<?xml version="1.0" encoding="ISO-8859-1"?><article xmlns:mml="http://www.w3.org/1998/Math/MathML" xmlns:xlink="http://www.w3.org/1999/xlink" xmlns:xsi="http://www.w3.org/2001/XMLSchema-instance">
<front>
<journal-meta>
<journal-id>1562-3823</journal-id>
<journal-title><![CDATA[Revista Boliviana de Física]]></journal-title>
<abbrev-journal-title><![CDATA[Revista Boliviana de Física]]></abbrev-journal-title>
<issn>1562-3823</issn>
<publisher>
<publisher-name><![CDATA[Sociedad Boliviana de Física]]></publisher-name>
</publisher>
</journal-meta>
<article-meta>
<article-id>S1562-38232011000300004</article-id>
<title-group>
<article-title xml:lang="es"><![CDATA[SOLUCIÓN DE ECUACIONES DIFERENCIALES PARCIALES POR EL MÉTODO MONTE CARLO]]></article-title>
<article-title xml:lang="en"><![CDATA[SOLUTION OF PARTIAL DIFFERENTIAL EQUATIONS BY THE MONTECARLO METHOD]]></article-title>
</title-group>
<contrib-group>
<contrib contrib-type="author">
<name>
<surname><![CDATA[Suxo Mamani]]></surname>
<given-names><![CDATA[Franz]]></given-names>
</name>
</contrib>
</contrib-group>
<aff id="A01">
<institution><![CDATA[,Universidad Mayor de San Andrés Carrera de Física Instituto de Investigaciones Físicas]]></institution>
<addr-line><![CDATA[La Paz ]]></addr-line>
<country>Bolivia</country>
</aff>
<pub-date pub-type="pub">
<day>00</day>
<month>00</month>
<year>2011</year>
</pub-date>
<pub-date pub-type="epub">
<day>00</day>
<month>00</month>
<year>2011</year>
</pub-date>
<volume>19</volume>
<numero>19</numero>
<fpage>24</fpage>
<lpage>33</lpage>
<copyright-statement/>
<copyright-year/>
<self-uri xlink:href="http://www.scielo.org.bo/scielo.php?script=sci_arttext&amp;pid=S1562-38232011000300004&amp;lng=en&amp;nrm=iso"></self-uri><self-uri xlink:href="http://www.scielo.org.bo/scielo.php?script=sci_abstract&amp;pid=S1562-38232011000300004&amp;lng=en&amp;nrm=iso"></self-uri><self-uri xlink:href="http://www.scielo.org.bo/scielo.php?script=sci_pdf&amp;pid=S1562-38232011000300004&amp;lng=en&amp;nrm=iso"></self-uri><abstract abstract-type="short" xml:lang="es"><p><![CDATA[Se obtiene soluciones de ecuaciones diferenciales parciales (EDP) como ser la ecuación de Laplace para una región plana irregular y la ecuación del calor para una región plana circular y regular. Para ello se utiliza el método Monte Carlo a fin de simular paseos aleatorios que se realizan en regiones discretizadas que resultan de las EDP desarrolladas en diferencias finitas. La forma de discretización limita las direcciones de paso entre los nodos de la región y a la vez asigna probabilidades de transición entre dichos nodos. La idea de la metodología es que para determinar el valor de un nodo (i.e., la solución de un punto de la región discretizada) se lanza varias partículas desde el nodo y se las hace evolucionar de acuerdo a las probabilidades de transición hasta que choquen con el borde de la región discretizada, terminando así el paseo aleatorio; este borde constituye la condición de contorno de las EDP. Se presentan los resultados para la ecuación del calor en una placa delgada para seis instantes; los resultados de la ecuación de Laplace se presentan mediante dos situaciones físicas distintas: una membrana elástica delgada estacionaria y la distribución estacionaria de temperatura en una placa delgada.]]></p></abstract>
<abstract abstract-type="short" xml:lang="en"><p><![CDATA[We use the Monte Carlo method to obtain solutions of partial differential equations (PDE) such as the Laplace equation for a flat irregular region and the heat equation for a flat circular and regular region. With this method we simulate random walks in the discrete regions that result from the PDE developed as finite differences. The discretization process limits the possible directions between the region nodes and assigns them transition probabilities. To determine the value of the node (i.e., the solution for a point in the discretized region) we launch from the node several particles and let them evolve according to their probabilities until they reach the boundary region, which is the boundary condition for the PDE. We present the results of this method for the heat equation in a thin board for six different instants. For the Laplace equation the results correspond to two different physical systems: a stationary and elastic thin membrane and the stationary temperature distribution of a thin board.]]></p></abstract>
<kwd-group>
<kwd lng="es"><![CDATA[técnicas computacionales y simulaciones]]></kwd>
<kwd lng="es"><![CDATA[métodos de diferencias finitas]]></kwd>
<kwd lng="es"><![CDATA[aplicaciones de métodos de Monte Carlo]]></kwd>
<kwd lng="en"><![CDATA[computational techniques and simulations]]></kwd>
<kwd lng="en"><![CDATA[finite-difference methods]]></kwd>
<kwd lng="en"><![CDATA[applications of Monte Carlo methods]]></kwd>
</kwd-group>
</article-meta>
</front><body><![CDATA[ <p align=center><font size="4" face="Verdana"><b>SOLUCIÓN DE   ECUACIONES DIFERENCIALES PARCIALES    <br>   POR EL MÉTODO MONTE CARLO</b></font></p>     <p align=center><font size="4" face="Verdana"><b>    <br>       <br>   SOLUTION OF PARTIAL DIFFERENTIAL EQUATIONS    <br>   BY THE MONTECARLO METHOD </b></font></p>     <p align=center><font size="3" face="Verdana"><b>Franz Suxo   Mamani<sup>f</sup></b> </font></p>     <p align=center><font size="2" face="Verdana"><b>Instituto de   Investigaciones Físicas, Carrera de Física    <br>   Universidad Mayor de San Andrés    <br>   c. 27 Cota-Cota, Campus Universitario, Casilla de Correos 8639    ]]></body>
