<?xml version="1.0" encoding="ISO-8859-1"?><article xmlns:mml="http://www.w3.org/1998/Math/MathML" xmlns:xlink="http://www.w3.org/1999/xlink" xmlns:xsi="http://www.w3.org/2001/XMLSchema-instance">
<front>
<journal-meta>
<journal-id>1683-0789</journal-id>
<journal-title><![CDATA[Acta Nova]]></journal-title>
<abbrev-journal-title><![CDATA[RevActaNova.]]></abbrev-journal-title>
<issn>1683-0789</issn>
<publisher>
<publisher-name><![CDATA[Universidad Cat髄ica Boliviana]]></publisher-name>
</publisher>
</journal-meta>
<article-meta>
<article-id>S1683-07892020000200004</article-id>
<title-group>
<article-title xml:lang="en"><![CDATA[Special Sheffer-operators on a p-valued logic]]></article-title>
<article-title xml:lang="es"><![CDATA[Operadores de Sheffer especiales en una l骻ica p-valuada]]></article-title>
</title-group>
<contrib-group>
<contrib contrib-type="author">
<name>
<surname><![CDATA[Pino Ortiz]]></surname>
<given-names><![CDATA[Oscar R.]]></given-names>
</name>
<xref ref-type="aff" rid="A01"/>
</contrib>
</contrib-group>
<aff id="A01">
<institution><![CDATA[,Universidad Cat髄ica Boliviana  ]]></institution>
<addr-line><![CDATA[Cochabamba ]]></addr-line>
<country>Bolivia</country>
</aff>
<pub-date pub-type="pub">
<day>00</day>
<month>11</month>
<year>2020</year>
</pub-date>
<pub-date pub-type="epub">
<day>00</day>
<month>11</month>
<year>2020</year>
</pub-date>
<volume>9</volume>
<numero>5-6</numero>
<fpage>706</fpage>
<lpage>712</lpage>
<copyright-statement/>
<copyright-year/>
<self-uri xlink:href="http://www.scielo.org.bo/scielo.php?script=sci_arttext&amp;pid=S1683-07892020000200004&amp;lng=en&amp;nrm=iso"></self-uri><self-uri xlink:href="http://www.scielo.org.bo/scielo.php?script=sci_abstract&amp;pid=S1683-07892020000200004&amp;lng=en&amp;nrm=iso"></self-uri><self-uri xlink:href="http://www.scielo.org.bo/scielo.php?script=sci_pdf&amp;pid=S1683-07892020000200004&amp;lng=en&amp;nrm=iso"></self-uri><abstract abstract-type="short" xml:lang="en"><p><![CDATA[We studied the Sheffer-operators that can be written under the form 1 + &#945;(r,s) where &#945; is an associative, commutative and idempotent operator on Zp[x, y], with p prime. We conjecture that such operators are always Sheffer operators. We show the conjecture is true for p = 2 and p = 3.]]></p></abstract>
<abstract abstract-type="short" xml:lang="es"><p><![CDATA[Se estudia los operadores de Sheffer que pueden escribirse bajo la forma 1 +&#945;(r,s), donde &#945; es una operaci髇 asociativa, conmutativa e idempotente sobre Zp[x, y], con p primo. Conjeturamos que tales operadores son siempre operadores de Sheffer y mostramos que la conjetura es cierta para p = 2 y p = 3.]]></p></abstract>
<kwd-group>
<kwd lng="en"><![CDATA[Logic]]></kwd>
<kwd lng="en"><![CDATA[Multivalued]]></kwd>
<kwd lng="en"><![CDATA[Sheffer]]></kwd>
<kwd lng="es"><![CDATA[L骻ica]]></kwd>
<kwd lng="es"><![CDATA[Multivaluada]]></kwd>
<kwd lng="es"><![CDATA[Sheffer]]></kwd>
</kwd-group>
</article-meta>
</front><body><![CDATA[ <p align="right"><b><font size="2" face="Verdana, Arial, Helvetica, sans-serif">Art&iacute;culo Cient&iacute;fico</font></b></p>     <p align="center">&nbsp;</p>     <p align="center"><b><font face="Verdana, Arial, Helvetica, sans-serif" size="4">Special Sheffer-operators on a p-valued logic</font></b></p>     <p align="center">&nbsp;</p>     <p align="center"><b><font face="Verdana, Arial, Helvetica, sans-serif" size="3"><i>Operadores de Sheffer especiales en una l骻ica p-valuada</i></font></b></p>     <p align="center">&nbsp;</p>     <p align="center">&nbsp;</p>     <p align="center"><b><font face="Verdana, Arial, Helvetica, sans-serif" size="2"></font></b><font face="Verdana, Arial, Helvetica, sans-serif" size="2"><b>Oscar R. Pino Ortiz</b></font></p>     <p align="center"><font face="Verdana, Arial, Helvetica, sans-serif" size="2">Universidad Cat髄ica Boliviana, Cochabamba, Bolivia     <br> Los Nogales 2030 Cbba,</font></p>     ]]></body>
<body><![CDATA[<p align="center"><font face="Verdana, Arial, Helvetica, sans-serif" size="2"><a href="mailto:opino@ucb.edu.bo">opino@ucb.edu.bo</a></font></p>     <p align="center"><font face="Verdana, Arial, Helvetica, sans-serif" size="2">Recibido: 12 de marzo 2020    <br> Aceptado: 2 de septiembre 2020</font></p>     <p align="center">&nbsp;</p>     <p align="center">&nbsp;</p> <hr align="center" noshade>     <p align="justify"><font face="Verdana, Arial, Helvetica, sans-serif" size="2"><b>Abstract: </b>We studied the Sheffer-operators that can be written under the form 1 + </font><font size="2"><i>&#945;</i></font><font face="Geneva, Arial, Helvetica, sans-serif" size="2"></font><font face="Verdana, Arial, Helvetica, sans-serif" size="2">(<i>r,s</i>) where </font><font size="2"><i>&#945;</i></font><font face="Verdana, Arial, Helvetica, sans-serif" size="2"> is an associative, commutative and idempotent operator on <i>Z<sub>p</sub></i>[<i>x, y</i>], with <i>p</i> prime. We conjecture that such operators are always Sheffer operators. We show the conjecture is true for <i>p</i> = 2 and <i>p</i> = 3.