<?xml version="1.0" encoding="ISO-8859-1"?><article xmlns:mml="http://www.w3.org/1998/Math/MathML" xmlns:xlink="http://www.w3.org/1999/xlink" xmlns:xsi="http://www.w3.org/2001/XMLSchema-instance">
<front>
<journal-meta>
<journal-id>2071-081X</journal-id>
<journal-title><![CDATA[Fides et Ratio - Revista de Difusión cultural y científica de la Universidad La Salle en Bolivia]]></journal-title>
<abbrev-journal-title><![CDATA[Fides Et Ratio]]></abbrev-journal-title>
<issn>2071-081X</issn>
<publisher>
<publisher-name><![CDATA[Universidad La Salle]]></publisher-name>
</publisher>
</journal-meta>
<article-meta>
<article-id>S2071-081X2022000100009</article-id>
<title-group>
<article-title xml:lang="es"><![CDATA[Sostenibilidad de las cuentas públicas de los Gobiernos Autónomos Descentralizados Municipales del Ecuador, 2010- 2017¹]]></article-title>
<article-title xml:lang="en"><![CDATA[Sustainability of the public accounts of the Autonomous Decentralized Municipal Governments of Ecuador, 2010-2017]]></article-title>
</title-group>
<contrib-group>
<contrib contrib-type="author">
<name>
<surname><![CDATA[Hidalgo Segura]]></surname>
<given-names><![CDATA[Cristhyan]]></given-names>
</name>
</contrib>
<contrib contrib-type="author">
<name>
<surname><![CDATA[Herrera Jiménez]]></surname>
<given-names><![CDATA[Mónica]]></given-names>
</name>
</contrib>
<contrib contrib-type="author">
<name>
<surname><![CDATA[Londoño Espinosa]]></surname>
<given-names><![CDATA[Sebastián]]></given-names>
</name>
</contrib>
<contrib contrib-type="author">
<name>
<surname><![CDATA[León Serrano]]></surname>
<given-names><![CDATA[Lady]]></given-names>
</name>
</contrib>
</contrib-group>
<aff id="A">
<institution><![CDATA[,  ]]></institution>
<addr-line><![CDATA[ ]]></addr-line>
</aff>
<pub-date pub-type="pub">
<day>00</day>
<month>03</month>
<year>2022</year>
</pub-date>
<pub-date pub-type="epub">
<day>00</day>
<month>03</month>
<year>2022</year>
</pub-date>
<volume>23</volume>
<numero>23</numero>
<fpage>177</fpage>
<lpage>198</lpage>
<copyright-statement/>
<copyright-year/>
<self-uri xlink:href="http://www.scielo.org.bo/scielo.php?script=sci_arttext&amp;pid=S2071-081X2022000100009&amp;lng=en&amp;nrm=iso"></self-uri><self-uri xlink:href="http://www.scielo.org.bo/scielo.php?script=sci_abstract&amp;pid=S2071-081X2022000100009&amp;lng=en&amp;nrm=iso"></self-uri><self-uri xlink:href="http://www.scielo.org.bo/scielo.php?script=sci_pdf&amp;pid=S2071-081X2022000100009&amp;lng=en&amp;nrm=iso"></self-uri><abstract abstract-type="short" xml:lang="es"><p><![CDATA[Resumen Los GAD's6 municipales en Ecuador constitucionalmente poseen autonomía financiera, pese a ello, deben mantener las condiciones que mantengan la sostenibilidad de sus cuentas públicas. El objetivo de la investigación se sustenta en un análisis de evaluación de la sostenibilidad y solvencia, bajo un método analítico dinámico sobre el cual se obtiene el superávit primario requerido de los años subsiguientes de manera de cumplir en tiempo y forma sus obligaciones financieras. Como principal resultado se encontró que la mayoría de las entidades necesitan reestructurar sus cuentas fiscales de forma gradual para poder mantener una trayectoria de deuda sostenible]]></p></abstract>
<abstract abstract-type="short" xml:lang="en"><p><![CDATA[Abstract The municipal GADs in Ecuador constitutionally have financial autonomy despite this, theymustmaintain the conditions that maintain the sustainability of their public accounts. The objective of the research is based on an analysis of evaluation of sustainability and solvency, under a dynamic analytical method on which the required primary surplus of subsequent years is obtained in order to meet its financial obligations in time and form. As the main result, it was found that most entities need to gradually restructure their fiscal accounts in order to maintain a sustainable debt trajectory]]></p></abstract>
<kwd-group>
<kwd lng="es"><![CDATA[GAD 's municipales]]></kwd>
<kwd lng="es"><![CDATA[sostenibilidad]]></kwd>
<kwd lng="es"><![CDATA[resultado primario]]></kwd>
<kwd lng="es"><![CDATA[reestructura]]></kwd>
<kwd lng="es"><![CDATA[cuentas públicas]]></kwd>
<kwd lng="en"><![CDATA[Municipal GAD's]]></kwd>
<kwd lng="en"><![CDATA[sustainability]]></kwd>
<kwd lng="en"><![CDATA[primary result]]></kwd>
<kwd lng="en"><![CDATA[restructuring]]></kwd>
<kwd lng="en"><![CDATA[public accounts]]></kwd>
</kwd-group>
</article-meta>
</front><body><![CDATA[ <p align="right"><font size="2" face="Verdana, Arial, Helvetica, sans-serif"><strong>ART&Iacute;CULOS ORIGINALES</strong></font></p>     <p align="right">&nbsp;</p>     <p align="center"><font face="Verdana, Arial, Helvetica, sans-serif" size="2"><strong><font size="4">Sostenibilidad de las cuentas públicas de los Gobiernos Autónomos     <br> Descentralizados Municipales del Ecuador,</font></strong></font> <font size="4"><strong><font face="Verdana, Arial, Helvetica, sans-serif">2010- 2017<sup>1</sup></font></strong></font><font size="4"></font></p>     <p align="center">&nbsp;</p>     <p align="center"><strong><font face="Verdana, Arial, Helvetica, sans-serif" size="3">Sustainability of the public accounts of the Autonomous Decentralized     <br> Municipal Governments of Ecuador, 2010-2017</font></strong></p>     <p align="center">&nbsp;</p>     <p align="center">&nbsp;</p>     <p align="center"><strong><font face="Verdana, Arial, Helvetica, sans-serif" size="2">Cristhyan Hidalgo Segura<sup>2 <a href="" target="_self" onClick="javascript: w = window.open('https://orcid.org/0000-0001-8886-6746','','width=640,height=500,resizable=yes,scrollbars=1,menubar=yes,');"><img src="/img/revistas/rfer/v23n23/id_orcid.png" width="16" height="16" border="0"></a ></sup>, Mónica Herrera Jiménez<sup>3 <a href="" target="_self" onClick="javascript: w = window.open('https://orcid.org/0000-0001-8886-6746','','width=640,height=500,resizable=yes,scrollbars=1,menubar=yes,');"><img src="/img/revistas/rfer/v23n23/id_orcid.png" width="16" height="16" border="0"></a ></sup></font>, <font face="Verdana, Arial, Helvetica, sans-serif" size="2">Sebastián Londoño Espinosa<sup>4 <a href="" target="_self" onClick="javascript: w = window.open('https://orcid.org/0000-0002-8815-886X','','width=640,height=500,resizable=yes,scrollbars=1,menubar=yes,');"><img src="/img/revistas/rfer/v23n23/id_orcid.png" width="16" height="16" border="0"></a ></sup></font>    ]]></body>
<body><![CDATA[<br>     <font face="Verdana, Arial, Helvetica, sans-serif" size="2">Lady León Serrano<sup>5 <a href="" target="_self" onClick="javascript: w = window.open('https://orcid.org/0000-0001-5472-140X','','width=640,height=500,resizable=yes,scrollbars=1,menubar=yes,');"><img src="/img/revistas/rfer/v23n23/id_orcid.png" width="16" height="16" border="0"></a ></sup></font></strong>    <br> <font face="Verdana, Arial, Helvetica, sans-serif" size="2"><strong>Artículo Recibido:</strong> 27-08-2021 &nbsp;&nbsp;&nbsp;&nbsp;<strong>Artículo Aceptado:</strong> 28-01-2022</font></p>     <p align="justify">&nbsp;</p>     <p align="justify">&nbsp;</p> <hr>     <p align="justify"><font face="Verdana, Arial, Helvetica, sans-serif" size="2"><b>Resumen</b></font></p>     <p align="justify"><font face="Verdana, Arial, Helvetica, sans-serif" size="2">Los GAD's<sup>6</sup> municipales en Ecuador constitucionalmente poseen autonomía financiera,  pese  a  ello,   deben  mantener  las  condiciones  que  mantengan la sostenibilidad  de  sus cuentas públicas.  El  objetivo  de la investigación se sustenta en un análisis de evaluación de la sostenibilidad y solvencia, bajo un método analítico dinámico sobre el cual se obtiene el superávit primario requerido de los años subsiguientes de manera de cumplir en tiempo y forma sus obligaciones financieras. Como principal resultado se encontró que la mayoría de las entidades necesitan reestructurar sus cuentas fiscales de forma gradual para poder mantener una trayectoria de deuda sostenible.</font></p>     <p align="justify"><font face="Verdana, Arial, Helvetica, sans-serif" size="2"><b>Palabras Clave:</b></font> <font face="Verdana, Arial, Helvetica, sans-serif" size="2">GAD 's municipales, sostenibilidad, resultado primario, reestructura, cuentas públicas.</font></p> <hr>     <p align="justify"><font face="Verdana, Arial, Helvetica, sans-serif" size="2"><strong>Abstract</strong></font></p>     <p align="justify"><font face="Verdana, Arial, Helvetica, sans-serif" size="2">The municipal GADs in Ecuador constitutionally have financial autonomy despite this, theymustmaintain the conditions that maintain the sustainability of their public accounts. The objective of the research is based on an analysis of evaluation of sustainability and solvency, under a dynamic analytical method on which the required primary surplus of subsequent years is obtained in order to meet its financial obligations in time and form. As the main result, it was found that most entities need to gradually restructure their fiscal accounts in order to maintain a sustainable debt trajectory.</font></p>     <p align="justify"><font face="Verdana, Arial, Helvetica, sans-serif" size="2"><b>Keywords:</b></font> <font face="Verdana, Arial, Helvetica, sans-serif" size="2">Municipal GAD's, sustainability, primary result, restructuring, public accounts.</font></p> <hr>     ]]></body>
<body><![CDATA[<p align="justify">&nbsp;</p>     <p align="justify">&nbsp;</p>     <p align="justify"><font face="Verdana, Arial, Helvetica, sans-serif" size="3"><b>Introducción</b></font></p>     <p align="justify"><font face="Verdana, Arial, Helvetica, sans-serif" size="2">La Constitución de la República del Ecuador (2008) establece en el Art. 238: </font></p>     <blockquote>       <blockquote>         <p align="justify"><font face="Verdana, Arial, Helvetica, sans-serif" size="2"><i>&quot;Los gobiernos autónomos descentralizados gozarán de autonomía política, administrativa y financiera, y se regirán por los principios de solidaridad, subsidiariedad, equidad interterritorial, integración y participación ciudadana. En ningún caso el ejercicio de la autonomía permitirá la secesión del territorio nacional. Constituyen gobiernos autónomos descentralizados las juntas parroquiales rurales, los gobiernos municipales, los gobiernos metropolitanos, los gobiernos provinciales y los gobiernos regionales&quot;, </i>(p. 95)</font></p>   </blockquote> </blockquote>     <p align="justify"><font face="Verdana, Arial, Helvetica, sans-serif" size="2">La Constitución de la República en este sentido, dio un paso importante, siendo un proceso representativo, en cuanto a la transformación y dinámica de visión del Estado, dando la figura de un Gobierno autónomo desde distintas aristas (política, administrativa y financiera) y contando con la descentralización respectiva pasando competencias estratégicas del gobierno central a los GAD's (Spahn, 1997).</font></p>     <p align="justify"><font face="Verdana, Arial, Helvetica, sans-serif" size="2">Bajo este principio, con un Estado descentralizado los Gobiernos Autónomos Descentralizados (GAD's), cuentan con sus respectivas autonomías (Várela y Salazar, 2021); para el particular de la investigación los GAD's cuentan desde un aspecto legal autonomía desde el ámbito financiero. Los GAD's manejan como principales fuentes de ingreso según Shebell y Moser (2019): i) recursos que provienen del Estado a través de las asignaciones de su presupuesto y, ii) rentas propias de su autogestión. Presupuesto que se lo utiliza en diferentes conceptos de acuerdo con su programación anual.</font></p>     <p align="justify"><font face="Verdana, Arial, Helvetica, sans-serif" size="2">En lo referente a los ingresos provenientes del Estado, cabe recalcar que el Código Orgánico de Organización Territorial, Autonomía y Descentralización (COOTAD) expedido en el año 2010, estableció que los ingresos provenientes del Presupuesto General del Estado (PGE) desde el Gobierno Central son: i) Transferencias provenientes de los ingresos</font> <font face="Verdana, Arial, Helvetica, sans-serif" size="2">permanentes (21%) y no permanentes (10%) del Estado, ii) Transferencias destinadas a financiar el ejercicio de nuevas competencias y, iii) Transferencias para compensar a los Gobiernos Autónomos Descentralizados en cuyos territorios se generen o se industrialicen recursos no renovables (Díaz, et al., 2017).</font></p>     ]]></body>
