Servicios Personalizados
Revista
Articulo
Indicadores
-
Citado por SciELO -
Accesos
Links relacionados
-
Similares en
SciELO
Compartir
Investigación & Desarrollo
versión impresa ISSN 1814-6333versión On-line ISSN 2518-4431
Inv. y Des. vol.2 no.16 Cochabamba 2016
ARTÍCULOS - ÉCONOMÍA Y EMPRESA
DECENTRALIZED AID AND DEMOCRACY
AYUDA DESCENTRALIZADA Y DEMOCRACIA
Joaquín Morales Belpaire
Universidad Privada Boliviana
(Recibido el 04 noviembre 2016, aceptado para publicación el 16 de diciembre 2016)
ABSTRACT
This paper uses a model of vote over public finances to show that when nongovernmental organisations deliver development aid, beneficiaries have incentives to reduce electoral support for state-led redistribution. As a result, NGOs can crowd out governmental spending, turning private aid into a negative externality for the poor who do not directly benefit from it. I model the choice of a representative NGO, which faces a trade-off between targeting beneficiaries with higher needs, and reducing costs. I characterize the conditions under which this targeting affects the size of the externality and describe how it affects the welfare of beneficiaries and non-beneficiaries.
Keywords: Private Development Assistance, Democracy, Governance, NGOs, Nonprofits, Foreign Aid, Taxation, Public Goods.
RESUMEN
Este artículo usa un modelo de voto sobre finanzas públicas para mostrar que cuando organizaciones no-gubernamentales otorgan ayuda al desarrollo, los beneficiarios tienen incentivos para reducir su apoyo a la redistribución estatal. Esto resulta en que las ONGs pueden provocar un efecto-expulsión del gasto público, convirtiendo la ayuda privada en una externalidad negativa para los pobres que no se benefician directamente de esta. La investigación modeliza la decisión de una ONG representativa, la cual enfrenta una disyuntiva entre focalizarse entre pocos beneficiarios con muchas necesidades, o reducir costos dirigiéndose a beneficiarios con menos necesidades. En esta investigación, caracterizo las condiciones bajo las cuales esta focalización afecta la magnitud de la externalidad y describe de qué manera afecta el bienestar de beneficiarios y no-beneficiarios.
Palabras clave: Ayuda Privada al Desarrollo, Democracia, Gobernabilidad, ONGs, Organizaciones sin Fines de Lucro, Fiscalidad, Bienes Públicos.
1. INTRODUCTION
International NGOs, foundations, philanthropies, and other private nonprofits play an increasingly important role in the new landscape of foreign development assistance. Worthington and Pipa[1] estimate that in 2008, private aid reached $us.49 billion, around a third of total aid disbursed by member states of the OECD. Donor countries have substantially outsourced their development assistance to NGOs: from negligible amounts in the mid-eighties, today 15% of all official aid is channelled through NGOs[2].
The privatization of aid has been severely understudied by economists (a few exceptions are Yoncheva and Masud[3]; Dreheret al.[4], Koch [5]). On the contrary, scholars from other disciplines, including sociology and the political sciences, have produced an abundant literature on the political repercussions of nongovernmental aid (Arellano-López and Petras[6], Petras[7], Lorgen[8], Mercer[9]). These authors claim that NGOs promoted the disengagement of the state in emerging democracies by encroaching on the prerogatives of the State. This literature asserts that when external private actors provide social services, they undermine the accountability of the State towards its citizens.
Many emerging markets deal with the issue of consolidating democracy while struggling with persisting pockets of poverty. As these countries become on average richer, they also turn less eligible to benefit from bilateral or multilateral aid. However, because they still struggle with inequality and large impoverished sectors of society, many nongovernmental organizations are willing to cater to the poor, sometimes acting as surrogates of the state. India is the prime example of an emerging market and a consolidated democracy in which NGOs are overwhelmingly present at all levels of society. Brazil, South Africa, and other poor-to-middle income democracies are no different. It is worth exploring how does the private provision of aid affect the role of the government in democracies.
I build upon Anthony Downs [10] model of vote over public finances to show that private aid can reduce electoral support for redistribution. When NGOs provide services substitutable to those provided by the government, any voter benefiting from a project would favour a low taxation-low expenditure policy platform. Voters have incentives to do so because while foreign donors finance NGOs, national taxes finance governmental services. Therefore, for a similar service a citizen can afford to pay fewer taxes. By skewing the distribution of preferred policies toward a smaller government, private aid pulls the median voter away from poor non-beneficiaries. As a result, the preferred policies of poor non-beneficiaries become more distant from the new equilibrium policy: private aid turns into a negative externality for the poor and into a positive externality for the rich.
This externality is independent from assumptions on corrupt authorities, devious NGO managers, or geopolitical interests. Instead, aid provided by NGOs can have undesirable effects even in the absence of institutional dysfunctions. Modelling emerging democracies as endowed with perfect institutional environments is unrealistic, but it leads us to the important conclusion that good institutions are not enough to guarantee the efficiency of NGO-delivered aid. Additional institutional imperfections would mostly reinforce the validity of the main findings.
The crucial assumption driving the results of the model is that, contrary to the state, the NGO is not accountable to all society. In words, it is institutionally and politically easier for the NGO to target specific sectors of the population, while the state in bounded by the fact that it is accountable to all taxpayers. If non-recipients of a project feel that the state has unfairly allocated resources to other groups, they can punish politicians either at the pooling stations, in the streets, or by refusing to pay taxes. However, if an NGO allocates a project to some group, there is not much that non-recipients can do to punish the organization.