</font></p>     <p align="justify"><font face="Verdana, Arial, Helvetica, sans-serif" size="2"><b>Key words: </b>Logic, Multivalued, Sheffer.</font></p> <hr align="JUSTIFY" noshade>     <p align="justify"><font face="Verdana, Arial, Helvetica, sans-serif" size="2"><b>Resumen: </b>Se estudia los operadores de Sheffer que pueden escribirse bajo la forma 1 +</font><font size="2"><i>&#945;</i></font><font face="Verdana, Arial, Helvetica, sans-serif" size="2">(<i>r,s</i>), donde </font><font size="2"><i>&#945;</i></font><font face="Verdana, Arial, Helvetica, sans-serif" size="2"> es una operaci髇 asociativa, conmutativa e idempotente sobre <i>Z<sub>p</sub></i>[<i>x, y</i>], con <i>p</i> primo. Conjeturamos que tales operadores son siempre operadores de Sheffer y mostramos que la conjetura es cierta para <i>p</i> = 2 y <i>p</i> = 3.</font></p>     <p align="justify"><font face="Verdana, Arial, Helvetica, sans-serif" size="2"><b>Palabras Clave: </b>L骻ica, Multivaluada, Sheffer.</font></p> <hr align="JUSTIFY" noshade>     <p align="justify">&nbsp;</p>     ]]></body>
<body><![CDATA[<p align="justify">&nbsp;</p>     <p align="justify"><font face="Verdana, Arial, Helvetica, sans-serif" size="3"><b>1</b></font><font face="Verdana, Arial, Helvetica, sans-serif" size="2">&nbsp; &nbsp; &nbsp;</font><font face="Verdana, Arial, Helvetica, sans-serif" size="3"><b>Introduction</b></font></p>     <p align="justify"><font face="Verdana, Arial, Helvetica, sans-serif" size="2">In a previous article [1] we have shown that every operator in a p-valued logic can be written as a polynomial in <i>Z<sub>p</sub> [x, </i>y]<i>. </i>We have also remarked that three of the most known multivalued Sheffer-operators can be written as 1 +</font><font size="2"><i>&#945;</i></font><font face="Verdana, Arial, Helvetica, sans-serif" size="2">(<i>x, </i>y), where</font><font size="2"><i> &#945; </i></font><font face="Verdana, Arial, Helvetica, sans-serif" size="2">is associative, commutative and idempotent on its variables. This is the case of Post-operator <i>inc</i>(min(<i>x</i>, <i>y</i>)), the Webb-operator <i>inc</i>(max(<i>x</i>, <i>y</i>)) and the Webb stroke</font> <font face="Verdana, Arial, Helvetica, sans-serif" size="2">function |, whose polynomial form is &#948;<sup>1</sup>.</font></p>     <p align="justify"><font face="Verdana, Arial, Helvetica, sans-serif" size="2">For instance, if <i>p</i> = 3, the three mentioned operators are:</font></p>     <p align="center"><img src="/img/revistas/ran/v9n5-6/a04_ecuacion_01.gif" width="465" height="136"></p>     <p align="justify"><font face="Verdana, Arial, Helvetica, sans-serif" size="2">whose polynomial expressions<sup>2</sup> are:</font></p>     <p align="center"><img src="/img/revistas/ran/v9n5-6/a04_ecuacion_02.gif" width="467" height="113"></p>     <p align="justify"><font face="Verdana, Arial, Helvetica, sans-serif" size="2">Of course, these three operators are not the only ones that have the properties indicated above. How many there are? Which are they? Are all the operators with these properties Sheffer-operators?</font></p>     <p align="justify">&nbsp;</p>     <p align="justify"><font face="Verdana, Arial, Helvetica, sans-serif" size="3"><b>2</b></font><font face="Verdana, Arial, Helvetica, sans-serif" size="2">&nbsp; &nbsp; &nbsp;</font><font face="Verdana, Arial, Helvetica, sans-serif" size="3"><b>A theorem on special Sheffer-operators</b></font></p>     ]]></body>
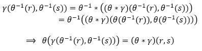
<body><![CDATA[<p align="justify"><font face="Verdana, Arial, Helvetica, sans-serif" size="2">To answer these questions, we introduce an action of the <i>S<sub>p</sub> </i>group on the set <i>Z<sub>p</sub></i>[<i>x, y</i>] defined by</font></p>     <p align="center"><img src="/img/revistas/ran/v9n5-6/a04_ecuacion_03.gif" width="255" height="37"></p>     <p align="justify"><font face="Verdana, Arial, Helvetica, sans-serif" size="2">Where <i>&#952; </i><img src="/img/revistas/ran/v9n5-6/pertenece.gif" width="8" height="9"> <i>S<sub>p</sub>. </i>It is clear that <i>&#952; * </i></font><font size="2"><i>&#947;</i></font><font face="Verdana, Arial, Helvetica, sans-serif" size="2"> is in <i>Z<sub>p</sub></i>[<i>x, y</i>] if</font><font size="2"><i> &#947;</i></font><font face="Verdana, Arial, Helvetica, sans-serif" size="2"> is in <i>Z<sub>p</sub></i>[<i>x, y</i>].