SciELO - Scientific Electronic Library Online

 
vol.8 número24Rendimiento de diez variedades de Cañihua (Chenopodium pallidicaule Allen) en Chumbivilcas, Cusco-PerúPercepciones de estudiantes de secundaria sobre los problemas ambientales del Santuario Nacional de Huayllay, Perú índice de autoresíndice de materiabúsqueda de artículos
Home Pagelista alfabética de revistas  

Servicios Personalizados

Revista

Articulo

Indicadores

Links relacionados

  • No hay articulos similaresSimilares en SciELO

Compartir


Alfa Revista de Investigación en Ciencias Agronómicas y Veterinaria

versión On-line ISSN 2664-0902

Rev. Inv. Cs. Agro. y Vet. vol.8 no.24 La Paz dic. 2024  Epub 20-Sep-2024

https://doi.org/10.33996/revistaalfa.v8i24.315 

INVESTIGACIONES

Validez y confiabilidad de la escala de actitud ambiental hacia los residuos sólidos

Validity and reliability of the environmental attitude scale towards solid waste

Validade e confiabilidade da escala de atitude ambiental em relação aos resíduos sólidos

Jose Carlos Ayuque-Rojas1 
http://orcid.org/0000-0002-8735-4105

Russbelt Yaulilahua-Huacho2 
http://orcid.org/0000-0002-7007-3059

Edwin Javier Ccente-Chancha3 
http://orcid.org/0009-0004-2168-6010

Ligia Isaida Rosaura Gutierrez-Deza4 
http://orcid.org/0000-0001-6745-5921

Magda Mirella Ordoñez-Santoyo4 
http://orcid.org/0000-0002-3705-9909

Herbert Rodas-Ccopa1 
http://orcid.org/0000-0001-9646-2573

1Universidad Nacional José María Arguedas. Andahuaylas, Perú

2Independiente Angaraes. Huancavelica, Perú

3Universidad Nacional de Huancavelica. Huancavelica, Perú

4Universidad Nacional de Educación Enrique Guzmán y Valle. Lima, Perú


RESUMEN

La validez y la confiabilidad de los instrumentos para la recolección de los datos son conceptos esenciales en la investigación, especialmente en el ámbito de la investigación cuantitativa, ya que son fundamentales para evaluar la calidad y precisión de los estudios. En este sentido, el objetivo de la investigación fue evaluar la validez y confiabilidad de la Escala de Actitud Ambiental hacia los Residuos Sólidos. Se aplicó un cuestionario de 30 ítems en una escala Likert de cinco puntos, cuyos resultados fueron analizados por cuatro expertos. Los hallazgos indicaron que todos los ítems son válidos, con medias superiores al 60%, y una confiabilidad alta, evidenciada por un alfa de Cronbach de 0.946 y un Omega de McDonald de 0.947. La correlación ítem-resto también fue significativa, destacando que la mayoría de los ítems contribuyen efectivamente al constructo medido. Estos resultados subrayan la utilidad del instrumento para medir actitudes ambientales, garantizando su validez y confiabilidad, lo que es esencial para futuras investigaciones en el área de gestión de residuos sólidos.

Palabras clave: Actitud Ambiental; Alfa de Cronbach; Confiabilidad; Omega de McDonald; Validez

ABSTRACT

The validity and reliability of instruments for data collection are essential concepts in research, especially in the field of quantitative research, as they are fundamental for evaluating the quality and accuracy of studies. In this sense, the objective of the research was to evaluate the validity and reliability of the Environmental Attitude Scale towards Solid Waste. A questionnaire consisting of 30 items was applied using a five-point Likert scale, and the results were analyzed by four experts. The findings indicated that all items are valid, with means above 60%, and a high reliability, evidenced by a Cronbach's alpha of 0.946 and a McDonald's omega of 0.947. The item-rest correlation was also significant, highlighting that most items effectively contribute to the measured construct. These results underscore the utility of the instrument for measuring environmental attitudes, ensuring its validity and reliability, which is essential for future research in solid waste management.