The model contributes to the debate over the private provision of aid. It theoretically quantifies the effects of a private and non-coordinated project on governmental expenditures and taxation. Because NGO targets a specific fraction of the population, it can choose between prioritizing the size of its project, and targeting would-be beneficiaries with higher needs. The underlying assumption is that reaching the poor is costlier, due to access costs to remote locations, saliency of needs, hostile environments, etc.
For instance, an education NGO could decide to implement alphabetization programmes. To obtain the same result in terms of beneficiaries reached and quality of alphabetization, the NGO endure higher costs by targeting isolated native communities than by targeting the urban middle classes, which have already some formal instruction. This type of trade-off will be determinant in understanding how different types of projects affect the governmental provision of public goods.
The main findings of the paper are:
i. private aid crowds out governmental expenditures, harming poor non-recipients most;
ii. targeting poorer beneficiaries mitigates the effect of this externality on poor non-beneficiaries; and
iii. autilitarian social welfare function is maximized by targeting poorer-than-average individuals when aid resources are limited.
The rest of the paper unfolds as follows: section 2 positions this paper in the relevant literature; section 3 sets up the model, which is solved in section 4; section 5 analyses welfare implications; and section 6 concludes.
2. LITERATURE REVIEW
Surprisingly few studies on aid efficiency categorize outcomes by type of development assistance, private or official. Empirical evidence on the topic suffers from chronic data unavailability (Kharas, [11]). Databases contain information either at the donor country level (Dreheret al.[12]), or are estimated based on governmental subsidies granted to NGOs (Yontcheva and Masoud[3], Yoncheva and Nancy[13]), keeping private donations unaccounted. This is troublesome because official founding to NGOs is but a small fraction of the overall budget of these agencies, and there is large variation in the origins of founds across organizations and donor countries (Navarra, [14]). These limitations hamper the empirical assessments concerning the effectiveness of private aid.
Theoretical analysis of the private provision of public goods has been more fruitful. Drawing back from the literature of nonprofits based on transaction cost theories (Hansmann[15], Rose-Ackerman[16], Weisbrod[17]), this literature has recently been updated to include elements of behavioural economics(Andeoni and Payne[18], Scharf[19] and applications to development economics (Besley and Ghatak[20],[21], Aldashev and Verdier[22]). The present paper adds to this last strand of literature by looking at the political repercussions of projects financed by private aid. By doing so, it should help bridge the gap between the effects of aid at the project level and its consequences at the country level. Indeed, while project evaluation techniques become increasingly sophisticated (Banerjee and Duflo, [23]), our knowledge of the overall impact of micro-projects at the macro level remains limited (Mosley,[24]; Deaton[25]).
Political economy models have been the predominant tool to address the repercussions of official development assistance at the state level (Svensson[26], Acemogluet al.[27], Platteauet al.[28]). Few of them address directly the question of private aid. Azam and Laffont[29]model NGOs founded by the local elite in a dysfunctional democracy. By contrast, the present paper explores NGOs founded by foreign donors, and operating in countries endowed with sound institutions. The setting in this paper allows addressing the question of the privatization of international aid, and of the inefficiencies arising even when institutional dysfunctions are absent.
This paper hopes to provide microfoundations explaining some of the paradoxical results found in the empirical literature on overall aid effectiveness. Good institutions have been deemed as a necessary condition to have aid affect growth (Burnside and Dollar,[30]; Collierand Dollar [31]. However, foreign aid has been found to deteriorate governance (Rajan and Subramanian [32][33], Djankovet al.[34]), and to aggravate inequalities (Layton and Fuller [35], Herzer and Nunnenkamp[36]). In countries with good institutions, we have that aid fosters growth but also widens inequality. In particular, Bjornkov[37]finds that if a recipient country is a democracy, then aid increases inequality. All these results are consistent with the model presented here. However, one must be cautious that the empirical studies look at aid in general, and not at aid provided specifically by NGOs. We do not know what type of aid, official or private, is at the origin of this divergence between efficiency and fairness. Koch et al.[38] find that NGOs typically follow official aid; because of this positive correlation, we cannot rule out that indeed private aid hampers fairness.
3. SET UP OF THE MODEL
3.1. The Basic Model of Vote over Public Finances
The model builds on the framework proposed by Anthony Downs [10]. Consider a continuum of voters indexed
, each of whom detains income
. Incomes are distributed according to a uniform distribution function with support
.
Any voter values private consumption,
, and a public good,
. Their pay-off function is
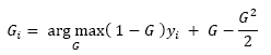
![]()
In it, welfare increases linearly with private consumption, and increases in the level of the public good, but with diminishing marginal returns[1].
The public good is financed through a flat tax
on income such that
. After taxation, agent
has disposable income
which she devotes to private consumption. Any citizen
chooses her preferred policy, denoted
, such that

