<?xml version="1.0" encoding="ISO-8859-1"?><article xmlns:mml="http://www.w3.org/1998/Math/MathML" xmlns:xlink="http://www.w3.org/1999/xlink" xmlns:xsi="http://www.w3.org/2001/XMLSchema-instance">
<front>
<journal-meta>
<journal-id>1562-3823</journal-id>
<journal-title><![CDATA[Revista Boliviana de Física]]></journal-title>
<abbrev-journal-title><![CDATA[Revista Boliviana de Física]]></abbrev-journal-title>
<issn>1562-3823</issn>
<publisher>
<publisher-name><![CDATA[Sociedad Boliviana de Física]]></publisher-name>
</publisher>
</journal-meta>
<article-meta>
<article-id>S1562-38232007000000009</article-id>
<title-group>
<article-title xml:lang="es"><![CDATA[ESTUDIO DE DOS CIRCUITOS CAÓTICOS]]></article-title>
</title-group>
<contrib-group>
<contrib contrib-type="author">
<name>
<surname><![CDATA[Conde S.]]></surname>
<given-names><![CDATA[G.]]></given-names>
</name>
<xref ref-type="aff" rid="A01"/>
</contrib>
<contrib contrib-type="author">
<name>
<surname><![CDATA[Ramírez A.]]></surname>
<given-names><![CDATA[G. M.]]></given-names>
</name>
<xref ref-type="aff" rid="A01"/>
</contrib>
</contrib-group>
<aff id="A01">
<institution><![CDATA[,U.M.S.A. Carrera de Física ]]></institution>
<addr-line><![CDATA[La Paz ]]></addr-line>
<country>Bolivia</country>
</aff>
<pub-date pub-type="pub">
<day>00</day>
<month>00</month>
<year>2007</year>
</pub-date>
<pub-date pub-type="epub">
<day>00</day>
<month>00</month>
<year>2007</year>
</pub-date>
<volume>13</volume>
<numero>13</numero>
<fpage>58</fpage>
<lpage>74</lpage>
<copyright-statement/>
<copyright-year/>
<self-uri xlink:href="http://www.scielo.org.bo/scielo.php?script=sci_arttext&amp;pid=S1562-38232007000000009&amp;lng=en&amp;nrm=iso"></self-uri><self-uri xlink:href="http://www.scielo.org.bo/scielo.php?script=sci_abstract&amp;pid=S1562-38232007000000009&amp;lng=en&amp;nrm=iso"></self-uri><self-uri xlink:href="http://www.scielo.org.bo/scielo.php?script=sci_pdf&amp;pid=S1562-38232007000000009&amp;lng=en&amp;nrm=iso"></self-uri><abstract abstract-type="short" xml:lang="es"><p><![CDATA[Se describe el proceso para caracterizar numéricamente un circuito autónomo tipo Chua (compuesto por dos capacitores, una bobina, una resistencia y el diodo de Chua), seguido de una verificación experimental y una comparación cualitativa con un circuito no autónomo R-L-diodo. Manteniendo el parámetro de control &#61699; = C2/C1 fijo y aumentando los valores &#946;= R²C2/L y &#947;= RroC2/L, según el modelo de Chua, el sistema presenta estados en el siguiente orden: divergencia (inestabilidad), caos (con ventanas periódicas) y finalmente periodicidad con tendencia a un punto fijo. En el laboratorio, el comportamiento es similar, sólo que en vez de divergencia se tiene un ciclo límite de primer orden, luego la región caótica a veces contiene ventanas periódicas y finalmente se presentan ciclos límite de segundo y primer orden terminando en un punto fijo. Experimentalmente, el parámetro de control fue la resistencia y los componentes más importantes para obtener caos fueron: C1 = 10 pF y L=1 mH (ro = 21.4 9); C2 podía tomar valores desde 1.5 nF hasta 47 nF, y R desde O Sl hasta 2 1( 9. A pesar de no haberse obtenido la correspondencia esperada entre resultados experimentales y numéricos, se obtuvo el mismo comportamiento y atractores extraños característicos del sistema. Por otro lado, se trabajó con un circuito no autónomo compuesto por R = 51.2 9, L=470 pH y un diodo normal. Este sistema presentó desdoblamiento de periodo y ventanas periódicas. Los parámetros de control fueron: la amplitud del voltaje y la frecuencia de la fuente, con ellas se calculó la primera constante de Feigenbaum. Para la segunda constante, se encontró mayor dificultad debido a la precisión con la que fueron medidos los valores del voltaje en el diodo. Se concluye que los atractores de ambos circuitos dependen de la forma de la función característica del elemento no lineal y presentan bifurcaciones según la variación de la amplitud a una frecuencia crítica. Un estudio más completo puede realizarse utilizando una interfase y analizando el espectro de potencias de las señales de ambos circuitos, además de implementar un modelo teórico en el último. Se ha visto que estos circuitos son de fácil construcción de modo que pueden ser introducidos como herramientas didácticas para el estudio de fenómenos no lineales.]]></p></abstract>
<kwd-group>
<kwd lng="es"><![CDATA[Circuitos Electrónicos]]></kwd>
<kwd lng="es"><![CDATA[Caos]]></kwd>
<kwd lng="es"><![CDATA[Atractores Extraños]]></kwd>
</kwd-group>
</article-meta>
</front><body><![CDATA[ <p align=right><font size="2" face="Verdana, Arial, Helvetica, sans-serif"><b>ARTÍCULO ORIGINAL</b></font></p>     <p align="center"><font size="4"><b><font face="Verdana, Arial, Helvetica, sans-serif">ESTUDIO DE DOS CIRCUITOS CAÓTICOS</font></b></font></p>     <p align=center><font size="3" face="Verdana, Arial, Helvetica, sans-serif"><strong>G. Conde S., G. M. Ramírez A.</strong></font></p>       <p align="center"><font size="2" face="Verdana, Arial, Helvetica, sans-serif">Carrera de Física—U.M.S.A.    <br>   <st1:PersonName ProductID="La Paz" w:st="on">   La Paz—Bolivia</font></p>   <hr size="1">          <p><font size="2" face="Verdana, Arial, Helvetica, sans-serif"><b>RESUMEN</b></font></p>       <p><font size="2" face="Verdana, Arial, Helvetica, sans-serif">Se     describe el proceso para caracterizar numéricamente un circuito autónomo tipo Chua (compuesto por dos     capacitores, una bobina, una resistencia y el diodo de Chua), seguido de una     verificación experimental y una comparación cualitativa con un circuito no autónomo     R-L-diodo. Manteniendo el parámetro de control &#61699; = C<sub>2</sub>/C<sub>1</sub> fijo y     aumentando los valores &#946;= R<sup>2</sup>C<sub>2</sub>/L y  &#947;= RroC<sub>2</sub>/L, según el     modelo de Chua, el sistema presenta estados en el siguiente orden:     divergencia (inestabilidad), caos (con ventanas periódicas) y     finalmente periodicidad con tendencia a un punto fijo. En el laboratorio, el     comportamiento es similar, sólo que en vez de divergencia se tiene un ciclo     límite de primer orden, luego la región caótica a veces contiene ventanas     periódicas y finalmente se presentan ciclos límite de segundo y primer orden terminando     en un punto fijo. Experimentalmente, el parámetro de control fue     la resistencia y los componentes más importantes para obtener caos fueron: C<sub>1</sub> = 10 pF y L=1 mH (ro = 21.4 9); C2 podía tomar valores desde     1.5 nF hasta 47 nF, y <i>R </i>desde O Sl hasta 2 1(   <st1:metricconverter ProductID="9. A" w:st="on">   9. A pesar de no haberse obtenido la correspondencia esperada entre resultados experimentales y numéricos, se obtuvo el mismo comportamiento     y atractores extraños característicos del sistema.     Por otro lado, se trabajó con un circuito no autónomo compuesto por <i>R = </i>51.2 9, L=470 pH y un diodo normal. Este     sistema presentó desdoblamiento de periodo y ventanas periódicas. Los parámetros de control fueron: la amplitud del     voltaje y la frecuencia de la fuente,     con ellas se calculó la primera constante de Feigenbaum. Para la segunda     constante, se encontró mayor dificultad debido a la precisión con la que fueron medidos los valores del voltaje en el     diodo. Se concluye que los atractores de ambos circuitos dependen de la forma de la función característica del elemento     no lineal <i>y </i>presentan bifurcaciones según la variación de la     amplitud a una frecuencia crítica. Un estudio     más completo puede realizarse utilizando una interfase y analizando el espectro de potencias de las señales de ambos circuitos, además de implementar un     modelo teórico en el último. Se ha visto que estos circuitos son de fácil     construcción de modo que pueden ser introducidos como herramientas didácticas     para el estudio de fenómenos no lineales.</font></p>       <p><font size="2" face="Verdana, Arial, Helvetica, sans-serif"><b>Descriptores</b>:     Circuitos Electrónicos, Caos, Atractores     Extraños<i>.</i></font></p> 	<hr size="1">          <p>&nbsp;</p>       <p>&nbsp;</p>       ]]></body>
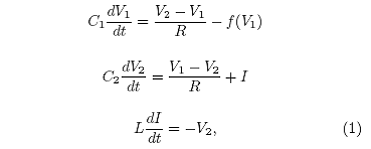
<body><![CDATA[<p><font size="2" face="Verdana, Arial, Helvetica, sans-serif"><b>1.     INTRODUCCIÓN</b></font></p>       <p><font size="2" face="Verdana, Arial, Helvetica, sans-serif">El estudio de los fenómenos no     lineales en nuestro me­dio ha tornado un aspecto teórico en su mayoría, y     poco a poco ha crecido el interés por servirse de sus herramien­tas y aplicarlas en una variedad de áreas. En     especial, los atractores extraños son     considerados como abstracciones que     solamente se observan en libros o en simulaciones y el caos, da la impresión de presentarse solamente     en sis­temas muy grandes corno los sociales o biológicos. Sin embargo, estos fenómenos pueden observarse en     siste­mas de fácil construcción y manejo. Una forma de llegar a este propósito es mediante la electrónica, que     desde principios del siglo pasado, ha reportado circuitos con comportamientos &quot;inusuales&quot; <i>y </i>desde     entonces se han realizado varios estudios     rigurosos e investigaciones, de­sarrollándose     aplicaciones en la tecnología de comuni­caciones y proponiéndose nuevas     aplicaciones incluso en la medicina. Existen varios circuitos electrónicos que     al  contener un elemento no lineal presentan comportamien­tos irregulares, uno de ellos es     el circuito autónomo tipo Chua, planteado por el ingeniero electrónico chino     León Chua en 1971. Si bien fue     planteado en ese año, la pri­mera evidencia     de caos en este circuito fue en 1983 por simulación, realizado por T. Matsumoto [ 1] y la primera evidencia experimental de caos     fue realizado por Zhong y Ayron en     1984 [2], posteriormente, se presentó un tra­bajo     con pruebas rigurosas de la familia entera de atrac­tores caóticos de este circuito [3]. Finalmente,     el circuito ha formado parte de la base para investigaciones en sin­cronización caótica y otras variedades incluyendo     aplica­ciones en la encriptación de señales [4], [5], [6].