Key words: Cronbach's Alpha; Environmental Attitude; Reliability; McDonald's Omega; Validity

RESUMO

A validade e a confiabilidade dos instrumentos para coleta de dados são conceitos essenciais na pesquisa, especialmente no campo da pesquisa quantitativa, pois são fundamentais para avaliar a qualidade e precisão dos estudos. Nesse sentido, o objetivo da pesquisa foi avaliar a validade e confiabilidade da Escala de Atitude Ambiental em relação aos Resíduos Sólidos. Um questionário composto por 30 itens foi aplicado utilizando uma escala Likert de cinco pontos, e os resultados foram analisados por quatro especialistas. Os achados indicaram que todos os itens são válidos, com médias acima de 60%, e uma alta confiabilidade, evidenciada por um alfa de Cronbach de 0,946 e um ômega de McDonald de 0,947. A correlação item-rest também foi significativa, destacando que a maioria dos itens contribui efetivamente para o construto medido. Esses resultados sublinham a utilidade do instrumento para medir atitudes ambientais, garantindo sua validade e confiabilidade, o que é essencial para futuras pesquisas em gestão de resíduos sólidos.

Palavras-chave: Atitude Ambiental; Alfa de Cronbach; Confiabilidade; Ômega de McDonald; Validade

INTRODUCCIÓN

La validez y la confiabilidad de los instrumentos para la recolección de los datos son conceptos esenciales en la investigación, especialmente en el ámbito de la investigación cuantitativa, ya que son fundamentales para evaluar la calidad y precisión de los estudios. La validez se refiere a la capacidad de un instrumento o método para medir lo que realmente pretende medir, asegurando que los resultados reflejen con precisión el fenómeno investigado (1). Existen diferentes tipos de validez, como la validez interna, que se relaciona con la ausencia de sesgos en el diseño del estudio; la validez externa, que evalúa la generalización de los resultados a otras poblaciones o contextos; y la validez de contenido, que examina si los ítems del instrumento representan adecuadamente el constructo teórico (2). La validez de contenido es particularmente importante en el desarrollo de instrumentos de medición, ya que garantiza que todos los aspectos del constructo están representados adecuadamente y que los ítems son relevantes para el objetivo del estudio (3).

Por otro lado, la confiabilidad se refiere a la consistencia de las mediciones a través del tiempo y diferentes condiciones. Un instrumento confiable producirá resultados similares en diferentes momentos y contextos, lo que es crucial para asegurar la estabilidad de los hallazgos (4). La confiabilidad puede ser evaluada mediante diferentes métodos, incluyendo el coeficiente alfa de Cronbach y el coeficiente Omega, que permiten determinar si los ítems de un cuestionario están midiendo el mismo constructo (5). En investigaciones sociales donde las percepciones y actitudes pueden ser complejas y multifacéticas, contar con instrumentos válidos y confiables es esencial para obtener resultados significativos.

Para medir la validez de contenido en un cuestionario, se pueden seguir varios pasos y métodos que aseguran que los ítems incluidos representen adecuadamente el constructo que se desea evaluar. Primero, es fundamental realizar un examen sistemático del contenido del cuestionario, lo que implica revisar si todos los aspectos relevantes del constructo están incluidos y si no hay ítems que midan aspectos no relacionados. Esto puede hacerse a través de la opinión de expertos en el tema, quienes pueden evaluar la pertinencia y relevancia de cada ítem en relación con el constructo (6,7). En este sentido, es recomendable llevar a cabo estudios piloto donde se aplique el cuestionario a una muestra representativa. Esto permite observar cómo los participantes interpretan y responden a los ítems, proporcionando información adicional sobre la validez de contenido del instrumento.

En este contexto, la prueba de t de Student es un método fundamental en la evaluación de la validez y confiabilidad de la información científica en estudios sociales, especialmente cuando se trabaja con muestras pequeñas. Esta prueba permite determinar si las diferencias observadas entre las medias de dos grupos son estadísticamente significativas, lo que es crucial para validar hipótesis en investigaciones. Al utilizar la distribución t, los investigadores pueden realizar inferencias sobre una población a partir de una muestra, considerando que la varianza poblacional es desconocida. Esto es particularmente relevante en estudios sociales donde las muestras suelen ser limitadas y no siempre cumplen con los supuestos de normalidad. La capacidad de la t de Student para manejar la incertidumbre asociada a muestras pequeñas la convierte en una herramienta valiosa para los investigadores, permitiendo que las conclusiones sean más robustas y fundamentadas en datos empíricos. Además, su aplicación en pruebas de hipótesis y estimación de intervalos de confianza refuerza su utilidad en el análisis estadístico, facilitando la toma de decisiones informadas basadas en evidencia (8).

