí les generaba un problema. Evidencia en otros países muestran que las distancia a un centro de salud está asociado con el incremento del riesgo de muerte de un niño, sobre todo en áreas remotas. Mientras más larga sea la distancia recorrida, así como tiempo de viaje, el riesgo tiende a ser más alto [30].</font></p>      <p align="justify"><font size="2" face="Verdana, Arial, Helvetica, sans-serif">Entre las variables que no varían a nivel individual o familiar, encontramos que la zona de residencia es estadísticamente significativa. Para el año 2003, observamos que menores que viven en el Oriente del país tienen 54% menos riesgo de muerte que menores que viven en Occidente. Según Anaya [31] las regiones de los valles y altiplanos, que forman parte del occidente del país, concentran mayor proporción de muertes por factores propios del entorno y ecología de estas regiones.</font></p>      <p align="justify"><font size="2" face="Verdana, Arial, Helvetica, sans-serif"><b>4.2.2. ENDSA 2008</b></font></p>      <p align="justify"><font size="2" face="Verdana, Arial, Helvetica, sans-serif">La principal diferencia en los resultados del año 2008 respecto al 2003 es que ahora los efectos aleatorios son estadísticamente significativos, de hecho, se estima una correlación intraclase de 10.2% en el modelo final. Esto denota la característica jerárquica de los datos, es decir, el riesgo de muerte no solamente es explicado por características individuales y familiares, sino también por características comunitarias. Los efectos aleatorios en el modelo capturan la heterogeneidad no observable a nivel de la comunidad. Por ejemplo, existirán comunidades intrínsicamente más riesgosas que otras por condiciones climatológicas específicas y el grado de accesibilidad geográfica a servicios públicos. </font></p>      <p align="justify"><font size="2" face="Verdana, Arial, Helvetica, sans-serif">Después de controlar el modelo por efectos aleatorios, factores como el lugar de residencia e intervalo de nacimiento, que fueron significativos el año 2003, continúan siendo significativos el año 2008. Además, el 2008 la edad de la madre, la afiliación étnica, el acceso a electricidad y tener refrigerador son estadísticamente significativos.</font></p>      <p align=center><a name="t5"></a><img src="/img/revistas/riyd/v18n2/a06_tabla_05.gif" width="631" height="622"></p>      <p align="justify"><font size="2" face="Verdana, Arial, Helvetica, sans-serif">En el modelo 5 (final) se observan efectos significativos en la zona de residencia, siendo que cuando el menor nace en los valles y llanos su riesgo de morir es 39% y 47% menor respecto a un menor nacido en el altiplano. A pesar de que las categorías no son estrictamente comparables, la magnitud del efecto de vivir en el altiplano es semejante a la de vivir en el occidente el año 2003 (que contiene a la región altiplánica del país). Asimismo, los resultados muestran que, si el intervalo de nacimiento entre el niño y su hermano menor fue de más de dos años, el riesgo de muerte es menor en 53% respecto a niños con un intervalo de nacimiento inferior. Este resultado es semejante en magnitud al del 2003.</font></p>      <p align="justify"><font size="2" face="Verdana, Arial, Helvetica, sans-serif">El modelo 5 también muestra que los niños cuyas madres tenían 19 o más años al dar a luz, tienen 35% menos riesgo de morir respecto a niños con madres más jóvenes. Por otro lado, la afiliación étnica de la madre muestra que un menor nacido de una mujer que no se identifica con alguna etnia tiene 32% menos riesgo de morir respecto a un menor con madre afiliada a una etnia. Finalmente, la electricidad, como un servicio básico, también tiene un efecto significativo, generando diferencias sobre el riesgo de muerte en menores que no cuentan con electricidad en el hogar en relación a los que sí la tienen. El riesgo de los segundos es 24 % menor respecto a los primeros.</font></p>      ]]></body>
<body><![CDATA[<p align="justify"><font size="2" face="Verdana, Arial, Helvetica, sans-serif"><b>4.2.3. EDSA 2016</b></font></p>      <p align="justify"><font size="2" face="Verdana, Arial, Helvetica, sans-serif">Los resultados del año 2016 son similares a los resultados del año 2008 en cuanto a la significancia de los efectos aleatorios, el efecto de la variable región y la afiliación étnica. La correlación intraclase en la última especificación (modelo 5) es de 20%, el doble de la observada en 2008. Esto indica que el 2016 las características idiosincráticas de las comunidades explican un mayor porcentaje de la variación en el riesgo de muerte respecto al año 2008. </font></p>      <p align="justify"><font size="2" face="Verdana, Arial, Helvetica, sans-serif">Por otro lado, el efecto significativo de la zona de residencia persiste en 2016, tomando a los menores nacidos en el altiplano como referencia, se puede determinar que los niños nacidos en los valles tienen un riesgo 37% menor a experimentar la muerte, mientras que los niños nacidos en los llanos tienen 54% menor riesgo de morir. Estos valores son similares a los observados en 2008 – 35 y 47%, respectivamente. Algo similar ocurre con la afiliación étnica que, al igual que en 2008, incrementa el riesgo de muerte de los menores de 5 años. Así, para aquellos niños cuya madre no se identifica con alguna etnia, la probabilidad de morir disminuye en 32% respecto al resto de los niños.