1. INTRODUCCIÓN
Los estudios hidrológicos de eventos extremos representan gran importancia para el diseño, operación y control de embalses [3]. Estos estudios pueden resultar simples para cuencas pequeñas, ya que la modelación “convencional-agregado-determinístico”, posibilita analizar un comportamiento hidrológico homogéneo. Por el contrario, el análisis para cuencas de mayor área resulta más complejo ([12]; [6]), debido a que las precipitaciones ocurren por sectores y el comportamiento hidrológico resulta variable. Por lo que, para cuencas grandes se recomienda desarrollar estudios de carácter “semi distribuido o distribuido” y “determinístico o estocástico”.
No obstante, es prudente mencionar que toda cuenca presenta un comportamiento heterogéneo a consecuencia del relieve, la capacidad de drenaje, perfil altitudinal, orientación, climas, tipos de suelos, uso de suelo, entre otras. Por lo que diferenciarlas representa cierta dificultad. Ante ello, Chow [18], distingue a una cuenca pequeña por la sensibilidad a las lluvias de alta intensidad y de corta duración, en la cual predominan las características físicas del suelo respecto a las del cauce y su tamaño puede variar de 4 hasta 130 km2. Por su parte, Campos Aranda [6], por medio de la clasificación de I-Pai Wu y R. Springall, indica que una cuenca pequeña tiene una superficie de 25 a 250 km2. Mientras que, Sandoval Erazo y E. P. Aguilera Ortiz [19], determinan un área máxima de 45 km2 para una cuenca homogénea pequeña en terreno montañoso. No obstante, para un relieve plano en área tropical, el World Meteorological Organization [21] indica que una cuenca homogénea pequeña puede tener un área de hasta 600 km2.
En Bolivia, tres cuencas grandes ya fueron estudiadas de forma positiva con la metodología BID-CAPRA. Rio Grande (102.062 km2) [9], Rio Rocha (3655 km2) [9] y Río Icona (2189 km2) [5]. Ahora la metodología BID-CAPRA será aplicado a la Cuenca del río Misicuni correspondiente al Proyecto Múltiple Misicuni (PMM), de la ciudad de Cochabamba-Bolivia, (344 km2) y comparado los resultados con los resultados de un cálculo convencional conforme el concepto de una cuenca pequeña.
Este estudio justifica su importancia debido a la magnitud de la demanda hídrica (agua potable y de riego) y energética existente en los municipios del valle central de Cochabamba [13]. Por lo que, compete analizar los estudios convencionales desarrollados para el diseño del PMM. En este sentido, la presente investigación tiene por objetivo calcular los hidrogramas de evento extremo de la cuenca Misicuni mediante la generación de tormentas estocásticas elípticas, comparar con resultados de estudios convencionales, y en caso de grandes diferencias, elaborar alternativas a las políticas de operación del embalse en ocurrencia de crecidas con niveles altos en el embalse.
2. METODOLOGÍA
2.1. Características del Área de Estudio
La presa del embalse Misicuni se sitúa al noreste de la ciudad de Cochabamba (Figura 1) en las coordenadas 17°5′29.98″ Sur y 66°19′48. 65″ Oeste, la altura de la represa es de 120 m. El nivel de rebalse del vertedero, que protege la represa, está en 3774 m.s.n.m. El volumen del embalse creado en esta cota es de 180 millones de m3.
La cuenca resulta en la composición de 3 subcuencas (Figura 1) cuyas características se presentan en la Tabla 1, Tabla 2 y Tabla 3. Su totalidad representa un área de 344.36 km2, un perímetro de 130.26 km, una pendiente media de 23.5%, una altura media de 4300 m.s.n.m. (nivel más alto = 5014 m.s.n.m. - nivel más bajo = 3692 m.s.n.m.) y, un tiempo de concentración de 4 horas. El área es característico de la zona andina, por lo que se destaca las altas cumbres cordilleranas, registro de bajas temperaturas (entre el día y la noche), nevadas en ciertas épocas del año, vientos y poca cobertura vegetal.
