INTRODUCCIÓN
El estudio de la conducta ambiental en alumnos de unidades educativas es esencial para comprender cómo los jóvenes interactúan con su entorno y desarrollan hábitos sostenibles. En la región de Coquimbo, Chile, la preocupación por los problemas ambientales ha crecido notablemente. Según el Ministerio del Medio Ambiente de Chile, más del 70% de los residuos generados en esta región no se gestionan adecuadamente, lo que contribuye a la contaminación del suelo y del agua. Además, estudios recientes revelan que solo el 35% de los estudiantes de educación primaria y secundaria en Coquimbo poseen un conocimiento adecuado sobre prácticas sostenibles y la importancia del reciclaje (Ministerio del Medio Ambiente, 2022). Esta situación subraya la necesidad de investigar las variables que influyen en las conductas ambientales de los estudiantes.
Es por ello por lo que la conducta ambiental se refiere a las acciones y comportamientos que los individuos adoptan para proteger y preservar el medio ambiente. Esta conducta puede estar influenciada por diversos factores, incluyendo el conocimiento y la conciencia ambiental, las actitudes hacia el medio ambiente, la percepción de la responsabilidad personal, así como las influencias sociales y culturales. En el contexto educativo, las unidades educativas desempeñan un papel crucial en la formación de estas conductas. Los programas educativos y las iniciativas escolares pueden proporcionar a los estudiantes las herramientas y el conocimiento necesarios para desarrollar comportamientos proambientales. No obstante, es necesario comprender qué variables son más influyentes para diseñar estrategias educativas efectivas (Cortes et al., 2017).
La educación para el desarrollo sostenible (EDS) se ha convertido en una prioridad global para enfrentar los desafíos ambientales actuales. En este sentido, las universidades tienen un papel fundamental al integrar la EDS en sus programas de formación. Un análisis detallado de los planes de estudio en universidades españolas revela cómo se abordan los temas de sostenibilidad y qué áreas requieren mayor atención para preparar educadores capaces de promover prácticas sostenibles (Sánchez-Carracedo, Ramón y Tarrats-Pons, 2019).
Dentro de la educación en sostenibilidad tiene el potencial de transformar el comportamiento ambiental de los estudiantes universitarios. Investigaciones en Alemania han demostrado que la integración de programas educativos específicos puede influir significativamente en las acciones sostenibles de los estudiantes, proporcionando una base sólida para el desarrollo de currículos que fomenten comportamientos proambientales de manera efectiva (Klein y Holler, 2022). En Turquía, Ozkan y Solmaz (2021) destacan la importancia de la educación ambiental en la formación de la conciencia y el comportamiento ambiental entre los estudiantes universitarios, evaluando cómo los programas educativos impactan en las percepciones y acciones de los estudiantes y ofreciendo recomendaciones para mejorar la integración de la educación ambiental en el sistema universitario.
La percepción de los estudiantes sobre la sostenibilidad y el cambio climático es crucial para el desarrollo de estrategias educativas y políticas ambientales. Un estudio multinacional examina cómo los estudiantes universitarios en 23 países perciben estos temas, revelando diferencias regionales significativas en el conocimiento y las actitudes hacia la sostenibilidad. Estos hallazgos pueden ayudar a diseñar programas educativos más efectivos y uniformes que respondan a las necesidades y preocupaciones globales (Leal et al., 2019).
La alfabetización ambiental es fundamental para preparar a los futuros docentes que educarán a las próximas generaciones sobre la sostenibilidad. Un estudio en Israel examina la alfabetización ambiental entre futuros maestros, centrándose en sus actitudes, conocimientos y comportamientos ambientales. Este análisis busca identificar las fortalezas y áreas de mejora en la formación docente, con el fin de potenciar la educación ambiental y fomentar comportamientos proambientales entre los educadores (Peter et al., 2020)
Otro fenómeno emergente es la eco-ansiedad, el estrés relacionado con las preocupaciones ambientales, que afecta la salud mental de los estudiantes. Un artículo investiga el impacto de la eco-ansiedad en la salud mental universitaria y examina cómo la educación sobre el cambio climático puede influir en esta relación, ofreciendo estrategias educativas que aborden tanto la información sobre el cambio climático como el manejo de la ansiedad asociada (Berger y Reupert, 2020).