<body><![CDATA[<br>   La Paz - Bolivia    <br> </b></font></p> <hr>     <p><font size="2" face="Verdana"><b>Resumen    <br>   </b>    <br>   Se obtiene soluciones de ecuaciones diferenciales parciales (EDP) como ser la   ecuación de Laplace para una región plana irregular y la ecuación del calor   para una región plana circular y regular. Para ello se utiliza el método Monte   Carlo a fin de simular paseos aleatorios que se realizan en regiones   discretizadas que resultan de las EDP desarrolladas en diferencias finitas. La   forma de discretización limita las direcciones de paso entre los nodos de la   región y a la vez asigna probabilidades de transición entre dichos nodos. La   idea de la metodología es que para determinar el valor de un nodo (i.e., la   solución de un punto de la región discretizada) se lanza varias partículas   desde el nodo y se las hace evolucionar de acuerdo a las probabilidades de   transición hasta que choquen con el borde de la región discretizada, terminando   así el paseo aleatorio; este borde constituye la condición de contorno de las   EDP. Se presentan los resultados para la ecuación del calor en una placa   delgada para seis instantes; los resultados de la ecuación de Laplace se   presentan mediante dos situaciones físicas distintas: una membrana elástica   delgada estacionaria y la distribución estacionaria de temperatura en una placa   delgada. </font></p>     <p><font size="2" face="Verdana"><b><i>Descriptores: </i></b>técnicas   computacionales y simulaciones - métodos de diferencias finitas - aplicaciones   de métodos de Monte Carlo </font></p>     <p><font size="2" face="Verdana"><b>Código(s)   PACS: </b>02.70.-c,   02.70.Bf, 02.70.Uu </font></p>     <p><font size="2" face="Verdana"><b>Abstract</b></font></p>     <p><font size="2" face="Verdana">We   use the Monte Carlo method to obtain solutions of partial differential   equations (PDE) such as the Laplace equation for a flat irregular region and   the heat equation for a flat circular and regular region. With this method we   simulate random walks in the discrete regions that result from the PDE   developed as finite differences. The discretization process limits the possible   directions between the region nodes and assigns them transition probabilities.   To determine the value of the node (i.e., the solution for a point in the   discretized region) we launch from the node several particles and let them   evolve according to their probabilities until they reach the boundary region,   which is the boundary condition for the PDE. We present the results of this   method for the heat equation in a thin board for six different instants. For   the Laplace equation the results correspond to two different physical systems:   a stationary and elastic thin membrane and the stationary temperature   distribution of a thin board. </font></p>     <p><font size="2" face="Verdana"><b><i>Subject   headings: </i></b>computational   techniques and simulations - finite-difference methods - applications of Monte   Carlo methods </font></p><hr>     ]]></body>
<body><![CDATA[<p><font size="2" face="Verdana"><a name="tth_sEc1"><b>1</b></a><b>&nbsp;&nbsp;INTRODUCCIÓN </b></font></p>     <p><font size="2" face="Verdana">Problemas   físicos de estado estacionario o problemas de evolución temporal son modelados   a través de EDP's elípticas y parabólicas respectivamente, estas ecuaciones   tienen una difícil solución por métodos exclusivamente analíticos cuando las   condiciones de contorno e inicial no son sencillas, y en muchos casos no es   posible encontrar una solución analítica, en especial problemas físicos reales   que tienen regiones con una geometría no muy regular. </font></p>     <p><font size="2" face="Verdana">Existen   varios métodos numéricos, como por ejemplo el Método ADI ([<a name=CITEPress></a><a href="../rbf19html/articulos/suxo/suxo.html#Press">31995Press</a>]) y el Método   de Crank-Nicholson ([<a name=CITEKreyszig></a><a href="../rbf19html/articulos/suxo/suxo.html#Kreyszig">12000Kreyszig</a>]) que   son bastante flexibles para las condiciones iniciales y condiciones de contorno   del problema, estos métodos consisten en desarrollar las EDP's en diferencias   finitas y mediante operaciones matriciales obtener la solución. Y en relación a   problemas que tienen regiones no tan regulares está el método de elementos   finitos, en el que intervienen matrices y ecuaciones integrales <a name=tthFrefAAB></a><a href="../rbf19html/articulos/suxo/suxo.html#tthFtNtAAB"><sup>1</sup></a>.</font></p>     <p><font size="2" face="Verdana">La   importancia de la aplicación del método Monte Carlo para resolver EDP's   elípticas y parabólicas, radica en que se pueden asociar a un modelo   probabilístico artificial de factores aleatorios, transformando el proceso de   la solución del problema a simples conteos y promedios. </font></p>     <p><font size="2" face="Verdana">Un   ejemplo sencillo para resolver la Ecuación de Laplace de una región plana   cuadrada asociando un modelo probabilístico <a name=tthFrefAAC></a><a href="../rbf19html/articulos/suxo/suxo.html#tthFtNtAAC"><sup>2</sup></a> se realiza con   la siguiente analogía ([<a name=CITESheid></a><a href="../rbf19html/articulos/suxo/suxo.html#Sheid">41972Sheid</a>]). <i>Un perro   que está perdido en un laberinto cuadrado que tiene corredores interiores, en   cada intersección escoge una dirección al azar y sigue hasta la siguiente   intersección donde escoge de nuevo al azar y así sucesivamente, Cuál es la   probabilidad que un perro que parta de una determinada intersección emerja   eventualmente por el lado sur?</i>. Según las condiciones de contorno el lado   sur tiene el valor de 1 y los restantes lados el valor de 0, y estas   intersecciones o probabilidades son la solución del problema. </font></p>     <p><font size="2" face="Verdana">Entonces,   el propósito del presente trabajo es, mostrar una metodología para resolver   EDP's a través de dos problemas específicos; la Ecuación de Laplace para una   región plana irregular y la Ecuación del Calor para una región plana circular   regular. </font></p>     <p><font size="2" face="Verdana"><a name="tth_sEc2"><b>2</b></a><b>&nbsp;&nbsp;DISCRETIZACIÓN   DE REGIONES</b></font></p>     <p><font size="2" face="Verdana">Al   igual que los métodos númericos mencionados, la metodología a seguir se basa   también en desarrollar las EDP's en Diferencias Finitas, con la finalidad de   Discretizar la Región. </font></p>     <p><font size="2" face="Verdana"><img border=0 width=216 height=174 id="Imagen 21" src="/img/revistas/rbf/v19n19/v19n19a04-image001.png"></font></p>     <p><font size="2" face="Verdana">Si   se considera el Laplaciano &#8711;<sup>2</sup> <i>u</i> de una EDP para una   Región Plana, su desarrollo en diferencias finitas debe tomar en cuenta la   Geometría de la Región (forma de la Frontera). </font></p>     ]]></body>