</font></p>       <p><font size="2" face="Verdana, Arial, Helvetica, sans-serif">Por     otra parte, un circuito RLC con un capacitor variable como elemento no     lineal y una fuente de volta­je sinusoidal fue descrito por Paul Linsay en 1981, en­contrando que el     sistema experimental daba resultados concordantes con la teoría de sistemas no     lineales [7].</font></p>       <p align="center"><font size="2" face="Verdana, Arial, Helvetica, sans-serif"><img width=567 height=483 src="/img/revistas/rbf/v13n13/a09g002.gif"> </font></p>       <p align="center"><font size="2" face="Verdana, Arial, Helvetica, sans-serif"><img width=566 height=55 src="/img/revistas/rbf/v13n13/a09g004.gif"> </font></p>       <p><font size="2" face="Verdana, Arial, Helvetica, sans-serif">Desde entonces se     realizaron modificaciones y estudios de este sistema, buscando las verdaderas causas de la no linealidaid, mas     aplicaciones específicas aún no se han encontrando.</font></p>       <p><font size="2" face="Verdana, Arial, Helvetica, sans-serif">Debido al interés por estudiar y observar fenómenos no lineales como el caos y     la ruta que nos lleva hacia él, se pretende caracterizar numéricamente el circuito     tipo Chua y realizar     observaciones en el osciloscopio a manera de     una verificación experimental. Por otro lado, se pre­tende realizar una     comparación cualitativa, con un cir­cuito no     autónomo compuesto por una fuente de voltaje alterna, una resistencia,     una bobina y un diodo normal.</font></p>       <p align=center><font size="2" face="Verdana, Arial, Helvetica, sans-serif"><b>2. EL     CIRCUITO TIPO CHUA</b></font></p>       <p><font size="2" face="Verdana, Arial, Helvetica, sans-serif">Este circuito se caracteriza     principalmente por dos aspectos: primero, es autónomo, es decir, no está ali­mentado por fuentes de corriente alterna y     segundo, está compuesto por dos partes:     una parte que presen­ta un     comportamiento típico de un oscilador amortigua­do(dos condensadores, una resistencia y una bobina) y la otra parte que constituye el único elemento no     lineal denominado <i>diodo de Chua. </i>Este     elemento causante de la no linealidad actúa como la fuente de energía de     todo  el circuito, se ocupa de retroalimentarlo y lo     mantiene oscilando     (ver figura la).</font></p>       <p><font size="2" face="Verdana, Arial, Helvetica, sans-serif">El circuito tipo Chua se describe     mediante el siguien­te sistema de ecuaciones     diferenciales:</font></p>       ]]></body>
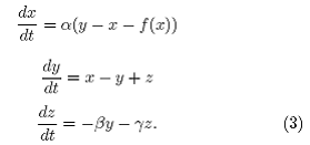
<body><![CDATA[<p align=center><font size="2" face="Verdana, Arial, Helvetica, sans-serif"><sub><img width=371 height=149 src="/img/revistas/rbf/v13n13/a09g006.gif" v:shapes="_x0000_i1028"></sub></font></p>       <p><font size="2" face="Verdana, Arial, Helvetica, sans-serif">donde la función del diodo     de Chua:</font></p>       <p><font size="2" face="Verdana, Arial, Helvetica, sans-serif"> f (V<sub>1</sub> ) = m<sub>b</sub>V<sub>1</sub> + ½(m<sub>a</sub> —m&#1100;)[|V<sub>1</sub> +B|- <b> </b>|V<sub>1</sub> -B|]    tiene pendientes negativas m<sub>a</sub>, <i>m<sub>b</sub> </i>y un punto de ruptura dependiente del voltaje de saturación del     amplificador operacional <i>B. </i>Estas ex­presiones están en función     de los valores de componentes en el circuito del modo siguiente:</font></p>       <p align=center><font size="2" face="Verdana, Arial, Helvetica, sans-serif"><img width=379 height=51 src="/img/revistas/rbf/v13n13/a09g008.gif" v:shapes="_x0000_i1029"> </font></p>       <p><font size="2" face="Verdana, Arial, Helvetica, sans-serif">El diodo de     Chua, básicamente, contiene dos amplifi­cadores operacionales con un juego de seis     resistencias, el </font></p>       <p align=center><font size="2" face="Verdana, Arial, Helvetica, sans-serif"><img width=547 height=306 src="/img/revistas/rbf/v13n13/a09g010.gif" v:shapes="_x0000_i1030"> </font></p>       <p><font size="2" face="Verdana, Arial, Helvetica, sans-serif">Figura 2. Arreglo experimental para medir la curva     característica del diodo de Chua. Se aplica un voltaje <i>Vs </i><b>de </b>una función sinusoidal al circuito en     serie compuesto por la resistencia sensible <i>R, </i>y el diodo <i>NR. </i>El TL082 fue     alimentado por ± 15 V.</font></p>       <p><font size="2" face="Verdana, Arial, Helvetica, sans-serif">arreglo se     observa en la figura lb. Los valores adecuados para presentar no linealida..d fueron determinados en [8] y son     una variación de los valores propuestos inicialmen­te por J. M. Kennedy [9]. La función f(V<sub>1</sub>) de este diodo se caracteriza por una curva V-I no lineal     compuesta por tres rectas con pendiente negativa y un arreglo experi­mental     para su obtención se sugiere en [10].</font></p>       <p><font size="2" face="Verdana, Arial, Helvetica, sans-serif">El modelo de Chua se     presenta en forma adimensional introduciendo los términos siguientes:</font></p>       <p align=center><font size="2" face="Verdana, Arial, Helvetica, sans-serif"><sub><img width=327 height=97 src="/img/revistas/rbf/v13n13/a09g012.gif" v:shapes="_x0000_i1031"> </sub></font></p>       ]]></body>
<body><![CDATA[<p><font size="2" face="Verdana, Arial, Helvetica, sans-serif">Entonces, se tiene un sistema de tres ecuaciones dife­renciales que en principio depende de dos     parámetros &#61699; y &#946;. Pero, considerando la resistencia     intrínseca ro de la bobina     (ver figura 1d), se introduce un tercer parámetro  <img width=79 height=21 src="/img/revistas/rbf/v13n13/a09g014.gif" v:shapes="_x0000_i1032"> al sistema de ecuaciones (3).</font></p>       <p align=center><font size="2" face="Verdana, Arial, Helvetica, sans-serif"><i><img width=279 height=131 src="/img/revistas/rbf/v13n13/a09g016.gif" v:shapes="_x0000_i1033"> </i></font></p>       <p><font size="2" face="Verdana, Arial, Helvetica, sans-serif">La forma adimensional de la función del diodo de Chua es <i>f (x) = bx + ½(a – b)(|x + </i>1|– |x   –1|), la cual se muestra en     la figura lc. Se utilizaron los valores sugeridos para a = –1,22 y <b><i>b = </i></b>–0,728 [8].</font></p>       <p><font size="2" face="Verdana, Arial, Helvetica, sans-serif">2.1. <i>Obtención     Experimental de     <st1:PersonName ProductID="la Funci&#65523;n Caracter&#65517;stica" w:st="on">     la Función Característica del Diodo de Chua</i></font></p>       <p><font size="2" face="Verdana, Arial, Helvetica, sans-serif">Se construyó el arreglo experimental que se observa en   <st1:PersonName ProductID="la Fig." w:st="on">   la Fig. 2 en el que el diodo de Chua compuesto por el amplificador operacional doble TL082 conectado a sus correspondientes seis resistencias: <i>R<sub>1</sub> = </i>R2 = 220 9, <i>R3 = </i>1.8 k9, <i>R4 = </i>Rs = 22 k9, <i>R6 = </i>3.3 Id?, se en­cuentra en serie con una     resistencia sensible <i>R, </i>1 k9. El sistema fue alimentado por el voltaje Vs de un     genera­dor de     funciones GFG-8016G y el TL082 por una fuente simétrica de 15 V. Se realizaron pruebas con     baterías de 9 V y con     fuentes de 12 V y de 10 V, en especial esta última porque inicialmente se había trabajado con     ella y se habían     encontrado aparentes atractores extraños. To­das las observaciones se realizaron con un osciloscopio digital Jimatsu     SS-8421.</font></p>       <p><font size="2" face="Verdana, Arial, Helvetica, sans-serif">La resistencia sensible <i>Rs </i>fue utilizada para medir la corriente <i>IR </i>que fluye por el diodo cuando se     aplica un voltaje <i>V</i>R a sus terminales. Por comodidad se escogió el valor de <i>Rs = </i>1 k9 pues <i>V<sub>Is </sub>= –I<sub>R</sub> </i>e <i>IR </i>está dado en [mA].</font></p>       <p><font size="2" face="Verdana, Arial, Helvetica, sans-serif">Se obtuvo la curva característica del diodo aplicando el voltaje de fuente <i>Vs, </i>conectando <i>V<sub>i</sub>„ </i>al canal Y del os­ciloscopio y <i>VR </i>al canal X y observando en el modo X-Y. Como sabemos que <img width=79 height=18 src="/img/revistas/rbf/v13n13/a09g018.gif" v:shapes="_x0000_i1034"><i>, </i>entonces,     para obtener la curva exacta: <i><img width=71 height=16 src="/img/revistas/rbf/v13n13/a09g020.gif" v:shapes="_x0000_i1035">, </i>se invirtió la entrada de Y.</font></p>       <p><font size="2" face="Verdana, Arial, Helvetica, sans-serif">Los resultados obtenidos se muestran en   <st1:PersonName ProductID="la Fig." w:st="on">   la Fig. 3 Se observa la curva característica de tres segmentos para 31 Hz de frecuencia, 3.480     V de amplitud de voltaje de la fuente y ± 15 V de voltaje de alimentación para los amplificadores del diodo. Además,     se probó que la fuente de 10     V, tenía mucho ruido, y fue descartada junto con la fuente de 12 V porque también era ruidosa. Al     final, se decidió realizar     el trabajo experimental con la fuente de 15 V y observar cómo afectaban las baterías de 9 V.</font></p>       <p align=center><font size="2" face="Verdana, Arial, Helvetica, sans-serif"><b>3. ESTUDIO     CUALITATIVO DEL CIRCUITO    <br> 3.1. Atractores periódicos y caóticos</b></font></p>       ]]></body>
