<?xml version="1.0" encoding="ISO-8859-1"?><article xmlns:mml="http://www.w3.org/1998/Math/MathML" xmlns:xlink="http://www.w3.org/1999/xlink" xmlns:xsi="http://www.w3.org/2001/XMLSchema-instance">
<front>
<journal-meta>
<journal-id>1562-3823</journal-id>
<journal-title><![CDATA[Revista Boliviana de Física]]></journal-title>
<abbrev-journal-title><![CDATA[Rev Bol Fis]]></abbrev-journal-title>
<issn>1562-3823</issn>
<publisher>
<publisher-name><![CDATA[Sociedad Boliviana de Física]]></publisher-name>
</publisher>
</journal-meta>
<article-meta>
<article-id>S1562-38232010000100007</article-id>
<title-group>
<article-title xml:lang="es"><![CDATA[DETERMINACIÓN DEL COEFICIENTE DE DISIPACIÓN DE UN PÉNDULO]]></article-title>
<article-title xml:lang="en"><![CDATA[DETERMINATION OF A PENDULUM'S DISSIPATION COEFFICIENT]]></article-title>
</title-group>
<contrib-group>
<contrib contrib-type="author">
<name>
<surname><![CDATA[TlCONA BUSTILLOS]]></surname>
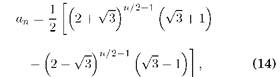
<given-names><![CDATA[A. R.]]></given-names>
</name>
</contrib>
<contrib contrib-type="author">
<name>
<surname><![CDATA[RAMÍREZ ÁVILA]]></surname>
<given-names><![CDATA[G. M.]]></given-names>
</name>
</contrib>
</contrib-group>
<aff id="A01">
<institution><![CDATA[,Universidad Mayor de San Andrés La Paz - Bolivia Instituto de Investigaciones Físics ]]></institution>
<addr-line><![CDATA[ ]]></addr-line>
</aff>
<pub-date pub-type="pub">
<day>00</day>
<month>00</month>
<year>2010</year>
</pub-date>
<pub-date pub-type="epub">
<day>00</day>
<month>00</month>
<year>2010</year>
</pub-date>
<volume>16</volume>
<numero>16</numero>
<fpage>41</fpage>
<lpage>42</lpage>
<copyright-statement/>
<copyright-year/>
<self-uri xlink:href="http://www.scielo.org.bo/scielo.php?script=sci_arttext&amp;pid=S1562-38232010000100007&amp;lng=en&amp;nrm=iso"></self-uri><self-uri xlink:href="http://www.scielo.org.bo/scielo.php?script=sci_abstract&amp;pid=S1562-38232010000100007&amp;lng=en&amp;nrm=iso"></self-uri><self-uri xlink:href="http://www.scielo.org.bo/scielo.php?script=sci_pdf&amp;pid=S1562-38232010000100007&amp;lng=en&amp;nrm=iso"></self-uri><abstract abstract-type="short" xml:lang="es"><p><![CDATA[Usando un sensor de posición se toman datos de las oscilaciones de un péndulo amortiguado. Analizando las características del péndulo se determina su coeficiente de disipación.]]></p></abstract>
<abstract abstract-type="short" xml:lang="en"><p><![CDATA[Using a position gauge we register data from the oscillations of a damped pendulum. We analize the pendulums characteristics and determine its dissipation coefficient.]]></p></abstract>
<kwd-group>
<kwd lng="es"><![CDATA[procedimientos de laboratorio]]></kwd>
<kwd lng="es"><![CDATA[dinámica de la partícula]]></kwd>
<kwd lng="en"><![CDATA[laboratory procedures]]></kwd>
<kwd lng="en"><![CDATA[dynamics of the particle]]></kwd>
</kwd-group>
</article-meta>
</front><body><![CDATA[ <P align="center"   ><font size="4"><FONT size="+1" color="#000000"></B><strong><font face="Verdana">DETERMINACI&Oacute;N DEL COEFICIENTE DE DISIPACI&Oacute;N DE UN P&Eacute;NDULO </font></strong></font></P >     <P align="center"   >&nbsp;</P >     <P align="center"   ><FONT size="+1" color="#000000"><strong><font face="Verdana">DETERMINATION OF A PENDULUM'S DISSIPATION COEFFICIENT</font></strong></font><strong><font face="Verdana"> </font></strong></P >     <P align="center"   >&nbsp;</P >     <P align="center"   ><font size="3" face="Verdana"><strong><FONT size="+1">A. R. TlCONA BUSTILLOS &amp; G. M. RAM&Iacute;REZ &Aacute;VILA </strong></font></P >     <P   align="center" ><font size="3"><strong><font face="Verdana">Instituto de Investigaciones F&iacute;sics </font></strong></font></P >     <P   align="center" ><font size="3" face="Verdana"><strong>Universidad Mayor de San Andr&eacute;s    La Paz - Bolivia </strong></font></P > <hr>      <p   align="" ><strong><FONT size="+1"><font size="2" face="Verdana">RESUMEN </font></strong></p >     <p   align="" ><font size="2" face="Verdana">Usando un sensor de posici&oacute;n se toman datos de las oscilaciones de un p&eacute;ndulo amortiguado. Analizando las caracter&iacute;sticas del p&eacute;ndulo se determina su coeficiente de disipaci&oacute;n. </font></p >     <p   ><font size="2" face="Verdana"><I>Descriptores: </I>procedimientos de laboratorio &mdash; din&aacute;mica de la part&iacute;cula </font></p >     ]]></body>
<body><![CDATA[<p   align="" ><font size="2" face="Verdana"><strong>ABSTRACT </strong></font></p >     <p   align="" ><font size="2" face="Verdana">Using a position gauge we register data from the oscillations of a damped pendulum. We analize the pendulums characteristics and determine its dissipation coefficient. </font></p >     <p   ><font size="2" face="Verdana"><I>Subjectheadings: </I>laboratory procedures &mdash; dynamics of the particle </font></p > <hr>      <p   ><font size="2" face="Verdana">El movimiento arm&oacute;nico simple (MAS) encuentra aplicaciones en muchas ramas de la f&iacute;sica; sin embargo, la primera dificultad con la que se tropieza al comparar sus resultados con oscilaciones reales, es la disipaci&oacute;n de energ&iacute;a mec&aacute;nica debida a la interacci&oacute;n de estos sistemas con el medio viscoso que los rodea. Esto hace que los sistemas reales s&oacute;lo obedezcan por un tiempo relativamente corto los resultados de las soluciones del MAS. El problema de introducir el t&eacute;rmino de disipaci&oacute;n (que puede ser funci&oacute;n de la velocidad, de la masa y forma del objeto, as&iacute; como de la viscosidad del medio) en las ecuaciones est&aacute; en que &eacute;stas ya no son sencillas pues pierden su car&aacute;cter lineal y por tanto, la soluci&oacute;n de las mismas no es inmediata y se deben recurrir a aproximaciones o directamente a la resoluci&oacute;n num&eacute;rica de las ecuaciones. En este trabajo, se presenta un ejemplo de c&oacute;mo medir directamente este coeficiente mediante las oscilaciones de un p&eacute;ndulo cuya lenteja puede ser considerada como un objeto puntual, utilizando un sensor de movimiento que nos da la posici&acute;on de la lenteja del p&eacute;ndulo en funci&oacute;n del tiempo. Este trabajo surge como parte de la investigaci&oacute;n realizada en el estudio de p&eacute;ndulos acoplados (Ticona Bustillos &amp; Ramirez Avila 2008). </font></p >     <p   ><font size="2" face="Verdana"><font size="2" face="Verdana">2.  P&Eacute;NDULO CON DISIPACI&Oacute;N </font></p >     <p   ><font size="2" face="Verdana"><font size="2" face="Verdana">Se considera un p&eacute;ndulo con masa puntual, como se muestra en la Fig. 1. Las fuerzas que act&uacute;an sobre este objeto son el peso y la fuerza de disipaci&oacute;n por parte del aire. Aplicando la segunda ley de Newton en la direcci&oacute;n del movimiento, se tiene:Pero la aceleraci&oacute;n se puede expresar en funci&oacute;n del desplazamiento angular como: </font></p >     <p align="center"><font size="2" face="Verdana"><IMG width="248" height="45"  src="/img/revistas/rbf/v16n16/n16a7_image000.jpg" > </font></p>     <p   align="justify" ><font size="2" face="Verdana">Adem&aacute;s, considerando desplazamientos angulares peque&ntilde;os para los cuales se cumple senf9 &laquo; <I>9, </I>la ecuaci&oacute;n se reduce a: </font></p >     <p align="center"><font size="2" face="Verdana"><IMG width="276" height="51"  src="/img/revistas/rbf/v16n16/n16a7_image001.jpg" > </font></p>     <p   ><font size="2" face="Verdana">que tiene una soluci&oacute;n conocida y detallada en libros de f&iacute;sica general (Halliday &amp; Krane 1998; Serway 1997; Tipler 1995) dada por:</font></p >     ]]></body>
<body><![CDATA[<p><font size="2" face="Verdana"><IMG width="399" height="51"  src="/img/revistas/rbf/v16n16/n16a7_image002.jpg" >angular dadapor: </font></p>     <p>&nbsp;</p>     <p align="center"><font size="2" face="Verdana"><IMG width="283" height="244" src="/img/revistas/rbf/v16n16/n16a7_image003.jpg" ></font></p>     <p align="center">&nbsp;</p>     <p><font size="2" face="Verdana">FIG. 1.&mdash; Diagrama de fuerzas y aceleraci&oacute;n para el p&eacute;ndulo con disipaci&oacute;n. </font></p>     <p>&nbsp;</p>     <p align="center"><font size="2" face="Verdana"><IMG width="408" height="677"  src="/img/revistas/rbf/v16n16/n16a7_image004.jpg" > </font></p>     <p   ><font size="2" face="Verdana"><font size="2" face="Verdana"><font size="2" face="Verdana"><FONT size="+1">FIG. 4.&mdash; &Aacute;ngulo del p&eacute;ndulo en funci&oacute;n del tiempo. </font></p >     <p   ><font size="2" face="Verdana"><font size="2" face="Verdana">La frecuencia angular es menor a la del p&eacute;ndulo sin amortiguamiento, debido a la interacci&oacute;n con el medio viscoso. </font></p >     <p   ><font size="2" face="Verdana"><font size="2" face="Verdana">3.  MEDIDA DEL COEFICIENTE DE DISIPACI&Oacute;N </font></p >     ]]></body>
<body><![CDATA[<p   ><font size="2" face="Verdana"><font size="2" face="Verdana"><font size="2" face="Verdana">Utilizamos un sensor de posici&oacute;n PASCO, el cual toma datos de la distancia de un objeto a partir de un nivel de referencia, como se muestra en la Fig. 2. Estos datos son enviados a una computadora. Se utiliz&oacute; un p&eacute;ndulo de <I>53.0cm </I>de largo y 150.Og de masa. La aceleraci&oacute;n debida a la gravedad en la ciudad de La Paz se considera igual a <I>9.775m/s</I><Sup><FONT size="+1"><I>2</I></Sup><I>. </I>Los datos obtenidos se muestran en la Fig. 3. En estos datos, se puede observar que las distancias muy cercanas al detector no son obtenidas correctamente debido a la propia sensibilidad del detector; adem&aacute;s, existen algunos casos en los que el p&eacute;ndulo no es detectado cuando est&aacute; en la m&aacute;xima distancia, d&aacute;ndonos el dato de la pared que est&aacute; a mayor distancia. </font></p >     <p   ><font size="2" face="Verdana"><font size="2" face="Verdana">Como se conoce el largo del p&eacute;ndulo, se pueden transformar estos datos a &aacute;ngulos con lo que se obtiene el gr&aacute;fico de la Fig. 4, donde s&oacute;lo se consideran los datos a partir del movimiento del p&eacute;ndulo; en estos datos tambi&eacute;n se realiz&oacute; un desplazamiento desde el nivel de referencia mostrado en la Fig. 3. </font></p >     <p   align="justify" ><font size="2" face="Verdana"><font size="2" face="Verdana">En la ecuaci&oacute;n (4) se pueden considerar solamente los m&aacute;ximos de las oscilaciones, es decir, los puntos en lo cuales el coseno es igual a la unidad. En ese caso s&oacute;lo nos quedamos con la parte exponencial del comportamiento. </font></p >     <p   align="justify" ><font size="2" face="Verdana">De igual manera, esto puede ser realizado con los datos obtenidos con el detector, tanto en las distancias m&iacute;nimas como en las m&aacute;ximas. Como mencionamos antes, las distancias menores tienen un problema debido al detector, por lo cual s&oacute;lo consideramos las distancias m&aacute;ximas en cada oscilaci&oacute;n. De esta manera, se puede obtener el ajuste exponencial mostrado en la Fig. 5. </font></p >     <p   align="" ><font size="2" face="Verdana">Para obtener la Fig. 5, algunos de los puntos han sido eliminados, ya que quedaban fuera de la l&iacute;nea de ajuste, debido a las circunstancias ya explicadas. A partir de este ajuste podemos determinar que el valor del coeficiente de disipaci&oacute;n es igual a 0,013 <I>kg/s. </I></font></p >     <p   ><font size="2" face="Verdana"><font size="2" face="Verdana"><font size="2" face="Verdana">4.  CONCLUSIONES </font></p >     <p   ><FONT size="2" face="Verdana">Este m&eacute;todo nos brinda una forma muy sencilla de calcular el coeficiente de disipaci&oacute;n de un objeto </font></p >     <p   align="justify" ><font size="2" face="Verdana">relativamente peque&ntilde;o, sin tomar en cuenta medidas de los factores geom&eacute;tricos ni la viscosidad del fluido. </font></p >     <p align="center"><font size="2" face="Verdana"><IMG width="395" height="259"  src="/img/revistas/rbf/v16n16/n16a7_image005.jpg" > </font></p>     <p   ><font size="2" face="Verdana"><font size="2" face="Verdana"><font size="2" face="Verdana"><FONT size="+1">FIG. 5.&mdash; Ajuste exponencial del &aacute;ngulo en funci&oacute;n del tiempo. </font></p >     ]]></body>
<body><![CDATA[<p   >&nbsp;</p >     <p   align="center" ><font size="2" face="Verdana"><strong>REFERENCIAS </strong></font></p >     <!-- ref --><p   align="" ><font size="2" face="Verdana">1.-Halliday, R. &amp; Krane. 1998, F&iacute;sica, vol. 1, cuarta ed. (CECSA). </font></p >     &nbsp;&nbsp;&nbsp;&nbsp;&nbsp;&nbsp;&nbsp;&nbsp;[&#160;<a href="javascript:void(0);" onclick="javascript: window.open('/scielo.php?script=sci_nlinks&ref=225453&pid=S1562-3823201000010000700001&lng=','','width=640,height=500,resizable=yes,scrollbars=1,menubar=yes,');">Links</a>&#160;]<!-- end-ref --><!-- ref --><p   align="" ><font size="2" face="Verdana">2.- Serway, R. 1997, F&iacute;sica, vol. 1, cuarta ed. (McGraw-Hill). </font></p >     &nbsp;&nbsp;&nbsp;&nbsp;&nbsp;&nbsp;&nbsp;&nbsp;[&#160;<a href="javascript:void(0);" onclick="javascript: window.open('/scielo.php?script=sci_nlinks&ref=225454&pid=S1562-3823201000010000700002&lng=','','width=640,height=500,resizable=yes,scrollbars=1,menubar=yes,');">Links</a>&#160;]<!-- end-ref --><!-- ref --><p   align="" ><font size="2" face="Verdana">3.- Ticona Bustillos, A. R. &amp; Ram&iacute;rez Avila, G. M. 2008, RBF, 14, 121. </font></p >     &nbsp;&nbsp;&nbsp;&nbsp;&nbsp;&nbsp;&nbsp;&nbsp;[&#160;<a href="javascript:void(0);" onclick="javascript: window.open('/scielo.php?script=sci_nlinks&ref=225455&pid=S1562-3823201000010000700003&lng=','','width=640,height=500,resizable=yes,scrollbars=1,menubar=yes,');">Links</a>&#160;]<!-- end-ref --><!-- ref --><p   align="" ><font size="2" face="Verdana">4.-Tipler. 1995, F&iacute;sica (Reverte) </font></p >     &nbsp;&nbsp;&nbsp;&nbsp;&nbsp;&nbsp;&nbsp;&nbsp;[&#160;<a href="javascript:void(0);" onclick="javascript: window.open('/scielo.php?script=sci_nlinks&ref=225456&pid=S1562-3823201000010000700004&lng=','','width=640,height=500,resizable=yes,scrollbars=1,menubar=yes,');">Links</a>&#160;]<!-- end-ref --><a href=http://www.scielo.org.bo/cgi-bin/wxis.exe/iah/?IsisScript=iah/iah.xis&nextAction=lnk&base=article^dlibrary&indexSearch=AU&exprSearch=../bases-work/rbf/rbf&lang=>^rND^sHalliday^nR.</a><a href=http://www.scielo.org.bo/cgi-bin/wxis.exe/iah/?IsisScript=iah/iah.xis&nextAction=lnk&base=article^dlibrary&indexSearch=AU&exprSearch=../bases-work/rbf/rbf&lang=>^rND^sTicona Bustillos^nA. R.^rND^sRamírez Avila^nG. M.</a><a href=http://www.scielo.org.bo/cgi-bin/wxis.exe/iah/?IsisScript=iah/iah.xis&nextAction=lnk&base=article^dlibrary&indexSearch=AU&exprSearch=../bases-work/rbf/rbf&lang=>^rND^sChoque Saire^nM. P.</a><a href=http://www.scielo.org.bo/cgi-bin/wxis.exe/iah/?IsisScript=iah/iah.xis&nextAction=lnk&base=article^dlibrary&indexSearch=AU&exprSearch=../bases-work/rbf/rbf&lang=>^rND^sChoque Saire^nM. P.</a><a href=http://www.scielo.org.bo/cgi-bin/wxis.exe/iah/?IsisScript=iah/iah.xis&nextAction=lnk&base=article^dlibrary&indexSearch=AU&exprSearch=../bases-work/rbf/rbf&lang=>^rND^sChoque Saire^nM. P</a><p align="center"><strong><font size="4"><font face="Verdana">LA OCARINA DE ZANAHORIA A CARROT OCARINA</font></font></strong></p>     <p align="center"><font size="3"><strong><font face="Verdana">Choque Saire M. P.</font></strong></font></p>     <p align="center"><font size="3" face="Verdana"><strong>Laboratorio de Física 121 Universidad Mayor de San Andrés</strong></font></p> <hr>      <p><font size="2"><strong><font face="Verdana">RESUMEN</font></strong></font></p>     <p><font size="2" face="Verdana">En los instrumentos prehispánicos aerófonos el sonido es   producido por la vibración de una columna de aire   como es el caso de la quena, la zampona y la tarkha. Se suele olvidar, sin   embargo, a otros instru­mentos pertenecientes a esta misma familia, como es el   caso de la ocarina, cuya afinación y fabricación es dificultosa. Este   instrumento musical es de tamaño reducido, su sonido es agudo (523 - <i>1046   kHz) </i>y se la encuentra en múltiples diseños. Su construcción es ardua   debido a que habitualmente las ocarinas están   hechas de cerámica o madera, con un centro hueco y orificios con áreas iguales   o desiguales que son cubiertas para   producir diferentes notas; esta dificultad se puede remediar usando un material   dócil. Este material tiene que ser de forma alargada, cilindrica y de   consistencia maciza para evitar una deformación posterior; además, tal material debe permitir labrar el instrumento   cómodamente. Entre las posibles opcio­nes   disponibles se eligió a una zanahoria (aunque parezca inusual) pues reúne todos   los requisitos para la construcción de la ocarina; el único inconveniente es su   sensibilidad al paso del tiempo ya que su volumen se puede reducir por   la deshidratación.</font></p>     <p><font size="2" face="Verdana"><i>Descriptores: </i>instrumentos musicales — propiedades acústicas de sólidos</font></p>     <p><font size="2" face="Verdana"><strong>ABSTRACT</strong></font></p>     <p><font size="2" face="Verdana">In pre Colonial wind instruments sound is produced through the   vibration of an air column such as in the Quena, Zampona and Tarka. A less well   known wind instrument of the same family is the Ocarina whose fabrication and tuning are particularly difficult. The Ocarina is   a small wind instrument with a high pitch (523 - <i>1046 kHz) </i>and is found   in many forms and designs. The instrument is arduous to make given that   it is usually crafted from materials such as ceramic or wood and is composed of   a hollow centre and finger holes of varying or equal diameter This difficulty   can be remedied by using a more pliable and yet   durable material that can be formed into an elongated, and cylindrical form.   Looking into the possible available alternative materials the carrot was   chosen. The carrot met all the requirements although the material shrinks over   time due to dehydration.</font></p>     <p><font size="2" face="Verdana"><i>Subject headings: </i>musical instruments — acoustical properties of solids</font></p> <hr>     <p><font size="2" face="Verdana"><strong>1.  INTRODUCCIÓN</strong></font></p>     ]]></body>
<body><![CDATA[<p><font size="2" face="Verdana">La ocarina se remonta a la América   prehispánica, a cul­turas como la aymara y la quechua que utilizaban este   instrumento musical acompañados de quenas, zamponas y otros instrumentos. Se   usa en países como Perú, Bolivia, Venezuela, norte de Chile, norte de Argentina y toda Me-soamérica.</font></p>     <p><font size="2" face="Verdana">Cabe   recalcar que aunque existe teoría que se refiere al   origen de este instrumento en Europa, se trata de otro ins­trumento de similares características ya que la   Ocarina Sud-Americana tiene orígenes de cientos de años atrás.</font></p>     <p><font size="2" face="Verdana">La podemos encontrar en modelos   sencillos, dobles o tri­ples y con diferente número de orificios, como muestra la Fig. 1. Su tono depende de la relación entre el volumen del aire y el área del agujero destapado. Por   ejemplo, en una oca­rina de cuatro   agujeros de áreas iguales, cubriendo todos los</font></p>     <p align="center"><font size="2" face="Verdana"><img width=269 height=186 src="/img/revistas/rbf/v16n16/n16a8_image001.gif"></font></p>     <p><font size="2" face="Verdana"><b>FIG. 1.— Los tipos de ocarinas dependen del   tamaño y del agujeros que posee.</b></font></p>     <p align="center"><font size="2" face="Verdana"><br clear=all>   <br clear=all>   <br clear=all>   <img width=499 height=149 src="/img/revistas/rbf/v16n16/n16a8_image002.jpg">    </p> <br clear=all> </font></p>     <p align="left"><font size="2" face="Verdana">FIG.   2.-temático.</font></p>     <p><font size="2" face="Verdana">Ocarina artesanal hecha de arcilla usada para el   modelado ma</font><font size="2" face="Verdana">orificios previamente para luego pasar a quitar el   dedo de uno de ellos,   se obtiene la nota Sol, independientemente de qué agujero se destape.   Si el área descubierta es igual, la nota producida es la misma.</font></p>     <p><font size="2" face="Verdana">2.  ESCALA PENTATÓNICA</font></p>     <p><font size="2" face="Verdana">En nuestro sistema musical   occidental, es conveniente uti­lizar sólo unas   frecuencias concretas, a las cuales se las llama notas.</font></p>     ]]></body>
<body><![CDATA[<p><font size="2" face="Verdana">Las frecuencias de las notas se dividen en porciones lla­madas &quot;octavas&quot;, y cada octava se   divide en 12 porciones llamadas notas. Cada nota de una octava tiene   exactamente la mitad de frecuencia que la   misma nota en la octava supe­rior.</font></p>     <p><font size="2" face="Verdana">Con el oído humano solamente se pueden captar notas que sean superiores a 18/fz y por debajo de los <i>20kHz </i>(muy   aproximadamente). Es así que sólo podemos oír unas diez octavas como mucho, con   doce notas cada una. Por debajo de 18/fz se llaman infrasonidos y por encima,   ultrasonidos. El margen auditivo de las   personas varía según la edad y otros factores.   Los animales tienen un margen auditivo diferente; así, es muy conocido   el hecho que los perros pueden sentir frecuencias   mucho más altas, dentro del margen de los ultra­sonidos.</font></p>     <p><font size="2" face="Verdana">Para   que nuestra ocarina produzca sonidos agradables al oído   humano es necesario ajustaría a una escala musical pentatónica porque es la   escala más simple e intuitiva. La pentafonía —sistema musical en que se usa la   escala pen­tatónica— se usa en la   generalidad de los sistemas musicales tradicionales   por ser usados por los músicos antiguos.</font></p>     <p><font size="2" face="Verdana">Nuestro oído humano tiene una   &quot;construcción&quot; tal, que los   sonidos cuyas frecuencias están en la proporción simple (2/1, 3/2, 4/3,   etc.), suenan juntos de una manera agrada­ble.   Por ejemplo, la nota Do en su quinta octava tiene apro­ximadamente una   frecuencia de 1046.<i>5Hz </i>y junto a un Sol en la misma octava de frecuencia 1567.9 <i>Hz </i>suena agradable porque están a una proporción de 3:2,   respectivamente. Esta proporción es la combinación de sonidos más pura y   se la suele llamar quinta justa.</font></p>     <p><font size="2" face="Verdana">En un sistema musical pentafónico se   necesita una nota base que es la nota más grave que puede producir nuestro instrumento y una configuración de frecuencias de   las notas;</font></p>     <p><font size="2" face="Verdana"><br clear=all> </font></p>     <p align=center><font size="2" face="Verdana"><img width=306 height=146 src="/img/revistas/rbf/v16n16/n16a8_image003.gif"></font></p>     <p><font size="2" face="Verdana">FIG. 3.— Relación lineal   que existe entre el área descubierta y la frecuen­cia.</font></p>     <p><font size="2" face="Verdana">esta configuración es:</font></p>     <p><font size="2" face="Verdana">Tono,   9/8 Tono, (3/2)(8/9) = 4/3 Tono, 3/2 Tono, (3/2) (9/8) = 27/16 Tono, (3/2)<sup>2</sup>(8/9)   = 2 Tono</font></p>     ]]></body>
<body><![CDATA[<p><font size="2" face="Verdana">La ocarina propuesta consta de una escala pentatónica, de cinco   notas, con una nota base en Do sostenido (Do#). Y obedeciendo las reglas de esta escala su sistema musical tiene que   ser como indica la Tabla 1.</font></p>     <p>&nbsp;</p>     <p><font size="2" face="Verdana"><strong>3.  MODELO MATEMÁTICO PARA EL NÚMERO DE ORIFICIOS DE LA OCARINA</strong></font></p>     <p><font size="2" face="Verdana">Los orificios de la ocarina son la parte más importante en el diseño de la   ocarina ya que aportan la variedad tonal pro­puesta   en la Tabla 1.</font></p>     <p><font size="2" face="Verdana">Así que tuvimos que diseñar un modelo que pueda relacio­nar el área del orifico con la   frecuencia que deseamos obte­ner, recordando que la nota depende de la suma de   orificios destapados.</font></p>     <p><font size="2" face="Verdana">Primeramente se tomó una ocarina artesanal (Fig. 2)   hecha de arcilla que   constaba de seis orificios de <i>\mm </i>de diámetro cada uno y se aumentó nueve orificios más;   teniendo un total de   quince orificios. La posición de los orificios fue relevante porque no perturbó   en gran magnitud a las frecuencias obte­nidas.</font></p>     <p><font size="2" face="Verdana">Luego se procedió a tomar la frecuencia   del total de ori­ficios descubiertos con   ayuda del <i>software Analysis Center 2010. </i>Su diseño nos da la facilidad   de poder obtener la fre­cuencia con el micrófono en tiempo real.</font></p>     <p><font size="2" face="Verdana">Las frecuencias que se obtuvieron en relación con el área destapada (Tabla 2) nos dan una idea de que existe   una re­lación lineal. Esta relación se puede observar en la Fig. 3.</font><font size="2" face="Verdana"><br clear=all>   </font></p>     <p><font size="2" face="Verdana">TABLA 2 </font></p>     <p align="center"><font size="2" face="Verdana"><img width=308 height=391 src="/img/revistas/rbf/v16n16/n16a8_image004.jpg">&nbsp;</font></p>     ]]></body>
<body><![CDATA[<p><font size="2" face="Verdana"><br clear=all>   <br clear=ALL> </font></p>     <p>&nbsp;</p>     <p><font size="2" face="Verdana">FlG. 4.— Pasos realizados   para la construcción de la ocarina. Las primeras dos fotos muestran la parte resonadora y la boquilla.   Las dos últimas fotos muestran la parte que permite el flujo del aire.</font></p>     <p><font size="2" face="Verdana">Así que procedemos hacer el ajuste de curvas (1): Usando la regresión lineal observamos   que&gt;&gt; es el área y <i>x </i>es la frecuen­cia. Con todo esto podemos concluir que nuestro   modelo está hecho y es:</font></p>     <p align="center"><font size="2" face="Verdana"><img width=264 height=32 src="/img/revistas/rbf/v16n16/n16a8_image005.jpg"><i><img width=263 height=31 src="/img/revistas/rbf/v16n16/n16a8_image006.gif"></i></font></p>     <p><font size="2" face="Verdana">donde <i>A </i>es el área del orificio y i<sup>7</sup> es   la frecuencia deseada. O, en función del diámetro <i>D </i>del orificio, la cual emplea­remos más   adelante para la construcción de la ocarina de za­nahoria:</font></p>     <p align="center"><font size="2" face="Verdana"><img width=292 height=31 src="/img/revistas/rbf/v16n16/n16a8_image007.jpg"><img width=291 height=30 src="/img/revistas/rbf/v16n16/n16a8_image008.gif"></font></p>     <p><font size="2" face="Verdana">4.  CONSTRUCCIÓN DE LA OCARINA DE ZANAHORIA</font></p>     <p><font size="2" face="Verdana">En la   construcción se necesitaron dos zanahorias lo más uniformes posible y de mayor volumen para poder   evitar po­sibles fisuras al afollar.   Y los pasos fueron los siguientes:</font></p>     <p><font size="2" face="Verdana">•&nbsp;&nbsp;&nbsp; Tomamos la primera zanahoria y la cortamos por la parte delgada, después con un taladro ahuecamos la   za­nahoria por la porción central.   Esta sirve para la parte resonante de la ocarina (Fig. 4a).</font></p>     ]]></body>
<body><![CDATA[<p><font size="2" face="Verdana">•&nbsp;&nbsp;&nbsp; Hacemos un pequeño orificio   cuadrangular en forma descendente en la parte central   de su superficie con ayuda de un cincel y   un estilete pequeño (Fig. 4b).</font></p>     <p><font size="2" face="Verdana">•&nbsp;&nbsp;&nbsp; Agarramos la segunda zanahoria y la cortamos de tal</font><font size="2" face="Verdana"><br clear=all> </font></p>     <p align=center><font size="2" face="Verdana">TABLA 3</font></p>     <p align=center><font size="2" face="Verdana"><img width=305 height=58 src="/img/revistas/rbf/v16n16/n16a8_image009.gif"></font></p>     <p><font size="2" face="Verdana">manera que pueda ingresar en la primera zanahoria   (Fig. 4c).</font></p>     <p><font size="2" face="Verdana">• Cortamos en la parte que se inserta en la primera za­nahoria un canal cuadrangular que permite el   flujo de aire (Fig. 4d).</font></p>     <p><font size="2" face="Verdana">Cuando pasamos al último paso, el tallado de los   orificios, tenemos que hacer uso del modelo (2) y la Tabla 1.</font></p>     <p><font size="2" face="Verdana">Reemplazamos   la frecuencia de la segunda nota (porque la primera la obtenemos sin necesidad   de orificios) en (2) y obtenemos el diámetro del   primer orificio, es decir, con <i>F = </i>775.2 se obtiene <i>D = </i>6.7<i>mm.</i></font></p>     <p><font size="2" face="Verdana">Para el segundo orificio debemos modificar (2)   porque si lo usáramos directamente obtendríamos el   área necesaria más el área del primer orificio   obteniendo datos que no nos sirven de   manera inmediata. Es por ello que usaremos:</font></p>     <p align="center"><font size="2" face="Verdana"><img width=288 height=33 src="/img/revistas/rbf/v16n16/n16a8_image010.jpg">          </p>   <br clear=ALL> </font><font size="2" face="Verdana">Donde <i>F </i>es la frecuencia requerida y <i>F<sub>0</sub> </i>es la frecuencia de la nota previa. Con este proceso obtenemos los diámetros re­queridos para las frecuencias de las notas   deseadas (Tabla 3). Se   puede deducir que esta escala tiene una tendencia a ori­ficio de <i>6mm. </i>Lamentablemente estas medidas no se pue­den conseguir a cabalidad porque se necesitaría algún instru­mento que pueda perforar con una exactitud de micrómetros</font></p>     ]]></body>
<body><![CDATA[<p><font size="2" face="Verdana">5.  PRUEBA DE SONIDO Y ANÁLISIS ESPECTRAL</font></p>     <p><font size="2" face="Verdana">Ya construida la ocarina ahora   pasamos a analizar su afi­nación, es decir, con un análisis   espectral observamos los pi­cos más altos de frecuencia frente a su amplitud.   Estos picos obtenidos gracias a las herramientas del software MATLAB 7.4.0 como la transformada rápida de   Fourier (FFT) nos di­cen su acercamiento a la nota musical que esperamos obte­ner.</font></p>     <p><font size="2" face="Verdana">Inicialmente de manera un tanto   obvia podemos asegurar que las notas más graves, de manera específica las tres pri­meras   notas (Fa, Sol y La# ) suenan mejor afinadas que las ultimas tres (Do, Re y   Fa), posiblemente por la variación en la octava a que corresponden. Pero más   específicamente se puede ver por las gráficas   obtenidas que se muestran en la Figs. 5 a 10, que las dos primeras notas tienen   una mayor precisión respecto al tono.</font></p>     <p><font size="2" face="Verdana">La frecuencia de la primera nota Fa de la cuarta octava (nuestra nota base) tuvo un rango de frecuencia   entre 660 <i>Hz </i>y 680 <i>Hz, </i>se acercó   bastante al resultado esperado, exacta­mente unos <i>9AHz </i>de diferencia   (Fig. 5).</font></p>     <p><font size="2" face="Verdana">En la segunda nota Sol (Fig. 6) se esperó   que diera <i>115.2Hz </i>y obtuvimos un rango entre <i>160Hz </i>y 780<i>Hz. </i>El re­sultado requerido se encuentra dentro de nuestro rango. Sin embargo,   se observa que el rango va en aumento.</font><font size="2" face="Verdana"><br clear=all>   </font></p>     <p align="center"><font size="2" face="Verdana"><img width=306 height=775 src="/img/revistas/rbf/v16n16/n16a8_image012.jpg">.</font></p>     <p align="center"><font size="2" face="Verdana"><img width=298 height=149 src="/img/revistas/rbf/v16n16/n16a8_image013.gif"></font></p>     <p><font size="2" face="Verdana">FlG. 9.— Esta gráfica   corresponde a la frecuencia de la quinta nota Re.</font></p>     <p><font size="2" face="Verdana"><br clear=all> </font><font size="2" face="Verdana">Los resultados de las   notas La sostenido y Do tienen una similitud   bastante interesante: Para la nota La sostenido cal­culamos una frecuencia de 918.8/fz, y en la Fig. 7 vemos</font></p>     <p align="center"><font size="2" face="Verdana"><img width=306 height=158 src="/img/revistas/rbf/v16n16/n16a8_image014.gif"></font></p>     ]]></body>
<body><![CDATA[<p><font size="2" face="Verdana">FlG. 10.— Esta gráfica corresponde a la frecuencia de la sexta   nota Fa.</font></p>     <p><font size="2" face="Verdana">que la mayor amplitud   se encuentra entre <i>900Hz </i>y <i>950Hz; </i>en la cuarta nota Do se calculó una frecuencia de 1033<i>.6Hzy </i>como se   muestra en la Fig. 8 se observa una mayor amplitud entre <i>1000Hz </i>y <i>1050Hz. </i>Las Figs. 7 y 8 muestran un inter­valo de mayor   amplitud, de <i>50Hz </i>y la frecuencia calculada está dentro de los rangos.</font></p>     <p><font size="2" face="Verdana">Cuando las notas de nuestra ocarina subieron a una   quinta octava el sonido   de las notas Re y Fa simplemente ya no se escuchó y esto se puede ver en la gran dispersión de las Figs. 9 y 10.</font></p>     <p align=center><font size="2" face="Verdana">6.  CONCLUSIONES</font></p>     <p><font size="2" face="Verdana">La   ocarina, y en especial esta ocarina hecha de un vege­tal muy común, tiene una cierta ventaja en la construcción pero una seria   desventaja de duración puesto que mientras el   tiempo se prolongue su sonido irá decayendo en claridad ya que la   boquilla se deshidrata cada vez más perdiendo el corte en el flujo que hace el sonido. Otro problema con este instrumento   es que, como explicamos en su construcción, la zanahoria que dirige el   flujo del aire tiene que caber exac­tamente sin dejar que escape el aire del   resonador, y por el mismo problema de la   deshidratación este va perdiendo vo-lumeny   cada vez deja escapar más aire, cambiando las notas y el tono del   instrumento.</font></p>     <p><font size="2" face="Verdana">Pero   al estar éste fresco, ésto es, aproximadamente unos dos días después de la inmediata construcción,   puede darnos sonidos muy claros, variados y afinados de la manera que se requiera. Si usamos notas que pertenezcan a la   cuarta o ter­cera octava obtendremos sonidos mucho más claros porque el instrumento hecho de zanahoria no alcanza   frecuencias tan altas demandadas   para la quinta octava en adelante.</font></p>     <p><font size="2" face="Verdana">Y se puede decir que este es el instrumento más senci­llo, de bajo costo y sorprendente, porque al no depender   de la resonancia, es decir, siendo su forma relevante a la hora de la construcción, se puede formar de materiales orgánicos</font><font size="2" face="Verdana">—aunque parezca humorístico— como pepinos manzanas o hasta muy difícilmente de huevo,   porque estos tienen un gran volumen y una gran versatilidad al momento de su cons­trucción.</font></p>     <p><font size="2" face="Verdana"><br clear=all> </font></p>     <p align="center"><font size="2" face="Verdana"><strong>REFERENCIAS</strong></font></p>     <!-- ref --><p><font size="2" face="Verdana">1.-  Halliday, R.   &amp; Krane. 1998, Física, vol. 1, cuarta ed. (CECSA)</font>&nbsp;&nbsp;&nbsp;&nbsp;&nbsp;&nbsp;&nbsp;&nbsp;[&#160;<a href="javascript:void(0);" onclick="javascript: window.open('/scielo.php?script=sci_nlinks&ref=225544&pid=S1562-3823201000010000800001&lng=','','width=640,height=500,resizable=yes,scrollbars=1,menubar=yes,');">Links</a>&#160;]<!-- end-ref --><a href=http://www.scielo.org.bo/cgi-bin/wxis.exe/iah/?IsisScript=iah/iah.xis&nextAction=lnk&base=article^dlibrary&indexSearch=AU&exprSearch=../bases-work/rbf/rbf&lang=>^rND^sHalliday^nR.</a><a href=http://www.scielo.org.bo/cgi-bin/wxis.exe/iah/?IsisScript=iah/iah.xis&nextAction=lnk&base=article^dlibrary&indexSearch=AU&exprSearch=../bases-work/rbf/rbf&lang=>^rND^nA. R.^sTicona Bustillos^rND^nG. M.^sRamírez Ávila</a><a href=http://www.scielo.org.bo/cgi-bin/wxis.exe/iah/?IsisScript=iah/iah.xis&nextAction=lnk&base=article^dlibrary&indexSearch=AU&exprSearch=../bases-work/rbf/rbf&lang=>^rND^nA. R.^sTicona Bustillos^rND^nG. M.^sRamírez Ávila</a><a href=http://www.scielo.org.bo/cgi-bin/wxis.exe/iah/?IsisScript=iah/iah.xis&nextAction=lnk&base=article^dlibrary&indexSearch=AU&exprSearch=../bases-work/rbf/rbf&lang=>^rND^nA. R^sTicona Bustillos^rND^nG. M^sRamírez Ávila</a><!DOCTYPE HTML PUBLIC "-//W3C//DTD HTML 4.0 Transitional//EN"            "http://www.w3.org/TR/REC-html40/loose.dtd"> <html>         <title> \uppercase{Condiciones de Sincronizaci\'{o}n en Dos P\'{e}ndulos Acoplados}\ \vspace{1em}{Sinchronization Conditions of Two Coupled Pendula}</title>       <p align="center"><font size="2" face="Verdana"> <font size="4"><strong>CONDICIONES DE SINCRONIZACI&#211;N EN DOS P&#201;NDULOS ACOPLADOS</strong></font></font></p>     <p align="center"><font size="2" face="Verdana"><br />   <br />   <strong><font size="3">Sinchronization Conditions of Two Coupled Pendula</font></strong></font></p>     <p>   <font size="2" face="Verdana">   <!----> </font></p>     <p align="center"><font size="2" face="Verdana"><strong>A. R. Ticona Bustillos<sup>1</sup>, G. M. Ram&#237;rez &#193;vila<sup>1,2</sup> </strong></font></p>     <p align="center"><strong><font size="2" face="Verdana"><font size="-1"><i>       <sup>1</sup>Instituto de Investigaciones F&#237;sicas, Universidad Mayor de San Andr&#233;s<br />   Casilla 8635, La Paz, Bolivia<br />   <sup>2</sup>AG Nichtlineare Dynamik (S) / Kardiovascul&#228;re Physik<br />   Institut f&#252;r Physik<br />   Humboldt-Universit&#228;t zu Berlin, Robert-Koch-Platz 4, 10115 Berlin, Alemania<br />   (<i>Recibido 5 de febrero de 2010; aceptado 7 de marzo de 2010</i>)</font></strong><font size="2" face="Verdana"></font></p> <font size="2" face="Verdana"></i></font></font>     <p>   <font size="2" face="Verdana">   <!---->   <!----> </font></p> <hr>     <p><font size="2" face="Verdana"> <strong>Abstract</strong></font></p>     <p><font size="2" face="Verdana">Based on a damped pendulum discrete model, we studied the synchronization conditions for two coupled pendula, varying both the pendula's features and coupling conditions. We found the basis for attraction in several situations in which the control parameters were fixed. Varying the control parameters (length, mass and damping coefficient), we found phase diagrams related to the initial conditions of one of the pendula; in these diagrams we identified synchronization regions. We emphasize the synchronization with a winding number &#961; &#8776; 1 (synchronization 1:1); nevertheless, other synchronization orders are possible (&#961; &#8800; 1).   <!----> </font></p>     <p><font size="2" face="Verdana"><i><b>Subject headings: </b></i>dynamical systems (non-linear)  -  synchronization  -  coupled oscillators   <!---->   <b>C&#243;digo(s) PACS: </b>05.45._a, 05.45.Xt</font></p>     ]]></body>