Por otra parte, el coeficiente de correlación r de Pearson corregido es otro método esencial para evaluar la validez y confiabilidad en estudios sociales. Este coeficiente mide la fuerza y dirección de la relación lineal entre dos variables continuas, proporcionando un indicador cuantitativo que ayuda a los investigadores a comprender cómo se relacionan diferentes factores dentro de un contexto social. Su relevancia radica en que permite identificar patrones y correlaciones que pueden ser indicativos de relaciones causales, lo cual es fundamental para formular teorías y modelos explicativos en ciencias sociales. Sin embargo, es importante considerar que el coeficiente r solo capta relaciones lineales y puede ser influenciado por valores atípicos, por lo que su interpretación debe hacerse con precaución. Al corregir el coeficiente para tener en cuenta el tamaño muestral o la varianza, se mejora su precisión y se minimiza el riesgo de obtener conclusiones erróneas. Esto es especialmente útil en investigaciones donde las variables pueden estar interrelacionadas, permitiendo a los investigadores establecer conexiones más claras entre los fenómenos estudiados (9).

Asimismo, el coeficiente de consistencia interna alfa de Cronbach es una herramienta estadística fundamental para evaluar la confiabilidad de cuestionarios y escalas en investigaciones sociales. Este coeficiente mide la consistencia interna de un conjunto de ítems, lo que indica cómo cada ítem contribuye a medir un mismo constructo subyacente. Un valor alto del alfa, generalmente superior a 0.7, sugiere que los ítems están correlacionados entre sí, lo que implica que el cuestionario es confiable (4). La capacidad del alfa de Cronbach para identificar ítems problemáticos es crucial, ya que permite realizar ajustes antes de aplicar el cuestionario en una muestra más amplia, garantizando así la calidad y precisión de las mediciones (10). En contextos sociales donde las percepciones y actitudes son complejas y multifacéticas, contar con instrumentos confiables es esencial para obtener resultados válidos y significativos. La literatura destaca que la validez y confiabilidad son interdependientes; un instrumento puede ser válido solo si es confiable (2). Por lo tanto, el uso del alfa de Cronbach no solo fortalece la validez del estudio, sino que también asegura que los resultados reflejan con precisión las actitudes y percepciones de los participantes.

Además, el coeficiente de consistencia interna omega de McDonald se presenta como una alternativa valiosa al alfa de Cronbach para evaluar la confiabilidad en estudios sociales. A diferencia del alfa, que asume que todos los ítems contribuyen de manera equitativa al constructo medido, el omega permite estimar la confiabilidad considerando diferentes cargas factoriales entre los ítems. Esta característica lo hace especialmente útil en situaciones donde se espera que los ítems tengan diferentes niveles de contribución al constructo general (5). Por ejemplo, en escalas multidimensionales o cuando se sospecha que los ítems no son igualmente representativos del constructo subyacente, el uso del omega proporciona una medida más precisa de la consistencia interna (11).

Adicionalmente, la creciente adopción del coeficiente Omega en investigaciones sociales se debe a su capacidad para ofrecer una evaluación más matizada de la confiabilidad, lo que ayuda a los investigadores a desarrollar instrumentos más robustos y válidos para medir conceptos complejos. La literatura científica ha destacado que el omega no solo refleja la consistencia interna, sino que también puede identificar ítems que contribuyen desproporcionadamente a la variabilidad total del instrumento (12). Esto es particularmente relevante en contextos donde las percepciones y actitudes son multifacéticas, ya que un instrumento confiable es esencial para obtener resultados válidos y significativos. En resumen, el coeficiente omega representa un avance en la evaluación de la confiabilidad, permitiendo a los investigadores abordar la complejidad de los constructos sociales de manera más efectiva.

