<?xml version="1.0" encoding="ISO-8859-1"?><article xmlns:mml="http://www.w3.org/1998/Math/MathML" xmlns:xlink="http://www.w3.org/1999/xlink" xmlns:xsi="http://www.w3.org/2001/XMLSchema-instance">
<front>
<journal-meta>
<journal-id>1012-2966</journal-id>
<journal-title><![CDATA[Gaceta Médica Boliviana]]></journal-title>
<abbrev-journal-title><![CDATA[Gac Med Bol]]></abbrev-journal-title>
<issn>1012-2966</issn>
<publisher>
<publisher-name><![CDATA[Facultad de Medicina de la Universidad Mayor de San Simón]]></publisher-name>
</publisher>
</journal-meta>
<article-meta>
<article-id>S1012-29662016000200005</article-id>
<title-group>
<article-title xml:lang="es"><![CDATA[Caracterización de la infestación de viviendas por Aedes aegypti en el área metropolitana de Cochabamba, Bolivia: nuevos registros altitudinales]]></article-title>
<article-title xml:lang="en"><![CDATA[Characterization of dwellings&#8217; infestation by Aedes aegypti in the metropolitan area of Cochabamba, Bolivia: new altitudinal records.]]></article-title>
</title-group>
<contrib-group>
<contrib contrib-type="author">
<name>
<surname><![CDATA[Aquino Rojas]]></surname>
<given-names><![CDATA[Evelin]]></given-names>
</name>
<xref ref-type="aff" rid="A01"/>
</contrib>
<contrib contrib-type="author">
<name>
<surname><![CDATA[Rojas Cortez]]></surname>
<given-names><![CDATA[Mirko]]></given-names>
</name>
<xref ref-type="aff" rid="A02"/>
</contrib>
<contrib contrib-type="author">
<name>
<surname><![CDATA[Espinoza]]></surname>
<given-names><![CDATA[Jorge]]></given-names>
</name>
<xref ref-type="aff" rid="A03"/>
</contrib>
<contrib contrib-type="author">
<name>
<surname><![CDATA[Vallejo]]></surname>
<given-names><![CDATA[Efraín]]></given-names>
</name>
<xref ref-type="aff" rid="A04"/>
</contrib>
<contrib contrib-type="author">
<name>
<surname><![CDATA[Lozano]]></surname>
<given-names><![CDATA[Daniel]]></given-names>
</name>
<xref ref-type="aff" rid="A01"/>
</contrib>
<contrib contrib-type="author">
<name>
<surname><![CDATA[Torrico]]></surname>
<given-names><![CDATA[Faustino]]></given-names>
</name>
<xref ref-type="aff" rid="A01"/>
</contrib>
</contrib-group>
<aff id="A01">
<institution><![CDATA[,Universidad Mayor de San Simón Facultad de Medicina Post Grado en Medicina Tropical]]></institution>
<addr-line><![CDATA[Cochabamba ]]></addr-line>
<country>Bolivia</country>
</aff>
<aff id="A02">
<institution><![CDATA[,Fundación CEADES  ]]></institution>
<addr-line><![CDATA[Cochabamba ]]></addr-line>
<country>Bolivia</country>
</aff>
<aff id="A03">
<institution><![CDATA[,Fundação Oswaldo Cruz Centro de Pesquisas René Rachou ]]></institution>
<addr-line><![CDATA[ ]]></addr-line>
<country>Brasil</country>
</aff>
<aff id="A04">
<institution><![CDATA[,Servicio Departamental de Salud, Unidad de Epidemiologia, SEDES  ]]></institution>
<addr-line><![CDATA[Cochabamba ]]></addr-line>
<country>Bolivia</country>
</aff>
<pub-date pub-type="pub">
<day>27</day>
<month>12</month>
<year>2016</year>
</pub-date>
<pub-date pub-type="epub">
<day>27</day>
<month>12</month>
<year>2016</year>
</pub-date>
<volume>39</volume>
<numero>2</numero>
<fpage>83</fpage>
<lpage>87</lpage>
<copyright-statement/>
<copyright-year/>
<self-uri xlink:href="http://www.scielo.org.bo/scielo.php?script=sci_arttext&amp;pid=S1012-29662016000200005&amp;lng=en&amp;nrm=iso"></self-uri><self-uri xlink:href="http://www.scielo.org.bo/scielo.php?script=sci_abstract&amp;pid=S1012-29662016000200005&amp;lng=en&amp;nrm=iso"></self-uri><self-uri xlink:href="http://www.scielo.org.bo/scielo.php?script=sci_pdf&amp;pid=S1012-29662016000200005&amp;lng=en&amp;nrm=iso"></self-uri><abstract abstract-type="short" xml:lang="es"><p><![CDATA[La rápida proliferación del vector en áreas de clima cálido y baja altitud, como el oriente y la amazonia boliviana, generó la necesidad de analizar la adaptabilidad del A. aegypti en zonas templadas, tal es el caso de los valles mesotérmicos de la ciudad metropolitana de Cochabamba. Objetivo: la evaluación entomológica se realizó en una muestra de 264 viviendas seleccionadas al azar en Abril del 2016. El área de estudio abarca zonas urbanas de seis municipios (Cercado, Sacaba, Colcapirhua, Tiquipaya, Quillacollo y Vinto) del departamento de Cochabamba. El diseño para el estudio fue epidemiológico, transversal de diagnóstico comunitario. Métodos: de la muestra referida, 100 viviendas se encontraron larvas de A. aegypti , que corresponde a un 38% de infestación larvaria y un Índice Breteau de 1,0. Las llantas, turriles y recipientes desechables son un factor de riesgo para la propagación y adaptación del vector en nuestra región. Resultados: los hallazgos confirman la dispersión del A. aegypti con algunas regiones con mayor prevalencia (zona sud de cercado urbano, Colcapirhua y Quillacollo en el valle bajo). También se evidenció por primera vez que la dispersión y colonización de larvas de A. aegypti en el área de estudio alcanzó una altura mínima de 2 538 m/s/n/m. y una altura máxima de 2 623 m.s.n.m. Conclusiones: La prevención y el control de A. aegypti , en la metrópoli de Cochabamba va a requerir un trabajo mancomunado integral e intersectorial enfocados en una estrategia de intervención de gestión socioambiental de corresponsabilidad y participación comunitaria, generando como resultado un Manejo Integrado del Vector.]]></p></abstract>