<body><![CDATA[<p align="justify"><font face="Verdana, Arial, Helvetica, sans-serif" size="2">Pese a ello, los ingresos percibidos, tanto por transferencias desde el PGE, así como por autogestión, no logran cubrir las necesidades y obligaciones que mantienen los GAD's para cumplir con sus objetivos y políticas institucionales abriendo una posibilidad de necesidades de financiamiento, dado que los gastos superan a los ingresos, por lo que el acceso a endeudamiento aparece como una fuente adicional de recursos de las entidades locales (Hidalgo, 2021).</font></p>     <p align="justify"><font face="Verdana, Arial, Helvetica, sans-serif" size="2">A pesar de tener autonomía financiera es importante recalcar que los GAD's deben cumplir con varios aspectos igualmente establecidos en la normativa legal donde se puede detallar:</font></p>     <p align="justify"><font face="Verdana, Arial, Helvetica, sans-serif" size="2">1.&nbsp; &nbsp; Bajo un contexto de sostenibilidad de las cuentas públicas, el Art. 286 de la Constitución establece: &quot;<i>...Las finanzas públicas, en todos los niveles de gobierno, se conducirán de forma sostenible, responsable y transparente, y procurarán la estabilidad económica..</i>.&quot;. (p. 110)</font></p>     <p align="justify"><font face="Verdana, Arial, Helvetica, sans-serif" size="2">2.&nbsp; &nbsp; Art. 289 de la Constitución que menciona:</font></p>     <blockquote>       <blockquote>         <p align="justify"><font face="Verdana, Arial, Helvetica, sans-serif" size="2"><i>&quot;La contratación de deuda pública en todos los niveles del Estado se regirá por las directrices de la respectiva planificación y presupuesto, y será autorizada por un comité de deuda y financiamiento de acuerdo con la ley, que definirá su conformación y funcionamiento. El Estado promoverá las instancias para que el poder ciudadano vigile y audite el endeudamiento público', </i>(p. 110)</font></p>   </blockquote> </blockquote>     <p align="justify"><font face="Verdana, Arial, Helvetica, sans-serif" size="2">3.&nbsp; &nbsp; Algunas consideraciones del endeudamiento público, como lo estipula el Art. 290 de la Constitución en los incisos del 1 al 9, dentro de los cuales se puede destacar: se recurrirá al endeudamiento público sólo</font> <font face="Verdana, Arial, Helvetica, sans-serif" size="2">cuando los ingresos fiscales y los recursos provenientes de cooperación internacional sean insuficientes (inciso 1). Con endeudamiento público se financiarán exclusivamente programas y proyectos de inversión para infraestructura, o que tengan capacidad financiera de pago (inciso 3), la concesión de garantías de deuda por parte del Estado se regulará por ley (inciso 8) y, la Función Ejecutiva podrá decidir si asumir o no asumir deudas de los gobiernos autónomos descentralizados (inciso 9).</font></p>     <p align="justify"><font face="Verdana, Arial, Helvetica, sans-serif" size="2">Bajo este contexto, las cuentas fiscales de los GAD's deberán ir acorde a los principios constitucionales en el tiempo para no comprometer la sostenibilidad de las finanzas subnacionales.</font></p>     <p align="justify"><font face="Verdana, Arial, Helvetica, sans-serif" size="2">Con los antecedentes anteriormente mencionados, la investigación se sustenta en el análisis de los flujos y <i>stocks </i>fiscales de los GAD's Municipales con la información disponible en el período 2010- 2017, bajo un método analítico dinámico se obtiene el superávit primario requerido de los años subsiguientes de manera de cumplir en tiempo y forma sus obligaciones financieras es decir, se realiza un comparativo a nivel de cada GAD municipal en cuanto a la diferencia entre el superávit primario requerido para evitar el deterioro del perfil de vencimientos promedio de la deuda de la entidad (% de los ingresos) y, el valor observado al cierre del año 2017.</font></p>     ]]></body>
<body><![CDATA[<p align="justify"><font face="Verdana, Arial, Helvetica, sans-serif" size="2">El resto del artículo se divide de la siguiente manera: en la segunda sección se encuentra la revisión de la literatura o marco teórico referencial; en la tercera sección está la metodología a desarrollarse; en la cuarta parte se hallan las principales fuentes de investigación, las variables y datos utilizados para el modelo; posteriormente se presentan los principales resultados y, finalmente, se encuentran las conclusiones y recomendaciones.</font></p>     <p align="justify">&nbsp;</p>     <p align="justify"><font face="Verdana, Arial, Helvetica, sans-serif" size="3"><b>Referentes conceptuales</b></font></p>     <p align="justify"><font face="Verdana, Arial, Helvetica, sans-serif" size="2">Existe una amplia literatura relacionada a la restricción presupuestaria intertemporal del Gobierno (Haug, 1991; Trehan y Walsh, 1991; MacDonald, 1992 y; Davig, 2005) pero, Magazzino, Forte y Giolli (2020) sostienen que la conclusión general de su aplicación es que la política</font> <font face="Verdana, Arial, Helvetica, sans-serif" size="2">fiscal es sostenible si la restricción presupuestaria del gobierno se mantiene en términos de valor presente. De una forma más precisa, la deuda del Gobierno debe compensarse con la suma de superávits presupuestarios primarios descontados futuros esperados (De Mello, 2008 y; Legrenzi y Milas, 2012).</font></p>     <p align="justify"><font face="Verdana, Arial, Helvetica, sans-serif" size="2">El análisis de la sostenibilidad de las cuentas públicas sustentada en la restricción presupuestaria, y la visión de marcos fiscales que manejen la relación entre los flujos fiscales y las variables de <i>stock, </i>especialmente como pasivos y deuda pública a nivel subregional o de gobiernos descentralizados desde la evidencia empírica y, la literatura cada vez toma mayor importancia (Brodjonegoro, 2009). Para Chapman (2008) a nivel estatal y local, la sostenibilidad fiscal es la capacidad a largo plazo de un gobierno para cumplir consistentemente con sus responsabilidades financieras.</font></p>     <p align="justify"><font face="Verdana, Arial, Helvetica, sans-serif" size="2">Con la finalidad de contextualizar el marco teórico referencial, a continuación, se presentan como base de la evidencia empírica y la experiencia internacional una serie de estudios a nivel subnacional, relacionados con la sostenibilidad de las cuentas públicas.</font></p>     <p align="justify"><font face="Verdana, Arial, Helvetica, sans-serif" size="2">Larin y Süssmuth (2014) evalúan la sostenibilidad fiscal en la España contemporánea a nivel regional. Los autores aplican pruebas de raíz unitaria de panel y estacionariedad a ciertas muestras de autonomías para verificar la sostenibilidad fiscal en el sentido de adherirse a una restricción presupuestaria intertemporal, dentro de los resultados encontrados afirman que los regímenes claramente definidos y fiscalmente autónomos dotados de amplios privilegios estatutarios en la recaudación de impuestos, concuerdan con la noción de sostenibilidad basada en restricciones presupuestarias de valor esperado.</font></p>     <p align="justify"><font face="Verdana, Arial, Helvetica, sans-serif" size="2">Bethlendi y Lentner (2018) estudian los factores que contribuyen al sobreendeudamiento del sector de Gobiernos descentralizados y las herramientas de gestión de crisis relacionadas con base en la experiencia de Hungría. Dentro de los aspectos a considerar en el desarrollo, Bethlendi y Lentner (2018)  encontraron: i)  cuando cantidades significativas de</font> <font face="Verdana, Arial, Helvetica, sans-serif" size="2">fondos centrales de desarrollo no logran formar una política de desarrollo cuidadosamente considerada, a largo plazo podrían socavar la estabilidad fiscal local, ii) la transferencia fiscal extraordinaria y la asignación total de las deudas, la consolidación fiscal subnacional húngara también implicó una técnica novedosa: las obligaciones se transfirieron al estado mediante la asunción de deberes, iii) la asistencia financiera central estuvo acompañada de un mayor control fiscal y de un endurecimiento de los requisitos de transparencia presupuestaria y presentación de datos, iv) la aprobación centralizada para la asunción de nuevas deudas se convirtió en un elemento importante de la sostenibilidad fiscal, etc.</font></p>     <p align="justify"><font face="Verdana, Arial, Helvetica, sans-serif" size="2">Los resultados presentados por Bethlendi y Lentner (2018) se relacionan con los hallazgos de Chapman (2008) quien identificó que tres conjuntos específicos de presiones que afectan la sostenibilidad fiscal subnacional: la parte cíclica, estructural e intergubernamental, encontrando que, sin cambios en el sistema fiscal, en los flujos de recursos de ingresos y gastos la sostenibilidad fiscal estatal y local podría desaparecer.</font></p>     <p align="justify"><font face="Verdana, Arial, Helvetica, sans-serif" size="2">Desde el ámbito de control y sustento legal, Vulovic (2010) examina la eficacia de los regímenes de control del endeudamiento subnacionales para mantener la sostenibilidad fiscal general. Los resultados sugieren que la regulación del endeudamiento subnacional con base en reglas fiscales tiene un desempeño más eficiente en el mantenimiento de la consolidación fiscal. A su vez, Ter-Minassian (2007) explora y encuentra como una posibilidad la aplicación de reglas fiscales podrían adoptarse de manera útil en un marco descentralizado y, son claves dado que el comportamiento de los gobiernos subnacionales puede socavar la disciplina fiscal.</font></p>     ]]></body>
<body><![CDATA[<p align="justify"><font face="Verdana, Arial, Helvetica, sans-serif" size="2">En el contexto de la aplicación de reglas macrofiscales a nivel subnacional Balassone, Franco y Zotteri (2003) encuentran que en la práctica el fortalecimiento de instituciones consensuadas y los procedimientos han sido privilegiados, con poco recurso a reglas formales. La cooperación de los gobiernos subnacionales ha sido eficaz en términos de reducción del déficit del gobierno general, puede ser subóptimo en términos de asignación de recursos, pese a ello, existe una posibilidad que no resista las pruebas de</font> <font face="Verdana, Arial, Helvetica, sans-serif" size="2">resistencia en términos de desarrollos institucionales (Balassone, et al., 2003).</font></p>     <p align="justify"><font face="Verdana, Arial, Helvetica, sans-serif" size="2">Asimismo Smith, Park y Liu (2019) muestran que la sostenibilidad fiscal a otro nivel de Gobierno (subregional o distrital), mejora cuando los gobiernos centrales tienen reglas claras para las transferencias intergubernamentales, mientras que cuando los gobiernos distritales tienen una mayor capacidad fiscal y menos transferencias intergubernamentales, pueden administrar su deuda de manera más sólida es decir, cuando tienen mayor capacidad de generación de recursos y, no son dependientes plenamente de las transferencias del Gobierno Central.</font></p>     <p align="justify"><font face="Verdana, Arial, Helvetica, sans-serif" size="2">No obstante, otras investigaciones como la de Ji, Ahn y Chapman (2016) quienes utilizan una serie de data panel para condados y municipios de los Estados Unidos bajo la metodología de pruebas de raíz unitaria y cointegración, encuentran diferentes niveles de sostenibilidad entre el grupo analizado adicionalmente, hallan que la ayuda intergubernamental juega un papel importante para la sostenibilidad fiscal tanto para los condados como para los municipios (Ji, et al., 2016).