TABLA 1 - SUPERFICIES Y PERÍMETROS POR SUBCUENCAS
| Subcuenca | Área | Perímetro |
|---|---|---|
| Km2 | Km | |
| Sivingani | 77.29 | 61.02 |
| Titiri | 167.44 | 86.70 |
| Serkheta | 99.63 | 69.54 |
Fuente: Elaboración propia.
TABLA 2 - CLASIFICACIÓN RELIEVE MEDIANTE PENDIENTE PROMEDIO POR SUBCUENCAS
| Subcuenca | P | Relieve |
|---|---|---|
| (%) | (-) | |
| Sivingani | 32.57 | Fuertemente accidentado |
| Titiri | 24.55 | Fuertemente accidentado |
| Serkheta | 37.85 | Muy fuertemente accidentado |
Fuente: Elaboración propia.
TABLA 3 - TIEMPO DE CONCENTRACIÓN POR SUBCUENCA
| Subcuenca | Tc | |
|---|---|---|
| Horas | Minutos | |
| Sivingani | 1.91 | 114.80 |
| Titiri | 3.96 | 237.68 |
| Serkheta | 2.76 | 165.34 |
Fuente: Elaboración propia.
Con respecto al modelo de infiltración se aplicó el modelo del Número de la Curva (CN), que fue desarrollado por el Servicio de Conservación de Suelos (SCS) de Estados Unidos [20], para la estimación del escurrimiento en estudios de determinación de caudales máximos, sobre los mapas [15y16] y, mediante álgebra de mapas en la plataforma SIG ArcGis 10.5, se obtuvo el CN-III representativo para la totalidad de la cuenca Misicuni resultando en un CN-III igual a 78.20. De igual manera se determinó los números CN-III para las 3 principales subcuencas como son Titiri, Serkheta y Sivingani. Obteniendo valores similares para las subcuencas Sivingani y Titiri con valores de 76.51 y 76.10, para la subcuenca Serkheta se obtuvo un CN-III mayor resultando en 82.65.
2.2. Precipitaciones en el Área del Estudio
La ubicación de las estaciones del Proyecto Misicuni se presenta en la Figura 2, y su información general en la Tabla 4. La base de datos original con los registros de precipitaciones diarias de las estaciones fue proporcionada por parte de la empresa Misicuni. Los datos fueron procesados en planillas Excel para una oportuna identificación de la disponibilidad de datos. La fecha inicial de operación de las primeras estaciones de Misicuni es desde julio de 1967. Según el procesamiento de las series originales de datos, el registro de cada serie es discontinuo (Tabla 5).
TABLA 4 - INFORMACIÓN GENERAL DE LAS ESTACIONES
| Estación | Coordenadas UTM | Elevación | Tipo de datos | Periodo de registro | |
|---|---|---|---|---|---|
| Este | Sud | (m.s.n.m) | |||
| Aguadas | 789243.69 | 8101867.21 | 3956 | Precipitación | 2006-2020 |
| Bocatoma | 784963.96 | 8104443.15 | 3756 | Precipitación | 2000-2016 |
| C-Esquinas | 793422.77 | 8096505.21 | 3986 | Precipitación | 1967-2020 |
| Sivingani | 784252.28 | 8108130.99 | 3780 | Precipitación | 1967-2021 |
| Sunjani | 781616.68 | 8100242.29 | 3964 | Precipitación | 1967-2022 |
| Templo | 780229.67 | 8098596.78 | 4278 | Precipitación | 1967-2023 |
Fuente: Elaboración propia.
Previamente al relleno de datos, se realizó el análisis de datos dudosos en relación a las precipitaciones máxima diaria anual para la identificación de Outliers para su depuración, se encontró dos Outliers en las estaciones Templo y Bocatoma, los cuales fueron también la causa de dos Outliers en las series de precipitaciones mensual de las mismas estaciones. Estos Outliers fueron depurados según criterio e iteraciones de relleno realizadas con la finalidad de lograr las mejores series posibles.