<abstract abstract-type="short" xml:lang="en"><p><![CDATA[The fast proliferation of the vector at warm weather and low altitude over the sea level, such as the Bolivian valleys (as Cochabamba city), generates the need to analyze the adaptability of A. aegypti . Objective: this study of comunitary diagnosis, was developed at the metropolitan area of Cochabamba city, it confirms an spread A. aegypti , shown by georeferences of identified focus of high prevalence (sud of the city, Colcapirhua and Quillacollo as a low valley). Method: For the first time this vector spread, reached between 2 538 to 2 623 meters over sea level. From 264 inspected houses over the city, 100 cases were found positive for A. aegypti (38%) (Breteau Index: 1,0). Results:According to the study, tires, barrels and small containers are a risk factor for the spread and adaptation of the vector in our region. Conclusions: Prevention and control of A. aegypti in the metropolis of Cochabamba will require an integrated and intersectoral joint work, focused on a strategy of intervention socio-environmental and community participation, generating results in an Integrated Vector Management.]]></p></abstract>
<kwd-group>
<kwd lng="es"><![CDATA[Aedes aegypti]]></kwd>
<kwd lng="es"><![CDATA[epidemiología]]></kwd>
<kwd lng="es"><![CDATA[infestación]]></kwd>
<kwd lng="es"><![CDATA[Bolivia]]></kwd>
<kwd lng="en"><![CDATA[Aedes aegypti]]></kwd>
<kwd lng="en"><![CDATA[epidemiology]]></kwd>
<kwd lng="en"><![CDATA[infestation]]></kwd>
<kwd lng="en"><![CDATA[Bolivia]]></kwd>
</kwd-group>
</article-meta>
</front><body><![CDATA[  <h1 align="right"><font size="2" face="Verdana, Arial, Helvetica, sans-serif"><b>Art&iacute;culo Original</b></font></h1>     <p align="right">&nbsp;</p> <h1 align="center"><b><font size="4" face="Verdana, Arial, Helvetica, sans-serif">Caracterizaci&oacute;n de la infestaci&oacute;n de viviendas por <i><i>Aedes aegypti </i></i>en el &aacute;rea metropolitana de Cochabamba, Bolivia: nuevos registros altitudinales</font></b></h1>     <p align="center">&nbsp;</p>     <p align="center"><font size="3" face="Verdana, Arial, Helvetica, sans-serif"><b>Characterization of dwellings&rsquo; infestation by <i><i>Aedes aegypti </i></i>in the metropolitan area of Cochabamba, Bolivia: new altitudinal records.</b></font></p>     <p align="center">&nbsp;</p>     <p align="center">&nbsp;</p>     <p align="center"><font size="2" face="Verdana, Arial, Helvetica, sans-serif"><b>Evelin Aquino Rojas<sup>1</sup>, Mirko Rojas Cortez<sup>2</sup>, Jorge Espinoza<sup>3</sup>, Efra&iacute;n Vallejo<sup>4</sup>, Daniel Lozano<sup>1</sup>, Faustino Torrico<sup>1</sup></b></font></p>     <p align="center"><font size="2" face="Verdana, Arial, Helvetica, sans-serif"><sup>1</sup>Post Grado en Medicina Tropical, Facultad de Medicina, Universidad Mayor de San Sim&oacute;n, Cochabamba, Bolivia.    <br>   <sup>2</sup>Fundaci&oacute;n CEADES, Cochabamba, Bolivia. <sup>3</sup>Centro de Pesquisas Ren&eacute; Rachou, Funda&ccedil;&atilde;o Oswaldo Cruz, Belo Horizonte, Minas Gerais, Brasil. <sup>4</sup>Servicio Departamental de Salud, Unidad de Epidemiologia, SEDES Cochabamba, Bolivia.*Correspondencia a:Mirko Rojas Cortez, Correo electr&oacute;nico: <a href="mailto:mirkorcortez@gmail.com">mirkorcortez@gmail.com</a></font></p>     <p align="justify"><font size="2" face="Verdana, Arial, Helvetica, sans-serif">Recibido el 24 de septiembre de 2016.</font></p>     ]]></body>
<body><![CDATA[<p align="justify"><font size="2" face="Verdana, Arial, Helvetica, sans-serif">Aceptado el 24 de noviembre de 2016.</font></p>     <p align="justify">&nbsp;</p>     <p align="justify">&nbsp;</p> <hr>     <p align="justify"><font size="2" face="Verdana, Arial, Helvetica, sans-serif"><b>Resumen</b></font></p>     <p align="justify"><font size="2" face="Verdana, Arial, Helvetica, sans-serif"> La r&aacute;pida proliferaci&oacute;n del vector en &aacute;reas de clima c&aacute;lido y baja altitud, como el oriente y la amazonia boliviana, gener&oacute; la necesidad de analizar la adaptabilidad del <i><i>A. aegypti</i> </i> en zonas templadas, tal es el caso de los valles mesot&eacute;rmicos de la ciudad metropolitana de Cochabamba.</font></p>     <p align="justify"><font size="2"><b><font face="Verdana, Arial, Helvetica, sans-serif">Objetivo</font></b><font face="Verdana, Arial, Helvetica, sans-serif">: </font><font face="Verdana, Arial, Helvetica, sans-serif">l</font><font size="2" face="Verdana, Arial, Helvetica, sans-serif">a evaluaci&oacute;n entomol&oacute;gica se realiz&oacute; en una muestra de 264 viviendas seleccionadas al azar en Abril del 2016. El &aacute;rea de estudio abarca zonas urbanas de seis municipios (Cercado, Sacaba, Colcapirhua, Tiquipaya, Quillacollo y Vinto) del departamento de Cochabamba. El dise&ntilde;o para el estudio fue epidemiol&oacute;gico, transversal de diagn&oacute;stico comunitario</font></font>.