Servicios Personalizados
Revista
Articulo
Indicadores
-
Citado por SciELO -
Accesos
Links relacionados
-
Similares en
SciELO
Compartir
Revista de Medio Ambiente y Mineria
versión impresa ISSN 2519-5352
REV. MAMYM vol.10 no.2 Oruro dic. 2025
ARTÍCULOS ORIGINALES
Controle de danos em paredes finais resultantes de desmontes de rochas
1Manuel Pedro Tomo Simbe, 1,2Carlos Enrique Arroyo Ortiz, 1Adilson Curi
1 Departamento de Engenharia de Minas -UFOP
2 Programa de pós-graduacao em Engenharia Mineral PPGEM - UFOP
Resumo
Colapso de taludes representa um dos principais riscos geotécnicos em minas a céu aberto, especialmente em paredes finais, podendo manifestar-se em diferentes escalas desde pequenas rupturas até instabilidades de grande magnitude com impactos diretos sobre a seguranca de pessoas, equipamentos e a continuidade operacional. Este estudo realiza uma revisão dos principais modelos de previsão de danos em paredes finais decorrentes de desmontes de rocha, com o objetivo de avaliar a aplicabilidade e a eficiência de diferentes abordagens utilizadas para estimar a estabilidade de taludes finais em operacóes a céu aberto.
A metodologia adotada baseou-se em uma revisão bibliográfica sistemática e na análise comparativa de modelos numéricos, analíticos e baseados em inteligência artificial, com ênfase nas Redes Neurais Artificiais (RNA), além da consideracao de técnicas convencionais de controle de desmonte, como o pré-corte.
Os resultados indicam que as abordagens fundamentadas em inteligência artificial, particularmente as Redes Neurais Artificiais, apresentaram desempenho superior na previsão de danos em paredes finais quando comparadas aos modelos numéricos e analíticos tradicionais. Ademais, ressalta-se a relevancia da integracao entre técnicas inovadoras e métodos convencionais, como o pré-corte, visando aprimorar o planej amento e a execucáo de desmontes controlados em cavas finais.
Palavras Chaves: Taludes, Parede final, Minas á Céu Aberto, desmonte de Rochas.
Abstract
Slope failures represent one of the major geotechnical risks in open-pit mining, particularly in final pit walls, and may occur at multiple scalesfrom minor sloughing to large-scale instabilitiesdirectly affecting personnel safety, equipment integrity, and operational continuity. This study reviews the main damage-prediction models for final walls resulting from rock blasting, with the objective of assessing the applicability and effectiveness of different approaches used to estimate the stability of final slopes in open-pit operations.
The adopted methodology was based on a systematic literature review and a comparative analysis of numerical, analytical, and artificial-intelligence-based models, with emphasis on Artificial Neural Networks (ANNs), in addition to considering conventional blast-control techniques such as pre-splitting.
Results indicate that artificial-intelligence-based approaches, particularly Artificial Neural Networks, showed superior performance in predicting blast-induced damage in final pit walls when compared to traditional numerical and analytical models. Furthermore, the study highlights the importance of integrating innovative techniques with conventional methods such as pre-splitting to improve the planning and execution of controlled blasting in final pit slopes.
Keywords: Slopes, Final Wall, Open-Pit Mines, Rock Blasting.
1. Introducao
Os taludes em minas e pedreiras, que podem atingir centenas de metros de profundidade, devem ser tratados como obras geotécnicas de alta complexidade, equivalentes ás obras de engenharia civil ou de mineracáo. O projeto e a execucáo dessas estruturas devem seguir os princípios e práticas consolidados da engenharia geotécnica, de forma a definir uma geometria estável e economicamente viável, minimizando o volume de material escavado e, consequentemente, os custos associados. Além dos aspectos técnicos e económicos, é indispensável considerar questóes ambientais e de sustentabilidade, sobretudo nos procedimentos de fechamento e abandono de mina, nos quais podem surgir problemas de estabilidade de longo prazo (FLEURISSON, 2012).
Essas estruturas devem ser compreendidas essencialmente como sistemas geotécnicos, cuja estabilidade é controlada pela estrutura geológica, pelas propriedades dos materia is constituintes e pelo comportamento mecánico do macico rochoso. A íntima relacáo entre esses fatores exige a caracterizacáo geológica detalhada como etapa inicial do projeto, permitindo o uso adequado de métodos de investigacáo, modelagem e cálculo (FLEURISSON, 2012).
A reconciliacáo geotécnica de taludes constitui um desafio central nas operacSes de lavra a céu aberto, uma vez que a falha dessas estruturas pode causar interrupcoes na producáo, perda de equipamentos e riscos á vida humana. Um projeto confiável de taludes em empreendimentos civis e minerários não apenas garante maior seguranca operacional, mas também reduz custos imprevistos associados a instabilidades e colapsos. Na avaliacáo da estabilidade, destacam-se como fatores determinantes a geometria do talude e as propriedades mecánicas do macico rochoso fraturado, que envolvem tanto a resistência da rocha intacta quanto o comportamento das descontinuidades estruturais elementos que, por representarem as zonas mais fracas do macico, exercem papel crítico na propagacáo da instabilidade.
