Servicios Personalizados
Revista
Articulo
Indicadores
-
Citado por SciELO -
Accesos
Links relacionados
-
Similares en
SciELO
Compartir
Investigación & Desarrollo
versión impresa ISSN 1814-6333versión On-line ISSN 2518-4431
Inv. y Des. vol.21 no.1 Cochabamba 2021
DOI: 10.23881/idupbo.021.1-8i
ARTÍCULOS - INGENIERÍAS
GENERACIÓN DE OPCIONES DE DESTINO PARA SEMIPRODUCTOS DEL ACERO EN LAS EMPRESAS SIDERÚRGICAS
GENERATION OF DESTINATION OPTIONS FOR SEMI-PRODUCTS OF STEEL IN STEEL COMPANIES
Doniel Jiménez Sánchez y José Arzola Ruiz
Centro de Estudios de Matemática para las Ciencias Técnicas (CEMAT), La Habana, Cuba
(Recibido el 12 de junio 2021, aceptado para publicación el 16 de julio 2021)
RESUMEN
Las mejores opciones de destino de hornadas de los semiproductos para la producción terminada de los talleres de la industria siderúrgica son aquellas en las que se minimiza el exceso de propiedades mecánicas con respecto a sus valores normados y se aseguran, por tanto, los valores requeridos de éstas. En este proceso se hace necesaria la estimación de las propiedades mecánicas de las hornadas a partir de su composición química y superficie transversal del producto terminado. En este trabajo la estimación se hizo mediante las redes neuronales de base radial regularizada, a partir de los datos acumulados de ensayos mecánicos en los talleres adoptados como caso de estudio. La utilización de estas redes permite disminuir los errores en la estimación de las propiedades mecánicas de los perfiles ligeros de acero. Se obtienen resultados satisfactorios en la generación de opciones de destino en un caso de estudio.
Palabras Claves: Dirección de la Producción, Selección de Materiales, Redes Neuronales de Base Radial, Regularización.
ABSTRACT
The best destination options of the semi-products heats to produce finished steel profiles in the steel industry lamination shops are those for which the excess of mechanical properties respecting the normed ones is minimized, assuring its normed required values. In this process the estimation of mechanical properties of the heats starting from its chemical composition, and traverse surface of the finished profiles becomes necessary. In the present work this estimation is done by regularized radial based neural networks, starting from the available mechanical properties data obtained from the quality control of the workshops adopted as study cases. The use of these networks allows diminishing the errors in the mechanical properties estimation. Satisfactory results are obtained in generating destination options in a case study.
Keywords: Production Management, Materials Selection, Radial Basis Neural Networks, Regularization.
1. INTRODUCCIÓN
El problema de la generación de opciones de destino se encuentra directamente relacionado con el problema general de selección óptima de materiales, el que ha sido estudiado por numerosos autores. En efecto, el problema de cuales hornadas han de ser utilizadas en determinados destinos del conjunto de hornadas en proceso constituye un problema de selección óptima de materiales [1]-[2].
De acuerdo con [3]-[4] las metodologías de selección de materiales parten de la contrastación que surge entre la combinación de los atributos de los procesos y las propiedades de los materiales mediante gráficos especiales. Estos procedimientos son de carácter general, y aunque tienen gran aceptación en la ingeniería de materiales moderna, evaden indicadores y restricciones asociadas a factores técnicos y organizativos, determinantes de la generación de opciones de destino de hornadas de la industria siderúrgica, discriminantes para reducir el número de alternativas a evaluar en problemas de selección de materiales. El destino de hornadas es parte componente de la dirección general del proceso productivo de las empresas siderúrgicas, por lo que su estudio debe realizarse a partir de las tareas asociadas a la dirección de la producción de acero, y constituye una tarea esencial para el ahorro de materias primas, y garantizar una correcta distribución de los recursos en las empresas siderúrgicas [1], [3]-[5]. De ahí la necesidad de elaborar un algoritmo automatizado que permita generar opciones de destino adecuadas para las hornadas terminadas, según los pedidos de los clientes.