</p>     <p align="justify"><font size="2" face="Verdana, Arial, Helvetica, sans-serif"><b>M&eacute;todos</b>: de la muestra referida, 100 viviendas se encontraron larvas de <i>A. aegypti</i> , que corresponde a un 38% de infestaci&oacute;n larvaria y un &Iacute;ndice Breteau de 1,0. Las llantas, turriles y recipientes desechables son un factor de riesgo para la propagaci&oacute;n y adaptaci&oacute;n del vector en nuestra regi&oacute;n.</font></p>     <p align="justify"><font size="2" face="Verdana, Arial, Helvetica, sans-serif"><b>Resultados</b>:  los hallazgos confirman la dispersi&oacute;n del <i>A. aegypti</i>  con algunas regiones con mayor prevalencia (zona sud  de cercado urbano, Colcapirhua y Quillacollo en el valle bajo). Tambi&eacute;n se evidenci&oacute; por primera vez  que la dispersi&oacute;n y colonizaci&oacute;n de larvas de <i>A. aegypti</i>  en el &aacute;rea de estudio alcanz&oacute; una altura m&iacute;nima de 2 538 m/s/n/m. y una altura m&aacute;xima de 2 623 m.s.n.m.</font></p>     <p align="justify"> <font size="2" face="Verdana, Arial, Helvetica, sans-serif"><b>Conclusiones</b>: La prevenci&oacute;n y el control de <i>A. aegypti</i> , en la metr&oacute;poli de Cochabamba va a requerir un trabajo mancomunado integral e intersectorial enfocados en una estrategia de intervenci&oacute;n de gesti&oacute;n socioambiental de corresponsabilidad y participaci&oacute;n comunitaria, generando como resultado un Manejo Integrado del Vector.</font></p>     <p align="justify"><font size="2" face="Verdana, Arial, Helvetica, sans-serif"><b>Palabras claves</b>: <em><i>Aedes aegypti </i>, epidemiolog&iacute;a, infestaci&oacute;n, Bolivia</em></font>.</p> <hr>     ]]></body>
<body><![CDATA[<p align="justify"><font size="2" face="Verdana, Arial, Helvetica, sans-serif"><b>Abstract</b></font></p>     <p align="justify"><font size="2" face="Verdana, Arial, Helvetica, sans-serif">The fast proliferation of the vector at warm weather and low altitude over the sea level, such as the Bolivian valleys (as Cochabamba city), generates the need to analyze the adaptability of <i>A. aegypti</i> .</font></p>     <p align="justify"><font size="2" face="Verdana, Arial, Helvetica, sans-serif"><b>Objective</b>:  this study of comunitary diagnosis, was developed at the metropolitan area of Cochabamba city, it confirms an spread <i>A. aegypti</i> , shown by georeferences of identified focus of high prevalence (sud of the city, Colcapirhua and Quillacollo as a low valley).</font></p>     <p align="justify"><font size="2" face="Verdana, Arial, Helvetica, sans-serif"> <b>Method</b>: For the first time this vector spread, reached between 2 538 to 2 623 meters over sea level.  From 264 inspected houses over the city, 100 cases were found positive for <i>A. aegypti</i>  (38%) (Breteau Index: 1,0).</font></p>     <p align="justify"><font size="2" face="Verdana, Arial, Helvetica, sans-serif"><b>Results</b>:According to the study, tires, barrels and small containers are a risk factor for the spread and adaptation of the vector in our region.</font></p>     <p align="justify"><font size="2" face="Verdana, Arial, Helvetica, sans-serif"><b>Conclusions</b>:   Prevention and control of <i>A. aegypti</i>  in the metropolis of Cochabamba will require an integrated and intersectoral joint work, focused on a strategy of intervention socio-environmental and community participation, generating results in an Integrated Vector Management.</font></p>     <p align="justify"><font size="2" face="Verdana, Arial, Helvetica, sans-serif"><b>Keywords</b>: <i><i>Aedes aegypti </i>, epidemiology, infestation, Bolivia.</i></font></p> <hr>     <p>&nbsp;</p>     <p>&nbsp;</p>     <p align="justify"><font size="2" face="Verdana, Arial, Helvetica, sans-serif"><i>Aedes aegypti </i>(Diptera: Culicidae), es considerado el principal vector de los arbovirus que causan: Dengue, Fiebre Amarilla, Chikungunya y Zika<sup>1-4</sup>.</font></p>     ]]></body>
<body><![CDATA[<p align="justify"><font size="2" face="Verdana, Arial, Helvetica, sans-serif"> Esta vector se caracteriza por su preferencia a climas c&aacute;lidos con niveles de precipitaci&oacute;n pluvial moderados y altos, donde se generan condiciones ambientales favorables para su reproducci&oacute;n. Tambi&eacute;n, el mosquito est&aacute; adaptado a ambientes dom&eacute;sticos y peridom&eacute;sticos, favorecido por el h&aacute;bito hematof&aacute;gico de las hembras<sup>5</sup>.</font></p>     <p align="justify"><font size="2" face="Verdana, Arial, Helvetica, sans-serif"><i>A. aegypti</i> se encuentra en altitudes hasta los 2 400 m s.n.m. y por debajo de los 1 200 m s.n.m.<sup>6-8</sup>. La densidad poblacional de esta especie es favorecida por diferentes factores ambientales como temperatura, precipitaci&oacute;n y la humedad relativa<sup>9,10</sup>. De la misma forma, esta especie cuenta con diversos factores que contribuyen a su expansi&oacute;n poblacional, sitios que favorecen  su desarrollo larval, reproducci&oacute;n, alimentaci&oacute;n de estad&iacute;os inmaduros y adultos<sup>11,12</sup>.