<body><![CDATA[<p><font size="2" face="Verdana, Arial, Helvetica, sans-serif">El sistema no     lineal de Chua, presenta cambios de estado     según varíe el conjunto de parámetros {&#61699;, &#946;, &#947;} y las condiciones iniciales {<sup>x</sup>o, Yo, zo}.     A las representacio­nes gráficas de estos resultados en el espacio de fases las llamamos trayectorias y se     pueden tener los siguientes casos:</font></p>       <p align=center><font size="2" face="Verdana, Arial, Helvetica, sans-serif"><img width=566 height=244 src="/img/revistas/rbf/v13n13/a09g022.gif" v:shapes="_x0000_i1036"> </font></p>       <p><font size="2" face="Verdana, Arial, Helvetica, sans-serif">Figura 3.     Curvas características I vs. V del diodo de Chua. Se observa que la fuente de     10 V es muy ruidosa.</font></p>       <p><font size="2" face="Verdana, Arial, Helvetica, sans-serif">·&nbsp; <i>Puntos     fijos. </i>Es el caso más sencillo que represen­ta un estado     estacionario del sistema. En la serie temporal se presenta una función     continua.</font></p>       <p><font size="2" face="Verdana, Arial, Helvetica, sans-serif">·&nbsp; <i>Ciclos     límite. </i>O puntos periódicos representan un estado     oscilatorio del sistema y todas las trayecto­rias pasan     una y otra vez por su propio valor inicial trazando una curva cerrada. En la     serie temporal se observa una función periódica.</font></p>       <p><font size="2" face="Verdana, Arial, Helvetica, sans-serif">·&nbsp; <i>Casi-periodicidades. </i>Representan la superposición de estados oscilatorios con     periodos distintos y el espacio más apropiado para trazar     estas trayecto­rias es el toroide. En la serie temporal se     presenta como una función modulada.</font></p>       <p><font size="2" face="Verdana, Arial, Helvetica, sans-serif">Hasta este punto los casos vistos     se denominan periodicidades.</font></p>       <p><font size="2" face="Verdana, Arial, Helvetica, sans-serif">A <i>tractores Extraños. </i>Este     es otro caso posible que corresponde a estados aperiódicos. Una de las carac­terísticas de     un atractor extraño es que en el espacio de fases     existe un proceso llamado &quot;stretching and folding&quot;   (estirar y doblar), lo que significa que en las trayectorias   se produce una especie de estiramien­to y luego un plegado sin que     ellas se intersecten. Los atractores extraños son las representaciones en el espacio de fases de sistemas     caóticos.</font></p>       <p><font size="2" face="Verdana, Arial, Helvetica, sans-serif">De este modo, un sistema podría     sufrir cambios de acuerdo a los parámetros que se utilicen. Estos cam­bios     cualitativos se denominan <i>bifurcaciones </i>y los pun­tos donde     ocurren estos cambios se denominan <i>puntos de bifurcación. </i>Estas bifurcaciones podrían     desembocar en comportamientos caóticos, los cuales se definen como comportamientos     irregulares de un sistema determinista muy sensible a las condiciones iniciales     [11].</font></p>       <p align="center"><font size="2" face="Verdana, Arial, Helvetica, sans-serif"><img width=383 height=296 src="/img/revistas/rbf/v13n13/a09g024.gif" v:shapes="_x0000_i1037"> </font></p>       ]]></body>
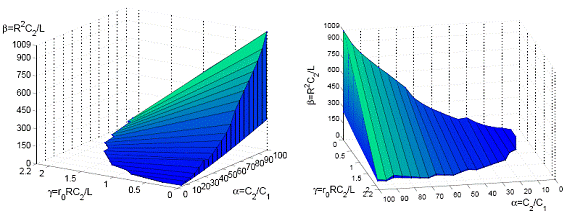
<body><![CDATA[<p><font size="2" face="Verdana, Arial, Helvetica, sans-serif">Figura 4. Caracterización del     circuito tipo Chua con dos parámetros.</font></p>       <p><font size="2" face="Verdana, Arial, Helvetica, sans-serif"><b>3.2. Metodología y Resultados     para     <st1:PersonName ProductID="la Caracterizaci&#65523;n" w:st="on">     la Caracterización del Circuito Tipo Chua Considerando Dos Parámetros</b></font></p>       <p><font size="2" face="Verdana, Arial, Helvetica, sans-serif">Se comenzó resolviendo numéricamente el sistema de Chua mediante un programa en Matlab, en el cual     los valores a ser introducidos fueron     las condiciones inicia­les: [xo, yo,     zo] = [0.1, 0.15, 0.01], el tiempo de integra­ción: t = 1500, los valores de las pendientes: a = —1,22, <i>b = </i>—0,728     y en principio, los parámetros: &#61699; y &#946;, los cuales son variados.</font></p>       <p><font size="2" face="Verdana, Arial, Helvetica, sans-serif">Se realizó   un estudio cualitativo del sistema, esto sig­nifica que se observaron las     trayectorias en el espacio de fases. Lo     primero que se hizo fue elegir un valor de &#61699; y variar el valor de &#946;<i>. </i>De este modo se     encontraron los límites de &#946;, observando si la representación en el     espacio de fases era un atractor extraño para el a elegido. Luego,</font></p>       <p><font size="2" face="Verdana, Arial, Helvetica, sans-serif"><b>TABLA 1</b></font></p>       <p><font size="2" face="Verdana, Arial, Helvetica, sans-serif">Límites     caóticos para la caracterización del sistema de Chua con dos parámetros</font></p>       <p align="center"><font size="2" face="Verdana, Arial, Helvetica, sans-serif"><img width=566 height=319 src="/img/revistas/rbf/v13n13/a09g026.gif" v:shapes="_x0000_i1038"></font></p>       <p align="center"><font size="2" face="Verdana, Arial, Helvetica, sans-serif"><img width=567 height=390 src="/img/revistas/rbf/v13n13/a09g028.gif" v:shapes="_x0000_i1039"></font></p>       <p align=center><font size="2" face="Verdana, Arial, Helvetica, sans-serif"><img width=566 height=249 src="/img/revistas/rbf/v13n13/a09g030.gif" v:shapes="_x0000_i1040"> </font></p>       <p align=center><font size="2" face="Verdana, Arial, Helvetica, sans-serif"><img width=566 height=231 src="/img/revistas/rbf/v13n13/a09g032.gif" v:shapes="_x0000_i1041"> </font></p>       ]]></body>
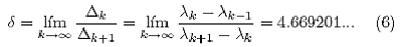
<body><![CDATA[<p align=center><font size="2" face="Verdana, Arial, Helvetica, sans-serif"><img width=371 height=304 src="/img/revistas/rbf/v13n13/a09g034.gif" v:shapes="_x0000_i1042"> </font></p>       <p><font size="2" face="Verdana, Arial, Helvetica, sans-serif">Figura 5. Para a = .10, se     tiene la bifurcación según el parámetro <i>/3<sup>.</sup> </i>Dentro la región caótica j.3 E [13.7, 24] se     encuentran variedades de atractores extraños.</font></p>       <p><font size="2" face="Verdana, Arial, Helvetica, sans-serif">TABLA 2</font></p>       <p align=left><font size="2" face="Verdana, Arial, Helvetica, sans-serif">Límites caóticos para la     caracterización del sistema     de Chua con tres parámetros.</font></p>       <p align=center><font size="2" face="Verdana, Arial, Helvetica, sans-serif"><img width=359 height=457 src="/img/revistas/rbf/v13n13/a09g036.gif" v:shapes="_x0000_i1043"> </font></p>       <p><font size="2" face="Verdana, Arial, Helvetica, sans-serif">se cambió el valor de a y se encontró su correspondiente intervalo de 0. Para todas las     ejecuciones se utilizó el mismo tiempo     de integración y las mismas condiciones iniciales.</font></p>       <p><font size="2" face="Verdana, Arial, Helvetica, sans-serif">Con los datos de la tabla 1 se obtuvieron las regiones de caos y periodicidades representadas en   <st1:PersonName ProductID="la Fig." w:st="on">   la Fig. 4.</font></p>       <p><font size="2" face="Verdana, Arial, Helvetica, sans-serif">Se observó que a partir de &#61699; = 2.5, se     encuentran atractores caóticos en un amplio rango de <i>&#946;. </i>Cuando este parámetro aumenta de valor,     el sistema en general presenta     atractores en el orden siguiente: divergencia en el modelo, lo que implica un estado inestable. Luego, el sistema presenta     atractores caóticos, y finalmente atrac­tores periódicos (con tendencia a un     punto fijo).</font></p>       <p><font size="2" face="Verdana, Arial, Helvetica, sans-serif">Ha sido interesante notar que también existe un ran­go de condiciones iniciales para el cual se tiene un atrac­tor. Este rango va creciendo a medida que a     aumenta. La condición inicial para xo es la que tenía el rango más amplio, luego yo y finalmente zo tiene un rango más res­tringido. Por ejemplo, para &#61699; = 10 y &#946; = 13.7, se obtiene un atractor extraño y su rango de     condiciones iniciales va desde [0.1, 0.15, 0.011 hasta [1.3, 0.19, 0.01]. Quizás esto no es tan     sorprendente debido a que es la característica principal de un sistema caótico.</font></p>       <p><font size="2" face="Verdana, Arial, Helvetica, sans-serif">Posteriormente,     se observó que la región de caos va creciendo     con &#61699; y &#946;. En la tabla 1 se     presentan datos hasta &#61699; = 102, esto no significa que ahí termina la re­gión, de hecho el rango continúa     creciendo. Sin embargo determinar los límites hasta este valor fue suficiente para los propósitos de este trabajo.</font></p>       ]]></body>
<body><![CDATA[<p><font size="2" face="Verdana, Arial, Helvetica, sans-serif">Es importante mencionar que cada valor límite de &#946; para todo &#61699; , ha sido verificado con el <i>exponente de Lyapunov. </i>Como se verá más adelante, el     exponente de Lyapunov es una herramienta     cuantitativa que ayuda a verificar la presencia de caos en un sistema.</font></p>       <p><font size="2" face="Verdana, Arial, Helvetica, sans-serif">Dentro de     la región caótica, existe una variedad de formas     de atractores extraños que, en estudios previos, cada uno de ellos ha sido bautizado con algún nombre, como por     ejemplo: &quot;double scroll&quot; (Fig. 5(b)), &quot;screw ty­pe&quot; (Fig.     5(c)), &quot;spiral&quot; (Fig. 5(d)). Como ya se había mencionado, cuando <sub>fi </sub>aumenta, antes de ingresar a la región     caótica, se tiene una divergencia y luego una ten­dencia a un ciclo límite y     finalmente a un punto fijo (ver Figs. 5(a) y     (e)). Estas regiones no están determinadas en detalle, esto significa que     dentro de la región caóti­ca es     posible encontrar ventanas periódicas y dentro de la     regi´on peri´odica es posible encontrar atractores casiperiódicos.</font></p>       <p><font size="2" face="Verdana, Arial, Helvetica, sans-serif"><b>3.3. Metodología y Resultados para     <st1:PersonName ProductID="la Caracterizaci&#65523;n" w:st="on">     la Caracterización del Circuito Tipo Chua     Considerando Tres Parámetros</b></font></p>       <p><font size="2" face="Verdana, Arial, Helvetica, sans-serif">Hasta cierto punto los pasos fueron los mismos que en la anterior caracterización.</font></p>       <p><font size="2" face="Verdana, Arial, Helvetica, sans-serif">Se empezó resolviendo numéricamente el sistema de Chua mediante el mismo programa en Matlab, excepto que esta vez se consideró un tercer parámetro &#947;.</font></p>       <p><font size="2" face="Verdana, Arial, Helvetica, sans-serif">Al principio, el estudio realizado fue cualitativo. Pri­mero, se eligió un &#61699; para que quede fijo, luego se buscó el rango de &#946; para un &#947;   mínimo y lo mismo se buscó para un &#947; máximo. Luego, se escogió otro valor de a y se en­contraron sus correspondientes     intervalos de &#946; y &#947;. En todos los casos se utilizó el mismo tiempo de integración <i>t, </i>las mismas condiciones iniciales (xo, yo, zo) al igual que las pendientes a y <i>b.</i></font></p>       <p><font size="2" face="Verdana, Arial, Helvetica, sans-serif">La caracterización de la región caótica, se presenta en la tabla 2, en el cual se observan los valores     límites de &#946; para el máximo y mínimo     valor de &#947; correspondiente a cada valor de &#61699;. La región     caótica delimitada por los tres parámetros se     muestra en   <st1:PersonName ProductID="la Fig." w:st="on">   la Fig. 6, en ella, se tiene el plano &#61699; – &#946; para el &#947; mínimo,     en el cual se observa que la región caótica     crece proporcionalmente, tal como lo que se obtuvo en   <st1:PersonName ProductID="la Fig." w:st="on">   la Fig. 4. Para el  &#947; máximo, la región     caótica también aumenta, pero es     mucho más angosta. En el plano &#61699;­&#946; se observa también un aumento proporcional de la región caótica. Cuando el     parámetro 'y toma valores como por     ejemplo: 0.01, para &#61699; = 100, el intervalo de &#946; es más amplio: [259.4, 1007.8] que para un valor mayor, por ejemplo: &#947; = 2.1, en el que el intervalo     de <i><sub>i</sub>3 </i>es más angosto: [60.9, 73.7]. Esto se observa en     el plano</font></p>       <p align=center><font size="2" face="Verdana, Arial, Helvetica, sans-serif"><b>4. ESTUDIO     CUANTITATIVO DEL CIRCUITO</b>    <br>     <b>4.1. El Exponente de Lyapunov</b></font></p>       <p><font size="2" face="Verdana, Arial, Helvetica, sans-serif">El exponente de Lyapunov es una herramienta muy útil para determinar si un sistema dinámico es o no     caóti­co.</font></p>       ]]></body>