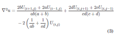
<body><![CDATA[<p><font size="2" face="Verdana"><a name="tth_sEc2.1"><b>2.1</b></a><b>&nbsp;&nbsp;Región   Rectangular</b></font></p>     <p><font size="2" face="Verdana">El   Laplaciano de una geometría rectangular se debe discretizar en Coordenadas   Rectangulares. Entonces el desarrollo del Laplaciano &#8711;<sup>2</sup> <i>u</i> en   coordenadas rectangulares es: </font></p>     <p><font size="2" face="Verdana"><br clear=all>   <img border=0 width=423 height=275 id="Imagen 27" src="/img/revistas/rbf/v19n19/v19n19a04-image002.png"></font></p>     <p><font size="2" face="Verdana">El   Laplaciano de una geometría circular se debe discretizar en Coordenadas   Polares. </font></p>     <p><font size="2" face="Verdana"><img border=0 width=257 height=246 id="Imagen 28" src="/img/revistas/rbf/v19n19/v19n19a04-image003.png"></font></p>     <p><font size="2" face="Verdana">Si   tenemos &#961; = <i>i</i>&#8710;&#961; y &#981; = <i>j</i>&#8710;&#981;   entonces el desarrollo del Laplaciano &#8711;<sup>2</sup> <i>u</i> en   coordenadas polares es: </font></p>     <p><font size="2" face="Verdana"><img border=0 width=415 height=324 id="Imagen 29" src="/img/revistas/rbf/v19n19/v19n19a04-image004.png"></font></p>     <p><font size="2" face="Verdana"><b>2.2&nbsp;&nbsp;Región Circular</b></font></p>     <p><font size="2" face="Verdana"><img border=0 width=347 height=230 id="Imagen 30" src="/img/revistas/rbf/v19n19/v19n19a04-image005.png"> <a name="ecu:2"></a></font></p>     <p><font size="2" face="Verdana"><a name="tth_sEc2.3"><b>2.3</b></a><b>&nbsp;&nbsp;Región   Irregular</b></font></p>     ]]></body>
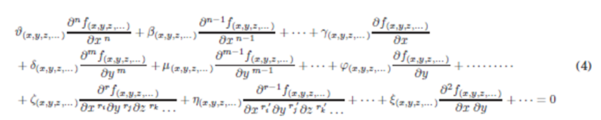
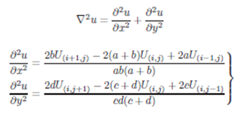
<body><![CDATA[<p><font size="2" face="Verdana">Una   geometría se dice que es irregular cuando las divisiones (&#8710;'s) no son   constantes. Este tipo de geometrías por simplicidad se deberían discretizan en   Coordenadas Rectangulares (Si una región circular se desarrolla en coordenadas   rectangulares, está región llega a ser una región irregular). </font></p>     <p><font size="2" face="Verdana"><img border=0 width=352 height=259 id="Imagen 31" src="/img/revistas/rbf/v19n19/v19n19a04-image006.png"></font></p>     <p><font size="2" face="Verdana">Las   distancias <i>a</i>,<i>b</i> y <i>c</i>,<i>d</i> son constantes e iguales a   &#8710;<i>x</i> y &#8710;<i>y</i> respectivamente, excepto cerca a la <i>frontera   irregular</i> en el cual <i>a</i> &lt; &#8710;<i>x</i> y <i>c</i> &lt; &#8710;<i>y</i>.   Por tanto, de manera general tenemos: <i>a</i>,<i>b</i> \leqslant &#8710;<i>x</i> y <i>c</i>,<i>d</i> \leqslant &#8710;<i>y</i>, entonces el desarrollo del   Laplaciano &#8711;<sup>2</sup> <i>u</i> de una   geometría irregular es: </font></p>     <p><font size="2" face="Verdana"><br clear=all>   <a name="ecu:3"></a><img border=0 width=347 height=166 id="Imagen 32" src="/img/revistas/rbf/v19n19/v19n19a04-image007.png"></font></p>     <p><font size="2" face="Verdana"><img border=0 width=391 height=118 id="Imagen 33" src="/img/revistas/rbf/v19n19/v19n19a04-image008.png"></font></p>     <p><font size="2" face="Verdana">Para   cualquier región en dos dimensiones sea irregular o no pero que esté   desarrollada en coordenadas rectangulares, se utiliza la Ec.&nbsp;(<a href="../rbf19html/articulos/suxo/suxo.html#ecu:3">3</a>) de manera general (Véase que la   Ec.&nbsp;(<a href="../rbf19html/articulos/suxo/suxo.html#ecu:1">1</a>) es un caso   especial de la Ec.&nbsp;(<a href="../rbf19html/articulos/suxo/suxo.html#ecu:3">3</a>)). </font></p>     <p><font size="2" face="Verdana"><a name="tth_sEc3"><b>3</b></a><b>&nbsp;&nbsp;PROBABLIDADES   DE TRANSICIÓN</b></font></p>     <p><font size="2" face="Verdana">Al   desarrollar las EDP's en Diferencias Finitas, además de Discretizar la Región,   también se pueden obtener Probabilidades de Transición que se tienen entre los   nodos de la región. </font></p>     <p><font size="2" face="Verdana">Para   tal objetivo, partimos de la Ec.&nbsp;(<a href="../rbf19html/articulos/suxo/suxo.html#ecu:4">4</a>) que es una EDP homogénea que no   contiene el término de la función sin derivar <i>f</i><sub>(<i>x</i>,<i>y</i>,<i>z</i>,...)</sub>,   sin embargo aún esta ecuación es bastante general al cual se aplica el   siguiente teorema que se propone en el presente trabajo. </font></p>     <p><font size="2" face="Verdana">En   el desarrollo en diferencias finitas de cualquier ecuación diferencial parcial   donde todos los términos poseen derivadas de primer orden o mayor, puede   afirmarse que, el coeficiente del término en el cual se desarrolla la serie es   igual al negativo de la suma de coeficientes que ocupan los términos vecinos.   Entonces, despejando el término en el que se desarrolla la serie, los   coeficientes resultantes de los términos vecinos pueden ser tratables como   probabilidades. </font></p>     ]]></body>
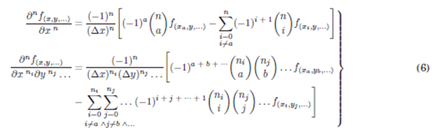
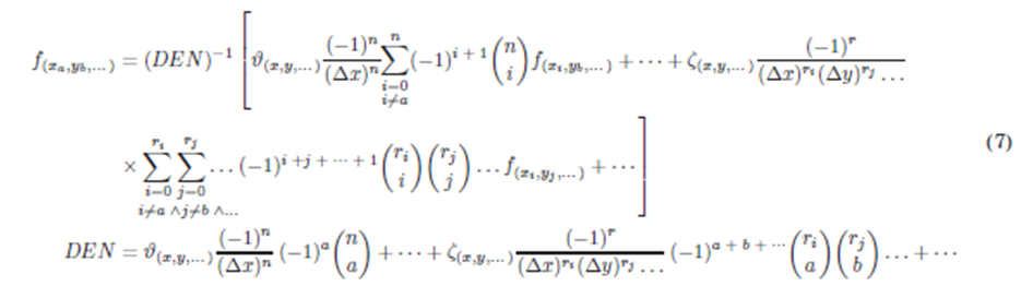
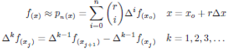
<body><![CDATA[<p><font size="2" face="Verdana"><img border=0 width=586 height=158 id="Imagen 34" src="/img/revistas/rbf/v19n19/v19n19a04-image009.png"></font></p>     <p><font size="2" face="Verdana"> [Demostración.]   De la fórmula de interpolación con diferencias hacia adelante de Gregory-Newton   ([<a href="../rbf19html/articulos/suxo/suxo.html#Kreyszig">12000Kreyszig</a>]): </font></p>     <p><font size="2" face="Verdana"><img border=0 width=364 height=76 id="Imagen 36" src="/img/revistas/rbf/v19n19/v19n19a04-image010.png"></font></p>     <p><font size="2" face="Verdana">Se   obtienen las Ecs.&nbsp;(<a href="../rbf19html/articulos/suxo/suxo.html#ecu:5">5</a>) que son las derivadas n-ésimas de la   función <i>f</i><sub>(<i>x</i>,<i>y</i>,<i>z</i>,...)