Las mejores opciones de destino de hornadas de materiales son aquellas en las que se minimiza el exceso de propiedades mecánicas, asegurando los valores requeridos de éstas para el cumplimiento de la designación de servicio [1], [4]-[5], ya que el cumplimiento de este indicador presupone la mejor utilización de las hornadas. Las propiedades mecánicas del acero, para cada taller de laminación de productos terminados específico, dependen no propiamente de la marca de acero fabricada, sino de la composición química real obtenida y de la sección transversal del producto terminado [1]-[2]. La producción principal en muchas empresas siderúrgicas se centra en barras de acero, que son utilizadas luego en la construcción. Las propiedades de dichas barras que se priorizan por los clientes y las normas son el límite de fluencia y el límite de rotura.
En este trabajo se presenta el modelo matemático que resuelve el problema de la generación de opciones de destino de hornadas de acero en las empresas siderúrgicas, y se plantea el algoritmo para su solución. En la solución del problema se hace indispensable la utilización de métodos de estimación de las propiedades mecánicas de las hornadas terminadas. Basado en los trabajos [6]-[10] se propone la estimación de las propiedades mecánicas de las barras usando redes neuronales de base radial, entrenadas con regularización, con lo cual se logra una reducción del error de apreciación del modelo en presencia de mediciones imprecisas.
Se adoptan como caso de estudio los talleres de laminación 250 y 300 de la Empresa Antillana de Acero, ubicada en La Habana, Cuba, los que producen fundamentalmente barras corrugadas para la construcción a partir de palanquillas de sección cuadrada coladas en una instalación de vaciado continuo.
2. PROCESO DE GENERACIÓN DE OPCIONES DE DESTINO DE SEMIPRODUCTOS DEL ACERO
2.1 Preparación y toma de decisiones asociado al destino de hornadas
La planificación de las entregas de la producción terminada se realiza por pedidos, lo que presupone la producción de acuerdo a la llegada misma de cada pedido, o por inventarios, lo que implica producir para acumular inventarios y entregar de acuerdo a la disponibilidad del pedido. Una combinación de ambos es la opción indicada para minimizar costos totales [11]- [13]. Para generar las opciones de destino de las hornadas producidas se elabora un plan de marcas por parte del sistema de dirección de la producción de las empresas, teniendo en cuenta la carpeta de pedidos de los clientes (ver Figura 1). El subsistema de dirección de la producción encargado de la determinación del destino de las hornadas selecciona cuales hornadas van a satisfacer determinados pedidos y cuales han de permanecer almacenadas en espera de su destino definitivo.

Estas decisiones se rectifican en cada ocasión que se requiere seleccionar hornadas por diferentes destinos. Algunas hornadas son seleccionadas para su laminación posterior, según la opción de destino y otras son almacenadas. Concluido el proceso de laminación según el destino asignado (taller en el que se debe laminar, perfil del producto final y grado de calidad asignado) se obtiene la información sobre las propiedades mecánicas reales de ensayos mecánicos realizados a las probetas, el procesamiento de los cuales determina si se acepta o rechaza el destino previamente asignado, luego de lo cual se actualiza la información de los pedidos de la carpeta no satisfechos aún, y el proceso se repite.
2.2 Modelo matemático de la generación de las opciones de destino de las hornadas metalúrgicas
En la formulación del modelo matemático para generar las opciones de destino de los semiproductos del acero sólo serán tomadas en cuenta las propiedades de los perfiles de acero utilizados en la construcción que se priorizan por los clientes y las normas; o sea, el límite de fluencia y el límite de rotura (Re y Rm respectivamente).
La generación de las opciones de destino requiere definir un compromiso entre la minimización del exceso de las propiedades normadas de las m hornadas a entregar, y el riesgo asumido, que no es más que la probabilidad de rechazo de la hornada una vez laminada, por el sistema de aceptación-rechazo. Se hacen las siguientes consideraciones sobre el modelo a obtener:
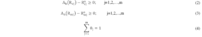
1) El destino asignado tiene que garantizar el requerimiento de las dos propiedades por parte del cliente con una probabilidad mayor o igual a h.
2) Puede establecerse solo un destino para cada hornada.