The preferred policy of
is
![]()
Poor voters will prefer a higher level of public good and therefore higher taxation. Given the tax rate is flat, poor agents gain more from high taxation levels, as it forces rich agents to contribute proportionally more to the public good. The monotonous relation between income share and preferred policies allows us to draw a uniform distribution of preferred policies
with support
. Denote the associated cumulative distribution function is
with support
. Following Persson and Tabellini[39], if politicians care only about getting elected, and citizens only care about public finances, then the median voter theorem predicts that the outcome policy is
![]()
in which
is the income of the median voter. For any agent poorer than the median voter, the provision of public good by the state is insufficient. Agents richer than the median consider that there is too much taxation.
3.2. Nongovernmental Organizations
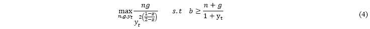
Introduce an NGO to the model, or equivalently, a cohesive NGO sector. Formally speaking, the NGO provides a local public good, denoted
, to a targeted fraction
of the population. The NGO is averse to poverty, so that targeting richer agents reduces its utility. The programme of the NGO is

where
denotes aversion to poverty. For now, assume that
is exogenous. The payoff of the NGO is larger if it reaches more beneficiaries (
) and if the level of the public good is higher (
).
represents the income of a typical targeted beneficiary, such that targeting richer individuals decreases its utility. Since
, an increase in parameter
increases the exponent over
, and therefore raises the disutility from targeting richer individuals. It follows that
measures aversion to poverty. The NGO finances its project with budget
, which allows it to finance a larger project
and to reach more beneficiaries
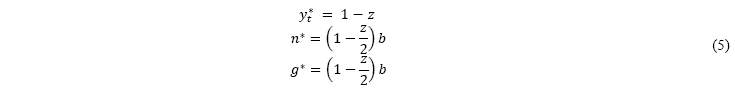
. I assume that the cost of these endeavours increases as the NGO targets poorer individuals. Indeed, poorer individuals might be harder to reach, for example if most of them live in remote locations, or if their needs are more salient. Notice that if this assumption does not hold, then the NGO trivially targets only the poorest due to poverty aversion. The solution of this program is