Por tanto, el objetivo de la presente investigación es evaluar la Validez y Confiabilidad de la Escala de Actitud Ambiental hacia los Residuos Sólidos (13).

MATERIALES Y MÉTODOS

La investigación se realizó adoptando un enfoque cuantitativo, un alcance descriptivo y un diseño transversal, la misma se desarrolló en el Colegio Las Américas del distrito Ascensión de la provincia y región Huancavelica, Perú. Para el estudio, se seleccionó de manera intencional una muestra compuesta por 40 estudiantes del tercer año de secundaria.

En este sentido fue empleada como técnica de recolección de datos la encuesta y como instrumento un cuestionario denominado Escala de actitud ambiental hacia los residuos sólidos, con 30 ítems en escala de Likert de cinco puntos Tabla 1, 1. Totalmente en desacuerdo, 2. En desacuerdo, 3. Ni de acuerdo ni en desacuerdo, 4. De acuerdo y 5. Totalmente de acuerdo, el cual fue examinado por cuatro expertos, con cinco opciones de opinión: 1. Deficiente (0 a 20%), 2: Malo (21 a 40%), 3: Regular (41 a 60%), 4: Bueno (61 a 80%) y 5: Excelente (81 a 100%), evaluando su validez de contenido por criterios y especifica por ítems con la estadística t de Student y determinando su validez de constructo con el coeficiente de correlación r de Pearson corregida, y su confiabilidad con los coeficientes de consistencia interna alfa de Cronbach y omega de McDonald.

Tabla 1 Dimensiones e ítems de la escala de actitud ambiental 

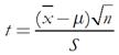
La validez de contenido del instrumento se realiza comparando la media real de las calificaciones del criterio de los expertos con la media teórica que indique al menos calidad buena (60). Dado que la muestra de expertos es pequeña (n = 4 y n < 50), la media de cada criterio se evalúa con la estadística t de Student para una media en muestras pequeñas. Las hipótesis estadísticas nula H0 y alternativa H1 a contrastar son las siguientes:

H0: El criterio X no es válido cuando la media de las calificaciones del indicador X es menor o igual a 60 (H0: ( ≤ 60)

H1: El criterio es válido cuando la media de las calificaciones del indicador X es mayor a 60 (H1: ( > 60)

(: es la media poblacional de las calificaciones del criterio X. El punto crítico de 60 se establece en base a la calidad buena o excelente del criterio.

La función de prueba es la t de Student con (n-1) grados de libertad, definida como:

donde x barra y S son la media y la desviación estándar muestrales de las calificaciones de los expertos al criterio X, respectivamente; n es el número de expertos.

Para ( = .05, n = 4 y un contraste unilateral superior (H1: ( > 60), el valor teórico de la t de Student con 3 grados de libertad es 2.353. La hipótesis nula H0 se rechazará si su valor calculado de la t de Student es mayor que 2.353 y el valor p es menor que .05.

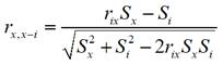
La evaluación de la validez de constructo se realizó mediante el coeficiente de correlación r de Pearson corregida ítem-total el cual se obtiene con:

donde:

ri, x- i es el coeficiente de correlación r de Pearson corregida ítem-total,

rix es el coeficiente de correlación r de Pearson cruda ítem-total,

Sx es la desviación estándar de los puntajes totales de los sujetos,

Si es la desviación estándar de los puntajes del ítem.

Este coeficiente toma valores entre -1 y 1; los ítems cuyas correlaciones corregidas son superiores a .2 son válidos y, por tanto, el instrumento es válido si todos sus ítems son válidos.

Para la evaluación de la confiabilidad se utilizaron las siguientes pruebas:

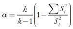
a) El coeficiente de consistencia interna alfa de Cronbach se calcula con:

donde:

α es el coeficiente alfa de Cronbach,

k es el número de ítems

b) El coeficiente de consistencia interna omega de McDonald se calcula con:

c) donde:

(i es la carga factorial estandarizada del ítem i

Estos coeficientes toman valores entre 0 y 1, y un valor mayor a 0.7 indica que el instrumento es confiable.

