INTRODUCCIÓN
La vida universitaria, está marcada por responsabilidades, desafíos y demandas constantes, nunca ha sido fácil para quienes la eligen, y se ha convertido en un entorno propicio para el desarrollo de problemas psicológicos y emocionales (Cuamba y Zazueta, 2020). Asimismo, este contexto puede afectar gravemente a los estudiantes, especialmente si carecen de los recursos personales necesarios para enfrentar situaciones adversas. Los estudiantes universitarios son considerados una población vulnerable al desarrollo de trastornos mentales como la ansiedad, la depresión y el estrés (Zapata-Ospina et al., 2021). Actualmente, la ansiedad se encuentra entre los trastornos mentales más prevalentes a nivel global (Organización Panamericana de la Salud [OPS], 2022), y los universitarios no están exentos de padecerla debido a las tareas y desafíos específicos de esta etapa de la vida. Además, su adaptación se ha visto dificultada por el cambio en la modalidad de estudio impuesto por la pandemia (Chávez, 2021).
En este contexto universitario, la ansiedad se define como un mecanismo adaptativo, una reacción emocional frente a la percepción de un peligro o amenaza potencial, que alerta al individuo para activar una respuesta defensiva. No obstante, en situaciones de extrema incertidumbre y demanda, la capacidad para enfrentar estos desafíos se ve comprometida, lo que puede llevar a niveles elevados de ansiedad. Esta ansiedad, cuando se vuelve disfuncional, interfiere con el funcionamiento óptimo del individuo (Torrents et al.,2013). Por lo tanto, el problema no radica en la presencia de ansiedad per se, sino en que esta se torne desadaptativa hasta el punto de afectar negativamente el bienestar psicológico.
Además, el Bienestar Psicológico se considera un elemento crucial para enfrentar situaciones adversas, ya que ayuda a prevenir el surgimiento o agravamiento de enfermedades mentales y facilita la gestión de las emociones. Promover el Bienestar Psicológico, por tanto, es beneficioso tanto para la salud del individuo como para su calidad de vida (Ozamiz-Etxebarria et al., 2020). Este constructo se define como un enfoque en el desarrollo personal, la autorrealización y la forma en que se enfrentan los desafíos y eventos de la vida, así como el esfuerzo realizado para alcanzar metas (Ryff y Keyes, 1995). Se considera una experiencia personal que se construye a lo largo de la vida (Sandoval et al., 2017).
Por otro lado, a nivel mundial, la ansiedad ha experimentado un incremento notable, según la Organización Mundial de la Salud ([OMS], 2016). Los informes señalan un aumento de más del 50% en los últimos 25 años, con una cifra que ha pasado de 416 millones a 615 millones de personas afectadas. En la actualidad, se estima que más del 10% de la población mundial padece este trastorno, lo que puede tener un impacto significativo en el bienestar general. En Ecuador, Moreta y Barrera (2017) subrayan que evaluar el bienestar psicológico puede ser clave para predecir una mejor adaptación social. Según su investigación, los estudiantes universitarios con niveles más bajos de bienestar psicológico tienden a enfrentar situaciones adversas, presentan niveles elevados de ansiedad y exhiben conductas hostiles.
De igual forma, en nuestro contexto nacional, específicamente en Perú, el Programa Aurora del Ministerio de la Mujer y Poblaciones Vulnerables (2020) reportó que del 17 de marzo al 30 de septiembre de 2020 se atendieron 11,508 casos de violencia contra jóvenes y adultos. De estos casos, 11,056 (96.1%) involucraron a mujeres y 452 (3.9%) a hombres, siendo la violencia física la más prevalente con 8,418 casos. Según Rosa-Rojas et al., (2017), se ha identificado una evidente presencia de ansiedad, estrés académico y conductas hostiles en estudiantes universitarios de psicología, medicina y derecho. Además, Matalinares et al., (2016) reportaron que factores como el ambiente, el estrés y la ansiedad percibidos por un número considerable de universitarios en Perú les impiden sentirse satisfechos y realizados a nivel material, subjetivo, laboral, académico y de pareja, con un bajo nivel de bienestar psicológico en el 11.8% de los casos.
