INTRODUCCIÓN
En la actualidad, el pensamiento crítico se ha convertido en una de las competencias más relevantes dentro del ámbito educativo. Según Facione (2007) esta habilidad implica la capacidad de analizar, evaluar, interpretar y formular juicios bien fundamentados, lo que permite a los estudiantes enfrentar situaciones complejas y tomar decisiones acertadas. En un mundo caracterizado por la sobrecarga de información y los cambios constantes, desarrollar el pensamiento crítico desde las primeras etapas de la formación académica es esencial para preparar a los estudiantes para los desafíos del futuro (Paul y Elder, 2003).
Por lo tanto, el rendimiento académico de los estudiantes en las instituciones educativas está directamente relacionado con su capacidad para pensar de manera crítica. Como han demostrado diversos estudios, aquellos alumnos que desarrollan esta competencia tienen un mejor desempeño en el aprendizaje y logran una mayor comprensión de los contenidos escolares (Halpern, 2006). Sin embargo, en muchas instituciones educativas de América Latina, incluido Perú, el pensamiento crítico no se fomenta adecuadamente, lo que repercute en la calidad de la educación y en la preparación de los estudiantes para enfrentar retos académicos y profesionales en el futuro (Yaguna et al, 2022).
A nivel global, los sistemas educativos han comenzado a reconocer la importancia del pensamiento crítico y han impulsado cambios curriculares que buscan integrarlo en el proceso de enseñanza y aprendizaje. No obstante, en América Latina, muchas instituciones educativas aún dependen de métodos tradicionales que priorizan la memorización sobre la comprensión y el análisis (Bricall, 2000). En el caso de Perú, los informes del Ministerio de Educación (Ministerio de Educación [MINEDU], 2018) indican que una gran cantidad de estudiantes de educación primaria y secundaria tienen dificultades para argumentar, interpretar información y resolver problemas complejos. Esto se debe, en gran parte, a que las estrategias de enseñanza aún no están diseñadas para fortalecer el pensamiento crítico. En consecuencia, la falta de esta competencia afecta el rendimiento académico y limita el potencial de los estudiantes para continuar con éxito sus estudios en niveles superiores.
Además, la ausencia de un enfoque adecuado para desarrollar el pensamiento crítico se manifiesta en varios aspectos. Por un lado, las metodologías de enseñanza utilizadas en las aulas suelen centrarse en la transmisión unidireccional del conocimiento, lo que restringe la participación activa de los estudiantes en el proceso de aprendizaje (Vargas, 2015). Por otro lado, muchos docentes no han recibido una formación específica sobre cómo fomentar el análisis crítico en sus estudiantes, lo que dificulta la implementación de estrategias efectivas (MINEDU, 2018).
Debido a estas deficiencias en la enseñanza del pensamiento crítico, el rendimiento académico de los estudiantes en las instituciones educativas se ve afectado de manera significativa. Según Ossa et al., (2017) cuando los alumnos carecen de la capacidad para analizar e interpretar información, tienden a depender exclusivamente de la memorización, lo que los hace más vulnerables a olvidar rápidamente los contenidos aprendidos. Como resultado, su desempeño en evaluaciones y pruebas estandarizadas es inferior al de aquellos estudiantes que han desarrollado habilidades críticas.
Asimismo, la falta de pensamiento crítico tiene implicaciones más allá del ámbito académico. En el contexto actual, los empleadores buscan personas que sean capaces de analizar información de manera objetiva, resolver problemas y tomar decisiones fundamentadas (Macedo, 2018). Por lo tanto, si las instituciones educativas no priorizan el desarrollo de esta competencia desde edades tempranas, los estudiantes enfrentarán mayores dificultades al ingresar al mercado laboral.
Frente a esta situación, es fundamental que las instituciones educativas adopten estrategias efectivas para fortalecer el pensamiento crítico en sus estudiantes. En primer lugar, es necesario que los docentes sean capacitados en metodologías que promuevan la participación activa de los alumnos y el análisis de la información. Según Lara y Rodríguez (2016) los programas de formación docente deben enfocarse en el uso de herramientas didácticas innovadoras que fomenten el razonamiento crítico. En segundo lugar, la implementación de metodologías activas como el Aprendizaje Basado en Problemas (ABP) ha demostrado ser una estrategia efectiva para desarrollar el pensamiento crítico. Esta metodología coloca a los estudiantes en situaciones donde deben analizar información, formular hipótesis y proponer soluciones, lo que fortalece su capacidad de razonamiento y toma de decisiones (Navarro y Bladón, 2017).