Fue utilizado el programa estadístico JASP v.0.18.3.0 para los análisis estadísticos de los datos.

RESULTADOS

Los resultados de la investigación sobre la validez y confiabilidad de la Escala de Actitud Ambiental hacia los Residuos Sólidos subrayan la utilidad del instrumento para medir actitudes ambientales y garantizan su validez y confiabilidad, lo cual es esencial para futuras investigaciones en gestión de residuos sólidos. En conjunto, estos resultados proporcionan una base sólida para el desarrollo de intervenciones educativas en este ámbito.

En este sentido, la Tabla 2 ofrece los resultados detallados de la validez de contenido específica por ítems, evaluada mediante la prueba t de Student con un grupo de cuatro expertos (n = 4). Esta tabla abarca un total de 30 ítems, clasificados en tres categorías: cognitivos (Cog1 a Cog10), afectivos (Afe11 a Afe20) y conceptuales (Con21 a Con30). Cada ítem fue evaluado por los expertos, quienes asignaron puntuaciones que varían entre 60 y 95. Por ejemplo, el ítem Cog1 recibió puntuaciones de 70, 70, 85 y 90, resultando en una media de 78.75 y una desviación estándar de 10.31. Además, se presentan los valores t calculados y sus correspondientes valores p para cada ítem, donde muchos muestran significancia estadística. Ítems como Cog5, Cog6, Cog7 y Afe13 tienen valores p inferiores a 0.01, indicando una alta significancia. Los asteriscos junto a los valores t resaltan el nivel de significancia, donde (*) indica altamente significativa (p < .05) y (**) indica altamente significativa (p < .01). Estos resultados sugieren que muchos de los ítems evaluados son considerados válidos desde el punto de vista del contenido según las opiniones de los expertos, lo que es fundamental para garantizar la calidad y relevancia del contenido en el contexto del estudio. En conjunto, la tabla proporciona una base sólida para futuras investigaciones en esta área, destacando la importancia de las evaluaciones expertas en el proceso de validación.

Tabla 2 Validez de contenido específica por ítems con la t de Student (n = 4) 

(**): Altamente significativa (p < .01); (*): Altamente significativa (p < .05)

La Tabla 3, presenta un análisis detallado de las estadísticas de confiabilidad de ítems individuales, evaluadas con una muestra de 40 participantes. Esta tabla incluye varias métricas clave para cada ítem, que permiten evaluar la consistencia interna y la confiabilidad del instrumento utilizado en el estudio. Entre las columnas destacadas se encuentran "If item dropped", que indica el valor de confiabilidad McDonald’s ω si se elimina el ítem, y "Item-rest correlation", que mide la correlación entre cada ítem y la puntuación total del resto, donde valores más altos sugieren una buena alineación con el constructo general.

La media y la desviación estándar también se presentan, proporcionando información sobre el rendimiento general de los participantes y la variabilidad de las respuestas. Los resultados muestran que la mayoría de los ítems tienen altos valores tanto en McDonald's ω como en Cronbach's α, indicando una buena consistencia interna; por ejemplo, Cog1 tiene un McDonald's ω de 0.946 y un Cronbach's α de 0.945. Además, la correlación ítem-rest es alta en muchos casos, como en Cog7, que presenta una correlación de 0.690. En términos de media y desviación estándar, los ítems muestran valores variados, siendo Afe15 un caso con una media de 3.325 y una desviación estándar de 1.366, lo que sugiere mayor dispersión en las respuestas. En conjunto, estos resultados son fundamentales para validar el instrumento y asegurar su eficacia en futuras investigaciones, permitiendo así una interpretación más precisa y fiable de los datos recolectados.