</font></p>      <p align=center><a name="t6"></a><img src="/img/revistas/riyd/v18n2/a06_tabla_06.gif" width="604" height="621"></p>      <p align="justify"><font size="2" face="Verdana, Arial, Helvetica, sans-serif">Además de aumentar la importancia de los efectos aleatorios, que denotan nuevamente el carácter jerárquico de los datos, el nivel de educación de las mujeres en la comunidad resulta ser estadísticamente significativo y tiene efectos favorables sobre la mortalidad, mostrando que niños en comunidades con niveles de educación altos entre las mujeres, poseen riesgos de muerte menores respecto a niños en comunidades donde el nivel es bajo. Cuando el nivel de educación de la comunidad es medio, el riesgo de muerte disminuye en 30%, y cuando el nivel de la comunidad es alto, este riesgo es menor en 82%.</font></p>      <p align="justify"><font size="2" face="Verdana, Arial, Helvetica, sans-serif">Otras variables a nivel individual o familiar que resultan estadísticamente significativas el 2016 son el lugar del parto y el uso de métodos anticonceptivos. La primera variable también es significativa el 2003. En particular, podemos observar que, si un niño es atendido en un centro de salud durante el parto, el riesgo de morir disminuye en 39% respecto a haber sido atendido en una casa. Esta magnitud también es similar a la observada en 2003 (40%). Asimismo, el uso de métodos anticonceptivos de cualquier tipo por parte de la madre, permite disminuir la probabilidad de morir para un niño menor de 5 años de forma significativa respecto a uno cuya madre no usa ningún método. Este efecto disminuye el riesgo de muerte en 44% y 49% para los niños con madres que usan un método anticonceptivo tradicional o moderno, respectivamente.</font></p>     <p align="justify">&nbsp;</p>     <p align="justify"><font size="3" face="Verdana, Arial, Helvetica, sans-serif"><b>5. CONCLUSIONES</b></font></p>      <p align="justify"><font size="2" face="Verdana, Arial, Helvetica, sans-serif">El trabajo realiza un análisis comparativo de la tendencia de la mortalidad de la niñez y sus principales determinantes en 3 momentos del tiempo, los años 2003, 2008 y 2016. Mediante la estimación de curvas de supervivencia por métodos no paramétricos, encontramos dos resultados centrales relacionados con la tendencia de la mortalidad de la niñez. Primero, la probabilidad de supervivencia de los niños menores de 5 años en Bolivia aumentó significativamente a lo largo del tiempo. Segundo, el riesgo de muerte tiende a concentrarse en la etapa de la infancia, en especial durante el primer mes de vida. Estos resultados son consistentes con la reducción de la mortalidad de la niñez a nivel mundial, que también ha estado concentrada en el periodo post-infantil (mayores de 1 año); la reducción de muertes en el periodo neonatal, también conocido como “la parte dura de la mortalidad”, fue menor.</font></p>      <p align="justify"><font size="2" face="Verdana, Arial, Helvetica, sans-serif">La etapa neonatal, que dura los primeros 28 días de vida, es un periodo sensible donde nacimientos prematuros, infecciones y enfermedades genéticas condicionan el riesgo de muerte de los niños. Así, se esperaría que una atención adecuada del parto, la detección oportuna de complicaciones posteriores al nacimiento y la prevención de infecciones contribuyan a reducir la mortalidad en esta etapa. Además, mientras exista un progreso respecto a la reducción de la mortalidad en la niñez en general, se espera que las muertes se condicionen cada vez más a la dotación inicial de salud del niño que a otros factores prevenibles, por lo que se esperaría que las condiciones genéticas expliquen en mayor medida el riesgo de muerte.</font></p>      ]]></body>
<body><![CDATA[<p align="justify"><font size="2" face="Verdana, Arial, Helvetica, sans-serif">Por otro lado, la reducción de la mortalidad en la etapa post-infantil a nivel mundial durante el último decenio está asociada a una reducción de la mortalidad por enfermedades infecciosas, las cuales tienden a estar influenciadas por factores ambientales (entorno del hogar, clima, infraestructura) y de comportamiento (competencia de los padres, preferencias, valores e influencias culturales) en distintos periodos de la niñez [12]. Estos factores también contribuyen a explicar el riesgo de morir de los niños en el caso boliviano.</font></p>      <p align="justify"><font size="2" face="Verdana, Arial, Helvetica, sans-serif">Estimamos un modelo jerárquico de riesgos proporcionales de Cox para los años 2003, 2008 y 2016, que nos permita establecer los principales determinantes de la mortalidad de la niñez a lo largo de ese periodo. En general, observamos un efecto constante y persistente de la región de residencia, consistente con la estimación de Anaya para Bolivia en 1984, lo que denota la importancia de las condiciones geográficas en la mortalidad de la niñez. Los resultados muestran que el riesgo de muerte de los menores de 5 años es mayor en la zona del altiplano y valles en comparación con la zona de los llanos. Asimismo, observamos que el efecto de los factores idiosincráticos no observables de las comunidades, estimados mediante efectos aleatorios, es significativo a partir de 2008. Esto pone de manifiesto la jerarquía de los datos y muestra la importancia de las características locales en el riesgo de muerte.