A instabilidade de taludes em minas constitui, portanto, um problema geotécnico de grande relevancia, uma vez que deslizamentos e rupturas podem resultar em consequências severas, incluindo fatalidades, destruicáo de infraestrutura, danos a equipamentos e perdas financeiras significativas (FRANCISCO et al., 2024).
A manutencáo da estabilidade das paredes finais é essencial para a seguranca e continuidade das operacSes. Segundo Langefors e Kihlstrom (1963), a utilizacáo de técnicas de detonacáo controlada permite alcancar uma condicáo mais estável da face final do talude, possibilitando ángulos de inclinacáo 5 ° a 10° mais íngremes em comparacáo a taludes resultantes de desmontes convencionais (HOEK e LONDE, 1974).
Por outro lado, danos gerados por detonacoes mal executadas podem comprometer significativamente a integridade do talude. Desmontes descontrolados tendem a produzir contornos irregulares, sobre-escavacáo, saliências e trincas de tracáo, além de favorecer a abertura de planos de descontinuidade e o fraturamento excessivo das rochas, estendendo-se além do limite de projeto. Essas condicSes facilitam a infiltracáo de agua superficial, aumentando as pressóes de poro e potencializando problemas de instabilidade (SINGH; SINGH, 1995).
A estabilidade das paredes de cava é fundamental para a criacáo de ambientes de trabalho seguros e produtivos. Estudos realizados na mina de ouro de Tasiast demonstraram que as falhas mais recorrentes ocorreram nas zonas superiores das cavas, manifestando-se por modos de ruptura circular, planar, em cunha e por tombamento geralmente atribuídos a baixa qualidade do macico rochoso e aos danos excessivos causados por detonacoes. Embora as falhas observadas tenham sido de pequena escala, os resultados obtidos forneceram subsídios importantes para melhorias operacionais e de projeto (TASOREN; GARDHOUSE, 2016)
2. Análise da encosta de alta parede
A análise da estabilidade de taludes da parede final é realizada para avaliar o design seguro de taludes em minas a céu aberto e as condicSes de equilíbrio. O termo estabilidade de taludes pode ser definido como a resistência de uma superfície inclinada á falha por deslizamento ou colapso (SATYANARAYANA et al., 2017).
Segundo Brady e Brown, 2004 o design bemsucedido de taludes requer informacoes geológicas e características do local, como: Propriedades do solo/massa rochosa, Geometria do talude, Presenca de agua e condicSes de lencol freático, Alteracáo dos materiais devido a falhas, sistemas de juntas ou descontinuidades, Movimentos e tensSes em juntas, Carregamento dinámico causado por detonacoes, atividades sísmicas etc.
Segundo GOODMAN, 1989, os métodos comumente utilizados para análise de estabilidade de taludes incluem:
Métodos de equilíbrio limite,
Análise cinemática,
Modelagem numérica,
Modelagem física,
Métodos probabilísticos,
Análise retroativa,
Métodos empíricos,
Modelagem analítica
Aplicacáo de redes neurais artificiais.
Cada método é escolhido com base nas condicoes geológicas e geotécnicas do talude, na disponibilidade de dados e nos recursos do projeto.
3. Metodologias
3.1 Modelos de danos em paredes finais resultantes de desmontes de rochas
Os modelos de danos em paredes finais resultantes de desmontes de rochas são ferramentas analíticas e empíricas utilizadas para prever e minimizar os impactos negativos da detonacáo em áreas adjacentes a uma frente de lavra. Esses modelos buscam avaliar e prever danos causados pela energia sísmica, vibracóes e fragmentacáo excessiva, visando preservar a estabilidade das paredes finais e otimizar a seguranca e a eficiência do desmonte (LU & LATHAM, 1999).
3.1.1 Modelos Numéricos
Existem três níveis de sofisticacao em problemas de estabilidade de encostas, propostos pelo STEAD et al. (2006). Os métodos de equilíbrio limite e os métodos cinemáticos formam o primeiro nível de complexidade. Esses métodos são simples e bem adaptados a problemas de estabilidade de encostas. No entanto, a análise de equilíbrio limite não pode representar as deformacóes e o deslocamento da massa de rocha em falha. Muitos problemas de estabilidade de encostas rochosas envolvem complexidade, como geometria, anisotropia do material, comportamento não linear, tensóes in situ etc (Eberhardt, 2003). A análise de equilíbrio limite e cinemática não consegue abordar tal complexidade em problemas de estabilidade de encostas. Nesses casos, o uso de métodos mais sofisticados (nível 2 ou nível 3) pode ser necessário (LUPOGO, 2017). Os modelos numéricos podem ser divididos em três grupos principais:
Contínuos: Modelos dos Elementos Finitos (FEM), Modelos das Diferencas Finitas (FDM), Modelos dos Elementos de Contorno (BEM).
Descontínuos: Modelos dos Elementos Discretos (DEM), Modelos de Redes de Fraturas Discretas (DFN).
Híbridos: Modelos Híbridos FEM/BEM, Modelos Híbridos BEM/DEM, Modelos Híbridos FEM/DEM.
3.1.1. Modelos Contínuo
No método de contínuo, a massa rochosa dentro de um domínio é dividida em elementos simples com propriedades de material assumidas. O comportamento coletivo desses elementos simples modela o comportamento mais complexo da massa rochosa dentro do domínio (LUPOGO, 2017).