Tabla 3 Estadísticas de confiabilidad de ítems individuales (n = 40) 

La Tabla 4, presenta un resumen de las estadísticas de confiabilidad del instrumento evaluado, destacando dos estimaciones clave: Cronbach's α y McDonald's ω. Ambas métricas son fundamentales para determinar la consistencia interna del conjunto de ítems utilizados en el estudio. El valor de Cronbach's α es de 0.946, lo que indica una excelente consistencia interna, ya que valores superiores a 0.90 son considerados óptimos. Por su parte, McDonald's ω presenta un valor de 0.947, sugiriendo también una alta confiabilidad del instrumento. Además, se incluyen los límites del intervalo de confianza del 95% para ambas estimaciones; el límite inferior para Cronbach's α es 0.916, lo que refuerza la idea de que la confiabilidad es alta, mientras que el límite inferior para McDonald's ω es 0.923, respaldando la solidez del instrumento. En cuanto a los límites superiores, Cronbach's α alcanza 0.967 y McDonald's ω llega a 0.971, indicando que la confiabilidad podría ser aún mayor. En conjunto, estos resultados proporcionan una visión clara y concisa sobre la confiabilidad del instrumento, mostrando que ambos índices son altos y que los intervalos de confianza son estrechos, lo que sugiere que el conjunto de ítems es altamente confiable y adecuado para su uso en investigaciones futuras, validando así la calidad del instrumento y asegurando su eficacia en la recolección de datos.

Tabla 4 Estadísticas de confiabilidad 

Con los resultados de las secciones 1 y 2 se afirma que la Escala de actitud ambiental hacia los residuos sólidos es válida y confiable.

Discusión

El análisis de la validez de contenido en estudios sociales es fundamental para asegurar la calidad y relevancia de los instrumentos utilizados en la investigación. Los resultados presentados ofrecen una visión integral sobre cómo se evalúa la validez y confiabilidad de estos instrumentos mediante métodos estadísticos rigurosos, en particular la prueba t de Student y métricas de consistencia interna como Cronbach's α y McDonald's ω. A continuación, se discuten las semejanzas y diferencias con otras investigaciones relevantes en el campo.

En este contexto, el instrumento de recolección de datos utilizado en la investigación fue la Escala de actitud ambiental hacia los residuos sólidos, que consta de 30 ítems evaluados mediante una escala de Likert de cinco puntos. Esta escala permite medir las actitudes desde "Totalmente en desacuerdo" hasta "Totalmente de acuerdo", lo que facilita la obtención de datos sobre las percepciones ambientales de los participantes. Para asegurar la validez del instrumento, este fue revisado por expertos, quienes evaluaron su contenido utilizando criterios específicos que incluyeron una estadística t de Student para determinar su validez de contenido genérica y específica (14,15).

Sin embargo, los resultados obtenidos en investigaciones previas han indicado que, si bien las actitudes hacia la gestión de residuos sólidos pueden ser positivas entre los estudiantes, este estudio no busca evaluar el cambio de actitudes, sino validar y verificar la confiabilidad del instrumento utilizado. Por ejemplo, un estudio realizado en Lima reportó un grado promedio de 4.605 en una escala similar, lo que sugiere una tendencia favorable hacia la gestión adecuada de residuos (15, 16). Sin embargo, es fundamental aclarar que este trabajo se centra en la validez y confiabilidad del cuestionario aplicado y no en la modificación de comportamientos o actitudes. Este tipo de investigación es esencial para establecer instrumentos que permitan medir efectivamente las actitudes ambientales, contribuyendo así a la creación de herramientas que faciliten la promoción de comportamientos proambientales y la reducción del impacto ambiental asociado a los residuos sólidos, un tema cada vez más relevante en el contexto actual del cambio climático y la salud pública (17).

Por otro lado, una similitud notable entre el estudio presentado y otras investigaciones sobre la validación de instrumentos es el uso de expertos para evaluar la validez de contenido. En este caso, se evaluaron 30 ítems distribuidos en categorías cognitivas, afectivas y conceptuales, donde los expertos asignaron puntuaciones que reflejan su juicio sobre la relevancia y claridad de cada ítem (17). Este enfoque también se observa en otros estudios, como el realizado por investigadores que construyeron un banco de ítems para evaluar aptitudes específicas, donde se aplicó un juicio experto similar para validar el contenido (18, 19). Ambos enfoques subrayan la importancia del consenso experto como una fuente fundamental para establecer la validez del instrumento.

