1. INTRODUCCIÓN
Las zonas urbanas de las principales ciudades de Bolivia han mostrado un crecimiento acelerado debido a la migración de las zonas periurbanas y urbana. Esta expansión conlleva varios desafíos como adaptación del terreno y relieve que se encuentra en sus alrededores. Debido a esto, la naturaleza se encuentra sometida de manera constante cambiante a diferentes fenómenos climatológicas que podrían derivar en repercusiones a las diferentes estructuras construidas; son los efectos del cambio climático.
Dentro de este conjunto de efectos, todos los relacionados al agua tienen una fuerte repercusión en la sociedad. Las sequias son un fenómeno en donde los ciclos hidrológicos y la humedad de la tierra se ven reducidos en un gran porcentaje en relación a datos históricos previos [1]. Ante la presencia de largo periodos de reducción de lluvias y las altas temperaturas, las fuentes de agua dulce superficial se reducen, produciendo perdidas en las zonas agrícolas y ganaderas de cualquier municipio [2]. Por otro lado, los servicios de distribución de agua se ven afectados ante un menor ingreso de este recurso, provocando desabastecimientos en las zonas más alejadas; provocando la necesidad de buscar fuentes de agua subterráneas. Sin embargo, este tipo de afectaciones no tiene una repercusión estructural tan crítica como el caso opuesto a este fenómeno.
El aumento de intensidad de lluvias en eventos más cortos, han provocado un aumento drástico de caudales de ríos, más conocida como inundaciones que provocando el ensanchamiento de ríos y causando problemas como arrastre de cultivos, mortandad de animales y, en caso severos, posibilidad de pérdida de vidas humanas [3]; esto desde la perspectiva de zonas abiertas (área rural). En las ciudades que posean ríos encausados un aumento drástico del caudal puede provocar daños severos a la estructura que los rodean, inundaciones en zonas aledañas (generalmente caminos), peligro de arrastre de puentes, etc. [4]. Ante este problema, se requiere considerar medidas que permitan reducir la escala de afectación a la sociedad.
En este sentido, el análisis y adquisición de información de precipitación de alta resolución es un insumo crítico para evaluar los efectos de posibles inundaciones. Las estaciones meteorológicas y pluviométricas son herramientas que, a través de la instalación en diferentes zonas de interés, permite la captura de datos de precipitación, temperatura, humedad, entre otras; siendo una de las herramientas más populares. No obstante, el número y distribución equitativa de estaciones a instalar dependen de la capacidad económica y de mantenimiento que cada institución administradora. Debido al costo, algunos países no cuentan con una amplia densidad de estaciones a lo largo de su territorio recomendada por la Organización Mundial de Meteorología (OMM) [5]; por otro lado, la instalación de estas estaciones implica la necesidad de movilizar gente, preparar zonas de ubicación, instalar medidas de protección, etc. Sin embargo, a pesar de las precauciones y medidas tomadas al momento de su instalación, estos equipos son susceptibles a fallas de funcionamiento debido a problemas técnicos, vandalismo o robo de componentes. Debido a ello, la mayoría de estos equipos quedan activos en zonas pobladas o de fácil acceso y no así en zonas rurales y montañosas.
En el caso de la ciudad de La Paz, ubicada dentro la cuenca Choqueyapu presenta nacientes de su rio principal a 4500 metros sobre el nivel del mar (m.s.n.m.), extendiéndose por 44 km y cruzando por medio de la ciudad de La Paz. La cuenca cuenta con un potencial de aumento de caudales y arrastre de sedimentos, en temporadas húmedas, cada vez más constantes y con mayor fuerza. Debido a ello, se empezaron a realizar estudios y proyectos en torno a estimar las amenazas, vulnerabilidades y riegos que varios tramos del río puedan afectar al funcionamiento de la ciudadanía. Para ello, se generó una base de datos de precipitación histórica con las estaciones disponibles. Sin embargo, se vio que dentro de la base de datos del Servicio Nacional de Meteorología e Hidrología (SENAMHI) que se encarga de administrar la red de estaciones de Bolivia, no se contaba con estaciones cercanas a la cuenca, ver Figura 1. Como solución a esa medida se optaron por buscar estaciones meteorológicas y pluviométricas de otras entidades, en este caso se propone generar estaciones sintéticas en base a la grilla meteorológica GMET [6]
Ante dicha situación, otras soluciones que se consideraron fueron el manejo de productos de precipitación satelital y productos combinando este último con los datos registrados por estaciones en tierra. En el caso de los datos de precipitación satelital, estos presentan un carácter grillado (imágenes formadas por pixeles) de diferentes dimensiones; resultante del procesamiento de información recopilado de diferentes sensores a bordo de satélites, algoritmos computacionales de alta potencia y, en algunos casos, datos de estaciones meteorológicas o pluviométricas. Varios de estos productos presentan libre acceso a sus datos para su manejo en diferentes estudios; sin embargo, una condicional que radica en todos estos es que son estimaciones de precipitación que no captura los datos reales que caen a tierra, siendo susceptibles a afectaciones relaciones a la curvatura y relieve de la superficie terrestre [7]. Es por ello que, el manejo de metodologías de combinación de productos es una alternativa que permite mejorar la precisión de los datos satelitales manteniendo sus características espaciales, siendo la metodología de generación por iteración una de las más probadas a nivel nacional [8], en las tres macro-cuencas de Bolivia [9] también fueron implementadas estudios de modelación hidrológica en algunas cuencas priorizadas como Rocha [10] o Guadalquivir [11] pero todavía no en la cuenca Choqueyapu paso diario.