Desde una perspectiva local, se ha observado que los adolescentes y jóvenes adultos universitarios de la provincia de Chincha, ubicada en la región de Ica al sur de Lima, Perú, enfrentan diversas formas de comportamientos agresivos, los cuales se manifiestan con mayor intensidad en el entorno universitario. Esta problemática es frecuente y suele expresarse mediante agresiones verbales y físicas, hostigamiento hacia compañeros, ofensas, comentarios inapropiados y desprecios, entre otras formas de agresión. Además, se ha detectado un incremento en los niveles de ansiedad y estrés entre estos estudiantes. Estos problemas pueden estar asociados a la carga académica, incluyendo trabajos individuales y grupales, exposiciones continuas, intervenciones orales, exámenes escritos y competencias académicas, así como a la falta de sueño derivada del cumplimiento de estas exigencias universitarias. Todo esto contribuye a una disminución general del bienestar psicológico de los estudiantes universitarios en Chincha.
Por lo tanto, este estudio se justifica teóricamente debido a su contribución al entendimiento de la relación entre la ansiedad y el bienestar psicológico en el contexto universitario. Aunque existen investigaciones previas sobre esta temática, es necesario profundizar en el análisis de los factores específicos que afectan a los estudiantes en entornos locales, especialmente aquellos que enfrentan retos particulares derivados de su contexto académico y social. Además, desde una perspectiva práctica, la investigación recopila datos relevantes que permitirán a las autoridades universitarias implementar programas de intervención orientados a reducir la ansiedad y mejorar el bienestar psicológico de los estudiantes. Socialmente, los resultados beneficiarán a la comunidad universitaria al proporcionar una base para medidas preventivas que contrarresten el incremento de la ansiedad y la disminución del bienestar. En este contexto, el objetivo del estudio es determinar la influencia de la ansiedad en el bienestar psicológico de los estudiantes de una universidad privada ubicada en la provincia de Chincha, en la región de Ica, Perú, específicamente de los alumnos del I al VI ciclo de la carrera de Psicología, en el año 2024.
MÉTODO
La investigación siguió un enfoque cuantitativo de tipo correlacional. La población estuvo compuesta por 93 estudiantes de la carrera de Psicología, del I al VI ciclo, en una universidad privada de Chincha. Para determinar el tamaño de la muestra, se utilizó un cálculo para población finita con un nivel de confianza del 95 %, resultando en una muestra representativa de 77 estudiantes. Este procedimiento garantizó la precisión y representatividad de los datos respecto a la población total.
Para evaluar la variable ansiedad, se utilizó la Escala de Ansiedad de Hamilton, que consta de 14 ítems distribuidos en dos dimensiones: ansiedad psíquica y ansiedad física. Cada ítem mide una manifestación específica de la ansiedad y su intensidad se calificó mediante una escala tipo Likert de 0 (ausente) a 4 (muy grave o incapacitante). Los puntajes obtenidos en las dimensiones y el total de la escala permitieron asignar categorías descriptivas de ansiedad (Tablas 1 y 2).
En cuanto al bienestar psicológico, se aplicó la Escala de Bienestar Psicológico de Ryff en su versión de 39 ítems, diseñada para evaluar seis dimensiones: autoaceptación, relaciones positivas con otros, autonomía, dominio del entorno, propósito en la vida y crecimiento personal. Los participantes respondieron mediante una escala Likert de 6 puntos, desde "totalmente en desacuerdo" (1 punto) hasta "totalmente de acuerdo" (6 puntos). Los puntajes promedio se clasificaron en categorías según los niveles establecidos en la escala (Tablas 3 y 4).
Se calculó la distribución de frecuencias para las variables y sus respectivas dimensiones, mientras que las posibles diferencias significativas según el sexo o la edad se analizaron mediante pruebas de varianza. Para evaluar la relación entre ansiedad y bienestar psicológico, se aplicaron modelos de regresión lineal, cuya adecuación se confirmó mediante el coeficiente de correlación de Pearson.