Por lo tanto, generar las opciones de destino para las hornadas consiste en resolver el problema de optimización:

sujeto a:

donde:
h – probabilidad que la hornada cumpla con las propiedades normadas una vez laminada;
- Valor de la propiedad Re para el destino j, asegurado con una probabilidad igual o mayor a h, y determinado según la composición química de la hornada y sección transversal del producto terminado;
- Valor normado de la propiedad Re para el destino j, en kgf/mm2;
– Valor de la propiedad Rm para el destino j, asegurado con una probabilidad igual o mayor a h, y determinado según la composición química de la hornada y sección transversal del producto terminado;
- Valor normado de la propiedad Rm para el destino j, en kgf/mm2;
θj - Variable que toma valor 1 si se adopta el destino j y valor 0 en caso de que se adopte otro destino cualquiera.
En la Figura 2 se ilustra el valor asegurado de una propiedad con una probabilidad h (
), en contraposición a los valores normados 1 y 2 (
y
respectivamente). El área a la izquierda del valor normado, debajo de la distribución de probabilidades, constituye el riesgo que se asume de que la hornada sea rechazada por el sistema de aceptación-rechazo (clasificación de hornadas) una vez laminada.

La función objetivo (1) persigue la selección de la opción con mínimo exceso de la propiedad Re o Rm, asegurada con una probabilidad mayor o igual a h. Las restricciones (2) y (3) obligan al cumplimiento del destino asignado con una probabilidad mayor o igual a h para las dos propiedades y todos los destinos, de todas las hornadas asignadas. Las restricciones (4) precisan que para cada hornada puede establecerse solo un destino.
Para darle solución al problema de generar opciones de destino a los semiproductos del acero, según el modelo establecido por las ecuaciones (1)-(4), es necesario estimar las propiedades mecánicas de las hornadas a partir de su composición química y sección transversal del producto fabricado con la máxima precisión posible, para las condiciones de un taller de laminación de perfiles terminados dado, el que se caracteriza de regímenes de deformación y de calentamiento dados. Se decide la utilización de las redes neuronales de base radial para estimar estas propiedades, debido a que se consideran aproximadores universales de funciones [10], [14]-[16] y a la alta no linealidad que supone el modelo que desea hallarse [6].
2.3 Redes neuronales de base radial entrenadas con regularización iterativa de Landweber
La arquitectura de una red neuronal artificial de base radial cuenta con tres capas de neuronas: una de entrada, una oculta y otra de salida. Las neuronas de entrada solo envían la información proveniente del exterior hacia la siguiente capa. Las neuronas de la capa oculta emplean una función de activación de simetría radial (generalmente gaussiana), la cual opera en dependencia de la distancia que separa al vector de entradas con respecto al vector de pesos sinápticos que almacena cada neurona (centro de la función de base radial), evaluando la función radial en dicha diferencia. Las neuronas de la capa de salida son lineales y esencialmente calculan la suma ponderada de las salidas que proporciona la capa oculta [17]-[19].
La ecuación de salida para una red neuronal de base radial con a neuronas gaussianas en la capa oculta y b neuronas en la capa de salida, para el vector de entrada n-dimensional real x es la siguiente:
![]()
donde
es el peso de la conexión entre la neurona oculta i y la neurona de salida t;
el centro del nodo gaussiano i,
el ancho del nodo gaussiano i y λt el umbral del nodo de salida t.
Para realizar el entrenamiento de las redes de base radial se debe fijar el tamaño de la capa oculta, o sea, la cantidad de neuronas radiales. Luego se determinan dos parámetros de esta capa que son esenciales para un buen desempeño de la red neuronal en general: el centro c y el ancho σ, los cuales tomarán su valor definitivo una vez realizado el aprendizaje. El valor de los centros se puede obtener empleando algún algoritmo supervisado para agrupamiento como el conocido algoritmo de las k-medias, donde k hace referencia al número de nodos radiales que se desean encontrar. Para obtener los valores de los anchos se puede calcular la media uniforme de las distancias de cada centro a una cantidad determinada de centros más cercanos [20]-[22].