<body><![CDATA[<p align="center"><font size="2" face="Verdana, Arial, Helvetica, sans-serif"><img width=567 height=216 src="/img/revistas/rbf/v13n13/a09g038.gif" v:shapes="_x0000_i1044"> </font></p>       <p><font size="2" face="Verdana, Arial, Helvetica, sans-serif">Figura 6.     Caracterización del circuito tipo Chua con tres parámetros. Se muestran dos     vistas de la región caótica. Esta región podría contener huecos debido a las ventanas periódicas.</font></p>       <p><font size="2" face="Verdana, Arial, Helvetica, sans-serif">Si al sistema de Chua se le     asigna una condición ini­cial [x(0), y(0), z(0)], la integración numérica     proporcio­na una serie temporal para cada una     de las coordenadas. Si la misma     condición inicial es modificada ligeramen­te, entonces se tiene una serie temporal que al principio recorre la misma trayectoria anterior pero después     de un tiempo ésta se va separando     exponencialmente. Este fenómeno es una característica de un sistema     caótico ya que el comportamiento de las     trayectorias depende de las condiciones iniciales y precisamente explica porqué   estos sistemas son difíciles de     predecir a largo plazo (ver Fig. 7).</font></p>       <p><font size="2" face="Verdana, Arial, Helvetica, sans-serif">El exponente de Lyapunov se     representa por &#955; y es una cuantificación del     crecimiento exponencial de la dis­tancia entre dos puntos de dos     series temporales con condiciones iniciales ligeramente distintas de un     siste­ma dinámico determinista. El número de exponentes de Lyapunov     depende del número de variables de estado que tiene el     sistema. Pero basta con determinar uno de ellos.</font></p>       <p><font size="2" face="Verdana, Arial, Helvetica, sans-serif">Observando la figura 7, se     considera un punto cual­quiera <i>x<sub>t</sub> </i>en el momento <i>t, </i>el cual es perturbado una distancia Et y se obtiene otro punto <i>x<sub>t</sub> E t. </i>En los sis­temas     caóticos la perturbación crece exponencialmente <img width=87 height=20 src="/img/revistas/rbf/v13n13/a09g040.gif" v:shapes="_x0000_i1045"> lo que es equivalente a <img width=75 height=22 src="/img/revistas/rbf/v13n13/a09g042.gif" v:shapes="_x0000_i1046"> y la perturbación en     el instante <i>t </i>=0 es siempre     muy pequeña. Finalmente, el exponente de Lyapunov está definido por:</font></p>       <p align=center><font size="2" face="Verdana, Arial, Helvetica, sans-serif"><img width=243 height=50 src="/img/revistas/rbf/v13n13/a09g044.gif" v:shapes="_x0000_i1047"> </font></p>       <p><font size="2" face="Verdana, Arial, Helvetica, sans-serif">Como las trayectorias van separándose con el tiempo, el     exponente de Lyapunov debe cumplir con la condición de ser positivo &#955; &gt; 0.     Además, si se grafica:</font></p>       <p align=center><font size="2" face="Verdana, Arial, Helvetica, sans-serif"><img width=235 height=49 src="/img/revistas/rbf/v13n13/a09g046.gif" v:shapes="_x0000_i1048"> </font></p>       <p align=center><font size="2" face="Verdana, Arial, Helvetica, sans-serif"><img width=379 height=294 src="/img/revistas/rbf/v13n13/a09g048.gif" v:shapes="_x0000_i1049"> </font></p>       <p><font size="2" face="Verdana, Arial, Helvetica, sans-serif">Figura 7. Sensibilidad a las     condiciones iniciales en el siste­ma de Chua     con &#61699; = 100, &#946; = 418. La serie temporal sóli­da tiene una condición inicial (1.4,0.19,0.01) y la punteada (1.41,0.19,0.01).</font></p>       ]]></body>
<body><![CDATA[<p><font size="2" face="Verdana, Arial, Helvetica, sans-serif">considerando el tiempo t y el <img width=43 height=24 src="/img/revistas/rbf/v13n13/a09g050.gif" v:shapes="_x0000_i1050">   se tiene una curva cuya pendiente es positiva.</font></p>       <p><font size="2" face="Verdana, Arial, Helvetica, sans-serif">En general, el exponente de     Lyapunov puede calcu­larse numéricamente con la rutina computacional <i>Lyapu­k </i>que corresponde al software TISEAN [14 El resultado     de esta rutina es un conjunto de datos que vienen a ser los     logaritmos naturales, por lo tanto, estos deben ser graficados y     ajustados a una recta para obtener la pen­diente &#955;.</font></p>       <p><font size="2" face="Verdana, Arial, Helvetica, sans-serif">Como el     sistema tiene tres variables, existen también tres exponentes, pero sólo basta     con que un de ellos sea positivo para     considerar una región como caótica. Sin embargo, para tener una información más completa so­bre las     periodicidades, es importante tener en cuenta el resto de los exponentes.</font></p>       <p align="center"><font size="2" face="Verdana, Arial, Helvetica, sans-serif"><img width=567 height=242 src="/img/revistas/rbf/v13n13/a09g052.gif" v:shapes="_x0000_i1051"> </font></p>       <p><font size="2" face="Verdana, Arial, Helvetica, sans-serif">Figura     8. Espectros de Lyapunov para -y mínimo, la región caótica es amplia. Caos se     encuentra cuando &#955; &gt; 0.</font></p>       <p align="center"><font size="2" face="Verdana, Arial, Helvetica, sans-serif"><img width=566 height=234 src="/img/revistas/rbf/v13n13/a09g054.gif" v:shapes="_x0000_i1052"> </font></p>       <p><font size="2" face="Verdana, Arial, Helvetica, sans-serif">Figura 9. Espectros de Lyapunov para -y máximo, la región caótica es     angosta.</font></p>       <p><font size="2" face="Verdana, Arial, Helvetica, sans-serif"><b>4.2. Metodología y Resultados Para Obtener el Exponente y el     Espectro de Lyapunov</b></font></p>       <p><font size="2" face="Verdana, Arial, Helvetica, sans-serif">Para     comprobar las regiones caóticas del sistema de Chua considerando dos     parámetros, se guardaron los da­tos proporcionados por la integración numérica para un a y un <i>a </i>(ya sea el mínimo o el máximo) en un archivo *.dat     y se consideró solamente el 80 % de estos datos con el fin de descartar los     transientes.</font></p>       <p><font size="2" face="Verdana, Arial, Helvetica, sans-serif">A     continuación, se introdujo el archivo *.dat en la rutina <i>(Lyap-k) </i>del     software TISEAN y se hizo correr según las instrucciones que se indican en la     bibliografía [12].</font></p>       ]]></body>
<body><![CDATA[<p><font size="2" face="Verdana, Arial, Helvetica, sans-serif">Se graficó el nuevo     archivo de datos que proporciona <i>Lyap-k, </i>se obtuvo la pendiente de     la curva y se veri­ficó   que los exponentes eran positivos.</font></p>       <p><font size="2" face="Verdana, Arial, Helvetica, sans-serif">Considerando el tercer parámetro, se prosiguió de la     misma manera que en la anterior caracterización y se comprobó que el exponente era positivo en cada     límite.</font></p>       <p><font size="2" face="Verdana, Arial, Helvetica, sans-serif">Además,     se obtuvo el espectro de Lyapunov, esta vez se utilizó una rutina que     proporcionaba todos los expo­nentes de Lyapunov para varios valores de <i>&#946; </i>Es decir, para un &#61699; y un &#947; (ya sea mínimo o máximo), se hizo correr el valor de <i> &#946; </i>en pasos pequeños, luego se tomó ca­da serie temporal de la variable X y para cada una     de ellas se calculó el exponente de     Lyapunov utilizando la ecuación (4).</font></p>       <p><font size="2" face="Verdana, Arial, Helvetica, sans-serif">Este procedimiento se ha realizado para todos los va­lores de a que varía en     pasos de   <st1:metricconverter ProductID="5 a" w:st="on">   5 a partir de 5 hasta 100.</font></p>       <p><font size="2" face="Verdana, Arial, Helvetica, sans-serif">Estos espectros dan una idea más general de la re­gión caótica y sirven para     corroborar los resultados de la caracterización con dos parámetros.</font></p>       <p><font size="2" face="Verdana, Arial, Helvetica, sans-serif">Se encontró el espectro de     Lyapunov respecto de &#61699; <i>y </i>&#946; para el &#947; mínimo <i>y </i>para el &#947; máximo. Se observa que para el &#947;   mínimo, el espectro informa que existen regio­nes caóticas para todo valor de a     y una amplia región de &#946;</font></p>       <p><font size="2" face="Verdana, Arial, Helvetica, sans-serif"><b>TABLA 3</b></font></p>       <p><font size="2" face="Verdana, Arial, Helvetica, sans-serif">Para las figuras (a)-(j) se tienen los datos de los     componentes con los cuales se obtuvieron los atra.ctores en laboratorio y los     correspondientes valores de parámetros para el modelo. Para las figuras     (1)-(10) se tienen los valores de los parámetros más adecuados para obtener los mismos     atractores con el modelo.</font></p>       <p align="center"><font size="2" face="Verdana, Arial, Helvetica, sans-serif"><img width=568 height=183 src="/img/revistas/rbf/v13n13/a09g056.jpg" v:shapes="_x0000_s1029"> </font></p>       <p><font size="2" face="Verdana, Arial, Helvetica, sans-serif">con varias ventanas periódicas.     Para este 'y, se tiene el espectro de     Lyapunov con respecto a  &#946; (ver     Fig. 8(a)), en él se observa una región caótica para <img width=83 height=17 src="/img/revistas/rbf/v13n13/a09g058.gif" v:shapes="_x0000_i1053">    , con     ventanas periódicas en varios puntos, y el paso a la periodicidad a partir de <sub> </sub> &#946; = 726. Luego, el espectro de Lyapunov con respecto a los dos parámetros &#61699; y &#946; se presenta     en la figura 8(b), en la cual se tiene una región caótica ya a partir de &#61699; = 0, y lo     mismo para &#946; = 0, posteriormente,     cuando &#61699; = 30, comienzan a aparecer las ventanas periódicas y a partir de  &#946;= 200, sucede lo mismo. La región caótica va creciendo a medida que &#61699; y &#946; aumentan. Este resultado va en aceptable     concordan­cia con las regiones de la figura     6 y de igual modo con la figura 4.</font></p>       ]]></body>