</sub>, donde estas   ecuaciones llevan una sumatoria de coeficientes binomiales por cada variable   que es derivado. </font></p>     <p><font size="2" face="Verdana">Estas   derivadas n-ésimas pueden descomponerse aislando un término determinado de   la(s) sumatoria(s), en este caso; cuando (<i>i</i>=<i>a</i>) en la primera y   cuando (<i>i</i>=<i>a</i>&nbsp;&nbsp;&#8743;&nbsp;&nbsp;<i>j</i>=<i>b</i>&nbsp;&nbsp;&#8743;&nbsp;&nbsp;<i>k</i>=<i>c</i>&nbsp;&nbsp;&#8743;&nbsp;&nbsp;…) en la segunda.   Resultando de esta manera las Ecs.&nbsp;(<a href="../rbf19html/articulos/suxo/suxo.html#ecu:6">6</a>). </font></p>     <p><font size="2" face="Verdana">Entonces,   al desarrollar alrededor de (<i>x<sub>a</sub></i>,<i>y<sub>b</sub></i>,…) la Ec.&nbsp;(<a href="../rbf19html/articulos/suxo/suxo.html#ecu:4">4</a>) en Diferencias Finitas utilizando las   Ecs.&nbsp;(<a href="../rbf19html/articulos/suxo/suxo.html#ecu:6">6</a>) se obtiene la   Ec.&nbsp;(<a href="../rbf19html/articulos/suxo/suxo.html#ecu:7">7</a>), donde la   función en el punto de desarrollo está despejada (a modo de ilustración solo se   reemplazaron dos términos representativos pero generales; la derivada n-ésima   de una variable y la derivada r-ésima cruzada). </font></p>     <p><font size="2" face="Verdana"><a name="ecu:5"></a><br clear=all>   <img border=0 width=635 height=120 id="Imagen 37" src="/img/revistas/rbf/v19n19/v19n19a04-image011.png"></font></p>     <p><font size="2" face="Verdana"><img border=0 width=500 height=152 id="Imagen 38" src="/img/revistas/rbf/v19n19/v19n19a04-image012.png"></font></p>     <p><font size="2" face="Verdana"><img border=0 width=570 height=163 id="Imagen 39" src="/img/revistas/rbf/v19n19/v19n19a04-image013.png"><br clear=all> </font></p> <font size="2" face="Verdana">     <p><font size="2" face="Verdana">Por   tanto, haciendo uso de la siguiente propiedad de coeficientes binomiales ([<a name=CITESpiegel></a><a href="../rbf19html/articulos/suxo/suxo.html#Spiegel">51986Spiegel</a>]): <br clear=all>   </font></p>     ]]></body>
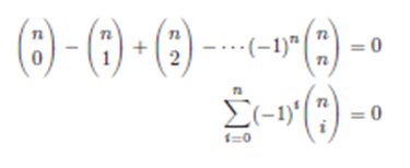
<body><![CDATA[<p><font size="2" face="Verdana"><img border=0 width=375 height=154 id="Imagen 40" src="/img/revistas/rbf/v19n19/v19n19a04-image014.png"></font></p>     <p><font size="2" face="Verdana">Se   puede aislar y despejar el coeficiente cuando (<i>i</i>=<i>a</i>), y de manera   semejante cuando existe una composición de coeficientes binomiales, es decir   cuando (<i>i</i>=<i>a</i>&nbsp;&nbsp;&#8743;&nbsp;&nbsp;<i>j</i>=<i>b</i>&nbsp;&nbsp;&#8743;&nbsp;&nbsp;<i>k</i>=<i>c</i>&nbsp;&nbsp;&#8743;&nbsp;&nbsp;…). Entonces: <br clear=all>   </font></p>     <p><font size="2" face="Verdana"><img border=0 width=368 height=218 id="Imagen 41" src="/img/revistas/rbf/v19n19/v19n19a04-image015.png"></font></p>     <p><font size="2" face="Verdana">Finalmente,   utilizando estas dos últimas igualdades al sumar todos los coeficientes de los   términos <i>f</i><sub>(<i>xi</i>,<i>yj</i>,…)</sub> del numerador   (términos vecinos) de la Ec.&nbsp;(<a href="../rbf19html/articulos/suxo/suxo.html#ecu:7">7</a>), resulta que, la sumatoria es igual al   denominador del mismo <a name=tthFrefAAD></a><a href="../rbf19html/articulos/suxo/suxo.html#tthFtNtAAD"><sup>3</sup></a>. </font></p>     <p><font size="2" face="Verdana">Entonces,   al ser distribuido el denominador a todos los términos <i>f</i><sub>(<i>xi</i>,<i>yj</i>,…)</sub>, la sumatoria   de los coeficientes resultantes es igual a la unidad. Con tal resultado queda   demostrado el Teorema propuesto aplicado a la Ec.&nbsp;(<a href="../rbf19html/articulos/suxo/suxo.html#ecu:4">4</a>). </font></p>     <p><font size="2" face="Verdana"><a name="tth_sEc3.1"><b>3.1</b></a><b>&nbsp;&nbsp;Normalización   de Coeficientes</b></font></p>     <p><font size="2" face="Verdana">Los   coeficientes de la Ec.&nbsp;(<a href="../rbf19html/articulos/suxo/suxo.html#ecu:7">7</a>) cuando se reparte el denominador   pueden tener valores; positivos, negativos ó ceros. Pero la sumatoria de dichos   coeficientes es igual a la unidad. Véase el siguiente esquema. </font></p>     <p><font size="2" face="Verdana"><img border=0 width=326 height=154 id="Imagen 42" src="/img/revistas/rbf/v19n19/v19n19a04-image016.png"></font></p>     <p><font size="2" face="Verdana">Pero   al cambiar el signo de los coeficientes negativos a positivo se obtiene el   siguiente esquema.</font></p>     <p><font size="2" face="Verdana"><img border=0 width=324 height=65 id="Imagen 43" src="/img/revistas/rbf/v19n19/v19n19a04-image017.png"></font></p>     ]]></body>
<body><![CDATA[<p><font size="2" face="Verdana">En   el cual la longitud de un determinado coeficiente <i>c<sub>k</sub></i> (sea   positivo, negativo o cero) y la longitud total no cambia. Por tanto, se puede   normalizar <a name=tthFrefAAE></a><a href="../rbf19html/articulos/suxo/suxo.html#tthFtNtAAE"><sup>4</sup></a> los   coeficientes cambiándole el signo a los negativos y dividiendo a cada   coeficiente por la longitud total. Entonces, estos coeficientes resultantes de   la normalización pueden ser tratables como Probabilidades. </font></p>     <p><font size="2" face="Verdana"><a name="tth_sEc4"><b>4</b></a><b>&nbsp;&nbsp;EL   MÉTODO MONTE CARLO</b></font></p>     <p><font size="2" face="Verdana">La   Región Discretizada más las Direcciones y Probabilidades de Transición   obtenidas mediante el desarrollo por Diferencias Finitas, nos permite realizar   Paseos Aleatorios en dicha región. Además es necesario la generación de Numeros   Aleatorios en toda la trayectoria del paseo aleatorio, siendo este el   fundamento del método Monte Carlo. </font></p>     <p><font size="2" face="Verdana">El   algoritmo del método Monte Carlo para aproximar <i>u</i> consiste en lo   siguiente: Para conocer el valor de solución <i>u</i> en un nodo (<i>i</i>,<i>j</i>)   de la región, se larga una partícula desde ese nodo y se la hace evolucionar de   acuerdo a las direcciones y probabilidades de transición calculadas, hasta que   choca con la frontera de la región <a name=tthFrefAAF></a><a href="../rbf19html/articulos/suxo/suxo.html#tthFtNtAAF"><sup>5</sup></a>,   almacenándose el valor del dato de frontera en ese punto. Se repite este   procedimiento para una gran cantidad de partículas, y se estima el valor de <i>u</i><sub>(<i>i</i>,<i>j</i>)</sub> como el promedio de esos valores. Graficamente se muestra a continuación paseos   aleatorios en regiones rectangulares y circulares respectivamente. </font></p>     <p><font size="2" face="Verdana"><a name="tth_sEc4.1"><img border=0 width=284 height=497 id="Imagen 44" src="/img/revistas/rbf/v19n19/v19n19a04-image018.png"></a></font></p>     <p><font size="2" face="Verdana"><b>4.1&nbsp;&nbsp;Condiciones de   Frontera</b></font></p>     <p><font size="2" face="Verdana">Si   una partícula simulada llega a una frontera que tiene Condiciones de Contorno   de Dirichlet o Condiciones Iniciales, termina el paseo aleatorio de la misma.   