Una vez establecidos los centros y anchos de cada neurona se lleva a cabo un entrenamiento no supervisado en la capa oculta, o sea, se determina la respuesta de las funciones de base radial ante el conjunto de los p datos de entrada. Posteriormente se realiza un entrenamiento supervisado en la capa de salida: Con la respuesta de las neuronas de la capa oculta se determinan los pesos y bias de la capa de salida, de manera que la salida sea la deseada en los datos de entrenamiento [19], [23]-[24]. Extendiendo la ecuación (5) para los p vectores de entrada se tiene:

En forma más compacta es posible escribir la ecuación (6) como:
![]()
Aquí
es el operador lineal matricial formado por la respuesta de las funciones de base radial ante el conjunto de los p datos de entrada. Este proceso de búsqueda de los pesos y bias de la capa de salida se puede formular de la siguiente manera: Hallar la matriz real V, de orden (a+1) x b, como la solución de la ecuación operacional lineal (7). Esta ecuación puede resolverse por el método de mínimos cuadrados generalizado, lo que garantiza que las redes neuronales de base radial dejen un error de casi cero en los datos de entrenamiento [10], [17]-[18] pero muchas veces un error grande en la validación o generalización [14], [22]. Interpretar la fase supervisada del entrenamiento como un problema inverso permite que se puedan aplicar técnicas de regularización para su solución [25]-[26]. La regularización es una estrategia que consiste en incorporar información conocida al problema, convirtiendo de ese modo el problema original que se desea resolver por otro, próximo al primero, pero que sea menos afectado por el ruido de los datos experimentales [27]-[28].
El método de Landweber es un método de regularización que ofrece una solución aproximada de la ecuación (7), cuando el miembro de la derecha presenta ruido o imprecisiones [29]-[30]. Este miembro se denota como Sδ para diferenciarlo de las mediciones sin ruido. Dado que G es un operador compacto, y suponiendo que Sδ pertenece al subespacio imagen de este operador, entonces la solución aproximada de la ecuación (7) se obtiene por la relación de recurrencia:
![]()
con GT la matriz traspuesta de la matriz G y α es tal que
.
Es suficiente encontrar el entero más pequeño j con el cual se garantiza que ||GVj -Sδ|| ≤ uδ, para algún u∈
, con u>1, y de manera que ||S-Sδ||≤δ y ||Sδ||>uδ (δ>0 es una medida del nivel de ruido en las mediciones) [27], [31]. En [29] se recomienda escoger
; otras opciones para la selección de α se encuentran en [32]. El parámetro u es un parámetro de diseño cuyo objetivo es evitar soluciones muy suavizadas. Un valor de u=1,1 es ampliamente aceptado [25], [30]. En el Algoritmo 1 se detalla el algoritmo en seudocódigo para el entrenamiento de la red neuronal de base radial con regularización.
• Algoritmo 1: Entrenamiento de redes neuronales de base radial con regularización
Entrada:
- El conjunto de datos de composición química y perfil del producto terminado y el conjunto de datos de las mediciones correspondientes del límite de fluencia y del límite de rotura.
- Estimado del nivel de ruido en las mediciones
.
Procedimiento:
(1) Calcular los centros de los k nodos utilizando el algoritmo de k-medias. Calcular los anchos de cada neurona como la media uniforme de las distancias de cada centro a una cantidad determinada de centros más cercanos.
(2) Formar el operador matricial G como en (6) y (7).
(3) j=0;
(4) Mientras
hacer
Fin
Salida: Una red neuronal regularizada de base radial que estima las propiedades mecánicas límite de fluencia y límite de rotura de las hornadas a partir de su composición química y diámetro del perfil
2.4 Solución del problema de optimización de generación de opciones de destino
El modelo (1)-(4) de generación de opciones de destino es un problema de optimización que puede resolverse por cualquier método de optimización propuesto en la literatura. Sin embargo, se soluciona de forma sencilla por el método de búsqueda exhaustiva [2], cuyo seudocódigo se detalla en el Algoritmo 2. La utilización de otro algoritmo encarece el proceso desde el punto de vista computacional.