En Malasia, Khairi et al. (2021) destacan que el conocimiento y las actitudes ambientales son determinantes clave de los comportamientos proambientales. Su estudio explora la relación entre el conocimiento, las actitudes y los comportamientos ambientales de los estudiantes universitarios, proporcionando una base para desarrollar programas educativos más efectivos que promuevan la sostenibilidad en el contexto malasio.
Las normas sociales también juegan un papel fundamental en la adopción de comportamientos proambientales. Un análisis detallado muestra cómo las percepciones de las expectativas sociales y los comportamientos observados impactan en las decisiones individuales de actuar de manera sostenible, ofreciendo insights para diseñar intervenciones que aprovechen las normas sociales para promover la sostenibilidad (Hannan y Singleton, 2022). Aunque existe legislación ambiental específica que clasifica ciertas acciones como anti ambientales, aún no se ha definido una definición general de comportamiento antiecológico. El comportamiento proambiental se define generalmente como un conjunto de acciones deliberadas y anticipadas que resultan en la protección del medio ambiente o, al menos, en la minimización de su deterioro. El componente conductual es uno de los elementos más directamente medibles y útiles para evaluar una actitud (Camacho Rodríguez y Jaimes Carvajal, 2016).
La educación ambiental, como destaca Almanza (2021), es fundamental para el aprendizaje y la mejora en la formación ambiental, utilizando métodos pedagógicos que fomentan la conciencia sobre la protección ambiental. La creciente crisis ambiental global resalta la urgencia de intensificar los esfuerzos en educación ambiental para asegurar un desarrollo sostenible en las generaciones futuras. Comprender los factores que han originado los problemas ambientales y la dinámica del entorno, que incluye el impacto de la población y la comunidad, es crucial para abordar estos desafíos (Simões et al., 2020).
La teoría de la educación para el desarrollo sostenible promueve la integración de valores, habilidades y conocimientos necesarios para fomentar la sostenibilidad, basándose en las directrices de la UNESCO (Sánchez-Carracedo et al., 2019). La implementación de estrategias de economía circular, que abarcan la reutilización, el reciclaje y la reducción de residuos, es fundamental para la sostenibilidad ambiental (de Andrade Guerra, 2020).
La literatura revisada sugiere que la cultura ambiental está estrechamente relacionada con el comportamiento y la conducta, aunque a menudo no se hace una distinción clara entre estos conceptos. El comportamiento se define como las acciones derivadas de estímulos externos y motivaciones internas, adquiridas a través de experiencias y convertidas en hábitos (Valencia-Ordóñez et al., 2021). Las variaciones en el comportamiento ambiental entre los estudiantes universitarios pueden explicarse en parte por factores sociodemográficos, lo que indica la necesidad de enfoques personalizados en la educación ambiental (Vicente-Molina et al., 2018).
Este artículo tuvo como objetivo analizar el estado de los artículos científicos originales sobre comportamiento ambiental de los estudiantes universitarios entre el 2019 a junio de 2024 en las bases de datos Scopus, Wos, Scielo, MDPI, SpringerLink, y Wiley Online Library
METODOLOGÍA
En función del estudio el comportamiento ambiental en estudiantes del nivel superior, se ha realizado una revisión sistemática de investigaciones primarias, siguiendo las sugerencias de la declaración PRISMA respecto a los criterios de elegibilidad, fuentes de información, estrategias de búsqueda y el diagrama de flujo (Grant y Booth, 2009; Moher et al., 2009). Asimismo, Céspedes y Vallejos (2021) indican que para la localización de los documentos bibliográficos se utilizan fuentes documentales, las cuales serán de utilidad para el análisis sistemático de la literatura, basado en el modelo PRISMA, que comprende cuatro etapas del proceso de depuración de las referencias en la base de datos.