Asimismo, tanto el análisis presentado como otros estudios utilizan análisis estadísticos para respaldar sus conclusiones. En el caso del estudio inicial, se reportan valores t y p que indican significancia estadística para varios ítems, sugiriendo que estos son válidos desde una perspectiva cuantitativa. Investigaciones similares también aplican pruebas estadísticas como el coeficiente α de Cronbach y correlaciones ítem-total para evaluar la fiabilidad y validez de sus instrumentos (18).

No obstante, existen diferencias con otros trabajos realizados en este campo en los métodos utilizados para la validación de la información. Mientras que el presente estudio se centra en la prueba t de Student para evaluar diferencias significativas entre las puntuaciones asignadas por expertos, otros estudios pueden emplear enfoques más complejos como la Teoría de Respuesta al Ítem (TRI) (19). La TRI permite un análisis más detallado a nivel de ítem, considerando no solo las respuestas de los examinados sino también las características psicométricas de cada ítem. Esto puede ofrecer una visión más matizada sobre cómo cada ítem se comporta dentro del conjunto del instrumento. Otra diferencia radica en el número y tipo de expertos involucrados. En el análisis presentado, solo se consultó a cuatro expertos, lo cual puede limitar la diversidad de opiniones y experiencias. En contraste, algunos estudios incluyen un mayor número de evaluadores o grupos multidisciplinarios para asegurar una representación más amplia del contenido evaluado. Esto puede influir en la robustez de los resultados obtenidos y su aplicabilidad a contextos más amplios (17,18).

Asimismo, la evaluación de confiabilidad también es un aspecto crucial abordado. Los resultados muestran altos valores tanto para Cronbach's α como para McDonald's ω, indicando una excelente consistencia interna del instrumento. Este enfoque es consistente con otros estudios que también reportan altos coeficientes de confiabilidad como indicativo de un instrumento bien diseñado. Sin embargo, algunos estudios pueden utilizar diferentes métricas o métodos adicionales para evaluar la confiabilidad, lo que puede ofrecer una perspectiva más completa sobre el rendimiento del instrumento (17).

En resumen, la integración del juicio experto con técnicas estadísticas robustas resulta ser un componente fundamental para garantizar tanto la validez como la confiabilidad de los instrumentos utilizados en la investigación. La validez se refiere a la capacidad del instrumento para medir lo que realmente pretende evaluar, mientras que la confiabilidad se relaciona con la consistencia y estabilidad de las mediciones a lo largo del tiempo. Ambas características son esenciales no solo para asegurar la calidad del instrumento en sí, sino también para validar los resultados obtenidos en investigaciones sociales, lo que a su vez contribuye a la credibilidad y utilidad de los hallazgos en el campo.

CONCLUSIONES

El instrumento Escala de Actitud Ambiental hacia los Residuos Sólidos es tanto válido como confiable para evaluar actitudes ambientales. Los resultados obtenidos indican que la escala, compuesta por 30 ítems, ha sido rigurosamente validada mediante el juicio de expertos y análisis estadísticos, lo que asegura su capacidad para reflejar adecuadamente las percepciones sobre la gestión de residuos. La alta consistencia interna, evidenciada por los valores de Cronbach's α y McDonald's ω, refuerza la solidez del instrumento. Además, la evaluación de contenido realizada por expertos destaca la relevancia y claridad de los ítems, lo que es fundamental para garantizar la calidad del contenido. Estos hallazgos no solo validan el uso de la escala en futuras investigaciones, sino que también subrayan su importancia en el desarrollo de intervenciones educativas orientadas a fomentar comportamientos proambientales y contribuir a la sostenibilidad en la gestión de residuos sólidos.

CONFLICTO DE INTERESES.

Los autores declaran que no existe conflicto de intereses para la publicación del presente artículo científico.