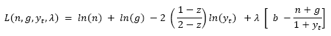
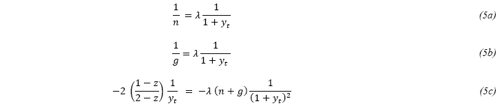
Proof:
After log-linearization of the objective function, the associated lagrangian is
First order conditions are:
![]()
(5a) and (5b) yield
. Replacing
in (5c) from either (5a) or (5b) one obtains
![]()
which states that
. Replacing
in the budget constraint
and using
yields the desired result.
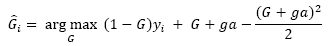
The first condition in (5) states that poverty-averse NGOs target poorer individuals. This comes at the cost of reducing the level of the public good provided as well as the number of beneficiaries reached, as stated in the following conditions. I impose the restriction that
to avoid corner solutions; it should be noted however that because national income is
, this restriction is not too demanding. A larger budget allows the NGO to invest more in both reach and depth of the project. The typical beneficiary of the NGO is the agent with preferred policy
![]()
Dropping the asterisks to alleviate notation, vector
represents the characteristics of the project. A fraction
of the population is a continuum of beneficiaries lying in the neighbourhood of targeted beneficiary
. Identify the poorest amongst all beneficiaries with
and the richest with
, which are their respective preferred policies. Then
. Any agent within this interval is a beneficiary: she gets access to
, additionally to the public good
provided by the state. To obtain a well-behaved solution, assume the following:
Allocation Rule: For any given program vector
there is an allocation rule such that:
![]()
This assumption prevents the NGO from targeting beneficiaries out of the domain. We now turn to characterize the equilibrium following the introduction of this project.
4. ELECTORAL OUTCOMES AT EQUILIBRIUM
The timing of the model is as follows: project
is implemented; beneficiaries update their preferred policy platform; and elections take place. The updated preferred policy for any voter is
![]()
in which
is an indicator variable valued one if the voter is a beneficiary of the project. The ex-post preferred policy of voter
, designated with a circumflex accent throughout this paper, is
![]()
The mass of voters with political preferences distributed over the segment
shifts to the left (directionally) by a distance
, as Figure 1 displays. Denote
the ex-post cumulative distribution function (CDF), which can be expressed in terms of
.

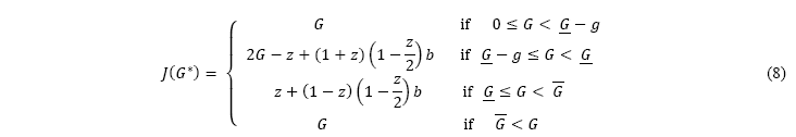
Proposition 1 (Preferred Policies Ex-post):
Equality
defines the ex-post median voter
, in which
is a piecewise differentiable, continuous and monotonically increasing function in
, such that
. By the allocation rule described above, the three points at which the distribution changes slope are:
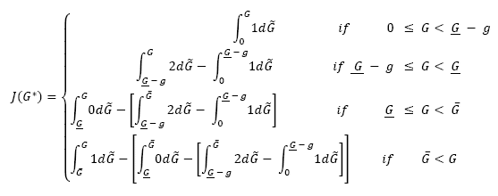
Proof:
By the assumption of uniformity, the k pdf is
on support
. We can construct each piece of the
CDF as follows:
Solving these integrals and replacing the values at the points at which the distribution changes slope yields the desired result.
The lower right quadrant in Figure 1 depicts function
. The ex-ante cumulative distribution function is first order stochastically dominant with respect to the ex-post CDF of preferred policies. The median preferred level of public spending partially reduces except in three regimes described in what follows[2].
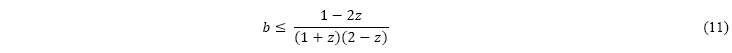
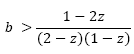
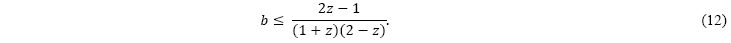
If the intercept is such that that if
, then there is full disruption of government expenditure (as opposed to partial reduction). This happens when
![]()
full disruption results from a very large aid budget and low poverty aversion. The project of the NGO does not change electoral outcomes in two cases: when all beneficiaries are richer than the ex-ante median (
), and when beneficiaries are poor but do not shift beyond the ex-ante median (
). These Status Quo regimes happen when

or
![]()
There is no political impact when the budget is low, and when poverty aversion is either very small or very high.
When conditions (10) to (12) are violated, there is a partial reduction of public spending. Define as isoelectoral curves the set of combinations of
and
such that the same electoral outcome
is obtained at equilibrium. These are defined by
when
. They can be expressed as