Para el proceso de relleno de datos de precipitación diaria en el periodo de 1967-2020, se utilizó el software HEC-4, el cual aplica una metodología de regresión lineal múltiple con un componente autorregresivo entre el mes actual y el mes anterior, obteniendo series rellenadas a nivel mensual. Posteriormente, se desagrego por medio de la estación más cercana con datos no rellenados de manera manual las series a un nivel diario.
Los porcentajes de relleno de datos de la mayoría de las estaciones son catalogados entre altos (Templo 28 %, Cuatro Esquinas 34 % y Sunjani 38%) a muy altos (Aguadas 75% y Bocatoma 78%), siendo Sivingani 11 % la única estación de registro normal. Bajo este análisis y debido a su retiro desde enero del 2017, por su ubicación dentro del embalse y por el inicio de operaciones del PMM la estación Bocatoma fue descartada, El porcentaje de relleno de datos promedio sobre las 5 estaciones restantes (Sivingani, Templo, Cuatro Esquinas, Sunjani y Aguadas) es de 40 %. Este indicador no es lo ideal, sin embargo, es lo mejor posible en el momento.
Para el análisis de la homogeneidad de las series rellenadas con periodos considerables con falta de datos, se aplicaron dos metodologías: análisis de las curvas doble masa a nivel de precipitaciones mensuales y un análisis de Outliers a nivel de precipitaciones máximas diarias anuales en las series rellenadas. Para el análisis de curvas doble masa, se tomó como base la estación Sivingani, por contar con el mayor periodo de registros respecto a las demás estaciones. Esta estación se relaciona con las cuatro otras estaciones obteniendo un comportamiento gráfico casi perfectamente lineal con coeficientes de determinación R2 que varían de 0.9973 a 0.999, indicando que para precipitaciones mensuales entre las estaciones existe consistencia.
De igual manera, se realizó el análisis de datos dudosos a nivel de las precipitaciones máximas diarias en el cual no se identificó ningún valor atípico sobre lo permitido [1] y [2].
2.3. Estudio Estocástico
La determinación de los hidrogramas estocásticos por periodo de retorno en el presente estudio se ha llevado a cabo haciendo uso de las plataformas IT-LluviaNH, IT-Inundación, HEC-HMS y HEC-RAS.
IT-LluviaNH e IT-Inundación forman parte del CAPRA (Central America Probabilistic Risk Assessment = Evaluación Probabilística de Riesgos en Centro América). La plataforma CAPRA es una iniciativa financiada por el BID (Banco Inter Americano de Desarrollo), que tiene como objetivo fortalecer la capacidad institucional para evaluar, comprender y comunicar el riesgo de desastres con terremotos, deslizamientos, huracanes, sequías, inundaciones, … con el objetivo final de integrar la información sobre el riesgo de desastres en las políticas y programas de desarrollo. La plataforma CAPRA está desarrollada por la Universidad de los Andes de Colombia.
La plataforma IT-LluviaNH permite leer los datos de las estaciones pluviométricas, los datos SIG del proyecto, los parámetros que definen mínimos eventos extremos, los periodos de retorno que se quiere considerar y los parámetros para análisis estocástico. La plataforma calcula las curvas PADF (Precipitación - Área - Duración - Frecuencia) para una duración de un día y para los periodos de retorno considerados, Figura 3.
Luego, IT-LluviaNH con las curvas generadas y la grilla de distribución espacial definida, ejecuta el proceso de generación de tormentas estocásticas elípticas. Los centros de las tormentas elípticas se eligen dentro de los polígonos de eventos de precipitación máxima determinados dentro del análisis para las curvas PADF. En el estudio presente se generaron por periodo de retorno 50 escenarios, cada escenario producto de 100 simulaciones. Finalizando el procesamiento, el software IT-LluviaNH genera el archivo de las tormentas de amenazas con formato de salida (.AME). La visualización e interpretación es posible con el SIG desarrollado por CAPRA Figura 4.