3.1.2. Modelos Descontínuo
No método de descontinuidade, a massa rochosa é dividida em blocos por descontinuidades. Os blocos são então subdivididos em elementos menores. Cada bloco é atribuido com propriedades únicas. O comportamento geral da massa rochosa é determinado pela interacáo entre os blocos individuais ao longo das descontinuidades. A abordagem de descontinuidade pode ser aplicada para modelar a influência de fraturas induzidas por explosóes na resposta da massa rochosa em uma encosta. Devido á natureza complexa das geometrias das fraturas, é difícil representar explicitamente fraturas individuais causadas por explosóes em um modelo de descontinuidade (SHARMA, 2017).
3.1.3. Modelos Híbridos
Métodos híbridos são uma combinacao das abordagens de contínuo e descontínuo. Nesse método, a zona dañineada é tratada como descontínua, enquanto a zona não danificada é tratada como contínua. No entanto, devido ás dificuldades na geracáo de fraturas usando códigos híbridos, métodos mais avancados para a geracáo de fraturas podem ser utilizados. A modelagem numérica do dano por detonacáo é urna ferramenta importante para entender os mecanismos complexos envolvidos, incluindo a iniciacáo, propagacáo e coalescência das fraturas após a detonacáo. Como mencionado anteriormente, códigos de contínuo e descontínuo muitas vezes falham em representar realisticamente a geometria complexa das fraturas geradas pelo processo de detonacáo. Modelos numéricos baseados em elementos híbridos finitos/discretos (MAHABADI et al., 2010) têm sido usados para simular realisticamente a falha progressiva de uma massa rochosa. Uma das dificuldades na modelagem da influência da detonacáo na estabilidade de taludes é o tipo de geometria a ser incorporada nos modelos. Atualmente, na literatura, três geometrias de um talude com dano induzido por detonacáo foram observadas. A primeira geometria, considerada mais realista, foi apresentada por LITTLE et al. (1999) (Figura 1). A segunda geometria foi sugerida por HOEK (2012) (Figura 2) e a terceira geometria foi utilizada por LI et al. (2011) (Figura 3). LITTLE et al. (1999) apresentaram uma descricáo abrangente do dano causado pela detonacáo em um talude de mina. Essa geometria foi usada para descrever a influência da detonacáo em taludes em escala global ou inter-rampa. No entanto, não houve uma descricáo de como atribuir o dano da detonacáo no modelo. Em sua descricáo, o talude foi subdividido em quatro zonas principais: I. Zona de dano por detonacáo, II. Zona de controle de estruturas menores, III. Zona de controle da massa rochosa, IV. Zona de controle de estruturas maiores, como mostra a (Figura 1).
Figura 1 Geometria do talude global ou inter-rampa e classificacao zonal (após LITTLE, 1999).
HOEK (2012) sugeriu uma geometria na qual o modelo é dividido em duas zonas principais (conforme mostrado na Figura 2): a zona de dano por detonacáo e a zona não danificada. A espessura da zona de dano por detonacáo depende da altura do talude, conforme sugerido por HOEK E KARZULOVIC (2000). A geometría é adequada para taludes em escala de bancadas, uma vez que pode gerar zonas de dano por detonacáo irreais quando usada para taludes em escala global. LI et al. (2011) avaliaram o papel do dano por detonacáo em um talude, atribuindo o fator de dano como contornos que diminuem em direcáo ao centro do talude (Figura 3). Os autores utilizaram essa geometria (com profundidade de talude de 50m e 80m) na modelagem contínua de um talude danificado por detonacáo utilizando o SLIDE (ROCSCIENCE 2010 APUD LUPOGO, 2017). Não há diretrizes sobre como usar essa geometria e, até onde se sabe pelos autores, ela tem aplicacáo muito limitada ou nenhuma na prática de engenharia. A escala na qual os métodos propostos para o dano por detonacáo foram aplicados aos dados recebeu pouca atencáo, e as diretrizes práticas para o uso dos valores "D" são extremamente limitadas. Dada a importante implicacáo para simulacóes realistas de modelos de taludes, tanto para o valor do disturbio da detonacáo assumido quanto para a extensão do dano por detonacáo atrás de um talude de cava, os autores consideram esse tópico urna área importante para pesquisas futuras. Essa abordagem aparentemente subjetiva para o dano por detonacáo foi um fator importante para a pesquisa atual.
Figura 2. Bancada com zona induzida por detonacáo, conforme sugerido por HOEK E KARZULOVIC (2000).
Figura 3. Contornos de disturbio em um talude rochoso não homogêneo (escala de bancada) por LI et al. (2011).
3.2 Abordagem Analítica
Nas abordagens analíticas, uma característica de um modelo é selecionada como um parámetro principal, e determina-se como esse parámetro é distribuido ao redor do furo de detonacáo (SHADABFAR et al., 2021).