</font></p>     <p align="justify"><font face="Verdana, Arial, Helvetica, sans-serif" size="2">A nivel regional, Coronado (2010) parte del supuesto inicial que el análisis de sostenibilidad difiere entre el Gobierno Central y los gobiernos subnacionales, encontrando diferencias en: i) los gobiernos subnacionales no tienen la posibilidad de emitir dinero y utilizar el señoreaje como forma de financiamiento, ii) los gobiernos subnacionales no pueden ajustar su balance fiscal primario debido a restricciones legales para incrementar sus ingresos a través de impuestos, pueden llegar a depender de manera considerable de las transferencias intergubernamentales, y categorías de gasto que vienen definidas desde la administración central, etc. Bajo las premisas anteriormente mencionadas, la sostenibilidad de las finanzas públicas en gobiernos subnacionales para Coronado (2010) es la capacidad de generar o recaudar los recursos suficientes para afrontar permanentemente sus gastos, y honrar el servicio de su deuda, sin necesidad de incurrir en mora, renegociar la deuda o efectuar un ajuste fiscal significativo.</font></p>     <p align="justify"><font face="Verdana, Arial, Helvetica, sans-serif" size="2">Gómez y Jiménez (2011) para el caso de América Latina, encuentran que una de las características centrales de las relaciones intergubernamentales es el alto nivel de asimetría vertical, donde se destaca la escasa importancia cuantitativa de la recaudación de los gobiernos locales respecto a la presión tributaria nacional es la característica más común entre los países de la región.</font></p>     <p align="justify"><font face="Verdana, Arial, Helvetica, sans-serif" size="2">Jiménez y Ruelas (2016) analizan el caso del endeudamiento de los gobiernos subnacionales en América Latina, encontrando una fuerte interrelación entre los mecanismos de coordinación y control de endeudamiento, con aquellas instituciones que regulan las finanzas públicas en un sector público multinivel y, en los casos donde existieron altos niveles de deuda, la evidencia empírica encontró que al adaptar distintas medidas legales para controlar y restringir el endeudamiento (control del bajo la línea) mejoraron los marcos fiscales (Jiménez y Ruelas, 2016).</font></p>     <p align="justify">&nbsp;</p>     <p align="justify"><font face="Verdana, Arial, Helvetica, sans-serif" size="3"><b>Materiales y métodos</b></font></p>     <p align="justify"><font face="Verdana, Arial, Helvetica, sans-serif" size="2">Con la finalidad de analizar la sostenibilidad de las cuentas públicas en los GAD's provinciales del Ecuador, se utilizará bajo un enfoque metodológico el superávit primario requerido que entrega la sostenibilidad de la deuda y que permitiría sostener el perfil de vencimientos promedio corriente (Bouabdallah, et al., 2017 y; Wyplosz, 2007). Para encontrar el superávit primario requerido, conceptualmente se parte de la restricción presupuestaria del Gobierno.</font></p>     <p align="justify"><font face="Verdana, Arial, Helvetica, sans-serif" size="2">La restricción presupuestaria del Gobierno se puede definir según Chiarella (2018), Leeper y Nason (2010) y Fischer y Easterly (1990) como:</font></p>     ]]></body>
<body><![CDATA[<p align="center"><img src="/img/revistas/rfer/v23n23/a09_figura01.gif" width="320" height="54"></p>     <p align="justify"><font face="Verdana, Arial, Helvetica, sans-serif" size="2">Dónde, <i>G<sub>t</sub> </i>son los gastos totales del gobierno excluido el pago de los intereses, es decir, representa el gasto primario, <i>i<sub>t</sub> </i>es el costo de interés</font> <font face="Verdana, Arial, Helvetica, sans-serif" size="2">promedio ponderado<sup>7</sup>, <i>D<sub>f</sub> </i>es el saldo nominal de la deuda en el período T<i><sub>t</sub></i>, Fson los ingresos fiscales y, <i>D<sub>t-1</sub> </i>es el saldo de la deuda en el período t-1. La ecuación 1 presenta que el total de gastos (gastos primarios + el pago de intereses) es igual a los ingresos y los flujos de financiamiento (deuda actual — deuda en el período t-1).</font></p>     <p align="justify"><font face="Verdana, Arial, Helvetica, sans-serif" size="2">A partir, de la ecuación 1, se puede definir el resultado primario como:</font></p>     <p align="center"><img src="/img/revistas/rfer/v23n23/a09_figura02.gif" width="276" height="42"></p>     <p align="justify"><font face="Verdana, Arial, Helvetica, sans-serif" size="2">En la cual S<i><sub>t</sub></i> se define como el resultado primario, siendo la diferencia entre los ingresos fiscales y, el gasto primario <i>(Tt - Gt) </i>(Dascher, 2020). Al reordenar los términos en función del stock de deuda, se puede encontrar la relación con respecto al resultado primario, donde la deuda incrementaría en la medida que el superávit primario no logre cubrir por lo menos el pago de intereses de la deuda en t-1 (Hidalgo, 2021) dejando la ecuación reescrita en términos de la deuda de la siguiente manera:</font></p>     <p align="center"><img src="/img/revistas/rfer/v23n23/a09_figura03.gif" width="234" height="44"></p>     <p align="justify"><font face="Verdana, Arial, Helvetica, sans-serif" size="2">La ecuación 3 muestra que el saldo de la deuda pública en el período t incrementa en la medida que el resultado primario <i>(St) </i>no logra cubrir por lo menos el monto del pago de intereses por servicio de la deuda (Hidalgo, 2021 y;Morano, 2019).</font></p>     <p align="justify"><font face="Verdana, Arial, Helvetica, sans-serif" size="2">Por otra parte, una forma común de relacionar los recursos fiscales con la dinámica general de la economía es con el Producto Interno Bruto (PIB), para lo cual, ambas partes de la ecuación 3 se dividen por PIB (Chudik, et al., 2018). No obstante, es importante mencionar para el caso de los GAD's en Ecuador, las Disposiciones sobre el endeudamiento para Gobiernos Autónomos Descentralizados establecidas en el Código </font><font face="Verdana, Arial, Helvetica, sans-serif" size="2">Orgánico de Planificación y Finanzas Públicas (COPLAFIP) relacionan la deuda pública con el nivel de ingresos, por lo tanto, en la ecuación 3 se estandariza con el ingreso de los GAD's <i>Y. </i>Cabe destacar, que la metodología y forma de presentación como relación de los ingresos sobre la línea la aplica el ente rector de las finanzas públicas de Ecuador, conforme a lo establecido en el Acuerdo Ministerial No. 309 del 10 de julio de 2006. La ecuación 3 en relación con el ingreso se representaría de la siguiente manera:</font></p>     <p align="center"><img src="/img/revistas/rfer/v23n23/a09_figura04.gif" width="293" height="67"></p>     <p align="justify"><font face="Verdana, Arial, Helvetica, sans-serif" size="2">Nótese en la ecuación 4 que se ingresa un término adicional siendo<i> <img src="/img/revistas/rfer/v23n23/a09_figura05.gif" width="29" height="35" align="absmiddle"></i>con la finalidad de trabajar posteriormente con la tasa de crecimiento (para el caso de los GAD's de los ingresos). En términos de relación con respecto a <i>Y<sub>t</sub> </i>la ecuación 4 puede reescribirse como:</font></p>     ]]></body>
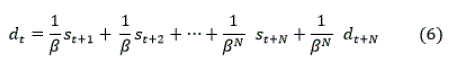
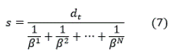
<body><![CDATA[<p align="center"><img src="/img/revistas/rfer/v23n23/a09_figura06.gif" width="330" height="52"></p>     <p align="justify"><font face="Verdana, Arial, Helvetica, sans-serif" size="2">Donde <i>d<sub>t</sub> </i>representa la relación entre deuda e ingresos, d<i><sub>t-1</sub></i><sub>;</sub> es la relación de la deuda en <i>t-1 </i>con los ingresos, <i>S<sub>t</sub> </i>es la relación entre el resultado primario y los ingresos, <i>i<sub>t</sub> </i>es el costo de interés promedio ponderado y, <i>Z<sub>t</sub> </i>es la tasa nominal de crecimiento de los ingresos sobre la línea en el periodo t conforme lo establece el Acuerdo Ministerial No. 309.</font></p>     <p align="justify"><font face="Verdana, Arial, Helvetica, sans-serif" size="2">Adicionalmente, el Acuerdo Ministerial No. 309 mencionado en Hidalgo (2021) incluye a fin de encontrar los niveles de las variables financieras clave que al prestatario le permitirán sustentar una razón de deuda ubicada dentro de los límites fijados en la ley, se resuelve la ecuación en diferencias (5), dejando como resultado de la aplicación de un método iterativo inferir\n la trayectoria temporal para , representada de la siguiente forma:</font></p>     <p align="center"><img src="/img/revistas/rfer/v23n23/a09_figura07.gif" width="451" height="65"></p>     <p align="justify"><font face="Verdana, Arial, Helvetica, sans-serif" size="2">En el cual N se define como el perfil de vencimientos promedio de la deuda pendiente de pago, a su vez, la condición de sostenibilidad determina que d<sub>t+N</sub>,= 0 es decir, los resultados primarios en el período pagan exactamente la deuda, de este modo se supone que no quedan valores o saldos insolutos. Sobre la base de la ecuación 6 se puede obtener, el superávit primario requerido que genera sostenibilidad en las cuentas públicas y, que, a su vez, permite sostener el perfil de vencimientos promedio corriente (Hidalgo, 2021).</font></p>     <p align="center"><img src="/img/revistas/rfer/v23n23/a09_figura08.gif" width="248" height="82"></p>     <p align="justify"><font face="Verdana, Arial, Helvetica, sans-serif" size="2">De esta manera, la investigación se concentra justamente en la aplicación de la ecuación 7 para cada uno de los GAD's municipales, donde el resultado primario requerido puede ser clave y visto como un valor de referencia en la gestión de la dinámica fiscal de cada gobierno autónomo descentralizado.</font></p>     <p align="justify"><font face="Verdana, Arial, Helvetica, sans-serif" size="2">Para la fuente de información y datos, se utilizarán datos anuales correspondientes a los ingresos corrientes y de capital, y gastos de las entidades, stock y servicio de deuda de los GAD Municipales, a manera de proxy del PIB se utilizarán los ingresos sobre la línea de los GAD Municipales tal como se establecía en la Ley de estabilización y transparencia fiscal, y como se lo menciona en el modelo, el perfil de vencimientos promedio y el costo de interés promedio ponderado de la deuda de los GAD Municipales, en el caso de no contar con los términos y condiciones financieras de cada operación, se tomaron los costos financieros y plazos de las operaciones de los GAD con el Banco de Desarrollo del Ecuador (BDE). Toda esta información se encuentra, en los reportes financieros anuales del Banco de</font> <font face="Verdana, Arial, Helvetica, sans-serif" size="2">Desarrollo del Ecuador y en su página web.</font></p>     <p align="justify"><font face="Verdana, Arial, Helvetica, sans-serif" size="2">Adicionalmente, para el desarrollo del modelo, se utilizó la tasa de interés nominal promedio de las operaciones de deuda de los GAD Municipales con el Banco de Desarrollo del Ecuador, que es del 7,3%, esto debido a la dificultad de cálculo del costo de interés promedio, dado que, para el mismo, implicaría ir a detalle de la cartera de deuda, operación por operación y no se cuenta con el detalle de esa información. Para el perfil de vencimiento promedio de la deuda se utilizó un escenario con un plazo de 7 años y, para la vida promedio de la deuda pendiente de pago, se utilizó un valor de 7 años, debido a que es el plazo promedio de las operaciones de deuda contraída por las entidades conforme a la información disponible en las fuentes oficiales.</font></p>     <p align="justify">&nbsp;</p>     ]]></body>