REFERENCIAS BIBLIOGRÁFICAS

1. Creswell J, Creswell J. Research Design: Qualitative, Quantitative, and Mixed Methods Approaches. 5th edition. Los Angeles London New Delhi Singapore Washington DC Melbourne: SAGE Publications, Inc; 2018. 304 p. https://acortar.link/qNsFMwLinks ]

2. Polit D, Beck C. Nursing research: principles and methods 7th ed. Philadelphia: Lippincott Williams & Wilkins 2004; 75:8. [ Links ]

3. Lynn M Determination and quantification of content validity. Nurs Res 1986; 35(6):382-5. https://acortar.link/ctnh9YLinks ]

4. Tavakol M, Dennick R Making sense of Cronbach’s alpha. Int J Med Educ 2011; 2:53-5. https://acortar.link/vwyK5yLinks ]

5. McDonald R. Test Theory: A Unified Treatment. 1st edition. Mahwah, N.J: Lawrence Erlbaum Associates; 1999. 498 p. https://acortar.link/IhSOzILinks ]

6. García M, Rodríguez F, Carmona L Validación de cuestionarios. Reumatol Clínica 2009; 5(4):171-7. https://acortar.link/C0h97mLinks ]

7. Riva N Validación de cuestionarios para la medición de variables en salud: conceptos fundamentales. MEDWAVE 2024; 2:4. [ Links ]

8. elmundodelosdatos Distribución t de Student: Funcionamiento, propiedades y aplicaciones en estadística. El mundo de los datos 2023; . [ Links ]

9. Lalinde J, Castro F, Rodríguez J Sobre el uso adecuado del coeficiente de correlación de Pearson: definición, propiedades y suposiciones. Arch Venez Farmacol Ter 2018; 37(5):578-601. https://acortar.link/xPNLPjLinks ]

10. DeVellis R. Scale development: theory and applications. Fourth edition. Thousand Oaks: SAGE Publications, Inc; 2016. 280 p. (Applied social research methods series). https://acortar.link/yEgRHILinks ]

11. Dunn T, Baguley T, Brunsden V From alpha to omega: a practical solution to the pervasive problem of internal consistency estimation. Br J Psychol Lond Engl 2014; 105(3):399-412. https://acortar.link/cLhv8RLinks ]

12. Zinbarg R, Revelle W, Yovel I, Li W Cronbach’s, α Revelle’s β and McDonald’s ω H: Their relations with each other and two alternative conceptualizations of reliability. Psychometrika 2005; 70(1):123-33. https://acortar.link/XHkvkMLinks ]

13. Manzanal R, Heredia A, Barreiro L, Albero C ¿Qué miden las escalas de actitudes? Análisis de un ejemplo para conocer la actitud hacia los residuos urbanos: Ecosistemas 2003 [ Links ]

14. Domínguez D, Paredes M, Hernández H Actitud hacia la gestión de residuos sólidos domiciliarios en estudiantes de una universidad privada. Rev Inst Investig Fac Minas Met Cienc Geogr 2021; 24(47):63-73. https://acortar.link/6nJLNTLinks ]

15. Chavez M, Valencia N. Aplicación de una guía de educación ambiental sobre residuos sólidos para mejorar la actitud ambiental de los estudiantes del primer grado de primaria de la Institución Educativa ”Pedro Labarthe” de La Victoria Lima - 2012. Universidad César Vallejo 2014; . [ Links ]

16. Unchupaico E Actitud y comportamiento hacia la clasificación y reciclaje de residuos sólidos en estudiantes de ingeniería de una universidad agrícola. Zamorano: Escuela Agrícola Panamericana 2017; . [ Links ]

17. Fernández R, Martínez R, Urquiza D, Gálvez S, Álvarez M Validación de instrumentos como garantía de la credibilidad en las investigaciones científicas. Rev Cuba Med Mil 2019; 4:8. [ Links ]

18. Pizarro R, Eymann A, Rubinstein F, Belziti C, Figari M, Blanco O, et al Validación de un instrumento para la evaluación de la interpretación de los resultados de estudios de investigación en los residentes de un hospital universitario. Educ Med 2011; 14(3):171-9. https://acortar.link/zcvHWwLinks ]

19. Velarde M, Torres-Ramos I Análisis psicométricos de ítems de una prueba diagnóstico sobre estadística descriptiva utilizando el modelo de Rasch. Rev Digit Matemática Educ e Internet 2023; 23(2):1-16. https://acortar.link/f0xqX1Links ]

Recibido: 22 de Julio de 2024; Aprobado: 28 de Agosto de 2024; Publicado: 20 de Septiembre de 2024

Creative Commons License Este es un artículo publicado en acceso abierto bajo una licencia Creative Commons