A fórmula de Sadowski é a fórmula mais antiga e amplamente aplicável para calcular a velocidade de vibracáo gerada por detonacSes em engenharia prática, capaz de descrever a lei de atenuacao de vibracoes de detonacáo e fornecer grande conveniência para as pesquisas iniciais em engenharia de detonacáo. No entanto, com a aplicacáo dessa fórmula na engenharia prática, muitos estudiosos monitoraram as ondas de tensão geradas por detonacSes em diferentes condicSes de engenharia por meio de monitoramento em campo e concluíram que a propagacáo das ondas de tensão de detonacáo em maricos rochosos nao é apenas influenciada pelos parámetros físicos e mecánicos da rocha, mas também pelas condicSes topográficas e geomorfológicas (WU et al., 2024).
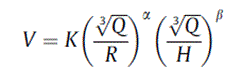
3.2.1 Fórmula Convencional de Sadowski É geralmente comum coletar dados de campo e realizar análise de regressão de acordo com a fórmula de Sadowski na Eq. (1) para investigar o efeito da elevacáo na vibracáo gerada por detonacáo. A Eq. (1) é principalmente baseada na fórmula de Sadowski obtida por regressão para prever a velocidade da vibracáo de detonacáo (LI et al., 2017).
onde K é um coeficiente relacionado ás propriedades da rocha, ás condicSes do local de detonacáo e outros fatores; Q é a maior secáo transversal da carga explosiva no desmonte, em kg; R é a distancia do centro de detonacáo, ou seja, a distancia do ponto de medicáo até o centro da fonte, em metros; e a é o coeficiente de atenuacáo da vibracáo de detonacáo. Esta fórmula leva em consideracáo apenas os efeitos da velocidade de vibracáo V e da distancia R do centro de detonacáo, o que apresenta alta precisão para condicSes de terreno plano. No entanto, a modificacáo da fórmula não reflete o efeito da elevacáo. Portanto, esta fórmula foi modificada ao introduzir um fator de elevacáo. HU E WU (2004) introduziram um fator de diferenca de altura na fórmula de Sadowski e modificaram a fórmula da velocidade de vibracáo como:
onde Sea distancia horizontal entre o ponto de medicáo e o centro de detonacáo, em metros; e (3 é o fator de impacto da elevacáo. WANG E LU (1994) E ZHU et al. (1988) apresentaram um tratamento adimensional do coeficiente de influência da elevacáo H sobre a velocidade de vibracáo. A velocidade de vibracáo é considerada ter um efeito de amplificacáo ao longo da elevacáo, e assim, a equacáo de cálculo é dada por:
onde H é a diferenca de altura relativa entre o ponto de medicáo e o centro de detonacáo, em metros. CHEN et al. (2011) apud (WU et al., 2024) concluíram que taludes multi es"' s em minas a céu aberto, durante o desmonte, 1 iram um grau maior de vibracáo próximo á superfície de suspensão livre. O banco do talude da mina a céu aberto produziria o efeito chicote, resultando em um efeito de amplificacáo mais obvio nas rochas do banco do talude. Em resumo, estudos anteriores confirmaram o efeito de amplificacáo dos bancos de talude durante a vibracáo de detonado ao introduzir parámetros de elevacáo, mas o fator de forma do talude não foi introduzido. O estudo estabelece a fórmula modificada do efeito de amplificacáo ao introduzir o fator de forma do talude, e os dados medidos da mina a céu aberto são utilizados para validar os resultados da análise.
3.2.2 Fórmula e Modelo Otimizado de Sadowski
O deslocamento da vibracáo de detonacao é calculado ao introduzir a funcáo do tempo de detonacao At, a integral da velocidade ao longo da funcáo do tempo, a elevacáo e a distancia do centro de detonacáo na fórmula de deslocamento de vibracao de desmonte de talude na Eq. (4). A funcao do tempo At é a funcáo de tempo equivalente. O tempo de acáo da onda de choque é de 10-6-10-1s, e o tempo de aumento dapressáo é de 100 (is. O tempo de pressão positiva é de 600 (is Zhang et al (2015) apud (WU et al., 2024)
Onde AS é o deslocamento da vibracáo durante o processo de detonacáo; e At é o tempo de detonacáo. Um modelo simplificado do coeficiente de impacto da detonacáo é mostrado na Fig. 4. A taxa de inclinacáo I representa o gradiente da inclinacáo, que é calculado pela Eq. (5). O comprimento da inclinacáo L indica a distancia da base da encosta até o topo da encosta na Eq. (6). Quando consideramos o efeito da forma da encosta na detonacáo, quanto maior o ángulo da encosta, maior é o deslocamento da vibracáo. À medida que o comprimento da encosta aumenta, a distancia até o ponto de detonacáo aumenta, a energia gerada pela detonacáo continua a decair e o deslocamento da encosta diminui. Na área de estudada por WU et al., 2024, a altura de cada plataforma era muito maior que a largura de cada plataforma. Portanto, uma nova encosta é construida conectando o ponto final na base da elevacáo da detonacáo ao ponto final no topo da elevacáo da plataforma de cada plataforma.Ess a nova encosta é usada como a inclinacáo de dife > plataformas na encosta em múltiplos estágios, a qual pode ser determinada substituindo a fórmula na Eq. (7).
Fig. 4. Modelo simplificado da vibracao de detonacao em encostas multissetoriais.