<sup>3</sup></font></p>     <p align="justify"><font face="Verdana, Arial, Helvetica, sans-serif" size="2">Let's take <i>S<sub>p</sub> </i>=&lt; <i>&#961;; </i></font><font size="2"><i><font size="3">&#964;</font></i></font><font face="Verdana, Arial, Helvetica, sans-serif" size="2"><i> &gt;, </i>where <i>&#961; </i>is the first <i>p</i>-cycle and</font><font size="2"><i><font size="3"> &#964;</font></i></font><font face="Verdana, Arial, Helvetica, sans-serif" size="2"> is the transposition between 0 and 1. For instance, if <i>p</i> = 3 , we have <i>&#961;</i>(<i>x</i>) = 1<b> + </b><i>x </i>and </font><font size="2"><i><font size="3">&#964;</font></i></font><font face="Verdana, Arial, Helvetica, sans-serif" size="2">(<i>x</i>) = 1 + 2x.</font></p>     <p align="justify"><font face="Verdana, Arial, Helvetica, sans-serif" size="2"><b>Theorem 1  </b>Let be <i>&#952; </i><img src="/img/revistas/ran/v9n5-6/pertenece.gif" width="8" height="9"> <i>S<sub>p</sub> </i>and</font><font size="2"><i> &#947;</i></font><font face="Verdana, Arial, Helvetica, sans-serif" size="2"> <img src="/img/revistas/ran/v9n5-6/pertenece.gif" width="8" height="9"> Z<sub>p</sub>[<i>x</i>, <i>y</i>]. </font></p>     <p align="justify"><font face="Verdana, Arial, Helvetica, sans-serif" size="2"><i>&#952; * </i></font><font size="2"><i>&#947;</i></font><font face="Verdana, Arial, Helvetica, sans-serif" size="2"> is a Sheffer operator if</font><font size="2"><i> &#947;</i></font><i><font size="2" face="Verdana, Arial, Helvetica, sans-serif"> </font></i><font face="Verdana, Arial, Helvetica, sans-serif" size="2">it is.</font></p>     <p align="justify"><font face="Verdana, Arial, Helvetica, sans-serif" size="2"><b>Proof</b></font></p>     <p align="justify"><font face="Verdana, Arial, Helvetica, sans-serif" size="2">For an operator</font><font size="2"><i> &#947;</i></font><font face="Verdana, Arial, Helvetica, sans-serif" size="2">(<i>x, y</i>) <img src="/img/revistas/ran/v9n5-6/pertenece.gif" width="8" height="9"> <i>Z<sub>p</sub></i>[<i>x, y</i>], define <i>Im</i>(</font><font size="2"><i>&#947;</i></font><font face="Verdana, Arial, Helvetica, sans-serif" size="2">) in a recursive way:</font></p>     <p align="justify"><font face="Verdana, Arial, Helvetica, sans-serif" size="2">1) x <img src="/img/revistas/ran/v9n5-6/pertenece.gif" width="8" height="9"> <i>Im</i>(</font><font size="2"><i>&#947;</i></font><font face="Verdana, Arial, Helvetica, sans-serif" size="2">)</font></p>     <p align="justify"><font face="Verdana, Arial, Helvetica, sans-serif" size="2">2) <i>y </i><img src="/img/revistas/ran/v9n5-6/pertenece.gif" width="8" height="9"><i> Im</i>(</font><font size="2"><i>&#947;</i></font><font face="Verdana, Arial, Helvetica, sans-serif" size="2">)</font></p>     ]]></body>
<body><![CDATA[<p align="justify"><font face="Verdana, Arial, Helvetica, sans-serif" size="2">3) <i>r,s </i><img src="/img/revistas/ran/v9n5-6/pertenece.gif" width="8" height="9"> <i>Im</i>(</font><font size="2"><i>&#947;</i></font><font face="Verdana, Arial, Helvetica, sans-serif" size="2"></font><font face="Verdana, Arial, Helvetica, sans-serif" size="2">) <img src="/img/revistas/ran/v9n5-6/flecha_doble_derecha.gif" width="14" height="7"></font><font size="2"><i> &#947;</i></font><font face="Verdana, Arial, Helvetica, sans-serif" size="2">(<i>r,s</i>) <img src="/img/revistas/ran/v9n5-6/pertenece.gif" width="8" height="9"><i> Im</i>(</font><font size="2"><i>&#947;</i></font><font face="Verdana, Arial, Helvetica, sans-serif" size="2">)</font></p>     <p align="justify"><font face="Verdana, Arial, Helvetica, sans-serif" size="2">Then </font><font size="2"><i>&#947;</i></font><font face="Verdana, Arial, Helvetica, sans-serif" size="2"></font><font face="Verdana, Arial, Helvetica, sans-serif" size="2"> is a Sheffer-operator if and only if <i>Im</i>(</font><font size="2"><i>&#947;</i></font><font face="Verdana, Arial, Helvetica, sans-serif" size="2"></font><font face="Verdana, Arial, Helvetica, sans-serif" size="2">) = <i>Z<sub>p</sub></i>[<i>x</i>, <i>y</i>]<i>.</i></font></p>     <p align="justify"><font face="Verdana, Arial, Helvetica, sans-serif" size="2">Now, if</font><font size="2"><i> &#947;</i></font><font face="Verdana, Arial, Helvetica, sans-serif" size="2"></font><font face="Verdana, Arial, Helvetica, sans-serif" size="2"> is a Sheffer-operator<sup>4</sup>, it is easy to see that <i>x</i>, <i>y</i>   <img src="/img/revistas/ran/v9n5-6/pertenece.gif" width="8" height="9"> <i>Im</i>(<i>&#952; * </i></font><font size="2"><i>&#947;</i></font><font face="Verdana, Arial, Helvetica, sans-serif" size="2">). Indeed <i>&#952; * x = x </i>and <i>&#952; * y = y.