Remark that (10) and (12) are the limit cases of the partial reduction regime. These regimes are displayed in the
space in Figure 2, in which
is the golden ratio. The arrow over the isoelectoral outcome curves indicates the direction in which the provision of public good by the state decreases. Figure 3 displays the levels of electoral outcomes for the different regimes. In the partial reduction regime, provision of the public good by the state decreases as the income of the NGO increases. However, when the NGO is more averse to poverty it mitigates this effect.


Corollary 1
If the NGO crowds out public expenditure, a larger NGO budget exacerbates the effect, while aversion to poverty reduces the crowding out.
By targeting poorer agents, the NGO reduces the crowding out effect by two means: first, it reduces the size of the shift because the projects are smaller due to accessibility costs; secondly, beneficiaries are more likely to remain to the right of the ex-ante median voter if they are poorer. Targeting the middle class is therefore conductive of a larger shift.
An important remark at this point is that I assume that the project provided by the NGO is perfectly substitutable to the public good provided by the government. I claim that this is the correct specification when the NGO is operational. Advocacy NGOs will typically try to change the behaviours of the state in hopes of obtaining new rights for their beneficiaries [40]. The topic of advocacy NGOs is discussed in a companion paper (Morales and Serfilippi, [41] ). Instead, here we explore the issue of service provision when it `fills the gap' between the needs of the beneficiaries and what they receive from the state, which is a very salient issue [17][8].
Next section analyses how the shift in government expenditures generated by such `gap-filling' activities affects welfare at the individual, and at the aggregate level.
5. WELFARE IMPLICATIONS
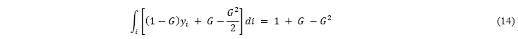
In this section, we analyse the effect of the shift on welfare, both at the individual and at the aggregate level. We do so by comparing the ex-ante to the ex-post equilibria. I use the utilitarian welfare function, which simply aggregates payoff functions. At the ex-ante level, it writes

since
follows a uniform distribution[3].
The policy maximizing welfare is the equilibrium policy
. This result obtains when the distribution is symmetrical around the mean, because mean and median coincide. The mean preferred policy maximizes welfare since it minimizes the sum of the distances between the individually preferred policies and the implemented outcome. Therefore, deviations from this equilibrium reduce welfare. The NGO brings the direct benefits from the project itself, while it creates the cost of deviating from the optimal government policy. We explore this trade-off in what follows.
5.1. Individual Welfare
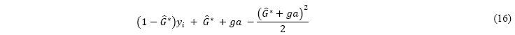
Remark that at the ex-ante equilibrium
. The payoff of voter
is by (14)

If the project is to be beneficial to voter
, this payoff must be smaller than

Proposition 2
If a project is implemented and it crowds out public expenditure, then
1. non-beneficiaries poorer than the median are always made worse-off,
2. non-beneficiaries richer than the third quartile are always made better-off, and
3. beneficiaries are always made better-off.
To see this, first consider the welfare of the non-beneficiaries by setting
. We can trace a set of points of indifference in which (15) equals (16) for any
. This yields the simple relation

Plotting this function in Figure 4 we define two sets: the set above the indifference line contains rich non-beneficiaries, for whom the project is a positive externality; the set below contains poor non-beneficiaries, for whom the project is a negative externality.