• Algoritmo 2: Solución del problema de generación de opciones de destino
Entrada:
- Red neuronal determinada con el Algoritmo 1.
- Datos de la composición química y diámetro del perfil de las hornadas.
- Propiedades exigidas por los clientes y las normas.
Procedimiento:
(1) Estimar las propiedades mecánicas del límite de fluencia y límite de rotura utilizando la red neuronal, a partir de la información de la composición química y diámetro de los perfiles del producto terminado.
(2) Calcular
y
por los diferentes destinos; se toman en consideración tan solo aquellos destinos que tienen exceso de todas las propiedades para valores seleccionados de h.
(3) Se excluyen aquellas soluciones que no cumplen las restricciones:
; j=1,2,…,m y
; j=1,2,...,m
o bien se penaliza la función objetivo por el incumplimiento.
(4) Se ordenan las soluciones por el valor de la función objetivo.
Salida: Hornadas asignadas a cada destino garantizando las propiedades normadas exigidas.
El problema de optimización (1)-(4) se define a partir de las propiedades mecánicas reales de las hornadas, y de las exigidas por los clientes y las normas, por lo que el método propuesto para la generación de opciones de destino de las hornadas metalúrgicas está limitado solo a este proceso en las empresas siderúrgicas.
3. APLICACIÓN DE LA PROPUESTA EN UN CASO DE ESTUDIO
Como caso de estudio se adoptó el problema de generar destinos razonables para las hornadas producidas en los talleres 250 y 300 de Antillana de Acero, por parte del sistema de dirección de la empresa.
3.1 Estimación de propiedades mecánicas mediante redes de base radial regularizadas
Como primer paso para la generación de opciones de destino se deben estimar las propiedades mecánicas de las hornadas a partir de su composición química y superficie transversal del producto terminado. Utilizando una red neuronal de base radial para este propósito, el modelo neuronal consiste en una función f que aproxima las propiedades mecánicas Re y Rm a partir de las concentraciones de Si, P, S, Cr, Ni y Cu, y al diámetro del perfil de las barras:
![]()
![]()
De la base de datos de las mediciones del límite de fluencia y de rotura de hornadas con diferentes valores de composición química y diámetro, disponible en el laboratorio de ensayos mecánicos de la empresa, se tomaron aleatoriamente 4 625 datos para la etapa de entrenamiento de la red y 1 121 datos para la etapa de validación en el taller 250; en el taller 300 se seleccionaron al azar 2 980 datos para el entrenamiento y 950 para la validación.
Se realizó primero el entrenamiento de las redes sin utilizar regularización, puesto que supone menos esfuerzo computacional. En la primera etapa de entrenamiento de cada red neuronal se tomaron 20 neuronas de la capa oculta, todas con funciones gaussianas. Los centros se determinaron por el algoritmo de las k-medias, y los anchos como la media uniforme de las distancias del centro de cada neurona a los 8 centros más cercanos. Una vez realizado este procedimiento se aumentó la cantidad de neuronas de la capa oculta, añadiendo 10 neuronas de base radial en cada experimento, hasta que se obtuvo el mejor ajuste de los datos entre todas las pruebas realizadas en cada taller. La Tabla 1 resume la cantidad de neuronas de base radial en el experimento para el cual se obtuvo el menor error absoluto máximo para cada propiedad.

En la Tabla 2 se reflejan los resultados obtenidos en el ajuste de los datos de validación utilizando cada red neuronal obtenida.

De los resultados anteriores se verifica que una red neuronal de base radial sin regularizar no es adecuada para estimar las propiedades mecánicas, puesto que no ofrece un buen ajuste de los datos y no es eficiente desde el punto de vista computacional.
Debido a los resultados insatisfactorios obtenidos con las redes sin regularizar, y conociendo que las mediciones tenían un ruido de ± 0.27 kgf/mm2, se realizó el entrenamiento de las redes de base radial, usando como estrategia de regularización el método iterativo de Landweber.