<body><![CDATA[<p><font size="2" face="Verdana, Arial, Helvetica, sans-serif">En cambio,     para el &#947; máximo, el espectro indica que las     regiones caóticas se tienen para todo valor de &#61699; pero con regiones muy angostas de &#946;   (ver Fig. 9(a)). Esto implica que cuando &#947; va llegando a su máximo     valor y toma valores grandes, entonces la tendencia del sistema es hacia la     periodicidad. Una vista global se observa en   <st1:PersonName ProductID="la Fig." w:st="on"> la Fig. 9(b).</font></p>       <p><font size="2" face="Verdana, Arial, Helvetica, sans-serif">Estos espectros ayudan a completar la información obtenida     para el sistema con dos parámetros, además el espectro del exponente de     Lyapunov nos da una infor­mación global del comportamiento del sistema cuando sus parámetros varían.</font></p>       <p><font size="2" face="Verdana, Arial, Helvetica, sans-serif">Experimentalmente,     se observó que cuando &#61699; = 150 se formaban variedades de atractores con una región caótica amplia y con ventanas periódicas, en cambio pa­ra &#61699; = 4700 se obtuvo menor variedad de atractores y no fue posible observar ventanas periódicas. Al     aumentar el valor del potenciómetro, &#947;   y <i>&#946; </i>también aumentan, por lo tanto, sí fue posible observar     que el sistema tendía a ciclos límite y     puntos fijos cuando la resistencia llegaba a los 2 k9, tal cual describe el espectro de Lyapunov para el &#947;   máximo.</font></p>       <p><font size="2" face="Verdana, Arial, Helvetica, sans-serif"><b>5. ALGUNAS OBSERVACIONES EXPERIMENTALES</b></font></p>       <p><font size="2" face="Verdana, Arial, Helvetica, sans-serif">Experimentalmente, los     siguientes componentes:</font></p>       <p><font size="2" face="Verdana, Arial, Helvetica, sans-serif">C1 =     10 pF y L=1 mH (ro = 24.1 1<sup>-</sup>2) fueron las pie­zas clave para encontrar     caos. C2 pudo adquirir valores desde los 1.5 nF hasta los     47 nF y R desde O <sup>Ç </sup>hasta los   <st1:metricconverter ProductID="2 In" w:st="on">   2 In A continuación se presentan algunos resultados experimentales <i>y </i>sus parámetros adimensionales equiva­lentes     en la tabla 3. En el mismo, se muestran los valores de los parámetros a, -y más adecuados y que introduci­dos en el modelo se obtuvieron los mismos     atractores del laboratorio. Se     observa que no existe una coincidencia entre los parámetros del modelo     con los del laboratorio, por ejemplo: según el modelo, para &#61699; = 150, la región caótica     comenzaba recién en &#946; <i>= </i>435 y &#947; = 0.01. Para &#61699; = 270, se tenía caos a     partir de &#946; <i>= </i>898 y &#947; = 0.01, para &#61699; =     680, el caos empezaba a partir de &#946; <i>= </i>2781 y</font></p>       <p><font size="2" face="Verdana, Arial, Helvetica, sans-serif">&#947; = 0.01. Mayor concordancia se obtuvo en los valores     experimentales y numéricos de &#947;, un tanto de ,&#946; y mayo­res problemas se obtuvieron en los valores de &#61699;. A pesar de no haber obtenido la     correspondencia esperada entre resultados experimentales con la tabla de     caracterización numérica, se obtuvieron los atractores característicos del sistema, entre los cuales están el atractor de     doble hélice, el atractor espiral, el     atractor de doble gancho, ventanas periódicas 2-2, 3-3 <i>y </i>ciclos     límite de primer <i>y </i>segundo orden (ver     Figs. 10-13). Es importante mencionar que en el modelo, se mantuvieron constantes a y <i>b, </i>las cuales dependen de la resistencia. Por lo tanto, según el     modelo lo que variaba al cambiar &#946; &#947; era en realidad la induc­tancia. Sin embargo, en el experimento, el     componente variable fue la     resistencia puesto que una inductancia va­riable es más difícil de conseguir. Al parecer, este detalle influye     en la concordancia entre resultados experimenta­les <i>y </i>numéricos.</font></p>       <p align=center><font size="2" face="Verdana, Arial, Helvetica, sans-serif"><b>6. ESTUDIO     DEL CIRCUITO RL-DIODO</b></font></p>       <p><font size="2" face="Verdana, Arial, Helvetica, sans-serif">En general, se dice que para observar comportamien­tos caóticos, es necesario que el sistema sea de     tercer</font></p>       <p align="center"><font size="2" face="Verdana, Arial, Helvetica, sans-serif"><img width=567 height=257 src="/img/revistas/rbf/v13n13/a09g060.gif" v:shapes="_x0000_i1054"> </font></p>       ]]></body>
<body><![CDATA[<p align="center"><font size="2" face="Verdana, Arial, Helvetica, sans-serif"><img width=567 height=249 src="/img/revistas/rbf/v13n13/a09g062.gif" v:shapes="_x0000_i1055"></font></p>       <p align="center"><font size="2" face="Verdana, Arial, Helvetica, sans-serif"><img width=567 height=245 src="/img/revistas/rbf/v13n13/a09g064.gif" v:shapes="_x0000_i1056"></font></p>       <p><font size="2" face="Verdana, Arial, Helvetica, sans-serif">Figura     10. Las imágenes (a)-(c) corresponden a los atractores obtenidos en laboratorio     y las imágenes (1)-(3) corresponden a los     obtenidos con el modelo. X y Y se miden en voltios en laboratorio.</font></p>       <p align="center"><font size="2" face="Verdana, Arial, Helvetica, sans-serif"><img width=567 height=250 src="/img/revistas/rbf/v13n13/a09g066.gif" v:shapes="_x0000_i1057"> </font></p>       <p align="center"><font size="2" face="Verdana, Arial, Helvetica, sans-serif"><img width=567 height=250 src="/img/revistas/rbf/v13n13/a09g068.gif" v:shapes="_x0000_i1058"> </font></p>       <p align="center"><font size="2" face="Verdana, Arial, Helvetica, sans-serif"><img width=567 height=248 src="/img/revistas/rbf/v13n13/a09g070.gif" v:shapes="_x0000_i1059"> </font></p>       <p><font size="2" face="Verdana, Arial, Helvetica, sans-serif">Figura 11. Las imágenes (d)-(f) corresponden a los     atractores obtenidos en laboratorio y las imágenes (4)-(6) corresponden a los obtenidos con el modelo. X y Y se miden en voltios     en laboratorio.</font></p>       <p align="center"><font size="2" face="Verdana, Arial, Helvetica, sans-serif"><img width=567 height=252 src="/img/revistas/rbf/v13n13/a09g072.gif" v:shapes="_x0000_i1060"> </font></p>       <p align="center"><font size="2" face="Verdana, Arial, Helvetica, sans-serif"><img width=567 height=250 src="/img/revistas/rbf/v13n13/a09g074.gif" v:shapes="_x0000_i1061"> </font></p>       <p align="center"><font size="2" face="Verdana, Arial, Helvetica, sans-serif"><img width=567 height=252 src="/img/revistas/rbf/v13n13/a09g076.gif" v:shapes="_x0000_i1062"> </font></p>       ]]></body>
<body><![CDATA[<p><font size="2" face="Verdana, Arial, Helvetica, sans-serif">Figura 12. Las imágenes     (g)-(i) corresponden a los atractores obtenidos en laboratorio y las imágenes     (7)-(9) corresponden a los obtenidos con el modelo. X y     Y se miden en voltios en laboratorio.</font></p>       <p align="center"><font size="2" face="Verdana, Arial, Helvetica, sans-serif"><img width=567 height=254 src="/img/revistas/rbf/v13n13/a09g078.gif" v:shapes="_x0000_i1063"> </font></p>       <p><font size="2" face="Verdana, Arial, Helvetica, sans-serif">Figura 13.     La imagen (j) corresponde al atractor obtenido en laboratorio y la imagen (10)     corresponde al obtenido con el modelo. X y Y     se miden en voltios en laboratorio.</font></p>       <p><font size="2" face="Verdana, Arial, Helvetica, sans-serif">orden o     mayor. En el caso de los circuitos autónomos, se necesita que el sistema se componga     de un elemento no lineal y por lo menos     tres elementos lineales que alma­cenen     energía (inductor, resistencia, capacitor), como se ha visto con el     circuito de Chua, es autónomo porque no necesita     de fuentes de energía alterna ya que es el mismo circuito el que transforma la señal continua proveniente del diodo en alterna, además el diodo de Chua es     la pieza clave para el comportamiento no lineal de todo el circui­to. No obstante, ésta regla no es definitiva puesto     que puede existir caos en un sistema más sencillo compuesto por una resistencia lineal, un inductor lineal, un     diodo normal y una fuente de voltaje.     El circuito RL-Diodo, al contrario     tiene una fuente de energía alterna, por lo que se lo denomina <i>no autónomo, </i>y tres elementos que bajo ciertos parámetros de frecuencia y amplitud,     se ge­neran señales aperiódicas     mediante el desdoblamiento de periodo de la tensión en el diodo.</font></p>       <p><font size="2" face="Verdana, Arial, Helvetica, sans-serif">Entonces, a un circuito RLC se reemplaza el conden­sador por un diodo normal (ver Fig. 14), el cual al     ser un elemento no lineal, es el causante de las aperiodicida­des. En     este circuito se asume que el voltaje de la fuente tiene la forma V<sub>a, </sub>= Vo cos <i>wt </i>y cuando el voltaje es     posi­tivo, el diodo conduce y se     produce una caída de voltaje <i>Vb = </i>-V<sub>f</sub>.     En el estado no conductor, el diodo se com­porta como un capacitor, el cual     presenta una corriente de carga <i>y </i>el voltaje sigue la frecuencia de la fuente.</font></p>       <p><font size="2" face="Verdana, Arial, Helvetica, sans-serif">La amplitud     del voltaje de fuente &#955; = Vo es el parámetro de control. Esta amplitud no     necesariamente es igual para cada     ciclo porque cuando la corriente lle­ga     a cero, el diodo continúa conduciendo con un tiempo <i><img width=143 height=21 src="/img/revistas/rbf/v13n13/a09g080.gif" v:shapes="_x0000_i1064"></i>, donde     |&#1030;m| es la corriente máxima durante ese ciclo, <img width=19 height=15 src="/img/revistas/rbf/v13n13/a09g082.gif" v:shapes="_x0000_i1065"> el tiempo máximo constante, <img width=19 height=11 src="/img/revistas/rbf/v13n13/a09g084.gif" v:shapes="_x0000_i1066"> el tiempo de     recuperación e Ic es constante. Por lo tanto, dependiendo del parámetro Vo, el voltaje en el diodo <i>Vb </i>se repite con un periodo y se va desdoblando hasta llegar </font></p>       <p align=center><font size="2" face="Verdana, Arial, Helvetica, sans-serif"><b><img width=335 height=251 src="/img/revistas/rbf/v13n13/a09g086.gif" v:shapes="_x0000_i1067"></b></font></p>       <p><font size="2" face="Verdana, Arial, Helvetica, sans-serif">al caos. Como el voltaje en el diodo depende del volta­je de la fuente y   éste depende también de la frecuencia <i>f = </i>w/27r, se     espera un comportamiento similar con su variación [13].