</i></font></p>     <p align="justify"><font face="Verdana, Arial, Helvetica, sans-serif" size="2">Now let be <i>r</i> and <i>s</i> in <i>Im</i>(</font><font size="2"><i>&#947;</i></font><font face="Verdana, Arial, Helvetica, sans-serif" size="2">). Then</font><font size="2"><i> &#947;</i></font><font face="Verdana, Arial, Helvetica, sans-serif" size="2">(<i>r, s</i>) <img src="/img/revistas/ran/v9n5-6/pertenece.gif" width="8" height="9"> <i>Im</i>(</font><font size="2"><i>&#947;</i></font><font face="Verdana, Arial, Helvetica, sans-serif" size="2">). Since </font><font size="2"><i>&#947;</i></font><font face="Verdana, Arial, Helvetica, sans-serif" size="2"></font><font face="Verdana, Arial, Helvetica, sans-serif" size="2"> is a Sheffer operator we have that <i>&#952;</i><sup>-1</sup>(<i>r</i>) and <i>&#952;</i><sup>-1</sup>(<i>s</i>) are in <i>Im</i>(<i>y</i>). So we can use the identity:</font></p>     <p align="center"><img src="/img/revistas/ran/v9n5-6/a04_ecuacion_04.gif" width="397" height="100"></p>     <p align="justify"><font face="Verdana, Arial, Helvetica, sans-serif" size="2">That is if</font><font size="2"><i> &#947;</i></font><font face="Verdana, Arial, Helvetica, sans-serif" size="2">(<i>r, s</i>) <img src="/img/revistas/ran/v9n5-6/pertenece.gif" width="8" height="9"> <i>Im</i>(</font><font size="2"><i>&#947;</i></font><font face="Verdana, Arial, Helvetica, sans-serif" size="2">) then</font><font size="2"><i> &#947;</i></font><font face="Verdana, Arial, Helvetica, sans-serif" size="2"></font><font face="Verdana, Arial, Helvetica, sans-serif" size="2">(&#952;<sup>-1</sup>(<i>r</i>),&#952;<sup>-1</sup>(<i>s</i>)) <img src="/img/revistas/ran/v9n5-6/pertenece.gif" width="8" height="9"> <i>Im</i>(</font><font size="2"><i>&#947;</i></font><font face="Verdana, Arial, Helvetica, sans-serif" size="2">) and then:</font></p>     <p align="center"><img src="/img/revistas/ran/v9n5-6/a04_ecuacion_05.gif" width="173" height="36"></p>     <p align="justify"><font face="Verdana, Arial, Helvetica, sans-serif" size="2">Like <i>&#952;</i>: <i>Z<sub>p</sub></i>[<i>x, y</i>] <img src="/img/revistas/ran/v9n5-6/flecha.gif" width="11" height="7"> <i>Z<sub>p</sub> </i>[<i>x, y</i>] is a one to one map, whose inverse is &#952;<sup>-1</sup><i>, </i>we have</font></p>     <p align="center"><img src="/img/revistas/ran/v9n5-6/a04_ecuacion_06.gif" width="159" height="35"></p>     <p align="justify"><font face="Verdana, Arial, Helvetica, sans-serif" size="2"><b>Theorem 2</b></font></p>     ]]></body>
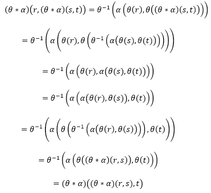
<body><![CDATA[<p align="justify"><font face="Verdana, Arial, Helvetica, sans-serif" size="2">If </font><font size="2"><i>&#945;</i></font><font face="Verdana, Arial, Helvetica, sans-serif" size="2"><i> </i><img src="/img/revistas/ran/v9n5-6/pertenece.gif" width="8" height="9"><i> Z<sub>p</sub></i>[<i>x, y</i>] is associative, so <i>&#952;</i> *</font><font size="2"><i>&#945;</i></font> <font face="Verdana, Arial, Helvetica, sans-serif" size="2">it is. </font></p>     <p align="justify"><font face="Verdana, Arial, Helvetica, sans-serif" size="2">If</font><font size="2"><i> &#945; </i></font><font face="Verdana, Arial, Helvetica, sans-serif" size="2"><img src="/img/revistas/ran/v9n5-6/pertenece.gif" width="8" height="9"> <i>Z<sub>p</sub></i>[<i>x, y</i>] is commutative, so <i>&#952;</i> *</font><font size="2"><i> &#945; </i></font><font face="Verdana, Arial, Helvetica, sans-serif" size="2">it is. </font></p>     <p align="justify"><font face="Verdana, Arial, Helvetica, sans-serif" size="2">If</font><font size="2"><i> &#945; </i></font><font face="Verdana, Arial, Helvetica, sans-serif" size="2"><img src="/img/revistas/ran/v9n5-6/pertenece.gif" width="8" height="9"> <i>Z<sub>p</sub></i>[<i>x, y</i>]  is idempotent, so <i>&#952;</i> *</font><font size="2"><i> &#945; </i></font><font face="Verdana, Arial, Helvetica, sans-serif" size="2">it is.</font></p>     <p align="justify"><font face="Verdana, Arial, Helvetica, sans-serif" size="2"><b>Proof</b></font></p>     <p align="justify"><font face="Verdana, Arial, Helvetica, sans-serif" size="2">1.   Suppose  that</font><font size="2"><i> &#945; </i></font><font face="Verdana, Arial, Helvetica, sans-serif" size="2"><img src="/img/revistas/ran/v9n5-6/pertenece.gif" width="8" height="9"> <i>Z<sub>p</sub></i>[<i>x, y</i>] is   associative.   It  means</font><font size="2"><i> &#945;</i></font><font face="Verdana, Arial, Helvetica, sans-serif" size="2">(<i>r, </i></font><font size="2"><i>&#945;</i></font><font face="Verdana, Arial, Helvetica, sans-serif" size="2">(<i>s,t</i>)) = </font><font size="2"><i>&#945;</i></font><font face="Verdana, Arial, Helvetica, sans-serif" size="2">(</font><font size="2"><i>&#945;</i></font><font face="Verdana, Arial, Helvetica, sans-serif" size="2">(<i>r</i>,<i>s</i>), <i>t</i>) for all <i>r, s, t </i><img src="/img/revistas/ran/v9n5-6/pertenece.gif" width="8" height="9"> <i>Z<sub>p</sub></i>[<i>x</i>,<i>y</i>].</font></p>     <p align="justify"><font face="Verdana, Arial, Helvetica, sans-serif" size="2">Then</font></p>     <p align="center"><img src="/img/revistas/ran/v9n5-6/a04_ecuacion_07.gif" width="427" height="389"></p>     <p align="justify"><font face="Verdana, Arial, Helvetica, sans-serif" size="2">2.