Ao considerar os parámetros de forma da encosta, tanto a largura d quanto a altura h podem ser determinadas pela taxa de inclinacáo Ieo comprimento da inclinacáo L. Portanto, a taxa de inclinacáo Ieo comprimento da inclinacáo L são escolhidos como os parámetros do fator de inclinacáo p. O fator de inclinacáo p é usado como um fator que afeta o deslocamento S, variando entre O e 1. Quanto maior a taxa de inclinacáo I, mais íngreme é a encosta e maior será o deslocamento resultante; enquanto quanto maior o comprimento da inclinacáo L, mais suave será a encosta e menor será o deslocamento. Assim, a taxa de inclinacáo I, que é proporcional ao fator de inclinacáo S e ao deslocamento p, é definida como o numerador, e o comprimento da inclinacáo L, que é inversamente proporcional ao fator de inclinacáo S e ao deslocamento p, é definido como o denominador. A taxa de inclinacáo I é o numerador do fator de inclinacáo S e do deslocamento p. O comprimento da inclinacáo Leo denominador do fator de inclinacáo S e do deslocamento p. Em seguida, as constantes c, d, e, e f são somadas, sendo consideradas como uma proporcionalidade linear. As constantes c, d, e, e f são recalculadas a partir do conjunto de dados coletados.
Onde Api é o fator de inclinacáo; I, a taxa de inclinacáo; L, o comprimento da inclinacáo; c, d, e e f, os coeficientes de influência de correlacáo; e i representa o fator de inclinacáo correspondente ao número de plataformas, conforme mostrado na Fig. 4. Considerando a influência da forma da encosta na vibracáo causada pela detonacáo, a Eq. (7) é substituída na Eq. (4) como um fator de influência. A fórmula do deslocamento da encosta sob a detonacáo é apresentada na Eq. (8), e a Eq. (9) é obtida após simplificacáo.
A taxa de inclinacáo I é positivamente correlacionada com o deslocamento induzido pela detonacáo, enquanto o comprimento da inclinacáo L é negativamente correlacionado com o deslocamento induzido pela detonacáo. Com base na fórmula de Sadowski, introduz-se dois fatores, a taxa de inclinacáo Ieo comprimento da inclinacáo L, para construir conjuntamente o modelo do efeito de amplificacáo da inclinacáo sob a vibracáo causada pela detonacáo, conforme mostrado na Eq. (8). Os dados de múltiplos furos de monitoramento são analisados por regressão em combinacáo com dados de monitoramento anteriores. Os resultados do modelo obtidos a partir de sua regressão são apresentados na Eq. (9). Os valores de cada parámetro são K=126,02, a=0,97 e (3=-1,03.
3.3 Rede Neural Artificial (ANN)
A Rede Neural Artificial (RNA ' una técnica da Inteligência Artificial capaz de modelar e prever comportamentos complexos e não lineares (NGUYEN; BUI; MOAYEDI, 2019). Inspirada no funcionamento do cerebro humano (TRIPPI; TURBAN, 1992), é formada por camadas de neurónios interconectados que processam e aprendem padróes a partir de dados. Devido á sua capacidade adaptativa, a RNA tem sido aplicada na análise de estabilidade e resposta dinámica do solo, utilizando como entradas o histórico de aceleracáo da fonte, a distancia fonte-ponto e parámetros físicos do solo (módulo de Young, coeficiente de Poisson e densidade). Sua saída representa o histórico tem ' de aceleracáo no ponto analisado, mostrando gi ° potencial para previsão de vibracóes e danos em taludes (DERBAL et al., 2024).
Fig. 5. (a)Princípio do método (b) Estrutura do modelo de ANN para prever o PPV
O histórico temporal da resposta em um ponto do entorno é caracterizado por um atraso de tempo em relacáo ao sinal de excitacáo na fonte, devido á propagacáo da onda ao longo da distancia no domínio do solo. Portanto, a sincronizacáo entre os sinais de entrada e saída é realizada antes de utilízalos na rede (DERBAL et al., 2024). A rede neural genética é baseada em muitas amostras de treinamento. No processo de aprendizado real, a populacáo evolutiva pode ser configurada pelo algoritmo genético, e os dados errados podem ser eliminados, mas a precisão de todo o modelo depende principalmente da precisão dos dados das amostras de treinamento. Se o número de amostras for pequeno, a precisão do modelo será fortemente afetada(LI,2021).
4. Resultados
4.1 Abordagem de Pré-Corte
A detonacáo pré-corte (presplit blasting) é urna técnica bem conhecida para produzir uma parede final bem definida em cada bancada. Na prática, no entanto, a protecao proporcionada ao talude é altamente dependente do cuidado tomado na perfüracáo, bem como no projeto e implementacao da detonacáo adjacente ao pré-corte (ETCHELLS; SELLERS; FURTNEY, 2013
). No estudo conduzido por (SINGH; SINGH, 1995), aplicaram a técnica de pré-corte que reduziu significativamente irregularidades e descontinuidades na cava final, minimizando a presenca de rochas soltas e fragmentacáo indesejadas. Foi possível aumentar a altura das bancadas de 10m para 20m e o ángulo geral de 45° para 60°, maximizando a recuperacáo do minério e reduzindo volumes de sobrecarga, a figura 6 mostra o padrão de perfüracáo e detonacáo dos furos principais e de pré-corte.
Fig. 6. Padrão de perfuracáo e detonacáo dos furos principais e de pré-corte.