</font></p>      <p align="justify"><font size="2" face="Verdana, Arial, Helvetica, sans-serif">Consistente con la literatura de determinantes de la mortalidad de la niñez, encontramos un efecto significativo del intervalo de nacimiento, edad de la madre en el nacimiento y la educación de la madre sobre el riesgo de muerte para al menos dos de los 3 años de estudio. Niños que nacieron menos de dos años después de sus hermanos, con madres jóvenes (menores de 19 años) y con educación básica tienen un mayor riesgo de muerte.</font></p>      <p align="justify"><font size="2" face="Verdana, Arial, Helvetica, sans-serif">Finalmente, también encontramos un efecto significativo de la afiliación étnica y el lugar de parto sobre el riesgo de muerte de los niños. Los resultados muestran que los niños con madres afiliadas a alguna etnia tienen un riesgo de mortalidad mayor. Asimismo, los niños cuyo nacimiento no aconteció en un establecimiento de salud tienen un mayor riesgo de muerte. Esto ocurre los años 2003 y 2016, y la magnitud del efecto permanece en torno al 40% en estos dos años. Debido a la directa asociación entre el lugar de parto y la mortalidad en los primeros días de nacimiento, será necesario establecer si el efecto de esta variable es mayor sobre la mortalidad de los niños menores de un mes, lo que contribuiría a explicar la persistencia de la mortalidad en esta etapa de la vida de los niños.</font></p>     <p align="justify">&nbsp;</p>     <p align="justify"><font size="3" face="Verdana, Arial, Helvetica, sans-serif"><b>6. BIBLIOGRAFÍA</b></font></p>      <!-- ref --><p align="justify"><font size="2" face="Verdana, Arial, Helvetica, sans-serif">[1] UNICEF, “Informe sobre equidad en Salud 2016,” 2016.</font>&nbsp;&nbsp;&nbsp;&nbsp;&nbsp;&nbsp;&nbsp;&nbsp;[&#160;<a href="javascript:void(0);" onclick="javascript: window.open('/scielo.php?script=sci_nlinks&ref=969613&pid=S2518-4431201800020000600001&lng=','','width=640,height=500,resizable=yes,scrollbars=1,menubar=yes,');">Links</a>&#160;]<!-- end-ref --><!-- ref --><p align="justify"><font size="2" face="Verdana, Arial, Helvetica, sans-serif">[2] Houston Department of Health and Human Services, “Health Equity Report,” 2012.</font>&nbsp;&nbsp;&nbsp;&nbsp;&nbsp;&nbsp;&nbsp;&nbsp;[&#160;<a href="javascript:void(0);" onclick="javascript: window.open('/scielo.php?script=sci_nlinks&ref=969614&pid=S2518-4431201800020000600002&lng=','','width=640,height=500,resizable=yes,scrollbars=1,menubar=yes,');">Links</a>&#160;]<!-- end-ref --><!-- ref --><p align=justify><font size="2" face="Verdana, Arial, Helvetica, sans-serif">[3] CEPAL, “CEPALSTAT: División Estadística, Bases de Datos,” <i>Comisión Económica para América Latina y el Caribe</i>. [Online]. Available: <a href="http://interwp.cepal.org/sisgen/ConsultaIntegrada.asp?idAplicacion=23&idTema=269&idIndicador=188&idioma=e" target="_blank">http://interwp.cepal.org/sisgen/ConsultaIntegrada.asp?idAplicacion=23&amp;idTema=269&amp;idIndicador=188&amp;idioma=e</a>.</font>&nbsp;&nbsp;&nbsp;&nbsp;&nbsp;&nbsp;&nbsp;&nbsp;[&#160;<a href="javascript:void(0);" onclick="javascript: window.open('/scielo.php?script=sci_nlinks&ref=969615&pid=S2518-4431201800020000600003&lng=','','width=640,height=500,resizable=yes,scrollbars=1,menubar=yes,');">Links</a>&#160;]<!-- end-ref --><p align="justify"><font size="2" face="Verdana, Arial, Helvetica, sans-serif">[4] Organización Panamericana de Salud, “Perfil de los sistemas de salud,” <i>Bibl. OPS</i>, vol. 3, pp. 1–56, 2008.</font></p>      ]]></body>
<body><![CDATA[<p align="justify"><font size="2" face="Verdana, Arial, Helvetica, sans-serif">[5] A. Cortés, M. Gutiérrez, and R. Herrera, “Comunicacion Especial,” vol. 45, no. 1, pp. 36–37, 2006.</font></p>      <p align="justify"><font size="2" face="Verdana, Arial, Helvetica, sans-serif">[6] R. Acosta, A. Esquivel, and F. Landa, “BOLIVIA-  Evaluación de Impacto de los Seguros de Maternidad y Niñez en Bolivia 1989 - 2003,” 2006.</font></p>      <!-- ref --><p align="justify"><font size="2" face="Verdana, Arial, Helvetica, sans-serif">[7] Asamblea Legislativa Plurinacional, <i>Ley N°475</i>. 2013, p. 8.</font>&nbsp;&nbsp;&nbsp;&nbsp;&nbsp;&nbsp;&nbsp;&nbsp;[&#160;<a href="javascript:void(0);" onclick="javascript: window.open('/scielo.php?script=sci_nlinks&ref=969619&pid=S2518-4431201800020000600007&lng=','','width=640,height=500,resizable=yes,scrollbars=1,menubar=yes,');">Links</a>&#160;]<!-- end-ref --><p align="justify"><font size="2" face="Verdana, Arial, Helvetica, sans-serif">[8] C. V. Fuertes, S. Martínez, P. Celhay, and S. C. Gómez, “Evaluación de Impacto del Programa de Salud Materno Infantil ‘Bono Juana Azurduy,’” p. 175, 2015.</font></p>      <p align="justify"><font size="2" face="Verdana, Arial, Helvetica, sans-serif">[9] D. Antai, “Regional inequalities in under-5 mortality in Nigeria: a population-based analysis of individual- and community-level determinants,” <i>Popul. Health Metr.