<body><![CDATA[<p align="justify"><font face="Verdana, Arial, Helvetica, sans-serif" size="3"><b>Resultados</b></font></p>     <p align="justify"><font face="Verdana, Arial, Helvetica, sans-serif" size="2">A continuación, en esta sección se presentan los principales resultados de la aplicación del modelo, utilizando un método analítico dinámico se obtiene el superávit primario requerido de los años subsiguientes de manera de cumplir en tiempo y forma sus obligaciones financieras, este método según Hidalgo (2021) plantea el análisis de la entidad para identificar si la misma es capaz de solventar su deuda en el largo plazo, para ello el prestatario financia su gasto primario y de interés mediante su flujo de ingreso y en caso de resultarle insuficiente, por una variación en el saldo de deuda (un aumento en el saldo de la deuda).</font></p>     <p align="center"><a name="t1"></a><img src="/img/revistas/rfer/v23n23/a09_figura09.gif" width="496" height="800"></p>     <p align="justify"><font face="Verdana, Arial, Helvetica, sans-serif" size="2">La (<a href="#t1">Tabla 1</a>) presenta los resultados primarios requeridos en los años subsiguientes (próximos 7 años) que permitan cumplir en el tiempo sus obligaciones financieras, en este sentido, de los 221 GAD's municipales analizados se encontró que el 83, 26% del total es decir, 184 GAD's municipales al año 2017 no poseían el resultado primario observado</font> <font face="Verdana, Arial, Helvetica, sans-serif" size="2">que les permita retornar a su dinámica de cumplimiento de obligaciones financieras, cabe mencionar, que la <a href="#t1">Tabla 1</a> presenta GAD's seleccionados de análisis completo para los GAD's.</font></p>     <p align="justify"><font face="Verdana, Arial, Helvetica, sans-serif" size="2">Bajo los resultados encontrados, la mayoría de los GAD's presentan déficit primario o, a su vez, resultados primarios lejanos al valor del resultado primario requerido, lo cual denota que podrían tener problemas de sostenibilidad de su endeudamiento público en el tiempo y, también es una señal de alerta, a posibles caídas en default de sus cuentas públicas o caer en situaciones de impago, debido a la falta de recursos para el cumplimiento de sus pasivos y/u obligaciones financieras en cuanto a deuda.</font></p>     <p align="justify"><font face="Verdana, Arial, Helvetica, sans-serif" size="2">Los resultados a nivel de cada GAD son diversos, encontrando diferentes niveles de sostenibilidad entre el grupo analizado, similar a los resultados de la investigación de Ji, Ahn y Chapman (2016) es decir, cerca del 83% de los GAD no tendrían la capacidad de generar los recursos necesarios, no sólo para afrontar los gastos comúnmente incurridos sino para cubrir el pago del servicio de la deuda (Coronado, 2010), teniendo una probabilidad alta de entrar el default fiscal y, una necesidad de llevar a cabo un plan intertemporal y gradual de consolidación de sus cuentas públicas.</font></p>     <p align="justify"><font face="Verdana, Arial, Helvetica, sans-serif" size="2">Sobre los resultados de la <a href="#t1">Tabla No. 1</a> por ejemplo se observa que GAD's como el de Loja necesitarían en los próximos 7 años un superávit primario 26,34% como porcentaje de sus ingresos y, según el dato observado al año 2017 tuvo un déficit primario de -64,99% de sus ingresos. A su vez, existen GAD's que requieren superávits primarios muy elevados, éste es el caso del GAD de Cuenca presenta la necesidad para los próximos siete años de un resultado primario de 48,76% y, en el año 2017 se observó un resultado primario de -19,53%.</font></p>     <p align="justify"><font face="Verdana, Arial, Helvetica, sans-serif" size="2">Por otro lado, existen GAD's cuyo resultado primario es igual o superior al requerido, mismos que deben mantener en el tiempo dicho comportamiento para mantener la senda de sostenibilidad, siendo el caso por ejemplo del GAD de Samborondón quien presentó un superávit de 28, 86% en 2017 y, el superávit requerido para los próximos 7 años es del</font> <font face="Verdana, Arial, Helvetica, sans-serif" size="2">2,77%.</font></p>     <p align="justify">&nbsp;</p>     <p align="justify"><font face="Verdana, Arial, Helvetica, sans-serif" size="3"><b>Discusión</b></font><font face="Verdana, Arial, Helvetica, sans-serif" size="2"><b></b></font></p>     ]]></body>
<body><![CDATA[<p align="justify"><font face="Verdana, Arial, Helvetica, sans-serif" size="2">En relación con los resultados obtenidos del modelo utilizando un método analítico dinámico se obtiene el superávit primario requerido de los años subsiguientes de manera de cumplir en tiempo y forma sus obligaciones financieras se encontró que, de los 221 GAD's municipales analizados, el 83, 26% del total, es decir, 184 GAD's municipales al año 2017 no poseían el resultado primario observado que les permita retornar a su dinámica de cumplimiento de obligaciones financieras.</font></p>     <p align="justify"><font face="Verdana, Arial, Helvetica, sans-serif" size="2">Además de ello, similar a los resultados obtenidos por Ji, Ahn y Chapman (2016) se encontró diferentes niveles de sostenibilidad entre el grupo analizado, a su vez, conforme al análisis de Coronado (2010) existe una compleja situación, dado que los gobiernos subnacionales no pueden ajustar su balance fiscal primario debido a las condiciones sobre las cuales pueden aumentar sus ingresos (ciertamente por tendencia política) y, llegan a depender de manera considerable de las transferencias intergubernamentales, y categorías de gasto que vienen definidas desde la administración central.</font></p>     <p align="justify"><font face="Verdana, Arial, Helvetica, sans-serif" size="2">Si bien es cierto, la investigación bajo una técnica analítica dinámica permite encontrar los resultados el superávit primario requerido que financie sustentablemente el endeudamiento de las GAD's, pese a ello, las soluciones en el marco general a este problema son mucho más complejas al cumplimiento de la restricción presupuestaria, es necesario en este sentido, la toma de decisiones y cuestiones de entorno político, social y económico de los gobiernos, por lo cual se considera que los resultados se tomen como un marco referencial y un punto de partida que permita realizar un análisis mucho más exhaustivo de las cuentas públicas de los GAD's no sólo municipales sino también se incluyan los provinciales y las juntas parroquiales.</font></p>     <p align="justify">&nbsp;</p>     <p align="justify"><font face="Verdana, Arial, Helvetica, sans-serif" size="3"><b>Conclusión</b></font></p>     <p align="justify"><font face="Verdana, Arial, Helvetica, sans-serif" size="2">El documento se sustentó en el análisis de los flujos y stocks fiscales de los GAD's Municipales con la información disponible en el período 2010-2017, se utilizó como base técnica un método analítico dinámico, con el cual se obtuvo el superávit primario requerido de los años subsiguientes, en el particular de siete años, de manera de cumplir en tiempo y forma sus obligaciones financieras es decir, se realiza un comparativo a nivel de cada GAD municipal en cuanto a la diferencia entre el superávit primario requerido para evitar el deterioro del perfil de vencimientos promedio de la deuda de la entidad (% de los ingresos) y, el valor observado al cierre del año 2017.</font></p>     <p align="justify"><font face="Verdana, Arial, Helvetica, sans-serif" size="2">Con la finalidad de analizar la sostenibilidad de las cuentas públicas en los GAD's provinciales del Ecuador, se utilizó bajo un enfoque metodológico el superávit primario requerido que entrega la sostenibilidad de la deuda y que permitiría sostener el perfil de vencimientos promedio corriente, para ello, se partió de la restricción presupuestaria del Gobierno.</font></p>     <p align="justify"><font face="Verdana, Arial, Helvetica, sans-serif" size="2">Dentro de los resultados encontrados, se observó que de los 221 GAD's municipales analizados se halló que el 83, 26% del total, es decir, 184 GAD 's municipales al año 2017 no poseían el resultado primario observado que les permita retornar a su dinámica de cumplimiento de obligaciones financieras estando en situación potencial de insolvencia.</font></p>     <p align="justify"><font face="Verdana, Arial, Helvetica, sans-serif" size="2">En este sentido, se encontró que un gran porcentaje de los GAD's presentan resultados primarios lejanos al valor del resultado primario requerido, lo cual denota que podrían tener problemas de sostenibilidad de su endeudamiento público en el tiempo (en los próximos 7 años) y, también es una señal de alerta, a posibles caídas en default de sus cuentas públicas o caer en situaciones de impago, debido a la falta de recursos para el cumplimiento de sus pasivos y/u obligaciones financieras en cuanto a deuda.</font></p>     <p align="justify"><font face="Verdana, Arial, Helvetica, sans-serif" size="2">Se recomienda conforme a la evidencia empírica y, las buenas prácticas</font> <font face="Verdana, Arial, Helvetica, sans-serif" size="2">internacionales que se realice una evaluación exhaustiva a nivel de cada GAD, considerando que los resultados de las entidades pertenecientes tendrán repercusión sobre el Sector Público No Financiero y, el resultado de las cuentas públicas globales. Una solución importante, será la revisión de las reglas macrofiscales aplicadas a los GAD's que sean consistentes con la sostenibilidad fiscal de mediano y largo plazo.</font></p>     ]]></body>
<body><![CDATA[<p align="justify"><font face="Verdana, Arial, Helvetica, sans-serif" size="2">Otro punto clave, desde la parte de los ingresos, es la posible dependencia de los GAD's a los recursos que provienen directamente desde el Presupuesto General del Estado, para lo cual se recomienda revisar los dos siguientes puntos: i) que las transferencias desde el PGE se realicen de manera oportuna, a tiempo, es decir, sin retraso para que los GAD's tengan el uso de los recursos de forma inmediata y, ii) que exista un compromiso desde su propia autonomía financiera para el aumento de ingresos por autogestión, no sólo desde el GAD sino desde sus empresas públicas.</font></p>     <p align="justify"><font face="Verdana, Arial, Helvetica, sans-serif" size="2">Desde los gastos, será importante, un marco de consolidación de las cuentas públicas de los GAD's municipales, pese a ello, es recomendable un marco de consolidación gradual, con la finalidad que no exista limitación al cumplimiento de sus obligaciones con la ciudadanía en el marco de sus competencias constitucionales y legales. A su vez, se recomienda un análisis desde la calidad del gasto desde los servicios que generen ingresos, hasta la propia composición de sus gastos permanentes. Una alternativa dentro de los gastos permanentes (corrientes) conlleva a reducir con mayor decisión los gastos corrientes, con ello se puede apoyar a la reducción del déficit primario y por lo tanto no tener que incrementar el endeudamiento para cubrir déficits. Se recomienda para futuras investigaciones proyectar esta reducción en el tiempo establecido por el estudio y así obtener los superávits primarios requeridos.</font></p>     <p align="justify">&nbsp;</p>     <p align="justify"><strong><font size="3" face="Verdana, Arial, Helvetica, sans-serif">Notas</font></strong></p>     <p align="justify"><font face="Verdana, Arial, Helvetica, sans-serif" size="2"><sup>1</sup> &nbsp;El desarrollo del documento se sustenta en gran medida en la investigaci&oacute;n de Hidalgo (2021) en la cual analiza el &quot;Endeudamiento de los Gobiernos Aut&oacute;nomos Descentralizados Municipales de Ecuador, como respuesta a la sostenibilidad de sus finanzas en el mediano plazo, en el periodo 2010&mdash;2017&quot;.</font></p>     <p align="justify"><font face="Verdana, Arial, Helvetica, sans-serif" size="2"><sup>2</sup>&nbsp;&nbsp;Economista, Investigador Independiente. cristhyan_h@hotmail.com</font> <font face="Verdana, Arial, Helvetica, sans-serif" size="2">Pontificia Universidad Cat&oacute;lica del Ecuador, Pichincha - Ecuador</font> <font face="Verdana, Arial, Helvetica, sans-serif" size="2">N&uacute;mero de ORCID </font></p>     <p align="justify"><font face="Verdana, Arial, Helvetica, sans-serif" size="2"><sup>3</sup>&nbsp;&nbsp;Economista, Doctora en Econom&iacute;a con menci&oacute;n en Gesti&oacute;n Empresarial. monycahe2002@hotmail.com</font> <font face="Verdana, Arial, Helvetica, sans-serif" size="2">Universidad Internacional Iberoamericana, Pichincha - Ecuador N&uacute;mero de ORCID </font></p>     <p align="justify"><font face="Verdana, Arial, Helvetica, sans-serif" size="2"><sup>4</sup>&nbsp;&nbsp;Economista, Mag&iacute;ster en Investigaci&oacute;n en Econom&iacute;a del Desarrollo. slondono2193@gmail.com</font> <font face="Verdana, Arial, Helvetica, sans-serif" size="2">Facultad Latinoamericana de Ciencias Sociales, Pichincha - </font> <font face="Verdana, Arial, Helvetica, sans-serif" size="2">Ecuador</font> <font face="Verdana, Arial, Helvetica, sans-serif" size="2">N&uacute;mero de ORCID </font></p>     <p align="justify"><font face="Verdana, Arial, Helvetica, sans-serif" size="2"><sup>5</sup>&nbsp; Economista, Mag&iacute;ster en Administraci&oacute;n de Empresas. llady@utmachala.edu.ec</font> <font face="Verdana, Arial, Helvetica, sans-serif" size="2">Universidad T&eacute;cnica de M&aacute;chala, El Oro - Ecuador</font> <font face="Verdana, Arial, Helvetica, sans-serif" size="2">N&uacute;mero de ORCID </font></p>     <p align="justify"><font size="2" face="Verdana, Arial, Helvetica, sans-serif"><sup>6</sup>&nbsp;GAD, Gobiernos Aut&oacute;nomos Descentralizados</font></p>     ]]></body>