RESULTADOS Y DISCUSIÓN
La distribución de frecuencias para la variable Ansiedad y sus dimensiones se reporta en la Figura 1. Se observa que cada categoría reporta una cantidad de casos: la Medio es la predominante tanto en la Ansiedad Psíquica con 24 como en la Ansiedad General 27, mientras que para la ansiedad física la categoría modal sea Alto 26. Comparando las medias, se observa que la dimensión Ansiedad Psíquica reporta un promedio superior 2.2022 al del resto, mientras que la dimensión Ansiedad Física reporta la menor de las tres medias, con un valor de 2.1354. Todos los factores analizados reportan una curtosis negativa, lo que significa que existe una distribución con una forma más aplanada o achatada que la distribución normal.
Para determinar si hombres y mujeres reportan el mismo nivel de ansiedad, se desarrolla una prueba de diferencia de medias, cuyos valores se reportan en la Tabla 5. Se observa que, para todos los casos, p>0.05, por lo que puede afirmarse que no hay diferencias significativas en los niveles de ansiedad de acuerdo al sexo.
La distribución de frecuencia para la variable Bienestar Psicológico (Y) se muestra en la Tabla 6. Se observa que para las dimensiones Autonomía (Y3) y Propósito de Vida (Y5), la clase modal es Bajo, con 28 y 37 casos, respectivamente; para el resto de los factores analizados, la categoría modal corresponde a Medio. El mayor promedio corresponde a la dimensión Autonomía (Y3), con un valor de 2.67, mientras que el mayor promedio corresponde a Relaciones Positivas (Y2), con un valor de 3.55. Todos los factores analizados reportan un sesgo positivo predominando los valores mayores que la media y una curtosis negativa interpretándose que la forma de la distribución tiende a ser más aplanada o achatada en comparación con la distribución normal.
Con el propósito de determinar si el sexo condiciona el puntaje de Bienestar Psicológico, se desarrolló una prueba de diferencia de medias, cuyos resultados se muestran en la Tabla 7. Se observa que, para todos los casos, la significancia de la prueba es superior a 0.05, por lo que se afirma que no hay diferencias significativas entre sexos para la variable dependiente y sus dimensiones.
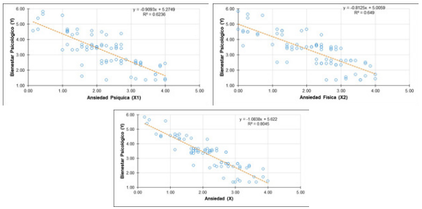
A fin de determinar la influencia que ejercen la ansiedad y sus dimensiones en el bienestar psicológico de los individuos de la muestra, se calculó el coeficiente de correlación de Pearson entre los factores analizados, además de la prueba de hipótesis para determinar si el modelo desarrollado es significativo, los resultados de las pruebas se muestran en la Figura 2. Se reporta que, en todos los casos, la correlación es negativa y muy fuerte, con valores que oscilan entre -0.7897 (Y vs X1) y -0.8969 (Y vs X), además la significancia es menor al valor límite prestablecido, por lo que se afirma con una certeza estadística del 95% que la ansiedad y sus dimensiones influyen de manera significativa en el bienestar psicológico.
Discusión
En el estudio no se encontró diferencias significativas (p<0.01) entre sexos para los niveles de ansiedad o bienestar psicológico, a diferencia de lo reportado por Luna et al., (2020) quienes reportan que en su muestra (estudiantes de medicina) las mujeres presentaron mayor ansiedad (p<0.01) en comparación con los hombres; adicionalmente, los autores investigaron más a fondo y determinaron que las mujeres de tercer y quinto semestre fueron más ansiosas que las de primero (p<0.01), mientras que la ansiedad en hombres fue similar (p>0.05) en los distintos semestres analizados.
Por medio de la estadística inferencial pudo corroborarse una correlación negativa y significativa (p<0.001) entre ansiedad y bienestar psicológico, resultado alineado al de autores como Luna et al., (2020), Eden et al., (2020) o González-Aguilar (2021); es la opinión general de los investigadores que en la medida que los sujetos de estudios cuenten con herramientas para identificar de inmediato los eventos capaces de desencadenar episodios de ansiedad, podrán tomar las medidas necesarias para que su bienestar psicológico no se vea comprometido y por tanto, puedan seguir desempeñando sus diferentes roles de manera regular. El único autor que reporta un resultado diferente al de la presente investigación es Carrillo (2019), quien evidenció que existe una correlación inversa proporcional poco significativa entre la ansiedad y el bienestar psicológico en la muestra seleccionada; al estar compuesta por estudiantes de psicología, el autor explica que los sujetos cuentan con habilidades en el manejo de ansiedad, dichas competencias favorecen la preservación de su bienestar psicológico.
