SciELO - Scientific Electronic Library Online

 
vol.13 número22Análisis econométrico de la paridad del poder de compra en el PerúMovilidad humana de turismo de compras en la frontera ecuatoriana-colombiana índice de autoresíndice de materiabúsqueda de artículos
Home Pagelista alfabética de revistas  

Servicios Personalizados

Revista

Articulo

Indicadores

Links relacionados

  • No hay articulos similaresSimilares en SciELO

Compartir


Revista Investigación y Negocios

versión impresa ISSN 2521-2737

Investigación y Negocios v.13 n.22 Sucre oct. 2020

 

ARTÍCULOS

DOI: https://doi.org/10.38147/invneg.v13i22.101

 

Crecimiento económico y crecimiento poblacional: una aplicación del
modelo de ecuaciones diferenciales en Bolivia

 

Economic growth and population growth: an application of
the differential equations model in Bolivia

 

 

MSc. Ingrid Orlandini G*, MSc. Arturo Salamanca E.**
* Universidad Mayor, Real de San Francisco Xavier de Chuquisaca
iorlandinig@gmail.com

** Universidad Mayor, Real de San Francisco Xavier de Chuquisaca
Recibido: 5 de septiembre 2020    Aceptado: 25 de octubre 2020

 

 


Resumen

El crecimiento económico tiene una estrecha relación y correlación con el crecimiento poblacional, mientras más pobladores tenga un país mayor será su crecimiento económico, en este estudio se demostró esta relación a través del modelo de ecuaciones diferenciales heterogéneas, se obtuvo una ecuación que describió el comportamiento de ambas variables determinándose la fuerza, el sentido de la relación y el grado de asociación lineal.

Palabra claves: crecimiento económico, población, ecuaciones diferenciales.


Abstract

Economic growth has a close relationship and correlation with population growth, the more inhabitants a country has, the greater its economic growth, in this study this relationship was demonstrated through the model of heterogeneous differential equations, an equation was obtained that described the behavior of both variables determining the strength, the sense of the relationship and the degree of linear association.

Keywords: economic growth, population, differential equations.


 

 

Introducción

El crecimiento económico se entiende como el valor de bienes, productos y servicios finales producidos por una economía (generalmente un país) en un determinado periodo (generalmente un año), es importante su análisis, porque permite establecer el nivel de la economía de un país (Cortes et. al., 2015; Lupín, 2013; Reyes Ortiz, 2012; Hernández, 2012).

Son varios los métodos y modelos que han permitido analizar el crecimiento económico de un país, como diferentes las variables que se cree interfieren en su comportamiento (Accinelli y Brida, 2006), en este trabajo se usará el modelo de las ecuaciones diferenciales lineales heterogéneas; que tendrá como objetos de estudio: el cambio del crecimiento económico entendido en este trabajo como la tasa de crecimiento del Producto Interno Bruto (PIB), como consecuencia del cambio del crecimiento poblacional, que está especificado como el crecimiento de la población en edad de trabajar comprendida entre los15 a 60 años para las mujeres y entre los 15 a 65 años para los hombres (Vargas, 2010).

Es preciso aclarar que las ecuaciones diferenciales surgen cuando se conoce una relación que implica la tasa de cambio de una de las funciones y este cambio afecta el valor de la otra. Su empleo en investigaciones empíricas, cualitativas se fundamenta en el hecho de que la observación de determinados procesos a lo largo del tiempo, implican datos de las funciones en diferentes momentos y medidas de tasas de cambio. Las ecuaciones diferenciales permiten, de modo parcial, calcular el vínculo entre las variables y brindan una descripción completa de las relaciones funcionales. (Lupin, 2013; Humérez, 2014)

En este sentido a partir de la interrogante: ¿Cuál es la relación entre el crecimiento económico y el crecimiento poblacional? se propone aplicar el modelo de ecuaciones diferenciales lineales heterogéneas para relacionar estas dos variables en Bolivia y en los últimos treinta años.