Se incluyeron artículos científicos sobre el comportamiento ambiental publicados en el contexto universitario en el periodo 2019 a junio de 2024, artículos publicado en idioma inglés, español y portugués en bases de datos Scopus, Wos, Scielo, MDPI, SpringerLink, Wiley Online Library. Se excluyeron documentos como revisiones, conferencias, capítulos de libros o cartas al editor, estudios documentales, revisiones sistemáticas, libros, conferencias y documentos no disponibles.
Para identificar la literatura relevante, se emplearon estrategias de búsqueda en varias bases de datos científicas, incluyendo Scopus, Sciencedirect, Google Scholar, SpringerLink, Emerald y Wos. La búsqueda se realizó entre 2019 a junio de 2024. Las palabras clave utilizadas incluyeron términos como "comportamiento ambiental”, “estudiantes universitarios", "conducta ambiental", "educación superior" y "sostenibilidad". Se aplicaron operadores booleanos como AND y OR para combinar estos términos y optimizar los resultados. También se tuvieron en cuenta los criterios de inclusión y exclusión para asegurar que los artículos seleccionados cumplían con los requisitos específicos de la revisión, asimismo las cadenas de búsqueda que emplearon fueron las siguientes:
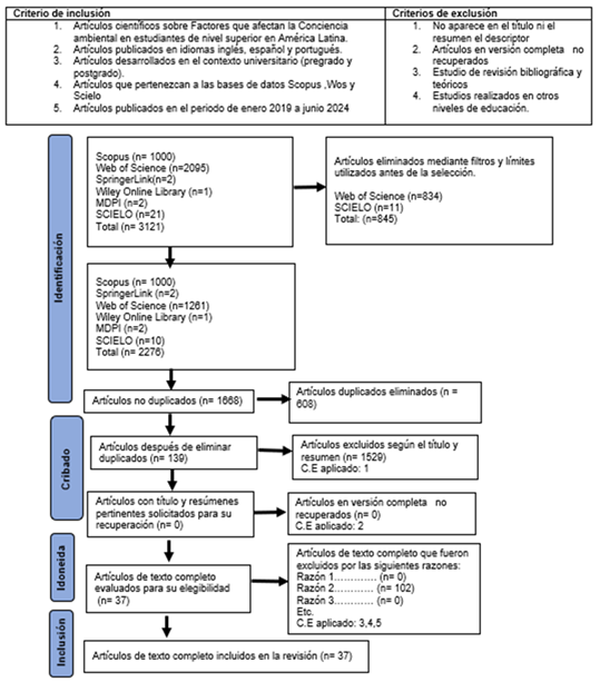
En la Figura 1, se muestra el flujograma PRISMA, donde se establecen cuatro procesos, identificación, cribado, Idoneidad e inclusión. Fase 1. Identificación: se encontraron 3121 artículos y se utilizaron las bases de datos como Scopus, Web of Science, SpringerLink, Wiley Online Library, MDPI y SCIELO. Después de la eliminación con filtros y límites anteriormente aplicables, quedaron 2276 artículos. Fase 2. Cribado: el subconjunto de duplicados se eliminó, resultando en una cantidad de 2024 artículos no duplicados. Luego, después de leer títulos y resúmenes, se aplicó un criterio de exclusión a un total de 1529 artículos, lo que resultó en 139 artículos. En la fase de Idoneidad, no fue necesario recuperar artículos adicionales, y se evaluaron 37 artículos en texto completo, donde algunos fueron excluidos por razones específicas (aunque se detalla que 102 fueron excluidos por la razón 2 y otros por criterios aplicados 3, 4 y 5). Finalmente, en la fase de Inclusión, se incorporaron 37 artículos de texto completo en la revisión sistemática. Este proceso garantiza la rigurosidad en la selección, aplicando criterios definidos para incluir únicamente estudios relevantes.