</font></p>       <p><font size="2" face="Verdana, Arial, Helvetica, sans-serif">Uno de los caminos más comunes para llegar a un comportamiento caótico es el <i>desdoblamiento de     perio­do </i>en el que las bifurcaciones mediante éste fenómeno ocurren solamente con soluciones periódicas o     trayecto­rias que bajo un punto de     bifurcación tienen periodo T y bajo     otro punto de bifurcación sufren un cambio li­gero presentando un periodo 2T.     En el espacio de fases se observaría un ciclo límite (un lazo) que bajo     cierto parámetro se convertiría en un ciclo límite de segundo or­den (dos lazos) y así sucesivamente los lazos     continuarían desdoblándose al igual     que las soluciones con un periodo T<sub>k</sub> = 2<sup>k</sup>T<sub>0</sub> donde <i>k = </i>0, n. Si se observa este proceso es muy probable que el sistema llegue a ser     caótico [14].</font></p>       <p><font size="2" face="Verdana, Arial, Helvetica, sans-serif">Una característica del     desdoblamiento de periodo es que los puntos de bifurcación     (parámetros de control) <i>k </i>convergen geométricamente al     llegar a la región caótica. Este valor     llegó a ser universal por presentarse en varios sistemas caóticos y se denomina la primera     constante de Feigenbaum:</font></p>       ]]></body>
<body><![CDATA[<p align=center><font size="2" face="Verdana, Arial, Helvetica, sans-serif"><img width=367 height=43 src="/img/revistas/rbf/v13n13/a09g088.gif" v:shapes="_x0000_i1068"> </font></p>       <p><font size="2" face="Verdana, Arial, Helvetica, sans-serif">Existe     también otro comportamiento universal en las so­luciones <i>X(t) </i>de     un sistema, o <i>Vb </i>en este caso, definido por:</font></p>       <p align=center><font size="2" face="Verdana, Arial, Helvetica, sans-serif"><img width=363 height=69 src="/img/revistas/rbf/v13n13/a09g090.gif" v:shapes="_x0000_i1069"> </font></p>       <p><font size="2" face="Verdana, Arial, Helvetica, sans-serif">Siendo <img width=91 height=24 src="/img/revistas/rbf/v13n13/a09g092.gif" v:shapes="_x0000_i1070"> dos soluciones de una ramificación en un punto de bifurcación </font></p>       <p><font size="2" face="Verdana, Arial, Helvetica, sans-serif">6.1. <i>Metodología </i>y <i>Resultados     Para Estudiar el Circuito R-L-Diodo</i></font></p>       <p><font size="2" face="Verdana, Arial, Helvetica, sans-serif">Primero, se armó el sistema según el diagrama de   <st1:PersonName ProductID="la Fig." w:st="on">   la Fig. 14 mostrada en la sección anterior. En un canal     del osciloscopio se mostró el voltaje de entrada Vo y en     el otro canal se mostró el     voltaje en el diodo <i>Vb.</i></font></p>       <p><font size="2" face="Verdana, Arial, Helvetica, sans-serif">Luego,     se encontró la frecuencia en la cual al variar la amplitud, el sistema presentaba bifurcaciones y     caos. A esta frecuencia, se hizo variar la     amplitud del voltaje de fuente y se observó el cambio de periodo en la     serial del diodo hasta encontrar el valor de voltaje de fuente en el que ocurren los comportamientos caóticos. Se     anotaron los valores Vo y se procedió a calcular la primera constan­te de Feigenbaum á. Además se hizo el intento de     medir los valores de voltaje en el     diodo correspondientes a cada punto de bifurcación y calcular la segunda     constante a. Posteriormente, estos puntos fueron graficados.</font></p>       <p><font size="2" face="Verdana, Arial, Helvetica, sans-serif">Por otra parte, se observó el comportamiento del sis­tema cuando el voltaje queda fijo y la frecuencia     varía.</font></p>       <p><font size="2" face="Verdana, Arial, Helvetica, sans-serif">El     comportamiento del diodo se ve afectado sobreto­do a frecuencias altas (1     MHz-3 MHz) y/o a amplitudes altas. Se encontró que a partir de f=195.3 kHz se     obser­van bifurcaciones que llegan a regiones caóticas cuando el valor del voltaje de     fuente Vo cambia. Esta frecuencia no es la misma para todos los diodos, a pesar de que todos sean de la misma serie 1N4007.</font></p>       <p><font size="2" face="Verdana, Arial, Helvetica, sans-serif">Este     sistema permite apreciar con claridad el proceso de bifurcación, en el que     la ruta hacia el caos es el desdo­blamiento de periodo de la tensión en el diodo. Al prin­cipio, se presentan     ciclos límite de primer orden, luego el orden     aumenta y se ingresa a una región caótica bastan­te angosta, a     continuación el sistema pasa a una ventana periódica.     Posteriormente, ingresa otra vez a otra región caótica, luego se presenta otra     ventana periódica más an­gosta que la     primera y finalmente el sistema permanece en una región caótica. Fotografías de los estados de este proceso     se observan en Fig. 15.</font></p>       ]]></body>
<body><![CDATA[<p><font size="2" face="Verdana, Arial, Helvetica, sans-serif">A     continuación, se calcula la constante de Feigen­baum para la primera región     caótica. Los valores que dan el mejor valor de la constante son: 1315 mV, 1415 mV, 1540 mV, 1610 mV y 1630 mV.</font></p>       <p align=center><font size="2" face="Verdana, Arial, Helvetica, sans-serif"><img width=183 height=124 src="/img/revistas/rbf/v13n13/a09g094.gif" v:shapes="_x0000_i1071"> </font></p>       <p><font size="2" face="Verdana, Arial, Helvetica, sans-serif">Para la segunda región caótica, se consideran los si­guientes valores: 10850 mV,     11750 mV, 12550 mV, 13300 mV, 14400 mV, 14750 mV, 14830 mV. La constante da:</font></p>       <p align=center><font size="2" face="Verdana, Arial, Helvetica, sans-serif"><img width=215 height=200 src="/img/revistas/rbf/v13n13/a09g096.gif" v:shapes="_x0000_i1072"> </font></p>       <p><font size="2" face="Verdana, Arial, Helvetica, sans-serif">Para     la segunda constante de Feigenbaum, se obtiene una aproximación con los     valores:</font></p>       <p align=center><font size="2" face="Verdana, Arial, Helvetica, sans-serif"><img width=163 height=41 src="/img/revistas/rbf/v13n13/a09g098.gif" v:shapes="_x0000_i1073"> </font></p>       <p><font size="2" face="Verdana, Arial, Helvetica, sans-serif">Las     constantes obtenidas cerca de las regiones caóticas no concuerdan con los     valores teóricos porque <i>V<sub>b</sub> </i>debe ser medido con mayor precisión y además debe ser     elegido adecuadamente.</font></p>       <p><font size="2" face="Verdana, Arial, Helvetica, sans-serif">Por otro lado, se estudió   el comportamiento del siste­ma manteniendo     fijo el valor de la amplitud y variando la frecuencia. Se encontró que el comportamiento caóti­co ocurre a partir de Vo = 3.700 V. Se observan     simila­res bifurcaciones en las     siguientes frecuencias: 477.8 kHz, 482.2 kHz, 573.4 kHz, 585.9 kHz, 609.6 kHz,     619.8 kHz, 622.3 kHz)y <b>en </b>677.7 kHz el sistema ingresa a la región caótica (ver Fig. 16), manteniéndose en ese estado     hasta que en la frecuencia máxima de     1003.8 kHz el sistema pasa a una ventana periódica y permanece en esa situa­ción.     El atractor en esta región es un ciclo límite, el cual luego sufre un desdoblamiento. La frecuencia máxima a la cual se pudo llegar fue 2044.5 kHz, por lo que     se ha visto, a frecuencias altas el     diodo se comporta de forma totalmente     distinta a la conocida.</font></p>       <p><font size="2" face="Verdana, Arial, Helvetica, sans-serif">Con estos resultados se     obtuvo la constante de Fei­genbaum:</font></p>       <p align=center><font size="2" face="Verdana, Arial, Helvetica, sans-serif"><img width=375 height=42 src="/img/revistas/rbf/v13n13/a09g100.gif" v:shapes="_x0000_i1074"> </font></p>       ]]></body>
<body><![CDATA[<p><font size="2" face="Verdana, Arial, Helvetica, sans-serif">Estos resultados llevan a     pensar que el sistema se encuen­tra en una región caótica, de todos modos, es     necesario mayor precisión en las medidas. Debe tenerse en cuen­ta que tanto la frecuencia     como el voltaje eran variables durante el experimento, lo que también puede     introducir error en los datos. Utilizando una interfase     experimentocomputadora y analizando el espectro de potencias de las seriales se obtendrían resultados con menor     error.</font></p>       <p align="center"><font size="2" face="Verdana, Arial, Helvetica, sans-serif"><img width=567 height=218 src="/img/revistas/rbf/v13n13/a09g102.gif"> </font></p>       <p><font size="2" face="Verdana, Arial, Helvetica, sans-serif">Figura 15. La ruta hacia el caos en el sistema es el desdoblamiento de     periodo. (a) Primera bifurcación en Vo = 10850 mV, (b) Segunda bifurcación en 1/<sub>0</sub> = 11750 mV, (c) Tercera     bifurcación en Vo = 13300 mV, (d) Una cuarta bifurcación de orden difícil de distinguir en <i>Vo = </i>14400 mV, (e) Finalmente el sistema permanece en la región caótica a partir     de Vo = 15200 niV.</font></p>       <p align="center"><font size="2" face="Verdana, Arial, Helvetica, sans-serif"><img width=491 height=170 src="/img/revistas/rbf/v13n13/a09g104.gif"> </font></p>       <p><font size="2" face="Verdana, Arial, Helvetica, sans-serif">Figura 16.     El sistema funcionó a la amplitud Vo = 3.700 V. Izquierda: El atractor caótico     en f=677.7 kHz en modo XY. Derecha: La     correspondiente serie temporal.