Pero no sucede lo mismo cuando la partícula llega a una frontera que tiene   Condiciones de Contorno de Neumann, en este caso se debe desarrollar el   gradiente en diferencias finitas centrada en la frontera. </font></p>     <p><font size="2" face="Verdana"><img border=0 width=268 height=76 id="Imagen 45" src="/img/revistas/rbf/v19n19/v19n19a04-image019.png"></font></p>     <p><font size="2" face="Verdana">Donde <i>U</i><sub>(<i>i</i>+1,<i>j</i>)</sub> está fuera de la región. Si el   gradiente es igual a cero entonces se tiene <i>U</i><sub>(<i>i</i>+1,<i>j</i>)</sub>=<i>U</i><sub>(<i>i</i>&#8722;1,<i>j</i>)</sub> que puede ser reemplazado en la ecuación que lleva las probabilidades de   transición para generar una nueva ecuación, que se utiliza cuando la partícula   llega a esta frontera. </font></p>     <p align=center><font size="2" face="Verdana"><a name="tth_fIg1"></a><img border=0   width=471 height=336 id="Imagen 20" src="/img/revistas/rbf/v19n19/v19n19a04-image020.gif"   alt="Descripción: figura1a.gif"></font></p>     ]]></body>
<body><![CDATA[<p align=center><font size="2" face="Verdana"><img border=0 width=471 height=336   id="Imagen 19" src="/img/revistas/rbf/v19n19/v19n19a04-image021.gif"   alt="Descripción: figura1b.gif"></font></p>     <p align=center><font size="2" face="Verdana"><img border=0 width=471 height=336   id="Imagen 18" src="/img/revistas/rbf/v19n19/v19n19a04-image022.gif"   alt="Descripción: figura1c.gif"></font></p>     <p align=center><font size="2" face="Verdana">Figure 1: Solución de la Ecuación del Calor   Analítica y por Monte Carlo</font></p>     <p><font size="2" face="Verdana"><a name="tth_sEc4.2"></a><a name="fig:1"></a><b>4.2&nbsp;&nbsp;Comparación   de resultados</b></font></p>     <p><font size="2" face="Verdana">Se   compara soluciones obtenidas por este método con soluciones analíticas de   problemas que tienen condiciones de Dirichlet, Neumann e Iniciales. </font></p> <ul type=disc>       <li>         <p><font size="2" face="Verdana">En la Fig.&nbsp;(<a      href="../rbf19html/articulos/suxo/suxo.html#fig:1">1</a>) se       muestra la solución de la Ecuación del Calor unidimensional para diez       instantes de tiempo. </font></p>   </li>       <li>         <p><font size="2" face="Verdana">En la Fig.&nbsp;(<a      href="../rbf19html/articulos/suxo/suxo.html#fig:2">2</a>) se       muestra la solución de la Ecuación de Laplace bidimensional. </font></p>   </li>     </ul>     ]]></body>
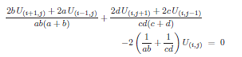
<body><![CDATA[<p><font size="2" face="Verdana">Comparando   la solución Analítica con el Método de Montecarlo para 100, 1000 y 10000   particulas en ambos casos. </font></p>     <p><font size="2" face="Verdana"><a name="tth_sEc5"></a><a name="fig:5"></a><b>5&nbsp;&nbsp;LA   ECUACIÓN DE LAPLACE</b></font></p>     <p><font size="2" face="Verdana">Se   resuelve la Ecuación de Laplace, Ec.&nbsp;(<a href="../rbf19html/articulos/suxo/suxo.html#ecu:8">8</a>), en coordenadas rectangulares para una   región irregular en el plano, ver Fig.&nbsp;(<a href="../rbf19html/articulos/suxo/suxo.html#fig:3">3</a>). </font></p>     <p><font size="2" face="Verdana"><img   border=0 width=365 height=49 id="Imagen 46"   src="/img/revistas/rbf/v19n19/v19n19a04-image023.png"></font></p> <font face="Verdana">     <p><font size="2"><img   border=0 width=387 height=223 id="Imagen 47"   src="/img/revistas/rbf/v19n19/v19n19a04-image024.png"></font></p>     <p><font size="2">Para   desarrollar la Ecuación de Laplace en diferencias finitas, se reemplaza el   Laplaciano en coordenadas rectangulares para una región irregular, que es la   Ec.&nbsp;(<a href="../rbf19html/articulos/suxo/suxo.html#ecu:3">3</a>), en la   Ec.&nbsp;(<a href="../rbf19html/articulos/suxo/suxo.html#ecu:8">8</a>). </font></p> </font>     <p><font size="2" face="Verdana"><img border=0 width=484 height=115 id="Imagen 48" src="/img/revistas/rbf/v19n19/v19n19a04-image025.png"></font></p>     <p><font size="2" face="Verdana">Luego,   según la definición se procede a despejar el término central <i>U</i><sub>(<i>i</i>,<i>j</i>)</sub>.</font></p>     <p><font size="2" face="Verdana"><img border=0 width=484 height=112 id="Imagen 49" src="/img/revistas/rbf/v19n19/v19n19a04-image026.png"></font></p>     <p><font size="2" face="Verdana">    ]]></body>
<body><![CDATA[<br>   En   el cual se tiene, cuatro direcciones de transición: <i>U</i><sub>(<i>i</i>+1,<i>j</i>)</sub>, <i>U</i><sub>(<i>i</i>&#8722;1,<i>j</i>)</sub>, <i>U</i><sub>(<i>i</i>,<i>j</i>+1)</sub> y <i>U</i><sub>(<i>i</i>,<i>j</i>&#8722;1)</sub>, entonces el paseo aleatorio   se realiza en el plano, donde las condiciones de contorno son los bordes de la   región plana, ver Fig.