</font></p>     <p align="justify"><font size="2" face="Verdana, Arial, Helvetica, sans-serif">En Bolivia el <i>A. aegypti</i> presenta una distribuci&oacute;n en toda la regi&oacute;n tropical que cubre los departamentos de Santa Cruz, Beni, Pando, La Paz  y Cochabamba, as&iacute; como parte del Chaco tarije&ntilde;o y chuquisaque&ntilde;o.    <br>   El a&ntilde;o 2009 el Servicio Departamental de Salud (SEDES Cochabamba) report&oacute; la presencia de <i>A. aegypti</i> y un brote epid&eacute;mico de dengue en el municipio de Omereque a una altitud de 1 650 m snm. La introducci&oacute;n del <i>A. aegypti</i> en el cono sur del departamento de Cochabamba fue asociando al cambio clim&aacute;tico y a flujos migratorios y comerciales que esta regi&oacute;n mantiene con el oriente boliviano y no as&iacute; con el tr&oacute;pico de Cochabamba donde el vector ingres&oacute; hace m&aacute;s de 20 a&ntilde;os<sup>13</sup>.</font></p>     <p align="justify"><font size="2" face="Verdana, Arial, Helvetica, sans-serif">En febrero del 2016, el SEDES Cochabamba, notifica por primera vez, la presencia de colonias de <i>A. aegypti</i> en viviendas de diferentes zonas de la ciudad de Cochabamba y municipios aleda&ntilde;os. La r&aacute;pida expansi&oacute;n de <i>A. aegypti</i> a nuevas &aacute;reas en la ciudad de Cochabamba, muestra la plasticidad de la especie en su capacidad de dispersi&oacute;n y adaptaci&oacute;n<sup>14</sup>.</font></p>     <p align="justify"><font size="2" face="Verdana, Arial, Helvetica, sans-serif">La infestaci&oacute;n de viviendas por <i>A. aegypti</i> en el &aacute;rea metropolitana de Cochabamba, no est&aacute; claro y genera una pregunta cient&iacute;fica clave con vastas implicancias para la prevenci&oacute;n y control vectorial todav&iacute;a no resuelta, sobre su capacidad de dispersi&oacute;n, adaptaci&oacute;n y colonizaci&oacute;n del mosquito en la metr&oacute;poli de la ciudad de Cochabamba.</font></p>     <p align="justify"><font size="2" face="Verdana, Arial, Helvetica, sans-serif">El objetivo del estudio es analizar la dispersi&oacute;n espacial y altitudinal de <i>A. aegypti</i> e identificar las fuentes predominantes de colonizaci&oacute;n que favorecen su dispersi&oacute;n en los valles mesot&eacute;rmicos de la ciudad metropolitana de Cochabamba</font>.</p>     <p align="justify"><font size="3" face="Verdana, Arial, Helvetica, sans-serif"><b>Materiales y m&eacute;todos</b></font></p>     <p align="justify"><font size="2" face="Verdana, Arial, Helvetica, sans-serif">El &aacute;rea de estudio abarca zonas urbanas de seis municipios (Cercado, Sacaba, Colcapirhua; Tiquipaya, Quillacollo y Vinto) del departamento de Cochabamba, ubicadas por encima de los 2 400 m.s.n.m. (Figura 1).</font></p>     <p align="center"><img src="/img/revistas/gmb/v39n2/v39n2a5-figura1.jpg" width="509" height="392"></p>     ]]></body>
<body><![CDATA[<p align="center"><font size="2" face="Verdana, Arial, Helvetica, sans-serif">Figura 1:  Distribuci&oacute;n de <em>A. aegypti</em> en las &aacute;reas seleccionadas del estudio de los municipios de: A) Cercado, B) Sacaba, C) Colcapirhua-Tiquipaya y D) Quillacollo-Vinto.    <br>     <font size="1">Puntos rojos: viviendas positivas a la presencia de larvas de <em>A. aegypti</em>; Puntos verdes: viviendas negativas a la  presencia de larvas de <em>A. aegypt</em>i en la evaluaci&oacute;n entomol&oacute;gica.</font></font></p>     <p align="justify"><font size="2" face="Verdana, Arial, Helvetica, sans-serif">    <br>   La evaluaci&oacute;n entomol&oacute;gica fue realizada en una muestra de 264 viviendas seleccionadas al azar durante el mes de abril del 2016, en base a los reportes de <i>A. aegypti</i> del Servicio Departamental de Salud (SEDES Cochabamba). </font></p>     <p align="justify"><font size="2" face="Verdana, Arial, Helvetica, sans-serif">El dise&ntilde;o para el presente estudio es: epidemiol&oacute;gico, transversal de diagn&oacute;stico comunitario.</font></p>     <p align="justify"><font size="2" face="Verdana, Arial, Helvetica, sans-serif">Las encuestas larvarias se basaron en la b&uacute;squeda de los criaderos potenciales (dep&oacute;sitos con agua) seg&uacute;n la gu&iacute;a utilizada por el Programa Nacional de Dengue (Ministerio de Salud de Bolivia). La b&uacute;squeda se realiz&oacute; dentro y fuera de las casas, los sitios positivos y negativos a la presencia de <i>A. aegypti</i> fueron georeferenciados con ayuda de un GPS MAP 76CSX (Garmin&reg;).</font></p>     <p align="justify"><font size="2" face="Verdana, Arial, Helvetica, sans-serif">Los dep&oacute;sitos de agua se clasificaron en: 1) tanques (elevados y bajos); 2) turriles; 3) llantas; 4) dep&oacute;sitos de barro; 5) floreros y recipientes de vidrio; 6) dep&oacute;sitos desechables (pl&aacute;sticos en general). Las muestras larvarias fueron acondicionadas en tubos falc&oacute;n para su posterior confirmaci&oacute;n en laboratorio.</font></p>     <p align="justify"><font size="2" face="Verdana, Arial, Helvetica, sans-serif">Los indicadores entomol&oacute;gicos utilizados para el an&aacute;lisis fueron: </font><font size="2" face="Verdana, Arial, Helvetica, sans-serif"></font></p> <font size="2" face="Verdana, Arial, Helvetica, sans-serif">    <blockquote>&Iacute;ndice de infestaci&oacute;n de larvas: IIA= N&ordm; Viviendas positivas/ N&ordm; viviendas inspeccionadas*100.    <br>   &Iacute;ndice de infestaci&oacute;n de recipientes: IIR= N&deg; recipientes positivos/ N&ordm; recipientes inspeccionados *100.    ]]></body>