Fuente: Elaboración propia.
Figura 4: CAPRAGIS - escenario #1 para un periodo de retorno de 100 años.
La plataforma IT-Inundación mediante modelo hidrológico HEC-HMS versión 4 determina para cada tormenta de amenaza calculada en IT-Lluvia el hidrograma correspondiente a la salida de la cuenca y procesa este hidrograma mediante un modelo hidrodinámico HEC-RAS, calculando la curva de remanso y analizando eventuales riesgos de inundación. El modelo HEC-HMS considera las 3 subcuencas principales Figura 5 . Los parámetros hidrológicos son exactamente los mismos en tanto a las metodologías de pérdidas por infiltración en el suelo y transformación de lluvia a caudal tomadas en cuenta en la metodología convencional descritas en la sección 2.4 y la precipitación es representada en grilla de resolución de 500x500 metros Figura 5.

Fuente: Elaboración propia.
Figura 5: Esquema modelo hidrológico en HEC-HMS ver 4 con grilla de precipitación y con polígonos de Thiessen.
En el presente estudio al recaer la importancia en la generación de eventos extremos para la Cuenca de Misicuni por la metodología estocástica y su comparación con estudios convencionales, se utilizó un modelo básico en la salida de la Cuenca simulando un canal georreferenciado. Posterior al trabajo de la plataforma IT-Inundación, el análisis de los archivos *.DSS generados en HEC-HMS y HEC-RAS permite bajar los 50 hidrogramas estocásticos para cada uno de los diferentes periodos de retorno, ver inciso 3.2.
Para información más detallada sobre el método estocástico, ver [1] y [2].
2.4. Método Convencional
El estudio convencional se basa en el estudio de las máximas precipitaciones diarias anual que se obtienen del análisis de las series de precipitación diaria anual que corresponden a las estaciones pluviométricas de la cuenca. Luego por estación se ordena de mayor a menor valor la serie de máxima precipitación diaria anual. Sobre las series ordenadas se determina cual es la función de distribución (Gumbel, Normal, Pearson, Log Normal, …) que mejor se ajusta. Después por estación mediante la función de distribución que mejor se ajusta se calcula la máxima precipitación diaria anual por periodos de retorno. A continuación, se determinan por estación las curvas PDF e IDF por el método de los coeficientes de desagregación en base a la estación NAABOL (ex - AASANA) Aeropuerto Cochabamba y por el método sencillo de Dick y Peschke. Posteriormente, mediante el método de los bloques alternos se calculan los hietogramas de las tormentas de diseño, los cuales se aplican sobre un modelo HEC-HMS basado en método de los polígonos de Thiessen, Figura 5, obteniendo dos series de hidrogramas de evento extremo por periodo de retorno, ver inciso 3.1, [1] y [2].
3. RESULTADOS
3.1. Método Convencional
Por medio de las dos metodologías convencionales, se obtuvieron los hidrogramas para los periodos de retorno de 2, 5, 10, 20, 50 y 100 años (Figura 6). El hidrograma resultante de la metodología por coeficientes de desagregación (Coe) presenta caudales inferiores al hidrograma resultante por el criterio de Dick y Peschke (D y P), en la Tabla 6 se presentan los caudales máximos por periodo de retorno. La diferencia entre las dos metodologías convencionales es de 8 a 13%.

Fuente: Elaboración Propia.
Figura 6: Comparación gráfica de hidrogramas a la salida de la cuenca de Misicuni por metodologías convencionales.