&nbsp;(<a href="../rbf19html/articulos/suxo/suxo.html#fig:3">3</a>). Y las probabilidades de transición a   esas direcciones son los valores de sus respectivos coeficientes. </font></p>     <p><font size="2" face="Verdana"><a name="tth_sEc5.1"></a><a name="fig:7"></a><b>5.1&nbsp;&nbsp;Resultados</b></font></p>     <p><font size="2" face="Verdana">Los   resultados obtenidos se presentan gráficamente para dos situaciones físicas   distintas: </font></p>     <p align=center><font size="2" face="Verdana"><a name="tth_fIg2"></a><img border=0   width=365 height=288 id="Imagen 17" src="/img/revistas/rbf/v19n19/v19n19a04-image027.gif"   alt="Descripción: figura2a.gif"></font></p>     <p align=center><font size="2" face="Verdana"><img border=0 width=365 height=288   id="Imagen 16" src="/img/revistas/rbf/v19n19/v19n19a04-image028.gif"   alt="Descripción: figura2b.gif"></font></p>     <p align=center><font size="2" face="Verdana"><img border=0 width=365 height=288   id="Imagen 15" src="/img/revistas/rbf/v19n19/v19n19a04-image029.gif"   alt="Descripción: figura2c.gif"></font></p>     <p align=center><font size="2" face="Verdana"><img border=0 width=365 height=288   id="Imagen 14" src="/img/revistas/rbf/v19n19/v19n19a04-image030.gif"   alt="Descripción: figura2d.gif"></font></p>     <p align=center><font size="2" face="Verdana">Figure 2: Solución de la Ecuación de Laplace   Analítica y por Monte Carlo</font></p>     <p align=center><font size="2" face="Verdana"><a name="fig:2"></a><a name="tth_fIg3"></a><img border=0 width=384 height=336 id="Imagen 13" src="/img/revistas/rbf/v19n19/v19n19a04-image031.gif" alt="Descripción: figura3.gif"></font></p>     <p align=center><font size="2" face="Verdana">Figure 3: Dimensiones espaciales de la región plana   irregular. También se muestran tres paseos aleatorios</font></p>     ]]></body>
<body><![CDATA[<p align=center><font size="2" face="Verdana"><a name="fig:3"></a><a name="tth_fIg4"></a><img border=0 width=355 height=269 id="Imagen 12" src="/img/revistas/rbf/v19n19/v19n19a04-image032.gif" alt="Descripción: figura4.gif"></font></p>     <p align=center><font size="2" face="Verdana">Figure 4: Se muestra la solución de la Ecuación de   Laplace para una <i>Membrana elástica delgada estacionaria</i></font></p>     <p align=center><font size="2" face="Verdana"><a name="fig:4"></a><a name="tth_fIg5"></a><img border=0 width=298 height=221 id="Imagen 11" src="/img/revistas/rbf/v19n19/v19n19a04-image033.gif" alt="Descripción: figura5.gif"></font></p>     <p align=center><font size="2" face="Verdana">Figure 5: Se muestra la solución de la Ecuación de   Laplace para la <i>Temperatura estacionaria en una placa delgada</i></font></p> <ol start=1 type=1>       <li>         <p><font size="2" face="Verdana">Una <i>membrana elástica delgada       estacionaria</i>. Que es deformada en los bordes según las condiciones de       contorno dadas, ver Fig.&nbsp;(<a      href="../rbf19html/articulos/suxo/suxo.html#fig:4">4</a>). </font></p>   </li>       <li>         <p><font size="2" face="Verdana">La <i>temperatura estacionaria en       una placa delgada</i>. Los bordes están a temperaturas según las       condiciones de contorno, ver Fig.&nbsp;(<a      href="../rbf19html/articulos/suxo/suxo.html#fig:5">5</a>). </font></p>   </li>     </ol>     <p align=center><font size="2" face="Verdana"><a name="tth_fIg6"></a>3.&nbsp;&nbsp;&nbsp;&nbsp;&nbsp; <img border=0 width=336 height=336 id="Imagen 10" src="/img/revistas/rbf/v19n19/v19n19a04-image034.gif" alt="Descripción: figura6.gif"></font></p>     ]]></body>
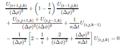
<body><![CDATA[<p align=center><font size="2" face="Verdana">4.&nbsp;&nbsp;&nbsp;&nbsp;&nbsp; Figure 6:   Dimensiones espaciales de la región plana circular regular. También se muestran   tres paseos aleatorios</font></p>     <p align=center><font size="2" face="Verdana"><a name="fig:6"></a><a name="tth_fIg7"></a>5.&nbsp;&nbsp;&nbsp;&nbsp;&nbsp; <img border=0 width=211 height=298 id="Imagen 9" src="/img/revistas/rbf/v19n19/v19n19a04-image035.gif" alt="Descripción: figura7.gif"></font></p>     <p align=center><font size="2" face="Verdana">6.&nbsp;&nbsp;&nbsp;&nbsp;&nbsp; Figure 7: Se   muestran tres paseos aleatorios realizados en la región discretizada del   problema (volumen cilíndrico).</font></p>     <p><font size="2" face="Verdana"><a name="tth_sEc6"><b>6</b></a><b>&nbsp;&nbsp;LA   ECUACIÓN DEL CALOR</b></font></p>     <p><font size="2" face="Verdana">Se   resuelve la Ecuación del Calor, Ec.&nbsp;(<a href="../rbf19html/articulos/suxo/suxo.html#ecu:9">9</a>), en coordenadas polares para una   región circular regular en el plano, ver Fig.&nbsp;(<a href="../rbf19html/articulos/suxo/suxo.html#fig:6">6</a>). </font></p>     <p><font size="2" face="Verdana"><a name="ecu:9"></a><br clear=all>   <img border=0 width=335 height=75 id="Imagen 50" src="/img/revistas/rbf/v19n19/v19n19a04-image036.png"></font></p>     <p><font size="2" face="Verdana">Entonces <i>u</i>=<i>u</i><sub>(&#961;,&#981;,<i>t</i>)</sub>. La condición Inicial más   las condiciones de contorno de Dirichlet y Neumann que tiene el problema se   listan a continuación. <br clear=all>   </font></p>     <p><font size="2" face="Verdana"><img border=0 width=331 height=270 id="Imagen 51" src="/img/revistas/rbf/v19n19/v19n19a04-image037.png"></font></p>     <p><font size="2" face="Verdana">La   Ec.&nbsp;(<a href="../rbf19html/articulos/suxo/suxo.html#ecu:2">2</a>) es el   desarrollo de la parte espacial de la Ecuación del Calor, y de la parte   temporal, es la Ec.(<a href="../rbf19html/articulos/suxo/suxo.html#ecu:10">10</a>).</font></p>     <p><font size="2" face="Verdana"><img border=0 width=376 height=77 id="Imagen 52" src="/img/revistas/rbf/v19n19/v19n19a04-image038.png"></font></p>     ]]></body>
<body><![CDATA[<p><font size="2" face="Verdana">Por   tanto, reemplazando la Ec.&nbsp;(<a href="../rbf19html/articulos/suxo/suxo.html#ecu:2">2</a>) y Ec.(<a href="../rbf19html/articulos/suxo/suxo.html#ecu:10">10</a>) en la Ec.(<a href="../rbf19html/articulos/suxo/suxo.html#ecu:9">9</a>), se obtiene el desarrollo en   diferencias finitas de la Ecuación del Calor. </font></p>     <p><font size="2" face="Verdana"><img border=0 width=338 height=102 id="Imagen 53" src="/img/revistas/rbf/v19n19/v19n19a04-image039.png"></font></p>     <p><font size="2" face="Verdana">Realizando   los siguientes cambios de variable para una mejor manipulación: </font></p>     <p><font size="2" face="Verdana"><img border=0 width=471 height=84 id="Imagen 54" src="/img/revistas/rbf/v19n19/v19n19a04-image040.png"></font></p>     <p><font size="2" face="Verdana">Se   procede a despejar el término central <i>U</i><sub>(<i>i</i>,<i>j</i>,<i>k</i>)</sub> según la definición. </font></p>     <p><font size="2" face="Verdana"><img border=0 width=434 height=98 id="Imagen 55" src="/img/revistas/rbf/v19n19/v19n19a04-image041.png"></font></p>     <p align=center><font size="2" face="Verdana"><a name="tth_fIg8"></a><img border=0   width=278 height=221 id="Imagen 8" src="/img/revistas/rbf/v19n19/v19n19a04-image042.gif"   alt="Descripción: figura8a.gif"></font></p>     <p align=center><font size="2" face="Verdana"><img border=0 width=278 height=221   id="Imagen 7" src="/img/revistas/rbf/v19n19/v19n19a04-image043.gif"   alt="Descripción: figura8b.gif"></font></p>     <p align=center><font size="2" face="Verdana">a) </font></p>     <p align=center><font size="2" face="Verdana">b)</font></p>     ]]></body>