El objetivo de este estudio es generar un producto a nivel diario de precipitación como resultado de la combinación de estaciones locales y sensores remotos, este producto puede ser empleado en la generación de estudios de riesgos a inundaciones para la cuenca Choqueyapu.
2. ÁREA DE ESTUDIO
La cuenca Choqueyapu se halla ubicada en el municipio de La Paz. La cuenca presenta su naciente a los 4500 m.s.n.m., extendiéndose hacia el municipio de La Paz a través de la zona de la carretera doble vía La Paz - El Alto. Este rio atraviesa por la ciudad de La Paz, atravesando el Centro, zona de Sopocachi, Obrajes y terminando en Calacoto, a 3200 m.s.n.m., como se observa en la Figura 1.
Debido a su ubicación, la cuenca Choqueyapu presenta aspectos de manejo e implementación de acciones para provisión y mejoramiento de los servicios de agua potable y saneamiento básico; el sistema de drenaje pluvial de la zona urbana, y la caracterización de las cargas contaminantes y de calidad de agua en estos cuerpos de agua. Se ha notado que varios segmentos del río, dentro de la ciudad de La Paz, presenta canalización en embovedados llegando a extenderse a aproximadamente 14 km [12].

Fuente: Elaboración Propia.
Figura 1: Mapa de la cuenca Choqueyapu: a) Elevación y b) Ubicación de Referencias.
El motivo del interés en esta cuenca se debe a la susceptibilidad de estructuras de diferente índole a la amenaza de inundaciones que se encuentra en la ciudad; siendo los últimos casos registrados en marzo 2024, donde las zonas de Calacoto, Achumani y Aranjuez sufrieron de desbordes del rio, causando el arrastre de vehículos ante la fuerza del río y el cierre de varias vías [4]. En estudio previos se realizaron el análisis y generación de mapas de riesgos e implementación de sistemas de alerta temprana [13], permitiendo a los diferentes agentes relacionados al manejo de amenazas, considerar diferentes herramientas de trabajo, esto debido a eventos extremos de precipitación registrados que llegan a más de 100 mm/día en época de lluvias. Sin embargo, para manejar estos sistemas solo se limitó al uso de estaciones meteorológicas y sintéticas como unidades de control.
3. METODOLOGÍA
En esta sección se describe los pasos claves necesarios para el tratamiento de datos y su interpretación para la cuenca Choqueyapu. Primeramente, se presentan las estaciones pluviométricas disponibles. Después, se presentan los productos con base satelital que se emplearon. Seguidamente, se presenta la metodología de combinación para obtener el producto hibrido a paso diario para la zona de estudio.
3.1. Estaciones Pluviométricas
El manejo de estaciones pluviométricas es un elemento esencial para el análisis hidrológico histórico de una cuenca. Debido a ello, contar con el mayor número de estas permite el manejo de mayor precisión de la distribución de la lluvia en la zona de estudio.
Para el caso de la cuenca Choqueyapu, la cuenca cuenta con varias estaciones meteorológicas y pluviométricas provenientes de la base de datos de SENAMHI, EPSAS (Empresa Pública Social de Agua y Saneamiento) y del Gobierno Autónomo Municipal de La Paz (GAMLP). No obstante, el análisis de riesgos requiere de acceso constante a la base de datos y solo una de las instituciones mencionadas cumple tal condición: GAMLP. En el caso de SENAMHI, su base de datos abierta al público es actualizada cada mes y en el caso de las EPSAS, el manejo de los datos debe ser constantemente solicitado. Debido a ello, se pasó de tener más de 20 estaciones a únicamente 13 estaciones con datos del periodo 2021-2023, como se observa en la Figura 2.