<body><![CDATA[<p align="justify"><font size="2" face="Verdana, Arial, Helvetica, sans-serif"><sup>7</sup>&nbsp; El costo de inter&eacute;s promedio ponderado se define seg&uacute;n lo menciona Hidalgo    (2021) como el inter&eacute;s nominal sobre una cartera de instrumentos de deuda. La tasa de inter&eacute;s  es ponderada por el valor de la deuda en relaci&oacute;n con el valor total de la cartera de deuda</font></p>     <p align="justify">&nbsp;</p>     <p align="justify"><font face="Verdana, Arial, Helvetica, sans-serif" size="3"><b>Referencias</b></font></p>     <!-- ref --><p align="justify"><font face="Verdana, Arial, Helvetica, sans-serif" size="2">Balassone, E, Franco, D., y Zotteri, S. (2003). <i>Fiscal rules for sub-national governments: what lessons from EMÚ countries?. </i>presentado en XV Seminario Regional de Política Fiscal: compendio de documentos-</font><font face="Verdana, Arial, Helvetica, sans-serif" size="2">Santiago: ECLAC. <A href=http://hdl.handle.net/11362/34926 target="_blank">http://hdl.handle.net/11362/34926</A></font>&nbsp;&nbsp;&nbsp;&nbsp;&nbsp;&nbsp;&nbsp;&nbsp;[&#160;<a href="javascript:void(0);" onclick="javascript: window.open('/scielo.php?script=sci_nlinks&ref=853368&pid=S2071-081X202200010000900001&lng=','','width=640,height=500,resizable=yes,scrollbars=1,menubar=yes,');">Links</a>&#160;]<!-- end-ref --><!-- ref --><p align="justify"><font face="Verdana, Arial, Helvetica, sans-serif" size="2">Bethlendi, A. y Lentner, C.  (2018). Subnational fiscal consolidation:</font> <font face="Verdana, Arial, Helvetica, sans-serif" size="2">the Hungarian path from crisis to fiscal sustainability in light of</font> <font face="Verdana, Arial, Helvetica, sans-serif" size="2">international experiences. <i>Sustainability, 10(9), </i>1-16. <a href="https://www.mdpi.com/2071-1050/10/9/2978" target="_blank">https://www.</a></font><a href="https://www.mdpi.com/2071-1050/10/9/2978"><font face="Verdana, Arial, Helvetica, sans-serif" size="2">mdpi.com/2071-1050/10/9/2978 </font></a>&nbsp;&nbsp;&nbsp;&nbsp;&nbsp;&nbsp;&nbsp;&nbsp;[&#160;<a href="javascript:void(0);" onclick="javascript: window.open('/scielo.php?script=sci_nlinks&ref=853369&pid=S2071-081X202200010000900002&lng=','','width=640,height=500,resizable=yes,scrollbars=1,menubar=yes,');">Links</a>&#160;]<!-- end-ref --><!-- ref --><p align="justify"><font face="Verdana, Arial, Helvetica, sans-serif" size="2">Bouabdallah,  O.,  Checherita-Westphal,  C.  D., Warmedinger, T.,  De</font> <font face="Verdana, Arial, Helvetica, sans-serif" size="2">Stefani, R, Drudi, E, Setzer, R. y Westphal, A. (2017). Debt</font> <font face="Verdana, Arial, Helvetica, sans-serif" size="2">sustainability analysis for euro área sovereigns: a methodological</font> <font face="Verdana, Arial, Helvetica, sans-serif" size="2">framework. <i>ECB Occasional Paper, (185), </i>2-43- <a href="https://www.ecb.europa.eu/pub/pdf/scpops/ecbopl85.en.pdf" target="_blank">https://www.ecb.</a></font><a href="https://www.ecb.europa.eu/pub/pdf/scpops/ecbopl85.en.pdf"><font face="Verdana, Arial, Helvetica, sans-serif" size="2">europa.eu/pub/pdf/scpops/ecbopl85.en.pdf </font></a>&nbsp;&nbsp;&nbsp;&nbsp;&nbsp;&nbsp;&nbsp;&nbsp;[&#160;<a href="javascript:void(0);" onclick="javascript: window.open('/scielo.php?script=sci_nlinks&ref=853370&pid=S2071-081X202200010000900003&lng=','','width=640,height=500,resizable=yes,scrollbars=1,menubar=yes,');">Links</a>&#160;]<!-- end-ref --><p align="justify"><font face="Verdana, Arial, Helvetica, sans-serif" size="2">Brodjonegoro, B. (2009). Fiscal <i>Decentralization andItsImpacton Regional</i></font> <font face="Verdana, Arial, Helvetica, sans-serif" size="2"><i>Economic Development and Fiscal Sustainability. </i>In Decentralization</font> <font face="Verdana, Arial, Helvetica, sans-serif" size="2">and Regional Autonomy in Indonesia. <a href="https://www.researchgate.net/publication/292572013_Fiscal_decentralization_and_its_impact_on_regional_economic_development_and_fiscal_sustainability" target="_blank">https://www.researchgate.net/publication/292572013_Fiscal_decentralization_and_its_impact_on_regional_eco    <br> nomic_development_and_fiscal_sustainability </a></font></p>     <!-- ref --><p align="justify"><font face="Verdana, Arial, Helvetica, sans-serif" size="2">Chapman,    J.    (2008).    State    and    local    fiscal    sustainability:    The</font> <font face="Verdana, Arial, Helvetica, sans-serif" size="2">challenges. <i>Public Administration Revietv, 68, </i>S115-S131. <a href="https://doi.org/10.1111/j.l540-6210.2008.00983.x" target="_blank">https://</a></font><a href="https://doi.org/10.1111/j.l540-6210.2008.00983.x"><font face="Verdana, Arial, Helvetica, sans-serif" size="2">doi.org/10.1111/j.l540-6210.2008.00983.x</font></a><font face="Verdana,    &nbsp;&nbsp;&nbsp;&nbsp;&nbsp;&nbsp;&nbsp;&nbsp;[&#160;<a href="javascript:void(0);" onclick="javascript: window.open('/scielo.php?script=sci_nlinks&ref=853373&pid=S2071-081X202200010000900005&lng=','','width=640,height=500,resizable=yes,scrollbars=1,menubar=yes,');">Links</a>&#160;]<!-- end-ref --> Arial, Helvetica, sans-serif" size="2"> </font></p>     ]]></body>
<body><![CDATA[<!-- ref --><p align="justify"><font face="Verdana, Arial, Helvetica, sans-serif" size="2">Chiarella, C. (2018). <i>Analysis ofthe Ejfects ofTime Lags and Nonlinearities</i></font> <font face="Verdana, Arial, Helvetica, sans-serif" size="2"><i>In a Macroeconomic Model Incorporating The Government Budget</i></font> <font face="Verdana, Arial, Helvetica, sans-serif" size="2"><i>Constraint.   </i>In   New   Mathematical   Advances   in   Economic</font> <font face="Verdana, Arial, Helvetica, sans-serif" size="2">Dynamics. London: Routledge. 131-152.    &nbsp;&nbsp;&nbsp;&nbsp;&nbsp;&nbsp;&nbsp;&nbsp;[&#160;<a href="javascript:void(0);" onclick="javascript: window.open('/scielo.php?script=sci_nlinks&ref=853375&pid=S2071-081X202200010000900006&lng=','','width=640,height=500,resizable=yes,scrollbars=1,menubar=yes,');">Links</a>&#160;]<!-- end-ref --> </font></p>     <!-- ref --><p align="justify"><font face="Verdana, Arial, Helvetica, sans-serif" size="2">Chudik, A., Mohaddes, K., Pesaran, M. H. y  Raissi, M. (2018). Rising</font> <font face="Verdana, Arial, Helvetica, sans-serif" size="2">public  debt  to   GDP   can  harm   economic  growth.   <i>Economic</i></font> <font face="Verdana, Arial, Helvetica, sans-serif" size="2"><i>Letter,   13(3),    </i>1-4.   <a href="https://www.dallasfed.org/research/&#094;/media/documents/research/eclett/2018/el1803.pdf" target="_blank">https://www.dallasfed.org/research/ /media/documents/research/eclett/2018/el1803.pdf </a></font><font face="Verdana,    &nbsp;&nbsp;&nbsp;&nbsp;&nbsp;&nbsp;&nbsp;&nbsp;[&#160;<a href="javascript:void(0);" onclick="javascript: window.open('/scielo.php?script=sci_nlinks&ref=853377&pid=S2071-081X202200010000900007&lng=','','width=640,height=500,resizable=yes,scrollbars=1,menubar=yes,');">Links</a>&#160;]<!-- end-ref --> Arial, Helvetica, sans-serif" size="2"></font></p>     <!-- ref --><p align="justify"><font face="Verdana, Arial, Helvetica, sans-serif" size="2">Constitución de la República del Ecuador (2008).   Registro Oficial, 449-</font><font face="Verdana, Arial, Helvetica, sans-serif" size="2">Quito-Ecuador.    [En   línea]        <a href="https://www.cec-epn.edu.ec/wp-content/uploads/2016/03/Constitucion.pdf" target="_blank">https://www.cec-epn.edu.ec/wp-</a></font><a href="https://www.cec-epn.edu.ec/wp-content/uploads/2016/03/Constitucion.pdf"><font face="Verdana, Arial, Helvetica, sans-serif" size="2">content/uploads/2016/03/Constitucion.pdf</font></a><font face="Verdana,    &nbsp;&nbsp;&nbsp;&nbsp;&nbsp;&nbsp;&nbsp;&nbsp;[&#160;<a href="javascript:void(0);" onclick="javascript: window.open('/scielo.php?script=sci_nlinks&ref=853379&pid=S2071-081X202200010000900008&lng=','','width=640,height=500,resizable=yes,scrollbars=1,menubar=yes,');">Links</a>&#160;]<!-- end-ref --> Arial, Helvetica, sans-serif" size="2"> </font></p>     <!-- ref --><p align="justify"><font face="Verdana, Arial, Helvetica, sans-serif" size="2">Coronado,   J.   (2010).   Sostenibilidad   de   las   finanzas   en   gobiernos</font> <font face="Verdana, Arial, Helvetica, sans-serif" size="2">subnacionales.   <i>Trimestre fiscal, (95), </i>29-75- <a href="https://biblat.unam.mx/hevila/Trimestrefiscal/2010/no95/2.pdf" target="_blank">https://biblat.unam.</a></font><a href="https://biblat.unam.mx/hevila/Trimestrefiscal/2010/no95/2.pdf"><font face="Verdana, Arial, Helvetica, sans-serif" size="2">mx/hevila/Trimestrefiscal/2010/no95/2.pdf</font></a><font face="Verdana,    &nbsp;&nbsp;&nbsp;&nbsp;&nbsp;&nbsp;&nbsp;&nbsp;[&#160;<a href="javascript:void(0);" onclick="javascript: window.open('/scielo.php?script=sci_nlinks&ref=853381&pid=S2071-081X202200010000900009&lng=','','width=640,height=500,resizable=yes,scrollbars=1,menubar=yes,');">Links</a>&#160;]<!-- end-ref --> Arial, Helvetica, sans-serif" size="2"> </font></p>     <!-- ref --><p align="justify"><font face="Verdana, Arial, Helvetica, sans-serif" size="2">Dascher,  F.   (2020).   Sustainable  debt  policy rules  and  growth  in  a</font> <font face="Verdana, Arial, Helvetica, sans-serif" size="2">small open economy model: is a balanced government budget</font> <font face="Verdana, Arial, Helvetica, sans-serif" size="2">worthwhile?. <i>Comparative Economic Studies, 62(3), </i>373-397-<a href="https://econpapers.repec.org/article/palcompes/v_3a62_3ay_3a2 020_3ai_3a3_3ad_3al0.1057_5fs4l294-020-00130-3.htm" target="_blank">https://econpapers.repec.org/article/palcompes/v_3a62_3ay_3a2 020_3ai_3a3_3ad_3al0.1057_5fs4l294-020-00130-3.htm</a></font>&nbsp;&nbsp;&nbsp;&nbsp;&nbsp;&nbsp;&nbsp;&nbsp;[&#160;<a href="javascript:void(0);" onclick="javascript: window.open('/scielo.php?script=sci_nlinks&ref=853383&pid=S2071-081X202200010000900010&lng=','','width=640,height=500,resizable=yes,scrollbars=1,menubar=yes,');">Links</a>&#160;]<!-- end-ref --><!-- ref --><p align="justify"><font face="Verdana, Arial, Helvetica, sans-serif" size="2">Davig, T. (2005)- Periodically expanding discounted debt: a threat to fiscal policy sustainability?. <i>Journal ofApplied Econometrics, 20(7), </i>829-840.&nbsp;  <a href="https://econpapers.repec.org/article/jaejapmet/v_3a20_3ay_3a2005_3ai_3a7_3ap_3a829-840.htm" target="_blank">https://econpapers.repec.org/article/jaejapmet/</a></font><a href="https://econpapers.repec.org/article/jaejapmet/v_3a20_3ay_3a2005_3ai_3a7_3ap_3a829-840.htm"><font face="Verdana, Arial, Helvetica, sans-serif" size="2">v_3a20_3ay_3a2005_3ai_3a7_3ap_3a829-840.htm</font></a><font face="Verdana,    &nbsp;&nbsp;&nbsp;&nbsp;&nbsp;&nbsp;&nbsp;&nbsp;[&#160;<a href="javascript:void(0);" onclick="javascript: window.open('/scielo.php?script=sci_nlinks&ref=853384&pid=S2071-081X202200010000900011&lng=','','width=640,height=500,resizable=yes,scrollbars=1,menubar=yes,');">Links</a>&#160;]<!