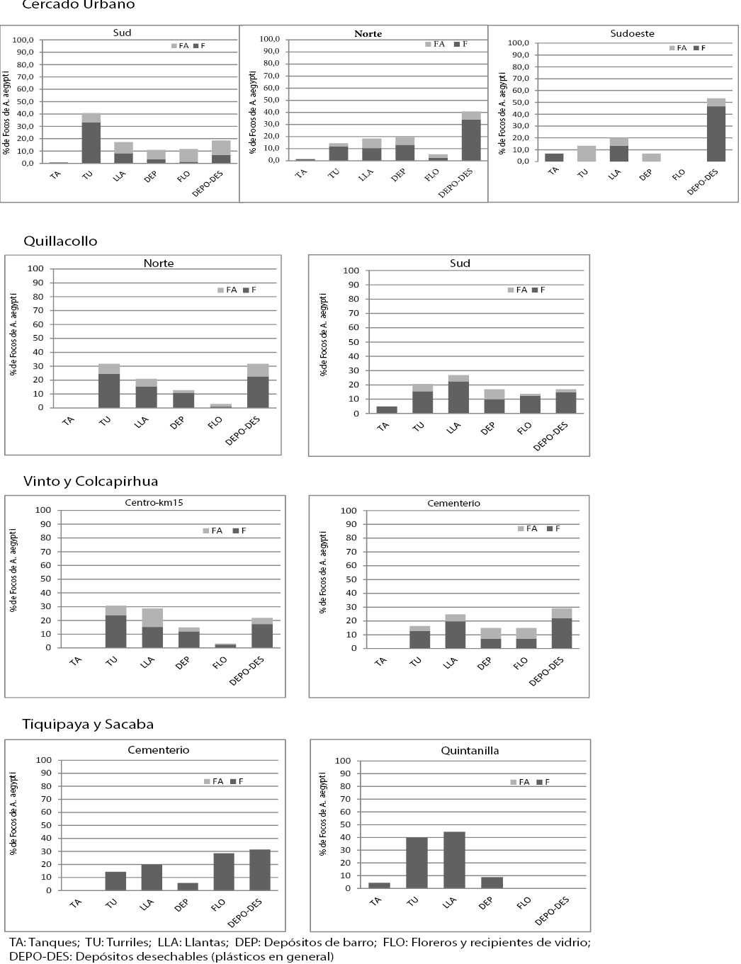
<body><![CDATA[<br>   &Iacute;ndice de infestaci&oacute;n de Breteau: IIB = N&ordm; recipientes positivos/ N&ordm; viviendas inspeccionadas.</blockquote></font>     <p align="justify"><font size="2" face="Verdana, Arial, Helvetica, sans-serif">   El an&aacute;lisis estad&iacute;stico realizado fue univariado y bivariado, riesgo relativo (Fuerza de asociaci&oacute;n entre el factor de riesgo) con un intervalo de confianza del 95%, y valor de P &lt; 0,05.</font></p> <h2 align="justify"><font size="3" face="Verdana, Arial, Helvetica, sans-serif"><b>Resultados</b></font></h2>     <p align="justify"><font size="2" face="Verdana, Arial, Helvetica, sans-serif">Se evalu&oacute; una muestra de 264 viviendas para los seis municipios seleccionados para el estudio, encontr&aacute;ndose la presencia de larvas de <i>A. aegypti</i>  en 100 viviendas distribuidas de la siguiente forma: Cercado, Cochabamba (42 viviendas positivas de 106 evaluadas IIA: 39,6%); Quillacollo (23 viviendas positivas de 45 evaluadas IIA: 51,1%); Colcapirhua (10 viviendas positivas de 19 evaluadas IIA: 52,6%); Vinto (25 viviendas positivas de 63 evaluadas IIA: 39,7). Por otro lado, la presencia de larvas de <i>A. aegypti</i>  en viviendas inspeccionadas present&oacute; una distribuci&oacute;n altitudinal entre los 2 542 a 2 623 m.s.n.m. (Tabla 1, Figura 1).</font></p>     <p align="center"><font size="2" face="Verdana, Arial, Helvetica, sans-serif">Tabla 1:  Indicadores entomol&oacute;gicos y registros altitudinales para Aedes aegypti en las &aacute;reas de estudio de los municipios seleccionados de la regi&oacute;n metropolitana de la ciudad de Cochabamba.</font></p>     <p align="center"><img src="/img/revistas/gmb/v39n2/v39n2a5-tabla1.jpg" width="641" height="303"></p>     <p align="justify"><font size="2" face="Verdana, Arial, Helvetica, sans-serif">    <br>   De acuerdo a los resultados encontrados en el per&iacute;odo de evaluaci&oacute;n, los indicadores entomol&oacute;gicos demuestran que la regi&oacute;n metropolitana de Cochabamba curs&oacute; una emergencia referente a un nivel operativo de control, estipulado por la OPS/OMS (rangos que var&iacute;an entre &oacute;ptimo, bueno, alarma y emergencia, este &uacute;ltimo con indicadores entomol&oacute;gicos de IIA: &ge; a 10; IIR: &ge; a 5 y IIB: &ge; a 15)15.</font></p>     <p align="justify"><font size="2" face="Verdana, Arial, Helvetica, sans-serif">En cercado urbano se observ&oacute; un mayor &iacute;ndice de infestaci&oacute;n en la zona sud comparado con la zona norte y sud oeste (58,0%, 28,0%  y 25,6 con IIB de 1,3, 0,3 y 0,5 respectivamente). En el valle bajo de la metr&oacute;poli de Cochabamba, los &iacute;ndices de Infestaci&oacute;n y de Breteau son elevados en los municipios estudiados: Quillacollo (Norte IIA: 54,2%, IIB: 1,2, Sud IIA: 47,6%, IIB: 0,7) Colcapirhua (IIA: 52,6% IIB: 2,3) y Vinto (IIA: 39,7% IIB: 1,0). El &iacute;ndice de recipientes (IIR) en todas las a&eacute;reas estudiadas corroboran los &iacute;ndices de Infestaci&oacute;n (IIA) y Breteau (IIB) detectados. En los municipios de Sacaba y Tiquipaya no se evidenci&oacute; la presencia de <i>A. aegypti</i> (Tabla 1).</font></p>     <p align="justify"><font size="2" face="Verdana, Arial, Helvetica, sans-serif">En cercado sud, se observ&oacute; un elevado porcentaje de turriles con y sin foco de larvas de <i>A. aegypti</i> (40%). Sin embargo, en la zona norte y sudoeste se observ&oacute; un mayor porcentaje de recipientes desechables (entre 40 y 55%). En Cercado urbano y el valle bajo de la metr&oacute;poli de Cochabamba, de forma general los turriles, llantas y recipientes desechables se encontraron con porcentajes entre 15 a 35% con y sin presencia de larvas de <i>A. aegypti</i> . Del total de dep&oacute;sitos que acumulan agua evaluados en el &aacute;rea de estudio, no se encontraron larvas del vector en tanques (elevados y bajos) (Figura 2).</font></p>     <p align="center"><font size="2" face="Verdana, Arial, Helvetica, sans-serif">Figura 2:  Distribuci&oacute;n de dep&oacute;sitos de agua con y sin presencia de focos de larvas de Aedes aegypti en los municipios que comprenden la Metropoli de Cochabamba.</font></p>     ]]></body>