</font></p>       <p><font size="2" face="Verdana, Arial, Helvetica, sans-serif"><b>7. CONCLUSIONES Y PERSPECTIVAS</b></font></p>       <p><font size="2" face="Verdana, Arial, Helvetica, sans-serif">La caracterización numérica del circuito tipo Chua dió corno resultado una región caótica bastante amplia que crece proporcionalmente con los parámetros a <i>y     f3, </i>además queda mejor definida     si se toma en cuenta el tercer parámetro -y. Todos los límites caóticos     fueron comprobados mediante el exponente de     Lyapunov. Con el tercer parámetro,     fue posible construir el espectro de Lyapunov, el cual mostró que la     región caótica contiene varias ventanas periódicas. Se observó que para los va­lores mínimos de -y en especial, las regiones     caóticas son más amplias y con varias ventanas periódicas. Los esta­dos característicos del sistema al aumentar ,3 y -y     para un a fijo en el modelo, se     presentan en el orden siguiente: divergencia,     que indica un estado inestable, una amplia región de caos y finalmente, periodicidad con tendencia a un punto fijo. Los parámetros adimensionales del     mode­lo están relacionados con los     valores de los componentes del     circuito, entonces, escogiendo adecuadamente estos valores, se dejó un solo componente como el     parámetro de control. En este caso,     el parámetro experimental fue el     potenciómetro que al alimentar de valor, el circuito presenta, a grandes rasgos, los siguientes estados: perio dicidad (ciclo límite de     primer orden), caos (con algunas ventanas periódicas) y nuevamente periodicidad (ciclos límite y     punto fijo), muy similar a lo que se obtuvo con el modelo. A pesar de que los     valores experimentales de los parámetros a, 0, -y no concuerdan exactamente con los resultados numéricos, se satisfacen las     expectativas pues los comportamientos y los     atractores característicos del sistema obtenidos en laboratorio y con el     modelo, son bastante similares. Posibles causas de esta discordancia podrían     ser el hecho de que en el modelo, el componente que realmente variaba era la inductancia, en cambio en el experimento lo que variaba era la resistencia;     además de la precisión en la medición     y errores de redondeo en el modelo.</font></p>       <p><font size="2" face="Verdana, Arial, Helvetica, sans-serif">El estudio cualitativo del circuito RL-Diodo ha per­mitido observar     satisfactoriamente y con detalle uno de los caminos más comunes hacia el caos: el desdoblamien­to de periodo. El parámetro     de control fue la amplitud del voltaje de fuente a una frecuencia crítica, pero tam­bién se observó lo     que ocurría cuando el parámetro de control     era la frecuencia a una amplitud crítica. Al au­mentar el valor de parámetro, en ambos casos, el compor­tamiento     del sistema es el siguiente: un estado periódico</font></p>       <p><font size="2" face="Verdana, Arial, Helvetica, sans-serif">seguido     de un amplio estado caótico con varias venta­nas periódicas. Midiendo     los puntos de bifurcación en la amplitud y la frecuencia, se calcularon las     respectivas constantes de Feigenbaum. Los valores de a presentaron mayor discordancia por la falta de precisión y la     dificul­tad de elegir los valores más adecuados para calcularla.</font></p>       <p><font size="2" face="Verdana, Arial, Helvetica, sans-serif">Se observó que la forma de los atractores dependen de la forma de la curva característica. Por ejemplo,     la fun­ción del diodo de Chua está compuesta     por tres regiones y los atractores se forman sobre ellas para la mayoría de los valores de parámetros, excepto en ciertos     casos en los que los atractores se     forman sobre una de las regiones (e.g. el atractor &quot;espiral&quot;).     En un diodo normal, se tiene una parte de     conducción y una parte de no conducción, que conforman dos regiones asimétricas, de modo que el atractor     queda delimitado por esta forma. Otro aspecto interesante     fue que en el circuito tipo Chua, el cambio de la resistencia causa cambios en la amplitud de las os­cilaciones llegando a ser irregulares y terminando     en un punto fijo a valores altos de     resistencia. De modo similar, en el circuito RL-Diodo los cambios en la     amplitud del voltaje de fuente causan     cambios en el comportamiento del     sistema conduciéndolo a un estado caótico, pero el hecho de terminar en un estado caótico o un estado     pe­riódico a amplitudes altas, dependía de la frecuencia del voltaje de     entrada. De modo que existe un valor crítico para     la frecuencia a partir del cual el sistema termina siempre en una región     caótica. Es muy posible que esto haya     ocurrido en el circuito tipo Chua, al cambiar los componentes de 10 pF y 1 mH, seguramente se llegó   a la frecuencia crítica en la cual el     sistema comenzaba a tener     comportamientos irregulares. Sin embargo, en este circuito, no ha sido posible observar en detalle     el ca­mino hacia el caos, los cambios     eran bruscos debido a la resistencia     variable. Queda pendiente mejorar la forma de adquisición de datos, por ejemplo, sería recomenda­ble analizar el espectro de potencias de ambos     circuitos, además de implementar un modelo teórico para el circui­to RL-Diodo. Finalmente, se podría dar inicio a     trabajos de investigación sobre otros     circuitos no lineales y buscar aplicaciones.</font></p>       ]]></body>
<body><![CDATA[<p align=center><font size="2" face="Verdana, Arial, Helvetica, sans-serif"><b>REFERENCIAS</b></font></p>       <!-- ref --><p><font size="2" face="Verdana, Arial, Helvetica, sans-serif">1.T. Matsumoto. <i>A Chaotic Attractor from     Chua's Cir­cuit, </i>IEEE Trans. Circuits Syst, vol. CAS-31. No. 12, (1984), 1055-1058.</font>&nbsp;&nbsp;&nbsp;&nbsp;&nbsp;&nbsp;&nbsp;&nbsp;[&#160;<a href="javascript:void(0);" onclick="javascript: window.open('/scielo.php?script=sci_nlinks&ref=219120&pid=S1562-3823200700000000900001&lng=','','width=640,height=500,resizable=yes,scrollbars=1,menubar=yes,');">Links</a>&#160;]<!-- end-ref --><!-- ref --><p><font size="2" face="Verdana, Arial, Helvetica, sans-serif">2.L. O. Chua, Chai Wah Wii, A.     Huang, and Gtio-Qun Zliong. <i>A Universal Circuit for Studying     and Genera­ting Chaos-Part I: Routes to Citaos, </i>IEEE Trans. Circuits Syst, vol. 40. No. 10, (1993), 732-744.</font>&nbsp;&nbsp;&nbsp;&nbsp;&nbsp;&nbsp;&nbsp;&nbsp;[&#160;<a href="javascript:void(0);" onclick="javascript: window.open('/scielo.php?script=sci_nlinks&ref=219121&pid=S1562-3823200700000000900002&lng=','','width=640,height=500,resizable=yes,scrollbars=1,menubar=yes,');">Links</a>&#160;]<!-- end-ref --><!-- ref --><p><font size="2" face="Verdana, Arial, Helvetica, sans-serif">3.L. O. Chua, M. Komuro and T.     Matsumoto. <i>The Double Scroll Family, Parts I and II, </i>IEEE Trans. Circuits Syst, vol. CAS-33, No. 11, (1986), 1072-1119.</font>&nbsp;&nbsp;&nbsp;&nbsp;&nbsp;&nbsp;&nbsp;&nbsp;[&#160;<a href="javascript:void(0);" onclick="javascript: window.open('/scielo.php?script=sci_nlinks&ref=219122&pid=S1562-3823200700000000900003&lng=','','width=640,height=500,resizable=yes,scrollbars=1,menubar=yes,');">Links</a>&#160;]<!-- end-ref --><!-- ref --><p><font size="2" face="Verdana, Arial, Helvetica, sans-serif">4.E. Günay, M. AlÇi and R.     KiliÇ. <i>A Chaos Synchronization Study: Continuous Implusive     Synchronization Between SC-CNN-Based and Chua's Circuit, </i>NDES. (2003), 97- 100.</font>&nbsp;&nbsp;&nbsp;&nbsp;&nbsp;&nbsp;&nbsp;&nbsp;[&#160;<a href="javascript:void(0);" onclick="javascript: window.open('/scielo.php?script=sci_nlinks&ref=219123&pid=S1562-3823200700000000900004&lng=','','width=640,height=500,resizable=yes,scrollbars=1,menubar=yes,');">Links</a>&#160;]<!-- end-ref --><!-- ref --><p><font size="2" face="Verdana, Arial, Helvetica, sans-serif">5.P. Kumar. Roy, S.     Chakraborty and S. Kumar Dana. <i>Transition From Complete to Phase Synchronization in Coupled Nonidentical Chua's     Oscillators, </i>NDES, (2003), 209-210.</font>&nbsp;&nbsp;&nbsp;&nbsp;&nbsp;&nbsp;&nbsp;&nbsp;[&#160;<a href="javascript:void(0);" onclick="javascript: window.open('/scielo.php?script=sci_nlinks&ref=219124&pid=S1562-3823200700000000900005&lng=','','width=640,height=500,resizable=yes,scrollbars=1,menubar=yes,');">Links</a>&#160;]<!-- end-ref --><!-- ref --><p><font size="2" face="Verdana, Arial, Helvetica, sans-serif">6.K.     Murali, K. Thamilmaran and M. Lakshmanan. <i>Rich Variety of Bifurcations and     Chaos in a Variant of Murali­Lakshmanan-Chua Circuit, </i>(2000).</font>&nbsp;&nbsp;&nbsp;&nbsp;&nbsp;&nbsp;&nbsp;&nbsp;[&#160;<a href="javascript:void(0);" onclick="javascript: window.open('/scielo.php?script=sci_nlinks&ref=219125&pid=S1562-3823200700000000900006&lng=','','width=640,height=500,resizable=yes,scrollbars=1,menubar=yes,');">Links</a>&#160;]<!-- end-ref --><!-- ref --><p><font size="2" face="Verdana, Arial, Helvetica, sans-serif">7.&nbsp;&nbsp;&nbsp;&nbsp;&nbsp; Paul S. Linsay. <i>Period Doubling and Chaotic     Behavior in a Driven Anharmonic Oscillator, </i>Physical Review Let­ters. 47. No. 19 (1981), 1349-1352.</font>&nbsp;&nbsp;&nbsp;&nbsp;&nbsp;&nbsp;&nbsp;&nbsp;[&#160;<a href="javascript:void(0);" onclick="javascript: window.open('/scielo.php?script=sci_nlinks&ref=219126&pid=S1562-3823200700000000900007&lng=','','width=640,height=500,resizable=yes,scrollbars=1,menubar=yes,');">Links</a>&#160;]<!-- end-ref --><!-- ref --><p><font size="2" face="Verdana, Arial, Helvetica, sans-serif">8.J.     H. Rivera, E. Duque C., L. E. Avendaño. <i>Síntesis de Redes No Lineales: El     Oscilador de </i>Chua, Scientia et Tecnica 24     (2004), 103-106.</font>&nbsp;&nbsp;&nbsp;&nbsp;&nbsp;&nbsp;&nbsp;&nbsp;[&#160;<a href="javascript:void(0);" onclick="javascript: window.open('/scielo.php?script=sci_nlinks&ref=219127&pid=S1562-3823200700000000900008&lng=','','width=640,height=500,resizable=yes,scrollbars=1,menubar=yes,');">Links</a>&#160;]<!-- end-ref --><!-- ref --><p><font size="2" face="Verdana, Arial, Helvetica, sans-serif">9.Michael Peter Kennedy. <i>Experimental Chaos from Auto­nomous Electronic Circuits., </i>Phil. Trans. R. Soc. Lond. A. <b>353. No. </b>1701 (1995), 13-32.</font>&nbsp;&nbsp;&nbsp;&nbsp;&nbsp;&nbsp;&nbsp;&nbsp;[&#160;<a href="javascript:void(0);" onclick="javascript: window.open('/scielo.php?script=sci_nlinks&ref=219128&pid=S1562-3823200700000000900009&lng=','','width=640,height=500,resizable=yes,scrollbars=1,menubar=yes,');">Links</a>&#160;]<!-- end-ref --><!-- ref --><p><font size="2" face="Verdana, Arial, Helvetica, sans-serif">10.&nbsp; Michael     Peter Kennedy. <i>Three Steps to Chaos - Part A Chua's Circuit Primer., </i>IEEE     Transactions on Circuits and Systems-I: Fundamental     Theory and Applications. 40. No. 10 (1993), 657-673.