-- end-ref --> Arial, Helvetica, sans-serif" size="2"></font></p>     <!-- ref --><p align="justify"><font face="Verdana, Arial, Helvetica, sans-serif" size="2">De Mello, L. (2008). Estimating a fiscal reaction function: the case of debt sustainability in Brazil. <i>Applied Economics, 40(3), </i>271-284. <a href="https://doi.org/10.1080/00036840500461873" target="_blank">https://doi.org/10.1080/00036840500461873</a></font>&nbsp;&nbsp;&nbsp;&nbsp;&nbsp;&nbsp;&nbsp;&nbsp;[&#160;<a href="javascript:void(0);" onclick="javascript: window.open('/scielo.php?script=sci_nlinks&ref=853386&pid=S2071-081X202200010000900012&lng=','','width=640,height=500,resizable=yes,scrollbars=1,menubar=yes,');">Links</a>&#160;]<!-- end-ref --><!-- ref --><p align="justify"><font face="Verdana, Arial, Helvetica, sans-serif" size="2">Díaz, <i>]., </i>Andrade, H., Radies, A. y Miranda, A. (2017). <i>La brecha fiscal horizontal en Ecuador y su igualación. </i>Documento de discusión IDB-DP-547. Washington, DC: BID. <a href="https://publications.iadb. org/publications/spanish/document/La-brecha-fiscal-horizontal-en-Ecuador-y-su-igualaci%C3%B3n.pdf" target="_blank">https://publications.iadb. org/publications/spanish/document/La-brecha-fiscal-horizontal-en-Ecuador-y-su-igualaci%C3%B3n.pdf</a></font>&nbsp;&nbsp;&nbsp;&nbsp;&nbsp;&nbsp;&nbsp;&nbsp;[&#160;<a href="javascript:void(0);" onclick="javascript: window.open('/scielo.php?script=sci_nlinks&ref=853387&pid=S2071-081X202200010000900013&lng=','','width=640,height=500,resizable=yes,scrollbars=1,menubar=yes,');">Links</a>&#160;]<!-- end-ref --><!-- ref --><p align="justify"><font face="Verdana, Arial, Helvetica, sans-serif" size="2">Fischer, S. y Easterly, W. (1990). The economics of the government budget constraint. <i>The World Bank Research Observer, 5(2), </i>127-142. <a href="https://doi.org/10.1093/wbro/5.2.127" target="_blank">https://doi.org/10.1093/wbro/5.2.127</a></font>&nbsp;&nbsp;&nbsp;&nbsp;&nbsp;&nbsp;&nbsp;&nbsp;[&#160;<a href="javascript:void(0);" onclick="javascript: window.open('/scielo.php?script=sci_nlinks&ref=853388&pid=S2071-081X202200010000900014&lng=','','width=640,height=500,resizable=yes,scrollbars=1,menubar=yes,');">Links</a>&#160;]<!-- end-ref --><!-- ref --><p align="justify"><font face="Verdana, Arial, Helvetica, sans-serif" size="2">Gómez, J. y Jiménez, J. (2011). El financiamiento de los gobiernos subnacional es en América Latina: un análisis de casos. <i>Trimestrefiscal, (97), </i>11-60. <a href="https://biblat.unam.mx/hevila/Trimestrefiscal/2011/no97A.pdf" target="_blank">https://biblat.unam.mx/hevila/Trimestrefiscal/2011/no97A.pdf</a></font>&nbsp;&nbsp;&nbsp;&nbsp;&nbsp;&nbsp;&nbsp;&nbsp;[&#160;<a href="javascript:void(0);" onclick="javascript: window.open('/scielo.php?script=sci_nlinks&ref=853389&pid=S2071-081X202200010000900015&lng=','','width=640,height=500,resizable=yes,scrollbars=1,menubar=yes,');">Links</a>&#160;]<!-- end-ref --><!-- ref --><p align="justify"><font face="Verdana, Arial, Helvetica, sans-serif" size="2">Haug, A. (1991). Cointegration and government borrowing constraints: Evidence for the United States. <i>Journal of Business Ó&quot; Economic Statistics, 9(1), </i>97-101. <a href="https://doi.org/10.2307/1391944" target="_blank">https://doi.org/10.2307/1391944</a></font>&nbsp;&nbsp;&nbsp;&nbsp;&nbsp;&nbsp;&nbsp;&nbsp;[&#160;<a href="javascript:void(0);" onclick="javascript: window.open('/scielo.php?script=sci_nlinks&ref=853390&pid=S2071-081X202200010000900016&lng=','','width=640,height=500,resizable=yes,scrollbars=1,menubar=yes,');">Links</a>&#160;]<!-- end-ref --><!-- ref --><p align="justify"><font face="Verdana, Arial, Helvetica, sans-serif" size="2">Hidalgo, C. (2021). Endeudamiento de los Gobiernos Autónomos Descentralizados Municipales de Ecuador, como respuesta a la sostenibilidad de sus finanzas en el mediano plazo, en el periodo 2010—2017- Tesis para optar el título de Economista.    &nbsp;&nbsp;&nbsp;&nbsp;&nbsp;&nbsp;&nbsp;&nbsp;[&#160;<a href="javascript:void(0);" onclick="javascript: window.open('/scielo.php?script=sci_nlinks&ref=853391&pid=S2071-081X202200010000900017&lng=','','width=640,height=500,resizable=yes,scrollbars=1,menubar=yes,');">Links</a>&#160;]<!-- end-ref --></font></p>     <!-- ref --><p align="justify"><font face="Verdana, Arial, Helvetica, sans-serif" size="2">Ji, H., Ahn, J. y Chapman, J. (2016). The role of intergovernmental aid in defining fiscal sustainability at the sub-national level. <i>Urban Studies, </i>53(14), 3063-3081. <a href="https://www.jstor.org/ stable/26151262" target="_blank">https://www.jstor.org/ stable/26151262</a></font>&nbsp;&nbsp;&nbsp;&nbsp;&nbsp;&nbsp;&nbsp;&nbsp;[&#160;<a href="javascript:void(0);" onclick="javascript: window.open('/scielo.php?script=sci_nlinks&ref=853393&pid=S2071-081X202200010000900018&lng=','','width=640,height=500,resizable=yes,scrollbars=1,menubar=yes,');">Links</a>&#160;]<!-- end-ref --><!-- ref --><p align="justify"><font face="Verdana, Arial, Helvetica, sans-serif" size="2">Jiménez, P. y Ruelas, I. (2016). El <i>endeudamiento de los gobiernos subnacionales en América Latina:  evolución,   institucionalidad y</i></font> <font face="Verdana, Arial, Helvetica, sans-serif" size="2"><i>desafíos. </i>Comisión Económica para América Latina y el Caribe.</font> <font face="Verdana, Arial, Helvetica, sans-serif" size="2"><a href="https://repositorio.cepal.org/bitstream/handle/11362/41007/1/S1700020_es.pdf" target="_blank">https://repositorio.cepal.org/bitstream/handle/11362/41007/1/S1700020_es.pdf</a></font>&nbsp;&nbsp;&nbsp;&nbsp;&nbsp;&nbsp;&nbsp;&nbsp;[&#160;<a href="javascript:void(0);" onclick="javascript: window.open('/scielo.php?script=sci_nlinks&ref=853394&pid=S2071-081X202200010000900019&lng=','','width=640,height=500,resizable=yes,scrollbars=1,menubar=yes,');">Links</a>&#160;]<!-- end-ref --><!-- ref --><p align="justify"><font face="Verdana, Arial, Helvetica, sans-serif" size="2">Larin, B., y Süssmuth, B. (2014). Fiscal autonomy and fiscal sustainability:</font> <font face="Verdana, Arial, Helvetica, sans-serif" size="2">subnational taxation and public indebtedness in Contemporary</font> <font face="Verdana, Arial, Helvetica, sans-serif" size="2">Spain.  <i>CESifo Working Papers,  (476),   </i>1-32. <a href="https://ideas.repec.org/p/ees/ceswps/_4726.html" target="_blank">https://ideas.repec.</a></font><a href="https://ideas.repec.org/p/ees/ceswps/_4726.html"><font face="Verdana, Arial, Helvetica, sans-serif" size="2">org/p/ees/ceswps/_4726.html </font></a><font face="Verdana,    &nbsp;&nbsp;&nbsp;&nbsp;&nbsp;&nbsp;&nbsp;&nbsp;[&#160;<a href="javascript:void(0);" onclick="javascript: window.open('/scielo.php?script=sci_nlinks&ref=853395&pid=S2071-081X202200010000900020&lng=','','width=640,height=500,resizable=yes,scrollbars=1,menubar=yes,');">Links</a>&#160;]<!-- end-ref --> Arial, Helvetica, sans-serif" size="2"></font></p>     <!-- ref --><p align="justify"><font face="Verdana, Arial, Helvetica, sans-serif" size="2">Legrenzi, G. y Milas, C. (2012). Nonlinearities and the sustainability</font> <font face="Verdana, Arial, Helvetica, sans-serif" size="2">of the government's intertemporal budget constraint. <i>Economic</i></font> <font face="Verdana, Arial, Helvetica, sans-serif" size="2"><i>Inquiry,      50(4),      </i>988-999.      <a href="https://doi.org/10.1111/j.l465-7295.2011.00402.x" target="_blank">https://doi.org/10.1111/j.l465-7295.2011.00402.x </a></font><font face="Verdana,    &nbsp;&nbsp;&nbsp;&nbsp;&nbsp;&nbsp;&nbsp;&nbsp;[&#160;<a href="javascript:void(0);" onclick="javascript: window.open('/scielo.php?script=sci_nlinks&ref=853397&pid=S2071-081X202200010000900021&lng=','','width=640,height=500,resizable=yes,scrollbars=1,menubar=yes,');">Links</a>&#160;]<!-- end-ref --> Arial, Helvetica, sans-serif" size="2"></font></p>     <!-- ref --><p align="justify"><font face="Verdana, Arial, Helvetica, sans-serif" size="2">Leeper,   E.   y   Nason,   J.    (2010).    Government   budget   constraint.</font> <font face="Verdana, Arial, Helvetica, sans-serif" size="2">In    Monetary    Economics.     Palgrave    Macmillan,     London.</font> <font face="Verdana, Arial, Helvetica, sans-serif" size="2"><i>Monetary      Economics,       </i>108-117-      <a href="https://link.springer.com/chapter/10.1057/9780230280854_13" target="_blank">https://link.springer.com/chapter/10.1057/9780230280854_13 </a></font><font face="Verdana,    &nbsp;&nbsp;&nbsp;&nbsp;&nbsp;&nbsp;&nbsp;&nbsp;[&#160;<a href="javascript:void(0);" onclick="javascript: window.open('/scielo.php?script=sci_nlinks&ref=853399&pid=S2071-081X202200010000900022&lng=','','width=640,height=500,resizable=yes,scrollbars=1,menubar=yes,');">Links</a>&#160;]<!-- end-ref --> Arial, Helvetica, sans-serif" size="2"></font></p>     <!-- ref --><p align="justify"><font face="Verdana, Arial, Helvetica, sans-serif" size="2">MacDonald, R. (1992). Some Tests of the government's intertemporal</font> <font face="Verdana, Arial, Helvetica, sans-serif" size="2">budget constraint using US data. <i>Applied Economics, 24(12), </i>1287-1292. <a href="https://doi.org/10.1080/00036849200000087" target="_blank">https://doi.org/10.1080/00036849200000087 </a></font>&nbsp;&nbsp;&nbsp;&nbsp;&nbsp;&nbsp;&nbsp;&nbsp;[&#160;<a href="javascript:void(0);" onclick="javascript: window.open('/scielo.php?script=sci_nlinks&ref=853401&pid=S2071-081X202200010000900023&lng=','','width=640,height=500,resizable=yes,scrollbars=1,menubar=yes,');">Links</a>&#160;]<!-- end-ref --><!-- ref --><p align="justify"><font face="Verdana, Arial, Helvetica, sans-serif" size="2">Magazzino, C, Forte, F. y Giolli, L. (2020). On the Italian public accounts'</font> <font face="Verdana, Arial, Helvetica, sans-serif" size="2">sustainability: A wavelet approach. <i>International Journal ofFinance</i></font> <font face="Verdana, Arial, Helvetica, sans-serif" size="2"><i>&amp; Economics, (3). </i>[En línea] DOI: 10.1002/ijfe.2184 </font>&nbsp;&nbsp;&nbsp;&nbsp;&nbsp;&nbsp;&nbsp;&nbsp;[&#160;<a href="javascript:void(0);" onclick="javascript: window.open('/scielo.php?script=sci_nlinks&ref=853402&pid=S2071-081X202200010000900024&lng=','','width=640,height=500,resizable=yes,scrollbars=1,menubar=yes,');">Links</a>&#160;]<!-- end-ref --><!-- ref --><p align="justify"><font face="Verdana, Arial, Helvetica, sans-serif" size="2">Morano Germani, L.  (2019). <i>Reglas focales óptimas en un contexto de</i></font> <font face="Verdana, Arial, Helvetica, sans-serif" size="2"><i>volatilidad del ciclo económico. </i>Tesis para optar el título de Magíster</font> <font face="Verdana, Arial, Helvetica, sans-serif" size="2">en Economía, <A href=http://sedici.unlp.edu.ar/handle/10915/85973>http://sedici.unlp.edu.ar/handle/10915/85973</A> </font>&nbsp;&nbsp;&nbsp;&nbsp;&nbsp;&nbsp;&nbsp;&nbsp;[&#160;<a href="javascript:void(0);" onclick="javascript: window.open('/scielo.php?script=sci_nlinks&ref=853403&pid=S2071-081X202200010000900025&lng=','','width=640,height=500,resizable=yes,scrollbars=1,menubar=yes,');">Links</a>&#160;]<!-- end-ref --><!-- ref --><p align="justify"><font face="Verdana, Arial, Helvetica, sans-serif" size="2">Shebell, E. y Moser, S. (2019). Planning for the Buen Vivir: socialism,</font> <font face="Verdana, Arial, Helvetica, sans-serif" size="2">decentralisation and urbanisation in rural Ecuador. <i>International</i></font> <font face="Verdana, Arial, Helvetica, sans-serif" size="2"><i>Development   Planning   Review,    </i>41(4),    473-494.   <a href="https://doi.org/10.3828/idpr.2019.16" target="_blank">https://doi.org/10.3828/idpr.2019.16</a></font><font face="Verdana,    &nbsp;&nbsp;&nbsp;&nbsp;&nbsp;&nbsp;&nbsp;&nbsp;[&#160;<a href="javascript:void(0);" onclick="javascript: window.open('/scielo.php?script=sci_nlinks&ref=853404&pid=S2071-081X202200010000900026&lng=','','width=640,height=500,resizable=yes,scrollbars=1,menubar=yes,');">Links</a>&#160;]<!