3.2. Precipitación Estimada desde Sensores a Bordo de Satélites
Dentro de las alternativas al manejo de estaciones pluviométricas se puede mencionar el manejo de radares terrestres y productos de precipitación satelital. Ambas alternativas emplean una resolución espacial distribuida en forma de grilla, siendo el manejo de radares el que presenta mayor precisión con relación al manejo de satelitales. Sin embargo, la accesibilidad a esta información se ve obstruida debido a los costos de instalación, funcionamiento y mantenimiento de los radares.
Los productos de precipitación con base satelital disponibles y con acceso público surgen como una alternativa para completar espacios que los pluviómetros no pueden cubrir en una cuenca. Dentro de estos productos, la línea de productos satelitales se encuentra Global Satellite Mapping of Precipitation (GSMaP) [14], dentro esta familia se presenta una diversidad de productos entre ellos GSMaP_MVK, GSMaP_Gauge, GSMaP_NRT y GSMaP_GREV que fueron empleados en estudios previos relacionados en análisis de precipitación en Bolivia [15].
Para el presente estudio se optó por el producto GSMaP_NRT (Near-Real Time), un producto de procesamiento horario y de disposición cada 4 horas para análisis de inundaciones y emisión de alertas. A diferencia de las otras versiones, NRT omite el proceso de reanálisis en beneficio de obtener un producto con accesibilidad temprana [16]. No obstante, la versión GSMaP_NRT_Gauge presenta la misma velocidad de procesamiento, incluyendo los datos de algunos pluviómetros que se emplearon en la versión GSMaP_Gauge. Para este trabajo, se estaría empleando GSMaP.v6_NRT_Gauge.
3.3. Precipitación Combinada
La precipitación combinada es un hídrico que permite a los usuarios generar un nuevo producto que considere los datos puntuales medidos a superficie terrestre y la resolución espacial grillada del producto satelital que cubre toda la cuenca. Se ha empleado la metodología iterativa, donde se compensa sobre o subestimaciones del producto satelital. Se genera en cada iteración un error relativo entre los datos de estaciones interpolado y el producto satelital hasta llegar a la convergencia [8]. Esta metodología emplea la ecuación de error relativo (como función objetivo es la reducción de este) considerando como datos observados a pluviómetros y datos simulados a los datos satelitales, esta ecuación aplicada a cada subcuenca que son consideradas como las unidades de control, para ello el error relativo obtenido procede a volverse en error relativo promedio para cada subcuenca que conforma el sistema. El objetivo del error relativo es generar un factor que permita reducir el rango de este error a través de un proceso de iteración; es decir, que el proceso se repetirá las veces necesarias hasta que los indicadores seleccionados muestren convergencia. En la Figura 3 se resume el proceso descrito previamente para obtener el producto combinado para cada sub-cuenca, de esta manera se obtiene la distribución de la precipitación. Si se desea más mayor resolución, se deben subdividir en mayor número de sub-cuencas.

Fuente: Ajustado de [8].
Figura 3: Flujograma para la generación de productos combinados por iteración.
4. RESULTADOS
Para mostrar espacialmente los resultados la cuenca Choqueyapu se ha divido en nueve subcuencas a través del método de Pfafstetter. Cada subcuenca ha sido considerada como unidad de análisis y control del proceso de generación del producto combinado, como se observa en la Figura 4.
En la Tabla 1, se observa los indicadores estadísticos resultantes del proceso iterativo de generación del producto. El error relativo de GSMaP marca un valor de -182.9%, mostrando casos de sobrestimación en su base de datos en relación con los datos observados. Con la aplicación de la metodología de combinación, dicho error se volvió positivo, indicando casos de subestimación que se fueron reduciendo en base a la generación de una nueva versión del producto. Por otro lado, el producto inicial GSMaP presenta una correlación de 0.60, mostrando una tendencia a asemejar los valores de estaciones en más del 50%. Sin embargo, los indicadores MAE y RMSE muestra que los valores de GSMaP presentan diferencias de 1.75 y 4.16 mm/día con relación a los valores de pluviómetros. El indicador de la Eficiencia de Nash & Sutcliffe muestra un valor negativo, señalando que la base de datos de GSMaP no es recomendada para sustituir directamente a la base de datos de pluviómetros.