<body><![CDATA[<p align="center"><img src="/img/revistas/gmb/v39n2/v39n2a5-figura2.jpg" width="704" height="1110"></p>     <p align="justify">&nbsp;</p>     <p align="justify"><font size="2" face="Verdana, Arial, Helvetica, sans-serif">    <br>   De acuerdo al an&aacute;lisis estad&iacute;stico referente a la infestaci&oacute;n larvaria de <i>A. aegypti</i> , se identific&oacute; que existe 1,4 veces m&aacute;s riesgo de vivir en la zona Sud de Cercado a diferencia de Cercado Norte y Sudeste con un factor de protecci&oacute;n de 0,46 y 0,39 respectivamente, con una significancia estad&iacute;stica (P &lt; 0,05) (Tabla 2).</font>    <br> </p>     <p align="center"><font size="2" face="Verdana, Arial, Helvetica, sans-serif">Tabla 2:  An&aacute;lisis estad&iacute;stico de Riesgo Relativo (RR) referente a la infestaci&oacute;n larvaria de A. aegypti, de acuerdo a la zona de estudio seleccionado.</font></p>     <p align="center"><img src="/img/revistas/gmb/v39n2/v39n2a5-tabla2.jpg" width="510" height="220"></p>     <p align="justify">&nbsp;</p>     <p align="justify"><font size="3" face="Verdana, Arial, Helvetica, sans-serif"><b>Discusi&oacute;n</b></font></p>     <p align="justify"><font size="2" face="Verdana, Arial, Helvetica, sans-serif">Durante las d&eacute;cadas de 1970 y 1980 <i>Aedes aegypti </i>prolifer&oacute; y se propag&oacute; por casi toda la regi&oacute;n de las Am&eacute;ricas15. Esta especie es considerada la m&aacute;s importante de los vectores en el mundo, poniendo en riesgo a  millones de personas<sup>16</sup>. En Bolivia su dispersi&oacute;n en toda la regi&oacute;n oriental y amaz&oacute;nica no fue diferente y genera la necesidad de analizar la adaptabilidad de <i>A. aegypti</i>  en zonas templadas, es el caso del &aacute;rea metropolitana de la ciudad de Cochabamba.</font></p>     ]]></body>
<body><![CDATA[<p align="justify"><font size="2" face="Verdana, Arial, Helvetica, sans-serif">La presencia de <i>A. aegypti</i> en nuestra regi&oacute;n est&aacute; asociada con la temperatura y humedad adem&aacute;s con los flujos migratorios, actividades comerciales y factores socio-ambientales. El cambio clim&aacute;tico y la variabilidad clim&aacute;tica de las &uacute;ltimas d&eacute;cadas son factores que est&aacute;n impactando de manera directa en la presencia y densidad del vector, generando escenarios de riesgo epidemiol&oacute;gico, como tambi&eacute;n, ampliando el &aacute;rea de transmisi&oacute;n vectorial de los agentes etiol&oacute;gicos asociados a este vector<sup>14</sup>.     <br>    <br>   En febrero de 2016 el SEDES Cochabamba, notific&oacute; la presencia de colonias de <i>A. aegypti</i> en la ciudad y algunos municipios aleda&ntilde;os indicando que el vector completa su ciclo biol&oacute;gico en los valles mesot&eacute;rmicos de Cochabamba por encima de los 2 450 m.s.n.m.<sup>17</sup>.</font></p>     <p align="justify"><font size="2" face="Verdana, Arial, Helvetica, sans-serif">El presente estudio corrobor&oacute; el hallazgo de SEDES Cochabamba, demostrando que el ciclo biol&oacute;gico de <i>A. aegypti</i> es exitoso en una amplia variabilidad altitudinal la cual var&iacute;a entre los 2 538 y 2 623 m.s.n.m. en la metr&oacute;poli de Cochabamba. De acuerdo a otros estudios descritos para Bolivia y pa&iacute;ses de la regi&oacute;n, <i>A. aegypti</i> registra valores altitudinales entre los 1 630 a 2 450 m.s.n.m.<sup>9,18-20</sup>.</font></p>     <p align="justify"><font size="2" face="Verdana, Arial, Helvetica, sans-serif">De una muestra de 264 viviendas inspeccionadas en toda el &aacute;rea metropolitana de la ciudad de Cochabamba 100 viviendas presentaron la presencia de <i>A. aegypti</i> , que corresponde a un 38% IIA y un IIB de 1,0. Seg&uacute;n criterios preestablecidos de indicadores entomol&oacute;gicos de la OPS/OMS, la metr&oacute;poli de Cochabamba, con los datos obtenidos en el per&iacute;odo de evaluaci&oacute;n, habr&iacute;a cursado una emergencia referido a un nivel operativo de control. </font></p>     <p align="justify"><font size="2" face="Verdana, Arial, Helvetica, sans-serif">En la zona Sud de Cercado Cochabamba un factor relevante para la proliferaci&oacute;n de larvas de <i>A. aegypti</i> , es el elevado n&uacute;mero de turriles que son utilizados por las familias para el almacenamiento de agua, debido a la inexistencia parcial o total de los servicio b&aacute;sicos. Este mismo factor de proliferaci&oacute;n de larvas a partir de turriles de almacenamiento de agua fue observado en otros pa&iacute;ses de la regi&oacute;n<sup>21,22</sup>. </font></p>     <p align="justify"><font size="2" face="Verdana, Arial, Helvetica, sans-serif">En las otras &aacute;reas de estudio (Quillacollo, Colcapirhua, Vinto), la cantidad de dep&oacute;sitos de agua encontrados (con y sin larvas de <i>A. aegypti</i> ) es tambi&eacute;n importante, como ser desechables pl&aacute;sticos, llantas, recipientes pl&aacute;sticos,  tanques de agua entre otros descritos ampliamente en la literatura<sup>23</sup>. De la misma forma, las llantas de caucho juegan un factor importante en la propagaci&oacute;n y adaptaci&oacute;n del vector, debido a que este alberga y ofrece protecci&oacute;n a huevos y larvas de <i>A. aegypti</i> . Seg&uacute;n lo observado por diferentes autores la presencia de llantas en una determinada regi&oacute;n genera un mayor riesgo de que se establezca una transmisi&oacute;n vectorial en la poblaci&oacute;n<sup>24-26</sup>.</font></p>     <p align="justify"><font size="2" face="Verdana, Arial, Helvetica, sans-serif">A diferencia de otros departamentos del oriente y amazonia boliviana, donde el vector se encuentra infectado por diferentes serotipos de Dengue, Chikungunya y Zika, en el departamento de Cochabamba a&uacute;n no se confirm&oacute; la transmisi&oacute;n vectorial aut&oacute;ctona. Sin embargo, se debe tener en cuenta que esta especie podr&iacute;a jugar un papel de vector de reservorio de diferentes virus<sup>27,28</sup>.