</i>, vol. 9, no. 6, pp. 1–27, 2011.</font></p>      <p align="justify"><font size="2" face="Verdana, Arial, Helvetica, sans-serif">[10] K. Harttgen and M. Misselhorn, “A Multilevel Approach to Explain Child Mortality and Undernutrition in South Asia and Sub-Saharan,” <i>Ibero-America Inst. Econ. Res.</i>, vol. 15, no. 6, pp. 1–38, 2006.</font></p>      <p align="justify"><font size="2" face="Verdana, Arial, Helvetica, sans-serif">[11] W. H. Mosley and L. C. Chen, “An Analytical Framework for the Study of Child Survival in Developing Countries,” <i>Child Surviv. Strateg. Res.</i>, vol. 10, no. Population and Development Review, pp. 25–45, 1984.</font></p>      <p align="justify"><font size="2" face="Verdana, Arial, Helvetica, sans-serif">[12] N. Sastry, “What explains rural-urban differentials in child mortality in Brazil?,” <i>Soc. Sci. Med.</i>, vol. 77, no. 7, pp. 989–1002, 1997.</font></p>      <p align="justify"><font size="2" face="Verdana, Arial, Helvetica, sans-serif">[13] G. Aguirre, “Child mortality and reproductive patterns in urban Bolivia,” <i>Center for Demography and Ecology, University of Wisconsin-Madison</i>, 1995. .</font></p>      <p align="justify"><font size="2" face="Verdana, Arial, Helvetica, sans-serif">[14] C. . Schell, M. Reilly, H. Rosling, S. Peterson, and A. M. Ekstrom, “Socioeconomic determinants of infant mortality: A worldwide study of 152 low-, middle-, and high-income countries,” <i>Scand. J. Public Health</i>, vol. 35, pp. 288–297, 2007.</font></p>      ]]></body>
<body><![CDATA[<p align="justify"><font size="2" face="Verdana, Arial, Helvetica, sans-serif">[15] S. Rabe-Hesketh and A. Skrondal, <i>Multilevel and Longitudinal Modeling Using Stata, Volume II: Categorical Responses, Counts and Survival, Edición 3rd. [Bookshelf Online].</i> 2012.</font></p>      <p align="justify"><font size="2" face="Verdana, Arial, Helvetica, sans-serif">[16] M. A. Cleves, W. W. Gould, and R. G. Gutiérrez, <i>An Introduction to Survival Analysis using Stata</i>. 2004.</font></p>      <p align="justify"><font size="2" face="Verdana, Arial, Helvetica, sans-serif">[17] NCSS, “Kaplan-Meier Curves ( Logrank Tests ),” <i>Kaplan-Meier Curves (Logrank Tests)</i>, pp. 555-1-37, 2015.</font></p>      <p align="justify"><font size="2" face="Verdana, Arial, Helvetica, sans-serif">[18] J. Sandoval, “Construcción de un modelo multinivel para el análisis de la agresividad directa en escolares” <i>Rev. Fac. Nac. Salud Pública</i>, vol. 22, no. 2, 2004.</font></p>      <p align="justify"><font size="2" face="Verdana, Arial, Helvetica, sans-serif">[19] L. W. Davis, “The Effect of Health Risk on Housing Values: Evidence from a Cancer Cluster,” <i>Am. Econ. Rev.</i>, vol. 94, no. 5, pp. 1693–1704, 2004.</font></p>      <p align="justify"><font size="2" face="Verdana, Arial, Helvetica, sans-serif">[20] E. Sánchez-Cantalejo and R. Ocaña-Riola, “Los modelos multinivel o la importancia de la jerarquía,” <i>Gac. Sanit.</i>, vol. 13, no. 5, pp. 391–398, 1999.</font></p>      <!-- ref --><p align="justify"><font size="2" face="Verdana, Arial, Helvetica, sans-serif">[21] V. H. Ucedo, “Comparación de los modelos Logit y Probit del análisis multinivel, en el estudio del rendimiento escolar,” 2013.</font>&nbsp;&nbsp;&nbsp;&nbsp;&nbsp;&nbsp;&nbsp;&nbsp;[&#160;<a href="javascript:void(0);" onclick="javascript: window.open('/scielo.php?script=sci_nlinks&ref=969633&pid=S2518-4431201800020000600021&lng=','','width=640,height=500,resizable=yes,scrollbars=1,menubar=yes,');">Links</a>&#160;]<!-- end-ref --><p align="justify"><font size="2" face="Verdana, Arial, Helvetica, sans-serif">[22] P. Griffiths, N. Madise, W. A., and M. Z., “A tale of two continents: a multilevel comparison of the determinants of child nutritional status from selected African and Indian regions,” <i>Health Place</i>, vol. 10, pp. 183–199, 2004.</font></p>      <p align="justify"><font size="2" face="Verdana, Arial, Helvetica, sans-serif">[23] R. Alarcón, M. Blanca, J. Arnau, and R. Bono, “Modelado jerárquico por pasos: Análisis multinivel del estrés cotidiano en adolescentes,” <i>Rev. Mex. Psicol.</i>, vol. 32, no. 2, pp. 124–133, 2015.</font></p>      <p align="justify"><font size="2" face="Verdana, Arial, Helvetica, sans-serif">[24] L. Liu <i>et al.</i> “Global, regional, and national causes of child mortality: an updated systematic analysis for 2010 with time trends since 2000” <i>Lancet</i>, vol. 379, no. 9832, pp. 2151–2161, 2010.</font></p>      ]]></body>