&nbsp; &nbsp;Suppose that </font><font size="2"><i>&#945;</i></font><font face="Verdana, Arial, Helvetica, sans-serif" size="2"> <img src="/img/revistas/ran/v9n5-6/pertenece.gif" width="8" height="9"> <i>Z<sub>p</sub></i>[<i>x,y</i>] is commutative. It means</font><font size="2"><i> &#945;</i></font><font face="Verdana, Arial, Helvetica, sans-serif" size="2">(<i>r,s</i>) <i>= </i></font><font size="2"><i>&#945;</i></font><font face="Verdana, Arial, Helvetica, sans-serif" size="2">(<i>s,r</i>) for all <i>r,s </i><img src="/img/revistas/ran/v9n5-6/pertenece.gif" width="8" height="9"><i> Z<sub>p</sub></i>[<i>x,y</i>].</font></p>     <p align="center"><img src="/img/revistas/ran/v9n5-6/a04_ecuacion_08.gif" width="524" height="33"></p>     <p align="justify"><font face="Verdana, Arial, Helvetica, sans-serif" size="2">3.&nbsp; &nbsp;Suppose that </font><font size="2"><i>&#945;</i></font><font face="Verdana, Arial, Helvetica, sans-serif" size="2"> <img src="/img/revistas/ran/v9n5-6/pertenece.gif" width="8" height="9"> <i>Z<sub>p</sub></i>[<i>x,y</i>] is idempotent. It means </font><font size="2"><i>&#945;</i></font><font face="Verdana, Arial, Helvetica, sans-serif" size="2">(<i>r,r</i>) =<i> r </i>for all <i>r</i> <img src="/img/revistas/ran/v9n5-6/pertenece.gif" width="8" height="9"> <i>Z<sub>p</sub></i>[<i>x</i>, <i>y</i>].</font></p>     ]]></body>
<body><![CDATA[<p align="center"><img src="/img/revistas/ran/v9n5-6/a04_ecuacion_09.gif" width="384" height="33"></p>     <p align="justify"><font face="Verdana, Arial, Helvetica, sans-serif" size="2"><b>Corollary</b></font></p>     <p align="justify"><font face="Verdana, Arial, Helvetica, sans-serif" size="2">Let be </font></p>     <p align="justify"><font face="Verdana, Arial, Helvetica, sans-serif" size="2"><i>A<sub>p</sub> = </i>{ </font><font size="2"><i>&#945;</i></font><font size="2" face="Verdana, Arial, Helvetica, sans-serif"> <img src="/img/revistas/ran/v9n5-6/pertenece.gif" width="8" height="9"><i> Z<sub>p</sub></i>[<i>x,y</i>]<i> | </i></font><font size="2"><i>&#945;</i></font><font size="2" face="Verdana, Arial, Helvetica, sans-serif"><i> is asociative, comutative and idempotent</i>}.</font></p>     <p align="justify"><font face="Verdana, Arial, Helvetica, sans-serif" size="2"><i>If </i></font><font size="2"><i>&#945;</i></font><font face="Verdana, Arial, Helvetica, sans-serif" size="2"><i> </i><img src="/img/revistas/ran/v9n5-6/pertenece.gif" width="8" height="9"><i> A<sub>p</sub> </i>then  <i>&#952; * </i></font><font size="2"><i>&#945;</i></font><font face="Verdana, Arial, Helvetica, sans-serif" size="2"><i> </i><img src="/img/revistas/ran/v9n5-6/pertenece.gif" width="8" height="9"><i> A<sub>p</sub>.</i></font></p>     <p align="justify"><font face="Verdana, Arial, Helvetica, sans-serif" size="2">Cases <i><b>p</b></i><b> = 3</b> and <i><b>p</b></i><b> = 5</b></font></p>     <p align="justify"><font face="Verdana, Arial, Helvetica, sans-serif" size="2">For <i>p</i> = 3 we have nine polynomials of the form 1 +</font><font size="2"><i> &#945;</i></font><font face="Verdana, Arial, Helvetica, sans-serif" size="2">(<i>x, </i>y) with </font><font size="2"><i>&#945;</i></font><font face="Verdana, Arial, Helvetica, sans-serif" size="2"> <img src="/img/revistas/ran/v9n5-6/pertenece.gif" width="8" height="9"> <i>A</i><sub>3</sub>. </font><font size="2"><i>&#945;</i></font><font face="Verdana, Arial, Helvetica, sans-serif" size="2"> must be one of:</font></p>     <p align="center"><img src="/img/revistas/ran/v9n5-6/a04_ecuacion_10.gif" width="341" height="343"></p>     <p align="justify"><font face="Verdana, Arial, Helvetica, sans-serif" size="2">We see that </font><font size="2"><i>&#945;</i></font><font face="Verdana, Arial, Helvetica, sans-serif" size="2"><i><sub>1</sub> = </i></font><font size="2"><i>&#945;</i></font><font face="Verdana, Arial, Helvetica, sans-serif" size="2"><i><sub>|</sub></i>,</font><font size="2"><i> &#945;</i></font><font face="Verdana, Arial, Helvetica, sans-serif" size="2"><i><sub>2</sub> = </i></font><font size="2"><i><img src="/img/revistas/ran/v9n5-6/a_v_inv.gif" width="13" height="9" align="absbottom"><font face="Verdana, Arial, Helvetica, sans-serif"> </font></i></font><font face="Verdana, Arial, Helvetica, sans-serif" size="2">and </font><font size="2"><i>&#945;</i></font><font face="Verdana, Arial, Helvetica, sans-serif" size="2"><i><sub>7</sub> = </i></font><font size="2"><i>&#945;</i></font><font face="Verdana, Arial, Helvetica, sans-serif" size="2"><sub>v</sub><i>. </i>All nine 1 + </font><font size="2"><i>&#945;</i></font><font face="Verdana, Arial, Helvetica, sans-serif" size="2"><i><sub>i</sub></i>(<i>x</i>,<i>y</i>) are Sheffer operators. We have two orbits:</font></p>     <p align="center"><img src="/img/revistas/ran/v9n5-6/a04_ecuacion_11.gif" width="310" height="38"></p>     ]]></body>