<body><![CDATA[<p align=center><font size="2" face="Verdana"><img border=0 width=278 height=221   id="Imagen 6" src="/img/revistas/rbf/v19n19/v19n19a04-image044.gif"   alt="Descripción: figura8c.gif"></font></p>     <p align=center><font size="2" face="Verdana"><img border=0 width=278 height=221   id="Imagen 5" src="/img/revistas/rbf/v19n19/v19n19a04-image045.gif"   alt="Descripción: figura8d.gif"></font></p>     <p align=center><font size="2" face="Verdana">c) </font></p>     <p align=center><font size="2" face="Verdana">d)</font></p>     <p align=center><font size="2" face="Verdana"><img border=0 width=278 height=221   id="Imagen 4" src="/img/revistas/rbf/v19n19/v19n19a04-image046.gif"   alt="Descripción: figura8e.gif"></font></p>     <p align=center><font size="2" face="Verdana"><img border=0 width=278 height=221   id="Imagen 3" src="/img/revistas/rbf/v19n19/v19n19a04-image047.gif"   alt="Descripción: figura8f.gif"></font></p>     <p align=center><font size="2" face="Verdana">e) </font></p>     <p align=center><font size="2" face="Verdana">f) </font></p>     <p align=center><font size="2" face="Verdana">Figure 8: Se muestra la solución de la Ecuación del   Calor de una región plana circular regular para seis instantes de tiempo   consecutivamente, posteriores a la condición inicial. La paleta de colores   muestra el rango de temperatura de 0 a 100.</font></p>     <p align=center><font size="2" face="Verdana"><a name="fig:8"></a><a name="tth_fIg9"></a><img border=0   width=278 height=221 id="Imagen 2" src="/img/revistas/rbf/v19n19/v19n19a04-image048.gif"   alt="Descripción: figura9a.gif"></font></p>     ]]></body>
<body><![CDATA[<p align=center><font size="2" face="Verdana"><img border=0 width=298 height=259   id="Imagen 1" src="/img/revistas/rbf/v19n19/v19n19a04-image049.gif"   alt="Descripción: figura9b.gif"></font></p>     <p align=center><font size="2" face="Verdana">a) </font></p>     <p align=center><font size="2" face="Verdana">b)</font></p>     <p align=center><font size="2" face="Verdana">Figure 9: Solución de la Ecuación de Laplace en   coordenadas polares para una región plana circular regular. El inciso a)   muestra la temperatura estacionaria en una placa delgada. El inciso b) muestra   a una membrana elástica delgada estacionaria.</font></p>     <p><font size="2" face="Verdana"><a name="fig:9"></a>En   el cual se tiene, cinco direcciones de transición, cuatro espaciales: <i>U</i><sub>(<i>i</i>+1,<i>j</i>,<i>k</i>)</sub>, <i>U</i><sub>(<i>i</i>&#8722;1,<i>j</i>,<i>k</i>)</sub>, <i>U</i><sub>(<i>i</i>,<i>j</i>+1,<i>k</i>)</sub>, <i>U</i><sub>(<i>i</i>,<i>j</i>&#8722;1,<i>k</i>)</sub> y una temporal <i>U</i><sub>(<i>i</i>,<i>j</i>,<i>k</i>&#8722;1)</sub>.   La dirección temporal hace que el paseo aleatorio se realice en un volumen   cilíndrico, ver Fig.&nbsp;(<a href="../rbf19html/articulos/suxo/suxo.html#fig:7">7</a>), donde las superficies laterales son   las condiciones de contorno y la superficie inferior es la condición inicial.Y   las probabilidades de transición a esas direcciones son los valores de sus   respectivos coeficientes. </font></p>     <p><font size="2" face="Verdana"><a name="tth_sEc6.1"><b>6.1</b></a><b>&nbsp;&nbsp;Resultados</b></font></p>     <p><font size="2" face="Verdana">Los   resultados obtenidos son presentados gráficamente mediante seis instantes de   tiempo consecutivos, posteriores a la condición inicial, ver Fig.&nbsp;(<a href="../rbf19html/articulos/suxo/suxo.html#fig:8">8</a>). El primer inciso de la gráfica   muestra que predominan las Condiciones Iniciales en un comienzo, mientras que   el último inciso, muestra a las Condiciones de Contorno como predominantes. </font></p>     <p><font size="2" face="Verdana">Finalmente,   en un tiempo relativamente largo, solo sobrevive la información de las   condiciones de contorno y la información de las condiciones iniciales   desaparece totalmente. Entonces los resultados de la Ecuación del Calor deben   desembocar en los resultados de la Ecuación de Laplace al transcurrir el   tiempo. </font></p>     <p><font size="2" face="Verdana">Entonces   para fines comparativos, se obtiene la solución de la Ec.&nbsp;(<a href="../rbf19html/articulos/suxo/suxo.html#ecu:11">11</a>), que es la   Ecuación de Laplace para este problema, cuyos resultados se muestran en la   Fig.&nbsp;(<a href="../rbf19html/articulos/suxo/suxo.html#fig:9">9</a>). </font></p>     <p><font size="2" face="Verdana"><a name="ecu:11"></a><br clear=all>   <img border=0 width=434 height=105 id="Imagen 56" src="/img/revistas/rbf/v19n19/v19n19a04-image050.png"></font></p>     ]]></body>
<body><![CDATA[<p><font size="2" face="Verdana">Observando   la Fig.&nbsp;(<a href="../rbf19html/articulos/suxo/suxo.html#fig:8">8</a>) y la   Fig.