<body><![CDATA[<p align="justify"><font size="2" face="Verdana, Arial, Helvetica, sans-serif">[25] B. Horta and C. Victora, “Short-term effects of breastfeeding: a systematic review on the benefits of breastfeeding on diarrhoea and pneumonia mortality,” <i>World Heal. Organ.</i>, pp. 1–54, 2013.</font></p>      <p align="justify"><font size="2" face="Verdana, Arial, Helvetica, sans-serif">[26] S. L. Curtis and J. W. Mcdonald, “Birth Interval and Family Effects on Postneonatal Mortality in Brazil,” vol. 30, no. I, pp. 33–43, 1993.</font></p>      <p align="justify"><font size="2" face="Verdana, Arial, Helvetica, sans-serif">[27] J. Hobcraft, “Women’s education, child welfare and child survival: a review of the evidence,” <i>Heal. Transit Rev</i>, vol. 3, no. 2, pp. 159–75, 1993.</font></p>      <p align="justify"><font size="2" face="Verdana, Arial, Helvetica, sans-serif">[28] M. Yapu, “Primera infancia: experiencias y políticas públicas en Bolivia.,” <i>Aporte a la Educ. actual</i>, no. 29, pp. 152–154, 2011.</font></p>      <!-- ref --><p align="justify"><font size="2" face="Verdana, Arial, Helvetica, sans-serif">[29] Ministerio de Salud, “Estudio Nacional de Mortalidad Materna 2011 Bolivia,” <i>Mycol. Res.</i>, no. 44, p. 98, 2016.</font>&nbsp;&nbsp;&nbsp;&nbsp;&nbsp;&nbsp;&nbsp;&nbsp;[&#160;<a href="javascript:void(0);" onclick="javascript: window.open('/scielo.php?script=sci_nlinks&ref=969641&pid=S2518-4431201800020000600029&lng=','','width=640,height=500,resizable=yes,scrollbars=1,menubar=yes,');">Links</a>&#160;]<!-- end-ref --><p align="justify"><font size="2" face="Verdana, Arial, Helvetica, sans-serif">[30] Y. B. Okwaraji, S. Cousens, Y. Berhane, K. Mulholland, and K. Edmond, “Effect of geographical access to health facilities on child mortality in rural Ethiopia: A community based cross sectional study,” <i>PLoS One</i>, vol. 7, no. 3, pp. 1–8, 2012.</font></p>      <p align="justify"><font size="2" face="Verdana, Arial, Helvetica, sans-serif">[31] R. Anaya, <i>Desarrollo y Pobreza en Bolivia</i>, Mundy Colo. La Paz, 1984.</font></p>  <hr align=JUSTIFY size=1 width="33%">        <p>&nbsp;</p>     <p><font face="Verdana, Arial, Helvetica, sans-serif"><b><font size="3">NOTAS</font></b></font></p>     <p align="justify"><font size="2" face="Verdana, Arial, Helvetica, sans-serif"><a href="#_ftnref1" name="_ftn1" title="">[1]</a> El IDH es la media geométrica de tres dimensiones normalizadas: una vida larga y saludable, adquisición de conocimientos y disfrute de un nivel de vida digno que se mide en un rango de 0 a 1. Así, un IDH muy alto es mayor o igual a 0.800, IDH alto entre 0.700 y 0.799, IDH medio entre 0.550 y 0.699 e IDH bajo menor a 0.550.</font></p>        ]]></body>
<body><![CDATA[<p align="justify"><font size="2" face="Verdana, Arial, Helvetica, sans-serif"><a href="#_ftnref2" name="_ftn2" title="">[2]</a> Un niño muere en América Latina y el Caribe cada tres minutos. </font></p>        <p align="justify"><font size="2" face="Verdana, Arial, Helvetica, sans-serif"><a href="#_ftnref3" name="_ftn3" title="">[3]</a> Mejorar la salud materna. Meta: Reducir en tres cuartas partes la razón de mortalidad materna entre 1990 y 2015.</font></p>        <p align="justify"><font size="2" face="Verdana, Arial, Helvetica, sans-serif"><a href="#_ftnref4" name="_ftn4" title="">[4]</a> Los Aymaras, Los Quechuas, Los Yuracares, Los Ayoreos, Los Canichanas, Los Guarayos, Los Guaraniés, Los Moseténes, Los Tacanas, Los Mores, Los Moxeños, Los Urus, Los Reyesanos, Los Esse Ejjas, Los Tapiétes, Los Araonas, Los Chiquitanos, <a href="http://vidacotidianitica.blogspot.com/2008/03/pueblo-afroboliviano-cultura-llena-de.html" target="_blank">Los Afrobolivianos</a>, Los Nahuas, Los Pacahuaras, Los Yaminahuas, Los Chácobos, Los Yuquis, LosToromonas, Los Baures, Los Itonamas, Los Cayubabas, Los Weenhayek, Los Machineris, los Lecos, Los Movimas, Los Chimánes, Los Guarasugues-Pausernas, Los Cavimeños, Los Joaquinianos, Los Mojeño y Los Siriónos.</font></p>        <p align="justify"><font size="2" face="Verdana, Arial, Helvetica, sans-serif"><a href="#_ftnref5" name="_ftn5" title="">[5]</a> El 2003 se entrevistaron 19.207 hogares, 17.654 mujeres entre 15 y 49 años de edad y 6.230 hombres entre 15-64 años; el 2008, 19.564 hogares,16.939 mujeres entre 15 y 49 años y 6.054 hombres entre 15 y 64 años, y el 2016, 14.655 hogares, 12.274 mujeres entre 14 y 49 años y 4.765 hombres entre 15 y 64 años. </font></p>        <p align="justify"><font size="2" face="Verdana, Arial, Helvetica, sans-serif"><a href="#_ftnref6" name="_ftn6" title="">[6]</a> <img src="/img/revistas/riyd/v18n2/a06_image060.png" width=72 height=23 align="absmiddle">,  <img src="/img/revistas/riyd/v18n2/a06_image061.png" width=12 height=13 align="absmiddle"> representa la varianza existente en el nivel superior (cluster) y <img src="/img/revistas/riyd/v18n2/a06_image062.png" width=12 height=13 align="absmiddle"> simboliza la varianza del error asociado a cada predicción individual que realiza el modelo.</font></p>     <p align="justify">&nbsp;</p>      ]]></body><back>
<ref-list>
<ref id="B1">
<label>1</label><nlm-citation citation-type="">
<collab>UNICEF</collab>
<source><![CDATA[Informe sobre equidad en Salud 2016]]></source>
<year>2016</year>
</nlm-citation>
</ref>
<ref id="B2">
<label>2</label><nlm-citation citation-type="">
<collab>Houston Department of Health and Human Services</collab>
<source><![CDATA[Health Equity Report]]></source>
<year>2012</year>
</nlm-citation>
</ref>
<ref id="B3">
<label>3</label><nlm-citation citation-type="book">
<collab>CEPAL</collab>
<source><![CDATA[CEPALSTAT: División Estadística, Bases de Datos]]></source>
<year></year>
<publisher-name><![CDATA[Comisión Económica para América Latina y el Caribe]]></publisher-name>
</nlm-citation>
</ref>
<ref id="B4">
<label>4</label><nlm-citation citation-type="book">
<collab>Organización Panamericana de Salud</collab>
<source><![CDATA[Perfil de los sistemas de salud]]></source>