</font></p>     <p align="justify"><font size="2" face="Verdana, Arial, Helvetica, sans-serif">Los datos demuestran, que la prevenci&oacute;n y el control de <i>A. aegypti</i> , en la metr&oacute;poli de Cochabamba va a requerir un trabajo mancomunado integral e intersectorial entre las instituciones de salud, municipio, gobernaci&oacute;n, sociedad civil, organizaciones no gubernamentales entre otros, enfocados en una estrategia de intervenci&oacute;n de gesti&oacute;n socioambiental de corresponsabilidad y participaci&oacute;n comunitaria, generando como resultado un Manejo Integrado del Vector.</font></p>     <p align="justify"><font size="2" face="Verdana, Arial, Helvetica, sans-serif">    ]]></body>
<body><![CDATA[<br>   <strong>Agradecimientos</strong>    <br>   A la Dra. Gisela Vidal y al Dr. Rolando Pe&ntilde;aranda, por la revisi&oacute;n del manuscrito.</font></p>     <p align="justify"><font size="2" face="Verdana, Arial, Helvetica, sans-serif"><strong>Conflictos de inter&eacute;s:</strong> los autores declaramos que no existe conflicto de intereses.</font></p> <h2 align="justify"><font size="3" face="Verdana, Arial, Helvetica, sans-serif"><b>Referencias bibliogr&aacute;ficas</b></font></h2>     <p align="justify">    <br>   <font size="2" face="Verdana, Arial, Helvetica, sans-serif">1. Weaver SC, Reisen WK. Present and future arboviral threats. Antiviral research. 2010 Feb 28;85(2):328-45.</font></p>     <p align="justify"><font size="2" face="Verdana, Arial, Helvetica, sans-serif">2. Cavrini F, Gaibani P, Pierro AM, Rossini G, Landini MP, Sambri V. Chikungunya: an emerging and spreading arthropod-borne viral disease. The Journal of Infection in Developing Countries. 2009 Nov 21;3(10):744-52.</font></p>     <p align="justify"><font size="2" face="Verdana, Arial, Helvetica, sans-serif">3. Seixas G, Salgueiro P, Silva AC, Campos M, Spenassatto C, Reyes-Lugo M, Novo MT, Ribolla PE, Pinto JP, Sousa CA. <i>Aedes aegypti </i>on Madeira Island (Portugal): genetic variation of a recently introduced dengue vector. Mem&oacute;rias do Instituto Oswaldo Cruz. 2013;108:3-10.</font></p>     <p align="justify"><font size="2" face="Verdana, Arial, Helvetica, sans-serif">4. Zanluca C, dos Santos CN. Zika virus&ndash;an overview. Microbes and Infection. 2016 May 31;18(5):295-301.</font></p>     <p align="justify"><font size="2" face="Verdana, Arial, Helvetica, sans-serif">5. Mora-Covarrubias A de la, - FJ-V, - SM-A. Distribuci&oacute;n geoespacial y detecci&oacute;n del virus del dengue en mosquitos Aedes (Stegomyia) aegypti de Ciudad Ju&aacute;rez, Chihuahua, M&eacute;xico. Salud P&uacute;blica M&eacute;xico. 2010;52(2):127&ndash;33</font></p>     <p align="justify"><font size="2" face="Verdana, Arial, Helvetica, sans-serif">6. Christophers S. <i>Aedes aegypti </i>(L.) the yellow fever mosquito: its life history, bionomics and structure. Rickard. 1960.</font></p>     ]]></body>
<body><![CDATA[<p align="justify"><font size="2" face="Verdana, Arial, Helvetica, sans-serif">7. Iba&ntilde;ez S. Nuevo registro altitudinal de Aedes (Stegomya) aegypti (Linaeus, 1762).1987.</font></p>     <p align="justify"><font size="2" face="Verdana, Arial, Helvetica, sans-serif">8. Navarro JC, Del Ventura F, Zorrilla A, Liria J. Registros de mayor altitud para mosquitos (Diptera: Culicidae) en Venezuela. Revista de Biolog&iacute;a Tropical. 2009 Mar;58(1):245-54.</font></p>     <p align="justify"><font size="2" face="Verdana, Arial, Helvetica, sans-serif">9. Duncombe J, Clements A, Davis J, Hu W, Weinstein P, Ritchie S. Spatiotemporal patterns of <i>Aedes aegypti </i>populations in Cairns, Australia: assessing drivers of dengue transmission. Tropical Medicine &amp; International Health. 2013 Jul 1;18(7):839-49.</font></p>     <p align="justify"><font size="2" face="Verdana, Arial, Helvetica, sans-serif">10. Dhimal M, Gautam I, Joshi HD, O&rsquo;Hara RB, Ahrens B, Kuch U. Risk factors for the presence of chikungunya and dengue vectors (<i>Aedes aegypti </i>and Aedes albopictus), their altitudinal distribution and climatic determinants of their abundance in central Nepal. PLoS Negl Trop Dis. 2015 Mar 16;9(3):e0003545.</font></p>     <p align="justify"><font size="2" face="Verdana, Arial, Helvetica, sans-serif">11. Morrison AC, Zielinski-Gutierrez E, Scott TW, Rosenberg R. Defining challenges and proposing solutions for control of the virus vector <i>Aedes aegypti </i>. PLoS Med. 2008 Mar 18;5(3):e68.</font></p>     <p align="justify"><font size="2" face="Verdana, Arial, Helvetica, sans-serif">12. Fernandez I. Biolog&iacute;a y control de <i>Aedes aegypti </i>: Manual de operaciones. 2009.</font></p>     <p align="justify"><font size="2" face="Verdana, Arial, Helvetica, sans-serif">13. Vallejo Castro E, Qui&ntilde;ones L&oacute;pez A. Brote Epid&eacute;mico de Dengue en la localidad de Omereque departamento de Cochabamba. Febrero 2009. Rev. M&eacute;d. Cochabamba. /;64.</font></p>     <p align="justify"><font size="2" face="Verdana, Arial, Helvetica, sans-serif">14. PNUD. Cambio clim&aacute;tico y el desaf&iacute;o de la salud en Bolivia. Programa de las Naciones Unidas para el Desarrollo en Bolivia, PNUD, Bolivia. 2013.http://cambioclimatico-pnud.org.bo/paginas/admin/uploaded/EA_Salud.pdf</font></p>     <p align="justify"><font size="2" face="Verdana, Arial, Helvetica, sans-serif">15. Organizaci&oacute;n Panamericana de la Salud. Dengue y dengue hemorr&aacute;gico en las Am&eacute;ricas: gu&iacute;as para su prevenci&oacute;n y control. Organizaci&oacute;n Panamericana de la Salud, Oficina Sanitaria Panamericana, Oficina Regional de la Organizaci&oacute;n Mundial de la Salud; 1995.</font></p>     <p align="justify"><font size="2" face="Verdana, Arial, Helvetica, sans-serif">16. WHO. Dengue and dengue haemorrhagic fever. Factsheet No 117, 2008.</font></p>     ]]></body>