When the vertical distance between
and the line increase, utility reduces. In the graph, the individual with income
becomes closer to this line when there is a shift, while the distance of individual
increases. Any individual richer than
is unambiguously made better off, and the converse is true for any agent poorer than
. For an individual with income
the effect is ambiguous; while initially she prefers less public spending, if the project leads to a shift that is too large (as represented in Figure 4, she prefers the ex-ante equilibrium.
The shift exacerbates inequalities amongst non-beneficiaries. By corollary 1, poor non-beneficiaries welfare decreases in the budget of the NGO, but the effect is mitigated when aversion to poverty increases.
Turn now to the beneficiaries of the project. When the NGO implements it, beneficiaries gain from the project but lose from the externality. To see that the net effect is positive, consider the poorest among all agents,
, who suffers most from the externality. She is better off with the project when

since we are in the increasing part of the quadratic function. By (3), (5) and (13), this condition is rearranged as

which by (10) is respected when we are outside of the Status Quo case. In the Status Quo case, (16) holds trivially. Hence, even for the poorest beneficiary, the negative externality cost does not surpass the direct benefits from the project.
5.2. Aggregate Welfare
Dropping the asterisk of
to alleviate notation, the sum of all payoff functions is


The first term is aggregate disposable income after taxation, the second term is the utility of the combined public good for the beneficiaries, and the third term is the utility of the state-provided public good for non-beneficiaries. In the case of the partial shift, equations (5) and (13) give the values of
and
depending on
and
. Therefore, we can write
as a function of parameters
and
,
![]()
The analytical form of this equation is unsuitable for interpretation[4]. Mathematical software allows us to plot three sets of interest in the
space:

The properties of these sets are:
determines values of
for which aggregate welfare is smaller than at the ex-ante equilibrium;
determines the region in which aggregate welfare decreases with the budget of the NGO; and
determines region for which aggregate welfare increases with aversion to poverty.
Figure 5 plots these three sets. Notice that
, and are therefore empty, given that the partial shift defines
. Set
is non-empty when
and
take intermediary values in the center of the graph. From any point in
, an increase of
increases welfare until it reaches the north-eastern boundary of
. This boundary defines the set of optimal
for any budget
. When
, aggregate welfare decreases in the degree of aversion to poverty. The arrows in the graph indicate the directions in which welfare increases following a marginal change of vector
. These observations allow for the following proposition:
Proposition 3
If a project with characteristics
is implemented, then:
1. aggregate welfare is larger compared to the case in which there is no project (since
is empty);
2. aggregate welfare is monotonically increasing in
(since
is empty),
3. aggregate welfare increases in
for intermediary values of
up to the north-east boundary of
, and decreases afterwards.
Figure 6 plots function
in the
space, allowing representing the magnitude of the effects. For low values of
, if there is a shift, then targeting the poorer than the median (up to a point) is socially optimal even under a utilitarian welfare criterion. This is remarkable because, by if targeting the poorest increases costs, one would expect that utilitarianism would recommend adopting the cheapest alternative, irrespective of who is the beneficiary. Instead, targeting those poorer than the median mitigates the externality which results from the deviation of the ex-ante equilibrium.