</font>&nbsp;&nbsp;&nbsp;&nbsp;&nbsp;&nbsp;&nbsp;&nbsp;[&#160;<a href="javascript:void(0);" onclick="javascript: window.open('/scielo.php?script=sci_nlinks&ref=219129&pid=S1562-3823200700000000900010&lng=','','width=640,height=500,resizable=yes,scrollbars=1,menubar=yes,');">Links</a>&#160;]<!-- end-ref --><!-- ref --><p><font size="2" face="Verdana, Arial, Helvetica, sans-serif">11. S.     H. Strogatz. <i>Nonlinear Dynamics wid Chaos. </i>Addison­Wesley,     1994.</font>&nbsp;&nbsp;&nbsp;&nbsp;&nbsp;&nbsp;&nbsp;&nbsp;[&#160;<a href="javascript:void(0);" onclick="javascript: window.open('/scielo.php?script=sci_nlinks&ref=219130&pid=S1562-3823200700000000900011&lng=','','width=640,height=500,resizable=yes,scrollbars=1,menubar=yes,');">Links</a>&#160;]<!-- end-ref --><!-- ref --><p><font size="2" face="Verdana, Arial, Helvetica, sans-serif">12. R. Hegger, H. Kantz, and T. Schreiber. <i>Practical Im­plementation of     Nonlinear Time Series Methods: The TISEAN Package, </i>Chaos, 9, (1999), 413.</font>&nbsp;&nbsp;&nbsp;&nbsp;&nbsp;&nbsp;&nbsp;&nbsp;[&#160;<a href="javascript:void(0);" onclick="javascript: window.open('/scielo.php?script=sci_nlinks&ref=219131&pid=S1562-3823200700000000900012&lng=','','width=640,height=500,resizable=yes,scrollbars=1,menubar=yes,');">Links</a>&#160;]<!-- end-ref --><!-- ref --><p>     <font size="2" face="Verdana, Arial, Helvetica, sans-serif">     <st1:metricconverter ProductID="13. A" w:st="on">     13. A. C.     Melissinos, J. Napolitano. <i>Experiments in Modem Physics, </i>Academic     Press, (2003).</font>&nbsp;&nbsp;&nbsp;&nbsp;&nbsp;&nbsp;&nbsp;&nbsp;[&#160;<a href="javascript:void(0);" onclick="javascript: window.open('/scielo.php?script=sci_nlinks&ref=219132&pid=S1562-3823200700000000900013&lng=','','width=640,height=500,resizable=yes,scrollbars=1,menubar=yes,');">Links</a>&#160;]<!-- end-ref --><!-- ref --><p>     <font size="2" face="Verdana, Arial, Helvetica, sans-serif">     <st1:metricconverter ProductID="14. M" w:st="on">     14. M. J.     Ogorzalek. <i>Chaos and Complexity in Nonlinear Electronics Circuits, </i>World     Scientific, (1997).</font>&nbsp;&nbsp;&nbsp;&nbsp;&nbsp;&nbsp;&nbsp;&nbsp;[&#160;<a href="javascript:void(0);" onclick="javascript: window.open('/scielo.php?script=sci_nlinks&ref=219133&pid=S1562-3823200700000000900014&lng=','','width=640,height=500,resizable=yes,scrollbars=1,menubar=yes,');">Links</a>&#160;]<!-- end-ref --> ]]></body><back>
<ref-list>
<ref id="B1">
<label>1</label><nlm-citation citation-type="">
<person-group person-group-type="author">
<name>
<surname><![CDATA[Matsumoto]]></surname>
<given-names><![CDATA[T.]]></given-names>
</name>
</person-group>
<source><![CDATA[A Chaotic Attractor from Chua's Cir­cuit, IEEE Trans.: Circuits Syst]]></source>
<year>1984</year>
<volume>31</volume>
<page-range>1055-1058</page-range></nlm-citation>
</ref>
<ref id="B2">
<label>2</label><nlm-citation citation-type="journal">
<person-group person-group-type="author">
<name>
<surname><![CDATA[Chua]]></surname>
<given-names><![CDATA[L. O.]]></given-names>
</name>
<name>
<surname><![CDATA[Chai Wah Wii]]></surname>
<given-names><![CDATA[A. Huang]]></given-names>
</name>
<name>
<surname><![CDATA[Zliong]]></surname>
<given-names><![CDATA[Gtio-Qun]]></given-names>
</name>
</person-group>
<article-title xml:lang="en"><![CDATA[A Universal Circuit for Studying and Genera­ting Chaos-Part I: Routes to Citaos]]></article-title>
<source><![CDATA[Trans. Circuits Syst]]></source>
<year>1993</year>
<volume>40</volume>
<numero>10</numero>
<issue>10</issue>
<page-range>732-744</page-range></nlm-citation>
</ref>
<ref id="B3">
<label>3</label><nlm-citation citation-type="journal">
<person-group person-group-type="author">
<name>
<surname><![CDATA[Chua]]></surname>
<given-names><![CDATA[L. O.]]></given-names>
</name>
<name>
<surname><![CDATA[Komuro]]></surname>
<given-names><![CDATA[M.]]></given-names>
</name>
<name>
<surname><![CDATA[Matsumoto]]></surname>
<given-names><![CDATA[T.]]></given-names>
</name>
</person-group>
<article-title xml:lang="en"><![CDATA[The Double Scroll Family, Parts I and II, IEEE Trans]]></article-title>
<source><![CDATA[Circuits Syst]]></source>
<year></year>
<volume>33</volume>
<numero>11</numero><numero>1986</numero>
<issue>11</issue><issue>1986</issue>
<page-range>1072-1119</page-range></nlm-citation>
</ref>
<ref id="B4">
<label>4</label><nlm-citation citation-type="book">
<person-group person-group-type="author">
<name>
<surname><![CDATA[Günay]]></surname>
<given-names><![CDATA[E.]]></given-names>
</name>
<name>
<surname><![CDATA[AlÇi]]></surname>
<given-names><![CDATA[M.]]></given-names>
</name>
<name>
<surname><![CDATA[KiliÇ]]></surname>
<given-names><![CDATA[R.]]></given-names>
</name>
</person-group>
<source><![CDATA[A Chaos Synchronization Study: Continuous Implusive Synchronization Between SC-CNN-Based and Chua's Circuit]]></source>
<year>2003</year>
<page-range>97- 100</page-range><publisher-name><![CDATA[NDES]]></publisher-name>
</nlm-citation>
</ref>
<ref id="B5">
<label>5</label><nlm-citation citation-type="book">
<person-group person-group-type="author">
<name>
<surname><![CDATA[Roy]]></surname>
<given-names><![CDATA[P. Kumar]]></given-names>
</name>
<name>
<surname><![CDATA[Chakraborty]]></surname>
<given-names><![CDATA[S.]]></given-names>
</name>
<name>
<surname><![CDATA[Kumar Dana]]></surname>
<given-names><![CDATA[S.]]></given-names>
</name>
</person-group>
<source><![CDATA[Transition From Complete to Phase Synchronization in Coupled Nonidentical Chua's Oscillators]]></source>
<year>2003</year>
<page-range>209-210</page-range><publisher-name><![CDATA[NDES]]></publisher-name>
</nlm-citation>
</ref>
<ref id="B6">
<label>6</label><nlm-citation citation-type="">
<person-group person-group-type="author">
<name>
<surname><![CDATA[Murali]]></surname>
<given-names><![CDATA[K.]]></given-names>
</name>
<name>
<surname><![CDATA[Thamilmaran]]></surname>
<given-names><![CDATA[K.]]></given-names>
</name>
<name>
<surname><![CDATA[Lakshmanan]]></surname>
<given-names><![CDATA[M.]]></given-names>
</name>
</person-group>
<article-title xml:lang="en"><![CDATA[Rich Variety of Bifurcations and Chaos in a Variant of Murali­Lakshmanan-Chua Circuit,]]></article-title>
<source><![CDATA[]]></source>
<year>2000</year>
</nlm-citation>
</ref>
<ref id="B7">
<label>7</label><nlm-citation citation-type="journal">
<person-group person-group-type="author">
<name>
<surname><![CDATA[Linsay]]></surname>
<given-names><![CDATA[Paul S.]]></given-names>
</name>
</person-group>
<article-title xml:lang="en"><![CDATA[Period Doubling and Chaotic Behavior in a Driven Anharmonic Oscillator, Physical Review]]></article-title>
<source><![CDATA[Let­ters]]></source>
<year>1981</year>
<volume>47</volume>
<numero>19</numero>
<issue>19</issue>
<page-range>1349-1352</page-range></nlm-citation>
</ref>
<ref id="B8">
<label>8</label><nlm-citation citation-type="journal">
<person-group person-group-type="author">
<name>
<surname><![CDATA[Rivera]]></surname>
<given-names><![CDATA[J. H.]]></given-names>
</name>
<name>
<surname><![CDATA[Duque C.]]></surname>
<given-names><![CDATA[E.]]></given-names>
</name>
<name>
<surname><![CDATA[Avendaño]]></surname>
<given-names><![CDATA[L. E.]]></given-names>
</name>
</person-group>
<article-title xml:lang="es"><![CDATA[Síntesis de Redes No Lineales: El Oscilador de Chua]]></article-title>
<source><![CDATA[Scientia et Tecnica]]></source>
<year>2004</year>
<volume>24</volume>
<page-range>103-106</page-range></nlm-citation>
</ref>
<ref id="B9">
<label>9</label><nlm-citation citation-type="journal">
<person-group person-group-type="author">
<name>
<surname><![CDATA[Kennedy]]></surname>
<given-names><![CDATA[Michael Peter]]></given-names>
</name>
</person-group>
<article-title xml:lang="en"><![CDATA[Experimental Chaos from Auto­nomous Electronic Circuits., Phil]]></article-title>
<source><![CDATA[Trans. R. Soc. Lond. A.]]></source>
<year>1995</year>
<volume>353</volume>
<numero>1701</numero>
<issue>1701</issue>
<page-range>13-32</page-range></nlm-citation>
</ref>
<ref id="B10">
<label>10</label><nlm-citation citation-type="">
<collab>Michael Peter Kennedy</collab>
<source><![CDATA[Three Steps to Chaos - Part A Chua's Circuit Primer., IEEE Transactions on Circuits and Systems-I: Fundamental Theory and Applications]]></source>
<year>1993</year>
<volume>40</volume>
<page-range>657-673</page-range></nlm-citation>
</ref>
<ref id="B11">
<label>11</label><nlm-citation citation-type="">
<person-group person-group-type="author">
<name>
<surname><![CDATA[Strogatz]]></surname>
<given-names><![CDATA[S. H.]]></given-names>
</name>
</person-group>
<article-title xml:lang="en"><![CDATA[Nonlinear Dynamics wid Chaos: Addison­Wesley]]></article-title>
<source><![CDATA[]]></source>
<year>1994</year>
</nlm-citation>
</ref>
<ref id="B12">
<label>12</label><nlm-citation citation-type="book">
<person-group person-group-type="author">
<name>
<surname><![CDATA[Hegger]]></surname>
<given-names><![CDATA[R.]]></given-names>
</name>
<name>
<surname><![CDATA[Kantz]]></surname>
<given-names><![CDATA[H.]]></given-names>
</name>
<name>
<surname><![CDATA[Schreiber]]></surname>
<given-names><![CDATA[T.]]></given-names>
</name>
</person-group>
<source><![CDATA[Practical Im­plementation of Nonlinear Time Series Methods: The TISEAN Package]]></source>
<year>1999</year>
<volume>9</volume>
<page-range>413</page-range><publisher-name><![CDATA[Chaos]]></publisher-name>
</nlm-citation>
</ref>
<ref id="B13">
<label>13</label><nlm-citation citation-type="">
<person-group person-group-type="author">
<name>
<surname><![CDATA[Melissinos]]></surname>
<given-names><![CDATA[A. C.]]></given-names>
</name>
<name>
<surname><![CDATA[Napolitano]]></surname>
<given-names><![CDATA[J.]]></given-names>
</name>
</person-group>
<article-title xml:lang="en"><![CDATA[Experiments in Modem Physics: Academic Press]]></article-title>
<source><![CDATA[]]></source>
<year>2003</year>
</nlm-citation>
</ref>
<ref id="B14">
<label>14</label><nlm-citation citation-type="">
<person-group person-group-type="author">
<name>
<surname><![CDATA[Ogorzalek]]></surname>
<given-names><![CDATA[J.]]></given-names>
</name>
</person-group>
<article-title xml:lang="en"><![CDATA[Chaos and Complexity in Nonlinear Electronics Circuits: World Scientific]]></article-title>
<source><![CDATA[]]></source>
<year>1997</year>
</nlm-citation>
</ref>
</ref-list>
</back>
</article>