TABLA 6 - COMPARACIÓN NUMÉRICA DE HIDROGRAMAS A LA SALIDA DE LA CUENCA DE MISICUNI POR METODOLOGÍAS CONVENCIONALES
| Metodología | Caudales máximos por periodo de retorno (m3/s) | |||||
|---|---|---|---|---|---|---|
| Tr-2 | Tr-5 | Tr-10 | Tr-20 | Tr-50 | Tr-100 | |
| Dick y Peschke | 29.7 | 62.7 | 103.3 | 161.9 | 274.3 | 394.3 |
| Coeficientes | 25.7 | 55.2 | 92.1 | 146.0 | 250.3 | 362.0 |
| Variación | 4.0 | 7.5 | 11.2 | 15.9 | 24.0 | 32.3 |
| (DyP - Coef.) | 13% | 12% | 11% | 10% | 9% | 8% |
Fuente: Elaboración propia.
3.2. Comparación Hidrogramas Métodos Convencionales y Estocásticos
Los hidrogramas, según las limitaciones de los softwares IT-Lluvia e IT-Inundación, se determinaron 50 escenarios para cada periodo de retorno de 2, 5, 10, 20, 50 y 100 años. En la Figura 7a, 7b y Figura 7c se presenta la comparación de hidrogramas entre las metodologías convencionales y los 50 escenarios correspondientes a la metodología estocástica para el periodo de retorno de 100 años para las 3 subcuencas. En la Figura 7d se tiene el mismo análisis para la cuenca Misicuni (sitio actual de la presa del embalse de Misicuni). A cada serie de 50 caudales máximos de 50 escenarios estocásticas se ha ajustado una distribución Gumbel y determinado los máximos caudales estocásticos con probabilidades de 50, 10, 1 y 0.1 % de excedencia. Estos caudales están anotados en las 4 figuras. En la Tabla 7 se tiene los valores numéricos de estos 16 caudales estocásticos y de los 8 caudales determinísticos de los dos métodos convencionales.
Se observa en los 4 paneles y en la tabla que para las 3 subcuencas y para la cuenca en su totalidad que Qmax T=100 años excedido con 50 % y Qmax T=100 años excedido con 10 % están siempre inferior al máximo caudal simulado con los 50 escenarios T=100 años. Qmax T=100 años excedido con 1 % siempre está superior al máximo caudal simulado con los 50 escenarios para T=100 años. Lo cual es correcto, en base a la aplicación de la función de distribución de Gumbel a series de 50 valores.
Los caudales máximos determinísticos de los dos métodos convencionales para las subcuencas Sivingani (Panel c) y Serkheta (Panel b) son superiores a Qmax T=100 años excedido con 10 % e inferior o igual a Qmax T=100 años excedido con 1 %. Para la subcuenca Titiri (Panel a) y la cuenca total (Panel d), son superiores a Qmax T=100 años excedido con 10 % e igual o superior a Qmax T=100 años excedido con 0.1 %.

Fuente: Elaboración propia.
Figura 7: Comparación gráfica de hidrogramas para el periodo de retorno de 100 años (métodos convencional y estocástico) para a) Subcuenca Titiri, b) Subcuenca Serkheta, c) Subcuenca Sinvingani y d) Cuenca Misicuni.
TABLA 7 - COMPARACIÓN NUMÉRICA DE CAUDALES MÁXIMOS POR SUBCUENCAS Y CUENCA TOTAL PARA UN PERIODO DE RETORNO DE 100 AÑOS (MÉTODOS CONVENCIONAL Y ESTOCÁSTICO)
| Caudal Máximo (m3/s) | Sivingani | Serkheta | Titiri | Misicuni |
|---|---|---|---|---|
| Qmax excedido con P=50% | 40.0 | 70.0 | 70.0 | 180.0 |
| Qmax excedido con P=10% | 69.6 | 127.0 | 112.8 | 227.6 |
| Qmax excedido con P=1% | 107.3 | 195.0 | 168.0 | 283.6 |
| Qmax excedido con P=0.1% | 144.3 | 261.7 | 222.2 | 338.9 |
| Qmax conv. (Dick y Peshke) | 92.0 | 205.4 | 223.3 | 394.3 |
| Qmax conv. (Coeficientes) | 80.0 | 188.9 | 207.3 | 362.0 |
Fuente: Elaboración propia.