La investigación tiene un corte longitudinal con enfoque cuantitativo que explica la variación del crecimiento económico en función a la variación del crecimiento poblacional. Los datos de entrada al modelo provienen de bases de datos del Instituto Nacional de Estadísticas -Bolivia (I.N.E.)

En las siguientes secciones se presenta el fundamento teórico, se explica la metodología y se discuten los principales resultados.

 

Fundamento teórico

El crecimiento económico es una variable macroeconómica medible a través del Producto Interno Bruto, de ahora en adelante PIB, que mide el crecimiento de la producción de todos los productos terminados dentro de una economía cerrada, de un territorio establecido, usualmente un país, en un periodo determinado, usualmente un año (Jemio et. al., 2017). Se puede entender también el crecimiento del PIB como: la relación inversa que existe con la tasa de interés, que afecta a las inversiones y al ahorro, en otras palabras, la variación de la demanda agregada. La relación directa de la tasa del flujo de ingreso en un año y la capacidad productiva. Todas estas variaciones ayudan a analizar el crecimiento o decrecimiento económico de los países (Cortes et. al., 2015). Otro enfoque analiza el crecimiento económico de un país como el crecimiento per cápita que es el resultado de dividir el PIB de un país entre la población este macro indicador mide cuanto produce en promedio cada habitante del país. (Campos et. al., 2016)

Tovio y Alfaro (2016) tiene una orientación más amplia y más específica del estudio del crecimiento económico, en su artículo se define el crecimiento económico, como el crecimiento del PIB, sujeto al circuito económico conformado por: Los ingresos al sector familia, el incremento de los impuestos, el consumo de los hogares, el ahorro y la inversión, la actividad económica empresarial, la producción, el empleo y la inflación. (Tovio y Alfaro, 2016) Por otra parte, Morato et. al. (2017) analiza el crecimiento económico como el crecimiento del PIB, formado por todos los productos, bienes y servicios producidos.

Por otro lado respecto al crecimiento poblacional según la página digital del Instituto Nacional de Estadísticas (INE), visitado el 12/4/2019 informa que el Estado Plurinacional de Bolivia tiene aproximadamente 11.216.000 habitantes, de los cuales 50,7% son mujeres y 49,3% hombres, la tasa de crecimiento poblacional es de 2,2% anual; este indicador es conceptualizado como la diferencia entre el número de personas nacidas, menos el número de personas fallecidas; en un periodo determinado de tiempo, usualmente un año (Torres, 2011; Degro, 2012) Para Nina et. al. (2017) el crecimiento poblacional constituye la población activa entre los 15 y 65 años que tributan en un país y que tiene incidencia en el crecimiento económico. Otros autores como Galvis et. al. (2017); Manzano (2016); Campos et. al. (2016); Soloaga (2015) han estudiado la relación entre el crecimiento poblacional y el crecimiento económico, en la tabla 1 se presentan una síntesis de las conclusiones sobre el tema.

Tomando en cuenta la teoría antes planteada y la teoría macroeconómica que señala que la sostenibilidad de la economía de un país depende de que la tasa de crecimiento del PIB sea como mínimo igual que la tasa de crecimiento poblacional, se formula la hipótesis siguiente: El crecimiento poblacional incide significativamente en el crecimiento económico del país.

 

Método

Como se señala en la hipótesis, el objetivo del presente trabajo es establecer, cuantificar, para después analizar, cual es la correlación que existe entre la variación del crecimiento económico en función a la variación del crecimiento poblacional.

Con este fin se realizó una revisión bibliográfica, para recabar todos los datos que sirvieron de insumo para realizar la investigación; especialmente bases de datos de sitios oficiales como el Instituto Nacional de Estadística.

Se usaron métodos estadísticos y matemáticos, con el fin de estimar los valores del crecimiento poblacional de cada uno de los últimos 30 años y la cantidad de hombres y mujeres en edad de trabajar. Para la valoración específica se aplicaron ecuaciones diferenciales lineales heterogéneas con las que se relacionó las variables de estudio y se obtuvo los resultados; siendo el crecimiento poblacional la variable independiente, que al cambiar su cuantía genera cambios en el crecimiento económico variable dependiente.