<body><![CDATA[<p><font size="2" face="Verdana">   <!---->   <b>Resumen<br />     </b><br />   Con base en un modelo discreto de p&#233;ndulo amortiguado, se estudian las    condiciones de sincronizaci&#243;n para dos p&#233;ndulos acoplados, variando    las caracter&#237;sticas propias de los p&#233;ndulos, as&#237; como    las condiciones de acoplamiento. Se encuentran las cuencas de    atracci&#243;n para diferentes situaciones en las que se fijan los    par&#225;metros de control. Variando los valores de los par&#225;metros    de control (longitud, masa y coeficiente de disipaci&#243;n), se    encuentran diagramas de fase relacionados con las condiciones    iniciales de uno de los p&#233;ndulos, mediante los cuales es posible    identificar regiones de sincronizaci&#243;n. Se hace &#233;nfasis en    la sincronizaci&#243;n 1:1 aunque sincronizaciones de otros &#243;rdenes    son tambi&#233;n posibles.   <!----> </font></p>     <p><font size="2" face="Verdana"><i><b>Descriptores: </b></i>sistemas din&#225;micos no-lineales  -  sincronizaci&#243;n  -  osciladores acoplados   <!----> </font></p> <hr>     <p><font size="2" face="Verdana"><strong><a name="tth_sEc1">   1</a>&nbsp;&nbsp;Introducci&#243;n</strong></font></p>     <p>   <font size="2" face="Verdana"> <!----> El fen&#243;meno de sincronizaci&#243;n es muy com&#250;n en la naturaleza y  muchos sistemas de diversa &#237;ndole exhiben este comportamiento [<a href="#1" name="CITE1">212003Strogatz</a>,<a href="#3" name="CITE3">172003Rosenblum &amp; Pikovsky</a>], destac&#225;ndose  entre ellos los sistemas biol&#243;gicos [<a href="#4" name="CITE4">42001Glass</a>], las reacciones qu&#237;micas [<a href="#5" name="CITE5">192003Shabunin et&nbsp;al.Shabunin, Astakhov, Demidov, Provata, Baras, Nicolis, &amp; Anishchenko</a>,<a href="#7" name="CITE7">32005Fukuda et&nbsp;al.Fukuda, Morimura, &amp; Kai</a>], los  circuitos electr&#243;nicos [<a href="#8" name="CITE8">91998Kittel et&nbsp;al.Kittel, Parisi, &amp; Pyragas</a>,<a href="#11" name="CITE11">132003  Ram&#237;rez&nbsp;&#193;vila <!--hbox--> et&nbsp;al.  Ram&#237;rez&nbsp;&#193;vila <!--hbox--> , Guisset, &amp; Deneubourg</a>], los l&#225;seres [<a href="#12" name="CITE12">181994Roy &amp; Thornburg</a>,<a href="#14" name="CITE14">112009L&#243;pez-Guti&#233;rrez et&nbsp;al.L&#243;pez-Guti&#233;rrez, Posadas-Castillo, L&#243;pez-Mancilla, &amp; Cruz-Hern&#225;ndez</a>] y por supuesto,  los p&#233;ndulos [<a href="#15" name="CITE15">71986Huygens</a>,<a href="#16" name="CITE16">202003Smith et&nbsp;al.Smith, Blackburn, &amp; Baker</a>] que desde el punto de vista hist&#243;rico,  constituye el primer sistema en el cual se observ&#243; sincronizaci&#243;n [<a href="#17" name="CITE17">61673Huygens</a>];  los p&#233;ndulos, a pesar de ser sistemas en apariencia simples  siguen concitando la atenci&#243;n y son sujetos de investigaci&#243;n  tanto desde el punto de vista te&#243;rico como experimental [<a href="#18" name="CITE18">22009Baker &amp; Blackburn</a>].  <!----> En este trabajo, nos abocamos a encontrar las condiciones de sincronizaci&#243;n  para dos p&#233;ndulos acoplados. Se sabe que para sistemas no lineales  disipativos, es posible la existencia de m&#225;s de un atractor,  por lo que diferentes condiciones iniciales pueden evolucionar  hacia cualquiera de los atractores coexistentes; as&#237;, el conjunto  de condiciones iniciales que se aproxima a un atractor, es llamado  la <i>cuenca de atracci&#243;n</i> de este atractor [<a href="#19" name="CITE19">81999Kapitaniak &amp; Bishop</a>]. En &#167;2 se  describe el modelo utilizado para estudiar el sistema de dos  p&#233;ndulos acoplados con disipaci&#243;n, en la primera parte de &#167;3 se  muestran diferentes cuencas de atracci&#243;n del sistema que nos  dan una idea de c&#243;mo obtener condiciones de sincronizaci&#243;n;  posteriormente, se muestran las regiones de sincronizaci&#243;n, que  pueden asociarse a las llamadas lenguas de Arnold (en el sentido  de que representan regiones de sincronizaci&#243;n de una manera  similar a la utilizada en [<a href="#2" name="CITE2">162001Pikovsky et&nbsp;al.Pikovsky, Rosenblum, &amp; Kurths</a>,<a href="#20" name="CITE20">122004  Ram&#237;rez&nbsp;&#193;vila <!--hbox--> </a>]<a href="#tthFtNtAAB" name="tthFrefAAB"><sup>1</sup></a>) para diferentes situaciones  en las que los par&#225;metros var&#237;an. Se dar&#225;n finalmente  en &#167;4 las conclusiones y las perspectivas de este trabajo. <!----> </font></p>     <p><font size="2" face="Verdana"><strong><a name="tth_sEc2">   2</a>&nbsp;&nbsp;Modelo</strong></font></p>     <p>   <font size="2" face="Verdana">   <!---->   Al igual que en [<a href="#21" name="CITE21">142008  Ticona&nbsp;Bustillos   <!--hbox--> &amp;   Ram&#237;rez&nbsp;&#193;vila <!--hbox-->   </a>], utilizamos el modelo discretizado de p&#233;ndulo y  lo adaptamos para la situaci&#243;n en la cual se tienen dos p&#233;ndulos  acoplados con disipaci&#243;n, cuyas ecuaciones est&#225;n dadas por: <br clear="all" /> </font></p> <table border="0" width="100%"><tr><td> <table border="0" cellspacing="0" cellpadding="0">  <tr><td width="50%"></td><td nowrap="nowrap" align="right" colspan="1"><table border="0" cellspacing="0" cellpadding="2"><tr><td nowrap="nowrap" align="left">    <font size="2" face="Verdana"><i>l</i> &#952;<sub><i>t</i> + 1</sub><sup>(1)</sup> </font></td></tr></table></td><td nowrap="nowrap" align="left"> <table border="0" cellspacing="0" cellpadding="2"><tr><td nowrap="nowrap" align="left"><font size="2" face="Verdana"> =</font></td></tr></table></td><td nowrap="nowrap" align="left"> <table border="0" cellspacing="0" cellpadding="2"><tr><td nowrap="nowrap" align="left">   <font size="2" face="Verdana">&#952;<sub><i>t</i></sub><sup>(1)</sup> + <i>b</i><sup>(1)</sup> ( &#952;<sub><i>t</i></sub><sup>(1)</sup> &#8722; &#952;<sub><i>t</i> &#8722; 1</sub><sup>(1)</sup> &#8722; <i>K</i><sup>(1)</sup> sin&#952;<sub><i>t</i></sub><sup>(1)</sup>  ) + </font></td><td nowrap="nowrap" align="center"> <font size="2" face="Verdana"><i>w</i></font> <hr noshade="noshade" size="1"/> <font size="2" face="Verdana"><i>m</i><sup>(1)</sup> <br /> </font></td><td nowrap="nowrap" align="center"><font size="2" face="Verdana"> sin&#952;<sub><i>t</i></sub><sup>(2)</sup> </font></td></tr></table></td><td width="50%"></td></tr>  <tr><td width="50%"></td><td nowrap="nowrap" align="right" colspan="1"><table border="0" cellspacing="0" cellpadding="2"><tr><td nowrap="nowrap" align="left">    <font size="2" face="Verdana">&#952;<sub><i>t</i> + 1</sub><sup>(2)</sup> </font></td></tr></table></td><td nowrap="nowrap" align="left"> <table border="0" cellspacing="0" cellpadding="2"><tr><td nowrap="nowrap" align="left"><font size="2" face="Verdana"> =</font></td></tr></table></td><td nowrap="nowrap" align="left"> <table><tr><td nowrap="nowrap" align="right" colspan="1"><font size="2" face="Verdana">&#952;<sub><i>t</i></sub><sup>(2)</sup> + <i>b</i><sup>(2)</sup> ( &#952;<sub><i>t</i></sub><sup>(2)</sup> &#8722; &#952;<sub><i>t</i> &#8722; 1</sub><sup>(2)</sup> &#8722; <i>K</i><sup>(2)</sup> sin&#952;<sub><i>t</i></sub><sup>(2)</sup>  ) + </font></td><td nowrap="nowrap" align="center"> <font size="2" face="Verdana"><i>w</i></font> <hr noshade="noshade" size="1"/> <font size="2" face="Verdana"><i>m</i><sup>(2)</sup> <br /> </font></td><td nowrap="nowrap" align="center"><font size="2" face="Verdana"> sin&#952;<sub><i>t</i></sub><sup>(1)</sup>  , </font></td></tr></table></td><td width="50%"></td><td width="1" align="right"><font size="2" face="Verdana">(1)</font></td></tr></table> </td></tr></table>        <p><font size="2" face="Verdana">donde los super&#237;ndices 1 y 2 identifican a cada uno de los p&#233;ndulos    acoplados<a href="#tthFtNtAAC" name="tthFrefAAC"><sup>2</sup></a> y <i>w</i> representa las condiciones de acoplamiento,    la cual contiene a la distancia de separaci&#243;n entre los p&#233;ndulos    y a la rigidez del material usado para acoplar los mismos; adem&#225;s:<br />      <br clear="all" /> </font></p> <table border="0" width="100%"><tr><td> <table align="center" cellspacing="0"  cellpadding="2"><tr><td nowrap="nowrap" align="center">   <font size="2" face="Verdana"><i>b</i><sup>(<i>i</i>)</sup> = </font></td><td nowrap="nowrap" align="center"><font size="2" face="Verdana"> 1   </font>     <hr noshade="noshade" size="1"/><table border="0" cellspacing="0" cellpadding="0"><tr><td nowrap="nowrap" align="center"><font size="2" face="Verdana"> 1 + </font></td><td nowrap="nowrap" align="center"> <font size="2" face="Verdana">&#955;<sup>(<i>i</i>)</sup></font> <hr noshade="noshade" size="1"/> <font size="2" face="Verdana"><i>m</i><sup>(<i>i</i>)</sup> <br /> </font></td><td nowrap="nowrap" align="center">   <font size="2" face="Verdana">&#8710;<i>t</i></font></td></tr></table></td><td nowrap="nowrap" align="center">     <font size="2" face="Verdana">&nbsp;&nbsp;&nbsp;y&nbsp;&nbsp;&nbsp; <i>K</i><sup>(<i>i</i>)</sup> = </font></td><td nowrap="nowrap" align="center"> <font size="2" face="Verdana"><i>g</i>&#8710;<i>t</i><sup>2</sup></font> <hr noshade="noshade" size="1"/> <font size="2" face="Verdana"><i>l</i><sup>(<i>i</i>)</sup> <br /> </font></td><td nowrap="nowrap" align="center">   <font size="2" face="Verdana">,</font></td></tr></table> </td><td width="1%"><font size="2" face="Verdana">(2)</font></td></tr></table>       <p><font size="2" face="Verdana">con <i>i</i> = 1, 2.    <!---->   <!---->   <a name="tth_fIg1">  </a> </font></p>     <center>       <p><font size="2" face="Verdana"><img src="/img/revistas/rbf/v17n1/v17n2a1f1.gif" alt="/img/revistas/rbf/v17n1/V17n2a1fi.gif" /></font></p>       ]]></body>
<body><![CDATA[<center>         <p><font size="2" face="Verdana">Figure 1: <a name="f1">       </a>Cuenca de atracci&#243;n para identificar las regiones        de sincronizaci&#243;n 1:1 (regiones oscuras) cuando la relaci&#243;n        de longitud de los p&#233;ndulos acoplados es <i>l</i><sub>2</sub> = 2<i>l</i><sub>1</sub> con <i>&#961;</i> = 1.0000 &#177; 0.0020.        Se observa una simetr&#237;a en la regi&#243;n de sincronizaci&#243;n        que nos lleva a interpretar que la sincronizaci&#243;n 1:1 es favorecida        cuando las condiciones iniciales son bastante diferentes.</font></p>   </center> </center>     <p>   <font size="2" face="Verdana">   <!---->   <!---->   <a name="tth_fIg2"></a> </font></p>     <center>       <p><font size="2" face="Verdana"><img src="/img/revistas/rbf/v17n1/v17n2a1f2.gif" alt="/img/revistas/rbf/v17n1/V17n2a1f2.gif" /></font></p>       <center>         <p><font size="2" face="Verdana">Figure 2: <a name="f2">       </a>Cuenca de atracci&#243;n delimitando las situaciones        en las que <i>&#961;</i> = 1.0000 &#177; 0.0001 (regi&#243;n oscura), cuando        se considera que las masas de las lentejas de los p&#233;ndulos        son de 0.050 kg y 1.000 kg respectivamente. La sincronizaci&#243;n        1:1 es favorecida cuando las condiciones iniciales de ambos p&#233;ndulos        tienen valores similares y con el mismo signo (extremos inferior        izquierdo y superior derecho), tienen valores similares con diferente        signo (regi&#243;n casi rectil&#237;nea con pendiente aproximada de        -1) o tienen valores diferentes pero con el mismo signo y con        la particularidad que uno de los p&#233;ndulos debe tener una condici&#243;n        inicial no muy lejana a cero (el resto de las regiones de sincronizaci&#243;n).</font></p>   </center> </center>     <p>   <font size="2" face="Verdana">   <!---->   Este modelo fue comparado con valores experimentales en [<a href="#21" name="CITE21">142008  Ticona&nbsp;Bustillos   <!--hbox--> &amp;   Ram&#237;rez&nbsp;&#193;vila <!--hbox-->   </a>],  dando muy buenos resultados, con lo que pudimos estudiar las  principales caracter&#237;sticas de transmisi&#243;n de movimiento  en funci&#243;n de las caracter&#237;sticas del sistema. Adem&#225;s, se  pudo verificar la fuerte dependencia de este sistema con las  condiciones iniciales y algunas caracter&#237;sticas de sincronizaci&#243;n,  las cuales estudiamos con m&#225;s detalle a continuaci&#243;n. <!----> </font></p>     <p><font size="2" face="Verdana"><strong><a name="tth_sEc3">   3</a>&nbsp;&nbsp;Resultados</strong></font></p>     <p>   <font size="2" face="Verdana"> <!----> Primeramente, se determinaron las cuencas de atracci&#243;n para  posibles situaciones en las cuales se pueden controlar ciertos  par&#225;metros, como la masa de la lenteja y la longitud del p&#233;ndulo,  la disipaci&#243;n y el factor de acoplamiento. Para el trabajo num&#233;rico,  se utiliz&#243; el valor de la aceleraci&#243;n debida a la gravedad  en La Paz: <i>g</i> = 9.775 m/s<sup>2</sup>; este valor ya fue utilizado en [<a href="#21" name="CITE21">142008  Ticona&nbsp;Bustillos <!--hbox--> &amp;   Ram&#237;rez&nbsp;&#193;vila <!--hbox--> </a>],  para comparar los resultados con medidas experimentales, las  cuales fueron realizadas en esta ciudad.  <!----> Analizamos el comportamiento de la relaci&#243;n <i>&#961;</i> <i>=</i> <i>T</i><sub>2</sub><i>/T</i><sub>1</sub> <i>=</i> 1 de  los per&#237;odos de los p&#233;ndulos, variando las condiciones iniciales  de los mismos. Esta consideraci&#243;n, nos permite identificar las  condiciones iniciales para las cuales es posible la sincronizaci&#243;n  1:1 entre los p&#233;ndulos. Tomamos condiciones iniciales desde  -0.7 hasta 0.7 rad. Nuestro primer estudio (Figs. 1-2) implica el  establecimiento de las regiones de sincronizaci&#243;n 1:1 (regiones  oscuras) de las que no siguen esta relaci&#243;n (regiones claras),  utilizando los siguientes valores para el factor resultante de  disipaci&#243;n y el factor de acoplamiento: <i>b</i><sup>(1)</sup> = <i>b</i><sup>(2)</sup> = 0.9999  y <i>w</i> = 1&times;10<sup>&#8722;6</sup> respectivamente. Cada punto mostrado en estas  figuras corresponde a un promedio de <i>&#961;</i> obtenido sobre las 50 &#250;ltimas  oscilaciones consideradas en las simulaciones para cada p&#233;ndulo. <!----> En la Fig. 1 mostramos un caso en el cual ambos p&#233;ndulos tienen  una masa de 0.0500 kg y los largos son de 1.00 m y 2.00 m, respectivamente.  Los puntos nos muestran los valores obtenidos para <i>&#961;</i> a partir de las diferentes condiciones iniciales, donde hacemos  la distinci&#243;n entre las regiones en las cuales se presenta  la sincronizaci&#243;n 1:1 (oscura) de las que no presentan esta  caracter&#237;stica (clara). Podemos observar que la regi&#243;n en  forma de cruz corresponde a las condiciones de sincronizaci&#243;n  1:1 ya que se obtienen valores de <i>&#961;</i> muy cercanos  a la unidad. Es interesante observar la simetr&#237;a en la Fig.  1, lo que nos indica por una parte que el conjunto de condiciones  iniciales que nos llevan a <i>&#961;</i> &#8776;  1 es bastante  reducido y por otra parte que para obtener esta situaci&#243;n,  las condiciones iniciales de ambos p&#233;ndulos deben ser muy pr&#243;ximas  a cero o en su defecto, uno de los p&#233;ndulos debe tener una  condici&#243;n inicial cercana a cero y el otro un &#225;ngulo inicial  considerable, situaci&#243;n que da lugar a que la regi&#243;n de sincronizaci&#243;n  1:1 se ensanche. Esto &#250;ltimo implica que es m&#225;s f&#225;cil alcanzar  una sincronizaci&#243;n 1:1 entre los p&#233;ndulos cuando uno de ello  empieza en el reposo relativo (&#952;<sub>0</sub> = 0) y el otro con  una amplitud grande.  <!----> <!----> <a name="tth_fIg3"></a> </font></p>     ]]></body>
<body><![CDATA[<center>       <p><font size="2" face="Verdana"><img src="/img/revistas/rbf/v17n1/v17n2a1f3.gif" alt="/img/revistas/rbf/v17n1/V17n2a1f3.gif" />        </font></p>       <center>         <p><font size="2" face="Verdana">Figure 3: <a name="f3">       </a> Cuenca de atracci&#243;n cuando <i>l</i><sub>1</sub> = <i>l</i><sub>2</sub>        = 1.00 m y <i>m</i><sub>1</sub> = <i>m</i><sub>2</sub> <i>=</i> 0.050 kg, fijando <i>b</i><sup>(1)</sup> = <i>b</i><sup>(2)</sup>        <i>=</i> 0.999 con &#961; = 1.0000 &#177; 0.0004 en las regiones        de sincronizaci&#243;n, las cuales presentan cierta simetr&#237;a        en el sentido que los p&#233;ndulos deben tener condiciones iniciales        de signo contrario cuando los &#225;ngulos iniciales son peque&#241;os.        Es notable tambi&#233;n el ensanchamiento de las regiones de sincronizaci&#243;n        a medida que se consideran condiciones iniciales mayores. Se        observa finalmente la aparici&#243;n de una nueva regi&#243;n de sincronizaci&#243;n        no sim&#233;trica para valores peque&#241;os del &#225;ngulo inicial del        p&#233;ndulo 2.</font></p>   </center> </center>     <p>   <font size="2" face="Verdana">   <!---->   <!---->   <a name="tth_fIg4"></a> </font></p>     <center>       <p><font size="2" face="Verdana"><img src="/img/revistas/rbf/v17n1/v17n2a1f4.gif" alt="/img/revistas/rbf/v17n1/V17n2a1f4.gif" />        </font></p>       <center>         <p><font size="2" face="Verdana">Figure 4: <a name="f4">       </a>Cuenca de atracci&#243;n para longitudes y masas iguales        para los p&#233;ndulos, con <i>b</i><sup>(1)</sup> = <i>b</i><sup>(2)</sup> =        0.9999, cuando se considera un factor de acoplamiento <i>w</i> = 5&times;10<sup>&#8722;6</sup>.        Las regiones de sincronizaci&#243;n oscuras  corresponden al valor  &#961; = 1.0000 &#177; 0.0021.        Existe una simetr&#237;a entre estas regiones y se nota que la        densidad de las mismas es mayor que en los anteriores casos.</font></p>   </center> </center>     <p>   <font size="2" face="Verdana"> <!----> Para los resultados de la Fig. 2 el largo de ambos p&#233;ndulos  es de 1.00 m y las masas son de 0.050 kg y 1.000 kg respectivamente.  En este caso, se observa que tambi&#233;n existe una simetr&#237;a  en las regiones de sincronizaci&#243;n 1:1,  donde se pueden resaltar  tres aspectos interesantes, a saber: (i) Los extremos inferior  izquierdo y superior derecho presentan una simetr&#237;a que implica  que las condiciones iniciales de ambos p&#233;ndulos deben tener  valores similares y del mismo signo. (ii) La regi&#243;n rectil&#237;nea  de pendiente negativa muestra que los p&#233;ndulos deben comenzar  cada uno en extremos opuestos para favorecer la sincronizaci&#243;n  1:1. (iii) Las otras regiones de sincronizaci&#243;n muestran que  los valores de las condiciones iniciales pueden ser bastante  diferentes pero deben tener el mismo signo y adem&#225;s uno de  los p&#233;ndulos debe comenzar con un &#225;ngulo peque&#241;o no muy  alejado de cero. <!----> En las Figs. 3 y 4 utilizamos valores iguales para los largos  y las masas de ambos p&#233;ndulos (<i>l</i><sub>1</sub> = <i>l</i><sub>2</sub> y <i>m</i><sub>1</sub>  = <i>m</i><sub>2</sub>), fijando el valor de <i>b</i><sup>(1)</sup> = b<sup>(2)</sup> = 0.999. En la Fig. 3, la densidad de regiones de sincronizaci&#243;n  1:1 es mayor, resaltando las regiones en las cuales los &#225;ngulos  iniciales deben ser peque&#241;os para ambos p&#233;ndulos y de diferente  signo (parte central), not&#225;ndose luego un ensanchamiento considerable  a medida que los &#225;ngulos iniciales son mayores; se observa  tambi&#233;n la aparici&#243;n de nuevas regiones de sincronizaci&#243;n  no sim&#233;tricas como la que aparece en la parte central y derecha  de la Fig. 3, en la cual, ambos &#225;ngulos iniciales tienen valores  positivos pero el del p&#233;ndulo 2 puede permanecer cercano a  cero, en tanto que el del p&#233;ndulo 1 puede crecer linealmente. <!----> Finalmente, en la Fig. 4 fijamos el factor de acoplamiento en <i>w</i> =  5&times;10<sup>&#8722;6</sup>. La distribuci&#243;n de las regiones de sincronizaci&#243;n  es parecida a la de la Fig.&nbsp;3 pero estas regiones se ensanchan,  lo que nos lleva a pensar que gracias al mayor acoplamiento entre  los p&#233;ndulos, la sincronizaci&#243;n 1:1 se ve favorecida. Nuevamente,  la l&#243;gica de condiciones iniciales de la misma magnitud pero  de signos contrarios son las que llevan a la sincronizaci&#243;n  1:1; sin embargo, como se se&#241;al&#243; anteriormente, existe un  aumento notorio de estas regiones con una tendencia a ocupar  gran parte del plano &#952;<sub>02</sub> vs. &#952;<sub>01</sub>. Tambi&#233;n  se pueden observar manchas difusas representando regiones de  sincronizaci&#243;n 1:1 lo que muestra una vez m&#225;s la tendencia que tienen las  regiones de sincronizaci&#243;n a hacerse m&#225;s extensas, m&#225;xime  si el factor de acoplamiento aumenta su valor. <!----> A continuaci&#243;n, se estudian la sincronizaci&#243;n cuando se hacen  variar un par&#225;metro de control y las condiciones iniciales  del segundo p&#233;ndulo, fijando los valores del primer p&#233;ndulo  en: <i>m</i><sub>1</sub> <i>=</i> 0<i>.</i>050 kg y <i>l</i><sub>1</sub> <i>=</i> 1.00 m, siendo la  condici&#243;n inicial del primer p&#233;ndulo  en todos los casos &#952;<sub>01</sub> = 0.5 rad. De esta manera, se obtienen las regiones que guardan  similitud con las lenguas de Arnold como se mencion&#243; anteriormente,  por lo que se utilizar&#225; en lo sucesivo esta terminolog&#237;a. <!----> <!----> <a name="tth_fIg5"></a> </font></p>     ]]></body>
<body><![CDATA[<center>       <p><font size="2" face="Verdana"><img src="/img/revistas/rbf/v17n1/v17n2a1f5.gif" alt="/img/revistas/rbf/v17n1/V17n2a1f5.gif" />        </font></p>       <center>         <p><font size="2" face="Verdana">Figure 5: <a name="f5">       </a> (Color online) Plano de fases <i>l</i><sub>2</sub> vs. &#952;<sub>02</sub> para el cual se muestra la lengua de Arnold correspondiente a &#961; =        1.0000 &#177; 0.0289 (regi&#243;n oscura identificada con 1),        cuando <i>m</i><sub>1</sub> <i>= m</i><sub>2</sub> = 0.050 kg. Las otras regiones        que se identifican con 0, 2-7 corresponden a zonas en las que        se pueden encontrar otros &#243;rdenes de sincronizaci&#243;n con &#961;        = (0,1), &#961; = (1,2), ...  , &#961; = (6,7). Es claro        que en estos intervalos, &#961;  &#8834;  <i>P</i><sup>+</sup> por lo        que no s&#243;lo existen regiones de sincronizaci&#243;n sino tambi&#233;n        cuasi-periodicidades y caos. </font></p>   </center> </center>     <p>   <font size="2" face="Verdana">   <!---->   <!---->   <a name="tth_fIg6"></a> </font></p>     <center>       <p><font size="2" face="Verdana"><img src="/img/revistas/rbf/v17n1/v17n2a1f6.gif" alt="/img/revistas/rbf/v17n1/V17n2a1f6.gif" />        </font></p>       <center>         <p><font size="2" face="Verdana">Figure 6: <a name="f6">       </a> (Color online) Plano de fases <i>l</i><sub>2</sub> vs. &#952;<sub>02</sub> para el cual se muestra la lengua de Arnold correspondiente a &#961; =        1.0000 &#177; 0.0201 (regi&#243;n oscura identificada con 1),        cuando <i>m</i><sub>1</sub> = 5<i>m</i><sub>2</sub> = 0.050 kg. Las regiones identificadas        con los n&#250;meros 0, 2, 3, 4 y 5 corresponden a regiones en las        cuales &#961; = (0,1), &#961; = (1,2), &#961; = (2,3), &#961;        = (3,4) y &#961; = (4,5) respectivamente. Se nota el desplazamiento        del eje de simetr&#237;a hacia la izquierda (&#952;<sub>02</sub>        <tt>&lt;</tt> 0), lo que repercute en el hecho que la regi&#243;n 5 s&#243;lo        se presente en la parte derecha del plano. Las regiones blancas        en forma de "dedos" al interior de la lengua de Arnold es posible        que sean el resultado de los errores del c&#225;lculo num&#233;rico        pues si se considera un intervalo ligeramente mayor para el valor        de &#961; de la lengua de Arnold, estas desaparecen.</font></p>   </center> </center>     <p>   <font size="2" face="Verdana">   <!---->   <!---->   <a name="tth_fIg7"></a> </font></p>     ]]></body>
<body><![CDATA[<center>       <p><font size="2" face="Verdana"><img src="/img/revistas/rbf/v17n1/v17n2a1f7.gif" alt="f7.gif" />        </font></p>       <center>         <p><font size="2" face="Verdana">Figure 7: <a name="f7">       </a>Plano de fases <i>m</i><sub>2</sub> vs. &#952;<sub>02</sub> para el        cual se muestra la lengua de Arnold correspondiente a. &#961; = 1.0000 &#177; 0.0005        (regi&#243;n oscura identificada con 1), cuando <i>l</i><sub>1</sub> = <i>l</i><sub>2</sub> = 1.00 m. Se evidencia la presencia de regiones para &#961;        = (0,1) y &#961; = (1,2), (regiones identificadas con 0 y        2) aunque muchas de las regiones, sobre todo las identificadas        con 0, en realidad pueden ser consideradas como parte de la lengua        de Arnold <i>&#961;</i> &#8776;  1 puesto que la precisi&#243;n        num&#233;rica es mayor a la que se puede obtener experimentalmente. </font></p>   </center> </center>     <p>   <font size="2" face="Verdana"> <!----> En primer lugar tomamos en cuenta la variaci&#243;n del largo del  segundo p&#233;ndulo, consideramos valores desde 0.10 m hasta 50.00  m, la masa de la lenteja de este p&#233;ndulo es mantenida en 0.050 kg. En  las  Figs. 5-11, se muestran las regiones equivalentes a las lenguas  de Arnold, donde nos concentramos en la regi&#243;n con <i>&#961;</i> &#8776;   1, aunque, otras regiones con otros &#243;rdenes de sincronizaci&#243;n  pueden estar tambi&#233;n presentes. En la Fig. 5, se muestra el  diagrama de fase <i>l</i><sub>2</sub> vs. &#952;<sub>02</sub>, en el cual aparece  claramente la lengua de Arnold con <i>&#961;</i> &#8776;  1  (regi&#243;n oscura identificada con el n&#250;mero 1). Adem&#225;s, se  identifican regiones en las que &#961; toma valores comprendidos  en los intervalos (0,1), (1,2), ...  , (6,7) que se identifican  con los n&#250;meros 0, 2, ... . , 7 respectivamente. Es interesante  notar que estas regiones, en general, est&#225;n bien definidas  y son sim&#233;tricas respecto de la situaci&#243;n en la cual &#952;<sub>02</sub>  = 0.   <!----> Modificando el valor del coeficiente de disipaci&#243;n, no se notan  cambios apreciables, pero cambiando el valor de la masa del segundo  p&#233;ndulo, por ejemplo a 0.010 kg, constatamos que la lengua de  Arnold para <i>&#961;</i> &#8776;  1 es m&#225;s extensa que en  el caso de masas iguales de las lentejas de ambos p&#233;ndulos,  como se puede observar en la Fig. 6. Adem&#225;s, se constata que  la simetr&#237;a existente en el caso anterior (Fig. 5) se rompe  y se podr&#237;a pensar que el eje de simetr&#237;a ya no pasa por &#952;<sub>02</sub> = 0, sino que est&#225; desplazado a la izquierda del plano (&#952;<sub>02</sub>  <tt>&lt;</tt> 0). Como en el anterior caso, se identifican otras regiones  en las cuales &#961; = (0,1), &#961; = (1,2), ...  , &#961;  = (4,5), identificando las mismas con los n&#250;meros 0, 2, ...   , 5 respectivamente, siendo &#961; real y positivo lo que  puede dar lugar a regiones en las cuales el comportamiento de  los p&#233;ndulos es peri&#243;dico, cuasi-peri&#243;dico o ca&#243;tico.  Un aspecto interesante es la aparici&#243;n de regiones claras al  interior de la lengua de Arnold; en principio, esto significar&#237;a  que regiones con <i>&#961;</i> <tt>&lt;</tt> 1 rompen la simetr&#237;a  de la lengua de Arnold: Sin embargo, estas regiones en particular  si bien poseen <i>&#961;</i> <tt>&lt;</tt> 1, este valor es muy cercano  a 1 por lo que se podr&#237;a pensar que los errores propios del  c&#225;lculo num&#233;rico hacen que no se consideren estas regiones  en el intervalo elegido para &#961;. Otro aspecto a resaltar  es la aparici&#243;n de una peque&#241;a regi&#243;n &#961; = (4,5)  s&#243;lo en la parte derecha del plano; esto se justifica f&#225;cilmente  por el hecho de la ruptura de simetr&#237;a referida l&#237;neas arriba. <!----> Ahora, fijando <i>l</i><sub>1</sub> = <i>l</i><sub>2</sub> = 1.00 m y variando  el valor de <i>m</i><sub>2</sub>, podemos observar en la Fig. 7 que la  lengua de Arnold para <i>&#961;</i> &#8776;  1 ya no tiene  una estructura sencilla como era el caso en las Figs. 5-6 y ocupa  varias regiones del plano, el cual contiene tambi&#233;n regiones  con &#961; = (0,1) y &#961; = (1,2). Nuevamente, nuestros  resultados son conservadores en cuanto a la regi&#243;n de sincronizaci&#243;n  1:1 puesto que la precisi&#243;n num&#233;rica que se considera supera  la precisi&#243;n que se podr&#237;a tener en las mediciones experimentales,  por lo que es posible que las regiones de sincronizaci&#243;n 1:1  ocupen una extensi&#243;n mayor en el plano de fases <i>m</i><sub>2</sub> vs. &#952;<sub>02</sub>.  Por otra parte, es interesante notar que en la zona en la cual <i>m</i><sub>2</sub>  &#8776;  <i>m</i><sub>1</sub>,  se tiene una tendencia a que la regi&#243;n de sincronizaci&#243;n  est&#233; presente casi para todos los valores de &#952;<sub>02</sub>,  lo que en cierta manera confirma los resultados obtenidos en  la Fig. 3.  <!----> <!----> <a name="tth_fIg8"></a> </font></p>     <center>       <p><font size="2" face="Verdana"><img src="/img/revistas/rbf/v17n1/v17n2a1f8.gif" alt="/img/revistas/rbf/v17n1/V17n2a1f8.gif" />        </font></p>       <center>         <p><font size="2" face="Verdana">Figure 8: <a name="f8">       </a>Plano de fases <i>m</i><sub>2</sub> vs. &#952;<sub>02</sub> para        el cual se muestra la lengua de Arnold correspondiente a. &#961; =        1.0000 &#177; 0.0006 (regi&#243;n oscura identificada con 1),        cuando <i>l</i><sub>2</sub> = 2<i>l</i><sub>1</sub> = 2.00 m. Tambi&#233;n existen        regiones en las cuales, &#961; = (0,1) y &#961; = (1,2),        (regiones identificadas con 0 y 2), pero al igual que en los        anteriores casos, &#961; = (0,1) puede ser absorbida por la        regi&#243;n de sincronizaci&#243;n 1:1.<br />      </font></p>   </center> </center>     <p>   <font size="2" face="Verdana">   <!---->   En cambio si <i>l</i><sub>2</sub> = 2<i>l</i><sub>1</sub> = 2.00 m, la lengua de  Arnold en el plano <i>m</i><sub>2</sub> vs. &#952;<sub>02</sub> es muy peque&#241;a,  como se ve en la Fig. 8. Es claro que la mayor parte del plano  corresponde a valores &#961; = (1,2) por lo que en estas regiones  bien podr&#237;an haber sincronizaciones de otros &#243;rdenes, cuasi-periodicidades  o caos. Se observa tambi&#233;n que cuando <i>m</i><sub>2</sub> &#8594;  <i>m</i><sub>1</sub>,  las &#250;nicas condiciones iniciales &#952;<sub>02</sub> que preservan  la sincronizaci&#243;n 1:1 son aquellas en las que &#952;<sub>02</sub> &#8594;   0, en concordancia con los resultados de la Fig. 1. Los anteriores  resultados indican que tanto la masa de la lenteja como la longitud  del p&#233;ndulo juegan papeles importantes en la sincronizaci&#243;n  de los dos p&#233;ndulos acoplados. <!----> De igual manera podemos analizar la sincronizaci&#243;n en funci&#243;n  del factor de acoplamiento. En la Fig. 9 se nota que para valores  peque&#241;os del factor de acoplamiento, existe sincronizaci&#243;n  casi para todas las condiciones iniciales, en cambio para valores  grandes de dicho factor, la sincronizaci&#243;n parece desaparecer  dando lugar a una "granularidad" en la que se tienen valores  de &#961; = (0,2). En la Fig. 9, se consideraron masas de  las lentejas de los p&#233;ndulos iguales pero no las longitudes  de los mismos; sin embargo, el comportamiento cuando se tiene <i>l</i><sub>1</sub>  = <i>l</i><sub>2</sub> no se modifica sustancialmente.  <!----> Finalmente, si variamos el valor del coeficiente de disipaci&#243;n &#955;  <i>=</i> &#955;<sup>(1)</sup> <i>=</i> &#955;<sup>(2)</sup> tenemos que  para p&#233;ndulos con las mismas caracter&#237;sticas (<i>l</i><sub>1</sub> = <i>l</i><sub>2</sub>  y <i>m</i><sub>1</sub> <i>= m</i><sub>2</sub>), la regi&#243;n de sincronizaci&#243;n  1:1, abarca casi todo el plano de fases, como se puede observar  en la Fig. 10. Regiones con &#961; = (0,1) y &#961; = (1,2)  est&#225;n tambi&#233;n presentes en el plano pero al igual que en  los anteriores casos, las regiones con &#961; = (0,1), en  general pueden ser absorbidas por las regiones de sincronizaci&#243;n  1:1, lo que aumentar&#237;a a&#250;n m&#225;s la densidad de regiones  con &#961;  &#8776;  1. Otro aspecto interesante es el referido  a los valores elevados de &#955;, para los cuales, la sincronizaci&#243;n  se pierde; esto est&#225; en relaci&#243;n con el hecho de que cuando  la disipaci&#243;n es muy grande, los p&#233;ndulos tienden a volver  a su situaci&#243;n de reposo relativo y las medidas de comportamiento  s&#237;ncrono de los p&#233;ndulos ya no es posible hacerlas con un  transientes adecuado. <!----> <!----> <a name="tth_fIg9"></a> </font></p>     ]]></body>
<body><![CDATA[<center>       <p><font size="2" face="Verdana"><img src="/img/revistas/rbf/v17n1/v17n2a1f9.gif" alt="/img/revistas/rbf/v17n1/V17n2a1f9.gif" />        </font></p>       <center>         <p><font size="2" face="Verdana">Figure 9: <a name="f9">       </a>Plano de fases <i>w</i> vs. &#952;<sub>02</sub> para        el cual se muestra la lengua de Arnold correspondiente a.  &#961; =        1.0000 &#177; 0.0248 (regi&#243;n oscura identificada con 1),        cuando <i>l</i><sub>2</sub> = 2<i>l</i><sub>1</sub> = 2.00 m y <i>m</i><sub>1</sub> <i>=          m</i><sub>2</sub> = 0.050 kg. La regi&#243;n de sincronizaci&#243;n 1:1 est&#225;        bien definida para valores <i>w</i> &#8776;  5x10<sup>&#8722;6</sup>; para valores        mayores, ya no se encuentra una regi&#243;n bien definida para la        sincronizaci&#243;n 1:1 y se tiene una especie de "granularidad"        con valores para &#961; comprendidos en el intervalo (0,2).<br />     </font></p>   </center> </center>     <p>   <font size="2" face="Verdana"> <!----> En cambio si las longitudes de los p&#233;ndulos son diferentes,  la regi&#243;n de sincronizaci&#243;n 1:1 se reduce dr&#225;sticamente,  como se puede observar en la Fig. 11. Trabajando con &#961; =  1.0000 &#177; 0.0013 se observa que la lengua cerca de la parte central contiene  regiones blancas y grises que en principio significan valores  de &#961; = (0,1) y &#961; = (1,2) respectivamente; sin  embargo, si se considera &#961; = 1.0000 &#177; 0.0097,  estas regiones desaparecen de la lengua, la cual queda bien definida y adem&#225;s,  la regi&#243;n correspondiente a valores elevados del coeficiente  de disipaci&#243;n considerados en el plano, pasa a ser considerada  como regi&#243;n de sincronizaci&#243;n 1:1. En este &#250;ltimo caso,  se puede pensar tambi&#233;n que el hecho de trabajar con valores  elevados del factor de disipaci&#243;n &#955;, no permite cuantificar  adecuadamente las oscilaciones tal como se explic&#243; para la  Fig. 10. El hecho que la regi&#243;n de sincronizaci&#243;n 1:1 sea  relativamente peque&#241;a concuerda con los anteriores resultados  para situaciones en las que <i>l</i><sub>1</sub> &#8800; <i>l</i><sub>2</sub> (Figs.  1 y 8), en las cuales se tiene la misma situaci&#243;n; sin embargo,  no se debe olvidar los resultados mostrados en las Figs. 5 y  6 en las cuales, el intervalo de condiciones iniciales &#952;<sub>02</sub> que  conducen a la sincronizaci&#243;n 1:1 crece con la longitud <i>l</i><sub>2</sub>.  <!----> </font></p>     <p><font size="2" face="Verdana"><strong><a name="tth_sEc4">   4</a>&nbsp;&nbsp;Conclusiones y Perspectivas</strong></font></p>     <p>   <font size="2" face="Verdana"> <!----> Se determinaron las cuencas de atracci&#243;n para varios valores  de par&#225;metros, pudi&#233;ndose observar que las mismas presentan  diferentes formas seg&#250;n el valor que toman los par&#225;metros.  Nos concentramos en las condiciones iniciales de los p&#233;ndulos  para las que puede existir sincronizaci&#243;n 1:1. <!----> <!----> <a name="tth_fIg10"></a> </font></p>     <center>       <p><font size="2" face="Verdana"><img src="/img/revistas/rbf/v17n1/v17n2a1f10.gif" alt="/img/revistas/rbf/v17n1/V17n2a1f10.gif" />        </font></p>       <center>         ]]></body>
<body><![CDATA[<p><font size="2" face="Verdana">Figure 10: <a name="f10">       </a>Plano de fases &#955; vs. &#952;<sub>02</sub> para        el cual se muestra la lengua de Arnold correspondiente a. &#961; =        1.0000 &#177; 0.0006 (regi&#243;n oscura identificada con 1),        cuando <i>l</i><sub>2</sub> = <i>l</i><sub>1</sub> = 1.00 m y <i>m</i><sub>1</sub> <i>=          m</i><sub>2</sub> = 0.050 kg. Otras regiones con &#961; = (0,1) y &#961;        = (1,2) aparecen pero es notable la predominancia de la regi&#243;n        de sincronizaci&#243;n 1:1. En la parte superior del plano (valores        elevados de &#955;, existe una regi&#243;n en la que &#961;  &#8776;         (0.96,1) </font></p>   </center> </center>     <p>   <font size="2" face="Verdana">   <!---->   <!---->   <a name="tth_fIg11"></a> </font></p>     <center>       <p><font size="2" face="Verdana"><img src="/img/revistas/rbf/v17n1/v17n2a1f11.gif" alt="/img/revistas/rbf/v17n1/V17n2a1f11.gif" />        </font></p>       <center>         <p><font size="2" face="Verdana">Figure 11: <a name="f11">       </a>Plano de fases &#955; vs. &#952;<sub>02</sub> para el cual se muestra la lengua de Arnold correspondiente a. &#961; =        1.0000 &#177; 0.0013 (regi&#243;n oscura identificada con 1),        cuando las longitudes de los p&#233;ndulos son diferentes: <i>l</i><sub>2</sub> =        2<i>l</i><sub>1</sub> = 2.00 m y <i>m</i><sub>1</sub> <i>= m</i><sub>2</sub> = 0.050 kg.        Las regiones blancas y grises que aparecen sobre la lengua, as&#237;        como la regi&#243;n blanca en la parte superior, son regiones con &#961;  &#8776;         1 pero con menor precisi&#243;n de la establecida al principio;        por lo que se espera que sean parte de la lengua con sincronizaci&#243;n        1:1. </font></p>   </center> </center>     <p>   <font size="2" face="Verdana"> <!----> Se han identificado las regiones de sincronizaci&#243;n para  varias condiciones de los p&#233;ndulos, en funci&#243;n a las condiciones  iniciales del p&#233;ndulo 2. Si bien nos abocamos a la determinaci&#243;n  de la sincronizaci&#243;n de orden 1:1, es claro que  existen otros &#243;rdenes de sincronizaci&#243;n. Adem&#225;s, como  se tienen valores de &#961;&nbsp; &#8834; <i>P</i><sup><b>+</b></sup>,  pueden existir tambi&#233;n comportamientos cuasi peri&#243;dicos y  ca&#243;ticos. <!----> Se puede observar que la longitud y la masa de los p&#233;ndulos  ejercen una gran influencia en la sincronizaci&#243;n. <!----> Se ve claramente en todos los casos estudiados, la importancia  de la precisi&#243;n num&#233;rica con la que se trabaja y su relaci&#243;n  con la exactitud que se puede lograr en mediciones experimentales. <!----> A partir de estos resultados, podemos analizar cuasi periodicidades, diagramas  de bifurcaci&#243;n, rutas hacia el caos, en las regiones donde no  existe sincronizaci&#243;n. <!----> Evidentemente, este modelo es susceptible a ampliarse a m&#225;s  de dos p&#233;ndulos lo que constituye la continuaci&#243;n natural  de esta investigaci&#243;n. <!----> Una parte importante de nuestra investigaci&#243;n es trabajar tanto  con mediciones experimentales como con modelos que justamente  son validados por estas mediciones. Si bien, por el momento se  tienen concordancias importantes entre los resultados experimentales  con los obtenidos a partir del modelo, no se descarta para el  futuro considerar el sistema de ecuaciones diferenciales para  describir el sistema de p&#233;ndulos acoplados. <!----> Finalmente, se pretende que este tipo de trabajos pueda a posteriori  encontrar su aplicaci&#243;n tambi&#233;n en aspectos acad&#233;micos  y did&#225;cticos, tal como ocurri&#243; con la primera parte de nuestra  investigaci&#243;n con p&#233;ndulos [<a href="#22" name="CITE22">152010  Ticona&nbsp;Bustillos <!--hbox--> &amp;   Ram&#237;rez&nbsp;&#193;vila <!--hbox--> </a>].  <!----> </font></p>     <p><font size="2" face="Verdana"><strong>Agradecimientos</strong></font></p>     <p>   <font size="2" face="Verdana"> <!----> Agradecemos los valiosos comentarios de los &#225;rbitros de la  revista, gracias a los cuales pudimos expresar con mayor claridad  las ideas de este trabajo. GMRA agradece al Deutscher Akademischer  Austausch Dienst (DAAD) por la beca de investigaci&#243;n otorgada. <!----> </font></p>     <p>&nbsp;</p>     ]]></body>
<body><![CDATA[<p><font size="2" face="Verdana"><strong>References</strong></font></p> <dl compact="compact">      <dt><font size="2" face="Verdana"><a href="#CITE9" name="9">[12002Bai et&nbsp;al.Bai, Lonngren, &amp; Sprott]</a></font></dt><dd>        <!-- ref --><p><font size="2" face="Verdana"> 1.- Bai, E.-W., Lonngren, K.&nbsp;E., &amp; Sprott, J.&nbsp;C. 2002, Chaos, Solitons &amp;      Fractals, 13, 1515       <!---->    </font>&nbsp;&nbsp;&nbsp;&nbsp;&nbsp;&nbsp;&nbsp;&nbsp;[&#160;<a href="javascript:void(0);" onclick="javascript: window.open('/scielo.php?script=sci_nlinks&ref=225633&pid=S1562-3823201000010000100001&lng=','','width=640,height=500,resizable=yes,scrollbars=1,menubar=yes,');">Links</a>&#160;]<!-- end-ref --><dt><font size="2" face="Verdana"><a href="#CITE18" name="18">[22009Baker &amp; Blackburn]</a></font></dt><dd>        <!-- ref --><p><font size="2" face="Verdana"> 2.- Baker, J.&nbsp;L. &amp; Blackburn, J.&nbsp;L. 2009, The Pendulum: A Case Study in Physics      (Oxford: Oxford University Press)       <!---->    </font>&nbsp;&nbsp;&nbsp;&nbsp;&nbsp;&nbsp;&nbsp;&nbsp;[&#160;<a href="javascript:void(0);" onclick="javascript: window.open('/scielo.php?script=sci_nlinks&ref=225635&pid=S1562-3823201000010000100002&lng=','','width=640,height=500,resizable=yes,scrollbars=1,menubar=yes,');">Links</a>&#160;]<!-- end-ref --><dt><font size="2" face="Verdana"><a href="#CITE7" name="7">[32005Fukuda et&nbsp;al.Fukuda, Morimura, &amp; Kai]</a></font></dt><dd>        <!-- ref --><p><font size="2" face="Verdana"> 3.- Fukuda, H., Morimura, H., &amp; Kai, S. 2005, Physica D: Nonlinear Phenomena, 205,      80       <!---->    </font>&nbsp;&nbsp;&nbsp;&nbsp;&nbsp;&nbsp;&nbsp;&nbsp;[&#160;<a href="javascript:void(0);" onclick="javascript: window.open('/scielo.php?script=sci_nlinks&ref=225637&pid=S1562-3823201000010000100003&lng=','','width=640,height=500,resizable=yes,scrollbars=1,menubar=yes,');">Links</a>&#160;]<!-- end-ref --><dt><font size="2" face="Verdana"><a href="#CITE4" name="4">[42001Glass]</a></font></dt><dd>        <!-- ref --><p><font size="2" face="Verdana">      4.- Glass, L. 2001, Nature, 410, 277             <!---->    </font>&nbsp;&nbsp;&nbsp;&nbsp;&nbsp;&nbsp;&nbsp;&nbsp;[&#160;<a href="javascript:void(0);" onclick="javascript: window.open('/scielo.php?script=sci_nlinks&ref=225639&pid=S1562-3823201000010000100004&lng=','','width=640,height=500,resizable=yes,scrollbars=1,menubar=yes,');">Links</a>&#160;]<!-- end-ref --><dt><font size="2" face="Verdana"><a href="#CITE10" name="10">[52003Grosu]</a></font></dt><dd>        ]]></body>
<body><![CDATA[<!-- ref --><p><font size="2" face="Verdana">      5.- Grosu, I. 2003, Master-slave synchronization and control of chaotic Sprott      circuit (11th International IEEE Workshop on Nonlinear Dynamics of Electronic      Systems, Scuol/Schuls, Switzerland)             <!---->    </font>&nbsp;&nbsp;&nbsp;&nbsp;&nbsp;&nbsp;&nbsp;&nbsp;[&#160;<a href="javascript:void(0);" onclick="javascript: window.open('/scielo.php?script=sci_nlinks&ref=225641&pid=S1562-3823201000010000100005&lng=','','width=640,height=500,resizable=yes,scrollbars=1,menubar=yes,');">Links</a>&#160;]<!-- end-ref --><dt><font size="2" face="Verdana"><a href="#CITE17" name="17">[61673Huygens]</a></font></dt><dd>        <!-- ref --><p><font size="2" face="Verdana">      6.- Huygens, C. 1673, Horologium Oscillatorium (Paris: Apud F. Muguet)             <!---->    </font>&nbsp;&nbsp;&nbsp;&nbsp;&nbsp;&nbsp;&nbsp;&nbsp;[&#160;<a href="javascript:void(0);" onclick="javascript: window.open('/scielo.php?script=sci_nlinks&ref=225643&pid=S1562-3823201000010000100006&lng=','','width=640,height=500,resizable=yes,scrollbars=1,menubar=yes,');">Links</a>&#160;]<!-- end-ref --><dt><font size="2" face="Verdana"><a href="#CITE15" name="15">[71986Huygens]</a></font></dt><dd>        <!-- ref --><p><font size="2" face="Verdana">      7.- -. 1986, The pendulum clock or geometrical demonstrations concerning the      motion of pendula as applied to clocks (Iowa: Ames, Iowa : Iowa State      University Press)             <!---->    </font>&nbsp;&nbsp;&nbsp;&nbsp;&nbsp;&nbsp;&nbsp;&nbsp;[&#160;<a href="javascript:void(0);" onclick="javascript: window.open('/scielo.php?script=sci_nlinks&ref=225645&pid=S1562-3823201000010000100007&lng=','','width=640,height=500,resizable=yes,scrollbars=1,menubar=yes,');">Links</a>&#160;]<!-- end-ref --><dt><font size="2" face="Verdana"><a href="#CITE19" name="19">[81999Kapitaniak &amp; Bishop]</a></font></dt><dd>        <!-- ref --><p><font size="2" face="Verdana"> 8.- Kapitaniak, T. &amp; Bishop, S.&nbsp;R. 1999, The Illustrated Dictionary of Nonlinear      Dynamics and Chaos Chichester (John Wiley &amp; Sons, Inc.)      <!---->    </font>&nbsp;&nbsp;&nbsp;&nbsp;&nbsp;&nbsp;&nbsp;&nbsp;[&#160;<a href="javascript:void(0);" onclick="javascript: window.open('/scielo.php?script=sci_nlinks&ref=225647&pid=S1562-3823201000010000100008&lng=','','width=640,height=500,resizable=yes,scrollbars=1,menubar=yes,');">Links</a>&#160;]<!-- end-ref --><dt><font size="2" face="Verdana"><a href="#CITE8" name="8">[91998Kittel et&nbsp;al.Kittel, Parisi, &amp; Pyragas]</a></font></dt><dd>        <!-- ref --><p><font size="2" face="Verdana"> 9.- Kittel, A., Parisi, J., &amp; Pyragas, K. 1998, Physica D: Nonlinear Phenomena,      112, 459       <!---->    </font>&nbsp;&nbsp;&nbsp;&nbsp;&nbsp;&nbsp;&nbsp;&nbsp;[&#160;<a href="javascript:void(0);" onclick="javascript: window.open('/scielo.php?script=sci_nlinks&ref=225649&pid=S1562-3823201000010000100009&lng=','','width=640,height=500,resizable=yes,scrollbars=1,menubar=yes,');">Links</a>&#160;]<!-- end-ref --><dt><font size="2" face="Verdana"><a href="#CITE6" name="6">[102004Li et&nbsp;al.Li, Chen, Cai, &amp; Zhao]</a></font></dt><dd>        ]]></body>