-- end-ref --> Arial, Helvetica, sans-serif" size="2"></font></p>     <!-- ref --><p align="justify"><font face="Verdana, Arial, Helvetica, sans-serif" size="2">Smith, J., Park, S. y Liu, L.  (2019).  Hardening budget constraints:</font> <font face="Verdana, Arial, Helvetica, sans-serif" size="2">a  cross-national  study of fiscal  sustainability  and subnational</font> <font face="Verdana, Arial, Helvetica, sans-serif" size="2">debt. <i>International Journal of Public Administration, </i>42(12), 1055-1067. <a href="https://doi.org/10.1080/01900692.2019.1575666" target="_blank">https://doi.org/10.1080/01900692.2019.1575666 </a></font>&nbsp;&nbsp;&nbsp;&nbsp;&nbsp;&nbsp;&nbsp;&nbsp;[&#160;<a href="javascript:void(0);" onclick="javascript: window.open('/scielo.php?script=sci_nlinks&ref=853406&pid=S2071-081X202200010000900027&lng=','','width=640,height=500,resizable=yes,scrollbars=1,menubar=yes,');">Links</a>&#160;]<!-- end-ref --><!-- ref --><p align="justify"><font face="Verdana, Arial, Helvetica, sans-serif" size="2">Spahn, P. B. (1997) <i>Descentralizaciónfocalen América Latina: Nuevos desafíos</i></font> <font face="Verdana, Arial, Helvetica, sans-serif" size="2"><i>y agenda de trabajo, <a href="https://repositorio.cepal.org/handle/11362/30874" target="_blank">https://repositorio.cepal.org/handle/11362/30874</a> </i></font>&nbsp;&nbsp;&nbsp;&nbsp;&nbsp;&nbsp;&nbsp;&nbsp;[&#160;<a href="javascript:void(0);" onclick="javascript: window.open('/scielo.php?script=sci_nlinks&ref=853407&pid=S2071-081X202200010000900028&lng=','','width=640,height=500,resizable=yes,scrollbars=1,menubar=yes,');">Links</a>&#160;]<!-- end-ref --><!-- ref --><p align="justify"><font face="Verdana, Arial, Helvetica, sans-serif" size="2">Ter-Minassian, T (2007). Fiscal rules for subnational governments: Can</font> <font face="Verdana, Arial, Helvetica, sans-serif" size="2">they promote fiscal discipline?. <i>OECD Journal on Budgeting, 6(3), </i>1-11. <a href="https://doi.org/10.1787/budget-v6-artl7-en" target="_blank">https://doi.org/10.1787/budget-v6-artl7-en</a></font>&nbsp;&nbsp;&nbsp;&nbsp;&nbsp;&nbsp;&nbsp;&nbsp;[&#160;<a href="javascript:void(0);" onclick="javascript: window.open('/scielo.php?script=sci_nlinks&ref=853408&pid=S2071-081X202200010000900029&lng=','','width=640,height=500,resizable=yes,scrollbars=1,menubar=yes,');">Links</a>&#160;]<!-- end-ref --><!-- ref --><p align="justify"><font face="Verdana, Arial, Helvetica, sans-serif" size="2">Trehan, B. y Walsh, C. (1991). Testing intertemporal budget constraints: Theory and applications to US federal budget and current account déficits. Journal of Money. <i>Credit and banking, 23(2), </i>206-223-&nbsp;<a href="https://econpapers.repec.org/article/mcbjmoncb/v_3a23_3ay_3al991_3ai_3a2_3ap_3a206-23.htm" target="_blank">https://econpapers.repec.org/article/mcbjmoncb/v_3a23_3ay_3al991_3ai_3a2_3ap_3a206-23.htm</a></font>&nbsp;&nbsp;&nbsp;&nbsp;&nbsp;&nbsp;&nbsp;&nbsp;[&#160;<a href="javascript:void(0);" onclick="javascript: window.open('/scielo.php?script=sci_nlinks&ref=853409&pid=S2071-081X202200010000900030&lng=','','width=640,height=500,resizable=yes,scrollbars=1,menubar=yes,');">Links</a>&#160;]<!-- end-ref --><!-- ref --><p align="justify"><font face="Verdana, Arial, Helvetica, sans-serif" size="2">Várela, A, y Salazar, G. (2021). Fiscal decentralization and economic growth in Ecuador: Panel data on provincial council and municipalities since a heterodox visión. <i>Review of Socio-Economic Perspectives, </i>6(1), 35-51- <a href="https://reviewsep.com/wp-content/uploads/2021/03/4_MARCELO-1.pdf" target="_blank">https://reviewsep.com/wp-content/uploads/2021/03/4_MARCELO-1.pdf</a></font>&nbsp;&nbsp;&nbsp;&nbsp;&nbsp;&nbsp;&nbsp;&nbsp;[&#160;<a href="javascript:void(0);" onclick="javascript: window.open('/scielo.php?script=sci_nlinks&ref=853410&pid=S2071-081X202200010000900031&lng=','','width=640,height=500,resizable=yes,scrollbars=1,menubar=yes,');">Links</a>&#160;]<!-- end-ref --><!-- ref --><p align="justify"><font face="Verdana, Arial, Helvetica, sans-serif" size="2">Vulovic, V. (2010). The effect of sub-national borrowing control on fiscal sustainability: How to regúlate?. <i>IEB Working Paper </i>2010/36. <a href="https://econpapers.repec.org/paper/iebwpaper/doc2010-36.htm" target="_blank">https://econpapers.repec.org/paper/iebwpaper/doc2010-36.htm</a></font>&nbsp;&nbsp;&nbsp;&nbsp;&nbsp;&nbsp;&nbsp;&nbsp;[&#160;<a href="javascript:void(0);" onclick="javascript: window.open('/scielo.php?script=sci_nlinks&ref=853411&pid=S2071-081X202200010000900032&lng=','','width=640,height=500,resizable=yes,scrollbars=1,menubar=yes,');">Links</a>&#160;]<!-- end-ref --><!-- ref --><p align="justify"><font face="Verdana, Arial, Helvetica, sans-serif" size="2">Wyplosz, C. (2007). Debt sustainability assessment: The IMF Approach and Alternatives. Gradúate Institute of International Studies. <i>HEI Working Paper, </i>(3), 1-34. <a href="http://repec.graduateinstitute.ch/pdfs/Working_papers/HEIWP03-2007.pdf" target="_blank">http://repec.graduateinstitute.ch/pdfs/Working_papers/HEIWP03-2007.pdf</a></font>&nbsp;&nbsp;&nbsp;&nbsp;&nbsp;&nbsp;&nbsp;&nbsp;[&#160;<a href="javascript:void(0);" onclick="javascript: window.open('/scielo.php?script=sci_nlinks&ref=853412&pid=S2071-081X202200010000900033&lng=','','width=640,height=500,resizable=yes,scrollbars=1,menubar=yes,');">Links</a>&#160;]<!-- end-ref --><p align="justify">&nbsp;</p>     <p align="justify">&nbsp;</p>     ]]></body>
<body><![CDATA[ ]]></body><back>
<ref-list>
<ref id="B1">
<nlm-citation citation-type="book">
<person-group person-group-type="author">
<name>
<surname><![CDATA[Balassone]]></surname>
<given-names><![CDATA[E]]></given-names>
</name>
<name>
<surname><![CDATA[Franco]]></surname>
<given-names><![CDATA[D]]></given-names>
</name>
<name>
<surname><![CDATA[Zotteri]]></surname>
<given-names><![CDATA[S]]></given-names>
</name>
</person-group>
<source><![CDATA[Fiscal rules for sub-national governments: what lessons from EMÚ countries?]]></source>
<year>2003</year>
<publisher-name><![CDATA[ECLAC]]></publisher-name>
</nlm-citation>
</ref>
<ref id="B2">
<nlm-citation citation-type="journal">
<person-group person-group-type="author">
<name>
<surname><![CDATA[Bethlendi]]></surname>
<given-names><![CDATA[A]]></given-names>
</name>
<name>
<surname><![CDATA[Lentner]]></surname>
<given-names><![CDATA[C]]></given-names>
</name>
</person-group>
<article-title xml:lang="en"><![CDATA[Subnational fiscal consolidation: the Hungarian path from crisis to fiscal sustainability in light of international experiences]]></article-title>
<source><![CDATA[Sustainability]]></source>
<year>2018</year>
<volume>10</volume>
<numero>9</numero>
<issue>9</issue>
<page-range>1-16</page-range></nlm-citation>
</ref>
<ref id="B3">
<nlm-citation citation-type="journal">
<person-group person-group-type="author">
<name>
<surname><![CDATA[Bouabdallah]]></surname>
<given-names><![CDATA[O]]></given-names>
</name>
<name>
<surname><![CDATA[Checherita-Westphal]]></surname>
<given-names><![CDATA[C. D]]></given-names>
</name>
<name>
<surname><![CDATA[Warmedinger]]></surname>
<given-names><![CDATA[T]]></given-names>
</name>
<name>
<surname><![CDATA[De Stefani]]></surname>
<given-names><![CDATA[R]]></given-names>
</name>
<name>
<surname><![CDATA[Drudi]]></surname>
<given-names><![CDATA[E]]></given-names>
</name>
<name>
<surname><![CDATA[Setzer]]></surname>
<given-names><![CDATA[R]]></given-names>
</name>
<name>
<surname><![CDATA[Westphal]]></surname>
<given-names><![CDATA[A]]></given-names>
</name>
</person-group>
<article-title xml:lang="en"><![CDATA[Debt sustainability analysis for euro área sovereigns: a methodological framework]]></article-title>
<source><![CDATA[ECB Occasional Paper]]></source>
<year>2017</year>
<numero>185</numero>
<issue>185</issue>
<page-range>2-43</page-range></nlm-citation>
</ref>
<ref id="B4">
<nlm-citation citation-type="">
<person-group person-group-type="author">
<name>
<surname><![CDATA[Brodjonegoro]]></surname>
<given-names><![CDATA[B]]></given-names>
</name>
</person-group>
<source><![CDATA[Fiscal Decentralization andItsImpacton Regional Economic Development and Fiscal Sustainability]]></source>
<year>2009</year>
</nlm-citation>
</ref>
<ref id="B5">
<nlm-citation citation-type="journal">
<person-group person-group-type="author">
<name>
<surname><![CDATA[Chapman]]></surname>
<given-names><![CDATA[J]]></given-names>
</name>
</person-group>
<article-title xml:lang="en"><![CDATA[State and local fiscal sustainability: The challenges]]></article-title>
<source><![CDATA[Public Administration Revietv]]></source>
<year>2008</year>
<numero>68</numero>
<issue>68</issue>
<page-range>S115-S131</page-range></nlm-citation>
</ref>
<ref id="B6">
<nlm-citation citation-type="">
<person-group person-group-type="author">
<name>
<surname><![CDATA[Chiarella]]></surname>
<given-names><![CDATA[C]]></given-names>
</name>
</person-group>
<source><![CDATA[Analysis ofthe Ejfects ofTime Lags and Nonlinearities In a Macroeconomic Model Incorporating The Government Budget Constraint]]></source>
<year>2018</year>
</nlm-citation>
</ref>
<ref id="B7">
<nlm-citation citation-type="journal">
<person-group person-group-type="author">
<name>
<surname><![CDATA[Chudik]]></surname>
<given-names><![CDATA[A]]></given-names>
</name>
<name>
<surname><![CDATA[Mohaddes]]></surname>
<given-names><![CDATA[K]]></given-names>
</name>
<name>
<surname><![CDATA[Pesaran]]></surname>
<given-names><![CDATA[M. H]]></given-names>
</name>
<name>
<surname><![CDATA[Raissi]]></surname>
<given-names><![CDATA[M]]></given-names>
</name>
</person-group>
<article-title xml:lang="en"><![CDATA[Rising public debt to GDP can harm economic growth]]></article-title>
<source><![CDATA[Economic Letter]]></source>
<year>2018</year>
<volume>13</volume>
<numero>3</numero>
<issue>3</issue>
<page-range>1-4</page-range></nlm-citation>
</ref>
<ref id="B8">
<nlm-citation citation-type="">
<collab>Constitución de la República del Ecuador</collab>
<source><![CDATA[Registro Oficial, 449-Quito-Ecuador]]></source>
<year>2008</year>
</nlm-citation>
</ref>
<ref id="B9">
<nlm-citation citation-type="journal">
<person-group person-group-type="author">
<name>
<surname><![CDATA[Coronado]]></surname>
<given-names><![CDATA[J]]></given-names>
</name>
</person-group>
<article-title xml:lang="es"><![CDATA[Sostenibilidad de las finanzas en gobiernos subnacionales]]></article-title>
<source><![CDATA[Trimestre fiscal]]></source>
<year>2010</year>
<numero>95</numero>
<issue>95</issue>
<page-range>29-75</page-range></nlm-citation>
</ref>
<ref id="B10">
<nlm-citation citation-type="journal">
<person-group person-group-type="author">
<name>
<surname><![CDATA[Dascher]]></surname>
<given-names><![CDATA[F]]></given-names>
</name>
</person-group>
<article-title xml:lang="es"><![CDATA[Sustainable debt policy rules and growth in a small open economy model: is a balanced government budget worthwhile?]]></article-title>
<source><![CDATA[Comparative Economic Studies]]></source>
<year>2020</year>
<volume>62</volume>
<numero>3</numero>
<issue>3</issue>
<page-range>373-397</page-range></nlm-citation>
</ref>
<ref id="B11">
<nlm-citation citation-type="journal">
<person-group person-group-type="author">
<name>
<surname><![CDATA[Davig]]></surname>
<given-names><![CDATA[T]]></given-names>
</name>
</person-group>
<article-title xml:lang="es"><![CDATA[Periodically expanding discounted debt: a threat to fiscal policy sustainability?]]></article-title>
<source><![CDATA[Journal ofApplied Econometrics]]></source>
<year>2005</year>
<volume>20</volume>
<numero>7</numero>
<issue>7</issue>
<page-range>829-840</page-range></nlm-citation>
</ref>
<ref id="B12">
<nlm-citation citation-type="journal">
<person-group person-group-type="author">
<name>
<surname><![CDATA[De Mello]]></surname>
<given-names><![CDATA[L]]></given-names>
</name>
</person-group>