4.2 Abordagem numérica
A influência potencial dos danos causados por detonacáo no colapso de taludes depende da escala do talude. Em minas a céu aberto, o colapso inter-rampa ou o colapso geral do talude pode ser influenciado pelos danos causados por detonacáo, seja danificando a rocha intacta (overbreak), estendendo descontinuidades pré-existentes ou reduzindo a resistência ao cisalhamento ao longo das descontinuidades (SHARMA, 2017).
No estudo conduzido pelo (LUPOGO, 2017) Investigares de campo e modelagem numérica mostram que a orientacáo das fraturas causadas por detonacáo varia com a distancia dos furos de detonacáo. A orientacao das fraturas causadas por detonacáo pode ser dividida em duas zonas: Zona 1 - caracterizada pela presenca de fraturas altamente conectadas (alta densidade de intersecóes) Zona 2 - caracterizada por fraturas parcialmente conectadas (densidade de intersecao reduzida)
Fig.7 A intensidade das fraturas de explosão como fiincao da qualidade do dano da explosão
Fig. 8 Observa?ao em campo das fraturas de explosão e descontinuidade pré-existentes.
4.3 Mudanzas na velocidade inversa durante as simulares do modelo de talude
A velocidade inversa e o deslocamento de um modelo de talude podem ser analisados ao longo do tempo para entender os mecanismos de falha. A estabilidade do talude é avaliada com base nos dados de velocidade, identificando se o movimento é regressivo (desaceleracao periódica, indicando estabilidade) ou progressivo (deslocamentos acelerados, indicando falha). As figuras 9a e 9b mostram gráficos da velocidade inversa e deslocamento em x para modelos 3DEC com e sem fraturas de explosão. O modelo sem fraturas apresenta um deslocamento mais uniforme, enquanto o modelo com fraturas exibe mudancas no gradiente e comportamento de stick-slip, com deslocamentos maiores e mais complexos. O modelo com fraturas requer mais cálculos e tempo de execucáo devido a maior quantidade de blocos e complexidade. Os resultados indicam que o talude com fraturas apresenta deslocamentos maiores, com um aumento no número de etapas de cálculo e maior interdependência entre os blocos.
Fig. 9 (a) A relacao entre a velocidade inversa calculada e o deslocamento em x para o modelo 3 DEC sem danos por explosão. (b) A relacao entre a velocidade inversa calculada e o deslocamento em x para o modelo 3DEC com dano por explosão (B32 = 0,15 m2/m3).
4.4 Modelo de Sadowski Modificado
No estudo conduzido por (WU et al., 2024), este estudo proporciona uma melhoria significativa para a fórmula de Sadowski ao incorporar o fator de influência da inclinacao, melhorando assim sua capacidade preditiva em relacao aos deslocamentos induzidos por vibracóes de detonacáo em encostas. A aplicacao da fórmula de Sadowski modificada foi validada com sucesso em cenários de engenharia, oferecendo uma base confiável para garantir a seguranca do pessoal envolvido na construcao subsequente de encostas em múltiplos estágios. Conforme mostrado na Fig. 10 o valor do coeficiente de Pearson entre Real e Testl é 0,408, o que confirma uma correlacáo moderada para o caso sem a introducáo do fator de forma da inclinacáo. O valor do coeficiente de Pearson entre Real e Test2 é 0,967, o que demonstra uma correlacáo muito forte quando a fórmula de Sadowski introduz o fator de forma da inclinacáo.
A equacáo linear entre Real e Test1 (Fig. 11a) é y=0,116x+0,046y enquanto a equacáo linear entre Real e Test2 (Fig. 11b) é y=1,013x+0,003y. O deslocamento calculado pela fórmula de Sadowski com a introducáo do fator de inclinacáo apresenta uma correlacáo altamente positiva com o deslocamento medido.
Fig. 10 Mapa dos Valores de Coeficientes de correlacao de Person
Fig. 11 Gráfico de dispersão dos três resultados de Real e Test1 e de Real e Test2.
4.5 Abordagem da Inteligência Artificial
Uma comparacao entre modelos computacionais avancados e técnicas experimentais na previsão de vibracóes do solo induzidas por detonacóes em minas a céu aberto de carvão, um estudo conduzido por (NGUYEN; BUI; MOAYEDI, 2019), com base nos resultados obtidos na Tabela 1, o modelo de ANN Rede Neural Artificial (ou seja, ANN 2-6-8-6-1) apresentou o melhor desempenho, com um RMSE de 0,508, R2 de 0,981 e MAE de 0,405 no conjunto de dados de teste. Além disso, o erro entre o RMSE e o MAE (ou seja, RMSE - MAE = 0,508 - 0,405 = 0,103) foi o menor. Isso é a base para concluir
O modelo de ANN foi o mais eficaz na estimativa de vibracao do solo induzida por detonacao, com RMSE de 0,508, R2 de 0,981 e MAE de 0,405, sendo capaz de explicar tanto relacóes lineares quanto não lineares entre W e R. No entanto, encontrar o modelo ideal para prever o PPV em aprendizado de máquina é desafiador e exige um processo de "tentativa e erro". Comparar diversos modelos preditivos ajuda a identificar o melhor para prever com precisão o PPV em detonacóes em minas a céu aberto. A Figura 10 apresenta o desempenho dos modelos com base no R2.