Los caudales máximos determinísticos para T=100 años resultan superiores a los máximos caudales de los 50 escenarios estocásticos correspondientes. Esto se debe a que están calculados con la metodología Thiessen, la cual considera las máximas precipitaciones diarias en 5 estaciones y, una distribución uniforme de la precipitación conforme polígonos determinados con el criterio “del vecino más cercano” agregada a la salida de las subcuencas. Adoptar el criterio de simultaneidad de máximas precipitaciones entre todas las estaciones no es correcto para la cuenca de Misicuni. En la Tabla 8 se confirma que, en un periodo de 53 años de registros diarios de precipitación, solamente hubo 2 años donde las 5 estaciones registraron la máxima precipitación de forma simultánea, 6 años con 4 estaciones, 11 años con 3 estaciones, 22 años con 2 estaciones y 12 años con ninguna simultaneidad entre las máximas precipitaciones diarias en las 5 estaciones.
TABLA 8 - NÚMERO DE EVENTOS CON SIMULTANEIDAD ENTRE LAS ESTACIONES
| Estaciones Simultáneas | Número de eventos | Años de registro en periodo de 1968 a 2020 |
|---|---|---|
| NS | 12 | 1968-1969-1970-1976-1977-1979-1980-1983-1984-2009-2011-2018 |
| 2 | 29 | 1975-1973-1974-1975-1978-1981-1982-1985-1986-1987-1988-1989-1990-1993-1994-1996-1998-2000-2005-2006-2008-2019-2020 |
| 3 | 11 | 1988-1991-1992-1995-2001-2002-2004-2005-2007-2013-2014 |
| 4 | 6 | 1999-2003-2010-2015-2016-2017/ |
| 5 | 2 | 1997-2012 |
Fuente: Elaboración propia.
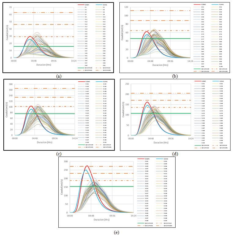
Con la presente investigación se han procesado aparte del periodo de retorno 100 años también los periodos de retorno 2, 5, 10, 20 y 50 años para las 3 subcuencas y la cuenca total. En la Figura 8 se tiene los hidrogramas de la cuenca total para los periodos de retorno de 2, 5, 10, 20 y 50 años.

Fuente: Elaboración Propia
Figura 8: Comparación gráfica de hidrogramas cuenca Misicuni (método convencional y estocástico) para el periodo de retorno: a) 2 años, b) 5 años, c) 10 años, d) 20 años y e) 50 años.
Para 20 y 50 años de periodo de retorno, los hidrogramas tienen las mismas características ya mencionadas para un periodo de retorno de 100 años. Para pequeños periodos de retorno 2, 5 y 10 años los máximos caudales de los hidrogramas determinísticos se encuentran en la franja de caudales estocásticas Qmax T excedido con 50 % y Qmax T excedido con 10 %. Existiendo una mejor correspondencia entre los máximos caudales de los hidrogramas convencionales y estocásticos.
En la Tabla 9 se tienen para la cuenca de Misicuni y sus subcuencas por periodo de retorno los valores de los máximos caudales que corresponden a los hidrogramas determinísticos (metodologías convencionales) y estocásticos descritos y analizados anteriormente.