<body><![CDATA[<!-- ref --><p><font size="2" face="Verdana"> 10.- Li, Y.-N., Chen, L., Cai, Z.-S., &amp; Zhao, X.-Z. 2004, Chaos, Solitons &amp;      Fractals, 22, 767       <!---->    </font>&nbsp;&nbsp;&nbsp;&nbsp;&nbsp;&nbsp;&nbsp;&nbsp;[&#160;<a href="javascript:void(0);" onclick="javascript: window.open('/scielo.php?script=sci_nlinks&ref=225651&pid=S1562-3823201000010000100010&lng=','','width=640,height=500,resizable=yes,scrollbars=1,menubar=yes,');">Links</a>&#160;]<!-- end-ref --><dt><font size="2" face="Verdana"><a href="#CITE14" name="14">[112009L&#243;pez-Guti&#233;rrez et&nbsp;al.L&#243;pez-Guti&#233;rrez, Posadas-Castillo, L&#243;pez-Mancilla, &amp; Cruz-Hern&#225;ndez]</a></font></dt><dd>        <!-- ref --><p><font size="2" face="Verdana"> 11.- L&#243;pez-Guti&#233;rrez, R.&nbsp;M., Posadas-Castillo, C., L&#243;pez-Mancilla, D., &amp;      Cruz-Hern&#225;ndez, C. 2009, Chaos, Solitons &amp; Fractals, 42, 277      <!---->    </font>&nbsp;&nbsp;&nbsp;&nbsp;&nbsp;&nbsp;&nbsp;&nbsp;[&#160;<a href="javascript:void(0);" onclick="javascript: window.open('/scielo.php?script=sci_nlinks&ref=225653&pid=S1562-3823201000010000100011&lng=','','width=640,height=500,resizable=yes,scrollbars=1,menubar=yes,');">Links</a>&#160;]<!-- end-ref --><dt><font size="2" face="Verdana"><a href="#CITE20" name="20">[122004  Ram&#237;rez&nbsp;&#193;vila     <!--hbox-->   ]</a></font></dt><dd>        <!-- ref --><p><font size="2" face="Verdana"> 12.- Ram&#237;rez&nbsp;&#193;vila, G.&nbsp;M. 2004, Synchronization phenomena in      light-controlled oscillators (PhD thesis)       <!---->    </font>&nbsp;&nbsp;&nbsp;&nbsp;&nbsp;&nbsp;&nbsp;&nbsp;[&#160;<a href="javascript:void(0);" onclick="javascript: window.open('/scielo.php?script=sci_nlinks&ref=225655&pid=S1562-3823201000010000100012&lng=','','width=640,height=500,resizable=yes,scrollbars=1,menubar=yes,');">Links</a>&#160;]<!-- end-ref --><dt><font size="2" face="Verdana"><a href="#CITE11" name="11">[132003  Ram&#237;rez&nbsp;&#193;vila     <!--hbox-->     et&nbsp;al.  Ram&#237;rez&nbsp;&#193;vila     <!--hbox-->   , Guisset, &amp; Deneubourg]</a></font></dt><dd>        <!-- ref --><p><font size="2" face="Verdana"> 13.- Ram&#237;rez&nbsp;&#193;vila, G.&nbsp;M., Guisset, J.&nbsp;L., &amp; Deneubourg, J.&nbsp;L. 2003,      Physica D: Nonlinear Phenomena, 182, 254       <!---->    </font>&nbsp;&nbsp;&nbsp;&nbsp;&nbsp;&nbsp;&nbsp;&nbsp;[&#160;<a href="javascript:void(0);" onclick="javascript: window.open('/scielo.php?script=sci_nlinks&ref=225657&pid=S1562-3823201000010000100013&lng=','','width=640,height=500,resizable=yes,scrollbars=1,menubar=yes,');">Links</a>&#160;]<!-- end-ref --><dt><font size="2" face="Verdana"><a href="#CITE21" name="21">[142008  Ticona&nbsp;Bustillos     <!--hbox--> &amp;   Ram&#237;rez&nbsp;&#193;vila <!--hbox--> ]</a></font></dt><dd>        <!-- ref --><p><font size="2" face="Verdana"> 14.- Ticona&nbsp;Bustillos, A.&nbsp;R. &amp; Ram&#237;rez&nbsp;&#193;vila, G.&nbsp;M. 2008,      Revista Boliviana de F&#237;sica, 14, 121      <!---->    </font>&nbsp;&nbsp;&nbsp;&nbsp;&nbsp;&nbsp;&nbsp;&nbsp;[&#160;<a href="javascript:void(0);" onclick="javascript: window.open('/scielo.php?script=sci_nlinks&ref=225659&pid=S1562-3823201000010000100014&lng=','','width=640,height=500,resizable=yes,scrollbars=1,menubar=yes,');">Links</a>&#160;]<!-- end-ref --><dt><font size="2" face="Verdana"><a href="#CITE22" name="22">[152010  Ticona&nbsp;Bustillos     <!--hbox--> &amp;   Ram&#237;rez&nbsp;&#193;vila <!--hbox--> ]</a></font></dt><dd>        ]]></body>
<body><![CDATA[<!-- ref --><p><font size="2" face="Verdana"> 15.- -. 2010, Revista Boliviana de F&#237;sica, 16, 41       <!---->    </font>&nbsp;&nbsp;&nbsp;&nbsp;&nbsp;&nbsp;&nbsp;&nbsp;[&#160;<a href="javascript:void(0);" onclick="javascript: window.open('/scielo.php?script=sci_nlinks&ref=225661&pid=S1562-3823201000010000100015&lng=','','width=640,height=500,resizable=yes,scrollbars=1,menubar=yes,');">Links</a>&#160;]<!-- end-ref --><dt><font size="2" face="Verdana"><a href="#CITE2" name="2">[162001Pikovsky et&nbsp;al.Pikovsky, Rosenblum, &amp; Kurths]</a></font></dt><dd>        <!-- ref --><p><font size="2" face="Verdana"> 16.- Pikovsky, A., Rosenblum, M., &amp; Kurths, J. 2001, Synchronization: a universal      concept in nonlinear sciences, vol 12 (New York: Cambridge University Press)       <!---->    </font>&nbsp;&nbsp;&nbsp;&nbsp;&nbsp;&nbsp;&nbsp;&nbsp;[&#160;<a href="javascript:void(0);" onclick="javascript: window.open('/scielo.php?script=sci_nlinks&ref=225663&pid=S1562-3823201000010000100016&lng=','','width=640,height=500,resizable=yes,scrollbars=1,menubar=yes,');">Links</a>&#160;]<!-- end-ref --><dt><font size="2" face="Verdana"><a href="#CITE3" name="3">[172003Rosenblum &amp; Pikovsky]</a></font></dt><dd>        <!-- ref --><p><font size="2" face="Verdana"> 17.- Rosenblum, M. &amp; Pikovsky, A. 2003, Contemporary Physics, 44, 401       <!---->    </font>&nbsp;&nbsp;&nbsp;&nbsp;&nbsp;&nbsp;&nbsp;&nbsp;[&#160;<a href="javascript:void(0);" onclick="javascript: window.open('/scielo.php?script=sci_nlinks&ref=225665&pid=S1562-3823201000010000100017&lng=','','width=640,height=500,resizable=yes,scrollbars=1,menubar=yes,');">Links</a>&#160;]<!-- end-ref --><dt><font size="2" face="Verdana"><a href="#CITE12" name="12">[181994Roy &amp; Thornburg]</a></font></dt><dd>        <!-- ref --><p><font size="2" face="Verdana"> 18.- Roy, R. &amp; Thornburg, K. S.&nbsp;J. 1994, Physical Review Letters, 72,      2009       <!---->    </font>&nbsp;&nbsp;&nbsp;&nbsp;&nbsp;&nbsp;&nbsp;&nbsp;[&#160;<a href="javascript:void(0);" onclick="javascript: window.open('/scielo.php?script=sci_nlinks&ref=225667&pid=S1562-3823201000010000100018&lng=','','width=640,height=500,resizable=yes,scrollbars=1,menubar=yes,');">Links</a>&#160;]<!-- end-ref --><dt><font size="2" face="Verdana"><a href="#CITE5" name="5">[192003Shabunin et&nbsp;al.Shabunin, Astakhov, Demidov, Provata, Baras, Nicolis, &amp; Anishchenko]</a></font></dt><dd>        <!-- ref --><p><font size="2" face="Verdana"> 19.- Shabunin, A., Astakhov, V., Demidov, V., Provata, A., Baras, F., Nicolis, G.,      &amp; Anishchenko, V. 2003, Chaos, Solitons &amp; Fractals, 15, 395      <!---->    </font>&nbsp;&nbsp;&nbsp;&nbsp;&nbsp;&nbsp;&nbsp;&nbsp;[&#160;<a href="javascript:void(0);" onclick="javascript: window.open('/scielo.php?script=sci_nlinks&ref=225669&pid=S1562-3823201000010000100019&lng=','','width=640,height=500,resizable=yes,scrollbars=1,menubar=yes,');">Links</a>&#160;]<!-- end-ref --><dt><font size="2" face="Verdana"><a href="#CITE16" name="16">[202003Smith et&nbsp;al.Smith, Blackburn, &amp; Baker]</a></font></dt><dd>        ]]></body>
<body><![CDATA[<!-- ref --><p><font size="2" face="Verdana"> 20.- Smith, H. J.&nbsp;T., Blackburn, J.&nbsp;A., &amp; Baker, G.&nbsp;L. 2003, International Journal      of Bifurcation and Chaos, 13, 7       <!---->    </font>&nbsp;&nbsp;&nbsp;&nbsp;&nbsp;&nbsp;&nbsp;&nbsp;[&#160;<a href="javascript:void(0);" onclick="javascript: window.open('/scielo.php?script=sci_nlinks&ref=225671&pid=S1562-3823201000010000100020&lng=','','width=640,height=500,resizable=yes,scrollbars=1,menubar=yes,');">Links</a>&#160;]<!-- end-ref --><dt><font size="2" face="Verdana"><a href="#CITE1" name="1">[212003Strogatz]</a></font></dt><dd>        <!-- ref --><p><font size="2" face="Verdana"> 21.- Strogatz, S.&nbsp;H. 2003, Sync: The Emerging Science of Spontaneous Order (New      York: Hyperion Press)       <!---->    </font>&nbsp;&nbsp;&nbsp;&nbsp;&nbsp;&nbsp;&nbsp;&nbsp;[&#160;<a href="javascript:void(0);" onclick="javascript: window.open('/scielo.php?script=sci_nlinks&ref=225673&pid=S1562-3823201000010000100021&lng=','','width=640,height=500,resizable=yes,scrollbars=1,menubar=yes,');">Links</a>&#160;]<!-- end-ref --><dt><font size="2" face="Verdana"><a href="#CITE13" name="13">[221994Sugawara et&nbsp;al.Sugawara, Tachikawa, Tsukamoto, &amp; Shimizu]</a></font></dt><dd>        <!-- ref --><p><font size="2" face="Verdana"> 22.- Sugawara, T., Tachikawa, M., Tsukamoto, T., &amp; Shimizu, T. 1994, Physical      Review Letters, 72, 3502</font>&nbsp;&nbsp;&nbsp;&nbsp;&nbsp;&nbsp;&nbsp;&nbsp;[&#160;<a href="javascript:void(0);" onclick="javascript: window.open('/scielo.php?script=sci_nlinks&ref=225675&pid=S1562-3823201000010000100022&lng=','','width=640,height=500,resizable=yes,scrollbars=1,menubar=yes,');">Links</a>&#160;]<!-- end-ref --><p><font size="2" face="Verdana"><strong>Footnotes:</strong></font></p>     <p>   <font size="2" face="Verdana">   <!---->   <a name="tthFtNtAAB"></a><a href="#tthFrefAAB"><sup>1</sup></a>Estas regiones de sincronizaci&#243;n    se diferencian de las lenguas de Arnold, en el sentido que en    lugar de representarlas en un plano intensidad de acoplamiento    vs. frecuencia, son representaciones en el plano par&#225;metro    de control vs. condiciones iniciales.   <!---->   <a name="tthFtNtAAC"></a><a href="#tthFrefAAC"><sup>2</sup></a>Por razones de comodidad en la notaci&#243;n, se utilizar&#225;    a lo largo del art&#237;culo <i>m</i><sub><i>i</i></sub> = <i>m</i><sup>(<i>i</i>)</sup> y <i>l</i><sub><i>i</i></sub>    = <i>l</i><sup>(<i>i</i>)</sup>.   <br />   <br /> </font></p> <hr />     <p><font size="2" face="Verdana"><small>File translated from   T<sub>E</sub>X   by <a href="http://hutchinson.belmont.ma.us/tth/">   T<sub>T</sub>H</a>,   version 3.89.<br />   On  8 Nov 2010, 09:37.</small> </font></p> </html>     <a href=http://www.scielo.org.bo/cgi-bin/wxis.exe/iah/?IsisScript=iah/iah.xis&nextAction=lnk&base=article^dlibrary&indexSearch=AU&exprSearch=../bases-work/rbf/rbf&lang=>^rND^sKittel^nA.^rND^sParisi,^nJ.^rND^sPyragas^nK.</a><a href=http://www.scielo.org.bo/cgi-bin/wxis.exe/iah/?IsisScript=iah/iah.xis&nextAction=lnk&base=article^dlibrary&indexSearch=AU&exprSearch=../bases-work/rbf/rbf&lang=>^rND^nLi, Y.-N.^sChen^rND^sCai^nZ.-S^rND^sZhao^nX.-Z.</a><a href=http://www.scielo.org.bo/cgi-bin/wxis.exe/iah/?IsisScript=iah/iah.xis&nextAction=lnk&base=article^dlibrary&indexSearch=AU&exprSearch=../bases-work/rbf/rbf&lang=>^rND^sLópez-Gutiérrez^nR. M.^rND^sPosadas-Castillo^nC.^rND^sLópez-Mancilla^nD.^rND^sCruz-Hernández^nC.</a><a href=http://www.scielo.org.bo/cgi-bin/wxis.exe/iah/?IsisScript=iah/iah.xis&nextAction=lnk&base=article^dlibrary&indexSearch=AU&exprSearch=../bases-work/rbf/rbf&lang=>^rND^sRamírez Ávila^nG. M.^rND^sGuisset^nJ. L.^rND^sDeneubourg^nJ. L.</a><a href=http://www.scielo.org.bo/cgi-bin/wxis.exe/iah/?IsisScript=iah/iah.xis&nextAction=lnk&base=article^dlibrary&indexSearch=AU&exprSearch=../bases-work/rbf/rbf&lang=>^rND^sTicona Bustillos^nA. R.^rND^sRamírez Ávila^nG. M.</a><a href=http://www.scielo.org.bo/cgi-bin/wxis.exe/iah/?IsisScript=iah/iah.xis&nextAction=lnk&base=article^dlibrary&indexSearch=AU&exprSearch=../bases-work/rbf/rbf&lang=>^rND^sPikovsky^nA.^rND^sRosenblum^nM.^rND^sKurths^nJ.</a><a href=http://www.scielo.org.bo/cgi-bin/wxis.exe/iah/?IsisScript=iah/iah.xis&nextAction=lnk&base=article^dlibrary&indexSearch=AU&exprSearch=../bases-work/rbf/rbf&lang=>^rND^sRosenblum^nM.^rND^sPikovsky^nA.</a><a href=http://www.scielo.org.bo/cgi-bin/wxis.exe/iah/?IsisScript=iah/iah.xis&nextAction=lnk&base=article^dlibrary&indexSearch=AU&exprSearch=../bases-work/rbf/rbf&lang=>^rND^sRoy^nR.^rND^sThornburg^nK. S. J.</a><a href=http://www.scielo.org.bo/cgi-bin/wxis.exe/iah/?IsisScript=iah/iah.xis&nextAction=lnk&base=article^dlibrary&indexSearch=AU&exprSearch=../bases-work/rbf/rbf&lang=>^rND^sShabunin^nA.^rND^sAstakhov^nV.^rND^sDemidov^nV.^rND^sProvata^nA.^rND^sBaras^nF.^rND^sNicolis^nG.^rND^sAnishchenko^nV.</a><a href=http://www.scielo.org.bo/cgi-bin/wxis.exe/iah/?IsisScript=iah/iah.xis&nextAction=lnk&base=article^dlibrary&indexSearch=AU&exprSearch=../bases-work/rbf/rbf&lang=>^rND^sSmith^nH. J. T.^rND^sBlackburn^nJ. A.^rND^sBaker^nG. L.</a><a href=http://www.scielo.org.bo/cgi-bin/wxis.exe/iah/?IsisScript=iah/iah.xis&nextAction=lnk&base=article^dlibrary&indexSearch=AU&exprSearch=../bases-work/rbf/rbf&lang=>^rND^sStrogatz^nS. H.</a><a href=http://www.scielo.org.bo/cgi-bin/wxis.exe/iah/?IsisScript=iah/iah.xis&nextAction=lnk&base=article^dlibrary&indexSearch=AU&exprSearch=../bases-work/rbf/rbf&lang=>^rND^sSugawara^nT.^rND^sTachikawa^nM.^rND^sTsukamoto^nT.^rND^sShimizu^nT.</a><a href=http://www.scielo.org.bo/cgi-bin/wxis.exe/iah/?IsisScript=iah/iah.xis&nextAction=lnk&base=article^dlibrary&indexSearch=AU&exprSearch=../bases-work/rbf/rbf&lang=>^rND^nFrancesco^sZaratti^rND^nRicardo^sForno^rND^nGonzalo^sGutiérrez^rND^nRoger^sApaza^rND^nFernando^sVelarde</a><a href=http://www.scielo.org.bo/cgi-bin/wxis.exe/iah/?IsisScript=iah/iah.xis&nextAction=lnk&base=article^dlibrary&indexSearch=AU&exprSearch=../bases-work/rbf/rbf&lang=>^rND^nFrancesco^sZaratti^rND^nRicardo^sForno^rND^nGonzalo^sGutiérrez^rND^nRoger^sApaza^rND^nFernando^sVelarde</a><a href=http://www.scielo.org.bo/cgi-bin/wxis.exe/iah/?IsisScript=iah/iah.xis&nextAction=lnk&base=article^dlibrary&indexSearch=AU&exprSearch=../bases-work/rbf/rbf&lang=>^rND^nFrancesco^sZaratti^rND^nRicardo^sForno^rND^nGonzalo^sGutiérrez^rND^nRoger^sApaza^rND^nFernando^sVelarde</a><!DOCTYPE HTML PUBLIC "-//W3C//DTD HTML 4.0 Transitional//EN"            "http://www.w3.org/TR/REC-html40/loose.dtd"> <html>         <title> \uppercase{Medidas de albedo en UV-B en el Salar de Uyuni}\ \vspace{1em}{ Albedo's Measurements in  UV-B at  Uyuni's Salt Lake (Bolivia)}</title>       <p align="center">&nbsp;</p>     <p align="center"><font size="2" face="Verdana"><font size="4"><strong>MEDIDAS DE ALBEDO EN UV-B EN EL SALAR DE UYUNI</strong></font><br />   <br />    <font size="3"><strong>Albedo's Measurements in  UV-B at  Uyuni's Salt Lake (Bolivia) </strong></font></font></p>     <p>   <font size="2" face="Verdana">   <!----> </font></p>     <p align="center"><font size="2" face="Verdana"><strong>Francesco Zaratti<sup><i>a</i></sup>, Ricardo Forno, Gonzalo Guti&#233;rrez, <br /> Roger Apaza &amp; Fernando Velarde </strong></font></p>     <p align="center"><strong><font size="2" face="Verdana"><font size="-1"><i>Laboratorio de F&#237;sica de la Atm&#243;sfera<br />   Instituto de Investigaciones   F&#237;sicas, FCPN, UMSA<br />   <sup><i>a</i></sup>Email:fzaratti@fiumsa.edu.bo<br />   (<i>Recibido el 28 de julio de 2010; aceptado el 11 de agosto de 2010</i>)</font></strong><font size="2" face="Verdana"></font></p> <font size="2" face="Verdana"></i></font></font>     <p>   <font size="2" face="Verdana">   <!---->   <!---->   <!----> </font></p> <hr>     <p><font size="2" face="Verdana"> <strong>Abstract</strong></font></p>     <p><font size="2" face="Verdana">We report the final results of a biannual project concerning two measurement campaigns of ultraviolet radiation (RUV) at Uyuniâ€™s Salt Lake: in May and November 2008. The gathered data and their respective analysis resulted in important findings relating to the projectâ€™s principle objectives: the measurement of superficial albedo of the UV band and the quantification of the extent of albedo in the area surrounding the Uyuni salt lake.,  In the first case we found that the albedo depends not only on  the time of year, such as, the rainy season between January and March but also on climate change effects in the region which could lead to a decrease in albedo, a sign of the salt lake's environmental contamination in particular from anthropogenic activities. In addition we measured the extent of the albedo effect in the salt lake and surrounding area however the analysis of these results has so far given inconclusive findings.   <!---->   <i><b>Subject headings: </b></i>UV radiation  -  radiative processes  -  solar radiation (albedo)   <!---->   <b>C&#243;digo(s) PACS: </b>61.80.Ba, 92.60.Vb   <!---->   <b>Resumen<br />   </b><br />   Se reportan los resultados finales del proyecto bianual, centrado en dos campa&#241;as de medici&#243;n de la Radiaci&#243;n Ultravioleta (RUV) en el Salar de Uyuni: la primera en mayo de 2008 y la otra en noviembre de 2008. Los datos recogidos en ambas campa&#241;as y el an&#225;lisis respectivo han permitido llegar a importantes resultados en los dos objetivos principales del proyecto: medida del albedo superficial en la banda UV y cuantificaci&#243;n del alcance del mismo en la regi&#243;n circundante al Salar. En el primer objetivo, se han encontrado indicios s&#243;lidos de que el albedo depende no s&#243;lo de la estaci&#243;n del a&#241;o, como se podr&#237;a esperar debido al r&#233;gimen de lluvias localizado en los meses de enero a marzo, sino tambi&#233;n de los cambios clim&#225;ticos que se est&#225;n dando en la regi&#243;n, lo que podr&#237;a conllevar una disminuci&#243;n del albedo, se&#241;al del "ensuciamiento" del Salar. Adicionalmente se ha medido el alcance de los efectos de albedo en el Salar, pero el an&#225;lisis no muestra a&#250;n resultados concluyentes.   <!---->   <i><b>Descriptores: </b></i>radiaci&#243;n UV  -  procesos radiativos  -  radiaci&#243;n solar (albedo)   <!----> </font></p>     <p>&nbsp;</p> <hr>     ]]></body>
<body><![CDATA[<p><font size="2" face="Verdana"><strong><a name="tth_sEc1">   1</a>&nbsp;&nbsp;Antecedentes</strong></font></p>     <p>   <font size="2" face="Verdana">   <!---->   <!---->   <a name="tth_fIg1"></a> </font></p>     <center>       <p><font size="2" face="Verdana"><img src="/img/revistas/rbf/v17n1/v17n2a2f1.gif" alt="/img/revistas/rbf/v17n1/v17n2a2f1.gif" />        </font></p>       <center>         <p><font size="2" face="Verdana">Figure 1: <a name="f1">       </a>Arreglo experimental utilizado para medir el albedo.        El sistema permite la variaci&#243;n de altura entre los domos y        el suelo y, adem&#225;s, permite calibrar la horizontalidad.</font></p>   </center> </center>     <p>   <font size="2" face="Verdana"> <!----> El a&#241;o 2004 se realiz&#243; una campa&#241;a, junto a colegas de  la Universidad e Munich en el Salar de Uyuni para medir el albedo "plano"  en UV y realizar mediciones de la irradiancia solar en la banda  UV. Si bien esa campa&#241;a result&#243; exitosa en cuanto se pudo  medir el albedo y la irradiancia UV en diferentes sitios del  Salar, quedaron algunas preguntas abiertas que el presente trabajo  intenta responder. En especial nos interesaba conocer el alcance  que tiene el albedo UV del Salar en su entorno, o sea hasta d&#243;nde  afecta a la irradiancia total el cambio de albedo UV del suelo,  con la mirada puesta en la problem&#225;tica del cambio de uso de  suelo. <!----> El desarrollo, dificultades y resultados de la I&nbsp;campa&#241;a en  el Salar (mayo de 2008), han sido reportadas en el art&#237;culo  "Resultados preliminares del proyecto: <i>Medidas de albedo  en el Salar de Uyuni</i>" presentado en noviembre de 2009. A partir  de los resultados de esa campa&#241;a, en el presente art&#237;culo  analizaremos los datos colectados en la II campa&#241;a (noviembre  de 2008). <!----> <!----> <a name="tth_fIg2"></a> </font></p>     <center>       <p><font size="2" face="Verdana"><img src="/img/revistas/rbf/v17n1/v17n2a2f2.gif" alt="/img/revistas/rbf/v17n1/v17n2a2f2.gif" />        </font></p>       <center>         ]]></body>
<body><![CDATA[<p><font size="2" face="Verdana">Figure 2: <a name="f2">       </a> La imagen muestra la dependencia del valor del        offset del radi&#243;metro YES_139 con el valor del voltaje proporcionado        por la bater&#237;a de alimentaci&#243;n en un experimento realizado        en laboratorio.</font></p>   </center> </center>     <p>   <font size="2" face="Verdana">   <!----> </font></p>     <p><font size="2" face="Verdana"><strong><a name="tth_sEc2">   2</a>&nbsp;&nbsp;Objetivos</strong></font></p>     <p>   <font size="2" face="Verdana"> <!----> El proyecto fue planificado para un per&#237;odo de dos a&#241;os,  mediante dos campa&#241;as, una exploratoria y otra final. La campa&#241;a  exploratoria, realizada en mayo de 2008, ten&#237;a el objetivo  de medir el albedo del Salar en diferentes lugares, diferentes  por su distancia a la orilla o por las caracter&#237;sticas de  la superficie [<a href="#1" name="CITE1">42008Zaratti et&nbsp;al.Zaratti, Forno, Gutiérrez, Apaza, &amp; Velarde</a>].   <!----> La hip&#243;tesis para verificar era que la superficie del Salar  no es homog&#233;nea y le corresponde m&#225;s de un valor de albedo.  Asimismo, se asume que el albedo depende de la &#233;poca del a&#241;o,  raz&#243;n por la cual se plane&#243; repetir la campa&#241;a en noviembre,  aplicando las lecciones aprendidas. <!----> El otro objetivo del proyecto era medir la irradiancia en funci&#243;n  de la distancia a la orilla, suponiendo que, a medida que nos  adentramos en el Salar la irradiancia aumenta y a medida que  nos alejamos hacia el altiplano la irradiancia disminuye. La  pregunta interesante es: ?`a qu&#233; distancia de la orilla se  deja de percibir el efecto de borde? <!----> </font></p>     <p><font size="2" face="Verdana"><strong><a name="tth_sEc3">   3</a>&nbsp;&nbsp;Planificaci&#243;n de la campa&#241;a</strong></font></p>     <p>   <font size="2" face="Verdana"> <!----> En la campa&#241;a de noviembre de 2008 participaron dos investigadores,  un tesista y un t&#233;cnico y en ella se realizaron varias innovaciones,  como consecuencia de los resultados de la campa&#241;a de mayo. <!----> La lecci&#243;n principal aprendida en la campa&#241;a de mayo fue  la dificultad de realizar mediciones alimentando los equipos  con bater&#237;as. En un primer momento se opt&#243; por usar bater&#237;as  de motos, por su f&#225;cil manejo y recarga, pero los resultados  no fueron buenos, debido al elevado consumo de carga de los equipos  durante las m&#225;s de seis horas de trabajo dentro del Salar,  sin posibilidad de recarga. Las consecuencias principales se  manifestaban en variaciones de los valores del offset de los  radi&#243;metros, en funci&#243;n del voltaje de las bater&#237;as. <!----> <!----> <a name="tth_fIg3"></a> </font></p>     <center>       <p><font size="2" face="Verdana"><img src="/img/revistas/rbf/v17n1/v17n2a2f3.gif" alt="/img/revistas/rbf/v17n1/v17n2a2f3.gif" width="647" height="394" />        </font></p>       <center>         <p><font size="2" face="Verdana">Figure 3: <a name="f3">       </a>Variaci&#243;n del Offset y de la temperatura del        domo del instrumento YES 139 con el valor del voltaje de la bater&#237;a.</font></p>   </center> </center>     ]]></body>
<body><![CDATA[<p>   <font size="2" face="Verdana">   <!---->   <!---->   <a name="tth_fIg4"></a> </font></p>     <center>       <p><font size="2" face="Verdana"><img src="/img/revistas/rbf/v17n1/v17n2a2f4.gif" alt="/img/revistas/rbf/v17n1/v17n2a2f4.gif" width="636" height="383" />        </font></p>       <center>         <p><font size="2" face="Verdana">Figure 4: <a name="f4">       </a> Datos originales (en milivoltios) tomados por el        instrumento YES 139 conectado a un datalogger Campbell que ten&#237;a        un divisor de voltaje para evitar saturaciones. La curva superior        es la irradiancia medida con el domo mirando al cenit, la inferior        mirando al nadir.</font></p>   </center> </center>     <p>   <font size="2" face="Verdana"> <!----> El equipo instrumental consist&#237;a de dos radi&#243;metros de radiaci&#243;n  ultravioleta YES UVB-1.  Se trata de dos radi&#243;metros de banda ancha (280-320 nm) fabricados  por <i>Yankee Environmental System</i> <i>Inc.</i> que miden la radiaci&#243;n  solar global UV-B. Usan filtros de vidrio colorado y f&#243;sforo  UV-B que convierte la radiaci&#243;n UV-B en luz verde, la cual  es medida por fotodetectores de estado s&#243;lido. Sus principales  caracter&#237;sticas de operaci&#243;n son [<a href="#2" name="CITE2">21997  Yankee Environmental System (YES) <!--hbox--> </a>]: respuesta espectral  caracter&#237;stica (Diffey simulada), respuesta de coseno &#177;5%  (para 0<sup>&#176;</sup> <tt>&lt;</tt>SZA,<tt>&lt;</tt>60<sup>&#176;</sup> ), tiempo de respuesta  &#177;0.1 s y temperatura de operaci&#243;n entre  -40<sup>&#176;</sup> C  y +40<sup>&#176;</sup> C.  <!----> El primero de los radi&#243;metros funciona en el LFA desde el a&#241;o  1998 (YES 138) y otro ha sido recientemente adquirido (llamado  YES 139). Asimismo se cont&#243; con dos dataloggers Campbell CR-200  que fueron adecuados para funcionar con los radi&#243;metros y dos  GPS para registrar la posici&#243;n de los sitios de medici&#243;n. <!----> Un aspecto preocupante era el desgaste que presentaba el YES  138 despu&#233;s de m&#225;s de 10 a&#241;os de operaci&#243;n casi continua  y en ambientes extremos, como Chacaltaya. Por esa raz&#243;n se  planific&#243; realizar medidas "en paralelo" de los dos radi&#243;metros,  en el sentido que cada instrumento tomara datos independientemente  del otro, como se explicar&#225; m&#225;s adelante. <!----> <!----> <a name="tth_fIg5"></a> </font></p>     <center>       <p><font size="2" face="Verdana"><img src="/img/revistas/rbf/v17n1/v17n2a2vf5.gif" alt="/img/revistas/rbf/v17n1/v17n2a2f5.gif" width="644" height="381" />        </font></p>       <center>         <p><font size="2" face="Verdana">Figure 5: <a name="f5">       </a> Curva de irradiancia UVB, representada en mV, del        YES 139 con el domo mirando al cenit (d&#237;a 17/11/08) interpolada        con un polinomio de cuarto grado.</font></p>   </center> </center>     ]]></body>
<body><![CDATA[<p>   <font size="2" face="Verdana">   <!---->   <!---->   <a name="tth_fIg6"></a> </font></p>     <center>       <p><font size="2" face="Verdana"><img src="/img/revistas/rbf/v17n1/v17n2a2f6.gif" alt="/img/revistas/rbf/v17n1/v17n2a2f6.gif" width="653" height="389" /></font></p>       <center>         <p><font size="2" face="Verdana">Figure 6: <a name="f6">       </a>El equivalente de la Fig.&nbsp;5 con el domo mirando        hacia abajo (d&#237;a 17/11/08).</font></p>   </center> </center>     <p>   <font size="2" face="Verdana">   <!----> </font></p>     <p><font size="2" face="Verdana"><a name="tth_sEc4"><strong>   4</strong></a><strong>&nbsp;&nbsp;Realizaci&#243;n de la campa&#241;a</strong></font></p>     <p>   <font size="2" face="Verdana"> <!----> Las medidas de la segunda campa&#241;a se realizaron durante cinco  d&#237;as, del 15 al 19 de noviembre, con el apoyo log&#237;stico  de una agencia de turismo local. Los cinco d&#237;as fueron despejados,  registr&#225;ndose la insolaci&#243;n m&#225;xima anual, debido al paso  del sol por el cenit de esa localidad. La rutina diaria fue ajustada  a los resultados del d&#237;a y a la emergencia de algunos problemas  que se presentaron con las medidas. <!----> En efecto, los primeros dos d&#237;as se realizaron medidas de  albedo en el mismo sitio de las medidas de albedo de la anterior  campa&#241;a (20<sup>&#176;</sup> 27' 41" S, 67<sup>&#176;</sup> 15' 24"  W, 3670 msnm), esto es, casi en el centro del Salar, pero con  los dos radi&#243;metros en posici&#243;n fija (uno mirando al zenit  y el otro al nadir), utilizando el mismo arreglo experimental  ya probadodo durante la campa&#241;a de mayo (ver Fig.&nbsp;1). <!----> El tercer d&#237;a, debido a algunas dificultades de intercalibraci&#243;n  bajo condiciones t&#233;rmicas y el&#233;ctricas diferentes, como se  explicar&#225; m&#225;s adelante, se repitieron las medidas alternando  la posici&#243;n de los radi&#243;metros cada 20 minutos. <!----> El d&#237;a martes 18 se realiz&#243; el cruce del Salar midiendo  la irradiancia RUV mediante uno de los radi&#243;metros en sitios  distantes unos 15 km entre s&#237;, a medida que nos adentr&#225;bamos  en el Salar hasta el centro del mismo. Luego, a la vuelta, se  repitieron las medidas hasta unos 10 km desde la orilla en el  altiplano. El segundo radi&#243;metro se qued&#243; midiendo en un lugar fijo  (el Hotel de Sal a unos 6 km de la orilla), como referencia. <!----> Finalmente, el d&#237;a mi&#233;rcoles 19 se realiz&#243; una medida  de absorci&#243;n sobre superficies con diferente inclinaci&#243;n. <!----> Cabe a&#241;adir que, en cada sitio donde se realizaron medidas,  se tomaron muestras de la superficie de sal para ser analizadas  posteriormente. <!----> <!----> <a name="tth_fIg7"></a> </font></p>     <center>       <p><font size="2" face="Verdana"><img src="/img/revistas/rbf/v17n1/v17n2a2f7.gif" alt="/img/revistas/rbf/v17n1/v17n2a2f7.gif" width="636" height="386" />        </font></p>       ]]></body>
<body><![CDATA[<center>         <p><font size="2" face="Verdana">Figure 7: <a name="f7">       </a>Valor del albedo UVB, medido mediante comparaci&#243;n        de las curvas de irradiancia con domo mirando hacia arriba (eje        abscisas) y hacia abajo (eje ordenadas) para el d&#237;a 17/11/08.        Los valores, en mV, representan la mitad del valor real.</font></p>   </center> </center>     <p>   <font size="2" face="Verdana">   <!---->   <!---->   <a name="tth_fIg8"></a> </font></p>     <center>       <p><font size="2" face="Verdana"><img src="/img/revistas/rbf/v17n1/v17n2a2f8.gif" alt="/img/revistas/rbf/v17n1/v17n2a2f8.gif" width="636" height="386" /></font></p>       <center>         <p><font size="2" face="Verdana">Figure 8: <a name="f8">       </a> Curva del albedo UVB instant&#225;neo del YES 139        (d&#237;a 17/11/09).</font></p>   </center> </center>     <p>   <font size="2" face="Verdana">   <!----> </font></p>     <p><font size="2" face="Verdana"><strong><a name="tth_sEc5">   5</a>&nbsp;&nbsp;Resultados de las medidas de albedo</strong></font></p>     <p>   <font size="2" face="Verdana"> <!----> Con base a las lecciones aprendidas de la primera campa&#241;a,  se puso particular atenci&#243;n a los problemas del offset (y de  corriente oscura) de cada instrumento. <!----> En efecto, el estudio realizado en el LFA ha mostrado la dependencia  del offset del voltaje de la bater&#237;a, siendo estable entre  12 y 12.5 V, condiciones que no siempre se puede mantener cuando  se trabaja en el campo. <!----> Asimismo se puso en evidencia un transitorio en el tiempo de  estabilizaci&#243;n de la temperatura del sensor de aproximadamente  20 minutos, lo que invalidaba algunos datos que se tomaron durante  ese tiempo, despu&#233;s de conectar los instrumentos a la bater&#237;a  (ver Figs. 2 y 3). <!----> En particular, se lleg&#243; a la conclusi&#243;n de que era preferible  utilizar medidas de cada instrumento por separado (como se hizo  el d&#237;a 17) que intentar corregir y recalcular los datos con  radi&#243;metros en posici&#243;n fija (datos de los d&#237;as anteriores).  Por tanto, sobre la base de los datos originales, mostrados en  la Fig.&nbsp;4, se procedi&#243; a reconstruir, por interpolaci&#243;n  las curvas con el domo arriba y con el domo abajo. <!----> <!----> <a name="tth_fIg9"></a> </font></p>     ]]></body>
<body><![CDATA[<center>       <p><font size="2" face="Verdana"><img src="/img/revistas/rbf/v17n1/v17n2a2f9.gif" alt="/img/revistas/rbf/v17n1/v17n2a2f9.gif" width="622" height="378" />        </font></p>       <center>         <p><font size="2" face="Verdana">Figure 9: <a name="f9">       </a>Variaci&#243;n temporal del albedo medido en la campa&#241;a        de mayo de 2008. Es evidente el desgaste del instrumento YES        138.</font></p>   </center> </center>     <p>   <font size="2" face="Verdana">   <!---->   <!---->   <a name="tth_fIg10"></a> </font></p>     <center>       <p><font size="2" face="Verdana"><img src="/img/revistas/rbf/v17n1/v17n2a2f10.gif" alt="/img/revistas/rbf/v17n1/v17n2a2f10.gif" width="636" height="381" />        </font></p>       <center>         <p><font size="2" face="Verdana">Figure 10: <a name="f10">       </a> Intercomparaci&#243;n de las se&#241;ales de los domos        YES 139 (en direcci&#243;n al nadir) y YES 137 (en direcci&#243;n al        cenit) durante la campa&#241;a de mayo 2008. La pendiente de la        recta de regresi&#243;n nos muestra el albedo del lugar.</font></p>   </center> </center>     <p>   <font size="2" face="Verdana"> <!----> Para simplificar el c&#225;lculo se normalizaron los datos de ambas  series, se hizo un ajuste de curva de cuarto grado, lo m&#225;s  apropiado en torno al mediod&#237;a, se interpolaron las curvas  y se volvi&#243; a los datos en mV. Las figuras siguientes muestran  el resultado final. <!----> Una vez obtenidas las curvas anteriores, sin necesidad de mayores  ajustes, trat&#225;ndose del mismo instrumento, se calcul&#243; el  valor del albedo en UV con diferentes m&#233;todos. El primero consiste  en graficar las dos curvas una contra la otra y deducir, de la  pendiente, el valor del albedo A. De ese modo, se halla el valor:  A= 0.387 &#177; 0.001 (Fig.&nbsp;7). <!----> Si se obligara a la recta de ajuste a pasar por el origen, lo  que parece l&#243;gico trat&#225;ndose de un mismo instrumento, el  valor del albedo resultar&#237;a: A'= 43 %. <!----> El otro m&#233;todo consiste en calcular el valor instant&#225;neo  del albedo, para cada dato, y luego calcular el valor medio.  La Fig.&nbsp;8 muestra los valores del albedo "instant&#225;neo" medidos. <!----> En el intervalo temporal 10am - 4pm, las horas centrales del  d&#237;a, el albedo resulta A"= 41.0% &#177; 1.2%. En resumen,  el albedo medido con el radi&#243;metro YES 139 est&#225; entre 39  y 41 %. <!----> Cuando analizamos los datos del YES 138, tomados al mismo tiempo  que los del YES 139 pero en sentido invertido, obtenemos los  valores respectivos:   <!----> A = 39% (R<sup>2</sup> =1).  <!----> A' = 47.6% (R<sup>2</sup> = 0.92) entre 10am y 4pm.  <!----> A" = (49 &#177; 3)% entre 10am y 4 pm. <!----> Las significativas diferencias en el albedo instant&#225;neo del  YES 138, se deben posiblemente a variaciones de valores del offset  con la temperatura y el voltaje de la bater&#237;a a lo largo del  d&#237;a, pero es importante recordar, adem&#225;s, que el YES 138  se ha demostrado muy poco confiable, debido a su largo tiempo  de vida (10 a&#241;os). Una prueba de esta afirmaci&#243;n es la curva  temporal del albedo del YES 138, comparada con la equivalente  del YES 139 (Fig.&nbsp;9). <!----> </font></p>     ]]></body>
<body><![CDATA[<p><font size="2" face="Verdana"><strong><a name="tth_sEc6">   6</a>&nbsp;&nbsp;Discusi&#243;n de las medidas de albedo</strong></font></p>     <p>   <font size="2" face="Verdana"> <!----> Como se mencion&#243; en la secci&#243;n 4, en mayo y en noviembre  de 2008 las medidas de albedo se realizaron en el mismo sitio,  localizado con los GPS y con se&#241;ales dejadas en el lugar. La  Fig.&nbsp;10 muestra el resultado obtenido con dos radi&#243;metros,  el 137 y el 139, en esa campa&#241;a. <!----> Adem&#225;s se cuenta con las medidas de albedo realizadas, con  otra clase de radi&#243;metro (Scie-tech), en mayo del a&#241;o 2005 [<a href="#3" name="CITE3">32007Reuter et&nbsp;al.Reuter, Ghezzi, Palenque, Torrez, Andrade, &amp; Zaratti</a>].  Por tanto, podemos intentar una comparaci&#243;n somera entre las  tres medidas, de acuerdo a la Tabla 1: <!----> <!----> <a name="tth_tAb1"></a> </font></p>     <center>       <p><font size="2" face="Verdana">Table 1: <a name="tab:table1">     </a>Valores del albedo medidos en las tres campa&#241;as realizadas      por el LFA-UMSA.</font></p> </center>   <table> <tr><td align="center"></td><td align="right"><font size="2" face="Verdana">Fecha</font></td><td align="center"><font size="2" face="Verdana">Albedo medido</font></td><td align="center"></td></tr> <tr><td align="center"></td><td align="right"><font size="2" face="Verdana">mayo 2005 </font></td><td align="center"><font size="2" face="Verdana">69%</font></td><td align="center"></td></tr> <tr><td align="center"></td><td align="right"><font size="2" face="Verdana">mayo 2008 </font></td><td align="center"><font size="2" face="Verdana">56%</font></td><td align="center"></td></tr> <tr><td align="center"></td><td align="right"><font size="2" face="Verdana">noviembre 2008 </font></td><td align="center"><font size="2" face="Verdana">39%</font></td><td align="center"></td></tr></table>         <p>   <font size="2" face="Verdana">   <!---->   <!---->   <a name="tth_fIg11"></a> </font></p>     <center>       <p><font size="2" face="Verdana"><img src="/img/revistas/rbf/v17n1/v17n2a2f11.gif" alt="/img/revistas/rbf/v17n1/v17n2a2f11.gif" width="617" height="381" />        </font></p>       <center>         <p><font size="2" face="Verdana">Figure 11: <a name="f11">       </a> Variaci&#243;n temporal del albedo medido en la campa&#241;a        de mayo de 2005 en torno al medio d&#237;a (cero en las abscisas).        La asimetr&#237;a cenital es despreciable.</font></p>   </center> </center>     <p>   <font size="2" face="Verdana"> <!----> La Tabla 1 nos muestra dos fen&#243;menos. Por un lado no deber&#237;a  sorprender que el albedo en noviembre sea inferior al albedo  en mayo, por la simple raz&#243;n que en mayo el Salar resiente  todav&#237;a de la &#233;poca de lluvias, mientras en noviembre la  superficie viene de soportar m&#225;s de seis meses de sequ&#237;a  y vientos que suelen transportar polvo y tierra hacia el Salar  desde el Altiplano. Desde luego, el exacto valor de esa disminuci&#243;n  del albedo depender&#225; de las particularidades de la estaci&#243;n  de lluvias primero y de vientos despu&#233;s. En efecto, cuando  se analizan cortes de la costra del Salar es posible reconocer  diferencias en la acumulaci&#243;n de tierra en el subsuelo del  Salar, dependientes del clima. <!----> M&#225;s interesante es la disminuci&#243;n de un 20% del albedo en  el mes de mayo a distancia de tres a&#241;os. Si bien se trata de  instrumentos diferente, y por tanto con una diferente respuesta  coseno y espectral, es posible asumir que esas diferencias no  son suficientemente significativas como para explicar las diferencias  de los albedos, particularmente para peque&#241;os &#225;ngulos cenitales,  como a los que se hicieron las medidas en el mes de noviembre. <!----> Asimismo los lugares de observaci&#243;n fueron distintos; sin embargo,  en vista de que el a&#241;o 2005 se realiz&#243; la medida a menso  de 10 km de la orilla del Salar (y, por tanto, dentro del rango  de influencia de la frontera Salar-Altiplano), es m&#225;s llamativo  que esa medida resulte bastante mayor a la realizada en mayo  de 2008. <!----> Por tanto, sin descartar fluctuaciones locales del clima, es  posible avanzar la hip&#243;tesis, con cargo a comprobaci&#243;n futura,  de un real "ensuciamiento", o obscurecimiento, del Salar, debido  no tanto, como a veces se escucha, a los efectos del turismo  masivo sino a un verdadero cambio clim&#225;tico de la regi&#243;n  que se manifiesta, de acuerdo a algunos datos meteorol&#243;gicos  del Servicio Nacional de Meteorolog&#237;a e Hidrolog&#237;a (SENAMHI)  en lluvias m&#225;s concentradas en los primeros tres meses del  a&#241;os, con per&#237;odos de sequ&#237;a m&#225;s prolongados. <!----> De hecho los resultados de los modelos clim&#225;ticos m&#225;s acreditados  apuntan a patrones clim&#225;ticos como el que acabamos de describir  (mayor duraci&#243;n de la &#233;poca seca) en la regi&#243;n de los Andes  Occidentales [<a href="#4" name="CITE4">12007Magrin et&nbsp;al.Magrin,   Gay Garc&#237;a <!--hbox--> ,   Cruz Choque <!--hbox--> , Gim&#233;nez, Moreno, Nagy, Nobre, &amp; Villamizar</a>].  <!----> </font></p>     ]]></body>