From this utilitarian perspective, an optimal targeting policy is, for a budget below threshold
, to target increasingly poorer beneficiaries as aid money increases along the east boundary of
in Figure 5. This threshold is unlikely to be crossed, as it would represent more than half of national income (
). However, if it is the case, as aid money increases, targeting obtains two optima along the north boundary of
, and quickly collapses to
when
is above set
. At this point, the cost of targeting the poorest completely surpasses the benefits from mitigating the externality. After the threshold, objectives of efficiency and fairness are opposed: programs maximizing aggregate welfare will also create the largest externality, hurting poor non-beneficiaries the most.
The welfare and fairness implications reached throughout this section are all made explicit in terms of the degree of aversion to poverty
and the aid budget
. When defining its vision, the NGO can choose
, while donors can choose
, both as a function of which social outcomes they consider most desirable.
6. CONCLUSION
This paper develops a model of vote over public finances interacted with the provision of public services by a foreign NGO. The NGO can reduce electoral support for state-provided public goods, because it delivers a project financed by external donors, while taxpayers finance the state-provided public good. The NGO can target sectors of the population, while the state is accountable to the entire population. It results that the crowding out of government expenditures translates into an externality for agents whom the NGO does not target. It follows that nongovernmental aid makes poor non-beneficiaries worse-off.
In the model, a representative NGO trades-off between the size of the project it finances and who benefits form it, as I assume that the NGO wishes to cater to the poor, but that this is costlier than satisfying the needs of the wealthy. While aversion to poverty results in higher costs, it mitigates the crowding out effect. The additional cost of targeting the poorest are worth enduring as they lessen inequalities even for non-beneficiaries and, to a degree, increase aggregated welfare by diminishing the size of the externality.
The model rests on deliberately simplifying assumptions to show that, even without institutional failures at the government level, non-governmental aid can harm the poor. It sheds light on the problem of lack of coordination between NGOs and government, and on the issues stemming from lack of ownership of aid by the recipient country. Recipient countries can overcome the crowding out problem if private aid is integrated in the electoral platform of the democratically elected government, so that there is no externality arising.
The optimistic view on the institutional arrangements make recommendations of this paper applicable to emerging democracies, which have an already consolidated voting system and free elections, although are still exposed to persistent poverty and inequalities. The model omits the advocacy role that NGOs often play, which affects attitudes of citizens beyond economic incentives only. This limitation highlights the importance of integrating the advocacy role of private foreign aid in the next generation of models on aid effectiveness.
7. REFERENCES
[1] S. Worthington and T. Pipa."Private development assistance: the essentail role of INGOs", in H. Kharas, M. Koji, and J. Woojin, Brookings Institution Press, 2011.
[2] OCDE."How DAC members work with civil society organisations: An overview 2011." 2011. [ Links ]
[3] B. Yontcheva and N. Masud."Does foreign aid reduce poverty? empirical evidence from," IMF Working Papers 05/100, International Monetary, 2005.
[4] A. Dreher, F. Molders and P. Nunnenkamp. "Are NGOs the better donors? a case study,"KOF Working papers 07-180, KOF Swiss Economic Institute,, 2007.
[5] D. Koch. "Blind spots on the map of aid allocations: Concentration and complementarity," 2007. [ Links ]
[6] S. Arellano-López and J.F. Petras. "Non-governmental organizations and poverty alleviation,"Development and Change, 1994. [ Links ]
[7] J. Petras, «Imperialism and NGOs in Latin America.,» Monthly Review, p. 49(07)., 1997.
[8] C. C. Lorgen. "Dancing with the state: the role of NGOs in health care and health policy,"Journal of International Development, 1998. [ Links ]
[9] C. Mercer, "NGOs, civil society and democratization: a critical review of the literature.," 2002. [ Links ]
[10] A. Downs."An economic theory of democracy." New York: Harper and Row, 1957.
[11] H. Kharas. "The new reality of aid." Wolfensohn Center for Development, 2007. [ Links ]
[12] A. Dreher, F. Molders and P. Nunnenkamp. "Are NGOs the better donors? a case study."KOF Working papers 07-180, KOF Swiss Economic Institute, 2007.
[13] B. Yontcheva and G. Nancy. "Does NGO aid go to the poor? empirical evidence from."IMF Working Papers 06/39, International Monetary Fund., 2006.