A continuación se presenta el programa desarrollado en Matlab R2015a que se utilizó para el entrenamiento de la red neuronal en cada uno de los talleres. La matriz De contiene los datos de entrada seleccionados para el entrenamiento (almacenados en las filas), y el vector Sd contiene los datos de salida (almacenados en las filas) correspondientes a los datos de entrada; la variable k es la cantidad de neuronas de base radial y m la cantidad de centros tomados como más cercanos a cada centro de las neuronas de base radial.
function [C sigma V]=EntrenRBF(De,Sd,k)
m=8;
De=De’;
[f,p]=size(De);
[Ind,C]=kmeans(De’,k);
for i=1:k
dist=pdist2(C(i,:),C);
ord=sort(dist);
sigma(i)=sum(ord(1:m+1))/m;
end
for i=1:p
for j=1:k
G(i,j)=exp(-(norm(De(:,i)-C(j,:))/sigma(j))^2 );
end
end
G=[G ones(p,1)];
V=0; Er=10000; delta=0.27;
alfa=0.1/(norm(G)^2);
while Er > 1.1*delta
V= (eye(k+1) – alfa*G‘*G)*V+((0.1*G’)/(norm(G)^2))*Sd;
Er=norm(G*V-Sd);
end
return
Las matrices C, sigma y V que devuelve la función anterior corresponden a los centros, los anchos, y a los pesos y bias de la red neuronal entrenada, respectivamente. La siguiente función determina la salida de esta red ante los vectores de entrada que conforman las filas de la matriz D_ent:
function R=SalidaRBF(C, sigma, V, D_ent)
D_ent= D_ent’;
[f,p]=size(D_ent);
k=length(sigma);
for i=1:p
for j=1:k
G(i,j)=exp(-(norm(De(:,i)-C(j,:))/sigma(j))^2 );
end
end
G=[G ones(p,1)];
R=G*V;
return
Utilizando las funciones antes descritas se fue evaluando (para cada taller y para cada propiedad) el error absoluto máximo entre las propiedades mecánicas calculadas y las medidas, para diferentes cantidades de neuronas de base radial. La Tabla 3 muestra la cantidad de neuronas de base radial en el experimento para el cual se obtuvo el menor error absoluto máximo para cada propiedad, y en cada taller.

En la Tabla 4 se reflejan los resultados obtenidos en el ajuste de los datos de validación utilizando cada red neuronal.

Los errores obtenidos en cada caso no son elevados, y se encuentran dentro del intervalo permisible para la estimación de las propiedades mecánicas de las hornadas. Además, se evidencia una reducción en el número de neuronas de base radial, lo que favorece la computación de las propiedades. Dado el carácter normal del error de estimación, el riesgo asumido es de tres veces la desviación estándar, o sea, la probabilidad de que el error de estimación se encuentre fuera de tres veces la desviación estándar con respecto a la media es del 0,13% (0,013). La estimación de las propiedades está garantizada con una probabilidad mayor que 0,95, que es adecuado para resolver el modelo dado en las ecuaciones (1)-(4), y así generar las opciones de destino de las hornadas producidas en los talleres. Se confirma que las redes neuronales obtenidas son útiles para estimar las propiedades mecánicas de las hornadas producidas en cada taller.
3.2 Generación de las opciones de destino
Se tomó la carpeta de pedidos de los clientes de la empresa correspondientes a un trimestre de su producción normal. El Algoritmo 2 fue programado en Microsoft Excel, utilizando funciones básicas de suma, resta, comparación y sentencias condicionales aplicadas a columnas. En la Tabla 5 se muestran los resultados de la aplicación del algoritmo.

En todos los casos el algoritmo fue capaz de generar opciones correctamente para todas las hornadas, garantizando las propiedades exigidas por los clientes y las normas.
El proceso de generar opciones de destino de las hornadas era impreciso e ineficiente en la Empresa Antillana de Acero, debido a los errores que se cometían al calcular las propiedades mecánicas y por la imposibilidad de manipular la cantidad de opciones a generar por cada pedido. Desde el punto de vista de la dirección, el presente trabajo constituye un aporte sustancial, puesto que se dispone de un algoritmo que genera correctamente las opciones de destino para cada pedido, lo cual representa un ahorro considerable de recursos, y favorece que puedan destinarse los esfuerzos a otras etapas de la producción.