Extracción y Clasificación de Estudios Relevantes
Una vez seleccionados los artículos, se procedió a la extracción y clasificación de la información relevante. Los datos se organizaron en una hoja de cálculo de Excel para facilitar su revisión. Se incluyeron detalles tales como: la base de datos de origen (Scopus, SpringerLink, Wiley Online Library, MDPI, scielo y Wos), los autores, el año de publicación, el título de la revista, el país de estudio, el enfoque y diseño metodológico, los instrumentos utilizados, los resultados clave, y el DOI/URL. Esta organización permitió un análisis sistemático y detallado de los factores que influyen en el comportamiento ambiental de los estudiantes de educación superior.
DESARROLLO Y DISCUSIÓN
Dentro del siguiente apartado se muestran los resultados de la investigación en base a la búsqueda de información.
Como se muestra en la figura 2, para realizar esta revisión, se recopilaron 37 artículos publicados en diversas bases de datos académicas a lo largo de varios años. La distribución de estos artículos según el año de publicación y la base de datos en la que fueron indexados se detalla a continuación. En 2019, se identificaron cuatro artículos, uno en Scielo, uno en Scopus, uno en Wos, Scielo y uno en SpringerLink, una base de datos conocida por su amplia cobertura en ciencias y tecnología.
El año 2020 tuvo ocho artículos, cinco en Scopus, dos en Wos y otro en Wiley Online Library, otra plataforma prominente en el ámbito académico. Este año marcó un aumento en la cantidad de publicaciones, señalando un mayor interés y producción científica. En 2021, hubo un incremento notable con diez artículos publicados en Scielo, Scopus y Wos. Esta variedad indica una diversificación en las fuentes utilizadas para la indexación de artículos, reflejando la amplitud y profundidad de la investigación académica. El año 2022 continuó con cuatro publicaciones en Scopus y Wos, confirmando la persistencia de estas bases de datos como fuentes esenciales de información académica.
En el 2023, se registró el mayor número de publicaciones con siete artículos en MDPI, Scopus, SpringerLink, y Wos. Este aumento refleja un interés continuo y creciente en la investigación académica y la relevancia de múltiples plataformas para su diseminación. Finalmente, en 2024, se identificaron cinco artículos publicados en MDPI, Scopus y Wos, consolidando la tendencia de uso de estas bases de datos.
En resumen, la recopilación de estos 37 artículos a lo largo de los años muestra una tendencia creciente en el interés por la investigación académica, con una diversificación en las bases de datos utilizadas. Scopus, SpringerLink, Wiley Online Library, MDPI, Scielo y Wos se destacan como fuentes esenciales para la indexación y diseminación del conocimiento científico como observa en la Figura 2.
En la Tabla 1, se muestran claramente de los 37 estudios analizados un predominio del enfoque cuantitativo, representando el 97% del total con 36 investigaciones, mientras que solo 3% 1 estudio empleo una metodología mixta. El diseño más utilizado fue el transversal, con 23 estudios, seguido por el descriptivo con 6 estudios, correlacional transversal con 4, experimental con 3 investigaciones y estudio comparativo 1. Es notable que 36 de los estudios utilizaron el cuestionario como único instrumento de recolección de datos y 1 estudio el instrumento junto con el diario en la recolección de datos. En cuanto a la distribución geográfica, Asia domina la producción científica con 22 estudios, siendo China el país más representado con 9 investigaciones, seguido por Taiwán/Tailandia, India e Indonesia con 3 estudios cada uno, y otros países asiáticos que suman 4 estudios adicionales. En América Latina se encontró 7 estudios, destacando Colombia con 3 investigaciones, Perú con 2, y México y Nicaragua con 1 cada uno. Europa contribuye con 5 estudios, África con 3 y Oceanía con 1.
En la Tabla 2 de resultados, se observa que la sostenibilidad universitaria tiene un impacto significativo en el comportamiento ambiental de los estudiantes. La implementación de prácticas y valores sostenibles en las universidades promueve actitudes proambientales y comportamientos responsables entre los estudiantes.