[14] C. Navarra. "Economics of development NGOs: a survey of existing datasets."CRED, 2013. [ Links ]
[15] H. Hansmann. "The role of nonpro."The Yale Law Journal, vol. 89, nº 5, 1980.
[16] S. Rose-Ackerman. "Do government grants to charity reduce private donations?," The Economics of Nonprofit institutions, Oxford University Press, 1986. [ Links ]
[17] B. Weisbrod. "Toward a theory of the voluntary nonpro," The Economics of Nonprofit institutions, Oxford University Press, 1986. [ Links ]
[18] J. Andreoni and A.A. Payne. "Government Grants to Private Charities: Do They Crowd-Out Giving or Fundraising?."Public Economics, 2001. [ Links ]
[19] K. Scharf, «Impure prosocial motivation in charity provision: Warm-glow charities and implications for public funding,» Journal of Public Economics, vol. 114, nº C, pp. 50-57, 2014.
[20] T. Besley and M. Ghatak. "Government Versus Private Ownership Of Public Goods."The Quarterly Journal of Economics, vol. 116, nº 4, pp. 1343-1372, 2001.
[21] T. Besley and M. Ghatak. "Competition and incentives with motivated agents."American Economic Review, vol. 95, nº 3, pp. 616-636, 2005.
[22] G. Aldashev and T. Verdier. "Goodwill bazaar: NGO competition and giving to development,"Journal of Development Economics, vol. 91, nº 1, pp. 48-63, 2010.
[23] A. Banerjee and E. Duflo."Poor economics: A radical rethinking of the way to fight global poverty,"PublicAffairs, 2011. [ Links ]
[24] A. S. Deaton. "Instruments of development: Randomization in the tropics, and the search for the elusive keys to economic development."National Bureau of Economic Research, 2009. [ Links ]
[25] P. Mosley. "Aid-effectivenes: The micro-macro paradox,"IDS Bulletin,, vol. 17, nº 2, pp. 22-27, 1986.
[26] J. Svensson. "Foreign aid and rent-seeking,"Journal of International Economics, vol. 51, nº 2, pp. 437-461, 2000.
[27] D. Acemoglu,J.A. Robinson and T. Verdier. "Kleptocracy and divide-and-rule: A model of personal rule."National Bureau of Economic Research, 2003.
[28] J.P. Platteau, V. Somville and Z. Wahhaj. "Elite capture through information distortion: A theoretical essay." Working Papers 1103, University of Namur, 2011.
[29] J. P. Azam and Laffont. "Contracting for aid."Journal of Development Economics, vol. 70, nº 1, pp. 25-58, 2003.
[30] C. Burnside and D. Dollar. "Aid, policies, and growth."American Economic Review, vol. 90, nº 4, pp. 847-868, 2000.
[31] P. Collier and D. Dollar. "Development effectiveness: what have we learnt?."Economic journal, vol. 114, nº 496, pp. 244-271, 2004.
[32] R. Rajan and A. Subramanian. "Does aid affect governance?."American Economic Review, vol. 97, nº 2, pp. 322-327, 2007.
[33] R.G. Rajan and A. Subramanian. "Aid and growth: What does the cross-country evidence really show?. "The Review of Economics and Statistics, vol. 90, nº 5, pp. 643-665, 2008.
[34] S. Djankov,J. Montalvo and M. Reynal-Querol. "The curse of aid,"Journal of Economic Growth, vol. 13, nº 3, pp. 169-194, 2008.
[35] T. Layton and J. Fuller. "Aiding inequality: A pooled time-series analysis of the effect of foreign aid on income inequality,"Interamerican Development Bank Working Paper No. 455, 2008.
[36] D. Herzer and P. Nunnenkamp. "The effect of foreign aid on income inequality: Evidence from panel cointegration," Kiel working papers, Kiel Institute for the World Economy., 2012.
[37] C. Bjornskov. "Do elites benefit from democracy and foreign aid in developing countries?,"Journal of Development Economics, vol. 92, nº 2, pp. 115-124, 2010.
[38] D.J. Koch, A. Dreher, P. Nunnenkamp and R. Thiele. "Keeping a low profile: What determines the allocation of aid by non-governmental organizations?,"World Development, vol. 37, nº 5, pp. 902-918, 2009.
[39] T. Persson and G. Tabellini. "Political Economics: Explaining Economic Policy," The MIT Press, 2002.
[40] A. Bebbington,S. Hickey and D. C. E. Mitlin."Can NGOs Make a Difference?," Zed Books, 2008.
[41] J. Morales Belpaire and E. Serfilippi. "NGOs under autocracy,"CRED Working Papers, 2014. [ Links ]
NOTAS
[1] In equilibrium, $G$ will never be in the decreasing part this functional form; monotonicity of
is preserved in the relevant domain. The quadratic form provides useful closed-form solutions.
[2] The size of this shift depends on the assumption that state-provided and NGO-provided public goods are perfectly substitutable. It will be lesser if the two goods are increasingly complementary, for example if the utility function of beneficiaries is
in which
parameterizes the level of complementarity. The updated preferred policy of
is then
. The distribution of preferences shifts less as
increases. If
, preferences shift to the right (directionally). The project crowds-in public expenditure, but only if those richer than the median voter are beneficiaries, which is an anomalous circumstance
[3] Given that incomes are uniformly distributed and ranked by
, one can write
in which
is the support of
. Then
![]()
Since
, one obtains
. Therefore,
.


