Por otro lado, se puede observar que el manejo de los resultados del proceso iterativo muestra mejores valores relacionados al producto satelital, dando una gran mejora para el primer producto iterado y mejorando progresivamente los valores hasta la versión 5. De esta manera el producto v5, denominado GS de aquí en adelante, presenta una mejora notoria con respecto al producto original. En realidad, GS muestra una correlación de 0.93, indicando gran proximidad a la base de datos pluviométrica, indicadores MAE y RMSE de 0.4 y 1.47 mm/día mostrando una menor diferencia de los valores y, finalmente, un NSE de 0.85 que indica que el producto GS es factible a ser sustituido en operaciones y estudios que requiera datos de precipitación.

Fuente: Elaboración Propia.
Figura 4: Mapa de subcuencas y ubicación de estaciones de la cuenca Choqueyapu.
TABLA 1 - INDICADORES ESTADÍSTICOS DE LOS PRODUCTOS DE PRECIPITACIÓN SATELITAL Y COMBINADOS RESULTANTES DE LA METODOLOGÍA DE GENERACIÓN ITERATIVA
| Indicadores Estadísticos | GSMaP | Iteración v1 | Iteración v2 | Iteración v3 | Iteración v4 | Iteración v5 (GS) |
|---|---|---|---|---|---|---|
| Error Relativo (%) | -182.9 | 68.5 | 59.8 | 50.1 | 42.2 | 37.1 |
| Coeficiente de Determinación (R2) | 0.37 | 0.54 | 0.65 | 0.75 | 0.83 | 0.87 |
| Coeficiente de Correlación (R) | 0.60 | 0.73 | 0.80 | 0.87 | 0.91 | 0.93 |
| Error Absoluto Medio (MAE) | 1.75 | 1.08 | 0.89 | 0.71 | 0.56 | 0.44 |
| Error Cuadrático Medio (RMSE) | 4.16 | 2.91 | 2.54 | 2.14 | 1.75 | 1.47 |
| Eficiencia de Nash & Sutcliffe (NSE) | -0.48 | 0.41 | 0.56 | 0.69 | 0.80 | 0.85 |
Cabe hacer notar que cada indicador presenta un grado de mejora diferente en base a los datos satelitales originales. En la Figura 5, se llega apreciar el porcentaje de mejora acumulado para los indicadores estadísticos mostrados en cada proceso de iteración. A simple vista, NSE muestra el mayor grado de mejora con valor total de 277%, siendo durante la primera iteración el que aporta gran parte de esta mejora (184%). Sin embargo, una de las cualidades que todos los productos llegan a presentar es una reducción del porcentaje de mejora a medida que se va generando nuevos productos iterados. En la 5ta Iteración, para obtener el producto GS, el porcentaje de mejora ronda entre los 4 y 12% en los diferentes indicadores estadísticos.

Fuente: Elaboración Propia.
Figura 5: Evolución de la mejora acumulada de los indicadores estadísticos del proceso de iteración.
Como resultado, la precipitación media del proceso de generación se puede apreciar en la Figura 6 que, los mapas de precipitación promedio diaria para las estaciones pluviométricas, GSMaP y GS. Los datos interpolados de estaciones pluviométricas, usado como control, presentan una máxima precipitación de 3.84 mm/día y el mínimo de 0.67 con una diferencia de 3.17 mm. En la parte norte, aguas arriba, se llegar apreciar un corte resultante del proceso de interpolación de los datos, mostrado la mayor precipitación de la cuenca. Los valores de GSMaP presentan precipitaciones máximas de 1.90 mm/día y una mínima de 1.39 mm/día con una diferencia de solo 0.51 mm, mostrando un carácter menos dispersivo a lo largo de la cuenca, debido a que el mapa se encuentra conformado por 6 pixeles de 0.1 x 0.1° (aproximadamente 10 x10 km). El producto satelital final muestra valores de precipitación media entre 2.36 y 0.75 mm/día. A diferencia de los casos anteriores, el mapa de GS muestra una distribución de la precipitación similar a la presentada por pluviómetros, considerando los valores de GSMaP en la zona norte de la cuenca, sin replicar el aumento sustancial de precipitación como se observa en el Panel a) de la Figura 6.

Fuente: Elaboración Propia.
Figura 6: Mapas de precipitación promedio diaria del periodo 2021-2023 para: a) Estaciones Pluviométricas Interpoladas, b) Producto GSMaP_NRT_Gauge y c) Producto Combinado GS.