<body><![CDATA[<p align="justify"><font size="2" face="Verdana, Arial, Helvetica, sans-serif">17. Castro T. Insecto transmisor del zika esta en 6 sitios de las 4zonas se la ciudad. Opini&oacute;n. Edici&oacute;n Impresa. 2016 Feb. 16;1.</font></p>     <p align="justify"><font size="2" face="Verdana, Arial, Helvetica, sans-serif">18. Su&aacute;rez MF, Nelson MJ. Registro de altitud del <i>Aedes aegypti </i>en Colombia. Biom&eacute;dica. 1981;1(4):225.</font></p>     <p align="justify"><font size="2" face="Verdana, Arial, Helvetica, sans-serif">19. Welsh- Rodr&iacute;guez, C.M., Ochoa-Mart&iacute;nez C.A., Monaghan, A., Hayden, M.,  Lozano-Fuentes, S., Eisen, L., Morales-Mart&iacute;nez. M.A. (2014). Cambio Clim&aacute;tico y Dengue: una aproximaci&oacute;n Sistem&aacute;tica. Cambio Clim&aacute;tico y Cambio Global. Asociaci&oacute;n Espa&ntilde;ola de Climatolog&iacute;a (AEC). Serie A. N&deg; 9. 1a. Edici&oacute;n. Pp. 809-820. ISBN: 978-84-16027-69-9.</font></p>     <p align="justify"><font size="2" face="Verdana, Arial, Helvetica, sans-serif">20. Ruiz-L&oacute;pez F, Gonz&aacute;lez-Mazo A, V&eacute;lez-Mira A, G&oacute;mez GF, Zuleta L, Uribe S, V&eacute;lez-Bernal ID. Presencia de Aedes (Stegomyia) aegypti (Linnaeus, 1762) y su infecci&oacute;n natural con el virus dengue en alturas no registradas para Colombia. Biom&eacute;dica. 2016 Apr 27;36(2).</font></p>     <p align="justify"><font size="2" face="Verdana, Arial, Helvetica, sans-serif">21. Rodr&iacute;guez Cruz R. Estrategias para el control del dengue y del <i>Aedes aegypti </i>en las Am&eacute;ricas. Rev Cubana Med Trop. 2002 Dec;54(3):189&ndash;201.</font></p>     <p align="justify"><font size="2" face="Verdana, Arial, Helvetica, sans-serif">22. Chang Camero Y, Lugo Mendosa J, Barcel&oacute; Rodr&iacute;guez G, Mart&iacute;nez Garc&iacute;a J, Sautie C, Isabel M. Dep&oacute;sitos observados con larvas de <i>Aedes aegypti </i>durante el uso operacional del biolarvicida Bactivec. Rev Cubana Med Trop. 2013 Apr;65(1):90&ndash;8.</font></p>     <p align="justify"><font size="2" face="Verdana, Arial, Helvetica, sans-serif">23. Rossi GC, Almir&oacute;n WR. Clave ilustrada para la identificaci&oacute;n de larvas de mosquitos de inter&eacute;s sanitario encontradas en criaderos artificiales en la Argentina. Buenos Aires: Fundaci&oacute;n Mundo Sano. 2004.</font></p>     <p align="justify"><font size="2" face="Verdana, Arial, Helvetica, sans-serif">24. Carrazana Trujillo M, Fern&aacute;ndez M, Carmen M del, V&aacute;zquez C&aacute;ceres A, Montano M de O, Luis J. Din&aacute;mica estacional y temporal de <i>Aedes aegypti </i>(Diptera:Culicidae) en el municipio Cienfuegos. Rev Cubana Med Trop. 2010 Aug;62(2):98&ndash;106.</font></p>     <p align="justify"><font size="2" face="Verdana, Arial, Helvetica, sans-serif">25. Bisset Lazcano JA, Marquetti MDC, Portillo R, Rodr&iacute;guez MM, Su&aacute;rez S, Leyva M. Ecological factors linked to the presence of <i>Aedes aegypti </i>larvae in highly infested areas of Playa, a municipality belonging to Ciudad de La Habana, Cuba [Internet]. 2006 [cited 2016 Sep 13]; Available from: http://iris.paho.org/xmlui/handle/123456789/7962.</font></p>     <p align="justify"><font size="2" face="Verdana, Arial, Helvetica, sans-serif">26. Di&eacute;guez Fern&aacute;ndez L, Fern&aacute;ndez C, Mar&iacute;a S, Prada Noy Y, Cruz Pineda C, Rodr&iacute;guez de la Vega R. Aedes (St.) aegypti en tanques bajos y sus implicaciones para el control del dengue en Camag&uuml;ey. Rev Cubana Med Trop. 2010 Aug;62(2):93&ndash;7.</font></p>     ]]></body>
<body><![CDATA[<p align="justify"><font size="2" face="Verdana, Arial, Helvetica, sans-serif">27. Fontenille D, Diallo M, Mondo M, Ndiaye M, Thonnon J. First evidence of natural vertical transmission of yellow fever virus in <i>Aedes aegypti </i>, its epidemic vector. Transactions of the Royal Society of Tropical Medicine and Hygiene. 1997 Oct 1;91(5):533-5.</font></p>     <p align="justify"><font size="2" face="Verdana, Arial, Helvetica, sans-serif">28. Ib&aacute;&ntilde;ez-Bernal SE, Briseno B, Mutebi JP, Argot E, Rodriguez G, Martinez&#8208;Campos CA, Paz R, Roman PD, Tapia&#8208;Conyer RO, Flisser A. First record in America of Aedes albopictus naturally infected with dengue virus during the 1995 outbreak at Reynosa, Mexico. Medical and veterinary entomology. 1997 Oct 1;11(4):305-9.    <br>       <br> </font></p>      ]]></body>
</article>