La educación, tanto formal como informal, desempeña un papel crucial en la formación de comportamientos proambientales. Los estudios revelan que la integración de la educación ambiental en el currículo universitario y la oferta de cursos especializados son fundamentales para fomentar prácticas sostenibles entre los estudiantes. Además, las actitudes hacia los productos de economía circular y la motivación intrínseca también influyen en las decisiones de compra y en la participación en actividades de reciclaje.
La infraestructura y las políticas universitarias tienen un impacto considerable en el comportamiento ambiental. Las universidades con instalaciones y políticas que respaldan la sostenibilidad tienden a tener estudiantes más comprometidos con prácticas ambientales responsables. La participación de toda la comunidad universitaria, incluidos estudiantes y profesores, es esencial para lograr una sostenibilidad institucional efectiva.
Las diferencias en el contexto socioeconómico y las características sociodemográficas entre estudiantes de diferentes países y regiones también afectan los comportamientos proambientales. La educación ambiental en etapas tempranas y la adaptación de las estrategias educativas a contextos locales pueden mejorar la disposición de los estudiantes a adoptar prácticas sostenibles.
Por otro lado, la formación continua del personal académico y la alineación de las actitudes docentes con los principios de sostenibilidad son claves para ofrecer una educación efectiva en desarrollo sostenible. Las barreras en el lugar de trabajo y los incentivos económicos también juegan un papel importante, pero deben complementarse con estímulos sociales y psicológicos para lograr cambios duraderos. En resumen, los estudios muestran que una combinación de educación adecuada, políticas institucionales favorables, y un enfoque integral que considere las características socioculturales y económicas es esencial para promover comportamientos proambientales y alcanzar la sostenibilidad en el ámbito universitario
En la Tabla 3, se muestra las 5 dimensiones con sus respectivas variables encontradas en los artículos, agrupados según criterios propios. Dentro de la dimensión “comportamental”, los autores han encontrado diferentes variables (n=12) 5,8,9,11,15,22,25,26,28,31,32 y 34. El conocimiento ambiental es la variable principal; también, tenemos: Conciencia sobre la Biodiversidad, Actitudes hacia la Sostenibilidad, Percepciones del Riesgo Ambiental, Interés por la Educación Ambiental, Autoeficacia Ambiental. Respecto a la dimensión “cognitiva y actitudinal” los autores han encontrado diferentes variables (n=8) 2,3,7,14,17,18,19 y 36. La fuente de rendimiento proambientales es la variable principal; también mencionan otras: Hábitos de Consumo, Prácticas de Reciclaje, Uso de Transporte Sostenible, Participación en Actividades Ambientales.
También se considera la presencia de la dimensión “demográfica y temporal”, los artículos que hacen referencia (n=6) 10,12,27,29,30 y 33. Mencionan que la variable principal es la edad, también se encuentran otras variables como: Edad, Género, Nivel de Educación, Ingreso, Ubicación Geográfica, Cambio Temporal de Actitudes Normas Sociales, Redes Sociales y Comunicación, Contexto Cultural, Apoyo Comunitario, Factores Económicos y Políticos. La dimensión social y contextual, los ID mencionados por los autores son (n=6): 1,13,16,24 y 37. Por otro lado, también se toma en cuenta el factor “emocional y moral”, (n=5) 4,6,20,21,23 y 35 se presentan algunas variables como Empatía hacia la Naturaleza es, Valores Éticos y Morales, Sentimientos de Culpa o Vergüenza Ambiental, Miedo al Cambio Climático, Orgullo Ambiental.
La discusión presentada se centra en contrastar y comparar los resultados de la revisión con los hallazgos de otras investigaciones sobre el comportamiento ambiental en estudiantes universitarios.
En cuanto a la frecuencia de publicaciones, podemos evidenciar un incremento sustancial en la cantidad de estudios relacionados con el comportamiento ambiental de los estudiantes universitarios. Por ejemplo, el análisis de las publicaciones de Reddy et al. (2020) y Chaudhary (2020) muestra una intensificación del interés académico hacia los comportamientos ambientales en contextos educativos. Este fenómeno se refleja también en investigaciones más recientes, como las realizadas por Chao et al. (2023) y Chang-Ho Yang et al. (2024), que confirman la continuidad y expansión en el enfoque hacia este tema en la literatura científica.