Tabela 1. Uma comparacao do desempenho dos modelos na previsão do PPV
Fig.12. A correlação entre os valores de PPV medidos e previstos por diversas técnicas.
5. Discussão dos Resultados
O estudo enfatiza que a estabilidade dos taludes de paredes finais em minas é significativamente influenciada pelos danos causados pelas detonacóes, os quais podem comprometer as propriedades mecánicas da rocha e reduzir sua coesão. Esses danos são agravados pela abertura de descontinuidades e pelo aumento da infiltracáo de agua, o que eleva os riscos de instabilidade e deslizamentos. A técnica de pré-corte (presplit blasting) foi destacada como uma solucáo eficaz para minimizar os danos nas paredes finais. Os resultados mostraram que, quando bem aplicada, essa técnica reduz a fragmentacao indesejada e melhora a geometria do talude, permitindo ángulos mais íngremes sem comprometer a estabilidade. Um exemplo prático mencionado foi o aumento na altura das bancadas e na recuperacáo do minério ao utilizar o pré-corte, com ángulos finais otimizados. O uso de modelos numéricos, como FEM, DEM e abordagens híbridas, foi apontado como essencial para simular os efeitos das detonacóes nas propriedades do macico rochoso. Esses modelos ajudam a prever a propagacao das fraturas e os deslocamentos, sendo fundamentais para análises mais precisas.
A fórmula de Sadowski modificada mostrou-se especialmente útil ao considerar os efeitos da inclinacáo do talude, melhorando a previsão de deslocamentos induzidos por vibracóes, com alta correlacao aos dados empíricos.
O uso de Redes Neurais Artificiais (ANN) foi destacado como uma abordagem promissora para prever vibracóes e danos causados por detonacóes, especialmente em cenários com relacóes complexas e não lineares. Os modelos baseados em IA apresentaram resultados precisos e ampla aplicabilidade prática.
Embora as técnicas apresentadas mostrem grande potencial, a pesquisa aponta a necessidade de maior coleta de dados de campo para refinar os modelos preditivos de danos em paredes finais em minas. A aplicacao prática de algumas geometrias de modelos e métodos propostos ainda é limitada, especialmente em condicSes geológicas complexas.
6. Conclusões
Na prática, os danos na parede final são controlados limitando a velocidade das partículas. O dano é iniciado devido aos grandes deslocamentos e grandes deformacóes gerados pelas ondas de tensão. Dependendo do tipo de rocha, a ruptura pode ocorrer em velocidades de partículas muito mais baixas. Como o dano causado pela detonacáo é de natureza cumulativa e, quando o macico rochoso já foi afrouxado por detonacóes anteriores, pode, portanto, exigir muito pouca energia de detonacáo para sofrer danos.
A fórmula de Sadowski modificada, que inclui o fator de inclinacáo do talude, melhora a precisão na previsão de deslocamentos induzidos por vibracóes de detonacáo. O modelo modificado apresentou alta correlacáo com dados empíricos, reforjando sua aplicabilidade prática.
A análise da velocidade inversa e do deslocamento nos modelos de talude revela que a presenca de fraturas causadas por explosóes tem um impacto significativo na estabilidade da estrutura. O modelo sem fraturas apresenta um deslocamento mais uniforme, sugerindo um comportamento previsível e estável. Por outro lado, o modelo com fraturas exibe variacóes mais complexas no gradiente de deslocamento e comportamento de stick-slip, indicando maior instabilidade em paredes finais. Modelos de ANN demonstraram grande precisão na previsão de vibracóes e danos causados por detonacóes. AIA permite análises mais complexas e pode superar métodos tradicionais na predicao de impactos em paredes finais.
Apesar da técnica de inteligência artificial (ANN) ter-se demostrado robusta na previsão de danos em paredes finais na mina em relacáo aos modelos numéricos e modelos analíticos, os resultados apresentados reforcam a importancia de combinar técnicas tradicionais (como o pré-corte) com avancos tecnológicos, como modelagem numérica e inteligência artificial, para melhorar a seguranca e eficiência das operacóes de mineracáo. O desenvolvimento de modelos mais refinados e o uso de dados empíricos robustos sao áreas que continuam a exigir atencao para otimizar o planej amento e execucao de desmontes controlados na cava final. Apesar dos avancos nos modelos, ainda há limitacóes na aplicacao prática de alguns modelos e geometrias sugeridas. A coleta contínua de dados de campo é essencial para aprimorar modelos preditivos e garantir sua aplicabilidade em diferentes condicSes geológicas.
REFERENCIAS BIBLIOGRAFICAS
BESIMBAEVA, O. G. et al. Assessment and Prediction of Slope Stability in the Kentobe Open Pit Mine. Journal of Mining Science, v. 54, n. 6, p. 988-994,2018. [ Links ]
BRADY, B. H. G.; BROWN, E. T. Rock mechanics for underground mining. 3. ed. Dordrecht: Kluwer Academic Publishers, 2004.
EBERHARDT, E. Rock slope stability analysis utilization of advanced numerical techniques. Earth and Ocean Sciences at UBC, Vancouver, Canada, 2003.