&nbsp;(<a href="../rbf19html/articulos/suxo/suxo.html#fig:9">9</a>), se puede   comprobar, que en un tiempo relativamente largo, el proceso de difusión del   calor se detiene llegando a un estado estacionario. </font></p>     <p><font size="2" face="Verdana"><a name="tth_sEc7"><b>7</b></a><b>&nbsp;&nbsp;CONCLUSIONES</b></font></p>     <p><font size="2" face="Verdana">El   método Monte Carlo aplicado para resolver EDP's es destinado especialmente para   las ecuaciones Elípticas y Parabólicas, porque estas modelan fenómenos que   inducen un proceso de achatamiento o promediado, donde las ecuaciones de   Laplace y del Calor abordados en este trabajo son un buen ejemplo de este tipo   de EDP's. </font></p>     <p><font size="2" face="Verdana">La   eficacia del método se comprueba al comparar resultados en problemas que tienen   soluciones analíticas, obteniéndose buena aproximación a medida que se aumenta   el numero de partículas en las simulaciones. Por tanto se aplica el método con la   seguridad de obtener buenos resultados en problemas que tienen regiones no muy   simétricas los cuales no tienen una solución analítica. </font></p>     <p><font size="2" face="Verdana">Por   otra parte, en este trabajo se resolvieron problemas que tienen dos dimensiones   espaciales, tanto en la Ecuación de Laplace como en la Ecuación del Calor. Pero   el método se puede extender a tres dimensiones espaciales sin ninguna   dificultad en ambos casos, porque lo único que cambia es, el aumento en una   dimensión de la región discretizada en el cual se realiza el paseo aleatorio. </font></p>     <p><font size="2" face="Verdana"><b>References</b></font></p>     <p><font size="2" face="Verdana"><a name=Kreyszig></a><a href="../rbf19html/articulos/suxo/suxo.html#CITEKreyszig">[12000Kreyszig]</a></font></p>     <!-- ref --><p><font size="2" face="Verdana">1.- Kreyszig, E.   2000, Matemáticas Avanzadas para Ingeniería, Vol. II, Métodos Numéricos para   Ecuaciones Diferenciales Parciales, 551,427 </font>&nbsp;&nbsp;&nbsp;&nbsp;&nbsp;&nbsp;&nbsp;&nbsp;[&#160;<a href="javascript:void(0);" onclick="javascript: window.open('/scielo.php?script=sci_nlinks&ref=228270&pid=S1562-3823201100030000400001&lng=','','width=640,height=500,resizable=yes,scrollbars=1,menubar=yes,');">Links</a>&#160;]<!-- end-ref --><p><font size="2" face="Verdana"><a name=Perez></a><a href="../rbf19html/articulos/suxo/suxo.html#CITEPerez">[22008Perez]</a></font></p>     <!-- ref --><p><font size="2" face="Verdana">2.- Perez, V.   2008, Métodos Matemáticos, Diferencias Finitas para Ecuaciones de Evolución,   147, 148, 160 </font>&nbsp;&nbsp;&nbsp;&nbsp;&nbsp;&nbsp;&nbsp;&nbsp;[&#160;<a href="javascript:void(0);" onclick="javascript: window.open('/scielo.php?script=sci_nlinks&ref=228272&pid=S1562-3823201100030000400002&lng=','','width=640,height=500,resizable=yes,scrollbars=1,menubar=yes,');">Links</a>&#160;]<!-- end-ref --><p><font size="2" face="Verdana"><a name=Press></a><a href="../rbf19html/articulos/suxo/suxo.html#CITEPress">[31995Press]</a></font></p>     <!-- ref --><p><font size="2" face="Verdana">3.- Press, R.   1995, Numerical Recipes in C, Partial Differential Equations, 831, 832 </font>&nbsp;&nbsp;&nbsp;&nbsp;&nbsp;&nbsp;&nbsp;&nbsp;[&#160;<a href="javascript:void(0);" onclick="javascript: window.open('/scielo.php?script=sci_nlinks&ref=228274&pid=S1562-3823201100030000400003&lng=','','width=640,height=500,resizable=yes,scrollbars=1,menubar=yes,');">Links</a>&#160;]<!-- end-ref --><p><font size="2" face="Verdana"><a name=Sheid></a><a href="../rbf19html/articulos/suxo/suxo.html#CITESheid">[41972Sheid]</a></font></p>     <!-- ref --><p><font size="2" face="Verdana">4.- Sheid, F.   1972, Análisis Numérico, Sistemas Lineales, La Iteración de Gauss-Seidel y la   Super-Relajación, Los Métodos de Monte Carlo, 340, 404 </font>&nbsp;&nbsp;&nbsp;&nbsp;&nbsp;&nbsp;&nbsp;&nbsp;[&#160;<a href="javascript:void(0);" onclick="javascript: window.open('/scielo.php?script=sci_nlinks&ref=228276&pid=S1562-3823201100030000400004&lng=','','width=640,height=500,resizable=yes,scrollbars=1,menubar=yes,');">Links</a>&#160;]<!-- end-ref --><p><font size="2" face="Verdana"><a name=Spiegel></a><a href="../rbf19html/articulos/suxo/suxo.html#CITESpiegel">[51986Spiegel]</a></font></p>     <!-- ref --><p><font size="2" face="Verdana">5.- Spiegel, M.   1986, Manual de Fórmulas y Tablas Matemáticas, La Fórmula del Binomio y   Coeficientes Binomiales, 4</font>&nbsp;&nbsp;&nbsp;&nbsp;&nbsp;&nbsp;&nbsp;&nbsp;[&#160;<a href="javascript:void(0);" onclick="javascript: window.open('/scielo.php?script=sci_nlinks&ref=228278&pid=S1562-3823201100030000400005&lng=','','width=640,height=500,resizable=yes,scrollbars=1,menubar=yes,');">Links</a>&#160;]<!-- end-ref --><p>&nbsp;</p>     <p>&nbsp;</p>     <p><font size="2" face="Verdana">Recibido 26 de agosto de 2011; aceptado 5 de septiembre de 2011</font></p>      ]]></body><back>
<ref-list>
<ref id="B1">
<label>1</label><nlm-citation citation-type="">
<person-group person-group-type="author">
<name>
<surname><![CDATA[Kreyszig]]></surname>
<given-names><![CDATA[E.]]></given-names>
</name>
</person-group>
<article-title xml:lang="es"><![CDATA[Matemáticas Avanzadas para Ingeniería]]></article-title>
<source><![CDATA[Métodos Numéricos para Ecuaciones Diferenciales Parciales]]></source>
<year>2000</year>
<page-range>551,427</page-range></nlm-citation>
</ref>
<ref id="B2">
<label>2</label><nlm-citation citation-type="">
<person-group person-group-type="author">
<name>
<surname><![CDATA[Perez]]></surname>
<given-names><![CDATA[V.]]></given-names>
</name>
</person-group>
<source><![CDATA[Métodos Matemáticos: Diferencias Finitas para Ecuaciones de Evolución]]></source>
<year>2008</year>
<page-range>147, 148, 160</page-range></nlm-citation>
</ref>
<ref id="B3">
<label>3</label><nlm-citation citation-type="">
<person-group person-group-type="author">
<name>
<surname><![CDATA[Press]]></surname>
<given-names><![CDATA[R.]]></given-names>
</name>
</person-group>
<source><![CDATA[Numerical Recipes in C: Partial Differential Equations]]></source>
<year>1995</year>
<page-range>831, 832</page-range></nlm-citation>
</ref>
<ref id="B4">
<label>4</label><nlm-citation citation-type="">
<person-group person-group-type="author">
<name>
<surname><![CDATA[Sheid]]></surname>
<given-names><![CDATA[F.]]></given-names>
</name>
</person-group>
<source><![CDATA[Análisis Numérico, Sistemas Lineales, La Iteración de Gauss-Seidel y la Super-Relajación: Los Métodos de Monte Carlo]]></source>
<year>1972</year>
<page-range>340, 404</page-range></nlm-citation>
</ref>
<ref id="B5">
<label>5</label><nlm-citation citation-type="">
<person-group person-group-type="author">
<name>
<surname><![CDATA[Spiegel]]></surname>
<given-names><![CDATA[M.]]></given-names>
</name>
</person-group>
<source><![CDATA[Manual de Fórmulas y Tablas Matemáticas: La Fórmula del Binomio y Coeficientes Binomiales]]></source>
<year>1986</year>
<volume>4</volume>
</nlm-citation>
</ref>
</ref-list>
</back>
</article>