<year>2008</year>
<volume>3</volume>
<page-range>1-56</page-range><publisher-name><![CDATA[Bibl. OPS]]></publisher-name>
</nlm-citation>
</ref>
<ref id="B5">
<label>5</label><nlm-citation citation-type="journal">
<person-group person-group-type="author">
<name>
<surname><![CDATA[Cortés]]></surname>
<given-names><![CDATA[A.]]></given-names>
</name>
<name>
<surname><![CDATA[Gutiérrez]]></surname>
<given-names><![CDATA[M.]]></given-names>
</name>
<name>
<surname><![CDATA[Herrera]]></surname>
<given-names><![CDATA[R.]]></given-names>
</name>
</person-group>
<article-title xml:lang="en"><![CDATA[X]]></article-title>
<source><![CDATA[Comunicacion Especial]]></source>
<year>2006</year>
<volume>45</volume>
<numero>1</numero>
<issue>1</issue>
<page-range>36-37</page-range></nlm-citation>
</ref>
<ref id="B6">
<label>6</label><nlm-citation citation-type="">
<person-group person-group-type="author">
<name>
<surname><![CDATA[Acosta]]></surname>
<given-names><![CDATA[R.]]></given-names>
</name>
<name>
<surname><![CDATA[Esquivel]]></surname>
<given-names><![CDATA[A.]]></given-names>
</name>
<name>
<surname><![CDATA[Landa]]></surname>
<given-names><![CDATA[F.]]></given-names>
</name>
</person-group>
<source><![CDATA[BOLIVIA- Evaluación de Impacto de los Seguros de Maternidad y Niñez en Bolivia 1989 - 2003]]></source>
<year>2006</year>
</nlm-citation>
</ref>
<ref id="B7">
<label>7</label><nlm-citation citation-type="">
<collab>Asamblea Legislativa Plurinacional</collab>
<source><![CDATA[Ley N°475]]></source>
<year>2013</year>
<page-range>8</page-range></nlm-citation>
</ref>
<ref id="B8">
<label>8</label><nlm-citation citation-type="">
<person-group person-group-type="author">
<name>
<surname><![CDATA[Fuertes]]></surname>
<given-names><![CDATA[C.V.]]></given-names>
</name>
<name>
<surname><![CDATA[Martínez]]></surname>
<given-names><![CDATA[S.]]></given-names>
</name>
<name>
<surname><![CDATA[Celhay]]></surname>
<given-names><![CDATA[P.]]></given-names>
</name>
<name>
<surname><![CDATA[Gómez]]></surname>
<given-names><![CDATA[S.C.]]></given-names>
</name>
</person-group>
<source><![CDATA[Evaluación de Impacto del Programa de Salud Materno Infantil ‘Bono Juana Azurduy]]></source>
<year>2015</year>
</nlm-citation>
</ref>
<ref id="B9">
<label>9</label><nlm-citation citation-type="journal">
<person-group person-group-type="author">
<name>
<surname><![CDATA[Antai]]></surname>
<given-names><![CDATA[D.]]></given-names>
</name>
</person-group>
<article-title xml:lang="en"><![CDATA[Regional inequalities in under-5 mortality in Nigeria: a population-based analysis of individual- and community-level determinants]]></article-title>
<source><![CDATA[Popul. Health Metr.]]></source>
<year>2011</year>
<volume>9</volume>
<numero>6</numero>
<issue>6</issue>
<page-range>1-27</page-range></nlm-citation>
</ref>
<ref id="B10">
<label>10</label><nlm-citation citation-type="journal">
<person-group person-group-type="author">
<name>
<surname><![CDATA[Harttgen]]></surname>
<given-names><![CDATA[K.]]></given-names>
</name>
<name>
<surname><![CDATA[Misselhorn]]></surname>
<given-names><![CDATA[M.]]></given-names>
</name>
</person-group>
<article-title xml:lang="en"><![CDATA[A Multilevel Approach to Explain Child Mortality and Undernutrition in South Asia and Sub-Saharan]]></article-title>
<source><![CDATA[Ibero-America Inst. Econ. Res.]]></source>
<year>2006</year>
<volume>15</volume>
<numero>6</numero>
<issue>6</issue>
<page-range>1-38</page-range></nlm-citation>
</ref>
<ref id="B11">
<label>11</label><nlm-citation citation-type="journal">
<person-group person-group-type="author">
<name>
<surname><![CDATA[Mosley]]></surname>
<given-names><![CDATA[W.H.]]></given-names>
</name>
<name>
<surname><![CDATA[Chen]]></surname>
<given-names><![CDATA[L.C.]]></given-names>
</name>
</person-group>
<article-title xml:lang="en"><![CDATA[An Analytical Framework for the Study of Child Survival in Developing Countries]]></article-title>
<source><![CDATA[Child Surviv. Strateg. Res.]]></source>
<year>1984</year>
<volume>10</volume>
<numero>Population and Development Review</numero>
<issue>Population and Development Review</issue>
<page-range>25-45</page-range></nlm-citation>
</ref>
<ref id="B12">
<label>12</label><nlm-citation citation-type="journal">
<person-group person-group-type="author">
<name>
<surname><![CDATA[Sastry]]></surname>
<given-names><![CDATA[N.]]></given-names>
</name>
</person-group>
<article-title xml:lang="en"><![CDATA[What explains rural-urban differentials in child mortality in Brazil?]]></article-title>
<source><![CDATA[Soc. Sci. Med.]]></source>
<year>1997</year>
<volume>77</volume>
<numero>7</numero>
<issue>7</issue>
<page-range>989-1002</page-range></nlm-citation>
</ref>
<ref id="B13">
<label>13</label><nlm-citation citation-type="book">
<person-group person-group-type="author">
<name>
<surname><![CDATA[Aguirre]]></surname>
<given-names><![CDATA[G.]]></given-names>
</name>
</person-group>
<source><![CDATA[Child mortality and reproductive patterns in urban Bolivia]]></source>
<year>1995</year>
<publisher-loc><![CDATA[Wisconsin ]]></publisher-loc>
<publisher-name><![CDATA[Center for Demography and Ecology, University of Wisconsin-Madison]]></publisher-name>
</nlm-citation>
</ref>
<ref id="B14">