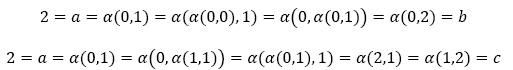
<body><![CDATA[<p align="justify"><font face="Verdana, Arial, Helvetica, sans-serif" size="2">Using a computer, for <i>p</i> = 5 we have found 1065 Sheffer operators of this special form. We conjecture that if an operator has this special form then it is a Sheffer operator. This assumption is true for little values of <i>p</i> prime. For instance, for <i>p</i> = 2 we have only two Sheffer operators 1 + <i>xy</i> and 1 + <i>x</i> + <i>y</i> + <i>xy</i>, the Sheffer stroke and the Pierce arrow and, in this case, it is very easy to show that the conjecture is true. For <i>p</i> = 3 we are in a similar situation, because under the conditions imposed to </font><font size="2"><i>&#945;</i></font><font face="Verdana, Arial, Helvetica, sans-serif" size="2"> <img src="/img/revistas/ran/v9n5-6/pertenece.gif" width="8" height="9"><i> A</i><sub>3</sub> we found that 1 +</font><font size="2"><i>&#945;</i></font><font face="Verdana, Arial, Helvetica, sans-serif" size="2">(<i>x, y</i>) is one of the nine Sheffer operators listed above. Indeed...</font></p>     <p align="justify"><font face="Verdana, Arial, Helvetica, sans-serif" size="2"><b>Theorem 3</b></font></p>     <p align="justify"><font face="Verdana, Arial, Helvetica, sans-serif" size="2">If </font><font size="2"><i>&#947;</i></font><font face="Verdana, Arial, Helvetica, sans-serif" size="2">(<i>x,y</i>) = 1<b> + </b></font><font size="2"><i>&#945;</i></font><font face="Verdana, Arial, Helvetica, sans-serif" size="2">(<i>x</i>,<i>y</i>) is an operator of a 3-valued logic with</font><font size="2"><i> &#945; </i></font><font face="Verdana, Arial, Helvetica, sans-serif" size="2"><img src="/img/revistas/ran/v9n5-6/pertenece.gif" width="8" height="9"><i> A</i><sub>3</sub>,</font><font size="2"><i> &#947;</i></font><font face="Verdana, Arial, Helvetica, sans-serif" size="2"> is a Sheffer operator.</font></p>     <p align="justify"><font face="Verdana, Arial, Helvetica, sans-serif" size="2"><b>Proof</b></font></p>     <p align="justify"><font face="Verdana, Arial, Helvetica, sans-serif" size="2">Since</font><font size="2"><i> &#945; </i></font><font face="Verdana, Arial, Helvetica, sans-serif" size="2">is commutative and idempotent, the matrix form<sup>5</sup> of </font><font size="2"><i>&#945;</i></font><font face="Verdana, Arial, Helvetica, sans-serif" size="2"> is</font> <img src="/img/revistas/ran/v9n5-6/a04_ecuacion_12.gif" width="80" height="58" align="absmiddle"> <font face="Verdana, Arial, Helvetica, sans-serif" size="2">with </font><font size="2"><i>a</i></font><font face="Verdana, Arial, Helvetica, sans-serif" size="2"><i>, b, c </i><img src="/img/revistas/ran/v9n5-6/pertenece.gif" width="8" height="9"> <i>Z<sub>p</sub>. </i>Of course, we have </font><font size="2"><i>&#945;</i></font><font face="Verdana, Arial, Helvetica, sans-serif" size="2">(0,1) = </font><font size="2"><i>a</i></font><font face="Verdana, Arial, Helvetica, sans-serif" size="2"><i>, </i></font><font size="2"><i>&#945;</i></font><font face="Verdana, Arial, Helvetica, sans-serif" size="2">(0,2) = <i>b </i>and </font><font size="2"><i>&#945;</i></font><font face="Verdana, Arial, Helvetica, sans-serif" size="2">(1,2) = <i>c</i>.</font></p>     <p align="justify"><font face="Verdana, Arial, Helvetica, sans-serif" size="2">There are 27 cases.</font></p>     <p align="justify"><font face="Verdana, Arial, Helvetica, sans-serif" size="2">If</font><font size="2"><i> a </i></font><font face="Verdana, Arial, Helvetica, sans-serif" size="2"><i>= 2 </i>then <i>b = 2 </i>and c = 2, because</font></p>     <p align="center"><img src="/img/revistas/ran/v9n5-6/a04_ecuacion_13.gif" width="513" height="70" align="absmiddle"></p>     <p align="justify"><font face="Verdana, Arial, Helvetica, sans-serif" size="2">By the same way we can show that:</font></p>     <p align="center"><font face="Verdana, Arial, Helvetica, sans-serif" size="2">if <i>b = </i>1 then </font><font size="2"><i>a</i></font><font face="Verdana, Arial, Helvetica, sans-serif" size="2"> = 1 and c = 1</font></p>     ]]></body>
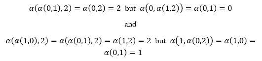