Posteriormente, se ha realizado un análisis de las series de tiempo de precipitación para el periodo 2021-2023, donde comparan los tres productos. En la Figura 7, se identifican tres líneas representativas de diferentes fuentes de datos: la primera corresponde a las mediciones de pluviómetros, la segunda a los datos de GSMaP y la tercera al producto combinado GS. La línea de pluviómetros se caracteriza por mantenerse consistentemente en la parte superior del gráfico, reflejando mediciones directas y típicamente más altas de precipitación en comparación con las otras dos. Por otro lado, la línea de GSMaP exhibe variaciones que oscilan la línea de pluviómetros, lo cual es característico de las variaciones inherentes a los datos satelitales, observándose una sobrestimación al final del periodo de análisis. Durante el proceso de generación de productos combinados, la primera versión del producto presenta una severa subestimación de valores, compartiendo con el dato de tierra únicamente el comportamiento. En contraste, la línea del producto combinado GS sigue la tendencia general de los pluviómetros, pero se encuentra posicionada más abajo en relación a las otras líneas.

Fuente: Elaboración Propia.
Figura 7: Serie de tiempo de precipitaciones para el periodo 15/1/2021 a 15/5/2023.
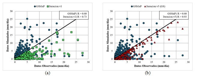
Adicionalmente, se han preparado gráficos scatterplot para comparar la evolución de la primera iteración hasta la quinta. En la Figura 8, se observa que los datos de GSMaP están consistentemente por encima de la línea de tendencia, mostrando pocos valores por debajo de esta; mientras que los datos de la iteración v1 se distribuyen principalmente por debajo de esta línea, mostrando casos de subestimación critica en relación con los valores observados (Panel a). Por otro lado, los datos de la iteración v5 (GS) muestran una tendencia a una menor subestimación en valores bajos y con mayor acercamiento a la línea de tendencia, demostrando el efecto positivo de esquema de corrección aplicado.
5. CONCLUSIONES
En este estudio se han generado productos combinados entre datos pluviométricos y satelitales empleando la metodología de combinación por iteración. Se ha utilizado el producto GSMaP.v6_NRT_Gauge por su disponibilidad más rápida que los otros productos de la misma familia.
Durante la gestión del proceso iterativo, se llegó a la convergencia aceptables en la quinta iteración. El producto GSMaP, de manera inicial, no presentó la posibilidad de ser empleado de manera directa en estos estudios: con una correlación de 0.60, se marcaba un grado bajo de relación con la base de datos pluviométricas. Al mostrar una eficiencia negativa (-0.48), esta indica que los datos de GSMaP no pueden sustituir a los datos de tierra. Durante el proceso de generación por iteración, los productos generados mostraron un grado de mejora alto, llegando a valores de mejora entre los 56 y 277% en función a los indicadores estadísticos. Siendo la iteración v5, denominada producto GS, la que presenta una correlación de 0.93 y una eficiencia de 0.85; volviéndose una alternativa para estos estudios. Nótese que, a medida que se va generando más productos iterados, el porcentaje de mejora se va reduciendo. Se obtuvieron valores entre los 4 y 12% de mejora con relación a los valores de la iteración 4 y la iteración 5.
En cuanto al análisis de mapas de precipitación promedio diaria, se observa que la región norte de la cuenca presenta un sector con un valor máximo de 3.84 mm/día. Este sector norte esta caracterizado debido a la ausencia de estaciones en esta zona, donde se ha utilizado la información únicamente con estación de la zona sur de la cuenca. El producto satelital presenta una capa conformada por 6 pixeles que tienen valores entre los 1.39 y 1.9 mm/día, presentando sobrestimación en la zona sur y valores similares en la región norte de la cuenca. El producto GS presenta una distribución similar a la observada en pluviómetros, con valores entre 0.75 y 2.36 mm/día. Este producto llega a semejar el comportamiento de la zona sur de la cuenca y adapta el comportamiento mostrado por pluviómetros con la distribución de presentada en GSMaP.
En base a estos resultados, se puede observar en las series de tiempo que el producto GS presenta comportamiento similar a los presentados por los datos de pluviómetros, presentado una subestimación constante a lo largo del periodo de estudio. Si bien GSMaP presenta un comportamiento cercano a los datos observados; no obstante, los datos de este producto satelital tienen una mayor tendencia a la sobrestimación, siendo más crítica en los últimos meses del periodo de estudio.
La exploración de otros productos satelitales de precipitación con igual o mejor resolución temporal y espacial, además que estén disponibles casi en tiempo real, puede apoyar en la generación de mejores productos combinados. De esta manera, pueden ser implementados en herramientas de simulación de eventos extremos como inundaciones y así apoyar en la emisión de alertas temprana.