<body><![CDATA[<p><font size="2" face="Verdana"><strong><a name="tth_sEc7">   7</a>&nbsp;&nbsp;Medidas del alcance del albedo</strong></font></p>     <p>   <font size="2" face="Verdana"> <!----> El otro objetivo del proyecto era medir el alcance de la influencia  de una regi&#243;n con determinado albedo (el altiplano) sobre la  irradiancia medida a diferente distancia de aquella en una regi&#243;n  de diferente albedo (Salar). <!----> Para ese fin se dise&#241;&#243; un experimento para medir, est&#225;ticamente,  la irradiancia durante per&#237;odos de 20 minutos en diferentes  puntos dentro del Salar (en lo posible sobre el mismo paralelo,  para evitar correcciones de latitud), y as&#237; poner en evidencia  el porcentaje de disminuci&#243;n de la irradiancia al acercarse  a la orilla del Salar. Para fines de comparaci&#243;n, uno de los radi&#243;metros (YES 138)  se qued&#243; midiendo en un punto fijo, cerca del Hotel de Sal,  a 6 km de la orilla. <!----> El an&#225;lisis de los resultados se ha revelado m&#225;s complejo  de lo esperado y requiere m&#225;s tiempo y dedicaci&#243;n. De hecho,  las diferencias que se quieren medir no son muy significativas,  debido a que est&#225;n tomadas cerca al mediod&#237;a y las correcciones  temporales son bastante delicadas. Adicionalmente se tuvieron algunos percances experimentales que  obligaron a un trabajo a&#250;n m&#225;s complejo de reconstrucci&#243;n  de la curva con base a los valores del d&#237;a anterior. <!----> Por todas estas razones estimamos que este tema merece un art&#237;culo  a parte, el cual ya est&#225; bastante avanzado. <!----> </font></p>     <p><font size="2" face="Verdana"><strong><a name="tth_sEc8">   8</a>&nbsp;&nbsp;Conclusiones</strong></font></p>     <p>   <font size="2" face="Verdana"> <!----> Las dos campa&#241;as, llevadas a cabo en el marco del proyecto  bianual, han permitido aprender algunas lecciones y han logrado  importantes resultados. <!----> Las lecciones se refieren principalmente a la dificultad, no  siempre considerada, de realizar medidas &#243;pticas en condiciones  extremas, con fuentes de potencia no confiables, con instrumentos  que requieren particular cuidado, debido a su tiempo de uso y  al tiempo limitado que se dispone. <!----> No obstante, se han logrado resultados que ponen en discusi&#243;n  anteriores conclusiones, por la din&#225;mica clim&#225;tica de la  regi&#243;n del Salar. El principal es el ensuciamiento progresivo  del Salar, debido posiblemente a la acumulaci&#243;n de polvo por  la reducci&#243;n del per&#237;odo anual de lluvias, aspecto que deber&#225;  ser confirmado por el an&#225;lisis de datos meteorol&#243;gicos. <!----> Desafortunadamente la estaci&#243;n situada en la isla central del  Salar (Incahuasi) ha estado parada y abandonada en los &#250;ltimos  a&#241;os, pero se tienen datos de la estaci&#243;n de Uyuni. <!----> En todo caso, los resultados obtenidos, alientan al Laboratorio  de F&#237;sica de la Atm&#243;sfera a emprender otra campa&#241;a en  un futuro pr&#243;ximo para confirmar y cuantificar las anomal&#237;as  encontradas. <!----> </font></p>     <p><font size="2" face="Verdana"><strong>Agradecimientos</strong></font></p>     <p><font size="2" face="Verdana">Nuestros sinceros agradecimientos al personal del Instituto de    Investigaciones F&#237;sicas de la Universidad Mayor de San Andr&#233;s    (UMSA) por el apoyo generoso en la ejecuci&#243;n de las campa&#241;as,    empezando por el Director Dr. Wilfredo Tavera. Asimismo agradecemos    el apoyo log&#237;stico proporcionado satisfactoriamente por las    empresas Peru Bolivian Tours y Licancabur. Finalmente, agradecemos    a la Empresa Ferroviaria Andina por el transporte gratuito de    los equipos a Uyuni.   <!----> </font></p>     <p>&nbsp;</p>     <p><font size="2" face="Verdana"><strong>References</strong></font></p> <dl compact="compact">      <dt><font size="2" face="Verdana"><a href="#CITE4" name="4">[12007Magrin et&nbsp;al.Magrin,   Gay Garc&#237;a     <!--hbox-->     ,   Cruz Choque     <!--hbox-->   , Gim&#233;nez, Moreno, Nagy, Nobre, &amp; Villamizar]</a></font></dt><dd>        <!-- ref --><p><font size="2" face="Verdana"> 1.- Magrin, G., Gay Garc&#237;a, C., Cruz Choque, D., Gim&#233;nez, J.,      Moreno, A., Nagy, G., Nobre, C., &amp; Villamizar, A. 2007, Latin America.      Climate Change 2007: Impacts, Adaptation and Vulnerability. Contribution of      Working Group II to the Fourth Assessment Report of the Intergovernmental      Panel on Climate Change (M.L. Parry, O.F. Canziani, J.P. Palutikof, P.J. van      der Linden and C.E. Hanson, Eds., Cambridge University Press, Cambridge, UK,      581-615)      <!---->    </font>&nbsp;&nbsp;&nbsp;&nbsp;&nbsp;&nbsp;&nbsp;&nbsp;[&#160;<a href="javascript:void(0);" onclick="javascript: window.open('/scielo.php?script=sci_nlinks&ref=225794&pid=S1562-3823201000010000200001&lng=','','width=640,height=500,resizable=yes,scrollbars=1,menubar=yes,');">Links</a>&#160;]<!-- end-ref --><dt><font size="2" face="Verdana"><a href="#CITE2" name="2">[21997  Yankee Environmental System (YES)     <!--hbox-->   ]</a></font></dt><dd>        <!-- ref --><p><font size="2" face="Verdana">      2.- Yankee Environmental System (YES). 1997, UVB-1 Ultraviolet Pyranometer      (Installation and User Guide, Version 2.0)             <!---->    </font>&nbsp;&nbsp;&nbsp;&nbsp;&nbsp;&nbsp;&nbsp;&nbsp;[&#160;<a href="javascript:void(0);" onclick="javascript: window.open('/scielo.php?script=sci_nlinks&ref=225796&pid=S1562-3823201000010000200002&lng=','','width=640,height=500,resizable=yes,scrollbars=1,menubar=yes,');">Links</a>&#160;]<!-- end-ref --><dt><font size="2" face="Verdana"><a href="#CITE3" name="3">[32007Reuter et&nbsp;al.Reuter, Ghezzi, Palenque, Torrez, Andrade, &amp; Zaratti]</a></font></dt><dd>        <!-- ref --><p><font size="2" face="Verdana"> 3.- Reuter, J., Ghezzi, F., Palenque, E., Torrez, R., Andrade, M., &amp;      Zaratti, F. 2007, Journal of Photochemistry and Photobiology B: Biology, 87,      1       <!---->    </font>&nbsp;&nbsp;&nbsp;&nbsp;&nbsp;&nbsp;&nbsp;&nbsp;[&#160;<a href="javascript:void(0);" onclick="javascript: window.open('/scielo.php?script=sci_nlinks&ref=225798&pid=S1562-3823201000010000200003&lng=','','width=640,height=500,resizable=yes,scrollbars=1,menubar=yes,');">Links</a>&#160;]<!-- end-ref --><dt><font size="2" face="Verdana"><a href="#CITE1" name="1">[42008Zaratti et&nbsp;al.Zaratti, Forno, Gutiérrez, Apaza, &amp; Velarde]</a></font></dt><dd>        <!-- ref --><p><font size="2" face="Verdana"> 4.- Zaratti, F., Forno, R., Gutiérrez, G., Apaza, R., &amp; Velarde, F. 2008,      Resultados preliminares del proyecto Medidas de albedo en el Salar de Uyuni      (IIF-UMSA, Informe gesti&#243;n 2008)</font>&nbsp;&nbsp;&nbsp;&nbsp;&nbsp;&nbsp;&nbsp;&nbsp;[&#160;<a href="javascript:void(0);" onclick="javascript: window.open('/scielo.php?script=sci_nlinks&ref=225800&pid=S1562-3823201000010000200004&lng=','','width=640,height=500,resizable=yes,scrollbars=1,menubar=yes,');">Links</a>&#160;]<!-- end-ref --><p><font size="2" face="Verdana"><br />   <br /> </font></p> <hr />     <p><font size="2" face="Verdana"><small>File translated from   T<sub>E</sub>X   by <a href="http://hutchinson.belmont.ma.us/tth/">   T<sub>T</sub>H</a>,   version 3.89.<br />   On  8 Nov 2010, 09:35.</small> </font></p> </html>     <a href=http://www.scielo.org.bo/cgi-bin/wxis.exe/iah/?IsisScript=iah/iah.xis&nextAction=lnk&base=article^dlibrary&indexSearch=AU&exprSearch=../bases-work/rbf/rbf&lang=>^rND^sMagrin^nG.^rND^sGay García^nC.^rND^sCruz Choque^nD.^rND^sGiménez^nJ.^rND^sMoreno^nA.^rND^sNagy^nG.^rND^sNobre^nC.^rND^sVillamizar^nA.</a><a href=http://www.scielo.org.bo/cgi-bin/wxis.exe/iah/?IsisScript=iah/iah.xis&nextAction=lnk&base=article^dlibrary&indexSearch=AU&exprSearch=../bases-work/rbf/rbf&lang=>^rND^sReuter^nJ.^rND^sGhezzi^nF.^rND^sPalenque^nE.^rND^sTorrez^nR.^rND^sAndrade^nM.^rND^sZaratti^nF.</a><a href=http://www.scielo.org.bo/cgi-bin/wxis.exe/iah/?IsisScript=iah/iah.xis&nextAction=lnk&base=article^dlibrary&indexSearch=AU&exprSearch=../bases-work/rbf/rbf&lang=>^rND^sZaratti^nF.^rND^sForno^nR.^rND^sGutiérrez^nG.^rND^sApaza^nR.^rND^sVelarde^nF.</a><a href=http://www.scielo.org.bo/cgi-bin/wxis.exe/iah/?IsisScript=iah/iah.xis&nextAction=lnk&base=article^dlibrary&indexSearch=AU&exprSearch=../bases-work/rbf/rbf&lang=>^rND^sWinkelmann^nR.</a><a href=http://www.scielo.org.bo/cgi-bin/wxis.exe/iah/?IsisScript=iah/iah.xis&nextAction=lnk&base=article^dlibrary&indexSearch=AU&exprSearch=../bases-work/rbf/rbf&lang=>^rND^sWinkelmann^nR.</a><a href=http://www.scielo.org.bo/cgi-bin/wxis.exe/iah/?IsisScript=iah/iah.xis&nextAction=lnk&base=article^dlibrary&indexSearch=AU&exprSearch=../bases-work/rbf/rbf&lang=>^rND^sWinkelmann^nR</a><!DOCTYPE HTML PUBLIC "-//W3C//DTD HTML 4.0 Transitional//EN"            "http://www.w3.org/TR/REC-html40/loose.dtd"> <html>         <title> EFECTO DEL CAMPO EL\'{E}CTRICO ATMOSF\'ERICO SOBRE EL CONTEO DE PART\'ICULAS  CARGADAS DETECTADAS POR UN CENTELLADOR EN EL LABORATORIO DE F\'ISICA C\'OSMICA DE CHACALTAYA\ \vspace{1em}{ The  Effect  of the  Atmospheric  Electric Field on the   Counting of Charged Particles Detected by a Scintillator in the Laboratory of Cosmic Ray Physics at Mount Chacaltaya (Bolivia)}</title>       <p align="center">&nbsp;</p>     <p align="center"><font size="2" face="Verdana"><strong><font size="4">EFECTO DEL CAMPO EL&#201;CTRICO ATMOSF&#201;RICO SOBRE EL CONTEO DE PART&#205;CULAS    CARGADAS DETECTADAS POR UN CENTELLADOR EN EL LABORATORIO DE F&#205;SICA C&#211;SMICA DE CHACALTAYA<br />   </font></strong></font></p>     <p align="center"><font size="2" face="Verdana"><br />      <strong><font size="3">The  Effect  of the  Atmospheric  Electric Field on the   Counting of Charged Particles Detected by a Scintillator in the Laboratory of Cosmic Ray Physics at Mount Chacaltaya (Bolivia)</font></strong></font></p>     <p>   <font size="2" face="Verdana">   <!----> </font></p>     <p align="center"><font size="2" face="Verdana"><strong>Winkelmann R. </strong></font></p>     <p>   <strong><font size="2" face="Verdana">   <!---->   </font></strong></p>     <p align="center"><strong><font size="2" face="Verdana"><font size="-1"><i>Carrera de F&#237;sica<br />   Universidad Mayor de San Andr&#233;s<br />   La Paz-Bolivia<br />   (<i>Recibido el 30 de julio de 2010; aceptado el 15 de agosto de 2010</i>)</font></strong><font size="2" face="Verdana"></font></p> <font size="2" face="Verdana"></i></font></font>     <p>   <font size="2" face="Verdana">   <!----> </font></p> <hr>     <p><font size="2" face="Verdana"> <strong>Abstract</strong></font></p>     ]]></body>
<body><![CDATA[<p><font size="2" face="Verdana">Secondary particles produced by primary cosmic rays are affected by diverse atmospheric factors such as pressure and temperature. The Atmospheric Electric Field is one such factor. There is evidence that during electric storms the counting rate of particles can increase considerably. In this work we look at the relationship between the Atmospheric Electric Field and the secondary particles, at the Chacaltaya Cosmic Ray Physics Laboratory, under two distinct weather conditions: good and unsettled weather.    <!----> </font></p>     <p><font size="2" face="Verdana"><i><b>Subject headings: </b></i>atmospheric electric field  -  cosmic rays   <!---->   <b>C&#243;digo(s) PACS: </b>92.60.Pw, 95.50.S-, 95.45._i   <!----> </font></p>     <p><font size="2" face="Verdana"><b>Resumen<br />   </b><br />   Las part&#237;culas secundarias que son producidas por rayos c&#243;smicos primarios se ven afectadas por diversos factores en la atm&#243;sfera, como presi&#243;n, temperatura, y otros. El Campo El&#233;ctrico Atmosf&#233;rico (CEA) es uno de estos factores. Se observa que durante tormentas el&#233;ctricas la tasa de conteo de las part&#237;culas puede incrementarse considerablemente. En el presente trabajo se busca observar en el Laboratorio de F&#237;sica C&#243;smica de Chacaltaya (5220 msnm) la relaci&#243;n existente entre el CEA y las part&#237;culas secundarias producidas por rayos c&#243;smicos primarios, bajo dos distintas condiciones clim&#225;ticas: buen tiempo meteorol&#243;gico y tiempo meteorol&#243;gico perturbado.   <!----> </font></p>     <p><font size="2" face="Verdana"><i><b>Descriptores: </b></i>campo el&#233;ctrico atmosf&#233;rico  -  rayos c&#243;smicos.   <!----> </font></p>     <p>&nbsp;</p> <hr>     <p><font size="2" face="Verdana"><strong><a name="tth_sEc1">   1</a>&nbsp;&nbsp;Introducci&#243;n</strong></font></p>     <p>   <font size="2" face="Verdana"> <!----> El conjunto de part&#237;culas generadas por un rayo c&#243;smico primario posee tres componentes: hadr&#243;nica, electromagn&#233;tica y mu&#243;nica; &#233;ste conjunto de part&#237;culas se ven inmersas en una serie de condiciones atmosf&#233;ricas, como modulaci&#243;n de campo el&#233;ctrico [<a href="#Feynman" name="CITEFeynman">52000Feynman et&nbsp;al.Feynman, Leighton, &amp; Sands</a>], presi&#243;n y temperatura [<a href="#Alvarez" name="CITEAlvarez">32008Alvarez</a>] entre otros, presentes desde el momento de su formaci&#243;n, pero no todas las part&#237;culas se ver&#225;n afectadas de la misma forma. <!----> La idea de una posible influencia del Campo El&#233;ctrico Atmosf&#233;rico (CEA) durante tormentas el&#233;ctricas sobre part&#237;culas cargadas, en principio electrones, fue planteada por primera vez en la d&#233;cada de los 20 [<a href="#Wilson" name="CITEWilson">111925Wilson</a>]; durante las siguientes d&#233;cadas varios fueron los intentos por observar una aceleraci&#243;n en part&#237;culas cargadas antes y/o durante tormentas el&#233;ctricas, los resultados de dichas observaciones fueron contradictorios y nada claros. En 1985 Alexeenko et al.  realiza la primera inspecci&#243;n minuciosa entre medidas del CEA y variaciones en el registro de rayos c&#243;smicos encontrando correlaciones de corta duraci&#243;n (alrededor de 8 a 16 minutos) con un incremento en la tasa de conteo en el registro de rayos c&#243;smicos de 0.2 a 0.3%; trabajos posteriores como el de [<a href="#Aglietta" name="CITEAglietta">11999Aglietta et&nbsp;al.</a>],  [<a href="#Brunetti" name="CITEBrunetti">42000Brunetti et&nbsp;al.</a>] y  [<a href="#Vernetto" name="CITEVernetto">102001Vernetto et&nbsp;al.</a>], entre muchos otros, demostraron que el CEA afecta tanto a muones como electrones de carga positiva y negativa, adem&#225;s de mostrar un incremento en la radiaci&#243;n X y &#947;. Vernetto reporta un incremento en la tasa de conteo de un Chubasco Atmosf&#233;rico Extenso (EAS por sus siglas en ingl&#233;s) de 10 a 15% en un periodo de 10 a 20 minutos adem&#225;s, [<a href="#Alexeenko" name="CITEAlexeenko">21985Alexeenko et&nbsp;al.</a>] reportan incrementos en la tasa de conteo de hasta un 20% antes de una descarga el&#233;ctrica. <!---->   <!---->   <a name="tth_fIg1"></a> </font></p>     <center>       <p><font size="2" face="Verdana"><img src="/img/revistas/rbf/v17n1/v17n2a3datos_081006.png" alt="datos_081006.png" width="773" height="419" />        </font></p>       <center>         ]]></body>
<body><![CDATA[<p><font size="2" face="Verdana">Figure 1: Datos correspondientes al 06 de Octubre. (a) Registro al segundo de un d&#237;a para el centellador. (b) Registro al segundo de un d&#237;a para el CEA. (c) Registro del centellador promediado al minuto, la curva negra corresponde a los datos alisados. (d) Registro del CEA promediado al minuto, la curva negra corresponde a los datos alisados.</font></p>   </center>       <p><font size="2" face="Verdana"><a name="descrip">     </a>   </font></p> </center>     <p>   <font size="2" face="Verdana"> <!----> La generaci&#243;n del CEA se debe a la diferencia de potencial existente entre la Tierra y la Electr&#243;sfera, otras influencias atmosf&#233;ricas como las nubes cargadas el&#233;ctricamente son capaces de producir intensos campos el&#233;ctricos. El modelo cl&#225;sico de la distribuci&#243;n de cargas en las nubes establece que &#233;sta puede llegar a tener hasta tres centros de carga: uno ubicado en la cima de la nube, con una carga de +40 <i>coulombs</i>, alrededor de los 10 a 12 <i>Km</i> desde la superficie terrestre, una segunda concentraci&#243;n de carga, con -40 <i>coulombs</i>, ubicada alrededor de los 5 a 7 <i>Km</i>, tambi&#233;n medida desde la superficie, y una tercera carga no tan significativa que puede o no estar presente, con +3 <i>coulombs</i>, ubicada en la base de la nube alrededor de los 2 <i>Km</i>, &#233;stos valores solo son referenciales, ya que depender&#225;n del tipo de nube, su desarrollo, topolog&#237;a del terreno, etc. <!----> Las part&#237;culas que se ven inmersas en un CEA son aceleradas bajo el mecanismo <em>Electr&#243;n Fugitivo</em> (<em>Runaway Breakdown</em>) propuesto por [<a href="#Gurevich" name="CITEGurevich">61999Gurevich et&nbsp;al.Gurevich, Zybin, &amp; Roussel</a>], el cual establece que las part&#237;culas que son aceleradas dentro del campo el&#233;ctrico atmosf&#233;rico experimentan un incremento en su energ&#237;a y pueden llegar a producir nuevas part&#237;culas mediante interacciones con n&#250;cleos de la atm&#243;sfera, a su vez &#233;stas producen nuevas part&#237;culas por el mismo mecanismo hasta que las &#250;ltimas part&#237;culas no tengan la energ&#237;a suficiente para continuar con el proceso, de manera que el n&#250;mero de part&#237;culas aumenta de forma exponencial. <!----> El presente trabajo esta destinado a realizar un estudio de la influencia del CEA en el conteo de part&#237;culas generadas a partir de rayos c&#243;smicos detectados en el Laboratorio de F&#237;sica C&#243;smica de Chacaltaya (ubicado a 5230 m.s.n.m.) por un centellador, durante dos diferentes escenarios clim&#225;ticos: d&#237;as con buen tiempo meteorol&#243;gico y d&#237;as con tiempo meteorol&#243;gico perturbado por nubes, en un per&#237;odo de tres meses. <!----> </font></p>     <p><font size="2" face="Verdana"><strong><a name="tth_sEc2">   2</a>&nbsp;&nbsp;Detectores de Part&#237;culas en Chacaltaya</strong></font></p>     <p>   <font size="2" face="Verdana"> <!----> Existen diversos arreglos experimentales instalados en el Laboratorio de F&#237;sica C&#243;smica de Chacaltaya destinados a detectar part&#237;culas secundarias, las cuales, al igual que en cualquier parte del mundo, son afectadas por factores atmosf&#233;ricos. Los registros de part&#237;culas cargadas son constantemente corregidos por presi&#243;n y temperatura, ya que se cuenta con instrumentos para realizar &#233;stas medidas. Variaciones en el conteo de part&#237;culas durante tormentas el&#233;ctricas son observadas constantemente, algunas de ellas son reportadas en [<a href="#Velarde" name="CITEVelarde">72002Huaygua et&nbsp;al.Huaygua, Velarde, &amp; Saavedra</a>], encontrando un n&#250;mero estad&#237;sticamente significativo de tales eventos mediante correlaciones con equipos improvisados para detectar descargas el&#233;ctricas atmosf&#233;ricas; no es sino hasta Septiembre del a&#241;o 2008 que el Laboratorio empieza a registrar medidas del CEA con un instrumento espec&#237;fico para &#233;ste prop&#243;sito, es as&#237; que por primera vez, en &#233;ste trabajo, se realiza un estudio de las variaciones en el registro de part&#237;culas acompa&#241;adas por medidas del CEA. <!---->   <!---->   <a name="tth_fIg2"></a> </font></p>     <center>       <p><font size="2" face="Verdana"><img src="/img/revistas/rbf/v17n1/v17n2a3modulacion_pro.png" alt="modulacion_pro.png" width="560" height="420" />        </font></p>       <center>         <p><font size="2" face="Verdana">Figure 2: Modulaciones promedio. (a) Campo el&#233;ctrico atmosf&#233;rico. (b) Cuentas de part&#237;culas.</font></p>   </center>       <p><font size="2" face="Verdana"><a name="modulacion_pro">     </a>   </font></p> </center>     ]]></body>
<body><![CDATA[<p>   <font size="2" face="Verdana">   <!---->   <!---->   <a name="tth_fIg3"></a> </font></p>     <center>       <p><font size="2" face="Verdana"><img src="/img/revistas/rbf/v17n1/v17n2a3ciclo_pro.png" alt="ciclo_pro.png" width="648" height="442" />        </font></p>       <center>         <p><font size="2" face="Verdana">Figure 3: (a) Correlaci&#243;n promedio con los datos de las curvas alisadas. (b) Ajuste cuadr&#225;tico en la regi&#243;n de descenso del n&#250;mero de part&#237;culas.</font></p>   </center>       <p><font size="2" face="Verdana"><a name="ciclo_pro">     </a>   </font></p> </center>     <p>   <font size="2" face="Verdana">   <!----> </font></p>     <p><font size="2" face="Verdana"><strong><a name="tth_sEc3">   3</a>&nbsp;&nbsp;Obtenci&#243;n y Metodolog&#237;a de Datos</strong></font></p>     <p><font size="2" face="Verdana"><a name="sinnubes">   </a>      <!---->   En el Laboratorio de F&#237;sica C&#243;smica de Chacaltaya se encuentran instalados los equipos utilizados en &#233;ste trabajo. El primero, un sensor de campo el&#233;ctrico atmosf&#233;rico de la marca <em>Boltek</em>, modelo <em>EFM- 100</em> con un tiempo de respuesta de 0.1 segundos, un rango de resoluci&#243;n digital de 0.01 <i>kV</i>/<i>m</i>, y un rango de medici&#243;n desde -20 <i>kV</i>/<i>m</i> hasta +20 <i>kV</i>/<i>m</i>, s&#237; los valores medidos superan &#233;stos l&#237;mites el sensor se satura; para evitar saturaciones es posible disminuir la sensibilidad del <em>EFM- 100</em> a trav&#233;s de resistencias con valores adecuados. Debido al intenso campo el&#233;ctrico registrado durante las pruebas preliminares a la instalaci&#243;n del <em>EFM- 100</em>, se opta por reducir la sensibilidad del mismo a un 25% del valor original.      <!---->   El segundo es un detector de part&#237;culas compuesto por un centellador de pl&#225;stico de 0.25 <i>m</i><sup>2</sup> de &#225;rea y 0.1 <i>m</i> de espesor. Como se sabe, los centelladores s&#243;lo detectas part&#237;culas cargadas, fundamentalmente electrones y muones, por lo tanto resulta muy adecuado para nuestro prop&#243;sito.   <!----> </font></p>     <p><font size="2" face="Verdana"><strong><a name="tth_sEc3.1">   3.1</a>&nbsp;&nbsp;Selecci&#243;n de datos</strong></font></p>     ]]></body>
<body><![CDATA[<p>   <font size="2" face="Verdana"> <!----> Los datos utilizados para &#233;ste trabajo son los registrados durante los meses de Septiembre a Noviembre de 2008; se seleccionan y separan primero los registros diarios del CEA que presenten una modulaci&#243;n suave y de baja intensidad, luego se escogen d&#237;as en los cuales la intensidad del CEA muestre alteraciones bruscas y saturaciones en el equipo. El primer caso es denominado "d&#237;as con buen tiempo meteorol&#243;gico", ya que presentan un cielo con poco o nada de nubosidad, esto se corrobora con im&#225;genes satelitales obtenidas en [<a href="#nasa" name="CITEnasa">82010NASA</a>]. El segundo grupo es llamado "d&#237;as con tiempo meteorol&#243;gico perturbado"  por tratarse de d&#237;as con alteraciones el&#233;ctricas en la atm&#243;sfera debidas a la presencia de nubes cargadas el&#233;ctricamente, precipitaciones, rayos y otros, as&#237;, el primer grupo suma un total de 14 casos, en cambio, el segundo tiene 24 casos. <!---->   <!---->   <a name="tth_fIg4"></a> </font></p>     <center>       <p><font size="2" face="Verdana"><img src="/img/revistas/rbf/v17n1/v17n2a3variacion_porcentual.png" alt="variacion_porcentual.png" width="560" height="420" />        </font></p>       <center>         <p><font size="2" face="Verdana">Figure 4: Variaci&#243;n porcentual en el registro del centellador vs. variaci&#243;n porcentual del CEA. Cada punto representa un d&#237;a.</font></p>   </center>       <p><font size="2" face="Verdana"><a name="porcentual">     </a>   </font></p> </center>     <p>   <font size="2" face="Verdana">   <!---->   <!---->   <a name="tth_fIg5"></a> </font></p>     <center>       <p><font size="2" face="Verdana"><img src="/img/revistas/rbf/v17n1/v17n2a3rap_081007.png" alt="rap_081007.png" width="560" height="420" />        </font></p>       <center>         ]]></body>
<body><![CDATA[<p><font size="2" face="Verdana">Figure 5: Incremento en el n&#250;mero de part&#237;culas registrado el 07 de Octubre de 2008. Las l&#237;neas verticales muestran la coincidencia temporal entre ambos registros: CEA (a) y N (b).</font></p>   </center>       <p><font size="2" face="Verdana"><a name="rap_081007">     </a>   </font></p> </center>     <p>   <font size="2" face="Verdana">   <!----> </font></p>     <p><font size="2" face="Verdana"><strong><a name="tth_sEc3.2">   3.2</a>&nbsp;&nbsp;Metodolog&#237;a</strong></font></p>     <p>   <font size="2" face="Verdana">   <!----> </font></p>     <p><font size="2" face="Verdana"><strong><a name="tth_sEc3.2.1">   3.2.1</a>&nbsp;&nbsp;D&#237;as con buen tiempo meteorol&#243;gico</strong></font></p>     <p>   <font size="2" face="Verdana"> <!----> Los datos obtenidos por ambos detectores son registrados al segundo, lo que hace un total de 86400 valores al d&#237;a para cada detector. La Fig.&nbsp;<a href="#descrip">1</a> (a) y (c) muestran dicho registro para el centellador y el CEA respectivamente (los datos corresponden al 06 de Octubre). En el caso del centellador (Fig.&nbsp;<a href="#descrip">1</a>(a)) puede apreciarse tan s&#243;lo una franja, sin una modulaci&#243;n, sin embargo, si se toma el promedio de los valores sobre un minuto reducimos el n&#250;mero de registros a 1440 y posteriormente se realiza un alisado de la curva a trav&#233;s de una media m&#243;vil, aparece claramente una modulaci&#243;n. La Fig.&nbsp;<a href="#descrip">1</a>(b) muestra el resultado de dicho proceso, donde la curva negra es el alisado del registro promediado. Un proceso id&#233;ntico se lleva acabo para el caso del CEA, la Fig.&nbsp;<a href="#descrip">1</a>(d) muestra el resultado para este caso.    <!---->   Una vez que se obtienen las curvas alisadas de ambos registros para los 14 casos se realiza una gr&#225;fica promedio de ambas modulaciones (Fig.&nbsp;<a href="#modulacion_pro">2</a>). Se ve que ambas modulaciones tienen inicio a la misma hora aproximadamente, entre las 7 y 8 de la ma&#241;ana hora local.   <!---->   <!---->   <a name="tth_fIg6"></a> </font></p>     <center>       <p><font size="2" face="Verdana"><img src="/img/revistas/rbf/v17n1/v17n2a3rap_081013.png" alt="rap_081013.png" width="560" height="420" />        </font></p>       <center>         ]]></body>
<body><![CDATA[<p><font size="2" face="Verdana">Figure 6: Dos incrementos notables en el registro de part&#237;culas coincidentes con alteraciones en el CEA registrados el 13 de Octubre de 2008. Las l&#237;neas verticales muestran la coincidencia temporal entre ambos registros: CEA (a) y N (b).<br />     </font></p>   </center>       <p><font size="2" face="Verdana"><a name="rap_081013">     </a>   </font></p> </center>     <p>   <font size="2" face="Verdana">   <!---->   <!---->   <a name="tth_fIg7"></a> </font></p>     <center>       <p><font size="2" face="Verdana"><img src="/img/revistas/rbf/v17n1/v17n2a3rap_081110.png" alt="rap_081110.png" width="560" height="420" />        </font></p>       <center>         <p><font size="2" face="Verdana">Figure 7: Variaciones notables en el registro de part&#237;culas no coincidentes temporalmente con alteraciones en el CEA registrados el 10 de Noviembre de 2008. El desfasaje es de aproximadamente de siete horas. Las l&#237;neas verticales muestran el tiempo aproximado de duraci&#243;n de las perturbaciones en cada registro:  CEA (a) y N (b).<br />     </font></p>   </center>       <p><font size="2" face="Verdana"><a name="rap_081110">     </a>   </font></p> </center>     <p>   <font size="2" face="Verdana"> <!----> A continuaci&#243;n se realiza una correlaci&#243;n entre ambas modulaciones (Fig.&nbsp;<a href="#modulacion_pro">2</a>), la Fig.&nbsp;<a href="#ciclo_pro">3</a>(a) muestra el resultado, donde es posible distinguir el ciclo debido a que ambas modulaciones son opuestas, mientras una se incrementa, la otra disminuye y viceversa. En la etapa en que los valores del registro del centellador disminuyen, es posible realizar un ajuste cuadr&#225;tico (Fig.&nbsp;<a href="#ciclo_pro">3</a>(b)) con un coeficiente de correlaci&#243;n de 0.99, esta correlaci&#243;n entre ambos registros se mantiene por el lapso de 7 horas aproximadamente. <!---->   <!---->   <a name="tth_fIg8"></a> </font></p>     <center>       ]]></body>
<body><![CDATA[<p><font size="2" face="Verdana"><img src="/img/revistas/rbf/v17n1/v17n2a3porcen_081018.png" alt="porcen_081018.png" width="544" height="420" />        </font></p>       <center>         <p><font size="2" face="Verdana">Figure 8: Variaci&#243;n de corta duraci&#243;n registrada el 18 de Octubre de 2008. (a) Intensas variaciones en el registro del CEA. (b) Registro de part&#237;culas con dos variaciones de corta duraci&#243;n.</font></p>   </center>       <p><font size="2" face="Verdana"><a name="porcen_081018">     </a>   </font></p> </center>     <p>   <font size="2" face="Verdana">   <!----> </font></p>     <p><font size="2" face="Verdana"><strong><a name="tth_sEc3.2.2">   3.2.2</a>&nbsp;&nbsp;D&#237;as con tiempo meteorol&#243;gico perturbado</strong></font></p>     <p>   <font size="2" face="Verdana"> <!----> Primero realizamos un an&#225;lisis similar al caso anterior, reducimos el n&#250;mero de datos al minuto, luego se restan las modulaciones diarias obtenidas para el caso de d&#237;as con buen tiempo meteorol&#243;gico para as&#237; obtener ambos registros libres de las modulaciones. Se encuentran tres casos en los que destacan incrementos de larga duraci&#243;n en el registro de part&#237;culas acompa&#241;ado de intensos y bruscos cambios en la intensidad del CEA, sin embargo, el procedimiento descrito anteriormente hace imperceptibles las variaciones de corta duraci&#243;n en ambos registros, sobre todo en el de part&#237;culas, por lo que para detectar &#233;stas peque&#241;as variaciones se trabaja con los registros tomados al segundo. Para encontrar &#233;stas variaciones de corta duraci&#243;n se analizan las variaciones porcentuales en el registro de part&#237;culas que coincidan temporalmente con saturaciones prolongadas o s&#250;bitos cambios en la intensidad del CEA. Analizar las variaciones porcentuales no basta para poder identificar &#233;stos incrementos de corta duraci&#243;n, por lo que se realiz&#243; una media m&#243;vil al registro de part&#237;culas, esto ayuda a minimizar las fluctuaciones, poniendo en evidencia los incrementos de corta duraci&#243;n. Las gr&#225;ficas correspondientes a &#233;stos an&#225;lisis se muestran en la siguiente secci&#243;n. <!----> </font></p>     <p><font size="2" face="Verdana"><strong><a name="tth_sEc4">   4</a>&nbsp;&nbsp;Resultados</strong></font></p>     <p><font size="2" face="Verdana"><a name="resultados">   </a>      <!----> </font></p>     <p><font size="2" face="Verdana"><strong><a name="tth_sEc4.1">   4.1</a>&nbsp;&nbsp;D&#237;as con buen tiempo meteorol&#243;gico</strong></font></p>     ]]></body>
<body><![CDATA[<p>   <font size="2" face="Verdana"> <!----> Para verificar una variaci&#243;n en el n&#250;mero de cuentas de las part&#237;culas se restan las modulaciones diarias de ambos registros, una vez hecho esto es posible analizar las variaciones porcentuales m&#225;ximas. La Fig.&nbsp;<a href="#porcentual">4</a> muestra el resultado de dicho tratamiento, adem&#225;s, pone en evidencia la independencia de ambas modulaciones, es decir, no importa cuanto pueda crecer el CEA, como puede verse hasta casi un 200% respecto al m&#237;nimo diario, las part&#237;culas no sienten un incremento considerable, siempre est&#225;n entre 2 y 5% aproximadamente. Lo que podr&#237;a explicarse porque la intensidad del CEA en d&#237;as con buen tiempo meteorol&#243;gico no es lo suficientemente grande como para iniciar el proceso del <em>Electr&#243;n Fugitivo</em>.    <!----> </font></p>     <p><font size="2" face="Verdana"><strong><a name="tth_sEc4.2">   4.2</a>&nbsp;&nbsp;D&#237;as con tiempo meteorol&#243;gico perturbado</strong></font></p>     <p>   <font size="2" face="Verdana"> <!----> Como resultado del an&#225;lisis de variaciones de larga duraci&#243;n con tiempo meteorol&#243;gico perturbado se obtuvieron 3 casos. El primero de ellos (Fig.&nbsp;<a href="#rap_081007">5</a>) muestra un salto desde valores negativos hasta valores positivos respecto a la media en el registro de part&#237;culas que coincide con un descenso en el valor del CEA desde valores mayores a los 80 kV/m hasta un m&#237;nimo de 40 kV/m aproximadamente, con una duraci&#243;n cerca de 30 minutos empezando alrededor de las 13 horas. <!----> El siguiente caso (Fig.&nbsp;<a href="#rap_081013">6</a>) muestra dos notables variaciones del CEA que coinciden tambi&#233;n con dos incrementos en el registro de part&#237;culas. La primera variaci&#243;n que alcanza un poco m&#225;s de 20 kV/m con una duraci&#243;n de 3 horas aproximadamente que coincide con dos peque&#241;os picos en el registro de part&#237;culas, pero que no se ajustan del todo, temporalmente hablando, a los picos del CEA. La segunda variaci&#243;n en el CEA alcanza los 33 kV/m, dura alrededor de 2 horas y tambi&#233;n coincide con incrementos en el registro de part&#237;culas. Cabe destacar que el registro del CEA no sufre saturaciones, es decir, no llega al m&#225;ximo valor del sensor que es de 80 kV/m, y a&#250;n as&#237; existe incrementos notables en el registro de part&#237;culas. <!----> El registro realizado el 11 de Noviembre de 2008 (Fig.&nbsp;<a href="#rap_081110">7</a>) muestra un CEA sumamente perturbado, desde variaciones de corta duraci&#243;n, presumiblemente causadas por descargas el&#233;ctricas, hasta saturaciones prolongadas, siendo la m&#225;s larga cerca de 2 horas. A diferencia de los dos casos anteriores, la variaci&#243;n en el registro de part&#237;culas no es coincidente en tiempo, sino que despu&#233;s de varias horas de haber ocurrido las alteraciones en el CEA las part&#237;culas empiezan a sentir este efecto, y les toma alrededor de una hora m&#225;s regresar al n&#250;mero de part&#237;culas promedio, es decir que la perturbaci&#243;n del CEA dura cerca de 10 horas, en cambio el incremento en el n&#250;mero de part&#237;culas dura aproximadamente 11 horas. <!---->   <!---->   <a name="tth_fIg9"></a> </font></p>     <center>       <p><font size="2" face="Verdana"><img src="/img/revistas/rbf/v17n1/v17n2a3porcen_081113.png" alt="porcen_081113.png" width="560" height="420" />        </font></p>       <center>         <p><font size="2" face="Verdana">Figure 9: Variaci&#243;n de corta duraci&#243;n registrada el 13 de Noviembre de 2008. (a) Intensas variaciones en el registro del CEA. (b) Registro de part&#237;culas con dos variaciones de corta duraci&#243;n.<br />       <br />     </font></p>   </center>       <p><font size="2" face="Verdana"><a name="porcen_081113">     </a>   </font></p> </center>     <p>   <font size="2" face="Verdana"> <!----> A continuaci&#243;n se muestran los casos con variaciones de corta duraci&#243;n, en los cuales la media m&#243;vil, que es la l&#237;nea obscura y con poca variaci&#243;n colocada sobre el registro de part&#237;culas, ayuda a identificar los incrementos reales en el registro de part&#237;culas. El primero de &#233;stos casos es el registro tomado el d&#237;a 18 de Octubre de 2008 (Fig.&nbsp;<a href="#porcen_081018">8</a>), en el cual podemos destacar las intensas variaciones y saturaciones prolongadas en el registro del CEA (Fig.&nbsp;<a href="#porcen_081018">8</a>(a)), al mismo tiempo encontramos dos incrementos en el registro de part&#237;culas (Fig.&nbsp;<a href="#porcen_081018">8</a>(b)), el primero con una duraci&#243;n de 5 minutos aproximadamente y un incremento del 28.9 %, y el segundo, con una duraci&#243;n de alrededor de 15 minutos y un incremento del 33.4 %. <!----> El segundo caso fue registrado el 13 de Noviembre de 2008 (Fig.&nbsp;<a href="#porcen_081113">9</a>). En el panel superior podemos ver saturaciones en el registro que cambian r&#225;pidamente de signo, claro ejemplo de descargas el&#233;ctricas, existen tres secciones que podemos identificar con claridad, la primera que ocurre alrededor de las 11 horas, una segunda que ocurre entre las 13 y 16 horas aproximadamente, y la tercera alrededor de las 18 horas. En cambio, en el panel inferior, que es el registro de part&#237;culas, podemos observar tan s&#243;lo dos alteraciones que corresponden temporalmente a la segunda variaci&#243;n del CEA entre las 13 y 16 horas, el primero de ellos logra una variaci&#243;n del 31.2 % y dura aproximadamente 10 minutos, el segundo, un poco m&#225;s intenso y duradero, logra un incremento del 36.1 % por un tiempo no menor a los 20 minutos. <!----> Finalmente, el registro realizado el 19 de Noviembre de 2008 muestra un caso similar al anterior, en el registro del CEA tenemos dos regiones con cambios s&#250;bitos, el primero entre las 10 y 13 horas, y el segundo, menos intenso, entre las 16 y 17 horas, mientras que el registro de part&#237;culas (Fig.&nbsp;<a href="#porcen_081119">10</a>(b)) muestra solo una variaci&#243;n entre las 16 y 17 horas, en otras palabras, &#233;sta variaci&#243;n coincide con la variaci&#243;n del CEA menos intensa. La variaci&#243;n en el registro de part&#237;culas posee un incremento del 29.4 % y dura al rededor de 10 minutos. <!----> </font></p>     <p><font size="2" face="Verdana"><strong><a name="tth_sEc5">   5</a>&nbsp;&nbsp;Conclusiones</strong></font></p>     ]]></body>
<body><![CDATA[<p><font size="2" face="Verdana"><a name="conclusiones">   </a>      <!---->   Se logra realizar un primer estudio del CEA en el Laboratorio de F&#237;sica C&#243;smica de Chacaltaya encontrando un perfil promedio para d&#237;as con buen tiempo meteorol&#243;gico (Fig.&nbsp;<a href="#modulacion_pro">2</a>(a)), encontrando su valor m&#225;ximo cerca a las 15 horas en tiempo local, que es un resultado coincidente con el expuesto en [<a href="#Feynman" name="CITEFeynman">52000Feynman et&nbsp;al.Feynman, Leighton, &amp; Sands</a>], el cual establece que sin importar la ubicaci&#243;n geogr&#225;fica la m&#225;xima variaci&#243;n del potencial atmosf&#233;rico en d&#237;as con buen tiempo meteorol&#243;gico ocurre a las 19 horas del meridiano de Greenwich, adem&#225;s, Chacaltaya es un lugar bastante particular en este sentido, ya que el m&#237;nimo valor para d&#237;as con buen tiempo meteorol&#243;gico es del orden de 3 kV/m, a diferencia de los 0.1 kV/m mostrados en [<a href="#Ramachandran" name="CITERamachandran">92007Ramachandran et&nbsp;al.</a>] y [<a href="#Feynman" name="CITEFeynman">52000Feynman et&nbsp;al.Feynman, Leighton, &amp; Sands</a>]. Esta caracter&#237;stica es debida principalmente a dos peculiaridades que posee el laboratorio: la primera se debe a la altura a la que se encuentra Chacaltaya (5230 m.s.n.m.), adem&#225;s de tratarse de una monta&#241;a, y la segunda se debe a la particular ubicaci&#243;n del sensor <em>EFM -100</em>, ya que &#233;ste se encuentra en una torre que a su vez se halla sobre dep&#243;sitos de galena que intensifican el CEA, lo cual pudo comprobarse durante la calibraci&#243;n del sensor.   <!---->   <!---->   <a name="tth_fIg10">  </a> </font></p>     <center>       <p><font size="2" face="Verdana"><img src="/img/revistas/rbf/v17n1/v17n2a3porcen_081119.png" alt="porcen_081119.png" width="560" height="420" />        </font></p>       <center>         <p><font size="2" face="Verdana">Figure 10: Variaci&#243;n de corta duraci&#243;n registrada el 19 de Noviembre de 2008. (a) Variaciones en el registro del CEA con dos regiones muy bien diferenciadas. (b) Registro de part&#237;culas con tan solo una  variaci&#243;n de corta duraci&#243;n.</font></p>   </center>       <p><font size="2" face="Verdana"><a name="porcen_081119">     </a>   </font></p> </center>     <p>   <font size="2" face="Verdana"> <!----> Por otra parte, el an&#225;lisis realizado para encontrar alguna correlaci&#243;n entre el CEA y el registro de part&#237;culas durante d&#237;as con buen tiempo meteorol&#243;gico revel&#243; que ambas modulaciones diarias se originan al mismo tiempo y mantienen una alta correlaci&#243;n por varias horas (en promedio un coeficiente de correlaci&#243;n cuadr&#225;tico de 0.99 por un lapso de aproximadamente 7 horas). Sin embargo, el resultado final de &#233;ste an&#225;lisis lo muestra la Fig.&nbsp;<a href="#porcentual">4</a>, en el cual se aprecia una completa independencia entre ambas modulaciones.    <!---->   Para el caso de d&#237;as con tiempo meteorol&#243;gico perturbado se encuentran dos tipos de resultados, variaciones de larga y corta duraci&#243;n, que precisamente concuerdan con los reportados en [<a href="#Aglietta" name="CITEAglietta">11999Aglietta et&nbsp;al.</a>]. De 24 casos estudiados, tan solo 4 muestran variaciones de larga duraci&#243;n, siendo &#233;stos poco homog&#233;neos en su comportamiento, es decir, los incrementos en el registro de part&#237;culas no siempre ocurren simult&#225;neamente a las perturbaciones en el CEA, como es el caso del registro realizado el 10 de Noviembre de 2008 (Fig.&nbsp;<a href="#rap_081110">7</a>), el cual muestra un retraso de varias horas en el incremento del registro de part&#237;culas comparado al tiempo de inicio en las perturbaciones en el CEA.   <!---->   Para el caso de variaciones de corta duraci&#243;n se encontraron registros de 3 d&#237;as que concuerdan con &#233;ste perfil, los cuales revelan un incremento en la raz&#243;n de conteo de entre 29 y 36% con una duraci&#243;n de 5 a 20 minutos aproximadamente. Al parecer las variaciones de corta duraci&#243;n siempre son coincidentes, temporalmente hablando, con bruscos incrementos y saturaciones en el registro del CEA. Sin embargo, no siempre se presentan cuando el CEA sufre intensas y prolongadas fluctuaciones, claro ejemplo de ello son los registros realizados los d&#237;as 13 y 19 de Noviembre (Figs.&nbsp;<a href="#porcen_081113">9</a> y <a href="#porcen_081119">10</a>), el registro del CEA muestra marcadas regiones con intensas perturbaciones, pero el incremento en la raz&#243;n de conteo de las part&#237;culas solo es coincidente con algunas de &#233;stas regiones.   <!---->   En conclusi&#243;n podemos decir que los incrementos en las razones de conteos durante perturbaciones en el CEA, no son un efecto que siempre se presente, ni siquiera que tengan duraciones o intensidades iguales en todos los casos.   <!---->   Una raz&#243;n para que &#233;ste fen&#243;meno no sea constante podr&#237;a radicar en el detector de centelleo, ya que al ser de una superficie peque&#241;a la fluctuac&#237;on sobre la media es muy grande (de m&#225;s de 4&#963;), por lo que las variaciones debidas al CEA podr&#237;an estar inmersas dentro de las fluctuaciones, es por esto que un futuro an&#225;lisis debe usar un arreglo de detectores para el registro de part&#237;culas.   <!---->   <!----> </font></p>     <p><font size="2" face="Verdana"><strong>References</strong></font></p> <dl compact="compact">      <dt><font size="2" face="Verdana"><a href="#CITEAglietta" name="Aglietta">[11999Aglietta et&nbsp;al.]</a></font></dt><dd>        <!-- ref --><p><font size="2" face="Verdana"> 1.- Aglietta, M. et&nbsp;al. 1999, Proc. 26-th ICRC, 7, 351       <!---->    </font>&nbsp;&nbsp;&nbsp;&nbsp;&nbsp;&nbsp;&nbsp;&nbsp;[&#160;<a href="javascript:void(0);" onclick="javascript: window.open('/scielo.php?script=sci_nlinks&ref=225910&pid=S1562-3823201000010000300001&lng=','','width=640,height=500,resizable=yes,scrollbars=1,menubar=yes,');">Links</a>&#160;]<!-- end-ref --><dt><font size="2" face="Verdana"><a href="#CITEAlexeenko" name="Alexeenko">[21985Alexeenko et&nbsp;al.]</a></font></dt><dd>        <!-- ref --><p><font size="2" face="Verdana"> 2.- Alexeenko, V.&nbsp;V. et&nbsp;al. 1985, Proc. 19-th ICRC, 5, 352       <!---->    </font>&nbsp;&nbsp;&nbsp;&nbsp;&nbsp;&nbsp;&nbsp;&nbsp;[&#160;<a href="javascript:void(0);" onclick="javascript: window.open('/scielo.php?script=sci_nlinks&ref=225912&pid=S1562-3823201000010000300002&lng=','','width=640,height=500,resizable=yes,scrollbars=1,menubar=yes,');">Links</a>&#160;]<!-- end-ref --><dt><font size="2" face="Verdana"><a href="#CITEAlvarez" name="Alvarez">[32008Alvarez]</a></font></dt><dd>        <!-- ref --><p><font size="2" face="Verdana"> 3.- Alvarez, J. 2008, Efecto de las Tormentas El&#233;ctricas en los Rayos C&#243;smicos      Detectados en la Superficie Terrestre (Tesis de Maestr&#237;a, UNAM)      <!---->    </font>&nbsp;&nbsp;&nbsp;&nbsp;&nbsp;&nbsp;&nbsp;&nbsp;[&#160;<a href="javascript:void(0);" onclick="javascript: window.open('/scielo.php?script=sci_nlinks&ref=225914&pid=S1562-3823201000010000300003&lng=','','width=640,height=500,resizable=yes,scrollbars=1,menubar=yes,');">Links</a>&#160;]<!-- end-ref --><dt><font size="2" face="Verdana"><a href="#CITEBrunetti" name="Brunetti">[42000Brunetti et&nbsp;al.]</a></font></dt><dd>        <!-- ref --><p><font size="2" face="Verdana"> 4.- Brunetti, M. et&nbsp;al. 2000, Geophys. Res. Letter, 27, 1599       <!---->    </font>&nbsp;&nbsp;&nbsp;&nbsp;&nbsp;&nbsp;&nbsp;&nbsp;[&#160;<a href="javascript:void(0);" onclick="javascript: window.open('/scielo.php?script=sci_nlinks&ref=225916&pid=S1562-3823201000010000300004&lng=','','width=640,height=500,resizable=yes,scrollbars=1,menubar=yes,');">Links</a>&#160;]<!-- end-ref --><dt><font size="2" face="Verdana"><a href="#CITEFeynman" name="Feynman">[52000Feynman et&nbsp;al.Feynman, Leighton, &amp; Sands]</a></font></dt><dd>        <!-- ref --><p><font size="2" face="Verdana"> 5.- Feynman, Leighton, &amp; Sands. 2000, F&#237;sica Vol II      (Addison-Wesley-Longman)       <!---->    </font>&nbsp;&nbsp;&nbsp;&nbsp;&nbsp;&nbsp;&nbsp;&nbsp;[&#160;<a href="javascript:void(0);" onclick="javascript: window.open('/scielo.php?script=sci_nlinks&ref=225918&pid=S1562-3823201000010000300005&lng=','','width=640,height=500,resizable=yes,scrollbars=1,menubar=yes,');">Links</a>&#160;]<!-- end-ref --><dt><font size="2" face="Verdana"><a href="#CITEGurevich" name="Gurevich">[61999Gurevich et&nbsp;al.Gurevich, Zybin, &amp; Roussel]</a></font></dt><dd>        <!-- ref --><p><font size="2" face="Verdana"> 6.- Gurevich, A.&nbsp;V., Zybin, K.&nbsp;P., &amp; Roussel, R.&nbsp;A. 1999, Dupre Phys.Lett. A, 254,      79       <!---->    </font>&nbsp;&nbsp;&nbsp;&nbsp;&nbsp;&nbsp;&nbsp;&nbsp;[&#160;<a href="javascript:void(0);" onclick="javascript: window.open('/scielo.php?script=sci_nlinks&ref=225920&pid=S1562-3823201000010000300006&lng=','','width=640,height=500,resizable=yes,scrollbars=1,menubar=yes,');">Links</a>&#160;]<!-- end-ref --><dt><font size="2" face="Verdana"><a href="#CITEVelarde" name="Velarde">[72002Huaygua et&nbsp;al.Huaygua, Velarde, &amp; Saavedra]</a></font></dt><dd>        <!-- ref --><p><font size="2" face="Verdana"> 7.- Huaygua, N., Velarde, A., &amp; Saavedra, O. 2002, Revista Boliviana de      F&#237;sica, 8, 23      <!---->    </font>&nbsp;&nbsp;&nbsp;&nbsp;&nbsp;&nbsp;&nbsp;&nbsp;[&#160;<a href="javascript:void(0);" onclick="javascript: window.open('/scielo.php?script=sci_nlinks&ref=225922&pid=S1562-3823201000010000300007&lng=','','width=640,height=500,resizable=yes,scrollbars=1,menubar=yes,');">Links</a>&#160;]<!-- end-ref --><dt><font size="2" face="Verdana"><a href="#CITEnasa" name="nasa">[82010NASA]</a></font></dt><dd>        <!-- ref --><p><font size="2" face="Verdana">      8.- NASA. 2010, http://rapidfire.sci.gsfc.nasa.gov             <!---->    </font>&nbsp;&nbsp;&nbsp;&nbsp;&nbsp;&nbsp;&nbsp;&nbsp;[&#160;<a href="javascript:void(0);" onclick="javascript: window.open('/scielo.php?script=sci_nlinks&ref=225924&pid=S1562-3823201000010000300008&lng=','','width=640,height=500,resizable=yes,scrollbars=1,menubar=yes,');">Links</a>&#160;]<!-- end-ref --><dt><font size="2" face="Verdana"><a href="#CITERamachandran" name="Ramachandran">[92007Ramachandran et&nbsp;al.]</a></font></dt><dd>        <!-- ref --><p><font size="2" face="Verdana"> 9.- Ramachandran, V. et&nbsp;al. 2007, The South Pacific Journal of Natural Science,      12, 70       <!---->    </font>&nbsp;&nbsp;&nbsp;&nbsp;&nbsp;&nbsp;&nbsp;&nbsp;[&#160;<a href="javascript:void(0);" onclick="javascript: window.open('/scielo.php?script=sci_nlinks&ref=225926&pid=S1562-3823201000010000300009&lng=','','width=640,height=500,resizable=yes,scrollbars=1,menubar=yes,');">Links</a>&#160;]<!