<body><![CDATA[<p align="center"><font face="Verdana, Arial, Helvetica, sans-serif" size="2">if <i>c = </i>0 then </font><font size="2"><i>a</i></font><font face="Verdana, Arial, Helvetica, sans-serif" size="2"> = 0 and <i>b = </i>0 </font></p>     <p align="justify"><font face="Verdana, Arial, Helvetica, sans-serif" size="2">So we have the following three operators in <i>A</i><sub>3</sub></font></p>     <p align="center"><img src="/img/revistas/ran/v9n5-6/a04_ecuacion_14.gif" width="275" height="66" align="absmiddle"></p>     <p align="justify"><font face="Verdana, Arial, Helvetica, sans-serif" size="2">On the other hand we can exclude all the operators failing the rules showed above. There are 1򉁫 + 2򈚓 + 2򈭽 - 3 = 16 of them. They all are not associative.</font></p>     <p align="justify"><font face="Verdana, Arial, Helvetica, sans-serif" size="2">There are eight operators left to study. For them we have</font><font size="2"><i> a </i></font><font face="Verdana, Arial, Helvetica, sans-serif" size="2"><img src="/img/revistas/ran/v9n5-6/pertenece.gif" width="8" height="9"> {0; 1}<i>, b </i><img src="/img/revistas/ran/v9n5-6/pertenece.gif" width="8" height="9"> {O;2}, <i>c</i> <img src="/img/revistas/ran/v9n5-6/pertenece.gif" width="8" height="9"> {1;2}.</font></p>     <p align="justify"><font face="Verdana, Arial, Helvetica, sans-serif" size="2">We see there are two cases that are clearly not associative: </font><font size="2"><i>a</i></font><font face="Verdana, Arial, Helvetica, sans-serif" size="2"><i> = </i>0, <i>b = 2, c = </i>1 and </font><font size="2"><i>a</i></font><font face="Verdana, Arial, Helvetica, sans-serif" size="2"><i> = 1, b = </i>0, <i>c = 2 </i>because</font> </p>     <p align="center"><img src="/img/revistas/ran/v9n5-6/a04_ecuacion_15.gif" width="531" height="124" align="absmiddle"></p>     <p align="justify"><font face="Verdana, Arial, Helvetica, sans-serif" size="2">The six operators remaining are:</font></p>     <p align="center"><img src="/img/revistas/ran/v9n5-6/a04_ecuacion_16.gif" width="275" height="139" align="absmiddle"></p>     <p align="justify"><font face="Verdana, Arial, Helvetica, sans-serif" size="2">They are all six associative.</font></p>     ]]></body>
<body><![CDATA[<p align="justify"><font face="Verdana, Arial, Helvetica, sans-serif" size="2">We recognize the two orbits formed by the action of <i>S</i><sub>3</sub> on <i>A</i><sub>3</sub><i>. </i>In the first orbit</font> <font face="Verdana, Arial, Helvetica, sans-serif" size="2">there is the well-known operator        <img src="/img/revistas/ran/v9n5-6/a04_ecuacion_17.gif" alt="" width="79" height="57" align="absmiddle">corresponding to </font><font size="2"><i>&#945;</i></font><font face="Verdana, Arial, Helvetica, sans-serif" size="2"><i><sub>|</sub></i>(<i>x,</i>y). Since</font> <font face="Verdana, Arial, Helvetica, sans-serif" size="2">1 + </font><font size="2"><i>&#945;</i></font><font face="Verdana, Arial, Helvetica, sans-serif" size="2"><i><sub>|</sub></i>(<i>x</i>, <i>y</i>) is the Webb stroke and it is a Sheffer operator, all the operators in its</font> <font face="Verdana, Arial, Helvetica, sans-serif" size="2">orbit define also Sheffer operators.</font></p>     <p align="justify"><font face="Verdana, Arial, Helvetica, sans-serif" size="2">In the second orbit we have another operator we know quite well:</font> <font face="Verdana, Arial, Helvetica, sans-serif" size="2"><img src="/img/revistas/ran/v9n5-6/a04_ecuacion_18.gif" alt="" width="78" height="57" align="absmiddle"></font></p>     <p align="justify"><font face="Verdana, Arial, Helvetica, sans-serif" size="2">It corresponds to </font><font size="2"><i><img src="/img/revistas/ran/v9n5-6/a_v_inv.gif" width="13" height="9" align="absmiddle"></i></font><font face="Verdana, Arial, Helvetica, sans-serif" size="2">(<i>x</i>, <i>y</i>). Like 1 + </font><font size="2"><i><img src="/img/revistas/ran/v9n5-6/a_v_inv.gif" width="13" height="9" align="absmiddle"></i></font><font face="Verdana, Arial, Helvetica, sans-serif" size="2">(<i>x</i>, <i>y</i>) is the Post-operator and it is a Sheffer</font> <font face="Verdana, Arial, Helvetica, sans-serif" size="2">operator we have again that all the operators in its orbit define Sheffer operators.</font></p>     <p align="justify">&nbsp;</p>     <p align="justify"><font size="3" face="Verdana, Arial, Helvetica, sans-serif"><b>Notes</b></font></p>     <p align="justify"><font face="Verdana, Arial, Helvetica, sans-serif" size="2"><sup>1</sup> <i>&#948; </i>is a Sheffer-operator. Donald L. Webb showed it in 1935 [3]. We rewrote the proof under an algebraic point of view [2].</font></p>     <p align="justify"><font face="Verdana, Arial, Helvetica, sans-serif" size="2"><sup>2</sup>&nbsp;The way we build the polynomial expression of a logic operator is explained in detail in [2].</font></p>     <p align="justify"><font face="Verdana, Arial, Helvetica, sans-serif" size="2"><sup>3</sup>&nbsp;You can easily see that * thus defined is an action &agrave;<i> droite </i>of a group on a set.</font></p>     <p align="justify"><font face="Verdana, Arial, Helvetica, sans-serif" size="2"><sup>4</sup> Remember that a logic operator</font><font size="2"><i> &#947;</i></font><font face="Verdana, Arial, Helvetica, sans-serif" size="2"></font><font face="Verdana, Arial, Helvetica, sans-serif" size="2"> is called a Sheffer operator if and only if all the logic operators may be written using only </font><font size="2"><i>&#947;</i></font><font face="Verdana, Arial, Helvetica, sans-serif" size="2"></font><font face="Verdana, Arial, Helvetica, sans-serif" size="2"><i>.</i></font></p>     <p align="justify"><font face="Verdana, Arial, Helvetica, sans-serif" size="2"><sup>5</sup> See [2].</font></p>     ]]></body>