 

Resultados y discusión

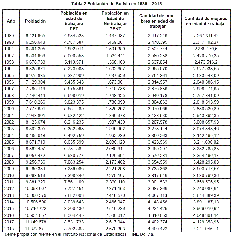
En base a los datos demográficos se calcularon los porcentajes de la población activa de 15 a 65 años en los últimos 30 años; estos datos se presentan a continuación en la tabla 2.

En la tabla 2 se puede observar la estimación del crecimiento poblacional, el punto de partida fue el censo de 1976 realizado por el INE; que es la fuente principal de los datos que sirvieron para el cálculo de los 30 años que comprende este estudio.

Se tomó un promedio de crecimiento constante de 2,2% entre los años 1989 y 2012, a partir de este año el crecimiento poblacional cambia a un promedio constante de 2% hasta el 2018, además se calculó un promedio de 76,52% del total de la población, que se refiere al porcentaje de personas que se encuentran en la edad socialmente aceptable para trabajar en el país, aunque este dato puede variar por las condiciones laborales informales que se presentan en Bolivia.

Hasta el año 2018 se tenía registrada una tasa de crecimiento real del PIB de 4,3% esto a precios constantes, El PIB a precios constantes se calcula a partir de los precios de un año que se toma como base, en el caso de Bolivia el año base es 1990, esto permite, aislar los cambios ocasionados en los precios, producido ya sea por la inflación o la deflación de la época. Como consecuencia, esta medida posibilita comparar la producción real de un determinado país en periodos de tiempo diferentes. Se analiza el cambio del año base de 1990 a 2010 para realizar los cálculos para el PIB real de Bolivia.

A pesar de que el crecimiento del PIB real no recoge los cambios tecnológicos que constantemente modifican las características de los bienes y servicios producidos por una economía es sin embargo la mejor forma de calcular el crecimiento económico de una nación. De ahí que el crecimiento del PIB real proporciona la mejor información sobre el crecimiento de una economía.

 

Aplicación del modelo

Para hacer el análisis de correlación entre ambas variables primero se obtuvo una ecuación que explique la dependencia y el tipo de relación que existe entre las variables.

La ecuación que describe el fenómeno estudiado, se determina de la siguiente forma:

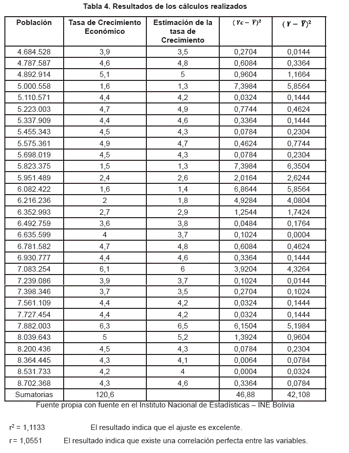
Con esta ecuación se procede a calcular la tasa de crecimiento económico estimado para los 30 años, bajo el supuesto que los otros factores que influyen en el crecimiento de la PIB se mantienen constantes. Los resultados se presentan a continuación en la tabla 4.

 

Conclusiones

Existe suficiente evidencia estadística que ayuda a establecer que el crecimiento poblacional tiene una relación directa con el crecimiento económico, además la correlación entre estas dos variables es perfecta; esto quiere decir que mientras exista mayor población en edad de trabajar, mayor será el crecimiento económico del país.

En función a los resultados se puede concluir que la hipótesis planteada se demuestra tanto empírica como teóricamente.

Las implicaciones prácticas sobre los resultados podrían centrarse en la emisión de políticas públicas que generen con condiciones laborales adecuadas en ciudades intermedias que permitan incentivar el crecimiento económico local.

Otra conclusión importante toma atención en la metodología usada pues todas las diferentes clases de ecuaciones diferenciales lineales ya sean: heterogéneas, homogéneas o de variable separable, constituyen procedimientos sencillos que permiten matematizar la realidad para relacionar variables, por tanto son válidas y confiables científicamente.