4. CONCLUSIONES
El problema de la generación de opciones de destino de metal en las empresas siderúrgicas se soluciona minimizando el exceso de propiedades mecánicas, asegurando los valores requeridos de éstas para el cumplimiento de la designación de servicio. La estimación del límite de fluencia y de rotura de las hornadas utilizando las redes de base radial entrenadas con regularización iterativa de Landweber, permite disminuir el error cuadrático de estimación de estas propiedades mecánicas. Con este resultado se puede definir el destino de las hornadas de metal que resulta más racional para la empresa siderúrgica, asegurando los indicadores de calidad solicitados en los pedidos de los clientes. El algoritmo propuesto genera opciones de destino correctamente en los talleres adoptados como caso de estudio, garantizando una mejor administración de los recursos y de la materia prima de la empresa.
Como continuación de esta investigación los autores trabajan en la extensión del problema de optimización (1)-(4) a otros procesos de distribución de productos, y en la utilización de las redes perceptrones multicapa y las redes Hopfield para automatizar, mediante una única red neuronal, todo el proceso de generación de opciones de destino en las empresas siderúrgicas (que incluye la estimación de las propiedades mecánicas a partir de la composición química de las hornadas, y la solución del problema de optimización).
REFERENCIAS
[1] J. Arzola Ruiz y L. Suárez, “Reglas de conducta en la proyección y conducción de procesos de calentamiento del acero,” Revista Argus, vol. 47, pp. 25-30, 1993.
[2] J. Arzola Ruiz, Sistemas de Ingeniería, 2nd ed. La Habana: Editorial Félix Varela, 2012.
[3] B. Wu, Manufacturing Systems Design and Analysis. Netherlands: Springer Netherlands, 1991. [ Links ]
[4] M. Ashby, Materials Selection in Mechanical Design. Inglaterra: Elsevier, 2011. [ Links ]
[5] M. F. Ashby, H. Shercliff, y D. Cebon, Materials: Engineering, science, processing and design, 2nd ed. Inglaterra: Elsevier Ltd, 2010.
[6] D. Jiménez Sánchez y J. Arzola Ruiz, “Redes neuronales regularizadas aplicadas a la estimación de propiedades mecánicas de perfiles de acero,” Ingeniería Mecánica, vol. 20, no. 3, pp. 115-121, 2017.
[7] D. J. Zambrano Ortiz, D. Jiménez Sánchez, y J. Arzola Ruiz, “Estimación comparativa de propiedades mecánicas de perfiles ligeros de acero mediante diferentes estructuras de modelos matemáticos,” presentado en XIII Seminario Euro Latinoamericano de Sistemas de Ingeniería, Holguín, Cuba, 2017.
[8] D. J. Zambrano Ortiz, D. Jiménez Sánchez, y J. Arzola Ruiz, “Generación y selección óptima de opciones de destino de hornadas en fábricas siderúrgicas,” presentado en XIII Seminario Euro Latinoamericano de Sistemas de Ingeniería, Holguín, Cuba, 2017.
[9] G. Wang, L. Liu, Y. Tu, X. Xu, Y. Yuan, M. Song, y W. Li, “Application of the radial basis function neural network to the short term prediction of the earth's polar motion,” Studia Geophysica et Geodaetica, vol. 62, no. 2, pp. 243-254, 2018.
[10] S. Slema, A. Errachdi, y M. Benrejeb, “A radial basis function neural network model reference adaptive controller for nonlinear systems,” en 15th International Multi-Conference on Systems, Signals & Devices (SSD). IEEE, marzo 2018, pp. 958-964.
[11] S. Liu, J. Tang, y J. Song, “Order-planning model and algorithm for manufacturing steel sheets,” International Journal of Production Economics, vol. 100, no. 1, pp. 30-43, 2006.
[12] T. Zhang, W. A. Chaovalitwongse, Y. J. Zhang, y P. M. Pardalos, “The hot-rolling batch scheduling method based on the prize collecting vehicle routing problem,” Journal of Industrial & Management Optimization, vol. 5, no. 4, pp. 749-765, 2009.