TABLA 9 - VALORES DE CAUDALES MÁXIMOS ESTOCÁSTICOS Y DETERMINÍSTICOS SEGÚN PERIODOS DE RETORNO EN LA CUENCA MISICUNI Y SUS SUBCUENCAS
|
P exc. (50%) |
P exc. (10%) |
P exc. (1%) |
P exc. (0.1%) |
Qmax. (DyP) |
Qmax. (Coef) |
|
| Periodo de retorno 2 años | ||||||
| Subcuenca Sivingani | 3 | 9 | 16 | 24 | 7 | 6 |
| Subcuenca Serkheta | 8 | 23 | 42 | 60 | 17 | 15 |
| Subcuenca Titiri | 5 | 11 | 18 | 25 | 13 | 15 |
| Cuenca Misicuni | 16 | 29 | 46 | 63 | 30 | 26 |
| Periodo de retorno 5 años | ||||||
| Subcuenca Sivingani | 11 | 29 | 51 | 73 | 15 | 12 |
| Subcuenca Serkheta | 19 | 43 | 73 | 103 | 35 | 31 |
| Subcuenca Titiri | 14 | 31 | 52 | 73 | 34 | 30 |
| Cuenca Misicuni | 46 | 65 | 88 | 111 | 63 | 55 |
| Periodo de retorno 10 años | ||||||
| Subcuenca Sivingani | 15 | 35 | 59 | 83 | 24 | 20 |
| Subcuenca Serkheta | 37 | 70 | 111 | 151 | 57 | 51 |
| Subcuenca Titiri | 22 | 48 | 81 | 114 | 56 | 51 |
| Cuenca Misicuni | 76 | 102 | 134 | 165 | 103 | 92 |
| Periodo de retorno 20 años | ||||||
| Subcuenca Sivingani | 22 | 47 | 78 | 108 | 38 | 32 |
| Subcuenca Serkheta | 48 | 85 | 130 | 175 | 88 | 79 |
| Subcuenca Titiri | 35 | 68 | 109 | 150 | 90 | 82 |
| Cuenca Misicuni | 107 | 135 | 170 | 205 | 162 | 146 |
Fuente: Elaboración propia.
Las relaciones Qmax(Tr) pueden dibujarse en ejes con escala logarítmica permitiendo que los caudales estocásticas y convencionales puedan extrapolarse para estimar los caudales con periodos de retorno para 1000 y 10000 años, Figura 9 y Tabla 10.
Los caudales estocásticos se extrapolaron bien con coeficientes de determinación R2 mayor a 0.99 y con un control visual aceptable. Aunque los caudales convencionales se han extrapolado con coeficientes de determinación R2 mayor a 0.92 el control visual no demuestra un ajuste bueno con los datos base, pero la gráfica de los valores extrapolados parece aceptable.
En la Tabla 10, se tiene un resumen de los caudales máximos de las crecidas centenaria, milenaria y decamilenaria del PMM, en base a las 7 metodologías analizadas (5 metodologías estocásticas: Qmax excedido con P=50%, Qmax excedido con P=10%, Qmax excedido con P=1%, Qmax excedido con P=0.1% y Qmax excedido con P=0.01% y 2 metodologías determinísticos: Qmax conv (coe) y Qmax conv (D y P). En la misma tabla se tienen los caudales de entrada al embalse y de salida por el vertedero de excedencias del embalse: centenario, milenario, deca milenario y máximo probable que fueron usado para el diseño y ejecución del PMM, ENGEVIX CAEM 2015.

Fuente: Elaboración Propia.
Figura 9: Relaciones Qmax (Tr) para cuenca total del Proyecto Misicuni proyectados hasta periodo de retorno 10000 años.
TABLA 10 - ESTIMACIÓN DE CAUDALES CENTENARIO, MILENARIO Y DECAMILENARIA PROYECTO MISICUNI
|
Caudal máximo (m3/s) |
Periodo de retorno (años) |
Caudal máximo probable (m3/s) |
||
|---|---|---|---|---|
| 100 | 1000 | 10000 | ||
| Qmax excedido con P=50% | 182 | 280 | 380 | - |
| Qmax excedido con P=10% | 227 | 340 | 470 | - |
| Qmax excedido con P=1% | 284 | 410 | 560 | - |
| Qmax excedido con P=0.1% | 339 | 490 | 640 | |
| Qmax excedido con P=0.01% | 394 | 560 | 750 | - |
| Qmax conv (Coeficientes) | 362 | 510 | 710 | - |
| Qmax conv (Dick y Peshke) | 394 | 560 | 780 | - |
| Qmax informe Misicuni | 330 | 510 | 680 | 2306 |
| Qmax laminado Misicuni | 65 | 119 | 178 | 800 |
Fuente: Elaboración propia.