<label>14</label><nlm-citation citation-type="journal">
<person-group person-group-type="author">
<name>
<surname><![CDATA[Schell]]></surname>
<given-names><![CDATA[C.]]></given-names>
</name>
<name>
<surname><![CDATA[Reilly]]></surname>
<given-names><![CDATA[M.]]></given-names>
</name>
<name>
<surname><![CDATA[Rosling]]></surname>
<given-names><![CDATA[H.]]></given-names>
</name>
<name>
<surname><![CDATA[Peterson]]></surname>
<given-names><![CDATA[S.]]></given-names>
</name>
<name>
<surname><![CDATA[Ekstrom]]></surname>
<given-names><![CDATA[A.M.]]></given-names>
</name>
</person-group>
<article-title xml:lang="en"><![CDATA[Socioeconomic determinants of infant mortality: A worldwide study of 152 low-, middle-, and high-income countries]]></article-title>
<source><![CDATA[Scand. J. Public Health]]></source>
<year>2007</year>
<volume>35</volume>
<page-range>288-297</page-range></nlm-citation>
</ref>
<ref id="B15">
<label>15</label><nlm-citation citation-type="book">
<person-group person-group-type="author">
<name>
<surname><![CDATA[Rabe-Hesketh]]></surname>
<given-names><![CDATA[S.]]></given-names>
</name>
<name>
<surname><![CDATA[Skrondal]]></surname>
<given-names><![CDATA[A.]]></given-names>
</name>
</person-group>
<source><![CDATA[Multilevel and Longitudinal Modeling Using Stata]]></source>
<year>2012</year>
<volume>II</volume>
<edition>3</edition>
<publisher-name><![CDATA[Bookshelf Online]]></publisher-name>
</nlm-citation>
</ref>
<ref id="B16">
<label>16</label><nlm-citation citation-type="">
<person-group person-group-type="author">
<name>
<surname><![CDATA[Cleves]]></surname>
<given-names><![CDATA[M.A.]]></given-names>
</name>
<name>
<surname><![CDATA[Gould]]></surname>
<given-names><![CDATA[W.W.]]></given-names>
</name>
<name>
<surname><![CDATA[Gutiérrez]]></surname>
<given-names><![CDATA[R.G.]]></given-names>
</name>
</person-group>
<source><![CDATA[An Introduction to Survival Analysis using Stata]]></source>
<year>2004</year>
</nlm-citation>
</ref>
<ref id="B17">
<label>17</label><nlm-citation citation-type="">
<collab>NCSS</collab>
<source><![CDATA[Kaplan-Meier Curves ( Logrank Tests )]]></source>
<year>2015</year>
<page-range>555-1-37</page-range></nlm-citation>
</ref>
<ref id="B18">
<label>18</label><nlm-citation citation-type="journal">
<person-group person-group-type="author">
<name>
<surname><![CDATA[Sandoval]]></surname>
<given-names><![CDATA[J.]]></given-names>
</name>
</person-group>
<article-title xml:lang="es"><![CDATA[Construcción de un modelo multinivel para el análisis de la agresividad directa en escolares]]></article-title>
<source><![CDATA[Rev. Fac. Nac. Salud Pública]]></source>
<year>2004</year>
<volume>22</volume>
<numero>2</numero>
<issue>2</issue>
</nlm-citation>
</ref>
<ref id="B19">
<label>19</label><nlm-citation citation-type="journal">
<person-group person-group-type="author">
<name>
<surname><![CDATA[Davis]]></surname>
<given-names><![CDATA[L.W.]]></given-names>
</name>
</person-group>
<article-title xml:lang="en"><![CDATA[The Effect of Health Risk on Housing Values: Evidence from a Cancer Cluster]]></article-title>
<source><![CDATA[Am. Econ. Rev.]]></source>
<year>2004</year>
<volume>94</volume>
<numero>5</numero>
<issue>5</issue>
<page-range>1693-1704</page-range></nlm-citation>
</ref>
<ref id="B20">
<label>20</label><nlm-citation citation-type="journal">
<person-group person-group-type="author">
<name>
<surname><![CDATA[Sánchez-Cantalejo]]></surname>
<given-names><![CDATA[E.]]></given-names>
</name>
<name>
<surname><![CDATA[Ocaña-Riola]]></surname>
<given-names><![CDATA[R.]]></given-names>
</name>
</person-group>
<article-title xml:lang="es"><![CDATA[Los modelos multinivel o la importancia de la jerarquía]]></article-title>
<source><![CDATA[Gac. Sanit.]]></source>
<year>1999</year>
<volume>13</volume>
<numero>5</numero>
<issue>5</issue>
<page-range>391-398</page-range></nlm-citation>
</ref>
<ref id="B21">
<label>21</label><nlm-citation citation-type="">
<person-group person-group-type="author">
<name>
<surname><![CDATA[Ucedo]]></surname>
<given-names><![CDATA[V.H.]]></given-names>
</name>
</person-group>
<source><![CDATA[Comparación de los modelos Logit y Probit del análisis multinivel, en el estudio del rendimiento escolar]]></source>
<year>2013</year>
</nlm-citation>
</ref>
<ref id="B22">
<label>22</label><nlm-citation citation-type="journal">
<person-group person-group-type="author">
<name>
<surname><![CDATA[Griffiths]]></surname>
<given-names><![CDATA[P.]]></given-names>
</name>
<name>
<surname><![CDATA[Madise]]></surname>
<given-names><![CDATA[N.]]></given-names>
</name>
<name>
<surname><![CDATA[M.Z]]></surname>
<given-names><![CDATA[W.A.,]]></given-names>
</name>
</person-group>
<article-title xml:lang="en"><![CDATA[A tale of two continents: a multilevel comparison of the determinants of child nutritional status from selected African and Indian regions]]></article-title>
<source><![CDATA[Health Place]]></source>
<year>2004</year>
<volume>10</volume>
<page-range>183-199</page-range></nlm-citation>
</ref>
<ref id="B23">
<label>23</label><nlm-citation citation-type="journal">
<person-group person-group-type="author">
<name>
<surname><![CDATA[Alarcón]]></surname>
<given-names><![CDATA[R.]]></given-names>
</name>