El propósito de este estudio identificar la influencia del pensamiento crítico sobre el rendimiento estudiantil en instituciones educativas. Diversos estudios han demostrado que los estudiantes que desarrollan habilidades de pensamiento crítico logran un desempeño superior en comparación con aquellos que dependen únicamente de la memorización. No obstante, en muchos países de América Latina, incluido Perú, el fomento de esta competencia sigue siendo insuficiente, lo que repercute en los resultados educativos y en la preparación de los alumnos para enfrentar futuros desafíos académicos y profesionales.
El análisis de esta influencia es relevante en un contexto donde los sistemas educativos deben responder a las demandas de una sociedad en constante cambio, donde el acceso a la información es masivo, pero su procesamiento y comprensión crítica son limitados. Al fortalecer el pensamiento crítico desde edades tempranas, no solo se mejora el rendimiento académico de los estudiantes, sino que también se les proporciona herramientas clave para la toma de decisiones fundamentadas y el desarrollo de una mentalidad analítica. Por ello, es fundamental que las instituciones educativas implementen metodologías activas y programas de formación docente orientados a fomentar esta competencia, garantizando así una educación de mayor calidad y alineada con las necesidades del siglo XXI.
MÉTODO
Este estudio, de enfoque cuantitativo y diseño correlacional, tuvo como objetivo determinar la influencia del pensamiento crítico en el rendimiento académico. La población estuvo conformada por 95 estudiantes de 3ro, 4to y 5to grado, distribuidos en 53 varones y 42 mujeres. Se optó por un muestreo no probabilístico por conveniencia, seleccionando a aquellos estudiantes que cumplían con ciertos criterios de selección, tales como estar matriculados en 3ro, 4to o 5to grado, mantener una asistencia regular durante el periodo del estudio y estar presentes en el momento de la aplicación del cuestionario. Finalmente, la muestra quedó compuesta por 77 estudiantes, de los cuales 43 eran varones y 34 mujeres.
Para la obtención de la información, se aplicaron dos instrumentos. En primer lugar, se utilizó un cuestionario estructurado para evaluar el pensamiento crítico, que se componía de cinco dimensiones. Cada dimensión incluía dos ítems, lo que resultaba en un total de diez ítems. Las dimensiones fueron: inferencial, que evaluaba la correcta valoración, inferencia y formulación de conclusiones; de reconocimiento de supuestos, que medía la capacidad para identificar y reconocer premisas implícitas; de deducción, que valoraba la capacidad para confirmar la coherencia de la información; de interpretación, que evaluaba la habilidad para emitir juicios fundamentados a partir de la información; y de evaluación de argumentos, que se centraba en distinguir y clasificar argumentos de manera pertinente. Cada uno de los ítems fue valorado utilizando una escala tipo Likert de 5 puntos, que iba desde “Totalmente en desacuerdo” hasta “Totalmente de acuerdo”.
En segundo lugar, el rendimiento académico de los estudiantes se midió a través de sus calificaciones vigesimales, con una escala que clasificaba los resultados en tres categorías: A (Destacado) para calificaciones entre 17 y 20, B (Proceso) para calificaciones entre 11 y 14, y C (Inicio) para calificaciones entre 0 y 10.
Una vez recolectada la información, se organizó y tabuló en distribuciones de frecuencia. A continuación, se realizó un análisis para determinar las diferencias y relaciones entre las variables de pensamiento crítico y rendimiento académico. Se separaron los datos por género, calculando las medias y desviaciones estándar para hombres y mujeres. Posteriormente, se aplicó un análisis de varianza (ANOVA) para comparar las medias entre ambos grupos. En un segundo paso, los datos fueron agrupados según la experiencia académica de los estudiantes en cinco categorías, basadas en el número de semestres o trimestres cursados (0-4, 5-9, 10-14, 15-19 y más de 20). Se calcularon las medias y desviaciones estándar para cada grupo y se realizó un ANOVA para evaluar las diferencias significativas entre los grupos.
Finalmente, para corroborar la hipótesis sobre la relación entre las dimensiones del pensamiento crítico y el rendimiento académico, se desarrollaron modelos de regresión lineal y se aplicó una prueba de correlación, utilizando la distribución t de Student.