En la Tabla 10, se ve que el método determinístico convencional en base a coeficientes de desagregación Qmax conv (coe) da valores característicos muy similares a las que el PMM ha usado para diseño y ejecución. Es muy probable que el PMM se realizó en base a un estudio determinístico convencional con coeficientes de desagregación. El método estocástico que entrega valores cercanos a los valores característicos del PMM es el que considera la probabilidad de excedencia de 0.1 % Qmax excedido con P=0.1%. Esta probabilidad es estricta y demuestra que la precipitación máxima diaria no es uniforme sobre la cuenca, ver líneas arriba. La aplicación de Thiessen activando todas las estaciones de forma simultánea no es correcta para el PMM. El método estocástico demuestra que las crecidas del PMM deben ser inferiores a las que el PMM ha considerado para el diseño, construcción y operación. El PMM podrá disminuir las medidas de seguridad que se toman para proteger el embalse y subir la rentabilidad del embalse. No es aconsejable realizar aquello sin haber realizado previamente campañas de aforos y determinado cuantitativamente en qué escenario se encuentra el método estocástico.
4. CONCLUSIONES
La metodología estocástica en base a la generación de curvas PADF y escenarios de tormentas elípticas sobre la cuenca, permite tener una visión más característica y detallada sobre el comportamiento real en base a registros históricos de precipitaciones y la geomorfología de la cuenca. Sin embargo, donde más llega a destacar es en estudios de cuencas de gran superficie.
La aplicación estocástica y los softwares especializados (IT-LluviaNH y IT-inundación) sobre la cuenca Misicuni, permitió obtener 300 escenarios de tormentas elípticas con diferentes distribuciones espaciales e intensidades que permiten hacer un control no solo de caudales máximos correspondientes a eventos extremos del PMM, sino también caudales máximos con la realización de estudios o proyectos dentro de la cuenca.
Para las dos metodologías estocástica y convencional se ha logrado extrapolar los caudales con periodos de retorno, Tr = 2, 5, 10, 50 y 100 años a caudales con periodo de retorno 1000 y 10000 años.
Según la comparación de resultados de las diferentes metodologías y criterios optados, se obtuvieron caudales menores a las convencionales adoptadas para diseño del PMM cercano al 30%, debido a la distribución espacial del evento como tal, una metodología convencional que relaciona su distribución en la totalidad de la superficie de la cuenca no es lo más realista, pero sí con más rango de seguridad y contra mayores costos económicos.
El método estocástico demuestra que las crecidas del PMM deben ser inferiores a las que el PMM ha considerado para el diseño, construcción y operación. El PMM podrá disminuir las medidas de seguridad que se toman para proteger el embalse y subir la rentabilidad económica del embalse. No es aconsejable realizar aquello sin antes haber efectuado campañas de aforos y determinar cuantitativamente en qué escenario se encuentra del método estocástico, vale decir que previo se debe calibrar el método estocástico.
El modelo hidrológico propuesto relaciona las tres subcuencas principales de aportación, se consideró un ruteo del río Misicuni con un tiempo de retardo, el cual fue descartado por la cobertura actual del embalse sobre el río Misicuni. Los caudales entran directamente al embalse, por lo cual son laminados y no son transportados.
La metodología estocástica del CAPRA-BID está basado en un escaneo sobre las 5 estaciones de forma simultánea y una distribución de la precipitación conforme a las isoyetas procesadas mediante grilla y red de flujo, lo cual corresponde a un modelo distribuido.
La metodología Thiessen es artificial, sencilla y menos precisa, pero con resultados al lado de la seguridad. La metodología estocástica es complicada de aplicar, pero está basada sobre principios más correctos y entrega resultados que más se aproximan a la realidad.

