-- end-ref --><dt><font size="2" face="Verdana"><a href="#CITEVernetto" name="Vernetto">[102001Vernetto et&nbsp;al.]</a></font></dt><dd>        <!-- ref --><p><font size="2" face="Verdana"> 10.- Vernetto, S. et&nbsp;al. 2001, Proc. 27-th ICRC, 10, 4165       <!---->    </font>&nbsp;&nbsp;&nbsp;&nbsp;&nbsp;&nbsp;&nbsp;&nbsp;[&#160;<a href="javascript:void(0);" onclick="javascript: window.open('/scielo.php?script=sci_nlinks&ref=225928&pid=S1562-3823201000010000300010&lng=','','width=640,height=500,resizable=yes,scrollbars=1,menubar=yes,');">Links</a>&#160;]<!-- end-ref --><dt><font size="2" face="Verdana"><a href="#CITEWilson" name="Wilson">[111925Wilson]</a></font></dt><dd>        <!-- ref --><p><font size="2" face="Verdana"> 11.- Wilson, C.&nbsp;T. 1925, Proc. Cambridge Phil. Soc., 22, 534</font>&nbsp;&nbsp;&nbsp;&nbsp;&nbsp;&nbsp;&nbsp;&nbsp;[&#160;<a href="javascript:void(0);" onclick="javascript: window.open('/scielo.php?script=sci_nlinks&ref=225930&pid=S1562-3823201000010000300011&lng=','','width=640,height=500,resizable=yes,scrollbars=1,menubar=yes,');">Links</a>&#160;]<!-- end-ref --><p><font size="2" face="Verdana"><br />   <br /> </font></p> <hr />     <p><font size="2" face="Verdana"><small>File translated from   T<sub>E</sub>X   by <a href="http://hutchinson.belmont.ma.us/tth/">   T<sub>T</sub>H</a>,   version 3.89.<br />   On  8 Nov 2010, 09:33.</small> </font></p> </html>     <a href=http://www.scielo.org.bo/cgi-bin/wxis.exe/iah/?IsisScript=iah/iah.xis&nextAction=lnk&base=article^dlibrary&indexSearch=AU&exprSearch=../bases-work/rbf/rbf&lang=>^rND^sAglietta^nM.</a><a href=http://www.scielo.org.bo/cgi-bin/wxis.exe/iah/?IsisScript=iah/iah.xis&nextAction=lnk&base=article^dlibrary&indexSearch=AU&exprSearch=../bases-work/rbf/rbf&lang=>^rND^sAlexeenko^nV. V.</a><a href=http://www.scielo.org.bo/cgi-bin/wxis.exe/iah/?IsisScript=iah/iah.xis&nextAction=lnk&base=article^dlibrary&indexSearch=AU&exprSearch=../bases-work/rbf/rbf&lang=>^rND^sAlvarez^nJ.</a><a href=http://www.scielo.org.bo/cgi-bin/wxis.exe/iah/?IsisScript=iah/iah.xis&nextAction=lnk&base=article^dlibrary&indexSearch=AU&exprSearch=../bases-work/rbf/rbf&lang=>^rND^sBrunetti^nM.</a><a href=http://www.scielo.org.bo/cgi-bin/wxis.exe/iah/?IsisScript=iah/iah.xis&nextAction=lnk&base=article^dlibrary&indexSearch=AU&exprSearch=../bases-work/rbf/rbf&lang=>^rND^sFeynman, Leighton^nSands</a><a href=http://www.scielo.org.bo/cgi-bin/wxis.exe/iah/?IsisScript=iah/iah.xis&nextAction=lnk&base=article^dlibrary&indexSearch=AU&exprSearch=../bases-work/rbf/rbf&lang=>^rND^sGurevich^nA. V.^rND^sZybin^nK. P.^rND^sRoussel^nR. A</a><a href=http://www.scielo.org.bo/cgi-bin/wxis.exe/iah/?IsisScript=iah/iah.xis&nextAction=lnk&base=article^dlibrary&indexSearch=AU&exprSearch=../bases-work/rbf/rbf&lang=>^rND^sHuaygua^nN.^rND^sVelarde^nA.^rND^sSaavedra^nO.</a><a href=http://www.scielo.org.bo/cgi-bin/wxis.exe/iah/?IsisScript=iah/iah.xis&nextAction=lnk&base=article^dlibrary&indexSearch=AU&exprSearch=../bases-work/rbf/rbf&lang=>^rND^sRamachandran^nV.</a><a href=http://www.scielo.org.bo/cgi-bin/wxis.exe/iah/?IsisScript=iah/iah.xis&nextAction=lnk&base=article^dlibrary&indexSearch=AU&exprSearch=../bases-work/rbf/rbf&lang=>^rND^sVernetto^nS.</a><a href=http://www.scielo.org.bo/cgi-bin/wxis.exe/iah/?IsisScript=iah/iah.xis&nextAction=lnk&base=article^dlibrary&indexSearch=AU&exprSearch=../bases-work/rbf/rbf&lang=>^rND^sWilson^nC. T.</a><a href=http://www.scielo.org.bo/cgi-bin/wxis.exe/iah/?IsisScript=iah/iah.xis&nextAction=lnk&base=article^dlibrary&indexSearch=AU&exprSearch=../bases-work/rbf/rbf&lang=>^rND^nD.^sUrzagasti</a><a href=http://www.scielo.org.bo/cgi-bin/wxis.exe/iah/?IsisScript=iah/iah.xis&nextAction=lnk&base=article^dlibrary&indexSearch=AU&exprSearch=../bases-work/rbf/rbf&lang=>^rND^nD.^sUrzagasti</a><a href=http://www.scielo.org.bo/cgi-bin/wxis.exe/iah/?IsisScript=iah/iah.xis&nextAction=lnk&base=article^dlibrary&indexSearch=AU&exprSearch=../bases-work/rbf/rbf&lang=>^rND^nD^sUrzagasti</a><!DOCTYPE HTML PUBLIC "-//W3C//DTD HTML 4.0 Transitional//EN"            "http://www.w3.org/TR/REC-html40/loose.dtd"> <html>         <title> \uppercase{kinks y solitones en la ecuaci\'on de Ginzburg-Landau C\'ubica-Qu\'intica Real}\ \vspace{1em}Kinks and Solitons in the Cubic-Quintic Real\ Ginzburg-Landau Equation</title>       <p align="center"><font size="2" face="Verdana"> <font size="4"><strong>KINKS Y SOLITONES EN LA ECUACI&#211;N DE GINZBURG-LANDAU C&#218;BICA-QU&#205;NTICA REAL</strong></font><br />     <strong><font size="3"><br />   Kinks and Solitons in the Cubic-Quintic Real<br /> Ginzburg-Landau Equation </font></strong></font></p>     <p>   <font size="2" face="Verdana">   <!----> </font></p>     <p align="center"><font size="2" face="Verdana"><strong>D. Urzagasti </strong></font></p>     <p align="center"><strong><font size="2" face="Verdana"><font size="-1"><i>Instituto de Investigaciones F&#237;sicas<br />   Universidad Mayor de San Andr&#233;s<br />   Email: urza@fiumsa.edu.bo<br />   La Paz-Bolivia<br />   (<i>Recibido el 1 de septiembre de 2010; aceptado el 24 de septiembre de 2010</i>)</font></strong><font size="-1"></font></p> <font size="2" face="Verdana"></i></font></font>     <p>   <font size="2" face="Verdana">   <!---->   <!----> </font></p> <hr>     <p><font size="2" face="Verdana"> <strong>Abstract</strong></font></p>     <p><font size="2" face="Verdana">We numerically solve the parabolic cubic-quintic real Ginzburg-Landau equation in one dimension. It was found that non-divergent solutions connect fixed points. These appear as trajectories in the phase portrait connecting saddle points with spirals and nodes. These fronts (kinks) or spatial periodic structures travel stationarely along the one dimensional axis. From the solutions involving spirals we were able to assemble pairs of solutions to form stationary localized structures like domains and pulses.    <!----> </font></p>     <p><font size="2" face="Verdana"><i><b>Subject headings: </b></i>dynamical systems (nonlinear)  -  numerical integration   <!---->   <b>C&#243;digo(s) PACS: </b>05.45._a, 02.60.Jh   <!---->   </font></p>     <p><font size="2" face="Verdana"><b>Resumen<br />     </b><br />   Se resuelve num&#233;ricamente la ecuaci&#243;n parab&#243;lica de Ginzburg-Landau C&#250;bica-Qu&#237;ntica Real en una dimensi&#243;n. Las soluciones no divergentes encontradas son aquellas que conectan los distintos puntos fijos. Estas se presentan como trayectorias en el espacio de fases que conectan puntos silla con puntos fijos espirales y nodos y que tienen la forma de frentes (<i>kinks</i>) o de estructuras peri&#243;dicas espaciales que viajan estacionariamente en el espacio. A partir de las soluciones que involucran espirales, ha sido posible construir tambi&#233;n estructuras estacionarias localizadas espacialmente que tienen formas de dominios y pulsos.   <!----> </font></p>     ]]></body>
<body><![CDATA[<p><font size="2" face="Verdana"><i><b>Descriptores: </b></i>sistemas din&#225;micos no-lineales  -  integraci&#243;n num&#233;rica   <!----> </font></p>     <p>&nbsp;</p> <hr>     <p><font size="2" face="Verdana"><strong><a name="tth_sEc1">   1</a>&nbsp;&nbsp;Introducci&#243;n</strong></font></p>     <p>       <font size="2" face="Verdana">     <!---->     Muchos sino la mayor&#237;a de los problemas f&#237;sicos que se abordan desde el punto de vista anal&#237;tico se presentan con ecuaciones de car&#225;cter no lineal y no s&#243;lo con una variable independiente sino en general con varias, perteneciendo as&#237; al conjunto de tipos de ecuaciones conocidas como NPDEs (<i>nonlinear partial differential equations</i>). Podr&#237;a pensarse que dada su no-linealidad estos problemas no tienen soluci&#243;n anal&#237;tica exacta, y que la resoluci&#243;n debe afrontarse por medio de algoritmos num&#233;ricos; sin embargo, existen varias obras y art&#237;culos dedicados a la divulgaci&#243;n de muchos casos en los que se han encontrado soluciones exactas a problemas no-lineales espec&#237;ficos, entre ellos podemos citar el art&#237;culo de [<a href="#Ali" name="CITEAli">12007Ali et&nbsp;al.Ali, Soliman, &amp; Raslan</a>] en el que se muestra un m&#233;todo para hallar soluciones de NPDEs usando el m&#233;todo de la funci&#243;n coseno o el libro de [<a href="#Sachdev" name="CITESachdev">152000Sachdev</a>] en el que resume m&#233;todos para la obtenci&#243;n de soluciones exactas de muchos problemas no lineales. Pero al parecer, en la mayor&#237;a de los casos no se tiene tanto &#233;xito y tiene que recurrirse a m&#233;todos anal&#237;ticos aproximados como por ejemplo los m&#233;todos homot&#243;picos descritos entre otros por [<a href="#Babolian" name="CITEBabolian">32009Babolian et&nbsp;al.</a>] y [<a href="#Lin" name="CITELin">92009Lin</a>] y m&#233;todos para la contrucci&#243;n de pulsos en ecuaciones de amplitud como el descrito por [<a href="#Descalzi" name="CITEDescalzi">52003Descalzi</a>]. No obstante de que estos m&#233;todos puedan tener &#233;xito en muchos casos, no en todos, resultan muy engorrosos al manejar un gran n&#250;mero de t&#233;rminos en las aproximaciones aparte de la complejidad que pueden adquirir los mismos. No parace una forma pr&#225;ctica de abordar los problemas no-lineales con aproximaciones anal&#237;ticas cuando no existen soluciones exactas, entonces la integraci&#243;n num&#233;rica se presenta como el &#250;nico camino llano y promisorio en esta dif&#237;cil &#225;rea. Pero la resoluci&#243;n num&#233;rica es s&#243;lo una herramienta que cuando es bien utilizada brinda resultados muy precisos y con gran rapidez. Para ser bien utilizada, debe realizarse el an&#225;lisis de existencia, unicidad y estabilidad de las soluciones que se adapatar&#225;n lo mejor posible a la realidad de los resultados experimentales. En primer lugar, debe tenerse la seguridad de  que si es as&#237; predicho por estos an&#225;lisis, las soluciones num&#233;ricas corroboran y plasman en una "realidad num&#233;rica" todo aquello que se esperaba antes de la resoluci&#243;n y con una gran precisi&#243;n y eficiencia, lo que es ahora posible gracias a la gran velocidad de los procesadores computacionales y a los diferentes m&#233;todos num&#233;ricos desarrollados para la resuluci&#243;n de todo tipo de problemas (v&#233;ase por ejemplo ). El an&#225;lisis mencionado es muy complejo y actualmente est&#225; en una etapa de desarrollo muy fuerte, para empezar pueden citarse la obra ya cl&#225;sica y muy did&#225;ctica de [<a href="#Strogatz" name="CITEStrogatz">161994Strogatz</a>] y obras m&#225;s recientes y muy formales de [<a href="#Kuznetsov" name="CITEKuznetsov">81995Kuznetsov</a>] y [<a href="#Meiss" name="CITEMeiss">112007Meiss</a>]. Al respecto, muchos avances se han ido realizando hasta los recientes a&#241;os en distintas &#225;reas del &#225;mbito no lineal, v&#233;ase por ejemplo una revisi&#243;n completa mostrada por [<a href="#Aranson" name="CITEAranson">22002Aranson &amp; Kramer</a>] respecto al estado del estudio de las CGLEs (<i>Complex Ginzburg-Landau Equations</i>) y un resumen de diversos casos en la formaci&#243;n de estructuras localizadas dado por [<a href="#Coullet" name="CITECoullet">42002Coullet</a>]. En el caso del extenso grupo de las  CGLEs existe un subgrupo  muy importante de ecuaciones llamadas <i>Complex Cubic-Quintic Nonlinear Ginzburg-Landau Equations</i> o simplemente <i>cubic-quintic</i> CGLEs, en las que aparece la amplitud compleja e inc&#243;gnita en t&#233;rminos de tercer y quinto grado aparte de los lineales. Estas ecuaciones han sido ampliamente estudiadas, y para citar s&#243;lo unos cuantos ejemplos est&#225;n los trabajos de [<a href="#Ken" name="CITEKen">102005Maruno et&nbsp;al.Maruno, Ankiewicz, &amp; Akhmediev</a>] y [<a href="#kalash" name="CITEkalash">72009Kalashnikov</a>] donde se encuentran soluciones tipo <i>solitones disipativos</i> o el de [<a href="#Ngu" name="CITENgu">122008Nguenang et&nbsp;al.Nguenang,   Njassap&nbsp;Njassap     <!--hbox-->     , &amp; Kofan&#233;</a>] donde se modela el movimiento de paredes de dominios ferromagn&#233;ticos y el de [<a href="#Pelap" name="CITEPelap">132007Pelap et&nbsp;al.Pelap, Kenfack, &amp; Faye</a>] donde se estudia el comportamiento de soluciones del tipo de ondas de choque. Tambi&#233;n se han estudiado el caso de estas ecuaciones en su versi&#243;n real como en el caso del trabajo de [<a href="#Wei" name="CITEWei">182004Wei &amp; Winter</a>] en el que se estudian soluciones  con formas de ondas estacionarias cuando se considera un acople global para la estabilizaci&#243;n de dicha ecuaci&#243;n. En esta ocasi&#243;n, como un paso previo necesario para el estudio de ecuaciones tipo CGLEs se ha pensado estudiar la versi&#243;n real de las CGLEs, afrontando el problema de una ecuaci&#243;n parab&#243;lica t&#237;pica de problemas difusivos en una dimensi&#243;n espacial. Se trata de la ecuaci&#243;n de amplitud de  Ginzburg-Landau C&#250;bica-Qu&#237;ntica Real en una dimensi&#243;n que posee una soluci&#243;n exacta hasta el tercer grado en la amplitud, pero no cuando  la misma incluye un t&#233;rmino de quinto grado en la misma. En este trabajo se resuelve el problema de esta  ecuaci&#243;n  usando el procedimiento de an&#225;lisis previo mencionado, para proceder luego a la resoluci&#243;n num&#233;rica del problema. Se clasifican los distintos casos que podr&#237;an darse para diferentes  valores de los par&#225;metros y finalmente se construyen, a partir de las soluciones tipo <i>kinks</i> encontradas, las estructuras localizadas estacionarias, tambi&#233;n llamadas <i>solitones</i>. Ecuaciones como &#233;sta pueden encontrarse en diversas &#225;reas pero sobretodo en el &#225;rea que involucra problemas de difusi&#243;n del calor en reservorios de agua que intercambian masa y energ&#237;a con la atm&#243;sfera (). En general, la forma original de la ecuaci&#243;n no-lineal bajo estudio no tiene una forma sencilla, por ello se recurre a un  procedimiento de reducci&#243;n con la obtenci&#243;n de la llamada <i>forma normal</i> de la ecuaci&#243;n (v&#233;ase ), con la cual se puede trabajar con una forma m&#225;s o menos sencilla que puede complicarse agregando a la misma t&#233;rminos en forma de monomios o bien t&#233;rminos con mayores &#243;rdenes de derivadas. La ecuaci&#243;n de amplitud aqu&#237; estudiada ya est&#225; bajo su forma normal.     <!---->     ]]></body>
<body><![CDATA[</font></p>     <p><font size="2" face="Verdana"><a name="tth_sEc2"><strong>   2</strong></a><strong>&nbsp;&nbsp;Ecuaci&#243;n de Amplitud de  Ginzburg-Landau C&#250;bica-Qu&#237;ntica Real</strong></font></p>     <p><font size="2" face="Verdana"><a name="sec:level1">   </a>      <!---->   La ecuaci&#243;n de amplitud bajo estudio tiene la siguiente forma: <br clear="all" /> </font></p> <table border="0" width="100%"><tr><td> <table align="center" cellspacing="0"  cellpadding="2"><tr><td nowrap="nowrap" align="center">   <font size="2" face="Verdana">&#8706;<sub><i>t</i></sub><i>u</i>=&#8706;<sup>2</sup><sub><i>x</i></sub> <i>u</i>+<i>a</i>&nbsp;<i>u</i>+<i>b</i>&nbsp;<i>u</i><sup>3</sup>+<i>c</i>&nbsp;<i>u</i><sup>5</sup>,</font></td></tr></table> </td><td width="1%"><font size="2" face="Verdana">(1)</font></td></tr></table>       <p><font size="2" face="Verdana">la cual, sin el &#250;ltimo t&#233;rmino es tambi&#233;n conocida como la ecuaci&#243;n parab&#243;lica de Newell-Whitehead.   <!---->   En primera instancia, planteamos el an&#225;lisis desde el punto de vista de soluciones tipo frentes (<i>kinks</i>) de la siguiente manera: Haciendo el cambio de variable:    <br clear="all" /> </font></p> <table border="0" width="100%"><tr><td> <table align="center" cellspacing="0"  cellpadding="2"><tr><td nowrap="nowrap" align="center">   <font size="2" face="Verdana"><i>y</i>=<i>x</i>&#8722;<i>v</i>&nbsp;<i>t</i>,</font></td></tr></table> </td><td width="1%"><font size="2" face="Verdana">(2)</font></td></tr></table>       <p><font size="2" face="Verdana">con <i>v</i> constante, se tienen:    <br clear="all" /> </font></p> <table border="0" width="100%"><tr><td> <table align="center" cellspacing="0"  cellpadding="2"><tr><td nowrap="nowrap" align="center">   <font size="2" face="Verdana">&#8706;<sub><i>t</i></sub>=&#8722;<i>v</i>&nbsp;&#8706;<sub><i>y</i></sub>,&nbsp;&nbsp;&nbsp;&nbsp;&nbsp;&nbsp; &#8706;<sub><i>x</i></sub>=&#8706;<sub><i>y</i></sub>,&nbsp;&nbsp;&nbsp;&nbsp;&nbsp;&nbsp; &#8706;<sup>2</sup><sub><i>x</i></sub>=&#8706;<sup>2</sup><sub><i>y</i></sub>,</font></td></tr></table> </td><td width="1%"><font size="2" face="Verdana">(3)</font></td></tr></table>       <p><font size="2" face="Verdana">con lo que la ecuaci&#243;n toma la forma: <br clear="all" /> </font></p> <table border="0" width="100%"><tr><td> <table align="center" cellspacing="0"  cellpadding="2"><tr><td nowrap="nowrap" align="center">   <font size="2" face="Verdana">&#8722;<i>v</i>&#8706;<sub><i>y</i></sub> <i>u</i>=&#8706;<sup>2</sup><sub><i>y</i></sub> <i>u</i>+<i>a</i>&nbsp;<i>u</i>+<i>b</i>&nbsp;<i>u</i><sup>3</sup>+<i>c</i>&nbsp;<i>u</i><sup>5</sup>.</font></td></tr></table> </td><td width="1%"><font size="2" face="Verdana">(4)</font></td></tr></table>        <p>   <font size="2" face="Verdana"> <!----> Introduciendo la notaci&#243;n: <br clear="all" /> </font></p> <table border="0" width="100%"><tr><td> <table align="center" cellspacing="0"  cellpadding="2"><tr><td nowrap="nowrap" align="center"> </td><td nowrap="nowrap" align="center">   <font size="2" face="Verdana">&#8901;<br />   <i>A</i><br />   &nbsp;</font></td><td nowrap="nowrap" align="center"><font size="2" face="Verdana"> =&#8706;<sub><i>y</i></sub> <i>A</i>,&nbsp;&nbsp;&nbsp;&nbsp;&nbsp;&nbsp; <i>y</i><sub>1</sub>=<i>u</i>,&nbsp;&nbsp;&nbsp;&nbsp;&nbsp;&nbsp; <i>y</i><sub>2</sub>=</font></td><td nowrap="nowrap" align="center">     <font size="2" face="Verdana">&#8901;<br />     <i>y</i><sub>1</sub><br />     &nbsp;</font></td><td nowrap="nowrap" align="center"><font size="2" face="Verdana"> ,</font></td></tr></table> </td><td width="1%"><font size="2" face="Verdana">(5)</font></td></tr></table>       <p><font size="2" face="Verdana">se tiene el par de ecuaciones    <br clear="all" /> </font></p> <table border="0" width="100%"><tr><td> <table border="0" cellspacing="0" cellpadding="0">  <tr><td width="50%"></td><td nowrap="nowrap" align="right" colspan="1"><table border="0" cellspacing="0" cellpadding="2"><tr><td nowrap="nowrap" align="left">    <font size="2" face="Verdana"><i>f</i><sub>1</sub></font></td></tr></table></td><td nowrap="nowrap" align="left"> <table border="0" cellspacing="0" cellpadding="2"><tr><td nowrap="nowrap" align="left"><font size="2" face="Verdana"> =</font></td></tr></table></td><td nowrap="nowrap" align="left"> <table border="0" cellspacing="0" cellpadding="2"><tr><td nowrap="nowrap" align="left"> </td><td nowrap="nowrap" align="center">   <font size="2" face="Verdana">&#8901;<br />   <i>y</i><br />   &nbsp;</font></td><td nowrap="nowrap" align="center">     <font size="2" face="Verdana">     <!--sup -->     <br />     <small>1</small>&nbsp;<br />     </font></td><td nowrap="nowrap" align="center"><font size="2" face="Verdana"> =<i>y</i><sub>2</sub>,</font></td></tr></table></td><td width="50%"></td></tr>  <tr><td width="50%"></td><td nowrap="nowrap" align="right" colspan="1"><table border="0" cellspacing="0" cellpadding="2"><tr><td nowrap="nowrap" align="left">    <font size="2" face="Verdana"><i>f</i><sub>2</sub></font></td></tr></table></td><td nowrap="nowrap" align="left"> <table border="0" cellspacing="0" cellpadding="2"><tr><td nowrap="nowrap" align="left"><font size="2" face="Verdana"> =</font></td></tr></table></td><td nowrap="nowrap" align="left"> <table><tr><td nowrap="nowrap" align="right" colspan="1"></td><td nowrap="nowrap" align="center">   <font size="2" face="Verdana">&#8901;<br />   <i>y</i><br />   &nbsp;</font></td><td nowrap="nowrap" align="center">     <font size="2" face="Verdana">     <!--sup -->     <br />     <small>2</small>&nbsp;<br />     </font></td><td nowrap="nowrap" align="center"><font size="2" face="Verdana"> =&#8722;<i>v</i>&nbsp;<i>y</i><sub>2</sub>&#8722;<i>a</i>&nbsp;<i>y</i><sub>1</sub>&#8722;<i>b</i>&nbsp;<i>y</i><sub>1</sub><sup>3</sup>&#8722;<i>c</i>&nbsp;<i>y</i><sub>1</sub><sup>5</sup>.</font></td></tr></table></td><td width="50%"></td><td width="1" align="right"><font size="2" face="Verdana">(6)</font></td></tr></table> </td></tr></table>        <p>   <font size="2" face="Verdana">   <!----> </font></p>     <p><font size="2" face="Verdana"><strong><a name="tth_sEc3">   3</a>&nbsp;&nbsp; Puntos de equilibrio: &#8594;<i>f</i>=0</strong></font></p>     ]]></body>
<body><![CDATA[<p>   <font size="2" face="Verdana"> <!----> N&#243;tese que se tiene la libertad de realizar un reescalamiento haciendo  cualquiera de los par&#225;metros, <i>a</i>, <i>b</i> &#243; <i>c</i> igual a la unidad. En este caso se elige:  <br clear="all" /> </font></p> <table border="0" width="100%"><tr><td> <table align="center" cellspacing="0"  cellpadding="2"><tr><td nowrap="nowrap" align="center">   <font size="2" face="Verdana"><i>c</i>=1.</font></td></tr></table> </td><td width="1%"><font size="2" face="Verdana">(7)</font></td></tr></table>        <p>   <font size="2" face="Verdana">   <!---->   Existen diferentes puntos fijos (puntos de equilibrio):    <!---->   <i>Punto A.</i> Un punto de equilibrio corresponde a la soluci&#243;n homog&#233;nea:   <!---->   <br clear="all" /> </font></p> <table border="0" width="100%"><tr><td> <table align="center" cellspacing="0"  cellpadding="2"><tr><td nowrap="nowrap" align="center"><font size="2" face="Verdana"> ( <i>y</i><sub>1</sub><sup>&#8727;</sup>, <i>y</i><sub>2</sub><sup>&#8727;</sup>)=0.</font></td></tr></table> </td><td width="1%"><font size="2" face="Verdana">(8)</font></td></tr></table>        <p>   <font size="2" face="Verdana">   <!---->   <i>Punto B.</i> Otros puntos de equilibrio corresponden a las soluciones:      <br clear="all" /> </font></p> <table border="0" width="100%"><tr><td> <table align="center" cellspacing="0"  cellpadding="2"><tr><td nowrap="nowrap" align="center">   <font size="2" face="Verdana"><i>y</i><sub>1</sub><sup>&#8727;2</sup>=</font></td><td nowrap="nowrap" align="center"> <font size="2" face="Verdana"><i>b</i></font> <hr noshade="noshade" size="1"/> <font size="2" face="Verdana">2<br /> </font></td><td nowrap="nowrap" align="center"><font size="2" face="Verdana"> (&#8722;1&#177;[1&#8722;&#945;]<sup>1/2</sup>),&nbsp;&nbsp;&nbsp; <i>y</i><sub>2</sub><sup>&#8727;</sup>=0,</font></td></tr></table> </td><td width="1%"><font size="2" face="Verdana">(9)</font></td></tr></table>       <p><font size="2" face="Verdana">donde    <br clear="all" /> </font></p> <table border="0" width="100%"><tr><td> <table align="center" cellspacing="0"  cellpadding="2"><tr><td nowrap="nowrap" align="center">   <font size="2" face="Verdana">&#945; = </font></td><td nowrap="nowrap" align="center"><font size="2" face="Verdana"> 4<i>a</i>   </font>     <hr noshade="noshade" size="1"/>     <font size="2" face="Verdana"><i>b</i><sup>2</sup><br />     </font></td><td nowrap="nowrap" align="center">       <font size="2" face="Verdana">&#8804; 1.</font></td></tr></table> </td><td width="1%"><font size="2" face="Verdana">(10)</font></td></tr></table>        <p>   <font size="2" face="Verdana">   <!---->   <!---->   <a name="tth_fIg1"></a> </font></p>     <center>       <p><font size="2" face="Verdana"><img src="/img/revistas/rbf/v17n1/v17n2a4bif.gif" alt="bif.gif" width="331" height="315" />        </font></p>       <center>         <p><font size="2" face="Verdana">Figure 1: <a name="fig1">       </a> En esta figura se muestra la relaci&#243;n entre los valores de las posiciones de los puntos de equilibrio <i>y</i><sub>1</sub><sup>&#8727;</sup> y los par&#225;metros <i>a</i> y <i>b</i> de la Ec. (1). El par&#225;metro &#945; = 4<i>a</i>/<i>b</i><sup>2</sup> &#8804; 1 (Ec. 10). La l&#237;nea vertical en <i>Z</i><sub>1</sub>=0 corresponde  a <i>y</i><sub>1</sub><sup>&#8727;</sup>=0 del <i>Punto A</i>. La curva s&#243;lida corresponde  al caso <i>b</i> &lt; 0 del <i>Punto B</i>, mientras que la curva segmentada corresponde al caso <i>b</i> &gt; 0 del mismo punto (Ec.&nbsp;17). N&#243;tese c&#243;mo la bifurcaci&#243;n se da a partir del punto (0,0) en esta figura, ya sea para <i>b</i> &gt; 0 o para <i>b</i> &lt; 0. Los casos que pueden presentarse se resumen usando como ejemplo los puntos fijos representados en la figura:        Los puntos del tipo <i>A</i><sub>1</sub>, <i>B</i><sub>2</sub>, <i>B</i><sub>3</sub> &#243; <i>B</i><sub>4</sub> pueden ser espirales, nodos o centros. Los puntos del tipo  <i>B</i><sub>1</sub> &#243; <i>A</i><sub>2</sub> son sillas. Dada la simetr&#237;a respecto del eje <i>Z</i><sub>1</sub>=0, los puntos a la izquierda de este eje son similares a los de la derecha del mismo. </font></p>   </center> </center>     <p>   <font size="2" face="Verdana">   <!---->   <!---->   <a name="tth_fIg2"></a> </font></p>     ]]></body>
<body><![CDATA[<center> <table> <tr><td align="left"></td><td align="left"><font size="2" face="Verdana">(a) Espiral: <i>v</i>=1/2 </font></td><td align="left"></td></tr> <tr><td align="left"><font size="2" face="Verdana"><img src="/img/revistas/rbf/v17n1/v17n2a4fases12e.gif" alt="fases12e.gif" width="346" height="328" /> </font></td> <td align="left"><font size="2" face="Verdana"><img src="/img/revistas/rbf/v17n1/v17n2a4u12e.gif" alt="u12e.gif" width="354" height="325" /> </font></td> <td align="left"><font size="2" face="Verdana"><img src="/img/revistas/rbf/v17n1/v17n2a4v12e.gif" alt="v12e.gif" width="354" height="325" /></font></td> </tr> <tr><td align="left"></td><td align="left"><font size="2" face="Verdana">(b) Nodo: <i>v</i>=5 </font></td><td align="left"></td></tr> <tr><td align="left"><font size="2" face="Verdana"><img src="/img/revistas/rbf/v17n1/v17n2a4fases12n.gif" alt="fases12n.gif" width="346" height="334" /> </font></td> <td align="left"><font size="2" face="Verdana"><img src="/img/revistas/rbf/v17n1/v17n2a4u12n.gif" alt="u12n.gif" width="354" height="325" /> </font></td> <td align="left"><font size="2" face="Verdana"><img src="/img/revistas/rbf/v17n1/v17n2a4v12n.gif" alt="v12n.gif" width="354" height="325" /></font></td> </tr> <tr><td align="left"></td><td align="left"><font size="2" face="Verdana">(c) Centro: <i>v</i>=0 </font></td><td align="left"></td></tr> <tr><td align="left"><font size="2" face="Verdana"><img src="/img/revistas/rbf/v17n1/v17n2a4fases12c.gif" alt="fases12c.gif" width="358" height="334" /> </font></td> <td align="left"><font size="2" face="Verdana"><img src="/img/revistas/rbf/v17n1/v17n2a4u12c.gif" alt="u12c.gif" width="354" height="325" /> </font></td> <td align="left"><font size="2" face="Verdana"><img src="/img/revistas/rbf/v17n1/v17n2a4v12c.gif" alt="v12c.gif" width="366" height="331" /></font></td> </tr></table>       <center>       <p><font size="2" face="Verdana">Figure 2: Trayectorias que conectan puntos fijos de los tipos <i>A</i><sub>1</sub> y <i>B</i><sub>1</sub> de la Fig.&nbsp;1 para el caso &#945; = 3/4 con <i>a</i>=3 y <i>b</i>=&#8722;4.     Se muestran las correspondientes amplitudes <i>y</i><sub>1</sub> y <i>y</i><sub>2</sub> como funciones de la posici&#243;n <i>x</i> (el valor del tiempo es arbitrario), las cuales para <i>v</i> &gt; 0 tienen la forma de frentes (<i>kinks</i>) que viajan hacia la izquierda con la velocidad <i>v</i>, mientras que para <i>v</i>=0 tienen la forma de estructuras peri&#243;dicas estacionarias.<br />     <br />   </font></p> </center> </center>     <p>   <font size="2" face="Verdana">   <!---->   <!---->   <a name="tth_fIg3"></a> </font></p>     <center> <table> <tr><td align="left"></td><td align="left"><font size="2" face="Verdana">(a) Espiral: <i>v</i>=1 </font></td><td align="left"></td></tr> <tr><td align="left"><font size="2" face="Verdana"><img src="/img/revistas/rbf/v17n1/v17n2a4fases23e.gif" alt="fases23e.gif" width="349" height="334" /> </font></td> <td align="left"><font size="2" face="Verdana"><img src="/img/revistas/rbf/v17n1/v17n2a4u23e.gif" alt="u23e.gif" width="354" height="330" /> </font></td> <td align="left"><font size="2" face="Verdana"><img src="/img/revistas/rbf/v17n1/v17n2a4v23e.gif" alt="v23e.gif" width="354" height="331" /></font></td> </tr> <tr><td align="left"></td><td align="left"><font size="2" face="Verdana">(b) Nodo: <i>v</i>=8 </font></td><td align="left"></td></tr> <tr><td align="left"><font size="2" face="Verdana"><img src="/img/revistas/rbf/v17n1/v17n2a4fases23n.gif" alt="fases23n.gif" width="349" height="333" /> </font></td> <td align="left"><font size="2" face="Verdana"><img src="/img/revistas/rbf/v17n1/v17n2a4u23n.gif" alt="u23n.gif" width="354" height="330" /> </font></td> <td align="left"><font size="2" face="Verdana"><img src="/img/revistas/rbf/v17n1/v17n2a4v23n.gif" alt="v23n.gif" width="354" height="330" /></font></td> </tr> <tr><td align="left"></td><td align="left"><font size="2" face="Verdana">(c) Centro: <i>v</i>=0 </font></td><td align="left"></td></tr> <tr><td align="left"><font size="2" face="Verdana"><img src="/img/revistas/rbf/v17n1/v17n2a4fases23c.gif" alt="fases23c.gif" width="354" height="334" /> </font></td> <td align="left"><font size="2" face="Verdana"><img src="/img/revistas/rbf/v17n1/v17n2a4u23c.gif" alt="u23c.gif" width="354" height="325" /> </font></td> <td align="left"><font size="2" face="Verdana"><img src="/img/revistas/rbf/v17n1/v17n2a4v23c.gif" alt="v23c.gif" width="354" height="325" /></font></td> </tr></table>       <center>       <p><font size="2" face="Verdana">Figure 3: Trayectorias que conectan puntos fijos de los tipos <i>B</i><sub>1</sub> y <i>B</i><sub>2</sub> de la Fig.&nbsp;1 para el caso &#945; = 3/4 con <i>a</i>=3 y <i>b</i>=&#8722;4.     Se muestran las correspondientes amplitudes <i>y</i><sub>1</sub> y <i>y</i><sub>2</sub> como funciones de la posici&#243;n <i>x</i> (el valor del tiempo es arbitrario), las cuales para <i>v</i> &gt; 0 tienen la forma de frentes (<i>kinks</i>) que viajan hacia la derecha con la velocidad <i>v</i>, mientras que para <i>v</i>=0 tienen la forma de estructuras peri&#243;dicas estacionarias.<br />     <br />   </font></p> </center> </center>     <p>   <font size="2" face="Verdana">   <!---->   <!---->   <a name="tth_fIg4"></a> </font></p>     <center> <table> <tr><td align="left"><font size="2" face="Verdana">(a) Ensamblaje usando el quinto m&#237;nimo local.</font></td><td align="left"></td><td align="left"></td></tr> <tr><td align="left"><font size="2" face="Verdana"><img src="/img/revistas/rbf/v17n1/v17n2a4f10.gif" alt="f10.gif" width="349" height="334" /> </font></td> <td align="left"><font size="2" face="Verdana"><img src="/img/revistas/rbf/v17n1/v17n2a4u10.gif" alt="u10.gif" width="343" height="330" /> </font></td> <td align="left"><font size="2" face="Verdana"><img src="/img/revistas/rbf/v17n1/v17n2a4v10.gif" alt="v10.gif" width="343" height="331" /></font></td> </tr> <tr><td align="left"><font size="2" face="Verdana">(b) Ensamblaje usando el primer m&#237;nimo local.</font></td><td align="left"></td><td align="left"></td></tr> <tr><td align="left"><font size="2" face="Verdana"><img src="/img/revistas/rbf/v17n1/v17n2a4f2.gif" alt="f2.gif" width="349" height="334" /> </font></td> <td align="left"><font size="2" face="Verdana"><img src="/img/revistas/rbf/v17n1/v17n2a4u2.gif" alt="u2.gif" width="354" height="330" /> </font></td> <td align="left"><font size="2" face="Verdana"><img src="/img/revistas/rbf/v17n1/v17n2a4v2.gif" alt="v2.gif" width="354" height="331" /></font></td> </tr> <tr><td align="left"><font size="2" face="Verdana">(c) Ensamblaje usando el primer m&#225;ximo local. </font></td><td align="left"></td><td align="left"></td></tr> <tr><td align="left"><font size="2" face="Verdana"><img src="/img/revistas/rbf/v17n1/v17n2a4f1.gif" alt="f1.gif" width="349" height="334" /> </font></td> <td align="left"><font size="2" face="Verdana"><img src="/img/revistas/rbf/v17n1/v17n2a4u1.gif" alt="u1.gif" width="343" height="330" /> </font></td> <td align="left"><font size="2" face="Verdana"><img src="/img/revistas/rbf/v17n1/v17n2a4v1.gif" alt="v1.gif" width="343" height="331" /></font></td> </tr></table>       <center>       ]]></body>
<body><![CDATA[<p><font size="2" face="Verdana">Figure 4: Estructuras localizadas obtenidas del ensamblaje de las trayectorias espirales de la Fig.&nbsp;3a que conectan puntos fijos de los tipos <i>B</i><sub>1</sub> y <i>B</i><sub>2</sub> de la Fig.&nbsp;1 para el caso &#945; = 3/4 con <i>a</i>=3 y <i>b</i>=&#8722;4. Se muestran s&#243;lo tres ejemplos representativos para tres valores de <i>x</i><sub>0</sub>:  (a) <i>x</i><sub>0</sub> coincide con el quinto m&#237;nimo local, dando una estructura de la forma de un dominio localizado en el espacio; (b) <i>x</i><sub>0</sub> coincide con el primer m&#237;nimo local, dando una estructura con dos picos y un valle entre ellos y (c) <i>x</i><sub>0</sub> coincide con el primer m&#225;ximo local, dando la estructura de un pulso localizado.<br />       <br />   </font></p> </center> </center>     <p>   <font size="2" face="Verdana">   <!----> </font></p>     <p><font size="2" face="Verdana"><a name="tth_sEc4">   <strong>4</strong></a><strong>&nbsp;&nbsp; Estabilidad lineal y bifurcaciones</strong></font></p>     <p><font size="2" face="Verdana">La matriz jacobiana asociada al sistema    <br clear="all" /> </font></p> <table border="0" width="100%"><tr><td> <table align="center" cellspacing="0"  cellpadding="2"><tr><td nowrap="nowrap" align="center"> </td><td nowrap="nowrap" align="center"> <table border="0" cellspacing="0" cellpadding="0"><tr><td nowrap="nowrap" align="center">   <font size="2" face="Verdana"><i>d</i></font></td><td nowrap="nowrap" align="center">     <font size="2" face="Verdana">&#8594;<br />     <i>y</i><br />     &nbsp;</font></td></tr></table> <hr noshade="noshade" size="1"/> <font size="2" face="Verdana"><i>dt</i><br /> </font></td><td nowrap="nowrap" align="center"><font size="2" face="Verdana"> =</font></td><td nowrap="nowrap" align="center">   <font size="2" face="Verdana">&#8594;<br />   <i>f</i><br />   &nbsp;</font></td><td nowrap="nowrap" align="center"> </td></tr></table> </td></tr></table>       <p><font size="2" face="Verdana">es:    <!---->   <br clear="all" />  </font></p> <table border="0" width="100%"><tr><td> <table align="center" cellspacing="0"  cellpadding="2"><tr><td nowrap="nowrap" align="center">   <font size="2" face="Verdana"><i>A</i> = </font></td><td align="left"><font size="2" face="Verdana">&#x239B;<br />     &#x239C;<br /> &#x239C;<br /> &#x239D;   </font></td><td nowrap="nowrap" align="center"> <table> <tr><td align="center"><table border="0" cellspacing="0" cellpadding="0"><tr><td nowrap="nowrap" align="center">   <font size="2" face="Verdana">&#8706;<sub>1</sub><i>f</i><sub>1</sub> </font></td></tr></table></td><td align="center"><table border="0" cellspacing="0" cellpadding="0"><tr><td nowrap="nowrap" align="center">     <font size="2" face="Verdana">&#8706;<sub>2</sub><i>f</i><sub>1</sub> </font></td></tr></table></td></tr> <tr><td align="center"><table border="0" cellspacing="0" cellpadding="0"><tr><td nowrap="nowrap" align="center">   <font size="2" face="Verdana">&#8706;<sub>1</sub><i>f</i><sub>2</sub> </font></td></tr></table></td><td align="center"><table border="0" cellspacing="0" cellpadding="0"><tr><td nowrap="nowrap" align="center">     <font size="2" face="Verdana">&#8706;<sub>2</sub><i>f</i><sub>2</sub> </font></td></tr></table></td></tr></table> </td><td align="left"><font size="2" face="Verdana">&#x239E;<br />   &#x239F;<br /> &#x239F;<br /> &#x23A0; </font></td><td nowrap="nowrap" align="center"><font size="2" face="Verdana">  = </font></td><td align="left"><font size="2" face="Verdana">&#x239B;<br />    &#x239C;<br /> &#x239C;<br /> &#x239D;  </font></td><td nowrap="nowrap" align="center"> <table> <tr><td align="center"><table border="0" cellspacing="0" cellpadding="0"><tr><td nowrap="nowrap" align="center"><font size="2" face="Verdana"> 0 </font></td></tr></table></td><td align="center"><table border="0" cellspacing="0" cellpadding="0"><tr><td nowrap="nowrap" align="center"><font size="2" face="Verdana"> 1 </font></td></tr></table></td></tr> <tr><td align="center"><table border="0" cellspacing="0" cellpadding="0"><tr><td nowrap="nowrap" align="center">   <font size="2" face="Verdana">&#8706;<sub>1</sub><i>f</i><sub>2</sub> </font></td></tr></table></td><td align="center"><table border="0" cellspacing="0" cellpadding="0"><tr><td nowrap="nowrap" align="center">     <font size="2" face="Verdana">&#8722;<i>v</i> </font></td></tr></table></td></tr></table> </td><td align="left"><font size="2" face="Verdana">&#x239E;<br />   &#x239F;<br /> &#x239F;<br /> &#x23A0; </font></td><td nowrap="nowrap" align="center"><font size="2" face="Verdana"> ,</font></td></tr></table> </td><td width="1%"><font size="2" face="Verdana">(11)</font></td></tr></table>        <p><font size="2" face="Verdana">donde     <br clear="all" />  </font></p> <table border="0" width="100%"><tr><td> <table align="center" cellspacing="0"  cellpadding="2"><tr><td nowrap="nowrap" align="center">   <font size="2" face="Verdana">&#8706;<sub>1</sub><i>f</i><sub>2</sub>=&#8722;<i>a</i>&#8722;3<i>b</i>&nbsp;<i>y</i><sub>1</sub><sup>2</sup>&#8722;5&nbsp;<i>y</i><sub>1</sub><sup>4</sup>.</font></td></tr></table> </td><td width="1%"><font size="2" face="Verdana">(12)</font></td></tr></table>         <p>    <font size="2" face="Verdana"> <!----> La ecuaci&#243;n caracter&#237;stica del problema es entonces: <br clear="all" />  </font></p> <table border="0" width="100%"><tr><td> <table align="center" cellspacing="0"  cellpadding="2"><tr><td nowrap="nowrap" align="center">&nbsp; </td><td nowrap="nowrap" align="center"><font size="2" face="Verdana"> det<br /> </font></td><td nowrap="nowrap"><font size="2" face="Verdana">(<i>A</i>&#8722;&#955;<i>I</i>)=&#955;<sup>2</sup>&#8722;&#964;&#955;+&#8710; = 0,</font></td></tr></table> </td><td width="1%"><font size="2" face="Verdana">(13)</font></td></tr></table>        <p><font size="2" face="Verdana">donde para los distintos puntos fijos:    <!---->   <br />   <br />    <i>Punto A.</i> &nbsp; En este caso: <br clear="all" />  </font></p> <table border="0" width="100%"><tr><td> <table align="center" cellspacing="0"  cellpadding="2"><tr><td nowrap="nowrap" align="center">   <font size="2" face="Verdana">&#964; = &#8722;<i>v</i>,&nbsp;&nbsp;&nbsp;&#8710; = <i>a</i>.</font></td></tr></table> </td><td width="1%"><font size="2" face="Verdana">(14)</font></td></tr></table>         <p>    <font size="2" face="Verdana">    <!---->    <i>Punto B.</i> &nbsp; En este otro caso: <br clear="all" />  </font></p> <table border="0" width="100%"><tr><td> <table align="center" cellspacing="0"  cellpadding="2"><tr><td nowrap="nowrap" align="center">   <font size="2" face="Verdana">&#964; = &#8722;<i>v</i>,&nbsp;&nbsp;&nbsp;&#8710; = &#8722;</font></td><td nowrap="nowrap" align="center"><font size="2" face="Verdana"> 4<i>a</i>   </font>     <hr noshade="noshade" size="1"/>     <font size="2" face="Verdana">&#945;<br />     </font></td><td nowrap="nowrap" align="center"><font size="2" face="Verdana"> (1&#8722;&#945;)<sup>1/2</sup>{&#177;1&#8722;(1&#8722;&#945;)<sup>1/2</sup>}.</font></td></tr></table> </td><td width="1%"><font size="2" face="Verdana">(15)</font></td></tr></table>         <p>    <font size="2" face="Verdana"> <!----> Para &#8710; &lt; 0 se tienen puntos silla.  Para &#8710; &gt; 0, la estabilidad la define <i>v</i>&nbsp;&nbsp;: Si <i>v</i> &gt; 0 se tiene un equilibrio estable, si <i>v</i> &lt; 0 se tiene un equilibrio inestable y si <i>v</i>=0 se tienen centros. Por otro lado, el tipo de estabilidad lo define &#8710;: Si &#8710; &gt; <i>v</i><sup>2</sup>/4 se tienen espirales, de lo contrario,  si 0 &lt; &#8710; &#8804; <i>v</i><sup>2</sup>/4 se tienen nodos.  <!----> Definiendo:  <br clear="all" />  </font></p> <table border="0" width="100%"><tr><td> <table align="center" cellspacing="0"  cellpadding="2"><tr><td nowrap="nowrap" align="center">   <font size="2" face="Verdana"><i>Z</i><sub>1</sub>=</font></td><td align="left"><font size="2" face="Verdana">&#x239B;<br />     &#x239D;   </font></td><td nowrap="nowrap" align="center"><font size="2" face="Verdana"> 1   </font>     <hr noshade="noshade" size="1"/>     <font size="2" face="Verdana">&#124;<i>b</i>&#124;<br />     </font></td><td align="left"><font size="2" face="Verdana">&#x239E;<br />       &#x23A0;     </font></td><td nowrap="nowrap" align="center">       <font size="2" face="Verdana"><small>1/2</small>       <!--sup -->       <br />       <br /> &nbsp;<br />       </font></td><td nowrap="nowrap" align="center">         <font size="2" face="Verdana"><i>y</i><sub>1</sub><sup>&#8727;</sup>&nbsp;,</font></td></tr></table> </td><td width="1%"><font size="2" face="Verdana">(16)</font></td></tr></table>        ]]></body>