RESULTADOS Y DISCUSIÓN
Para iniciar se buscó de determinar algún patrón de comportamiento, se desarrolló un recuento de casos según categoría a la variable desempeño directivo, el cual se reporta en la Tabla 1. Se observa que, para todos los casos, la categoría modal corresponde a Medio, con valores que van desde 24 (Coordinación - X1) casos hasta 46 casos (Seguimiento - X4). Para las dimensiones Coordinación (X1) e Intervención (X2), la categoría con menos casos reportados es Muy Alto, con 8 y 3 casos, respectivamente; mientras que para Acompañamiento (X3), Seguimiento (X4) y Desempeño Directivo (X), la categoría menos frecuente es Muy Bajo, con 1 caso cada uno.
Por otro lado, el recuento de casos para la variable Práctica Reflexiva y sus dimensiones se muestra en la Tabla 2. Para todos los casos, la categoría Medio reporta la mayor cantidad de casos, con frecuencias que oscilan entre 55 (Elemento Reflexivo - Y3) y 59 (Práctica Reflexiva - Y); mientras que la categoría Bajo reporta la menor cantidad de casos, con frecuencias que van desde 4 (Elemento Cognitivo - Y1) hasta 7 (Elemento Reflexivo - Y3).
Para verificar si existen diferencias entre hombres y mujeres con respecto a los factores analizados, se desarrolla un análisis de varianza, cuyos resultados se muestran en la Tabla 3. Pude observarse que, para el caso de la variable Desempeño Directivo, sí existe una diferencia significativa (p<0.05) entre hombres y mujeres, mientras que para la variable Práctica Reflexiva, la prueba no fue capaz de detectar una diferencia significativa entre hombres y mujeres.
Para determinar si el tiempo de experiencia es capaz de condicionar los valores de las variables de estudio, se desarrolla un análisis de varianza, cuyos resultados se reportan en la Tabla 4. Para el desempeño directivo, se observa que la mayor de las medias corresponde al grupo con una experiencia menor a 5 años, con un valor de 3.0975, mientras que el menor valor pertenece al grupo con experiencia entre 15 y 19 años, con un valor de 2.6599; mientras que para el caso de la variable Práctica Reflexiva, el mayor promedio es el del grupo con más de 20 años de experiencia, con un valor de 3.2617, mientras que el grupo con el menor puntaje medio es el de 10 a 14 años de experiencia, con un valor de 3.0106. Para ambas variables, el análisis de varianza demuestra que no existe una diferencia significativa (p>0.05) entre los distintos grupos, sin embargo, se observa un ligero decaimiento del puntaje a medida que pasa el tiempo.
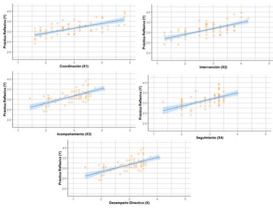
Para verificar el efecto del desempeño directivo y sus dimensiones en la práctica reflexiva de los docentes, se desarrollaron modelos de regresión lineal, para posteriormente determinar su significancia a través de una prueba de hipótesis; los parámetros del modelo y los resultados de las pruebas se reportan en la Figura 1. Se observa que, en todos los casos, tanto la pendiente como el coeficiente de correlación son positivos, lo que permite suponer que la relación entre los factores analizados es positiva, es decir, a medida que la variable independiente incrementa o disminuye de valor, la variable dependiente responde moviéndose en la misma dirección. Verificando los resultados de la prueba de correlación, se observa que, para los 5 modelos desarrollados, p<0.001, lo cual permite afirmar que:
El nivel de coordinación (X1) por parte del personal directivo influye de manera significativa (p<0.001) en la práctica reflexiva docente (Y); es decir, en la medida que los directivos logren ponerse de acuerdo con el docente en aspectos tales como el enfoque o estrategia a utilizar en los cursos, así como los recursos a utilizar en la sesión (esto incluye el medio o plataforma a utilizar para el desarrollo de la experiencia de aprendizaje), existen más posibilidades de lograr los objetivos previamente planificados.
El nivel de intervención (X2) por parte del personal directivo ejerce una influencia significativa (p<0.001) en la práctica reflexiva docente (Y); es decir, en la medida que el personal directivo ejecute acciones de supervisión activa del trabajo docente, es decir, se verifique que se implemente lo planificado previamente y se brinde retroalimentación del desempeño, será posible orientar ejemplos de reflexión en el ejercicio de la función docente.