<article-title xml:lang="es"><![CDATA[Estimating a fiscal reaction function: the case of debt sustainability in Brazil]]></article-title>
<source><![CDATA[Applied Economics]]></source>
<year>2008</year>
<volume>40</volume>
<numero>3</numero>
<issue>3</issue>
<page-range>271-284</page-range></nlm-citation>
</ref>
<ref id="B13">
<nlm-citation citation-type="">
<person-group person-group-type="author">
<name>
<surname><![CDATA[Díaz]]></surname>
</name>
<name>
<surname><![CDATA[Andrade]]></surname>
<given-names><![CDATA[H]]></given-names>
</name>
<name>
<surname><![CDATA[Radies]]></surname>
<given-names><![CDATA[A]]></given-names>
</name>
<name>
<surname><![CDATA[Miranda]]></surname>
<given-names><![CDATA[A]]></given-names>
</name>
</person-group>
<source><![CDATA[La brecha fiscal horizontal en Ecuador y su igualación. Documento de discusión IDB-DP-547]]></source>
<year>2017</year>
</nlm-citation>
</ref>
<ref id="B14">
<nlm-citation citation-type="journal">
<person-group person-group-type="author">
<name>
<surname><![CDATA[Fischer]]></surname>
<given-names><![CDATA[S]]></given-names>
</name>
<name>
<surname><![CDATA[Easterly]]></surname>
<given-names><![CDATA[W]]></given-names>
</name>
</person-group>
<article-title xml:lang="en"><![CDATA[The economics of the government budget constraint]]></article-title>
<source><![CDATA[The World Bank Research Observer]]></source>
<year></year>
<volume>5</volume>
<numero>2</numero>
<issue>2</issue>
<page-range>127-142</page-range></nlm-citation>
</ref>
<ref id="B15">
<nlm-citation citation-type="journal">
<person-group person-group-type="author">
<name>
<surname><![CDATA[Gómez]]></surname>
<given-names><![CDATA[J]]></given-names>
</name>
<name>
<surname><![CDATA[Jiménez]]></surname>
<given-names><![CDATA[J]]></given-names>
</name>
</person-group>
<article-title xml:lang="en"><![CDATA[El financiamiento de los gobiernos subnacional es en América Latina: un análisis de casos]]></article-title>
<source><![CDATA[Trimestrefiscal]]></source>
<year></year>
<numero>97</numero>
<issue>97</issue>
<page-range>11-60</page-range></nlm-citation>
</ref>
<ref id="B16">
<nlm-citation citation-type="journal">
<person-group person-group-type="author">
<name>
<surname><![CDATA[Haug]]></surname>
<given-names><![CDATA[A]]></given-names>
</name>
</person-group>
<article-title xml:lang="en"><![CDATA[Cointegration and government borrowing constraints: Evidence for the United States]]></article-title>
<source><![CDATA[Journal of Business Ó" Economic Statistics]]></source>
<year>1991</year>
<volume>9</volume>
<numero>1</numero>
<issue>1</issue>
<page-range>97-101</page-range></nlm-citation>
</ref>
<ref id="B17">
<nlm-citation citation-type="">
<person-group person-group-type="author">
<name>
<surname><![CDATA[Hidalgo]]></surname>
<given-names><![CDATA[C]]></given-names>
</name>
</person-group>
<source><![CDATA[Endeudamiento de los Gobiernos Autónomos Descentralizados Municipales de Ecuador, como respuesta a la sostenibilidad de sus finanzas en el mediano plazo, en el periodo 2010-2017]]></source>
<year></year>
</nlm-citation>
</ref>
<ref id="B18">
<nlm-citation citation-type="journal">
<person-group person-group-type="author">
<name>
<surname><![CDATA[Ji]]></surname>
<given-names><![CDATA[H]]></given-names>
</name>
<name>
<surname><![CDATA[Ahn]]></surname>
<given-names><![CDATA[J]]></given-names>
</name>
<name>
<surname><![CDATA[Chapman]]></surname>
<given-names><![CDATA[J]]></given-names>
</name>
</person-group>
<article-title xml:lang="en"><![CDATA[The role of intergovernmental aid in defining fiscal sustainability at the sub-national level]]></article-title>
<source><![CDATA[Urban Studies]]></source>
<year></year>
<volume>53</volume>
<numero>14</numero>
<issue>14</issue>
<page-range>3063-3081</page-range></nlm-citation>
</ref>
<ref id="B19">
<nlm-citation citation-type="">
<person-group person-group-type="author">
<name>
<surname><![CDATA[Jiménez]]></surname>
<given-names><![CDATA[P]]></given-names>
</name>
<name>
<surname><![CDATA[Ruelas]]></surname>
<given-names><![CDATA[I]]></given-names>
</name>
</person-group>
<source><![CDATA[El endeudamiento de los gobiernos subnacionales en América Latina: evolución, institucionalidad y desafíos]]></source>
<year></year>
</nlm-citation>
</ref>
<ref id="B20">
<nlm-citation citation-type="journal">
<person-group person-group-type="author">
<name>
<surname><![CDATA[Larin]]></surname>
<given-names><![CDATA[B]]></given-names>
</name>
<name>
<surname><![CDATA[Süssmuth]]></surname>
<given-names><![CDATA[B]]></given-names>
</name>
</person-group>
<article-title xml:lang="en"><![CDATA[Fiscal autonomy and fiscal sustainability: subnational taxation and public indebtedness in Contemporary Spain]]></article-title>
<source><![CDATA[CESifo Working Papers]]></source>
<year></year>
<numero>476</numero>
<issue>476</issue>
<page-range>1-32</page-range></nlm-citation>
</ref>
<ref id="B21">
<nlm-citation citation-type="journal">
<person-group person-group-type="author">
<name>
<surname><![CDATA[Legrenzi]]></surname>
<given-names><![CDATA[G]]></given-names>
</name>
<name>
<surname><![CDATA[Milas]]></surname>
<given-names><![CDATA[C]]></given-names>
</name>
</person-group>
<article-title xml:lang="en"><![CDATA[Nonlinearities and the sustainability of the government's intertemporal budget constraint]]></article-title>
<source><![CDATA[Economic Inquiry]]></source>
<year></year>
<volume>50</volume>
<numero>4</numero>
<issue>4</issue>
<page-range>988-999</page-range></nlm-citation>
</ref>
<ref id="B22">
<nlm-citation citation-type="">
<person-group person-group-type="author">
<name>
<surname><![CDATA[Leeper]]></surname>
<given-names><![CDATA[E]]></given-names>
</name>
<name>
<surname><![CDATA[Nason]]></surname>
<given-names><![CDATA[J]]></given-names>
</name>
</person-group>
<source><![CDATA[Government budget constraint. In Monetary Economics]]></source>
<year></year>
<page-range>108-117</page-range></nlm-citation>
</ref>
<ref id="B23">
<nlm-citation citation-type="journal">
<person-group person-group-type="author">
<name>
<surname><![CDATA[MacDonald]]></surname>
<given-names><![CDATA[R]]></given-names>
</name>
</person-group>
<article-title xml:lang="es"><![CDATA[Some Tests of the government's intertemporal budget constraint using US data]]></article-title>
<source><![CDATA[Applied Economics]]></source>
<year></year>
<volume>24</volume>
<numero>12</numero>
<issue>12</issue>
<page-range>1287-1292</page-range></nlm-citation>
</ref>
<ref id="B24">
<nlm-citation citation-type="journal">
<person-group person-group-type="author">
<name>
<surname><![CDATA[Magazzino]]></surname>
<given-names><![CDATA[C]]></given-names>
</name>
<name>
<surname><![CDATA[Forte]]></surname>
<given-names><![CDATA[F]]></given-names>
</name>
<name>
<surname><![CDATA[Giolli]]></surname>
<given-names><![CDATA[L]]></given-names>
</name>
</person-group>
<article-title xml:lang="es"><![CDATA[On the Italian public accounts' sustainability: A wavelet approach]]></article-title>
<source><![CDATA[International Journal ofFinance & Economics]]></source>
<year></year>
<numero>3</numero>
<issue>3</issue>
</nlm-citation>
</ref>
<ref id="B25">
<nlm-citation citation-type="">
<person-group person-group-type="author">
<name>
<surname><![CDATA[Morano Germani]]></surname>
<given-names><![CDATA[L]]></given-names>
</name>
</person-group>
<source><![CDATA[Reglas focales óptimas en un contexto de volatilidad del ciclo económico]]></source>
<year></year>
</nlm-citation>
</ref>
<ref id="B26">
<nlm-citation citation-type="journal">
<person-group person-group-type="author">
<name>
<surname><![CDATA[Shebell]]></surname>
<given-names><![CDATA[E]]></given-names>
</name>
<name>
<surname><![CDATA[Moser]]></surname>
<given-names><![CDATA[S]]></given-names>
</name>
</person-group>
<article-title xml:lang="es"><![CDATA[Planning for the Buen Vivir: socialism, decentralisation and urbanisation in rural Ecuador]]></article-title>
<source><![CDATA[International Development Planning Review]]></source>
<year></year>
<volume>41</volume>
<numero>4</numero>
<issue>4</issue>
<page-range>473-494</page-range></nlm-citation>
</ref>
<ref id="B27">
<nlm-citation citation-type="journal">
<person-group person-group-type="author">
<name>
<surname><![CDATA[Smith]]></surname>
<given-names><![CDATA[J]]></given-names>
</name>
<name>
<surname><![CDATA[Park]]></surname>
<given-names><![CDATA[S]]></given-names>
</name>
<name>
<surname><![CDATA[Liu]]></surname>
<given-names><![CDATA[L]]></given-names>
</name>
</person-group>
<article-title xml:lang="es"><![CDATA[Hardening budget constraints: a cross-national study of fiscal sustainability and subnational debt]]></article-title>
<source><![CDATA[International Journal of Public Administration]]></source>
<year></year>
<volume>42</volume>
<numero>12</numero>
<issue>12</issue>
<page-range>1055-1067</page-range></nlm-citation>
</ref>
<ref id="B28">
<nlm-citation citation-type="">
<person-group person-group-type="author">
<name>
<surname><![CDATA[Spahn]]></surname>
<given-names><![CDATA[P. B]]></given-names>
</name>
</person-group>
<source><![CDATA[Descentralizaciónfocalen América Latina: Nuevos desafíos y agenda de trabajo]]></source>
<year>1997</year>
</nlm-citation>
</ref>
<ref id="B29">
<nlm-citation citation-type="journal">
<person-group person-group-type="author">
<name>
<surname><![CDATA[Ter-Minassian]]></surname>
<given-names><![CDATA[T]]></given-names>
</name>
</person-group>
<article-title xml:lang="en"><![CDATA[Fiscal rules for subnational governments: Can they promote fiscal discipline?]]></article-title>
<source><![CDATA[OECD Journal on Budgeting]]></source>
<year></year>
<volume>6</volume>
<numero>3</numero>
<issue>3</issue>
<page-range>1-11</page-range></nlm-citation>
</ref>
<ref id="B30">
<nlm-citation citation-type="journal">
<person-group person-group-type="author">
<name>
<surname><![CDATA[Trehan]]></surname>
<given-names><![CDATA[B]]></given-names>
</name>
<name>
<surname><![CDATA[Walsh]]></surname>
<given-names><![CDATA[C]]></given-names>
</name>
</person-group>
<article-title xml:lang="en"><![CDATA[Testing intertemporal budget constraints: Theory and applications to US federal budget and current account déficits]]></article-title>
<source><![CDATA[Journal of Money. Credit and banking]]></source>
<year></year>
<volume>23</volume>
<numero>2</numero>
<issue>2</issue>
<page-range>206-223</page-range></nlm-citation>
</ref>
<ref id="B31">
<nlm-citation citation-type="journal">
<person-group person-group-type="author">
<name>
<surname><![CDATA[Várela]]></surname>
<given-names><![CDATA[A]]></given-names>
</name>
<name>
<surname><![CDATA[Salazar]]></surname>
<given-names><![CDATA[G]]></given-names>
</name>
</person-group>
<article-title xml:lang="en"><![CDATA[Fiscal decentralization and economic growth in Ecuador: Panel data on provincial council and municipalities since a heterodox visión]]></article-title>
<source><![CDATA[Review of Socio-Economic Perspectives]]></source>
<year>2021</year>
<volume>6</volume>
<numero>1</numero>
<issue>1</issue>
<page-range>35-51</page-range></nlm-citation>
</ref>
<ref id="B32">
<nlm-citation citation-type="journal">
<person-group person-group-type="author">
<name>
<surname><![CDATA[Vulovic]]></surname>
<given-names><![CDATA[V]]></given-names>
</name>
</person-group>
<article-title xml:lang="en"><![CDATA[The effect of sub-national borrowing control on fiscal sustainability: How to regúlate?]]></article-title>
<source><![CDATA[IEB Working Paper]]></source>
<year></year>
</nlm-citation>
</ref>
<ref id="B33">
<nlm-citation citation-type="journal">
<person-group person-group-type="author">
<name>
<surname><![CDATA[Wyplosz]]></surname>
<given-names><![CDATA[C]]></given-names>
</name>
</person-group>
<article-title xml:lang="en"><![CDATA[Debt sustainability assessment: The IMF Approach and Alternatives. Gradúate Institute of International Studies]]></article-title>
<source><![CDATA[HEI Working Paper]]></source>
<year></year>
<numero>3</numero>
<issue>3</issue>
<page-range>1-34</page-range></nlm-citation>
</ref>
</ref-list>
</back>
</article>