 

Referencias

Accinelli, E., & Brida, J. G. (2006). Crecimiento económico óptimo y crecimiento poblacional: una versión mejorada del modelo de Ramsey. Papeles de población 12 (47), 227-241.        [ Links ]

Campos, V. R., Monroy, F., & Gómez. (2016). ¿Crecimiento económico reduce el la pobreza en México? Revista de Economía Mexicana 1, 140-185.        [ Links ]

Cortes, L. J., Sánchez, S. A., & Villanueva, M. R. (2015). El modelo de Domar sobre el crecimiento económico de un país. Obtenido de (jc-cortes@imm.upv.es ;        [ Links ]

Degro, T. (2012). Tasas de crecimiento poblacional.         [ Links ]

Galvis, A. L., G. L., & Hahn de Castro, L. W. (2017). Una revisión de los estudios de convergencia regional en Colombia. . Documentos de Trabajo Sobre Economía Regional y Urbana; No. 264.        [ Links ]

Guillen, A., Badii, M. H., Garza, F., & Acuña, M. (10 de Abril de 2015). Descripción y Uso de Indicadores de Crecimiento Económico. Revista Daena (International Journal of Good Conscience), 10(1). Obtenido de Crecimiento económico, indicador, limitaciones, medio ambiente, usos.        [ Links ]

Hernández, M. J. (2012). Política fiscal, crecimiento sostenido y desarrollo económico: la experiencia mexicana. Panorama económico, 7-38.        [ Links ]

Humérez, Q. J. (2014). Determinantes del crecimiento económico en Bolivia: un enfoque de demanda. Revista de Análisis del Banco Central de Bolivia, 20, 9.        [ Links ]

INE. (10 de agosto de 2019). INE BOLIVIA. Obtenido de http://www.INE.COM        [ Links ]

Jemio, L. C., Andersen, L. E., & Medinaceli, A. (2017). Bolivia's Green National Accounts through a Commodity Super Cycle (No. 05/2017).        [ Links ]

Lupín, B. (2013). Aplicación de ecuaciones diferenciales en la economía experimental (Doctoral dissertation). Buenos Aires: Facultad de Ciencias Económicas. Universidad de Buenos Aires.        [ Links ]

Manzano, R A. (2016). ¿Cuál es la relación entre bono demográfico y crecimiento económico? Akrópo-lis-Revista de Ciências Humanas da UNIPAR, 24(1).        [ Links ]

Morato, M. A., Lizana, A., & Mestanza, J. (2017). El impacto de la exclusión social sobre el crecimiento económico en la Unión Europea. Revista de economía mundial (45), 43-63.        [ Links ]

Nina, V., Bermeo, E., & Cuestas, P. (2017). Las políticas tributarias en el crecimiento económico de Ecuador, 2000-2015. INNOVA Research Journal, 10-29.        [ Links ]

Reyes Ortiz, G. E. (2012). Modelos dinámicos y ecuaciones diferenciales en gestión de empresas. Rosario: Editorial Universidad del Rosario.        [ Links ]

Soloaga, I., Uribe, M., & Vargas, M. (2015). Crecimiento y bienestar. Importancia de la relación entre el tamaño de las ciudades y los vínculos urbanos-rurales. Documento de trabajo, Rimisp.        [ Links ]

Torres, D. A. (2011). Tasas de crecimiento poblacional (r): Una mirada desde el modelo matemático lineal, geométrico y exponencial. CIDE digital, 143-162.        [ Links ]

Tovio, A., & Alfaro, A. (2016). Analisis del comportamiento de las variables que determinan el circuito económico de Colombia. Aglala 7(1), 94-121.        [ Links ]

Vargas, M. J. (2010). Análisis del crecimiento y ciclos económicos: Una aplicación general para Bolivia. . Revista de Análisis del Banco Central de Bolivia, 13, 09., 25-33.        [ Links ]

 

 

Creative Commons License Todo el contenido de esta revista, excepto dónde está identificado, está bajo una Licencia Creative Commons