[13] A. Stawowy y J. Duda, “Models and algorithms for production planning and scheduling in foundries - current state and development perspectives,” Archives of Foundry Engineering, vol. 12, no. 2, pp. 69-74, 2012.
[14] Z. Q. Zhao y D. S. Huang, “A mended hybrid learning algorithm for radial basis function neural networks to improve generalization capability,” Applied Mathematical Modelling, vol. 31, no. 7, pp. 1271-1281, 2007.
[15] B. Samanta y S. Bandopadhyay, “Construction of a radial basis function network using an evolutionary algorithm for grade estimation in a placer gold deposit,” Computers & Geosciences, vol. 35, no. 8, pp. 1592-1602, 2009.
[16] Y. L. Zou, F. L. Hu, C. C. Zhou, C. L. Li, y K. J. Dunn, “Analysis of radial basis function interpolation approach,” Applied Geophysics, vol. 10, no. 4, pp. 397-410, 2013.
[17] N. Karayiannis, “Reformulated radial basis neural networks trained by gradient descent,” IEEE Transactions on Neural Networks, vol. 10, no. 3, pp. 657-671, 1999.
[18] K. Patan, Articial Neural Networks for the Modelling and Fault Diagnosis of Technical Processes. Berlin: Springer Berlin Heidelberg, 2008. [ Links ]
[19] C. S. Kumar Dash, A. Kumar Behera, S. Dehuri, y S.B. Cho, “Radial basis function neural networks: a topical state-of-the-art survey,” Open Computer Science, vol. 6, no. 1, pp. 33-63, 2016.
[20] J. Wesley Hines, MATLAB supplement to Fuzzy and neural approaches in engineering. New York: Wiley, 1997. [ Links ]
[21] B. M. Brío y A. Sanz Molina, Redes neuronales y sistemas borrosos. Madrid: RA-MA, 2001. [ Links ]
[22] G. A. Montazer, D. Giveki, M. Karami, y H. Rastegar, “Radial basis function neural networks: A review,” Computer Reviews Journal, vol. 1, no. 1, pp. 52-74, 2018.
[23] J. C. Pérez Mesa, J. P. Valenciano, y J. P. Levy Manguin, “Empleo de redes neuronales de base radial a un modelo econométrico de exportación de tomate,” Ciencia Ergo Sum, vol. 14, no. 1, pp. 6-14, 2007.
[24] F. A. Lucay, F. D. Sepúlveda, y J. Delgado, “Aplicación de redes neuronales artifciales de base radial y geoestadística para la interpolación/reconstrucción de base de datos de leyes de cobre,” Revista de Medio Ambiente y Minería, no. 5, pp. 44-58, 2018.
[25] H. W. Engl, M. Hanke, y A. Neubauer, Regularization of Inverse Problems. Netherlands: Springer Netherlands, 1996.
[26] Y. Wang, A. G. Yagola, y C. Yang, Optimization and Regularization for Computational Inverse Problems and Applications. Berlin: Springer-Verlag GmbH, 2011.
[27] A. Kirsch, An Introduction to the Mathematical Theory of Inverse Problems, 2nd ed. New York: Springer-Verlag GmbH, 2011. [ Links ]
[28] F. D. Moura Neto y A. J. Silva Neto, An Introduction to Inverse Problems with Applications. Springer-Verlag GmbH, 2013. [ Links ]
[29] E. Somersalo y J. Kaipio, Statistical and Computational Inverse Problems. New York: Springer-Verlag GmbH, 2006. [ Links ]
[30] A. Doicu, T. Trautmann, y F. Schreier, Numerical Regularization for Atmospheric Inverse Problems. Berlin: Springer-Verlag GmbH, 2010.
[31] R. C. Aster, B. Borchers, y C. H. Thurber, Parameter estimation and inverse problems, 3rd ed. Netherlands: Elsevier, 2019. [ Links ]
[32] C. Hansen y M. Saxild Hansen, “AIR Tools- A MATLAB package of algebraic iterative reconstruction Methods,” Journal of Computational and Applied Mathematics, vol. 236, pp. 2 167-2 178, 2012.