DERBAL, I. et al. Ground Vibrations Prediction Using Artificial Neural Networks. Journal of Soft Computing in Civil Engineering, v. 8, n. 2, p. 112- 118,2024.
ETCHELLS, S.; SELLERS, E.; FURTNEY, J. Understanding the blast damage mechanisms in slopes using observations and numerical modelling. p. 1359-1372,2013.
FLEURISSON, J. A. Slope design and implementation in open pit mines: Geological and geomechanical approach. Procedia Engineering, v. 46, p. 27-38, 2012.
FRANCISCO, C. S. et al. Study of Slope Stability of the Mining Wall in an Open-Pit Coal Mine by the Paste Cut-and-Backfill Method. Applied Sciences (Switzerland), v. 14, n. 14, 2024.
GOODMAN, R. E. Introduction to rock mechanics. 2. ed. New York: Wiley, 1989.
HOEK, E. Blast damage factor D. RocNews, Winter Issue, 8 p., 2012.
HOEK, E.; KARZULOVIC, A. Rock mass properties for surface mines. In: Slope Stability in Surface Mining. Littleton: Society for Mining, Metallurgical and Exploration (SME), 2000. p. 59-70.
HOEK, E.; LONDE, P. The design of rock slopes and foundations. General Report for 3rd Congress ISRM, Denver, p. 1-40, 1974.
HU, G.; WU, Y. L. A new method of the control of the earthquake vibration caused by explosive. Coal Technology, 2004.
LANGEFORS, U.; KIHLSTROM, B. The modern technique of rock blasting. New York: John Wiley & Sons, 1963.
LI, A. J.; MERIFIELD, R. S.; LYAMIN, A. V. Effect of rock mass disturbance on the stability of rock slopes using the Hoek-Brown failure criterion. Computers and Geotechnics, v. 38, p. 546-558, 2011.
LI, H. Stability Rating of Mine Rock Slope Based on Artificial Intelligence. Advances in Civil Engineering, v. 2021, 2021.
LI, X. et al. An analytical study of blasting vibration using deep mining and drivage rules. Cluster Computing, v. 20, n. 1, p. 109-120, 2017.
LITTLE, T. The reliability of blast damaged slopes. In: Proceedings of AusIMMEXPLO '99, 9 p., 1999.
LU, P.; LATHAM, J. P. Development of a numerical modelling approach for the prediction of blast-induced damage in rock slopes. International Journal of Rock Mechanics and Mining Sciences, v. 36, n. 8, p. 973-994, 1999.
LUPOGO, K. Characterization of blast damage in rock slopes: An integrated field-numerical modelling approach. p. 361, 2017.
MAHABADI, O. K. et al. Y-Geo: new combined finite-discrete element numerical code for geomechanical applications. International Journal of Geomechanics, 2012.
MIAO, S. et al. Numerical modelling of destress blasting - a state-of-the-art review. Journal of Sustainable Mining, v. 21, n. 4, p. 278-297, 2022.
NGUYEN, H.; BUI, X. N.; MOAYEDI, H. A comparison of advanced computational models and experimental techniques in predicting blast-induced ground vibration in open-pit coal mine. Acta Geophysica, v. 67, n. 4, p. 1025-1037, 2019.
REZAEINESHAT, A. et al. Optimization of blasting design in open pit limestone mines with the aim of reducing ground vibration using robust techniques. Geomechanics and Geophysics for Geo-Energy and Geo-Resources, v. 6, n. 2, p. 1-14, 2020.
SATYANARAYANA, I. et al. Stability evaluation of highwall slope in an opencast coal mine-a case study. Advances in Modelling and Analysis A, v. 78, n. 3, p. 253-273, 2017.
SHADABFAR, M. et al. Estimation of Damage Induced by Single-Hole Rock Blasting : Energies, v. 14, n. 1,p. 1-24,2021.
SHARMA, A. UKnowledge HIGH-WALL STABILITY. 2017.
SINGH, V. K.; SINGH, D. P. Controlled blasting in an open-pit mine for improved slope stability. Geotechnical and Geological Engineering, v. 13, n. 1, p. 51-57, 1995.
STEAD, D. et al. Developments in the characterization of complex rock slope deformation and failure using numerical modelling techniques. Engineering Geology, v. 83, p. 217-235, 2006.
TASOREN, K.; GARDHOUSE, G. ISMS 2016 Lessons in slope stability management from Kinross ' Tasiastmine ,. v. 00, n. 15, 2016.
TRIPPI, R. R.; TURBAN, E. Neural networks in finance and investing: using artificial intelligence to improve real world performance. New York: McGraw-Hill Inc, 1992.
WANG, X. et al. Study of BP and RBF neural networks applied to the prediction of vibration characteristics in static blasting of dry ice powder. KSCE Journal of Civil Engineering, v. 28, n. 4, p. 1452-1460, 2024.
WU, X. et al. Modified Sadowski formula-based model for the slope shape amplification effect under multistage slope blasting vibration. International Journal of Mining Science and Technology, v. 34, n. 5, p. 631-641,2024.
ZHU, C. T.; LIU, H. G.; MEI, J. Y. Selection of fórmulas for the propagation law of seismic wave parameters along the slope face of a slope. 1988.
Artículo recibido en: 08.08.2025
Artículo aceptado: 20.08.2025