Además, evidenciamos que los estudios indican que existen factores que tienen dominio clave en el comportamiento ambiental de los estudiantes universitarios. Por un lado, Cuifang y Rui (2019) subrayaron la importancia de las percepciones de sostenibilidad, que son moldeadas por las prácticas educativas y políticas institucionales. Ellos encontraron que una percepción positiva hacia las iniciativas ambientales promovidas por las universidades está estrechamente asociada con un comportamiento proactivo en materia de sostenibilidad. Por otro lado, Liu et al. (2019) aportaron evidencia adicional, mostrando que las percepciones favorables hacia las prácticas institucionales ambientales están vinculadas a una mayor adopción de comportamientos sostenibles entre los estudiantes.
La revisión de la literatura revela un notable aumento en la investigación sobre el comportamiento ambiental en estudiantes universitarios del 2019 al 2024. Los estudios destacan la importancia de las políticas universitarias de sostenibilidad, la sumatoria de silabo que permita dicha sostenibilidad educativa la influencia de las percepciones generadas por las prácticas y políticas institucionales. Estos hallazgos subrayan la necesidad de un enfoque integral que combine políticas institucionales efectivas y enfoques pedagógicos bien estructurados para fomentar un comportamiento ambiental positivo entre los estudiantes de educación superior.
CONCLUSIÓN
Se encontraron resultados a partir de la revisión de los 37 artículos que forman parte del presente estudio, donde se muestra el panorama integral sobre el comportamiento de los universitarios en base al comportamiento ambiental y la sostenibilidad.
La educación ambiental surge como un aspecto vital para incentivar a las personas de ser y hacer proambiental, por otro lado, blogs que se refieren a la integración de la sostenibilidad en los planes de estudio en la educación terciaria y la creación de herramientas educativas especializadas. Además, la infraestructura y las políticas institucionales que fomentan la sostenibilidad también influyen en la población universitaria, al estimular a los estudiantes y educadores para que sean proactivos.
A nivel mundial, importantes diferencias en comportamientos proambientales fueron identificadas y asociadas a factores sociodemográficos y contextuales. Así, la región Asia fue la principal en producción científica sobre esta temática, con un interés permanente en el conocimiento acerca del ambiente, consumo y el proceso de reciclaje. Por su parte, también, la región América Latina demostró importantes aportes en la educación y toma de conciencia del ambiente.
Las universidades que implementan políticas y prácticas de sostenibilidad efectivas tienden a tener estudiantes más comprometidos con la protección ambiental. Esto sugiere que las políticas institucionales no solo establecen normas, sino que también moldean el pensamiento y la relevancia que los estudiantes otorgan a los comportamientos sostenibles.
Otro elemento clave es considerar o integrar conceptos sostenibles en la malla curricular, pues la educación ambiental es esencial e indispensable para alcanzar grandes cambios desde la parte académica superior. De esta manera los caminos serán robustos, sostenibles para ese mañana que todos soñamos.
Es importante las percepciones individuales de los estudiantes sobre la sostenibilidad, en parte moldeadas por las políticas institucionales y el currículo, influyen de manera importante en su disposición a participar en prácticas ambientales. Las universidades que fomentan una cultura de sostenibilidad y demuestran un compromiso real con la protección del medio ambiente son más propensas a influir positivamente en las actitudes y comportamientos de sus estudiantes.
Para promover un comportamiento ambiental positivo entre los estudiantes universitarios, es fundamental que las instituciones educativas adopten un enfoque integral que combine políticas de sostenibilidad robustas, un currículo inclusivo y el desarrollo de una cultura institucional que valore y apoye la sostenibilidad. Al integrar estos elementos de manera coherente, las universidades pueden impulsar prácticas ambientales responsables y contribuir al desarrollo de una generación más consciente y comprometida con la protección del medio ambiente.



