<name>
<surname><![CDATA[Blanca]]></surname>
<given-names><![CDATA[M.]]></given-names>
</name>
<name>
<surname><![CDATA[Arnau]]></surname>
<given-names><![CDATA[J.]]></given-names>
</name>
<name>
<surname><![CDATA[Bono]]></surname>
<given-names><![CDATA[R.]]></given-names>
</name>
</person-group>
<article-title xml:lang="es"><![CDATA[Modelado jerárquico por pasos: Análisis multinivel del estrés cotidiano en adolescentes]]></article-title>
<source><![CDATA[Rev. Mex. Psicol.]]></source>
<year>2015</year>
<volume>32</volume>
<numero>2</numero>
<issue>2</issue>
<page-range>124-133</page-range></nlm-citation>
</ref>
<ref id="B24">
<label>24</label><nlm-citation citation-type="journal">
<person-group person-group-type="author">
<name>
<surname><![CDATA[Liu]]></surname>
<given-names><![CDATA[L.]]></given-names>
</name>
</person-group>
<article-title xml:lang="en"><![CDATA[Global, regional, and national causes of child mortality: an updated systematic analysis for 2010 with time trends since 2000]]></article-title>
<source><![CDATA[Lancet]]></source>
<year>2010</year>
<volume>379</volume>
<numero>9832</numero>
<issue>9832</issue>
<page-range>2151-2161</page-range></nlm-citation>
</ref>
<ref id="B25">
<label>25</label><nlm-citation citation-type="journal">
<person-group person-group-type="author">
<name>
<surname><![CDATA[Horta]]></surname>
<given-names><![CDATA[B.]]></given-names>
</name>
<name>
<surname><![CDATA[Victora]]></surname>
<given-names><![CDATA[C.]]></given-names>
</name>
</person-group>
<article-title xml:lang="en"><![CDATA[Short-term effects of breastfeeding: a systematic review on the benefits of breastfeeding on diarrhoea and pneumonia mortality]]></article-title>
<source><![CDATA[World Heal. Organ.]]></source>
<year>2013</year>
<page-range>1-54</page-range></nlm-citation>
</ref>
<ref id="B26">
<label>26</label><nlm-citation citation-type="journal">
<person-group person-group-type="author">
<name>
<surname><![CDATA[Curtis]]></surname>
<given-names><![CDATA[S.L.]]></given-names>
</name>
<name>
<surname><![CDATA[Mcdonald]]></surname>
<given-names><![CDATA[J.W.]]></given-names>
</name>
</person-group>
<article-title xml:lang="en"><![CDATA[Birth Interval and Family Effects on Postneonatal Mortality in Brazil]]></article-title>
<source><![CDATA[x]]></source>
<year>1993</year>
<volume>30</volume>
<numero>I</numero>
<issue>I</issue>
<page-range>33-43</page-range></nlm-citation>
</ref>
<ref id="B27">
<label>27</label><nlm-citation citation-type="journal">
<person-group person-group-type="author">
<name>
<surname><![CDATA[Hobcraft]]></surname>
<given-names><![CDATA[J.]]></given-names>
</name>
</person-group>
<article-title xml:lang="en"><![CDATA[Women’s education, child welfare and child survival: a review of the evidence]]></article-title>
<source><![CDATA[Heal. Transit Rev]]></source>
<year>1993</year>
<volume>3</volume>
<numero>2</numero>
<issue>2</issue>
<page-range>159-75</page-range></nlm-citation>
</ref>
<ref id="B28">
<label>28</label><nlm-citation citation-type="journal">
<person-group person-group-type="author">
<name>
<surname><![CDATA[Yapu]]></surname>
<given-names><![CDATA[M.]]></given-names>
</name>
</person-group>
<article-title xml:lang="es"><![CDATA[Primera infancia: experiencias y políticas públicas en Bolivia]]></article-title>
<source><![CDATA[Aporte a la Educ. actual]]></source>
<year>2011</year>
<numero>29</numero>
<issue>29</issue>
<page-range>152-154</page-range></nlm-citation>
</ref>
<ref id="B29">
<label>29</label><nlm-citation citation-type="journal">
<collab>Ministerio de Salud</collab>
<article-title xml:lang="es"><![CDATA[Estudio Nacional de Mortalidad Materna 2011 Bolivia]]></article-title>
<source><![CDATA[Mycol. Res.]]></source>
<year>2016</year>
<numero>44</numero>
<issue>44</issue>
<page-range>98</page-range></nlm-citation>
</ref>
<ref id="B30">
<label>30</label><nlm-citation citation-type="journal">
<person-group person-group-type="author">
<name>
<surname><![CDATA[Okwaraji]]></surname>
<given-names><![CDATA[Y.B.]]></given-names>
</name>
<name>
<surname><![CDATA[Cousens]]></surname>
<given-names><![CDATA[S.]]></given-names>
</name>
<name>
<surname><![CDATA[Berhane]]></surname>
<given-names><![CDATA[Y.]]></given-names>
</name>
<name>
<surname><![CDATA[Mulholland]]></surname>
<given-names><![CDATA[K.]]></given-names>
</name>
<name>
<surname><![CDATA[Edmond]]></surname>
<given-names><![CDATA[K.]]></given-names>
</name>
</person-group>
<article-title xml:lang="en"><![CDATA[Effect of geographical access to health facilities on child mortality in rural Ethiopia: A community based cross sectional study]]></article-title>
<source><![CDATA[PLoS One]]></source>
<year>2012</year>
<volume>7</volume>
<numero>3</numero>
<issue>3</issue>
<page-range>1-8</page-range></nlm-citation>
</ref>
<ref id="B31">
<label>31</label><nlm-citation citation-type="book">
<person-group person-group-type="author">
<name>
<surname><![CDATA[Anaya]]></surname>
<given-names><![CDATA[R.]]></given-names>
</name>
</person-group>
<source><![CDATA[Desarrollo y Pobreza en Bolivia]]></source>
<year>1984</year>
<publisher-loc><![CDATA[La Paz ]]></publisher-loc>
<publisher-name><![CDATA[Mundy Colo]]></publisher-name>
</nlm-citation>
</ref>
</ref-list>
</back>
</article>