<body><![CDATA[<p><font size="2" face="Verdana">se puede escribir para el <i>Punto B</i>:    <br clear="all" />  </font></p> <table border="0" width="100%"><tr><td> <table align="center" cellspacing="0"  cellpadding="2"><tr><td nowrap="nowrap" align="center">   <font size="2" face="Verdana">&#945; = </font></td><td align="left"><font size="2" face="Verdana">&#x23A7;<br />     &#x23AA;<br />     &#x23A8;<br /> &#x23AA;<br /> &#x23A9;   </font></td><td nowrap="nowrap" align="center"> <table> <tr><td align="left"><table border="0" cellspacing="0" cellpadding="0"><tr><td nowrap="nowrap" align="center">   <font size="2" face="Verdana">&#8722;4&nbsp;<i>Z</i><sub>1</sub><sup>2</sup>(1+<i>Z</i><sub>1</sub><sup>2</sup>), </font></td></tr></table></td><td align="left"><table border="0" cellspacing="0" cellpadding="0"><tr><td nowrap="nowrap" align="center">     <font size="2" face="Verdana">&nbsp;&nbsp;&nbsp; <i>b</i> &gt;  0,</font></td></tr></table></td></tr> <tr><td align="left"><table border="0" cellspacing="0" cellpadding="0"><tr><td nowrap="nowrap" align="center"> </td></tr></table></td></tr> <tr><td align="left"><table border="0" cellspacing="0" cellpadding="0"><tr><td nowrap="nowrap" align="center">   <font size="2" face="Verdana">&#8722;4&nbsp;<i>Z</i><sub>1</sub><sup>2</sup>(<i>Z</i><sub>1</sub><sup>2</sup>&#8722;1),</font></td></tr></table></td><td align="left"><table border="0" cellspacing="0" cellpadding="0"><tr><td nowrap="nowrap" align="center">     <font size="2" face="Verdana">&nbsp;&nbsp;&nbsp; <i>b</i> &lt; 0.</font></td></tr></table></td></tr></table> </td><td nowrap="nowrap" align="center"> </td></tr></table> </td><td width="1%"><font size="2" face="Verdana">(17)</font></td></tr></table>         <p>    <font size="2" face="Verdana"> <!----> En la Fig. 1 se muestran las curvas que relacionan los par&#225;metros de la Ec.&nbsp;4. En la misma se resumen todos los casos posibles usando varios puntos fijos de ejemplo en distintas partes del diagrama. <!---->  </font></p>      <p><font size="2" face="Verdana"><strong><a name="tth_sEc5">   5</a>&nbsp;&nbsp;Trayectorias entre los puntos fijos</strong></font></p>      <p>    <font size="2" face="Verdana">    <!---->  </font></p>      <p><font size="2" face="Verdana"><strong><a name="tth_sEc5.1">   5.1</a>&nbsp;&nbsp;Trayectorias que involucran puntos silla</strong></font></p>      <p>    <font size="2" face="Verdana"> <!----> Para el caso de puntos silla se necesitan los eigenvectores que definir&#225;n las variedades estable e inestable de la silla. Partiendo de los eigenvalores <br clear="all" />  </font></p> <table border="0" width="100%"><tr><td> <table align="center" cellspacing="0"  cellpadding="2"><tr><td nowrap="nowrap" align="center">   <font size="2" face="Verdana">&#955;<sub>[&#177;]</sub>=</font></td><td nowrap="nowrap" align="center"><font size="2" face="Verdana"> 1   </font>     <hr noshade="noshade" size="1"/>     <font size="2" face="Verdana">2<br />     </font></td><td nowrap="nowrap" align="center"><font size="2" face="Verdana"> (&#964;&#177;[&#964;<sup>2</sup>&#8722;4&#8710;]<sup>1/2</sup>),</font></td></tr></table> </td><td width="1%"><font size="2" face="Verdana">(18)</font></td></tr></table>        <p><font size="2" face="Verdana">reemplazados en la ecuaci&#243;n (<i>A</i>&#8722;&#955;<i>I</i>)&#8594;<i>y</i>=0, se obtienen los correspondientes eigenvectores:    <br clear="all" />  </font></p> <table border="0" width="100%"><tr><td> <table align="center" cellspacing="0"  cellpadding="2"><tr><td nowrap="nowrap" align="center"> </td><td nowrap="nowrap" align="center">   <font size="2" face="Verdana">&#8594;<br />   <i>y</i><br />   &nbsp;</font></td><td nowrap="nowrap" align="center">     <font size="2" face="Verdana">     <!--sup -->     <br />     <small>[&#177;]</small>&nbsp;<br />     </font></td><td nowrap="nowrap" align="center"><font size="2" face="Verdana"> =(1,&#955;<sub>[&#177;]</sub>)</font></td></tr></table> </td><td width="1%"><font size="2" face="Verdana">(19)</font></td></tr></table>         <p>    <font size="2" face="Verdana">    <!---->    En el caso <i>v</i> &gt; 0, el signo (+) corresponde a la variedad inestable y el signo (&#8722;) a la variedad estable de la silla.    <!---->    Ahora bien, cualquier condici&#243;n inicial se puede escribir como <br clear="all" />  </font></p> <table border="0" width="100%"><tr><td> <table align="center" cellspacing="0"  cellpadding="2"><tr><td nowrap="nowrap" align="center"> </td><td nowrap="nowrap" align="center">   <font size="2" face="Verdana">&#8594;<br />   <i>y</i><br />   &nbsp;</font></td><td nowrap="nowrap" align="center">     <font size="2" face="Verdana">     <!--sup -->     <br />     <small>0</small>&nbsp;<br />     </font></td><td nowrap="nowrap" align="center"><font size="2" face="Verdana"> =<i>c</i><sub>[+]</sub></font></td><td nowrap="nowrap" align="center">   <font size="2" face="Verdana">&#8594;<br />   <i>y</i><br />   &nbsp;</font></td><td nowrap="nowrap" align="center">     <font size="2" face="Verdana">     <!--sup -->     <br />     <small>[+]</small>&nbsp;<br />     </font></td><td nowrap="nowrap" align="center"><font size="2" face="Verdana"> +<i>c</i><sub>[&#8722;]</sub></font></td><td nowrap="nowrap" align="center">   <font size="2" face="Verdana">&#8594;<br />   <i>y</i><br />   &nbsp;</font></td><td nowrap="nowrap" align="center">     <font size="2" face="Verdana">     <!--sup -->     <br />     <small>[&#8722;]</small>&nbsp;<br />     </font></td><td nowrap="nowrap" align="center"><font size="2" face="Verdana"> ,</font></td></tr></table> </td><td width="1%"><font size="2" face="Verdana">(20)</font></td></tr></table>        <p><font size="2" face="Verdana">donde <i>c</i><sub>[+]</sub> y <i>c</i><sub>[&#8722;]</sub> son constantes;    y la soluci&#243;n lineal muy cerca del punto silla se escribe: <br clear="all" />  </font></p> <table border="0" width="100%"><tr><td> <table align="center" cellspacing="0"  cellpadding="2"><tr><td nowrap="nowrap" align="center"> </td><td nowrap="nowrap" align="center">   <font size="2" face="Verdana">&#8594;<br />   <i>y</i><br />   &nbsp;</font></td><td nowrap="nowrap" align="center"><font size="2" face="Verdana"> =<i>c</i><sub>[+]</sub></font></td><td nowrap="nowrap" align="center">   <font size="2" face="Verdana">&#8594;<br />   <i>y</i><br />   &nbsp;</font></td><td nowrap="nowrap" align="center">     <font size="2" face="Verdana">     <!--sup -->     <br />     <small>[+]</small>&nbsp;<br />     </font></td><td nowrap="nowrap" align="center">       <font size="2" face="Verdana"><i>e</i><sup>&#955;<sub>[+]</sub><i>t</i></sup>+<i>c</i><sub>[&#8722;]</sub></font></td><td nowrap="nowrap" align="center">         <font size="2" face="Verdana">&#8594;<br />         <i>y</i><br />         &nbsp;</font></td><td nowrap="nowrap" align="center">           <font size="2" face="Verdana">           <!--sup -->           <br />           <small>[&#8722;]</small>&nbsp;<br />           </font></td><td nowrap="nowrap" align="center">             <font size="2" face="Verdana"><i>e</i><sup>&#955;<sub>[&#8722;]</sub><i>t</i></sup>.</font></td></tr></table> </td><td width="1%"><font size="2" face="Verdana">(21)</font></td></tr></table>         <p>    <font size="2" face="Verdana"> <!----> N&#243;tese, a modo de ejemplo, que si se quiere seguir la trayectoria partiendo de la variedad inestable de la silla, debe hacerse <i>c</i><sub>[&#8722;]</sub>=0 y <i>c</i><sub>[+]</sub> lo  suficientemente peque&#241;a para que sea v&#225;lida la aproximaci&#243;n lineal. <!---->  </font></p>      ]]></body>
<body><![CDATA[<p><font size="2" face="Verdana"><strong><a name="tth_sEc5.2">   5.2</a>&nbsp;&nbsp;Casos estudiados</strong></font></p>      <p>    <font size="2" face="Verdana"> <!----> A fin de estudiar todas las posibilidades se consideran las distintas trayectorias que conectan puntos fijos similares a los representados en la Fig.&nbsp;1 (<i>A</i><sub>1</sub>, <i>B</i><sub>1</sub>, etc.). Estas trayectorias son obtenidas integrando num&#233;ricamente el par de ecuaciones (6) a partir de las variedades inestables de los puntos silla considerados. Los resultados de las trayectorias elegidas se muestran en las Figs.&nbsp;2&nbsp;y&nbsp;3. Se eligieron s&#243;lo los conjuntos de trayectorias de los tipos <i>B</i><sub>1</sub>&#8594; <i>A</i><sub>1</sub> (Fig.&nbsp;2) y <i>B</i><sub>1</sub>&#8594; <i>B</i><sub>2</sub> (Fig.&nbsp;3) ya que las de los tipos <i>A</i><sub>2</sub>&#8594; <i>B</i><sub>3</sub>  y <i>A</i><sub>2</sub>&#8594; <i>B</i><sub>4</sub> son similares a las mismas. N&#243;tese que no pueden conectarse los puntos <i>B</i><sub>3</sub>  y <i>B</i><sub>4</sub> ya que estos no coexisten.     <!---->  </font></p>      <p><font size="2" face="Verdana"><strong><a name="tth_sEc6">   6</a>&nbsp;&nbsp;Estructuras Localizadas</strong></font></p>      <p>    <font size="2" face="Verdana"> <!----> Si se considera el t&#233;rmino adicional <i>v</i>&#8706;<sub><i>x</i></sub> <i>u</i> en la Ec.&nbsp;1, resulta la ecuaci&#243;n: <br clear="all" />  </font></p> <table border="0" width="100%"><tr><td> <table align="center" cellspacing="0"  cellpadding="2"><tr><td nowrap="nowrap" align="center">   <font size="2" face="Verdana">&#8706;<sub><i>t</i></sub><i>u</i>=<i>v</i>&#8706;<sub><i>x</i></sub> <i>u</i>+&#8706;<sup>2</sup><sub><i>x</i></sub> <i>u</i>+<i>a</i>&nbsp;<i>u</i>+<i>b</i>&nbsp;<i>u</i><sup>3</sup>+<i>c</i>&nbsp;<i>u</i><sup>5</sup>.</font></td></tr></table> </td><td width="1%"><font size="2" face="Verdana">(22)</font></td></tr></table>        <p><font size="2" face="Verdana">La cual, en el caso estacionario toma la misma forma que la Ec.&nbsp;4: <br clear="all" />  </font></p> <table border="0" width="100%"><tr><td> <table align="center" cellspacing="0"  cellpadding="2"><tr><td nowrap="nowrap" align="center">   <font size="2" face="Verdana"><i>v</i>&#8706;<sub><i>x</i></sub> <i>u</i>+&#8706;<sup>2</sup><sub><i>x</i></sub> <i>u</i>+<i>a</i>&nbsp;<i>u</i>+<i>b</i>&nbsp;<i>u</i><sup>3</sup>+<i>u</i><sup>5</sup>=0,</font></td></tr></table> </td><td width="1%"><font size="2" face="Verdana">(23)</font></td></tr></table>        <p><font size="2" face="Verdana">donde se ha tomado como antes <i>c</i>=1.    <!---->   N&#243;tese que en esta ecuaci&#243;n si <i>u</i> es soluci&#243;n de la misma, &#8722;<i>u</i> tambi&#233;n lo es. Otra simetr&#237;a, en este caso de  reflexi&#243;n, surge de que la ecuaci&#243;n (23) no sufre ninguna modificaci&#243;n si se hacen los cambios <i>v</i>&#8594; &#8722;<i>v</i> y <i>x</i>&#8594; &#8722;<i>x</i>+2<i>x</i><sub>0</sub>, donde <i>x</i><sub>0</sub> es una constante arbitraria. Se tiene as&#237; que si <i>u</i><sub>1</sub>(<i>x</i>) es soluci&#243;n de (23), <i>u</i><sub>2</sub>(<i>x</i>)=<i>u</i><sub>1</sub>(2<i>x</i><sub>0</sub>&#8722;<i>x</i>) tambi&#233;n lo es. Debe hacerse notar que aqu&#237; <i>v</i> no debe interpretarse necesariamente como una velocidad, ya que en este caso el par&#225;metro <i>v</i> ha aparecido en un nuevo t&#233;rmino insertado en la ecuaci&#243;n original. Estructuras estacionarias localizadas espacialmente pueden ser construidas entonces ensamblando las soluciones <i>u</i><sub>1</sub> y <i>u</i><sub>2</sub>. Las &#250;nicas condiciones para que tanto las amplitudes como sus derivadas primera y segunda empalmen en el punto <i>x</i><sub>0</sub> son que las derivadas primeras en este punto sean nulas. De esta manera, s&#243;lo es posible un ensamblaje con soluciones que involucren puntos fijos espirales como las de las Figs.&nbsp;2a&nbsp;y&nbsp;3a. <!----> En la Fig.&nbsp;4 se muestran tres estructuras localizadas representativas obtenidas  usando las trayectorias del caso de la espiral de la Fig.&nbsp;3a. Como puede observarse en la misma, se tienen tanto formas del tipo de dominios localizados  (estructuras anchas) como de pulsos localizados (estructuras delgadas). Estas estructuras deben verse como un tipo especial de estructuras conocidas en general como <i>solitones</i>.  <!---->  </font></p>      <p><font size="2" face="Verdana"><strong><a name="tth_sEc7">   7</a>&nbsp;&nbsp;Sumario y Conclusiones</strong></font></p>      <p>    <font size="2" face="Verdana"> <!----> Se ha abordado el problema de la resoluci&#243;n de una ecuaci&#243;n parab&#243;lica de amplitud de tipo difusivo en una dimensi&#243;n considerando monomios en la amplitud de hasta quinto grado,  esta es la ecuaci&#243;n  de Ginzburg-Landau C&#250;bica-Qu&#237;ntica Real, la cual, hasta el  tercer grado en la amplitud posee soluciones anal&#237;ticas exactas, no as&#237; cuando tiene incluido el t&#233;rmino de quinto grado en la amplitud. Luego de analizar c&#243;mo encarar el problema de la resoluci&#243;n y haber agotado las t&#233;cnicas de aproximaci&#243;n anal&#237;tica, se ha procedido al an&#225;lisis de estabilidad lineal de los puntos fijos asociados y la caracterizaci&#243;n de los mismos habiendo resumido todos los posibles casos en un diagrama que relaciona los par&#225;metros. Se han encontrado seis tipos de puntos fijos que pueden ser sillas, espirales, nodos o centros. Luego se ha encontrado que la resoluci&#243;n num&#233;rica del problema es la m&#225;s adecuada, precisa y r&#225;pida una vez que se han identificado todas las posibles trayectorias que puedan conectar los puntos fijos mencionados. Por razones pr&#225;cticas de integraci&#243;n num&#233;rica se ha visto que el comenzar la integraci&#243;n a partir de la variedad inestable de una silla es el mejor camino en cuanto a precisi&#243;n y tambi&#233;n con el fin de asegurar que las soluciones est&#233;n acotadas y conecten puntos fijos. De esta manera se han hallado y se muestran en este trabajo soluciones t&#237;picas que dan lugar a comportamientos mon&#243;tonos de los <i>kinks</i> cuando se conectan una silla y un nodo; comportamiento oscilatorios amortiguados de los mismos, cuando se conecta una silla con un punto fijo espiral y la desaparici&#243;n de los <i>kinks</i> cuando el t&#233;rmino de disipaci&#243;n desaparece, dando lugar a estructuras peri&#243;dicas en el espacio. Todo esto desde un punto de vista de <i>kinks</i> que viajan estacionariamente en uno u otro sentido del &#250;nico eje espacial considerado. Sin embargo, aparte de estas soluciones tipo frentes viajeros o de patrones peri&#243;dicos, las propiedades de simetr&#237;a de reflexi&#243;n de la ecuaci&#243;n estudiada permiten la construcci&#243;n de patrones o estructuras estacionarias localizadas espacialmente, mediante el ensamblaje de pares de soluciones que cumplan las condiciones de que tanto la amplitud como sus derivadas sean iguales en en punto de ensamblaje, condici&#243;n que s&#243;lo se da en el caso de que las primeras derivadas de dichas soluciones en dicho punto sean nulas, por lo tanto este procedimiento s&#243;lo resulta posible para las trayectorias que conectan puntos silla con puntos fijos espirales. Dada la presencia de espirales en las soluciones encontradas, el procedimiento de ensamblaje resulta aplicable y se en cuentran dos tipos principales de estructuras localizadas: dominios y pulsos localizados. <!----> Finalmente, todos estos resultados deben ser puestos a prueba experimentalmente, principalmente en problemas de difusi&#243;n estacionarios, una primera sugerencia es la de aplicarlos a la ecuaci&#243;n no-lineal de difusi&#243;n del calor en un sistema compuesto por un reservorio de agua en contacto con la atm&#243;sfera, por ejemplo. <!---->  </font></p>      <p><font size="2" face="Verdana"><strong>References</strong></font></p> <dl compact="compact">      <dt><font size="2" face="Verdana"><a href="#CITEAli" name="Ali">[12007Ali et&nbsp;al.Ali, Soliman, &amp; Raslan]</a></font></dt><dd>        ]]></body>
<body><![CDATA[<!-- ref --><p><font size="2" face="Verdana"> 1.- Ali, A.&nbsp;H.&nbsp;A., Soliman, A.&nbsp;A., &amp; Raslan, K.&nbsp;R. 2007, Phys. Lett. A, 368, 299       <!---->    </font>&nbsp;&nbsp;&nbsp;&nbsp;&nbsp;&nbsp;&nbsp;&nbsp;[&#160;<a href="javascript:void(0);" onclick="javascript: window.open('/scielo.php?script=sci_nlinks&ref=226028&pid=S1562-3823201000010000400001&lng=','','width=640,height=500,resizable=yes,scrollbars=1,menubar=yes,');">Links</a>&#160;]<!-- end-ref --><dt><font size="2" face="Verdana"><a href="#CITEAranson" name="Aranson">[22002Aranson &amp; Kramer]</a></font></dt><dd>        <!-- ref --><p><font size="2" face="Verdana"> 2.- Aranson, I.&nbsp;S. &amp; Kramer, L. 2002, Reviews of Modern Physics, 74, 99       <!---->    </font>&nbsp;&nbsp;&nbsp;&nbsp;&nbsp;&nbsp;&nbsp;&nbsp;[&#160;<a href="javascript:void(0);" onclick="javascript: window.open('/scielo.php?script=sci_nlinks&ref=226030&pid=S1562-3823201000010000400002&lng=','','width=640,height=500,resizable=yes,scrollbars=1,menubar=yes,');">Links</a>&#160;]<!-- end-ref --><dt><font size="2" face="Verdana"><a href="#CITEBabolian" name="Babolian">[32009Babolian et&nbsp;al.]</a></font></dt><dd>        <!-- ref --><p><font size="2" face="Verdana"> 3.- Babolian, E. et&nbsp;al. 2009, Appl. Math. Sciences, 3, No. 45, 2215       <!---->    </font>&nbsp;&nbsp;&nbsp;&nbsp;&nbsp;&nbsp;&nbsp;&nbsp;[&#160;<a href="javascript:void(0);" onclick="javascript: window.open('/scielo.php?script=sci_nlinks&ref=226032&pid=S1562-3823201000010000400003&lng=','','width=640,height=500,resizable=yes,scrollbars=1,menubar=yes,');">Links</a>&#160;]<!-- end-ref --><dt><font size="2" face="Verdana"><a href="#CITECoullet" name="Coullet">[42002Coullet]</a></font></dt><dd>        <!-- ref --><p><font size="2" face="Verdana">      4.- Coullet, P. 2002, Int. J. Bifurcation Chaos Appl. Sci. Eng., 12, 2445             <!---->    </font>&nbsp;&nbsp;&nbsp;&nbsp;&nbsp;&nbsp;&nbsp;&nbsp;[&#160;<a href="javascript:void(0);" onclick="javascript: window.open('/scielo.php?script=sci_nlinks&ref=226034&pid=S1562-3823201000010000400004&lng=','','width=640,height=500,resizable=yes,scrollbars=1,menubar=yes,');">Links</a>&#160;]<!-- end-ref --><dt><font size="2" face="Verdana"><a href="#CITEDescalzi" name="Descalzi">[52003Descalzi]</a></font></dt><dd>        <!-- ref --><p><font size="2" face="Verdana"> 5.- Descalzi, O. 2003, Phys.&nbsp;Rev. E, 67, 015601       <!---->    </font>&nbsp;&nbsp;&nbsp;&nbsp;&nbsp;&nbsp;&nbsp;&nbsp;[&#160;<a href="javascript:void(0);" onclick="javascript: window.open('/scielo.php?script=sci_nlinks&ref=226036&pid=S1562-3823201000010000400005&lng=','','width=640,height=500,resizable=yes,scrollbars=1,menubar=yes,');">Links</a>&#160;]<!-- end-ref --><dt><font size="2" face="Verdana"><a href="#CITEHenderson" name="Henderson">[61981Henderson-Sellers]</a></font></dt><dd>        ]]></body>
<body><![CDATA[<!-- ref --><p><font size="2" face="Verdana">      6.- Henderson-Sellers, B. 1981, Hydrological Sciences Journal, 26:4, 363             <!---->    </font>&nbsp;&nbsp;&nbsp;&nbsp;&nbsp;&nbsp;&nbsp;&nbsp;[&#160;<a href="javascript:void(0);" onclick="javascript: window.open('/scielo.php?script=sci_nlinks&ref=226038&pid=S1562-3823201000010000400006&lng=','','width=640,height=500,resizable=yes,scrollbars=1,menubar=yes,');">Links</a>&#160;]<!-- end-ref --><dt><font size="2" face="Verdana"><a href="#CITEkalash" name="kalash">[72009Kalashnikov]</a></font></dt><dd>        <!-- ref --><p><font size="2" face="Verdana"> 7.- Kalashnikov, V.&nbsp;L. 2009, Phys. Rev. E, 80, 046606       <!---->    </font>&nbsp;&nbsp;&nbsp;&nbsp;&nbsp;&nbsp;&nbsp;&nbsp;[&#160;<a href="javascript:void(0);" onclick="javascript: window.open('/scielo.php?script=sci_nlinks&ref=226040&pid=S1562-3823201000010000400007&lng=','','width=640,height=500,resizable=yes,scrollbars=1,menubar=yes,');">Links</a>&#160;]<!-- end-ref --><dt><font size="2" face="Verdana"><a href="#CITEKuznetsov" name="Kuznetsov">[81995Kuznetsov]</a></font></dt><dd>        <!-- ref --><p><font size="2" face="Verdana"> 8.- Kuznetsov, Y.&nbsp;A. 1995, Elements of Applied Bifurcation Theory, Second Edition      (Springer-Verlag)       <!---->    </font>&nbsp;&nbsp;&nbsp;&nbsp;&nbsp;&nbsp;&nbsp;&nbsp;[&#160;<a href="javascript:void(0);" onclick="javascript: window.open('/scielo.php?script=sci_nlinks&ref=226042&pid=S1562-3823201000010000400008&lng=','','width=640,height=500,resizable=yes,scrollbars=1,menubar=yes,');">Links</a>&#160;]<!-- end-ref --><dt><font size="2" face="Verdana"><a href="#CITELin" name="Lin">[92009Lin]</a></font></dt><dd>        <!-- ref --><p><font size="2" face="Verdana">      9.- Lin, J. 2009, Int. J. Contemp. Math. Sciences, 4, No. 5, 225             <!---->    </font>&nbsp;&nbsp;&nbsp;&nbsp;&nbsp;&nbsp;&nbsp;&nbsp;[&#160;<a href="javascript:void(0);" onclick="javascript: window.open('/scielo.php?script=sci_nlinks&ref=226044&pid=S1562-3823201000010000400009&lng=','','width=640,height=500,resizable=yes,scrollbars=1,menubar=yes,');">Links</a>&#160;]<!-- end-ref --><dt><font size="2" face="Verdana"><a href="#CITEKen" name="Ken">[102005Maruno et&nbsp;al.Maruno, Ankiewicz, &amp; Akhmediev]</a></font></dt><dd>        <!-- ref --><p><font size="2" face="Verdana"> 10.- Maruno, K., Ankiewicz, A., &amp; Akhmediev, N. 2005, Phys. Lett. A., 347, 231       <!---->    </font>&nbsp;&nbsp;&nbsp;&nbsp;&nbsp;&nbsp;&nbsp;&nbsp;[&#160;<a href="javascript:void(0);" onclick="javascript: window.open('/scielo.php?script=sci_nlinks&ref=226046&pid=S1562-3823201000010000400010&lng=','','width=640,height=500,resizable=yes,scrollbars=1,menubar=yes,');">Links</a>&#160;]<!-- end-ref --><dt><font size="2" face="Verdana"><a href="#CITEMeiss" name="Meiss">[112007Meiss]</a></font></dt><dd>        ]]></body>
<body><![CDATA[<!-- ref --><p><font size="2" face="Verdana"> 11.- Meiss, J.&nbsp;D. 2007, Differential Dynamical Systems (siam)       <!---->    </font>&nbsp;&nbsp;&nbsp;&nbsp;&nbsp;&nbsp;&nbsp;&nbsp;[&#160;<a href="javascript:void(0);" onclick="javascript: window.open('/scielo.php?script=sci_nlinks&ref=226048&pid=S1562-3823201000010000400011&lng=','','width=640,height=500,resizable=yes,scrollbars=1,menubar=yes,');">Links</a>&#160;]<!-- end-ref --><dt><font size="2" face="Verdana"><a href="#CITENgu" name="Ngu">[122008Nguenang et&nbsp;al.Nguenang,   Njassap&nbsp;Njassap     <!--hbox-->   , &amp; Kofan&#233;]</a></font></dt><dd>        <!-- ref --><p><font size="2" face="Verdana"> 12.- Nguenang, J.-P., Njassap&nbsp;Njassap, T., &amp; Kofan&#233;, T.&nbsp;C. 2008, Eur.      Phys. J. B, 65, 539       <!---->    </font>&nbsp;&nbsp;&nbsp;&nbsp;&nbsp;&nbsp;&nbsp;&nbsp;[&#160;<a href="javascript:void(0);" onclick="javascript: window.open('/scielo.php?script=sci_nlinks&ref=226050&pid=S1562-3823201000010000400012&lng=','','width=640,height=500,resizable=yes,scrollbars=1,menubar=yes,');">Links</a>&#160;]<!-- end-ref --><dt><font size="2" face="Verdana"><a href="#CITEPelap" name="Pelap">[132007Pelap et&nbsp;al.Pelap, Kenfack, &amp; Faye]</a></font></dt><dd>        <!-- ref --><p><font size="2" face="Verdana"> 13.- Pelap, F.&nbsp;B., Kenfack, A.&nbsp;J., &amp; Faye, M.&nbsp;M. 2007, Nonlinear Oscillations, 10      No. 2, 277       <!---->    </font>&nbsp;&nbsp;&nbsp;&nbsp;&nbsp;&nbsp;&nbsp;&nbsp;[&#160;<a href="javascript:void(0);" onclick="javascript: window.open('/scielo.php?script=sci_nlinks&ref=226052&pid=S1562-3823201000010000400013&lng=','','width=640,height=500,resizable=yes,scrollbars=1,menubar=yes,');">Links</a>&#160;]<!-- end-ref --><dt><font size="2" face="Verdana"><a href="#CITEnrf" name="nrf">[141992Press et&nbsp;al.Press, Teukolsky, Vetterling, &amp; Flannery]</a></font></dt><dd>        <!-- ref --><p><font size="2" face="Verdana"> 14.- Press, W.&nbsp;H., Teukolsky, S.&nbsp;A., Vetterling, W.&nbsp;T., &amp; Flannery, B.&nbsp;P. 1992,      Numerical Recipes in FORTRAN, Second Edition (Cambridge University Press)       <!---->    </font>&nbsp;&nbsp;&nbsp;&nbsp;&nbsp;&nbsp;&nbsp;&nbsp;[&#160;<a href="javascript:void(0);" onclick="javascript: window.open('/scielo.php?script=sci_nlinks&ref=226054&pid=S1562-3823201000010000400014&lng=','','width=640,height=500,resizable=yes,scrollbars=1,menubar=yes,');">Links</a>&#160;]<!-- end-ref --><dt><font size="2" face="Verdana"><a href="#CITESachdev" name="Sachdev">[152000Sachdev]</a></font></dt><dd>        <!-- ref --><p><font size="2" face="Verdana"> 15.- Sachdev, P.&nbsp;L. 2000, Exact Solutions of Nonlinear Problems (Chapman &amp;      Hall/CRC)       <!---->    </font>&nbsp;&nbsp;&nbsp;&nbsp;&nbsp;&nbsp;&nbsp;&nbsp;[&#160;<a href="javascript:void(0);" onclick="javascript: window.open('/scielo.php?script=sci_nlinks&ref=226056&pid=S1562-3823201000010000400015&lng=','','width=640,height=500,resizable=yes,scrollbars=1,menubar=yes,');">Links</a>&#160;]<!-- end-ref --><dt><font size="2" face="Verdana"><a href="#CITEStrogatz" name="Strogatz">[161994Strogatz]</a></font></dt><dd>        ]]></body>
<body><![CDATA[<!-- ref --><p><font size="2" face="Verdana"> 16.- Strogatz, S.&nbsp;H. 1994, Nonlinear Dynamics and Chaos (Perseus Books)       <!---->    </font>&nbsp;&nbsp;&nbsp;&nbsp;&nbsp;&nbsp;&nbsp;&nbsp;[&#160;<a href="javascript:void(0);" onclick="javascript: window.open('/scielo.php?script=sci_nlinks&ref=226058&pid=S1562-3823201000010000400016&lng=','','width=640,height=500,resizable=yes,scrollbars=1,menubar=yes,');">Links</a>&#160;]<!-- end-ref --><dt><font size="2" face="Verdana"><a href="#CITESun" name="Sun">[172008Sun et&nbsp;al.]</a></font></dt><dd>        <!-- ref --><p><font size="2" face="Verdana"> 17.- Sun, S.&nbsp;F. et&nbsp;al. 2008, Sci China Ser G-Phys Mech Astron, 51, No 8, 1010       <!---->    </font>&nbsp;&nbsp;&nbsp;&nbsp;&nbsp;&nbsp;&nbsp;&nbsp;[&#160;<a href="javascript:void(0);" onclick="javascript: window.open('/scielo.php?script=sci_nlinks&ref=226060&pid=S1562-3823201000010000400017&lng=','','width=640,height=500,resizable=yes,scrollbars=1,menubar=yes,');">Links</a>&#160;]<!-- end-ref --><dt><font size="2" face="Verdana"><a href="#CITEWei" name="Wei">[182004Wei &amp; Winter]</a></font></dt><dd>        <!-- ref --><p><font size="2" face="Verdana"> 18.- Wei, J. &amp; Winter, M. 2004, Proceedings of the American Mathematical Society,      133 No. 6, 1787</font>&nbsp;&nbsp;&nbsp;&nbsp;&nbsp;&nbsp;&nbsp;&nbsp;[&#160;<a href="javascript:void(0);" onclick="javascript: window.open('/scielo.php?script=sci_nlinks&ref=226062&pid=S1562-3823201000010000400018&lng=','','width=640,height=500,resizable=yes,scrollbars=1,menubar=yes,');">Links</a>&#160;]<!-- end-ref --><p><font size="2" face="Verdana"><br />   <br />  </font></p> <hr />      <p><font size="2" face="Verdana"><small>File translated from    T<sub>E</sub>X    by <a href="http://hutchinson.belmont.ma.us/tth/">    T<sub>T</sub>H</a>,    version 3.89.<br />   On  8 Nov 2010, 10:29.</small>  </font></p> </html>     <a href=http://www.scielo.org.bo/cgi-bin/wxis.exe/iah/?IsisScript=iah/iah.xis&nextAction=lnk&base=article^dlibrary&indexSearch=AU&exprSearch=../bases-work/rbf/rbf&lang=>^rND^sAli^nA. H. A.^rND^sSoliman^nA. A.^rND^sRaslan^nK. R.</a><a href=http://www.scielo.org.bo/cgi-bin/wxis.exe/iah/?IsisScript=iah/iah.xis&nextAction=lnk&base=article^dlibrary&indexSearch=AU&exprSearch=../bases-work/rbf/rbf&lang=>^rND^sAranson^nI. S.^rND^sKramer^nL.</a><a href=http://www.scielo.org.bo/cgi-bin/wxis.exe/iah/?IsisScript=iah/iah.xis&nextAction=lnk&base=article^dlibrary&indexSearch=AU&exprSearch=../bases-work/rbf/rbf&lang=>^rND^sBabolian^nE.</a><a href=http://www.scielo.org.bo/cgi-bin/wxis.exe/iah/?IsisScript=iah/iah.xis&nextAction=lnk&base=article^dlibrary&indexSearch=AU&exprSearch=../bases-work/rbf/rbf&lang=>^rND^sCoullet^nP.</a><a href=http://www.scielo.org.bo/cgi-bin/wxis.exe/iah/?IsisScript=iah/iah.xis&nextAction=lnk&base=article^dlibrary&indexSearch=AU&exprSearch=../bases-work/rbf/rbf&lang=>^rND^sDescalzi^nO.</a><a href=http://www.scielo.org.bo/cgi-bin/wxis.exe/iah/?IsisScript=iah/iah.xis&nextAction=lnk&base=article^dlibrary&indexSearch=AU&exprSearch=../bases-work/rbf/rbf&lang=>^rND^sHenderson-Sellers^nB.</a><a href=http://www.scielo.org.bo/cgi-bin/wxis.exe/iah/?IsisScript=iah/iah.xis&nextAction=lnk&base=article^dlibrary&indexSearch=AU&exprSearch=../bases-work/rbf/rbf&lang=>^rND^sKalashnikov^nV. L.</a><a href=http://www.scielo.org.bo/cgi-bin/wxis.exe/iah/?IsisScript=iah/iah.xis&nextAction=lnk&base=article^dlibrary&indexSearch=AU&exprSearch=../bases-work/rbf/rbf&lang=>^rND^sKuznetsov^nY. A.</a><a href=http://www.scielo.org.bo/cgi-bin/wxis.exe/iah/?IsisScript=iah/iah.xis&nextAction=lnk&base=article^dlibrary&indexSearch=AU&exprSearch=../bases-work/rbf/rbf&lang=>^rND^sLin^nJ.</a><a href=http://www.scielo.org.bo/cgi-bin/wxis.exe/iah/?IsisScript=iah/iah.xis&nextAction=lnk&base=article^dlibrary&indexSearch=AU&exprSearch=../bases-work/rbf/rbf&lang=>^rND^sMaruno^nK.^rND^sAnkiewicz^nA.^rND^sAkhmediev^nN.</a><a href=http://www.scielo.org.bo/cgi-bin/wxis.exe/iah/?IsisScript=iah/iah.xis&nextAction=lnk&base=article^dlibrary&indexSearch=AU&exprSearch=../bases-work/rbf/rbf&lang=>^rND^sNguenang^nJ.-P.^rND^sNjassap Njassap^nT.^rND^sKofané^nT. C.</a><a href=http://www.scielo.org.bo/cgi-bin/wxis.exe/iah/?IsisScript=iah/iah.xis&nextAction=lnk&base=article^dlibrary&indexSearch=AU&exprSearch=../bases-work/rbf/rbf&lang=>^rND^sPelap^nF. B.^rND^sKenfack^nA. J.^rND^sFaye^nM. M.</a><a href=http://www.scielo.org.bo/cgi-bin/wxis.exe/iah/?IsisScript=iah/iah.xis&nextAction=lnk&base=article^dlibrary&indexSearch=AU&exprSearch=../bases-work/rbf/rbf&lang=>^rND^sSun^nS. F.</a><a href=http://www.scielo.org.bo/cgi-bin/wxis.exe/iah/?IsisScript=iah/iah.xis&nextAction=lnk&base=article^dlibrary&indexSearch=AU&exprSearch=../bases-work/rbf/rbf&lang=>^rND^sWei^nJ.^rND^sWinter^nM.</a><a href=http://www.scielo.org.bo/cgi-bin/wxis.exe/iah/?IsisScript=iah/iah.xis&nextAction=lnk&base=article^dlibrary&indexSearch=AU&exprSearch=../bases-work/rbf/rbf&lang=>^rND^nF.^sFlores^rND^nJ.^sSan Róman</a><a href=http://www.scielo.org.bo/cgi-bin/wxis.exe/iah/?IsisScript=iah/iah.xis&nextAction=lnk&base=article^dlibrary&indexSearch=AU&exprSearch=../bases-work/rbf/rbf&lang=>^rND^nF.^sFlores^rND^nJ.^sSan Róman</a><a href=http://www.scielo.org.bo/cgi-bin/wxis.exe/iah/?IsisScript=iah/iah.xis&nextAction=lnk&base=article^dlibrary&indexSearch=AU&exprSearch=../bases-work/rbf/rbf&lang=>^rND^nF^sFlores^rND^nJ^sSan Róman</a><p align="center"><strong><font size="4" face="Verdana">POST-COMPRESIÓN DE PULSOS CON DIFERENTES PERFILES TEMPORALES   POST-COMPRESSION OF PULSES WITH DIFFERENT TIME PROFILES</font></strong></p>     <p align=center><strong><font size="3" face="Verdana">F. Flores† &amp; J. San RómAn‡</font></strong></p>     <p align=center><strong><font size="2" face="Verdana">† Carrera de Física, Universidad Mayor de San Simeón </font></strong></p>     <p align=center><strong><font size="2" face="Verdana">†Centro de laseres pulsados, Universidad de Salamanca</font></strong></p> <hr>     <p><font size="2" face="Verdana"><b>RESUMEN</b></font></p>     <p><font size="2" face="Verdana">Se estudiaron   cinco perfiles temporales para identificar que pulsos son los más adecuados en   la post-compresión por fibra hueca. Las funciones correspondientes a estos   perfiles son: gaussiana, secante hiperbólica, super-gaussiana y dos gaussianas   asimétricas invertidas en­tre sí. Los pulsos ultra-cortos fueron propagados por   una fibra hueca que está llena de argón. Para comparar los ensanchamientos   espectrales después de la propagación no-lineal utiliza­mos pulsos de entrada   con anchos espectrales parecidos. Estudiamos por separado los efectos de dispersión   y los efectos no-lineales, y luego consideramos todos los efectos juntos. De   todos los casos estudiados, la secante hiperbólica presenta un ensanchamiento   espectral superior a los otros pulsos simétricos y además presenta menor fase   espectral, lo que significa mayor facilidad en la compensación de fase.</font></p>     <p><font size="2" face="Verdana"><b>Descriptores</b>: óptica no-lineal — compresión de pulsos</font></p>     <p><font size="2" face="Verdana">Código(s) PACS: 42.65.i,   42.65.Re</font></p>     <p><font size="2" face="Verdana"><b>ABSTRACT</b></font></p>     <p><font size="2" face="Verdana">We studied five time profiles to identify which pulses are most suitable   for post-compression through a hollow fiber. The corresponding profile   functions analyzed were: Gaussian, hyper- bolic secant, super-Gaussian and two   inverted asymmetric Gaussians. The ultra short pulses were propagated using a   hollow fiber filled with Argon. We used input pulses with simi­lar widths in   order to compare their spectral dispersion after the non-linear propagation.   The dispersion and non-linear effects were studied separately before   considering them as a whole. We found that of all the profile functions   analyzed the hyperbolic secant presents the greatest spectral dispersion and   the smallest spectral phase, and as such better facilitates the occurrence of   phase compensation.</font></p>     ]]></body>
<body><![CDATA[<p><font size="2" face="Verdana"><b>Subject headings</b>: nonlinear optics   — pulse compression</font></p> <hr>     <p><font size="2" face="Verdana"><b>1. INTRODUCCIÓN</b></font></p>     <p><font size="2" face="Verdana">En la década de los setenta e inicios de los ochenta,   surgieron nuevos fenómenos no lineales por la combi­nación de efectos de   dispersión y efectos no lineales, por ejemplo, la compresión de pulsos y   propagación de solitones (Agrawal 2000). En la actualidad, gra­cias al avance   tecnológico de los láseres ultra-cortos y ultra-intensos es posible generar con   facilidad efec­tos de propagación no lineales.</font></p>     <p><font size="2" face="Verdana">Una de las aplicaciones más importante en la propagación   no lineal es la</font></p>     <p><font size="2" face="Verdana">post-compresión   de pulsos y, los dos esquemas utilizados para comprimir pulsos son la   filamentación (Hauri et al. 2004) y la post- compresión con fibra hueca (Nisoli   et al. 1997). La filamentación surge del equilibrio entre el efecto Kerr optico   (auto focalización del haz laser) y la ionización del medio por absorción   multifotonica (defocalizacion del haz laser) (Mechain et al. 2005). En el   segundo método, los pulsos son guiados por la fibra hueca y requieren de cortas   distancias para las manifesta­ciones de los efectos no lineales. La principal   carac­terística de ambos métodos es el efecto de la auto modulación de fase   (self-phase modulation, SPM) que produce   un ensanchamiento en el espectro o generación de nuevas frecuencias.   Normalmente los dos métodos de post-compresión requieren el mecanismo de la   compensación del chirp, producido por los efec­tos de dispersión y efectos no   lineales.</font></p>     <p><font size="2" face="Verdana">Dentro de la dinámica temporal de los pulsos, des­tacamos   dos grandes efectos; la dispersión cromática y los efectos no lineales:</font></p>     <p><font size="2" face="Verdana"><b>1.1. Dispersión cromática</b></font></p>     <p><font size="2" face="Verdana">La respuesta del medio a la interacción con la luz está   dada por la variación del índice de refracción &#951;(&#969;) con la frecuencia   w, cuya consecuencia principal es el ensanchamiento temporal. Matemáticamente   los efectos de la dispersión se consideran expan­diendo en series de Taylor la   constante de propagación 3 alrededor de la frecuencia central del pulso, &#969;o;</font></p>     <p align="center"><font size="2" face="Verdana"><img width=554 height=63 src="/img/revistas/rbf/v17n1/v17n1a5image002.jpg" v:shapes="_x0000_i1025"> </font></p>     <p><font size="2" face="Verdana">(1)</font></p>     ]]></body>
<body><![CDATA[<p><font size="2" face="Verdana">&#946;2 es la   dispersión de la velocidad de grupo (group velocity dispersión, GVD), y es el   responsable para el ensanchamiento del pulso. El coeficiente B2 se conoce como dispersión de tercer orden (third   order disper­sión, TOD), su inclusión es necesaria cuando  &#946;&#8776; 0, asimismo, si consideramos   pulsos ultracortos, aiín &#946;2 = 0. La TOD produce cambios en la forma del   pulso, asimetrías con estructuras oscilatorias en un extremo.</font></p>     <p><font size="2" face="Verdana"><b>1.1.1. Efecto no lineal</b></font></p>     <p><font size="2" face="Verdana">La expresión matemática de la dependencia del índice   de refracción con la intensidad se conoce como efecto Kerr,</font></p>     <p align="center"><font size="2" face="Verdana"><img width=244 height=19 src="/img/revistas/rbf/v17n1/v17n1a5image004.jpg" v:shapes="_x0000_i1026"> </font></p>     <p><font size="2" face="Verdana">donde n(w) es la   parte lineal del índice de refracción, |E|<sup>2</sup> es la intensidad óptica   dentro de la fibra y, n<sub>2 </sub>es el coeficiente del índice no lineal   relacionada con la suceptibilidad x<sup>(3)</sup>. La dependencia del índice de   refracción con la intensidad conduce a muchos efec­tos no lineales; por ejemplo   el SPM. Asimismo al utilizar pulsos ultra-cortos, es necesario considerar   efectos no lineales de orden elevado como es el self- steepening (produce   asimetrías en el espectro y des­plazamiento hacia los azules (Couairon &amp;   Mysyro- wicz 2007)). Además, en el caso de tratar con un gas molecular debemos   incluir el efecto del scatte- ring Raman (origina un desplazamiento del   espectro hacia el rojo (Santhanam &amp; Agrawal 2003)).</font></p>     <p><font size="2" face="Verdana">1.1.2. Ecuación   de la propagación no lineal</font></p>     <p><font size="2" face="Verdana">Utilizando la aproximación de la envolvente len­tamente   variable, la ecuación de onda es dividida en dos ecuaciones; una para la parte   espacial que lo con­sideraremos constante<sup>1</sup> y, la otra para la parte   tem­poral;</font></p>     <p align="center"><font size="2" face="Verdana"><img width=361 height=93 src="/img/revistas/rbf/v17n1/v17n1a5image006.jpg" v:shapes="_x0000_i1027"> </font></p>     <p><font size="2" face="Verdana">donde  &#946;2 y &#946;3 son los términos de dispersión   de se­gundo y tercer orden, a es el coeficiente de absorción, &#947; es el parámetro   no lineal proporcional a n<sub>2</sub>. La ecuación 3 es conocida como la   ecuación de propagación paraxial no lineal de envolvente lentamente variable y,   puede ser agrupada en dos operadores; li­neal &#270;y no lineal &#327;,</font></p>     <p align="center"><font size="2" face="Verdana"><img width=269 height=39 src="/img/revistas/rbf/v17n1/v17n1a5image008.jpg" v:shapes="_x0000_i1028"> </font></p>     ]]></body>
<body><![CDATA[<p><font size="2" face="Verdana"><b>2. METODOLOGÍA</b></font></p>     <p><font size="2" face="Verdana">Las simulaciones de la propagación de pulsos   ultra-cortos son guiados por una fibra hueca de 0.2 m de longitud y diámetro   interno de 300 &#094;m. La fi­bra hueca está llena de argón a presión atmosférica,   por lo cual l los parámetros no lineales y de dispersión para el argón   (Couairon et al. 2008) son;</font></p>     <p align="center"><font size="2" face="Verdana"><img width=200 height=55 src="/img/revistas/rbf/v17n1/v17n1a5image010.jpg" v:shapes="_x0000_i1029"> </font></p>     <p><font size="2" face="Verdana">Utilizamos   cuatro perfiles temporales en la propa­gación de pulsos ultra-cortos;   gaussiana, secante hiperbólica, súper gaussiana (de orden m = 2), y pulso   gaussiano asimétrico,</font></p>     <p align="center"><font size="2" face="Verdana"><img width=358 height=114 src="/img/revistas/rbf/v17n1/v17n1a5image012.jpg" v:shapes="_x0000_i1030"> </font></p>     <p><font size="2" face="Verdana">Donde t<sub>p</sub> es la semiachura del pulso gaussiano (50 femtosegundos) a la altura de exp(-2)   y t'<sub>p</sub>, t&#697;&#697;<sub>p</sub>, t<sub>p1</sub>, t<sub>p2</sub> son   parámetros que también nos dan información del ancho temporal de sus   respectivos pulsos y, son ajustados para conseguir inicialmente anchuras es­pectrales   parecidas al de la gaussiana.</font></p>     <p><font size="2" face="Verdana">Para el pulso asimétrico usamos los valores de t<sub>p</sub>&#8321; = 80, t<sub>p2</sub> =30 y también estudiamos la asimetría   invertida, es decir, t<sub>p1</sub> =   30, t<sub>p2</sub> = 80. Para distin­guirlos los denotamos como asimetría 1 al primero y asimetría 2 al   segundo.</font></p>     <p><font size="2" face="Verdana">Los resultados en la propagación no lineal son eva­luados   en función de: Ensanchamiento espectral, en­sanchamiento temporal comparado con   la transfor­mada límite de Fourier, desplazamiento espectral y la fase inducida   durante la propagación. Después de la propagación no lineal, los diferentes   pulsos (ecua­ciones 5, 6, 7, 8) presentan diferentes anchuras es­pectrales, por   lo cual, los que tengan más espectro y una menor fase espectral (facilidad en   la compensación de la fase) seran los más apropiados para con­seguir los pulsos   más comprimidos.</font></p>     <p><font size="2" face="Verdana">Para tener la cuantificación aproximada del chirp que   se induce en la propagación no lineal, realizamos un ajuste polinomial de orden   tres a la curva de la fase espectral,</font></p>     <p align="center"><font size="2" face="Verdana"><img width=336 height=26 src="/img/revistas/rbf/v17n1/v17n1a5image014.jpg" v:shapes="_x0000_i1031"> </font></p>     ]]></body>
<body><![CDATA[<p><font size="2" face="Verdana">donde f<sub>3</sub> y f<sub>2</sub> están relacionados con la group de- lay dispersión GDD y la   third order dispersión TOD por medio de la ecuación 1, es la frecuencia cen­tral   desplazada durante la propagación del pulso, y se ha calculado por la definición   de centro de grave­dad. Utilizamos la definición matemática de segundo momento   para estimar el ensanchamiento espectral producido por los efectos no lineales   para un perfil arbitrario:</font></p>     <p align="center"><font size="2" face="Verdana"><img width=294 height=75 src="/img/revistas/rbf/v17n1/v17n1a5image016.jpg" v:shapes="_x0000_i1032"> </font></p>     <p><font size="2" face="Verdana">El pulso límite   de Fourier conseguimos calculando la transformada inversa de Fourier del valor   absoluto del perfil espectral.</font></p>     <p align="center"><font size="2" face="Verdana"><img width=674 height=144 src="/img/revistas/rbf/v17n1/v17n1a5image018.jpg" v:shapes="_x0000_i1033"> </font></p>     <p align="center"><font size="2" face="Verdana"><img width=703 height=136 src="/img/revistas/rbf/v17n1/v17n1a5image020.jpg" v:shapes="_x0000_i1034"> </font></p>     <p><font size="2" face="Verdana"><b>2.1. Algoritmo numérico</b></font></p>     <p><font size="2" face="Verdana">El método que se ha utilizado para resolver la ecuación   4 es el Split-Step Fourier Method, con el cual la solución de la ecuación 4   puede aproximarse de la siguiente forma;</font></p>     <p align="center"><font size="2" face="Verdana"><img width=319 height=26 src="/img/revistas/rbf/v17n1/v17n1a5image022.jpg" v:shapes="_x0000_i1035"> </font></p>     <p><font size="2" face="Verdana">la parte no   lineal es una matriz diagonal y puede ser evaluada directamente, y la parte de   la dispersión puede ser evaluada en el espacio de Fourier.</font></p>     <p><font size="2" face="Verdana">Remarcamos que el método utilizado es una aproximación   porque los operadores &#270; y &#327; no conmu­tan. Sin embargo, considerando   la fórmula de Baker- Hausdorff (Agrawal 2000), el error cometido es del orden &#8710;z<sup>2</sup>.   Teniendo en cuenta este desarrollo, es más preciso realizar el Split-Step   Fourier Method de la siguiente manera;</font></p>     ]]></body>
<body><![CDATA[<p align="center"><font size="2" face="Verdana"><img width=332 height=38 src="/img/revistas/rbf/v17n1/v17n1a5image024.jpg" v:shapes="_x0000_i1036"> </font></p>     <p><font size="2" face="Verdana">esto significa,   aplicar la dispersión y absorción du­rante &#8710;z/2, después   aplicar la no linealidad en todo el intervalo &#8710;z , y nuevamente la   dispersión en el otro intervalo &#8710;z/2.</font></p>     <p><font size="2" face="Verdana">Los parámetros de control en el programa para to­dos   los perfiles temporales son &#8710;z,   N (número de iteraciones) y P<sub>in</sub> (potencia pico inicial), donde L = N   &#8710;z = 0.2m. Elegimos el   criterio de utilizar la po­tencia pico, es decir, todos los pulsos tienen la   misma potencia pico de entrada, lo que significa que no tie­nen la misma energía   de entrada. Recordamos, como ejemplo, que la potencia pico es el parámetro   natural con la que se caracterizan la formación del soliton de Townes.</font></p>     <p><font size="2" face="Verdana"><b>3. RESULTADOS Y DISCUSIONES</b></font></p>     <p><font size="2" face="Verdana">En las Tablas 1, 2, 3, y 4 se presentan los resulta­dos   obtenidos en el trabajo. En ellas se presentan: La función del perfil temporal,   la energía inicial E<sub>i</sub>[J], la energía final Ef [J], el desplazamiento   de la fre­cuencia central w<sub>c</sub>f [fs], la anchura espectral inicial</font></p>     <p><font size="2" face="Verdana">&#8710;wj[fs <sup>1</sup>],   la anchura espectral final &#8710;wf   [fs y los parámetros de ajuste de la fase f3[fs<sup>3</sup>] y f<sub>2</sub>[fs<sup>2</sup>].</font></p>     <p><font size="2" face="Verdana">En todas las Tablas de resultados se observa que la   energía inicial es igual a la energía final, es de­cir, no existe perdidas en   la energía porque el Argón tiene un coeficiente de absorción despreciable (en   el programa se utilizó &#945; = 0). Además, en el modelo de fibra no existe ningún otro termino de perdida, por lo   cual, los resultados de la energía son una comprobación de que la simulación es   correcta.</font></p>     <p>&nbsp;</p>     <p><font size="2" face="Verdana"><b>4. CASO I, SOLO DISPERSIÓN</b></font></p>     <p><font size="2" face="Verdana">En esta primera sección de resultados considera­mos únicamente   los términos de dispersión y despre­ciamos los efectos no lineales. El chirp   generado solo produce una modificación en la fase, pero la anchura espectral no   es modificada porque los efectos de dispersión no generan nuevas frecuencias,   solo produ­cen un reordenamiento de las mismas. Por tanto, los resultados de &#945;wt = Awf son correctos.</font></p>     ]]></body>