El nivel de acompañamiento (X3) realizado por el personal directivo ejerce una influencia significativa (p<0.001) en la práctica reflexiva docente (Y); en base a este hallazgo puede afirmarse entonces que en la medida que el directivo brinde de manera efectiva asesoría pedagógica al docente, el docente será capaz de identificar sus fortalezas a la vez que trabaja sobre sus debilidades para de esta manera mejorar su desempeño en el ejercicio de la función docente.
Discusión
Los hallazgos de la presente investigación evidencian que el desempeño directivo incide positivamente en la práctica reflexiva docente, lo que coincide con lo señalado por Toledo (2020), quien destaca la relevancia de un liderazgo colaborativo capaz de fusionarse con la función docente para mejorar los procesos de enseñanza. Este resultado se alinea también con las conclusiones de Incio y Capuñay (2020), quienes reportan una fuerte relación entre el estilo de liderazgo del director y el desempeño laboral del docente, sugiriendo que un liderazgo democrático, respetuoso y participativo fomenta un ambiente de trabajo propicio para la reflexión y la mejora continua.
En cuanto a la práctica reflexiva, los resultados obtenidos muestran que la mayoría de los docentes se ubican en un nivel medio, lo que coincide con los hallazgos de Cabanillas y Pereda (2021), quienes resaltan la necesidad de profundizar en la reflexión pedagógica para formar educadores innovadores y competentes. Esta postura también se alinea con los planteamientos de Medina y Mollo (2021) y Domingo (2021), quienes enfatizan la importancia de construir un docente ético y crítico, capaz de revisar permanentemente su práctica y de integrar fundamentos neurocientíficos y cognitivos. Los resultados de la investigación de Anijovich y Capeletti (2018), que describen cómo la reflexión contribuye a una enseñanza más autónoma, también se reflejan en los hallazgos de este estudio, pues subrayan la necesidad de un acompañamiento directivo continuo para articular teoría y práctica de forma efectiva.
Por otro lado, aunque los datos de este estudio revelan una diferencia estadísticamente significativa en el desempeño directivo según el sexo de los participantes, no se encontró un efecto similar en la práctica reflexiva ni se observaron diferencias notables por tiempo de experiencia. Este resultado difiere en parte de la visión de algunos autores que resaltan la influencia de la experiencia docente en la calidad de la práctica pedagógica. Sin embargo, se alinea con lo planteado por Condor y Remache (2020), quienes subrayan que, más allá de la experiencia, la supervisión y orientación efectiva por parte del personal directivo resulta crucial para mejorar la calidad educativa. La ausencia de diferencias por tiempo de experiencia sugiere que la formación y el acompañamiento continuo podrían ser factores que compensen o nivelen la influencia de la trayectoria docente.
CONCLUSIONES
El estudio confirma que el pensamiento crítico influye de manera positiva en el rendimiento académico. Se observó que, en el ámbito del desempeño directivo, la mayoría de los casos se ubican en un nivel intermedio, lo que sugiere una distribución equilibrada de las prácticas de liderazgo. De forma similar, en cuanto a la práctica reflexiva, se identificó que los docentes presentan mayoritariamente un nivel intermedio de reflexión pedagógica.
El análisis por género evidenció que existen diferencias en el desempeño directivo entre hombres y mujeres, lo que indica que el estilo de liderazgo podría variar según el género y, en consecuencia, influir indirectamente en la práctica reflexiva y en el rendimiento académico. No obstante, la práctica reflexiva mostró niveles similares entre ambos grupos.
En relación al tiempo de experiencia, se agruparon a los docentes en diferentes categorías. Aunque se detectaron algunas variaciones en los niveles de desempeño directivo y práctica reflexiva entre los distintos grupos, estas diferencias no fueron concluyentes, mostrando solo una tendencia leve conforme aumenta la experiencia.
Finalmente, los modelos de regresión lineal confirmaron que las dimensiones del desempeño directivo, tales como la coordinación, la intervención y el acompañamiento, tienen una influencia positiva sobre la práctica reflexiva. Esto respalda la idea de que un liderazgo directivo que fomente el pensamiento crítico y la reflexión pedagógica contribuye a mejorar el rendimiento académico.
CONFLICTO DE INTERESES. La autora declara que no existe conflicto de intereses para la publicación del presente artículo científico.



