Uno de los beneficios de haber comprobado la correlación entre las variables de estudio es que esto permite desarrollar modelos predictivos que permitan una medición rápida de los factores de estudio. Al respecto, los resultados de González-Aguilar (2021) mostraron que los bajos indicadores de trastorno de ansiedad generalizada es un predictor significativo para bienestar psicológico, mientras que Luna et al., (2020) comentan que la no pertenencia a una religión (OR=2.49) es un factor predictor de mayor ansiedad.
Un enfoque innovador es el presentado por González-Aguilar (2021) es la incorporación en los modelos de la variable resiliencia como un factor interviniente en la relación entre ansiedad y bienestar psicológico. Al respecto, el autor comenta que la resiliencia llega a ser una consecuencia del bienestar o una razón que puede conducir a mayores indicadores de bienestar, comentando además que sus resultados apoyan indirectamente al postulado del bienestar psicológico como factor predictivo del éxito académico, ya que los estudiantes que tengan motivación y capacidad para planificar rutas alternativas ante las dificultades actuales (con el potencial de generar algún grado de ansiedad) pueden controlarse y superarse, lo cual permite a las personas poseer una mayor calidad de vida.
Eden et al., (2020) propone un enfoque diferente al propuesto por la presente investigación al incorporar el rol mediador de las redes sociales entre las variables de estudio; los hallazgos reportados por los autores demuestran que las diferentes estrategias de afrontamiento basadas en los medios empleadas por los individuos contribuyen a la reducción del estrés y la ansiedad y al aumento del bienestar, especialmente en tiempos de crisis; estas estrategias dependen de los rasgos, necesidades, selecciones y motivaciones individuales de los usuarios. Otra variable moderadora incluida con frecuencia en las investigaciones consultadas fue el optimismo; al respecto, Gutiérrez-Carmona et al., (2020) reporta el efecto negativo de la ansiedad-rasgo sobre las dimensiones de bienestar psicológico disminuye al incorporar al optimismo en la regresión; estos autores concluyen que el optimismo tiene un efecto de mediación parcial sobre las dimensiones del bienestar psicológico, salvo en crecimiento personal, donde ejerce una mediación total.
Conclusiones
Cabe destacar, que fue posible determinar que la ansiedad psíquica (X1) influye de manera significativa (p<0.05) al bienestar psicológico (Y). En la medida que se presenten síntomas de ansiedad, tales como: preocupaciones, miedos, pensamientos intrusivos y rumiaciones puede dificultar la concentración, la toma de decisiones y el disfrute de las actividades cotidianas, dificultad al individuo sentir satisfacción con la vida, el sentido de propósito, las relaciones positivas y la capacidad de afrontar el estrés.
De igual manera, se determinó que la ansiedad física (X2) influye de manera significativa (p<0.05) al bienestar psicológico (Y). Las manifestaciones somáticas de la ansiedad, como problemas de sueño, fatiga y trastornos gastrointestinales imposibilitan a la persona de sentir que tienen control sobre sus vidas, y por tanto impide que la persona pueda gestionar con el estrés.
Y finalmente, se pudo determinar que la ansiedad (X) influye de manera significativa (p<0.05) en el bienestar psicológico; esto significa que la ansiedad puede tener un impacto negativo significativo en el bienestar psicológico; es decir, las personas que tienen niveles más altos de ansiedad tienden a tener niveles más bajos de bienestar psicológico; la literatura consultada coincide en que las personas con altos niveles de ansiedad tenían niveles más bajos de satisfacción con la vida, relaciones positivas y propósito en la vida. Sin embargo, existen factores sociodemográficos, ambientales, laborales, culturales, entre otros, que pueden afectar esta relación.
CONFLICTO DE INTERESES. El autor declara que no existe conflicto de intereses para la publicación del presente artículo científico.