<body><![CDATA[<p><font size="2" face="Verdana">El parámetro &#946;<sub>2</sub> presenta mayor   influencia que &#946;&#8323; durante la propagación, es decir, la asimetría y   la dis- torsión que induce &#946;&#8323; es inapreciable en los perfiles   temporales.</font></p>     <p><font size="2" face="Verdana">Los ajustes realizados a las fases espectrales de to­dos   los perfiles temporales concuerda con la GVD y la TOD introducida en la   propagación en Argón a presión atmosférica de 0.2 m. Por tanto, los valores   conseguidos en el ajuste de la fase espectral constitu­yen una indicación que   los resultados numéricos son correctos.</font></p>     <p><font size="2" face="Verdana">Es importante resaltar que los perfiles temporales   asimétricos tienen inicialmente una TOD = 0, esto implica que no ingresan con una fase plana como los pulsos simétricos.   La aparición inicial de la TOD en la fase espectral puede ser atribuido porque   los pulsos asimétricos presentan inicial mente una asi­metría temporal notable   (f&#8323; inicial del orden 10<sup>3</sup>). En este contexto, los valores de / que se presentan en la Tabla 1 son la   diferencia de la TOD de salida y de entrada.</font></p>     <p align="center"><font size="2" face="Verdana"><img width=687 height=143 src="/img/revistas/rbf/v17n1/v17n1a5image026.jpg" v:shapes="_x0000_i1037"> </font></p>     <p align="center"><font size="2" face="Verdana"><img width=673 height=142 src="/img/revistas/rbf/v17n1/v17n1a5image028.jpg" v:shapes="_x0000_i1038"> </font></p>     <p><font size="2" face="Verdana"><b>5. CASO II, SOLO AUTO-MODULACIÓN DE FASE</b></font></p>     <p><font size="2" face="Verdana">Ahora consideramos solo un efecto no lineal, la   auto-modulación de fase, y despreciamos los efectos de dispersión. En la Tabla   2 se presentan los resul­tados conseguidos en la propagación no lineal, se ob­serva   nuevamente que la frecuencia central no sufre un desplazamiento. Esto es correcto   porque la automodulación de fase produce nuevas frecuencias o ensanchamiento   espectral simétrico, lo que significa que el pulso después de la propagación no   adquiere un valor de f<sub>3</sub>. Por lo cual, el chirp inducido por la automodulación   de fase es producida por f<sub>2</sub>.</font></p>     <p><font size="2" face="Verdana">La simetría se rompe para el caso de los perfiles asimétricos,   sin embargo el centro de gravedad (fre­cuencia central) permanece sin   modificación para la potencia y duraciones del pulso elegidas en el pro­grama.</font></p>     <p><font size="2" face="Verdana">Los resultados de la Tabla 2 muestran que el pulso   secante hiperbólico tiene el mayor ensanchamiento espectral, y el pulso   super-gaussiano presenta el me­nor ensanchamiento espectral.</font></p>     <p><font size="2" face="Verdana">En la Tabla 2 se puede observar que los perfiles asimétricos   muestran un valor elevado de f<sub>3</sub>. Una po­sible explicación es: Como   se explicó anteriormente, ellos ya ingresan con un valor significativo de TOD   por la asimetría temporal. El SPM parece compen­sar el TOD inicial, reduciendo   de manera significa­tiva la componente cubica de la fase espectral. Sin   embargo, se mantienen las asimetrías temporales de los pulsos, cuyo origen está   en la asimetría notable del espectro.</font></p>     ]]></body>
<body><![CDATA[<p><font size="2" face="Verdana">Los ajustes de fase tienen mucha sensibilidad con el   intervalo del ajuste. Por este motivo, los ajuste de fase que se presentan en   este trabajo deben conside­rarse como resultados cualitativos más que cuantita­tivos.</font></p>     <p><font size="2" face="Verdana"><b>6. CASO III, DISPERSIÓN MAS AUTO MODULACIÓN DE FASE</b></font></p>     <p><font size="2" face="Verdana">En la Tabla 3   presentamos los resultados conside­rando los efectos de dispersión y la auto   modulación de fase. Se puede notar   un ligero incremento de los coeficientes f<sub>2</sub> respecto al caso II, así   mismo que f<sub>3</sub> = 0, lo   que es lógico porque la dispersión contri­buye al chirp en todos los órdenes.   Sin embargo, el efecto no lineal es más dominante que los efectos de dispersión.   Los perfiles asimétricos tienen un com­portamiento parecido al caso II, donde   tampoco se ob­serva desplazamientos de la frecuencia central para la potencia y   duraciones de pulsos utilizadas en este trabajo.</font></p>     <p><font size="2" face="Verdana">El ligero incremento de f<sub>2</sub> provoca   incrementos en las anchuras temporales, y esto implica que las anchuras   espectrales deben disminuir ligeramente, como se observa en la Tabla 3. Los   valores obtenidos para f<sub>3</sub> en los pulsos asimétricos tienen la misma   explicación que el caso II. Al igual que los dos an­teriores casos, en la Tabla   3 se puede notar que la secante hiperbólica presenta la mayor anchura es­pectral   después de la propagación no lineal.</font></p>     <p><font size="2" face="Verdana"><b>7.   CASO IV, TODOS LOS EFECTOS NO LINEALES Y DE DISPERSIÓN</b></font></p>     <p><font size="2" face="Verdana">En esta última sección consideramos los tres efec­tos   no lineales; la automodulación de fase, el self- steepening y el efecto   scattering Raman junto con los efectos de dispersión. Es importante remarcar   que para activar el efecto del scattering Raman es nece­sario considerar que el   pulso se propaga en un gas molecular.</font></p>     <p><font size="2" face="Verdana">En la Tabla 4 se puede notar que el pulso asimétrico 1   tiene el mayor ensanchamiento espec­tral, pero presenta parámetros de dispersión   más complicadas de compensar. En general, los ensancha­mientos espectrales   tienen el mismo comportamiento que los obtenidos en los casos anteriores, es   decir, la secante hiperbólica tiene el mayor espectro después de la propagación   no lineal.</font></p>     <p><font size="2" face="Verdana">En la Figura 1 se muestran los perfiles temporales,   perfiles espectrales en frecuencias y longitudes de onda, en ellas se pueden   apreciar los efectos que pro­ducen el SPM, self-steepeningy el efecto Raman   (en-</font></p>     <p align="center"><font size="2" face="Verdana"><img width=552 height=163 src="/img/revistas/rbf/v17n1/v17n1a5image030.jpg" v:shapes="_x0000_i1039"> </font></p>     <p align="center"><font size="2" face="Verdana"><img width=556 height=151 src="/img/revistas/rbf/v17n1/v17n1a5image032.jpg" v:shapes="_x0000_i1040"> </font></p>     ]]></body>
<body><![CDATA[<p align="center"><font size="2" face="Verdana"><img width=580 height=151 src="/img/revistas/rbf/v17n1/v17n1a5image034.jpg" v:shapes="_x0000_i1041"> </font></p>     <p align="center"><font size="2" face="Verdana"><img width=556 height=153 src="/img/revistas/rbf/v17n1/v17n1a5image036.jpg" v:shapes="_x0000_i1042"> </font></p>     <p align="center"><font size="2" face="Verdana"><img width=550 height=149 src="/img/revistas/rbf/v17n1/v17n1a5image038.jpg" v:shapes="_x0000_i1043"> </font></p>     <p><font size="2" face="Verdana">FIG. 1.—   Perfiles temporales y espectrales (en unidades arbitrarias, ua) después de la   propagación por fibra hueca; caso IV, todos los efectos de dispersión y no   lineales</font></p>     <p><font size="2" face="Verdana">sanchamientos y   asimetrías en los espectros y des­plazamientos de la frecuencia central). Los   valores numéricos de la full width at half máximum FWHM, del pulso límite de   Fourier para los 5 perfiles utiliza­dos son;</font></p>     <p><font size="2" face="Verdana">Gaussiana FWHM =   7.36 fs. </font></p>     <p><font size="2" face="Verdana">Secante hiperbólico   FWHM = 6.66 fs. </font></p>     <p><font size="2" face="Verdana">Super-gaussiana   FWHM = 6.89 fs. </font></p>     <p><font size="2" face="Verdana">Asimétrico 1   FWHM = 5.26 fs. </font></p>     <p><font size="2" face="Verdana">Asimétrico 2   FWHM = 7.92 fs.</font></p>     ]]></body>
<body><![CDATA[<p><font size="2" face="Verdana">Se puede notar   que el pulso asimétrico 1 presenta la mejor compresión del pulso, pero tiene   una com­pensación complicada en la fase. Sin embargo, como hasta ahora se ha   estado observando en los casos II al IV, el pulso secante hiperbólico resulta   ser ade­cuado para la mejor compresión y con una compensación menor de la fase   en comparación con los otros pulsos estudiados.</font></p>     <p><font size="2" face="Verdana"><b>8. CONCLUSIONES</b></font></p>     <p><font size="2" face="Verdana"> Las conclusiones del presente trabajo son;</font></p>     <p><font size="2" face="Verdana">• Los pulsos   gaussianos asimétricos presentan intrínsecamente   una TOD inicial que origina una fase espectral, y en general los pulsos asimétricos   estudiados presentan compensacio­nes complicadas de la fase.</font></p>     <p><font size="2" face="Verdana">•  En la propagación lineal, el chirp inducido por los efectos de   dispersión de segundo y tercer or­den son iguales para los diferentes perfiles   tem­porales.</font></p>     <p><font size="2" face="Verdana">•  La secante hiperbólica presenta mejores incre­mentos espectrales en   todos los casos de la propagación no lineal, por lo cual, puede ser un perfil   adecuado para la post-compresión, logrando alcanzar un pulso límite de Fou-   rier de 6.66 fs. Sin embargo,   considerando to­dos los efectos lineales y no lineales, el pulso asimétrico 1   presenta mayor espectro, y tiene un pulso límite de Fourier de 5.26 fs. Remar­camos que la asimetría   intrínseca de los pul­sos gaussianos asimétricos dificulta la compensación de   la fase, así mismo son sensibles a pe­queños incrementos de la potencia pico   inicial.</font></p>     <p>&nbsp;</p>     <p><font size="2" face="Verdana"><b>REFERENCIAS</b></font></p>     <!-- ref --><p><font size="2" face="Verdana">1.- Agrawal, G. P. 2000, Nonlinear Fiber Optics (University of   Roches-ter, third Edition) </font>&nbsp;&nbsp;&nbsp;&nbsp;&nbsp;&nbsp;&nbsp;&nbsp;[&#160;<a href="javascript:void(0);" onclick="javascript: window.open('/scielo.php?script=sci_nlinks&ref=226185&pid=S1562-3823201000010000500001&lng=','','width=640,height=500,resizable=yes,scrollbars=1,menubar=yes,');">Links</a>&#160;]<!-- end-ref --><!-- ref --><p><font size="2" face="Verdana">2.- Couairon, A., Chakraborty, H. S., &amp; Gaarde, M. B. 2008, Phys. Rev.   A, 77, 053814 </font>&nbsp;&nbsp;&nbsp;&nbsp;&nbsp;&nbsp;&nbsp;&nbsp;[&#160;<a href="javascript:void(0);" onclick="javascript: window.open('/scielo.php?script=sci_nlinks&ref=226186&pid=S1562-3823201000010000500002&lng=','','width=640,height=500,resizable=yes,scrollbars=1,menubar=yes,');">Links</a>&#160;]<!-- end-ref --><!-- ref --><p><font size="2" face="Verdana">3.- Couairon, A. &amp; Mysyrowicz, A. 2007, Physics Reports, 441, 47</font>&nbsp;&nbsp;&nbsp;&nbsp;&nbsp;&nbsp;&nbsp;&nbsp;[&#160;<a href="javascript:void(0);" onclick="javascript: window.open('/scielo.php?script=sci_nlinks&ref=226187&pid=S1562-3823201000010000500003&lng=','','width=640,height=500,resizable=yes,scrollbars=1,menubar=yes,');">Links</a>&#160;]<!-- end-ref --><!-- ref --><p><font size="2" face="Verdana">4.- Hauri, C. P., Kornelis, W.,   Helbing, F. W., Heinrich, A., Couairon, A., Mysyrowicz, A.,</font><font size="2" face="Verdana">Biegert, J.,   &amp; Keller, U. 2004, Appl. Phys.B, 79, 673</font>&nbsp;&nbsp;&nbsp;&nbsp;&nbsp;&nbsp;&nbsp;&nbsp;[&#160;<a href="javascript:void(0);" onclick="javascript: window.open('/scielo.php?script=sci_nlinks&ref=226188&pid=S1562-3823201000010000500004&lng=','','width=640,height=500,resizable=yes,scrollbars=1,menubar=yes,');">Links</a>&#160;]<!-- end-ref --><!-- ref --><p><font size="2" face="Verdana">5.- Mechain, G., D'Amico, C., Andre, Y.-B., Tzortzakis, S., Franco, M.,   Prade, B.,</font><font size="2" face="Verdana">Mysyrowicz, A., Couairon, A., Salmon, E., &amp; Sauer- brey, R.   2005, Optics Communications, 247, 171 </font>&nbsp;&nbsp;&nbsp;&nbsp;&nbsp;&nbsp;&nbsp;&nbsp;[&#160;<a href="javascript:void(0);" onclick="javascript: window.open('/scielo.php?script=sci_nlinks&ref=226189&pid=S1562-3823201000010000500005&lng=','','width=640,height=500,resizable=yes,scrollbars=1,menubar=yes,');">Links</a>&#160;]<!-- end-ref --><!-- ref --><p><font size="2" face="Verdana">6.- Nisoli, M., Silvestri, S. D., &amp; Svelto, O. 1997, Optics letters,   22, No. 8</font>&nbsp;&nbsp;&nbsp;&nbsp;&nbsp;&nbsp;&nbsp;&nbsp;[&#160;<a href="javascript:void(0);" onclick="javascript: window.open('/scielo.php?script=sci_nlinks&ref=226190&pid=S1562-3823201000010000500006&lng=','','width=640,height=500,resizable=yes,scrollbars=1,menubar=yes,');">Links</a>&#160;]<!-- end-ref --><!-- ref --><p><font size="2" face="Verdana">7.- Santhanam, J.   &amp; Agrawal, G. P. 2003, Optics Communications, 222, 413</font>&nbsp;&nbsp;&nbsp;&nbsp;&nbsp;&nbsp;&nbsp;&nbsp;[&#160;<a href="javascript:void(0);" onclick="javascript: window.open('/scielo.php?script=sci_nlinks&ref=226191&pid=S1562-3823201000010000500007&lng=','','width=640,height=500,resizable=yes,scrollbars=1,menubar=yes,');">Links</a>&#160;]<!-- end-ref --><a href=http://www.scielo.org.bo/cgi-bin/wxis.exe/iah/?IsisScript=iah/iah.xis&nextAction=lnk&base=article^dlibrary&indexSearch=AU&exprSearch=../bases-work/rbf/rbf&lang=>^rND^sAgrawal^nG. P.</a><a href=http://www.scielo.org.bo/cgi-bin/wxis.exe/iah/?IsisScript=iah/iah.xis&nextAction=lnk&base=article^dlibrary&indexSearch=AU&exprSearch=../bases-work/rbf/rbf&lang=>^rND^sCouairon^nA.^rND^sChakraborty^nH. S.^rND^sGaarde^nM. B.</a><a href=http://www.scielo.org.bo/cgi-bin/wxis.exe/iah/?IsisScript=iah/iah.xis&nextAction=lnk&base=article^dlibrary&indexSearch=AU&exprSearch=../bases-work/rbf/rbf&lang=>^rND^sCouairon^nA.^rND^sMysyrowicz^nA.</a><a href=http://www.scielo.org.bo/cgi-bin/wxis.exe/iah/?IsisScript=iah/iah.xis&nextAction=lnk&base=article^dlibrary&indexSearch=AU&exprSearch=../bases-work/rbf/rbf&lang=>^rND^sHauri^nC. P^rND^sKornelis^nW.^rND^sHelbing^nF. W.^rND^sHeinrich^nA.^rND^sCouairon^nA.^rND^sMysyrowicz^nA.^rND^sBiegert^nJ.^rND^sKeller^nU.</a><a href=http://www.scielo.org.bo/cgi-bin/wxis.exe/iah/?IsisScript=iah/iah.xis&nextAction=lnk&base=article^dlibrary&indexSearch=AU&exprSearch=../bases-work/rbf/rbf&lang=>^rND^sMechain^nG.^rND^sD'Amico^nC.^rND^sAndre^nY.-B.^rND^sTzortzakis^nS.^rND^sFranco^nM.^rND^sPrade^nB.^rND^sMysyrowicz^nA.^rND^sCouairon^nA.^rND^sSalmon^nE.^rND^sSauer- brey^nR.</a><a href=http://www.scielo.org.bo/cgi-bin/wxis.exe/iah/?IsisScript=iah/iah.xis&nextAction=lnk&base=article^dlibrary&indexSearch=AU&exprSearch=../bases-work/rbf/rbf&lang=>^rND^sNisoli^nM.^rND^sSilvestri^nS. D.^rND^sSvelto^nO.</a><a href=http://www.scielo.org.bo/cgi-bin/wxis.exe/iah/?IsisScript=iah/iah.xis&nextAction=lnk&base=article^dlibrary&indexSearch=AU&exprSearch=../bases-work/rbf/rbf&lang=>^rND^sSanthanam^nJ.^rND^sAgrawal^nG. P.</a><a href=http://www.scielo.org.bo/cgi-bin/wxis.exe/iah/?IsisScript=iah/iah.xis&nextAction=lnk&base=article^dlibrary&indexSearch=AU&exprSearch=../bases-work/rbf/rbf&lang=>^rND^nAndrés W.^sBurgoa Maríaca</a><a href=http://www.scielo.org.bo/cgi-bin/wxis.exe/iah/?IsisScript=iah/iah.xis&nextAction=lnk&base=article^dlibrary&indexSearch=AU&exprSearch=../bases-work/rbf/rbf&lang=>^rND^nAndrés W.^sBurgoa Maríaca</a><a href=http://www.scielo.org.bo/cgi-bin/wxis.exe/iah/?IsisScript=iah/iah.xis&nextAction=lnk&base=article^dlibrary&indexSearch=AU&exprSearch=../bases-work/rbf/rbf&lang=>^rND^nAndrés W^sBurgoa Maríaca</a><p align="center"><strong><font size="4" face="Verdana">ESCENARIOS DE   CAMBIO CLIMATICO EN EL SUR DEL DEPARTAMENTO DE LA PAZ: PATACAMAYA Y CALACOTO </font></strong></p>     <p align="center"><strong><font size="4" face="Verdana">CLIMATE-CHANGE SCENARIOS IN THE SOUTH OF LA PAZ DEPARTMENT (BOLIVIA): PATACAMAYA   AND CALACOTO </font></strong></p>     <p align=center><font size="3" face="Verdana"><strong>Andrés W.   Burgoa Maríaca </strong></font></p>     <p align=center><strong><font size="2" face="Verdana">Instituto Investigaciones Físicas </font></strong></p>     <p align=center><strong><font size="2" face="Verdana">Facultad de Ciencias Puras y Naturales </font></strong></p>     <p align=center><strong><font size="2" face="Verdana">Universidad Mayor de San Andrés La Paz – Bolivia </font></strong></p> <hr>     <p><font size="2" face="Verdana"><a name=bookmark0><b>resumen</b></a><b> </b></font></p>     <p><font size="2" face="Verdana">El presente estudio está encaminado a generar una   representación mensual de la cantidad diaria de precipitaciones para los   escenarios futuros 2020 y 2085 en las estaciones meteorológicas de Patacamaya y   Calacoto. Para tal efecto se hizo uso del análisis de componentes principales   en el dominio de la frecuencia y de la regionalización estadística. Tanto en Pa­tacamaya   como en Calacoto, los escenarios futuros reproducen bastante bien el patrón de   la precipitación mensual en lo que respecta a la distribución intranual. Sin   embargo, a nivel estacional, se observa en Patacamaya, para el verano austral,   una virtual disminución en la cantidad de precipitación, mientras que en el   invierno austral no se observa cambios signifi­cativos. En Calacoto, los   escenarios futuros no muestran cambios significativos en la cantidad de precipitación   tanto a nivel mensual como estacional. </font></p>     <p><font size="2" face="Verdana"><b>Descriptores:</b> cambio climático — Bolivia </font></p>     <p><font size="2" face="Verdana">Código(s) PACS:   92.70.-j, 93.30.Jg </font></p>     ]]></body>
<body><![CDATA[<p><font size="2" face="Verdana"><a name=bookmark1><b>abstract</b></a><b> </b></font></p>     <p><font size="2" face="Verdana">This study sets out to   generate a monthly representation of the pluvial precipitation for the future   scenarios of 2020 and 2085 using data from the meteorological stations of   Patacamaya and Calacoto. We analyzed the principal frequency components and   statistical regionalization. In both stations our future scenarios reproduce   fairly well the pattern of monthly preci­pitation with respect to its   intra-annual distribution. However, taking into account seasonal differences,   we observed in Patacamaya a virtual decrease in precipitation for the austral   summer while during winter there was no significant change. In Calacoto, future   scenarios did not show significant changes in precipitation for both monthly   and season time periods. </font></p>     <p><font size="2" face="Verdana"><b>Subject headings:</b> climate change —  Bolivia </font></p> <hr>     <p><font size="2" face="Verdana"><b>1. INTRODUCCIÓN </b></font></p>     <p><font size="2" face="Verdana">Para fines del presente estudio, los escenarios climáticos   SRES A2 y SRES B2 son los empleados y representan tanto los niveles medio-alto   y medio- bajo de emisiones de gases de efecto invernadero (GEI). Así, el   escenario A2 supone un mundo muy heterogéneo, preservación de las identidades   loca­les, alta tasa de crecimiento poblacional, desarrollo económico regional,   desarrollo económico más lento que en otras regiones y provocaría una degradación   de la calidad del aire en gran parte del planeta, al aumentar los niveles de la   concentración de fondo de 03; mientras que el escenario SRES B2 se cen­tra en   el sostenimiento medio ambiental, es decir, un mundo con énfasis en las   soluciones locales, un momento continuo de la población menor que en A2, ni­veles   intermedios de desarrollo económico. </font></p>     <p><font size="2" face="Verdana">Los modelos de circulación general de la atmosfera   (GCMs, en ingles) son una herramienta para la investigación del clima y sus   fluctuaciones. Un mo­delo de circulación general (MCG) es una representación   espacial y temporal aproximada de los prin­cipales procesos físicos que ocurren   en la atmosfera y sus interacciones con los demás componentes del medio   ambiente. De su resolución se obtiene la evolución temporal y espacial   (tridimensional) del sis­tema climático en función de las condiciones inicia­les   y de contorno elegidas y de los valores de ciertos parámetros climáticos (por   ejemplo, la concentración de C02 atmosférico). Lo anterior se denomina ex­perimento   numérico, simulación climática o experi­ </font></p>     <p align="center"><font size="2" face="Verdana"> <img width=343 height=395 src="/img/revistas/rbf/v17n1/v17n1a6image002.jpg" v:shapes="_x0000_i1025"> </font></p>     <p><font size="2" face="Verdana">Fig. 1.— Se muestra en cuadros los   puntos de grilla del NCEP Reanálisis y el HadCM3 en círculos negros para las   estaciones meteorológicas de Patacamaya y Calacoto. </font></p>     <p><font size="2" face="Verdana">mento climático y puede orientarse tanto a la descripción   del clima contemporáneo (experimentos de control), como a la investigación del   clima resultante de uno o mas cambios en los parámetros climáticos. Sin   embargo, los MCGs no pueden reproducir hasta el momento los detalles de las   condiciones climáticas regionales tanto a escala temporal como espacial. Por lo   tanto, las salidas de los MCGs poseen -se dice- resolución gruesa (generalmente   mayores a los 2,0<sup>o </sup>tanto en latitud como en longitud) para el   estudio del impacto del cambio climático sobre una determinada región.   Consecuentemente, existe una gran necesi­dad de desarrollar herramientas para   regionalizar las predicciones que generan los MCGs sobre el cam­bio climático a   escales regionales, locales o de una estación en particular. </font></p>     <p><font size="2" face="Verdana">Actualmente existen dos grandes categorías de regionalización   (Wilby y otros, 2002b): las técnicas de regionalización  dinámica, basadas en la extracción de la información   a escala regional de los datos a gran escala (GCM) que están apoyados en el   mode­lado de los procesos dinámicos del clima regional y los procedimientos de regionalización   estadística (o empírica) que son relaciones empíricas entre las va­riables atmosféricas   de gran escala y los parámetros ambientales observados en superficie. La   experiencia en otras latitudes a demostrado que los métodos em­pleados en la regionalización   estadística ofrece va­rias ventajas practicas sobre los dinámicos, en espe­cial   por su flexibilidad y adaptación a objetivos es­pecíficos de un determinado   estudio. </font></p>     ]]></body>
<body><![CDATA[<p align="center"><font size="2" face="Verdana"> <img width=338 height=333 src="/img/revistas/rbf/v17n1/v17n1a6image004.jpg" v:shapes="_x0000_i1026"> </font></p>     <p><font size="2" face="Verdana"><b>2. CASO DE ESTUDIO </b></font></p>     <p><font size="2" face="Verdana">Las estaciones meteorológicas de Patacamaya (-17, 23S;   -67,92W; 3807m.s.n.m.) y de Calacoto (-17.24S; -68.76W; 3822m.s.n.m.) se   encuentran ubi­cadas a 100 [km] y 125[km] de la ciudad sede de go­bierno, entre   ambas estaciones existe aproximada­mente 100[km], el clima en ambas poblaciones   es muy cambiante, en la época de verano se tiene un calor seco con un invierno   indolente. La Tabla 1 nos pro­porciona la estadística básica de las   precipitaciones a nivel diario en las mencionadas estaciones. </font></p>     <p><font size="2" face="Verdana">Se eligieron 12 puntos de grilla para el pre­sente   estudio, estas comprenden los datos de NCEP Reanalisis y los escenarios de   clima futuro (HadCM3), tal como se ilustra en la Figura 1. Las secciones 4 y 5   ejemplifican la metodología seguida. </font></p>     <p><font size="2" face="Verdana"><b>3. DATOS Y METODOLOGÍA </b></font></p>     <p><font size="2" face="Verdana">Dos son las series de datos utilizados: los datos pro­venientes   de estaciones meteorológicas y los datos de NCEP Reanalisis. Además se incluye   un escena­rio de clima futuro (HadCM3) con dos escenarios de emisión de CO2   disponibles, SRES A2 y SRES B2. Los datos locales incluyen precipitación diaria   para el período 1961-2001 y 1970-2000; registrados en las estaciones de   Patacamaya y Calacoto. Los datos de NCEP Reanalisis cubren el mismo período que   los datos locales y los escenarios SRES A2 y SRES B2 poseían una data de   1961-2099. </font></p>     <p><font size="2" face="Verdana">El modelo de regionalización estadística hace uso de   los datos de NCEP Reanalisis como predictores (ver Tabla 2) y los datos locales   como predicados. La serie temporal de Patacamaya (Calacoto) para el período   1961-1980 (1970-1985) es utilizado para la etapa de calibración y los restantes   del 1981­2001 (1986-2000) como la validación. Las salidas estadísticas son   analizadas y comparadas a la es­tadística de los datos observados y evaluadas   para el mismo período de corrida de los modelos. </font></p>     <p align="center"><font size="2" face="Verdana"> <img width=679 height=283 src="/img/revistas/rbf/v17n1/v17n1a6image006.jpg" v:shapes="_x0000_i1027"> </font></p>     <p><font size="2" face="Verdana"><b>4. METODOLOGÍA </b></font></p>     <p><font size="2" face="Verdana">4.1. Análisis de componentes principales   en el dominio de la frecuencia </font></p>     ]]></body>
<body><![CDATA[<p><font size="2" face="Verdana">El análisis de   componentes principales tiene como objetivo la reducción del número de   variables. En tal sentido, el análisis de componentes principales transforma el   conjunto de variables originales en un conjunto más pequeño de variables, las   cuales son combinaciones lineales de las primeras, que contie­nen la mayor   parte de la variabilidad conjunta pre­sente en el conjunto inicial. Stoffer   (1998), propone un refinamiento en el trabajo de Brillinger (1981) para   calcular las componentes principales de {X(t)}. </font></p>     <p><font size="2" face="Verdana">En un contexto general, la filosofía de Stoffer se   basa en la Cobertura Espectral. La técnica está ba­sada en la detección n de   ciclos comunes en las series temporales multivariadas. </font></p>     <p><font size="2" face="Verdana">La idea es: para una frecuencia w e[0,2n], se busca un   vector complejo p-dimensional c (w) tal que </font></p>     <p align="center"><font size="2" face="Verdana"> <img width=178 height=53 src="/img/revistas/rbf/v17n1/v17n1a6image008.jpg" v:shapes="_x0000_i1028"> </font></p>     <p align="center"><font size="2" face="Verdana"> <img width=336 height=240 src="/img/revistas/rbf/v17n1/v17n1a6image010.jpg" v:shapes="_x0000_i1029"> </font></p>     <p><font size="2" face="Verdana">con w e[0, 2n],   se denomina cobertura espectral del proceso. En las frecuencias w donde esta función   es </font></p>     <p align="center"><font size="2" face="Verdana"> <img width=351 height=215 src="/img/revistas/rbf/v17n1/v17n1a6image012.jpg" v:shapes="_x0000_i1030"> </font></p>     <p><font size="2" face="Verdana">5. <b>REGIONALIZACIÓN estadística 5.1</b>. </font></p>     <p><font size="2" face="Verdana"><b> Modelo de   calibración </b></font></p>     <p><font size="2" face="Verdana">La calibración   se realizó de manera independiente para los datos locales de Precipitación   diaria en las estaciones de Patacamaya y Calacoto. La Tabla 3 muestra la conexión   n entre las variables predicando y los predictores para los escenarios futuros   de cam­bio climático SRES A2 y SRES B2. </font></p>     ]]></body>
<body><![CDATA[<p><font size="2" face="Verdana">La Tabla 3 explica la relación n entre predictores y predicando   para la estación meteorología de Pata- camaya y Calacoto. El modelo explicativo   para las precipitaciones diarias en las citadas estaciones es: </font></p>     <p align="center"><font size="2" face="Verdana"> <img width=321 height=53 src="/img/revistas/rbf/v17n1/v17n1a6image014.jpg" v:shapes="_x0000_i1031"> </font></p>     <p><font size="2" face="Verdana"><b>5.2. Modelo de validación </b></font></p>     <p><font size="2" face="Verdana">A partir de la estimación n de los modelos dados en   las ecuaciones 1 y 2 para las estaciones meteorológicas de Patacamaya y   Calacoto, se seleccionó el período de validación para las estaciones locales   los años 1981-2000 y 1985-2000. Los resultados pueden apreciarse en la Figura   2. Dichos períodos se los con­trasto entre el NCEP Reanalizis, escenarios   futuros SRES A2, SRES B2 y los datos observados para la misma el poca. </font></p>     <p align="center"><font size="2" face="Verdana"> <img width=704 height=288 src="/img/revistas/rbf/v17n1/v17n1a6image016.jpg" v:shapes="_x0000_i1032"> </font></p>     <p align="center"><font size="2" face="Verdana"> <img width=711 height=296 src="/img/revistas/rbf/v17n1/v17n1a6image018.jpg" v:shapes="_x0000_i1033"> </font></p>     <p align="center"><font size="2" face="Verdana"> <img width=698 height=297 src="/img/revistas/rbf/v17n1/v17n1a6image020.jpg" v:shapes="_x0000_i1034"> </font></p>     <p><font size="2" face="Verdana"><b>6. PRECIPITACIÓN </b></font></p>     <p><font size="2" face="Verdana">La variabilidad interanual de la precipitación ob­servada   en las estaciones de Patacamaya y Cala- coto reportan un período seco en el   invierno Austral y una lluviosa en el verano correspondiente. Se ob­serva una   estructura monomodal, caracterizada por meses con ausencia de lluvias, en   especial en los me­ses de mayo, junio y julio; mientras que en los me­ses de   diciembre, enero, febrero y marzo con meses lluviosos. Dicho comportamiento se   extiende a gran parte del territorio nacional. </font></p>     <p><font size="2" face="Verdana">6.1. Comparación   precipitación observada, modelo NCEP y escenarios, 1961-2000 </font></p>     ]]></body>
<body><![CDATA[<p><font size="2" face="Verdana"><b>6.1.1. Patacamaya</b> </font></p>     <p><font size="2" face="Verdana">Los modelos de NCEP Reanalisis y de escenarios SRES A2   y SRES B2 reproducen bien el patrón de la lluvia mensual (Figura 3), en lo que   se refiere a la distribución intranual, tales como: la estacionalidad (las épocas   calurosas o relativamente frescas, un período frío o invernal, con descenso en   las preci­pitaciones a partir de la llegada del otoño hasta el invierno   Austral). Sin embargo, cuantitativamente tanto los resultados del NCEP   Reanalisis, como los escenarios SRES A2 y SRES B2 generados para la climatología   1961-2001, subestiman los registros de la precipitación en un -5.4% en un caso   y en el otro en -68% de la lluvia anual, en el caso men­sual, SRES A2   sobrestima para el mes de marzo en un 2,7%. En los meses de la estación seca,   especial­mente en el mes de julio, esas sobrestimaciones son mayores en un 1,4%   más. </font></p>     <p><font size="2" face="Verdana"><b>6.1.2. Calacoto </b></font></p>     <p><font size="2" face="Verdana">Los modelos de reanalisis NCEP Reanalisis y de   escenarios SRES A2 y SRES B2 reproducen bien el patrón de la lluvia mensual   (Figura 3), en lo que se refiere a la distribución intranual, tales como: la estacionalidad   (las épocas calurosas o relativamente frescas, un período frío o invernal, con   descenso en las precipitaciones a partir de la llegada del otoño hasta el   invierno Austral). Sin embargo, cuantitati­vamente tanto los resultados del   NCEP Reanalisis, como los escenarios SRES A2 y SRES B2 generados para la   climatología 1970-2000, subestiman los re­gistros de la precipitación en un -1,   8% en un caso y en el otro en -18.5% de la lluvia anual, en el caso mensual   ambos escenarios sobrestiman para el mes de mayo un 0, 2%. Para la estación del   invierno Aus­tral, el mes de julio no muestra cambio significativo en la   cantidad de precipitación. </font></p>     <p><font size="2" face="Verdana"><b>6.2. Análisis entre escenarios de precipitación SRES   A2 y SRES B2, 1961-1990 y futuro 2020 y 2085 </b></font></p>     <p><font size="2" face="Verdana"><b>6.2.1. Patacamaya </b></font></p>     <p><font size="2" face="Verdana">La relación entre escenarios actuales y futu­ros para   2020 (promedio 2006-2035) se ilustra gráficamente en la figura 4, observándose   que para el año 2020 no habría cambios significativos en el patrón de lluvias   mensual. Sin embargo, los acumu­ </font></p>     <p align="center"> <img width=349 height=368 src="/img/revistas/rbf/v17n1/v17n1a6image022.jpg" v:shapes="_x0000_i1035"></p>     <p align="center"><font size="2" face="Verdana"> <img width=368 height=280 src="/img/revistas/rbf/v17n1/v17n1a6image024.jpg" v:shapes="_x0000_i1036"> </font></p>     <p><font size="2" face="Verdana">lados totales (anuales) no disminuirían tan significa­tivamente   en la mayoría de los meses, excepto en el escenario B2 una disminución para el   mes de diciem­bre en 0,6%, estimándose una disminución del 5,1% en la precipitación   promedio anual, ver Tabla 4. </font></p>     ]]></body>
<body><![CDATA[<p><font size="2" face="Verdana">Hacia finales del presente siglo XXI (2085), los es­cenarios   futuros y actuales siguen el mismo patrón de comportamiento mensual en las   precipitaciones, excepto en el escenario SRES B2, el cual subestima la   climatología 1961-2001, ver Figura 4. Sin em­bargo, se evidencian reducciones   en la lluvia durante la primavera y verano Austral, en especial para el mes de   diciembre (ver Tabla 4). Dichas reducciones alcanzan su pico en un 5, 8% en el   escenario SRES A2 (2085). </font></p>     <p><font size="2" face="Verdana"><b>6.2.2. Calacoto </b></font></p>     <p><font size="2" face="Verdana">La relación entre escenarios actuales y futuros para   2020 (promedio 2006-2035) se muestra en la fi­gura 5, se observa que para el año   2020 no se evi­dencian cambios significativos en el patrón de lluvias mensual.   Los acumulados totales para las estaciones tanto del invierno como verano   Austral, no mues­tran cambios importantes a lo largo de todo el año, es decir,   tanto los escenarios futuros como los actua­les muestran un mismo Patrón de   comportamiento en las precipitaciones, tal como se ejemplifica en la Tabla 4. </font></p>     <p><font size="2" face="Verdana">Hacia finales del presente siglo XXI (2085), los es­cenarios   futuros y actuales siguen el mismo patrón de comportamiento mensual en las precipitaciones.   Sin embargo, se evidencian para el mes de diciembre reducciones de hasta el   8,0% (ver Tabla 4) y de un 18, 8% en la precipitación anual. </font></p>     <p><font size="2" face="Verdana"><b>7. CONCLUSIONES </b></font></p>     <p><font size="2" face="Verdana"><b>7.1. Patacamaya </b></font></p>     <p><font size="2" face="Verdana">El modelo de NCEP Reanalisis como el modelo de   escenarios futuros SRESA2 y SRESB2, reproducen bastante bien la distribución   intranual en lo que res­pecta a la estacionalidad (período de lluvias y es­tiaje),   el verano Austral con diciembre-enero-febrero (DEF) y el invierno Austral con   junio-julio-agosto (JJA), se observa una subestimación en el escena­rio B2 para   los valores de la precipitación mensual promedio durante la época lluviosa   observada, la reducción alcanza el 37% de lluvia anual y una reducción del 14%   mensual para el mes de enero. </font></p>     <p><font size="2" face="Verdana">Los escenarios futuros indicarían disminuciones de la precipitación   media anual hasta de un 5,1% para  2020 (B2) y para 2085 hasta un 4, 2% (A2   y B2), con respecto a 1961-2001. </font></p>     <p><font size="2" face="Verdana">Los escenarios futuros SRESA2 y SRESB2 para los   acumulados de la lluvia mensual, en los años 2020 y 2085, muestran el mismo patrón   actual de régimen de lluvia intranual. Sin embargo, dichos escenarios muestran   reducciones e incrementos en la cantidad de lluvia, las cuales serían después   de 2020, de más de un 3,1% en el mes de marzo para el escenario SRESA2 para   2085 y una reducción del 4.7% en el escenario SRESB2 para 2085. </font></p>     <p><font size="2" face="Verdana"><b>7.2. Calacoto </b></font></p>     ]]></body>
<body><![CDATA[<p><font size="2" face="Verdana">Tanto el modelo de reanalisis NCEP Reanalisis como los   escenarios escenarios futuros SRESA2 y SRESB2, reproducen bastante bien la distribución   interanual en lo que respecta a la estacionalidad (período de lluvias y   estiaje). El verano Austral con los meses de diciembre-enero-febrero (DEF) y el   in­vierno Austral con junio-julio-agosto (JJA), en estos se observan   subestimaciones en los valores en la precipitación mensual promedio durante   todo el año, las mayores subestimaciones se observan en los meses de diciembre   y enero con reducciones del orden de un 5, 0%. </font></p>     <p><font size="2" face="Verdana">Los escenarios futuros no evidencian disminucio­nes   significativas de la precipitación media anual para ambos escenarios SRESA2 y   SRESB2, con res­pecto a 1961-2001. </font></p>     <p><font size="2" face="Verdana">Los futuros escenarios SRESA2 y SRESB2 de los   acumulados de la lluvia mensual, para los años 2020 y 2085, muestran el mismo patrón   actual de régimen de lluvia intranual. En consecuencia, dichos escena­rios no   evidencian reducciones o incrementos en la cantidad de lluvia. </font></p>     <p>&nbsp;</p>     <p>&nbsp;</p>     <p><font size="2" face="Verdana"><b>REFERENCIAS </b></font></p>     <!-- ref --><p><font size="2" face="Verdana">1.- Bettolli, M. L. &amp; Penalba, O. C. 2008, Downscaling daily   rainfall in La Plata basin: statistical approach (UBA, Ciudad Universi­taria,   Argentina) </font>&nbsp;&nbsp;&nbsp;&nbsp;&nbsp;&nbsp;&nbsp;&nbsp;[&#160;<a href="javascript:void(0);" onclick="javascript: window.open('/scielo.php?script=sci_nlinks&ref=226279&pid=S1562-3823201000010000600001&lng=','','width=640,height=500,resizable=yes,scrollbars=1,menubar=yes,');">Links</a>&#160;]<!-- end-ref --><!-- ref --><p><font size="2" face="Verdana">2.- Brillinger, D. R. 1981, Time Series: Data Analysis and Theory (Holden-Day,   San Fransisco) </font>&nbsp;&nbsp;&nbsp;&nbsp;&nbsp;&nbsp;&nbsp;&nbsp;[&#160;<a href="javascript:void(0);" onclick="javascript: window.open('/scielo.php?script=sci_nlinks&ref=226280&pid=S1562-3823201000010000600002&lng=','','width=640,height=500,resizable=yes,scrollbars=1,menubar=yes,');">Links</a>&#160;]<!-- end-ref --><!-- ref --><p><font size="2" face="Verdana">3.- Cavazos, T. &amp; Hewitson, B. C. 2005, Climate Research, 28, 95 </font>&nbsp;&nbsp;&nbsp;&nbsp;&nbsp;&nbsp;&nbsp;&nbsp;[&#160;<a href="javascript:void(0);" onclick="javascript: window.open('/scielo.php?script=sci_nlinks&ref=226281&pid=S1562-3823201000010000600003&lng=','','width=640,height=500,resizable=yes,scrollbars=1,menubar=yes,');">Links</a>&#160;]<!-- end-ref --><!-- ref --><p><font size="2" face="Verdana">4.- Johns, T. C., Carnell, R. E., Crossley, J. F., Gregory, J. M.,   Mitchell, J. F. B., Senior, C. A., Tett, S. F. B., &amp; Wood, R. A. 1997,   Climate Dynamics, 13, 103 </font>&nbsp;&nbsp;&nbsp;&nbsp;&nbsp;&nbsp;&nbsp;&nbsp;[&#160;<a href="javascript:void(0);" onclick="javascript: window.open('/scielo.php?script=sci_nlinks&ref=226282&pid=S1562-3823201000010000600004&lng=','','width=640,height=500,resizable=yes,scrollbars=1,menubar=yes,');">Links</a>&#160;]<!-- end-ref --><!-- ref --><p><font size="2" face="Verdana">5.- Kalnay, E., Kanamitsu, M., Kistler, R., et al. 1996, Bulletin of the American   Meteorological Society, 77, 437 </font>&nbsp;&nbsp;&nbsp;&nbsp;&nbsp;&nbsp;&nbsp;&nbsp;[&#160;<a href="javascript:void(0);" onclick="javascript: window.open('/scielo.php?script=sci_nlinks&ref=226283&pid=S1562-3823201000010000600005&lng=','','width=640,height=500,resizable=yes,scrollbars=1,menubar=yes,');">Links</a>&#160;]<!-- end-ref --><!-- ref --><p><font size="2" face="Verdana">6.- Stoffer, D. S. 1999, J. Amer. Statist. Assoc., 94, 1341 Wilby, R.   L., Conway, D., &amp; Jones, P. D. 2002b, Hidrological Processes, 16, 1215 </font>&nbsp;&nbsp;&nbsp;&nbsp;&nbsp;&nbsp;&nbsp;&nbsp;[&#160;<a href="javascript:void(0);" onclick="javascript: window.open('/scielo.php?script=sci_nlinks&ref=226284&pid=S1562-3823201000010000600006&lng=','','width=640,height=500,resizable=yes,scrollbars=1,menubar=yes,');">Links</a>&#160;]<!-- end-ref --><p><font size="2" face="Verdana">7.- Zorita, E. &amp; von Storch, H. 1999, Journal of Climate, 12, 2474 </font></p>     <a href=http://www.scielo.org.bo/cgi-bin/wxis.exe/iah/?IsisScript=iah/iah.xis&nextAction=lnk&base=article^dlibrary&indexSearch=AU&exprSearch=../bases-work/rbf/rbf&lang=>^rND^sBettolli^nM. L.^rND^sPenalba^nO. C.</a><a href=http://www.scielo.org.bo/cgi-bin/wxis.exe/iah/?IsisScript=iah/iah.xis&nextAction=lnk&base=article^dlibrary&indexSearch=AU&exprSearch=../bases-work/rbf/rbf&lang=>^rND^sBrillinger^nD. R.</a><a href=http://www.scielo.org.bo/cgi-bin/wxis.exe/iah/?IsisScript=iah/iah.xis&nextAction=lnk&base=article^dlibrary&indexSearch=AU&exprSearch=../bases-work/rbf/rbf&lang=>^rND^sCavazos^nT.^rND^sHewitson^nB. C.</a><a href=http://www.scielo.org.bo/cgi-bin/wxis.exe/iah/?IsisScript=iah/iah.xis&nextAction=lnk&base=article^dlibrary&indexSearch=AU&exprSearch=../bases-work/rbf/rbf&lang=>^rND^sJohns^nT. C.^rND^sCarnell^nR. E.^rND^sCrossley^nJ. F.^rND^sGregory^nJ. M.^rND^sMitchell^nJ. F. B.^rND^sSenior^nC. A.^rND^sTett^nS. F. B.^rND^sWood^nR. A.</a><a href=http://www.scielo.org.bo/cgi-bin/wxis.exe/iah/?IsisScript=iah/iah.xis&nextAction=lnk&base=article^dlibrary&indexSearch=AU&exprSearch=../bases-work/rbf/rbf&lang=>^rND^sKalnay^nE.^rND^sKanamitsu^nM.^rND^sKistler^nR.</a><a href=http://www.scielo.org.bo/cgi-bin/wxis.exe/iah/?IsisScript=iah/iah.xis&nextAction=lnk&base=article^dlibrary&indexSearch=AU&exprSearch=../bases-work/rbf/rbf&lang=>^rND^sStoffer^nD. S.</a><a href=http://www.scielo.org.bo/cgi-bin/wxis.exe/iah/?IsisScript=iah/iah.xis&nextAction=lnk&base=article^dlibrary&indexSearch=AU&exprSearch=../bases-work/rbf/rbf&lang=>^rND^sWilby^nR. L.^rND^sConway^nD.^rND^sJones^nP. D.</a><a href=http://www.scielo.org.bo/cgi-bin/wxis.exe/iah/?IsisScript=iah/iah.xis&nextAction=lnk&base=article^dlibrary&indexSearch=AU&exprSearch=../bases-work/rbf/rbf&lang=>^rND^sZorita^nE.^rND^svon Storch^nH.</a><a href=http://www.scielo.org.bo/cgi-bin/wxis.exe/iah/?IsisScript=iah/iah.xis&nextAction=lnk&base=article^dlibrary&indexSearch=AU&exprSearch=../bases-work/rbf/rbf&lang=>^rND^sDiego SanjinEs^nC.</a><a href=http://www.scielo.org.bo/cgi-bin/wxis.exe/iah/?IsisScript=iah/iah.xis&nextAction=lnk&base=article^dlibrary&indexSearch=AU&exprSearch=../bases-work/rbf/rbf&lang=>^rND^sDiego SanjinEs^nC.</a><a href=http://www.scielo.org.bo/cgi-bin/wxis.exe/iah/?IsisScript=iah/iah.xis&nextAction=lnk&base=article^dlibrary&indexSearch=AU&exprSearch=../bases-work/rbf/rbf&lang=>^rND^sDiego SanjinEs^nC</a><p align=center><font size="4" face="Verdana"><strong>SUCESIÓN GENERALIZADA DE FIBONACCI APLICADA A   CIRCUITOS TIPO ESCALERA* </strong></font></p>     <p align=center><font size="4" face="Verdana"><strong>GENERALIZED FIBONACCI SEQUENCE   APPLIED TO LADDER CIRCUITS </strong></font></p>     <p align=center><font size="3" face="Verdana"><strong>Diego   SanjinEs C. </strong></font></p>     <p align=center><strong><font size="2" face="Verdana">Universidad Mayor de San Andrés, Carrera de Física</font></strong></p>     <p align=center><strong><font size="2" face="Verdana"> c   27 Cota-Cota, Campus Universitario, Casilla de Correos 8635</font></strong></p>     <p align=center><strong><font size="2" face="Verdana"> La Paz-Bolivia </font></strong></p> <hr>     <p><font size="2" face="Verdana"><b>RESUMEN </b></font></p>     <p><font size="2" face="Verdana">El uso de las fracciones continuas y su conexión con   la sucesión de Fibonacci en la teoría de los circuitos eléctricos tipo escalera   no es nuevo, pero es susceptible de plantearse de otras maneras a fin de ganar   una visión desde otra perspectiva de un mismo problema, que es lo que se hace   en este trabajo. Se presenta pues una revisión de las técnicas tradicionales   relevantes, a través de una generalización de la sucesión de Fibonacci más   amplia y cómoda que permite obtener los mismos resultados sin necesidad de   fabricar relaciones auxiliares, como por ejemplo, los polinomios de Morgan-Voyce. Los resultados centrales de este trabajo   corresponden al cálculo de las corrientes y voltajes nodales para un circuito   tipo escalera y el voltaje a lo largo de una línea de transmisión continua.   Para ello se utiliza técnicas del formalismo matricial que comprenden el cálculo   de eigenvalues, la diagonalización   y la potenciación de matrices de 2x2. </font></p>     <p><font size="2" face="Verdana"><b>Descriptores:</b> física general — teoría de circuitos </font></p>     <p><font size="2" face="Verdana">Codigo(s) PACS: 01.55.b ,   84.30.Bv </font></p>     ]]></body>