<body><![CDATA[<p align="justify">&nbsp;</p>     <p align="justify"><font face="Verdana, Arial, Helvetica, sans-serif" size="3"><b>Bibliography</b></font></p>     <p align="justify"><font size="2" face="Verdana, Arial, Helvetica, sans-serif">[1] Pino O., Morales  Z. (2015) <i>Un operador de Sheffer en la L&oacute;gica IGR<sub>3</sub>. </i>Acta Nova, Vol 7,  N&ordm;1. Cochabamba, Bolivia. </font></p>     <p align="justify"><font size="2" face="Verdana, Arial, Helvetica, sans-serif">[2] Pino O. (2018) <i>Un  operador de Sheffer en la L&oacute;gica IGR<sub>p</sub>. </i>Acta Nova, Vol 8,  N&ordm;4. Cochabamba, Bolivia. </font></p>     <p align="justify"><font size="2" face="Verdana, Arial, Helvetica, sans-serif">[3]  Webb D. L. (1935). <i>Generation of any  n-valued logic by one binary operation</i>. Proceedings National Academy of  Sciences. U.S.A. May 1935. </font></p>     <!-- ref --><p align="justify"><font size="2" face="Verdana, Arial, Helvetica, sans-serif">[4]  Stojmenovic I., (1988). <i>On Sheffer  symmetric functions in three valued logic</i>. Discrete Applied Mathematics 22,  North-Holland. </font>&nbsp;&nbsp;&nbsp;&nbsp;&nbsp;&nbsp;&nbsp;&nbsp;[&#160;<a href="javascript:void(0);" onclick="javascript: window.open('/scielo.php?script=sci_nlinks&ref=804739&pid=S1683-0789202000020000400004&lng=','','width=640,height=500,resizable=yes,scrollbars=1,menubar=yes,');">Links</a>&#160;]<!-- end-ref --><p align="justify"><font size="2" face="Verdana, Arial, Helvetica, sans-serif">[5]  Foxley E., (1962) <i>The determination of  all Sheffer functions in 3-valued logic, using a logical computer</i><b>. </b>Notre  Dame Journal of Formal Logic, Volume III, Number 1. Nottingham, England. </font></p>     <p align="justify">&nbsp;</p>      ]]></body><back>
<ref-list>
<ref id="B1">
<label>1</label><nlm-citation citation-type="journal">
<person-group person-group-type="author">
<name>
<surname><![CDATA[Pino]]></surname>
<given-names><![CDATA[O.]]></given-names>
</name>
<name>
<surname><![CDATA[Morales]]></surname>
<given-names><![CDATA[Z.]]></given-names>
</name>
</person-group>
<article-title xml:lang="es"><![CDATA[Un operador de Sheffer en la L骻ica IGR3]]></article-title>
<source><![CDATA[Acta Nova]]></source>
<year>2015</year>
<volume>7</volume>
<numero>1</numero>
<issue>1</issue>
<publisher-loc><![CDATA[Cochabamba ]]></publisher-loc>
</nlm-citation>
</ref>
<ref id="B2">
<label>2</label><nlm-citation citation-type="journal">
<person-group person-group-type="author">
<name>
<surname><![CDATA[Pino]]></surname>
<given-names><![CDATA[O.]]></given-names>
</name>
</person-group>
<article-title xml:lang="es"><![CDATA[Un operador de Sheffer en la L骻ica IGRp]]></article-title>
<source><![CDATA[Acta Nova]]></source>
<year>2018</year>
<volume>8</volume>
<numero>4</numero>
<issue>4</issue>
<publisher-loc><![CDATA[Cochabamba ]]></publisher-loc>
</nlm-citation>
</ref>
<ref id="B3">
<label>3</label><nlm-citation citation-type="">
<person-group person-group-type="author">
<name>
<surname><![CDATA[Webb]]></surname>
<given-names><![CDATA[D.L.]]></given-names>
</name>
</person-group>
<article-title xml:lang="en"><![CDATA[Generation of any n-valued logic by one binary operation]]></article-title>
<source><![CDATA[Proceedings National Academy of Sciences]]></source>
<year>1935</year>
<month>Ma</month>
<day>y </day>
<publisher-loc><![CDATA[U.S.A. ]]></publisher-loc>
</nlm-citation>
</ref>
<ref id="B4">
<label>4</label><nlm-citation citation-type="journal">
<person-group person-group-type="author">
<name>
<surname><![CDATA[Stojmenovic]]></surname>
<given-names><![CDATA[I.]]></given-names>
</name>
</person-group>
<article-title xml:lang="en"><![CDATA[On Sheffer symmetric functions in three valued logic]]></article-title>
<source><![CDATA[Discrete Applied Mathematics]]></source>
<year>1988</year>
<volume>22</volume>
</nlm-citation>
</ref>
<ref id="B5">
<label>5</label><nlm-citation citation-type="journal">
<person-group person-group-type="author">
<name>
<surname><![CDATA[Foxley]]></surname>
<given-names><![CDATA[E.]]></given-names>
</name>
</person-group>
<article-title xml:lang="en"><![CDATA[The determination of all Sheffer functions in 3-valued logic, using a logical computer]]></article-title>
<source><![CDATA[Notre Dame Journal of Formal Logic]]></source>
<year>1962</year>
<volume>III</volume>
<numero>1</numero>
<issue>1</issue>
<publisher-loc><![CDATA[Nottingham ]]></publisher-loc>
</nlm-citation>
</ref>
</ref-list>
</back>
</article>