<body><![CDATA[<p><font size="2" face="Verdana"><b>ABSTRACT </b></font></p>     <p><font size="2" face="Verdana">The use of continuous   fractions and their connection to the Fibonacci sequence as part of the theory   of ladder-type electric circuits is not a new issue. However, it is a matter   that is improvable in order to gain an insight into the same issue but from a   different perspective. In this work: we present an overview of traditional   techniques through the use of a generalization of the Fibonacci sequence which   is broader and easier to apply, as well as, leading to the same results without   invoking other special relations, as, for example, the Morgan-Voyce polynomials. The results in this work correspond to   the nodal currents and voltages for a ladder circuit and the voltage along a   continuous transmission line. We use the techniques of the matrix formalism:   eigenvalues, diagonalization and potentiation of 2x2   matrices. </font></p>     <p><font size="2" face="Verdana"><b>Subject headings</b>: general physics — circuit theory </font></p> <hr>     <p><font size="2" face="Verdana"><b>1. INTRODUCCIÓN </b></font></p>     <p><font size="2" face="Verdana">Los números de Fibonacci (o la sucesión del mismo   nombre: F={a<sub>n</sub>})   se presentan usualmente al estu­diante en los primeros cursos de alguna carrera   de ingeniería o ciencias como un ejercicio de computación recursiva, pues su fórmula   generatriz es </font></p>     <p align="center"><font size="2" face="Verdana"> <img width=284 height=18 src="/img/revistas/rbf/v17n1/v17n1a7image002.jpg" v:shapes="_x0000_i1025"> </font></p>     <p><font size="2" face="Verdana">Así, F queda   definida al especificar los dos primeros términos  a<sub>1</sub>, a<sub>2</sub>. La forma usual   de F corresponde a la elección (arbitraria) a<sub>1</sub>=a<sub>2</sub>=1: </font></p>     <p align="center"><font size="2" face="Verdana"> <img width=258 height=22 src="/img/revistas/rbf/v17n1/v17n1a7image004.jpg" v:shapes="_x0000_i1026"> </font></p>     <p><font size="2" face="Verdana">La convención acostumbrada   que designa una sucesión generalizada de Fibonacci es elegir a<sub>1</sub>=&#945;   y a<sub>2</sub>= &#946; (ver, por ejemplo, Horadam   1961 y Basin 1963), donde el caso especial de &#945;=&#946;=1   corresponde a F. Sin embargo, en este trabajo se referiría simplemente a una sucesión   de Fibonacci como aquella que cumpla la relación (1) independientemente de los   valores de a<sub>1</sub> y a<sub>2</sub>, de tal forma que la designación de sucesión   &quot;generalizada&quot; se aplique de una forma más general (y útil) para los   fines de este trabajo. </font></p>     <p><font size="2" face="Verdana">A propósito de   los números de Fibonacci, estos tie­nen una larga y venerable tradición cuyos   aspec­tos generales se pueden resumir a continuación. En 1202, Leonardo de   Pisa, hijo del comerciante Bonaccio y conocido como   Fibonacci (i.e., Filius Bo- nacci=hijo   de Bonaccio) publicó la obra &quot;Liber Abaci&quot; (libro del ábaco)   donde trato matemáticamente un problema muy popular en aquellos días: la multiplicación   de una población de conejos a partir de una pareja inicial (Vorobyov   1973). Esta fue la primera ocasión en que apareció de manera documentada la  sucesión   F que desde entonces se atribuye a Fibonacci. En el siglo XVII, J. Kepler   re-descubrió esta sucesión, lo que motivó aun su estudio; algunos nom­bres   relacionados con ello son: J. Binet, B. Lame, E.   Catatán, E. Lucas. A propósito de este último (s. XIX), se conoce como &quot;números   de Lucas&quot; aque­llos que corresponden a la sucesión F con valores ini­ciales   ai=2 y a<sub>2</sub> = 1. Una cronología reciente y   muy resumida de actividades y publicaciones relevantes puede ser la siguiente: </font></p>     ]]></body>
<body><![CDATA[<p><font size="2" face="Verdana"> &nbsp; </font><font size="2" face="Verdana">1959.-   Morgan-Voyce A.M,   &quot;Ladder Network Analysis using Fibonacci numbers&quot; (Morgan-Voyce 1959). </font></p>     <p><font size="2" face="Verdana"> &nbsp; </font><font size="2" face="Verdana">1961.-   N. Vorobyov, &quot;Fibonacci numbers&quot; (Vorobyov 1973). </font></p>     <p><font size="2" face="Verdana"> &nbsp; </font><font size="2" face="Verdana">1963.- V. Hoggat funda la   &quot;Fibonacci Association&quot; y se publica el   &quot;Fibonacci Quarterly&quot;. Se organiza las   conferencias &quot;Fibonacci&quot; en California (EUA) anual­mente hasta 1979. </font></p>     <p><font size="2" face="Verdana"> &nbsp; </font><font size="2" face="Verdana">1969.-   V. Hoggat, &quot;Fibonacci and Lucas numbers&quot;. </font></p>     <p><font size="2" face="Verdana"> &nbsp; </font><font size="2" face="Verdana">1984, 1986, 1988.- Conferencias internacionales (1ra,   2da y 3ra en Grecia (Lahr 1986), EUA e Ita­lia   respectivamente) sobre los números de Fibonacci y sus aplicaciones. </font></p>     <p><font size="2" face="Verdana"> &nbsp; </font><font size="2" face="Verdana">Actualmente existe una gran variedad de aplica­ciones   de los números de Fibonacci en distintos cam­pos, donde se destaca el uso de   diversas relaciones derivadas de generalizaciones de la formula recur­siva (1),   como es el caso de los polinomios de Morgan- Voyce   (Morgan-Voyce 1959, Lahr   1986). Una aplicación muy común es aquella referida a los circuitos eléctricos   tipo escalera, donde se da una especie de escenario natural para la aparición   de los números de Fibonacci. Es aquí donde surge la motivación para este   trabajo. </font></p>     <p><font size="2" face="Verdana"><b>2.   formalismo matricial y sucesión generalizada de fibonacci </b></font></p>     <p><font size="2" face="Verdana"> &nbsp; </font><font size="2" face="Verdana">Uno de los problemas centrales de una sucesión re­cursiva   con una relación generatriz como es el caso de (1), es hallar una formula para el n-ésimo término   como una función de n: </font></p>     <p align="center"><font size="2" face="Verdana"> <img width=255 height=23 src="/img/revistas/rbf/v17n1/v17n1a7image006.jpg" v:shapes="_x0000_i1027"> </font></p>     <p><font size="2" face="Verdana"> &nbsp; </font><font size="2" face="Verdana">Para el caso de   (1), J. Binet dedujo ingeniosamente dicha fórmula (Vorobyov 1973): </font></p>     ]]></body>
<body><![CDATA[<p align="center"><font size="2" face="Verdana"> <img width=291 height=49 src="/img/revistas/rbf/v17n1/v17n1a7image008.jpg" v:shapes="_x0000_i1028"> </font></p>     <p><font size="2" face="Verdana">Una extensión   para un caso más general de (1): </font></p>     <p align="center"><font size="2" face="Verdana"> <img width=231 height=13 src="/img/revistas/rbf/v17n1/v17n1a7image010.jpg" v:shapes="_x0000_i1029"> </font></p>     <p><font size="2" face="Verdana">se logra de manera inmediata a través del mismo procedimiento   original de Binet (Kiss   1986). </font></p>     <p><font size="2" face="Verdana"> &nbsp; </font><font size="2" face="Verdana">Otra forma   equivalente de obtener el mismo resul­tado (4) es a través del formalismo   matricial. Así, la relación de recurrencia (1) se puede representar por </font></p>     <p align="center"><font size="2" face="Verdana"> <img width=326 height=40 src="/img/revistas/rbf/v17n1/v17n1a7image012.jpg" v:shapes="_x0000_i1030"> </font></p>     <p align="center"><font size="2" face="Verdana"> <img width=338 height=39 src="/img/revistas/rbf/v17n1/v17n1a7image014.jpg" v:shapes="_x0000_i1031"> </font></p>     <p><font size="2" face="Verdana"> &nbsp; </font><font size="2" face="Verdana">Si se conoce el   resultado de M <sup>n-2</sup>, entonces cierta­mente se conocerá x<sub>n</sub> a partir del vector inicial x<sub>2</sub>.   Para tal efecto se debe resolver el problema de ei- genvalores de M, es decir, obtener el valor de A de la   ecuación de eigenvalores Mz=&#955;z, lo que da lugar al polinomio característico cuyas   raíces son </font></p>     <p align="center"><font size="2" face="Verdana"> <img width=265 height=41 src="/img/revistas/rbf/v17n1/v17n1a7image016.jpg" v:shapes="_x0000_i1032"> </font></p>     <p><font size="2" face="Verdana"> &nbsp; </font><font size="2" face="Verdana">El siguiente   paso es diagonalizar M, esto es, encon­trar otra   matriz D tal que M<sub>D</sub> =D<sup>- 1</sup>MD sea una ma­triz diagonal. El   resultado de dicha diagonalización es </font></p>     ]]></body>
<body><![CDATA[<p align="center"><font size="2" face="Verdana"> <img width=348 height=77 src="/img/revistas/rbf/v17n1/v17n1a7image018.jpg" v:shapes="_x0000_i1033"> </font></p>     <p><font size="2" face="Verdana"> &nbsp; </font><font size="2" face="Verdana">Teniendo además   en cuenta que los eigenvalores a y p tienen las   propiedades </font></p>     <p align="center"><font size="2" face="Verdana"> <img width=340 height=86 src="/img/revistas/rbf/v17n1/v17n1a7image020.jpg" v:shapes="_x0000_i1034"> </font></p>     <p align="center"><font size="2" face="Verdana">que es la fórmula de Binet   (4). </font></p>     <p><font size="2" face="Verdana"> &nbsp; </font><font size="2" face="Verdana">El método matricial para obtener a<sub>n</sub> es particu­larmente adecuado para calcular el n-ésimo   término de una sucesión aún más general, ya que el crite­rio original de Binet para obtener (4) no se puede aplicar al caso de una relación   de          recursividad del tipo &#945;&#1400;   =A&#1400;a&#1400;-&#8321; + B&#1400;a&#1400;­2 (A&#1400;, B&#1400;&#8800;1,   n&gt;2), que se puede designar como sucesión generalizada de Fibonacci. Un caso   particular de esta relación que con­viene para los fines específicos de este   trabajo es </font></p>     <p align="center"><font size="2" face="Verdana"> <img width=334 height=42 src="/img/revistas/rbf/v17n1/v17n1a7image022.jpg" v:shapes="_x0000_i1035"> </font></p>     <p><font size="2" face="Verdana">Se asignara el símbolo   G para el conjunto de los términos a<sub>n</sub> dados por (11). En el formalismo matri­cial la relación de recurrencia (11) se   escribe (para n par) como </font></p>     <p align="center"><font size="2" face="Verdana"> <img width=341 height=81 src="/img/revistas/rbf/v17n1/v17n1a7image024.jpg" v:shapes="_x0000_i1036"> </font></p>     <p align="center"><font size="2" face="Verdana"> <img width=357 height=191 src="/img/revistas/rbf/v17n1/v17n1a7image026.jpg" v:shapes="_x0000_i1037"> </font></p> </font><font size="2" face="Verdana">Como un ejemplo ilustrativo, la sucesión corre­pondiente a R=2 y ai=a<sub>2</sub>=1 es G = 1, 1, 2, 5, 7, 19, 26, 71,_____ Usando la expresión (13) se obtiene </font> </p>     <p align="center"><font size="2" face="Verdana"> <img width=280 height=77 src="/img/revistas/rbf/v17n1/v17n1a7image028.jpg" v:shapes="_x0000_i1038"> </font></p>     ]]></body>
<body><![CDATA[<p><font size="2" face="Verdana">de donde se calcula directamente a<sub>4</sub>=5,   a<sub>6</sub>=19, a<sub>8</sub>=71. </font></p>     <p><font size="2" face="Verdana">Aunque no es un misterio, siempre es interesante notar   como las expresiones claramente irracionales de (14) se &quot;ponen de   acuerdo&quot; para dar por resultado solo números naturales. Esto es una   consecuencia de las propiedades correspondientes a (9) para el caso de las   sucesiones generalizadas G. </font></p>     <p>&nbsp;</p>     <p><font size="2" face="Verdana"><b>3. FRACCIONES CONTINUAS </b></font></p>     <p><font size="2" face="Verdana"><b> &nbsp; </b></font><font size="2" face="Verdana">Una aplicación interesante de las sucesiones G surge   al expresar una fracción continua W como la razón entre dos términos   consecutivos de G. Para ver esto consideremos el tratamiento que hace Vorobyov (1973) de las fracciones continuas, adoptando la notación   practica de Hall &amp; Knight (Hall &amp; Knight 1948). Considérese entonces la fracción continua   dada por </font></p>     <p align="center"><font size="2" face="Verdana"> <img width=335 height=371 src="/img/revistas/rbf/v17n1/v17n1a7image030.jpg" v:shapes="_x0000_i1039"> </font></p>     <p align="center"><font size="2" face="Verdana"> <img width=349 height=132 src="/img/revistas/rbf/v17n1/v17n1a7image032.jpg" v:shapes="_x0000_i1040"> </font></p>     <p><font size="2" face="Verdana">cuyos términos  h<sub>n</sub> y l<sub>n</sub> respectivamente correspon­den de acuerdo a   (11) a </font></p>     <p align="center"><font size="2" face="Verdana"> <img width=275 height=34 src="/img/revistas/rbf/v17n1/v17n1a7image034.jpg" v:shapes="_x0000_i1041"> </font></p>     <p align="center"><font size="2" face="Verdana"> <img width=346 height=180 src="/img/revistas/rbf/v17n1/v17n1a7image036.jpg" v:shapes="_x0000_i1042"> </font></p>     ]]></body>
<body><![CDATA[<p><font size="2" face="Verdana">Se puede verificar inmediatamente que si R=1 en (20),   estas sucesiones de reducen a la sucesión de Fibonacci F y el resultado de (24)   es el mismo que se obtiene en Vorobyov (1973).   Utilizando (13) en (21) se llega a una expresión muy cómoda para el n-ésimo término de la sucesión L (n&gt;3 impar): </font></p>     <p align="center"><font size="2" face="Verdana"> <img width=326 height=42 src="/img/revistas/rbf/v17n1/v17n1a7image038.jpg" v:shapes="_x0000_i1043"> </font></p>     <p align="center"><font size="2" face="Verdana"> <img width=340 height=69 src="/img/revistas/rbf/v17n1/v17n1a7image040.jpg" v:shapes="_x0000_i1044"> </font></p>     <p><font size="2" face="Verdana"><b>4. APLICACIONES EN LA TEORÍA DE CIRCUITOS ELÉCTRICOS </b></font></p>     <p><font size="2" face="Verdana"> &nbsp; </font><font size="2" face="Verdana">Estas aplicaciones son frecuentes en la literatura   científica; uno de los más antiguos es el trabajo de Fry   (1929). La razón de ello es que el circuito tipo escalera (Fig.1) es un modelo   bastante simple y completo de las líneas de transmisión de energía eléctrica y   permite obtener resultados relevantes para aplicaciones específicas, como ser   la atenuación del voltaje a medida que se avanza a lo largo de la línea. En   este trabajo se aplica el formalismo matricial y la generalización de la sucesión   de Fibonacci (11), donde la deducción de los resultados ya conoci­dos se   realiza a manera de probar de la validez del método. </font></p>     <p><font size="2" face="Verdana">En el modelo ilustrado en la Fig.1 se desprecia los   efectos capacitivos e inductivos en el cálculo de la re­sistencia equivalente R<sub>N</sub> para N lazos. El cálculo de R<sub>n</sub> da como resultado </font></p>     <p align="center"><img width=356 height=180 src="/img/revistas/rbf/v17n1/v17n1a7image042.jpg" v:shapes="_x0000_i1045"> </p>     <p align="center"><font size="2" face="Verdana"> <img width=690 height=178 src="/img/revistas/rbf/v17n1/v17n1a7image044.jpg" v:shapes="_x0000_i1046"> </font></p>     <p><font size="2" face="Verdana">FIG. 1.— Circuito escalera de N lazos con voltajes y corrientes   nodales V<sub>n</sub>, i<sub>n</sub> respectivamente.   La resistencia longitudinal tiene un valor de R unidades de resistencia   mientras que la resistencia transversal vale 1 unidad de resistencia. Cuando el   interruptor está en el estado s=1 el circuito tiene una carga de Z unidades de   resistencia y cuando s=0 el circuito está abierto. </font></p>     <p><font size="2" face="Verdana">Si R=1 entonces   R<sub>&#8734;</sub>=(1+ &#8730;5)/2, lo que se conoce —desde   los tiempos de la Grecia clásica— como razón aúrea. </font></p>     ]]></body>
<body><![CDATA[<p><font size="2" face="Verdana">A continuación se calcula los voltajes y corrientes   nodales V<sub>n</sub>, i<sub>n</sub> (Fig.1). Fijando   en valor del voltaje de entrada como V<sub>N</sub> = i<sub>N</sub> R<sub>N</sub>, las corrientes nodales   resultan ser </font></p>     <p><font size="2" face="Verdana"> <img width=340 height=62 src="/img/revistas/rbf/v17n1/v17n1a7image046.jpg" v:shapes="_x0000_i1047"> </font></p>     <p><font size="2" face="Verdana">donde se usa (27) para el cálculo de R<sub>N   -m</sub>. Cuando el estado del interruptor es s=1 (circuito con carga) la   resistencia equivalente es </font></p>     <p align="center"><font size="2" face="Verdana"> <img width=292 height=41 src="/img/revistas/rbf/v17n1/v17n1a7image048.jpg" v:shapes="_x0000_i1048"> </font></p>     <p><font size="2" face="Verdana">la que se puede escribir en términos de sus   respecti­vas convergentes: </font></p>     <p align="center"><font size="2" face="Verdana"> <img width=287 height=74 src="/img/revistas/rbf/v17n1/v17n1a7image050.jpg" v:shapes="_x0000_i1049"> </font></p>     <p><font size="2" face="Verdana">o bien, en términos de las sucesiones   generalizadas H y L en (20), </font></p>     <p align="center"><font size="2" face="Verdana"> <img width=277 height=72 src="/img/revistas/rbf/v17n1/v17n1a7image052.jpg" v:shapes="_x0000_i1050"> </font></p>     <p><font size="2" face="Verdana"> <img width=334 height=50 src="/img/revistas/rbf/v17n1/v17n1a7image054.jpg" v:shapes="_x0000_i1051"> </font></p>     <p align="center"><font size="2" face="Verdana"> <img width=324 height=84 src="/img/revistas/rbf/v17n1/v17n1a7image056.jpg" v:shapes="_x0000_i1052"> </font></p>     ]]></body>
<body><![CDATA[<p><font size="2" face="Verdana">La fórmula (33) para las corrientes y voltajes noda­les   en un circuito con carga constituye el resultado central de este trabajo. El caso particular del cir­cuito   sin carga (o abierto) se obtiene de (33) al tomar Z=&#8734;. La fórmula (33)   comprende, como casos espe­ciales, los resultados reportados por Basin (1963). En el límite de una cadena de lazos muy   grande (N &#8594;&#8734;) se obtiene de (32) que </font></p>     <p align="center"><font size="2" face="Verdana"> <img width=327 height=52 src="/img/revistas/rbf/v17n1/v17n1a7image058.jpg" v:shapes="_x0000_i1053"> </font></p>     <p><font size="2" face="Verdana">y de aquí, se recupera la expresión (28)   para el cir­cuito sin carga en el límite Z &#8594;&#8734;. </font></p>     <p><font size="2" face="Verdana"><a name=bookmark0><b>5.   límite del continuo: línea uniforme </b></a><b>deTRANSMISION </b></font></p>     <p><font size="2" face="Verdana">La aplicación de los anteriores resultados en el límite   continuo del circuito de la Fig.1 es inmediata. Este es el modelo para una línea   de transmisión uni­forme que consiste por ejemplo  de un juego de cables coaxiales con una fuente   de voltaje en un ex­tremo y una carga en el otro extremo. Así, se tomara el límite   de un número muy grande de lazos, N &#094; ro, junto con las resistencias longitudinal   y transversal en cada lazo: </font></p>     <p align="center"><font size="2" face="Verdana"> <img width=266 height=54 src="/img/revistas/rbf/v17n1/v17n1a7image060.jpg" v:shapes="_x0000_i1054"> </font></p>     <p align="center"><font size="2" face="Verdana"> <img width=330 height=127 src="/img/revistas/rbf/v17n1/v17n1a7image062.jpg" v:shapes="_x0000_i1055"> </font></p>     <p align="center"><font size="2" face="Verdana"> <img width=337 height=134 src="/img/revistas/rbf/v17n1/v17n1a7image064.jpg" v:shapes="_x0000_i1056"> </font></p>     <p><font size="2" face="Verdana">que se reduce a la formula correcta en el límite   del circuito sin carga: </font></p>     <p align="center"><font size="2" face="Verdana"> <img width=245 height=28 src="/img/revistas/rbf/v17n1/v17n1a7image066.jpg" v:shapes="_x0000_i1057"> </font></p>     ]]></body>
<body><![CDATA[<p><font size="2" face="Verdana">La fórmula para R<sub>eq</sub> en (37) es la misma (salvo por un factor &#094;2)   que obtiene Mowery (1964) después de usar un método   con base en los polinomios de Tchebyshev. </font></p>     <p><font size="2" face="Verdana">El voltaje nodal en (33) se puede escribir en la forma   sencilla </font></p>     <p align="center"><font size="2" face="Verdana"> <img width=327 height=187 src="/img/revistas/rbf/v17n1/v17n1a7image068.jpg" v:shapes="_x0000_i1058"> </font></p>     <p><font size="2" face="Verdana">Usando (36) y k=lN/L, donde l es la distancia física desde la fuente de   voltaje (V<sub>0</sub>) hasta el punto nodal se tiene que </font></p>     <p align="center"><font size="2" face="Verdana"> <img width=338 height=85 src="/img/revistas/rbf/v17n1/v17n1a7image070.jpg" v:shapes="_x0000_i1059"> </font></p>     <p><font size="2" face="Verdana"><b>6. COMPORTAMIENTO ASINTÓTICO DE LA RESISTENCIA </b></font></p>     <p><font size="2" face="Verdana">El comportamiento   asintótico de R<sub>N</sub> en (32) cuando </font></p>     <p align="center"><font size="2" face="Verdana"> <img width=348 height=301 src="/img/revistas/rbf/v17n1/v17n1a7image072.jpg" v:shapes="_x0000_i1060"> </font></p>     <p><font size="2" face="Verdana">En los tres casos se verifica el comportamiento Lim<sub>&#1400;&#8594;&#1400;</sub> g<sub>n</sub>(&#948;)=1.   El caso (i) corresponde al límite R<sub>&#8734;</sub>=0   pues el circuito se reduce a una colección in­finita de resistencias unitarias   en paralelo. El caso (iii) corresponde al límite R<sub>&#8734;</sub>=R pues el   circuito se reduce a una colección   infinita de &quot;cortos&quot; y por ello solo queda la primera resistencia   longitudinal. Así, el caso más interesante puede ser (ii) ya que la razón R de   las resistencias longitudinal y transversal no es muy grande ni muy pequeña.  En este caso, si n&#8805; 5 entonces g<sub>n</sub>(&#948;)=1,   lo que significa que la resistencia equivalente para un circuito (con o sin   carga) de 5 lazos ya es una buena aproximación para el circuito más largo. </font></p>     <p><font size="2" face="Verdana">En Lahr (1986) se dispone de   un extenso material acerca de la aplicación de los números de Fibonacci a los   circuitos tipo escalera. Su objetivo central es calcular la resistencia   equivalente y los voltajes y co­rrientes nodales (con carga y sin carga),   obteniendo las expresiones buscadas en términos de los polino­mios de Morgan-Voyce. Estos polinomios también se utilizan en otros   trabajos (ver, por ejemplo, Swamy &amp; Bhattacharyya 1967), donde se incluye efectos ca­pacitivos   e inductivos de las impedancias debidos a una señal periódica de voltaje a la   entrada del cir­cuito. En todos estos casos, se verifica que los poli­nomios de   Morgan-Voyce corresponden al caso par­ticular de una sucesión   generalizada de Fibonacci G definida por (11) con los primeros términos ai=0 y a<sub>2</sub>=1. Aunque ya Basin   (1963) reporta expresio­nes explícitas para los polinomios de Morgan-Voyce, estos no se aplican en algún calculo   contenido en su trabajo. Otros resultados concernientes a las poten­cias de una   matriz de 2x2 y sus conexiones con fun­ciones hiperbólicas, polinomios de Jacobi y polino­mios de Tchebyshev   se reportan en Mowery (1964) y en Mowery   (1961). </font></p>     ]]></body>
<body><![CDATA[<p><font size="2" face="Verdana"><b>7. CONCLUSIONES Y PERSPECTIVAS </b></font></p>     <p><font size="2" face="Verdana">Los resultados centrales de este trabajo, que pue­den   resumirse en las fórmulas (33) para las corrien­tes y voltajes nodales, y la fórmula   (42) para el vol­taje a lo largo de una línea de transmisión conti­nua, se   obtuvieron por medio de una redefinición de la así llamada sucesión   generalizada de Fibonacci según (11). La técnica utilizada fue la del   formalismo matricial que comprende el cálculo de eigenvalores,   la diagonalización y la potenciación de matrices de   2x2. Este formalismo conduce además a expresio­nes para estimar el carácter asintótico   de la resisten­cia equivalente, lo que permite, por ejemplo, calcular cuántos   lazos del circuito serían suficientes para te­ner una buena aproximación al   circuito infinito. Una dirección natural en la que se puede extender este   trabajo es considerar eigenvalores complejos A<sub>1</sub> y A<sub>2 </sub>de las matrices de recurrencia, lo que están asociado a los   efectos capacitivos e inductivos de las impe- dancias (un tratamiento muy completo al respecto lo hace Dutta-Roy (1964) con métodos diferentes a los de este   trabajo). Así, se puede demostrar que aún se cumple la condición |A<sub>1</sub>||A<sub>2</sub>|=1,   de donde se deduce que la impedancia equivalente debe tener un com­portamiento asintotico análogo al caso de eigenva­lores   reales. Otra dirección que se podría tomar es hacia la investigación de las   propiedades de las frac­ciones continuas (15) en donde la periodicidad de q<sub>n</sub> se extiende sobre periodos mayores   que en (19), lo </font></p>     <p><font size="2" face="Verdana">que supone un formalismo matricial análogo a   (12) que involucra el producto de un número mayor de matrices de 2x2. La   extensión de dicho formalismo a matrices cuadradas de mayor orden puede   aplicarse considerando la expresión más general de (11) para  las   relaciones de recurrencia: </font></p>     <p align="center"><font size="2" face="Verdana"> <img width=292 height=65 src="/img/revistas/rbf/v17n1/v17n1a7image074.jpg" v:shapes="_x0000_i1061"> </font></p>     <p><font size="2" face="Verdana"><b>REFERENCIAS </b></font></p>     <!-- ref --><p><font size="2" face="Verdana">1.-  Basin S.L. (1963), Math. Magazine 36, 84. </font>&nbsp;&nbsp;&nbsp;&nbsp;&nbsp;&nbsp;&nbsp;&nbsp;[&#160;<a href="javascript:void(0);" onclick="javascript: window.open('/scielo.php?script=sci_nlinks&ref=226403&pid=S1562-3823201000010000700001&lng=','','width=640,height=500,resizable=yes,scrollbars=1,menubar=yes,');">Links</a>&#160;]<!-- end-ref --><!-- ref --><p><font size="2" face="Verdana">2.- Dutta-Roy S.C. (1964),   Proc. IEE 111, 10, 1653. </font>&nbsp;&nbsp;&nbsp;&nbsp;&nbsp;&nbsp;&nbsp;&nbsp;[&#160;<a href="javascript:void(0);" onclick="javascript: window.open('/scielo.php?script=sci_nlinks&ref=226404&pid=S1562-3823201000010000700002&lng=','','width=640,height=500,resizable=yes,scrollbars=1,menubar=yes,');">Links</a>&#160;]<!-- end-ref --><!-- ref --><p><font size="2" face="Verdana">3.- Fry T.C. (1929), Bull. oftheAmer. Math.   Soc. 35, 463. </font>&nbsp;&nbsp;&nbsp;&nbsp;&nbsp;&nbsp;&nbsp;&nbsp;[&#160;<a href="javascript:void(0);" onclick="javascript: window.open('/scielo.php?script=sci_nlinks&ref=226405&pid=S1562-3823201000010000700003&lng=','','width=640,height=500,resizable=yes,scrollbars=1,menubar=yes,');">Links</a>&#160;]<!-- end-ref --><!-- ref --><p><font size="2" face="Verdana">4.- Hall H.S. &amp; Knight S.R.   (1948), Algebra Superior (Uteha). </font>&nbsp;&nbsp;&nbsp;&nbsp;&nbsp;&nbsp;&nbsp;&nbsp;[&#160;<a href="javascript:void(0);" onclick="javascript: window.open('/scielo.php?script=sci_nlinks&ref=226406&pid=S1562-3823201000010000700004&lng=','','width=640,height=500,resizable=yes,scrollbars=1,menubar=yes,');">Links</a>&#160;]<!-- end-ref --><!-- ref --><p><font size="2" face="Verdana">5.- Horadam A.F.   (1961), Amer. Math. Monthly 68, 5, 455. </font>&nbsp;&nbsp;&nbsp;&nbsp;&nbsp;&nbsp;&nbsp;&nbsp;[&#160;<a href="javascript:void(0);" onclick="javascript: window.open('/scielo.php?script=sci_nlinks&ref=226407&pid=S1562-3823201000010000700005&lng=','','width=640,height=500,resizable=yes,scrollbars=1,menubar=yes,');">Links</a>&#160;]<!-- end-ref --><!-- ref --><p><font size="2" face="Verdana">6.- Kiss P. (1986), Fibonacci numbers and their   applications, p.121 (ed. Philippou A.N. et al., Reidel). </font>&nbsp;&nbsp;&nbsp;&nbsp;&nbsp;&nbsp;&nbsp;&nbsp;[&#160;<a href="javascript:void(0);" onclick="javascript: window.open('/scielo.php?script=sci_nlinks&ref=226408&pid=S1562-3823201000010000700006&lng=','','width=640,height=500,resizable=yes,scrollbars=1,menubar=yes,');">Links</a>&#160;]<!-- end-ref --><!-- ref --><p><font size="2" face="Verdana">7.- Lahr J. (1986), Fibonacci numbers and their   applications, p.141 (ed. Philippou A.N. et al., Reidel). </font>&nbsp;&nbsp;&nbsp;&nbsp;&nbsp;&nbsp;&nbsp;&nbsp;[&#160;<a href="javascript:void(0);" onclick="javascript: window.open('/scielo.php?script=sci_nlinks&ref=226409&pid=S1562-3823201000010000700007&lng=','','width=640,height=500,resizable=yes,scrollbars=1,menubar=yes,');">Links</a>&#160;]<!-- end-ref --><!-- ref --><p><font size="2" face="Verdana">8.- Morgan-Voyce A.M. (1959),   IRE Trans. on Circuit Theory 6, 3, 321. </font>&nbsp;&nbsp;&nbsp;&nbsp;&nbsp;&nbsp;&nbsp;&nbsp;[&#160;<a href="javascript:void(0);" onclick="javascript: window.open('/scielo.php?script=sci_nlinks&ref=226410&pid=S1562-3823201000010000700008&lng=','','width=640,height=500,resizable=yes,scrollbars=1,menubar=yes,');">Links</a>&#160;]<!-- end-ref --><!-- ref --><p><font size="2" face="Verdana">9.- Mowery V.O. (1964), IRE   Trans. on Circuit Theory CT-11, 232. Mowery V.O. (1961), IRE Trans. on Circuit Theory CT-8, 167. </font>&nbsp;&nbsp;&nbsp;&nbsp;&nbsp;&nbsp;&nbsp;&nbsp;[&#160;<a href="javascript:void(0);" onclick="javascript: window.open('/scielo.php?script=sci_nlinks&ref=226411&pid=S1562-3823201000010000700009&lng=','','width=640,height=500,resizable=yes,scrollbars=1,menubar=yes,');">Links</a>&#160;]<!-- end-ref --><p><font size="2" face="Verdana">10.- Plonsey R. &amp;  Collin R. (1961), Principles and Applications of Electromagnetic Fields p.364   (McGraw-Hill). </font></p>     <p><font size="2" face="Verdana">11.- Sander K. &amp; Reed G. (1978),   Transmission and Propagation of Electromagnetic Waves p.153 (Cambridge   University Press). </font></p>     <p><font size="2" face="Verdana">12.-  Swamy   M.N.S. &amp; Bháttácháryyá B.B. (1967), IEEE Trans. on Circuit Theory CT-14, 3, 260. </font></p>     <p><font size="2" face="Verdana">13.- Vorobyov N.N. (1973), Los Números   de Fibonacci (Limusa). </font></p>      ]]></body><back>
<ref-list>
<ref id="B1">
<label>1</label><nlm-citation citation-type="">
<person-group person-group-type="author">
<name>
<surname><![CDATA[Halliday]]></surname>
<given-names><![CDATA[R.]]></given-names>
</name>
</person-group>
<source><![CDATA[Física]]></source>
<year>1998</year>
<volume>1</volume>
<edition>CECSA</edition>
</nlm-citation>
</ref>
<ref id="B2">
<label>2</label><nlm-citation citation-type="">
<person-group person-group-type="author">
<name>
<surname><![CDATA[Serway]]></surname>
<given-names><![CDATA[R.]]></given-names>
</name>
</person-group>
<source><![CDATA[Física]]></source>
<year>1997</year>
<volume>1</volume>
<edition>McGraw-Hill</edition>
</nlm-citation>
</ref>
<ref id="B3">
<label>3</label><nlm-citation citation-type="journal">
<person-group person-group-type="author">
<name>
<surname><![CDATA[Ticona Bustillos]]></surname>
<given-names><![CDATA[A. R.]]></given-names>
</name>
<name>
<surname><![CDATA[Ramírez Avila]]></surname>
<given-names><![CDATA[G. M.]]></given-names>
</name>
</person-group>
<source><![CDATA[RBF]]></source>
<year>2008</year>
<volume>14</volume>
<page-range>121</page-range></nlm-citation>
</ref>
<ref id="B4">
<label>4</label><nlm-citation citation-type="">
<collab>^rND^sTicona Bustillos^nA. R.</collab>
<source><![CDATA[Física]]></source>
<year>1995</year>
<edition>Reverte</edition>
</nlm-citation>
</ref>
</ref-list>
</back>
</article>
<article xmlns:mml="http://www.w3.org/1998/Math/MathML" xmlns:xlink="http://www.w3.org/1999/xlink" xmlns:xsi="http://www.w3.org/2001/XMLSchema-instance">
<front>
<journal-meta>
<journal-id>1562-3823</journal-id>
<journal-title><![CDATA[Revista Boliviana de Física]]></journal-title>
<abbrev-journal-title><![CDATA[Revista Boliviana de Física]]></abbrev-journal-title>
<issn>1562-3823</issn>
<publisher>
<publisher-name><![CDATA[Sociedad Boliviana de Física]]></publisher-name>
</publisher>
</journal-meta>
<article-meta>
<article-id>S1562-38232010000100007</article-id>
<title-group>
<article-title xml:lang="es"><![CDATA[SUCESIÓN GENERALIZADA DE FIBONACCI APLICADA A CIRCUITOS TIPO ESCALERA]]></article-title>
<article-title xml:lang="en"><![CDATA[GENERALIZED FIBONACCI SEQUENCE APPLIED TO LADDER CIRCUITS]]></article-title>
</title-group>
<contrib-group>
<contrib contrib-type="author">
<name>
<surname><![CDATA[Diego SanjinEs]]></surname>
<given-names><![CDATA[C.]]></given-names>
</name>
</contrib>
</contrib-group>
<aff id="A01">
<institution><![CDATA[,Universidad Mayor de San Andrés Carrera de Física ]]></institution>
<addr-line><![CDATA[ ]]></addr-line>
</aff>
<pub-date pub-type="pub">
<day>00</day>
<month>00</month>
<year>2010</year>
</pub-date>
<pub-date pub-type="epub">
<day>00</day>
<month>00</month>
<year>2010</year>
</pub-date>
<volume>17</volume>
<numero>17</numero>
<fpage>41</fpage>
<lpage>46</lpage>
<copyright-statement/>
<copyright-year/>
<self-uri xlink:href="http://www.scielo.org.bo/scielo.php?script=sci_arttext&amp;pid=S1562-38232010000100007&amp;lng=en&amp;nrm=iso"></self-uri><self-uri xlink:href="http://www.scielo.org.bo/scielo.php?script=sci_abstract&amp;pid=S1562-38232010000100007&amp;lng=en&amp;nrm=iso"></self-uri><self-uri xlink:href="http://www.scielo.org.bo/scielo.php?script=sci_pdf&amp;pid=S1562-38232010000100007&amp;lng=en&amp;nrm=iso"></self-uri><abstract abstract-type="short" xml:lang="es"><p><![CDATA[El uso de las fracciones continuas y su conexión con la sucesión de Fibonacci en la teoría de los circuitos eléctricos tipo escalera no es nuevo, pero es susceptible de plantearse de otras maneras a fin de ganar una visión desde otra perspectiva de un mismo problema, que es lo que se hace en este trabajo. Se presenta pues una revisión de las técnicas tradicionales relevantes, a través de una generalización de la sucesión de Fibonacci más amplia y cómoda que permite obtener los mismos resultados sin necesidad de fabricar relaciones auxiliares, como por ejemplo, los polinomios de Morgan-Voyce. Los resultados centrales de este trabajo corresponden al cálculo de las corrientes y voltajes nodales para un circuito tipo escalera y el voltaje a lo largo de una línea de transmisión continua. Para ello se utiliza técnicas del formalismo matricial que comprenden el cálculo de eigenvalues, la diagonalización y la potenciación de matrices de 2x2.]]></p></abstract>
<abstract abstract-type="short" xml:lang="en"><p><![CDATA[The use of continuous fractions and their connection to the Fibonacci sequence as part of the theory of ladder-type electric circuits is not a new issue. However, it is a matter that is improvable in order to gain an insight into the same issue but from a different perspective. In this work: we present an overview of traditional techniques through the use of a generalization of the Fibonacci sequence which is broader and easier to apply, as well as, leading to the same results without invoking other special relations, as, for example, the Morgan-Voyce polynomials. The results in this work correspond to the nodal currents and voltages for a ladder circuit and the voltage along a continuous transmission line. We use the techniques of the matrix formalism: eigenvalues, diagonalization and potentiation of 2x2 matrices.]]></p></abstract>
<kwd-group>
<kwd lng="es"><![CDATA[física general]]></kwd>
<kwd lng="es"><![CDATA[teoría de circuitos]]></kwd>
<kwd lng="en"><![CDATA[general physics]]></kwd>
<kwd lng="en"><![CDATA[circuit theory]]></kwd>
</kwd-group>
</article-meta>
</front>
<back>
<ref-list>
<ref id="B1">
<label>1</label><nlm-citation citation-type="journal">
<person-group person-group-type="author">
<name>
<surname><![CDATA[Basin]]></surname>
<given-names><![CDATA[S.L.]]></given-names>
</name>
</person-group>
<source><![CDATA[Math. Magazine]]></source>
<year>1963</year>
<volume>36</volume>
<page-range>84</page-range></nlm-citation>
</ref>
<ref id="B2">
<label>2</label><nlm-citation citation-type="journal">
<person-group person-group-type="author">
<name>
<surname><![CDATA[Dutta-Roy]]></surname>
<given-names><![CDATA[S.C.]]></given-names>
</name>
</person-group>
<source><![CDATA[Proc. IEE 111]]></source>
<year>1964</year>
<volume>10</volume>
<page-range>1653</page-range></nlm-citation>
</ref>
<ref id="B3">
<label>3</label><nlm-citation citation-type="journal">
<person-group person-group-type="author">
<name>
<surname><![CDATA[Fry]]></surname>
<given-names><![CDATA[T.C.]]></given-names>
</name>
</person-group>
<source><![CDATA[Bull. oftheAmer. Math. Soc.]]></source>
<year>1929</year>
<volume>35</volume>
<page-range>463</page-range></nlm-citation>
</ref>
<ref id="B4">
<label>4</label><nlm-citation citation-type="">
<person-group person-group-type="author">
<name>
<surname><![CDATA[Hall]]></surname>
<given-names><![CDATA[H.S.]]></given-names>
</name>
</person-group>
<collab>Knight S.R.</collab>
<source><![CDATA[Algebra Superior]]></source>
<year>1948</year>
<edition>Uteha</edition>
</nlm-citation>
</ref>
<ref id="B5">
<label>5</label><nlm-citation citation-type="journal">
<person-group person-group-type="author">
<name>
<surname><![CDATA[Horadam]]></surname>
<given-names><![CDATA[A.F.]]></given-names>
</name>
</person-group>
<source><![CDATA[Amer. Math. Monthly]]></source>
<year>1961</year>
<volume>68</volume>
<numero>5</numero>
<issue>5</issue>
<page-range>455</page-range></nlm-citation>
</ref>
<ref id="B6">
<label>6</label><nlm-citation citation-type="book">
<person-group person-group-type="author">
<name>
<surname><![CDATA[Kiss]]></surname>
<given-names><![CDATA[P.]]></given-names>
</name>
</person-group>
<source><![CDATA[Fibonacci numbers and their applications]]></source>
<year></year>
<edition>Philippou</edition>
<page-range>121</page-range><publisher-name><![CDATA[A.N.]]></publisher-name>
</nlm-citation>
</ref>
<ref id="B7">
<label>7</label><nlm-citation citation-type="book">
<person-group person-group-type="author">
<name>
<surname><![CDATA[Lahr]]></surname>
<given-names><![CDATA[J.]]></given-names>
</name>
</person-group>
<source><![CDATA[Fibonacci numbers and their applications]]></source>
<year>1986</year>
<edition>Philippou</edition>
<page-range>141</page-range><publisher-name><![CDATA[A.N. et al.]]></publisher-name>
</nlm-citation>
</ref>
<ref id="B8">
<label>8</label><nlm-citation citation-type="journal">
<person-group person-group-type="author">
<name>
<surname><![CDATA[Morgan-Voyce]]></surname>
<given-names><![CDATA[A.M.]]></given-names>
</name>
</person-group>
<source><![CDATA[IRE Trans. on Circuit Theory]]></source>
<year>1959</year>
<volume>6</volume>
<numero>3</numero>
<issue>3</issue>
<page-range>321</page-range></nlm-citation>
</ref>
<ref id="B9">
<label>9</label><nlm-citation citation-type="journal">
<person-group person-group-type="author">
<name>
<surname><![CDATA[Mowery]]></surname>
<given-names><![CDATA[V.O.]]></given-names>
</name>
</person-group>
<source><![CDATA[IRE Trans. on Circuit Theory]]></source>
<year>1964</year>
<volume>11</volume>
<page-range>232</page-range></nlm-citation>
</ref>
<ref id="B10">
<label>10</label><nlm-citation citation-type="journal">
<person-group person-group-type="author">
<name>
<surname><![CDATA[Mowery]]></surname>
<given-names><![CDATA[V.O.]]></given-names>
</name>
</person-group>
<source><![CDATA[IRE Trans. on Circuit Theory]]></source>
<year>1961</year>
<volume>8</volume>
<page-range>167</page-range></nlm-citation>
</ref>
<ref id="B11">
<label>11</label><nlm-citation citation-type="book">
<person-group person-group-type="author">
<name>
<surname><![CDATA[Plonsey]]></surname>
<given-names><![CDATA[R.]]></given-names>
</name>
<name>
<surname><![CDATA[Collin]]></surname>
<given-names><![CDATA[R.]]></given-names>
</name>
</person-group>
<source><![CDATA[Principles and Applications of Electromagnetic Fields]]></source>
<year></year>
<page-range>364</page-range><publisher-name><![CDATA[McGraw-Hill]]></publisher-name>
</nlm-citation>
</ref>
<ref id="B12">
<label>12</label><nlm-citation citation-type="book">
<person-group person-group-type="author">
<name>
<surname><![CDATA[Sander]]></surname>
<given-names><![CDATA[K.]]></given-names>
</name>
<name>
<surname><![CDATA[Reed]]></surname>
<given-names><![CDATA[G.]]></given-names>
</name>
</person-group>
<source><![CDATA[Transmission and Propagation of Electromagnetic Waves]]></source>
<year></year>
<page-range>153</page-range><publisher-name><![CDATA[Cambridge University Press]]></publisher-name>
</nlm-citation>
</ref>
<ref id="B13">
<label>13</label><nlm-citation citation-type="journal">
<person-group person-group-type="author">
<name>
<surname><![CDATA[Swamy]]></surname>
<given-names><![CDATA[M.N.S.]]></given-names>
</name>
<name>
<surname><![CDATA[Bháttácháryyá]]></surname>
<given-names><![CDATA[B.B.]]></given-names>
</name>
</person-group>
<source><![CDATA[IEEE Trans. on Circuit Theory]]></source>
<year>1967</year>
<volume>14</volume>
<numero>3</numero>
<issue>3</issue>
<page-range>260</page-range></nlm-citation>
</ref>
<ref id="B14">
<label>14</label><nlm-citation citation-type="">
<person-group person-group-type="author">
<name>
<surname><![CDATA[Vorobyov]]></surname>
<given-names><![CDATA[N.N.]]></given-names>
</name>
</person-group>
<source><![CDATA[Los Números de Fibonacci]]></source>
<year>1973</year>
<edition>Limusa</edition>
</nlm-citation>
</ref>
</ref-list>
</back>
</article>
