Servicios Personalizados
Revista
Articulo
Indicadores
-
Citado por SciELO -
Accesos
Links relacionados
-
Similares en
SciELO
Compartir
Economía Coyuntural
versión impresa ISSN 2415-0622versión On-line ISSN 2415-0630
Revista de coyuntura y perspectiva vol.1 no.4 Santa Cruz de la Sierra 2016
ARTÍCULOS ACADÉMICOS
La migración de la firma a la informalidad y
la oportunidad comercial en los países en desarrollo
Firm migration to informality and trade
openness in developing countries
Mónica Cuetoπ , Erick Gómezτ
Ciess-Econometrica
Universidad Mayor De San Andrés
π,τ This work was supported by funds from the Swiss Program for Research on
Global Issues for Development (r4d program) under the thematic research module
“Employment in the context of sustainable development" and the research project
“Trade and Labor Market Outcomes in Developing Countries". The Swiss Program for Research on
Global Issues for Development is being implemented jointly by the Swiss Agency for Development and
Cooperation (SDC) and the Swiss National Science Foundation (SNSF). The views expressed here are the
authors' and do not necessarily reflect those of the SDC or those of SNSF.
cueto.tapia.monica@gmail.com erick.gomez.soto@gmail.com
Recepción: 01/09/2016 Aceptación: 30/10/2016
Abstract: Our main question is why a formal firm becomes informal. We hypothesize that sales behavior and trade openness and are related to this behavior. We present empirical evidence to argue that firm informalization is a strategy conducted to face a downturn in sales. However, the country level of trade openness as a proxy for the average level of managerial abilities of firms reduces the impact of a drop in sales on firm informalization. For this purpose, we draw upon data from 636 firms in 12 developing countries from World Bank surveys and apply a simultaneous equation framework with a dichotomous dependent variable.
Keywords: Informality, Developing economies, Trade openness.
Clasificación Jel: O17, F10, L20.
Introducción
In this paper we inquire why a formal firm moves to informality. We postulate that trade openness and sales evolution are related to informalization, following the next rationale. The production function of the firm comprises, along with capital and labor, the formality status as a factor of production with two possible values: 0 if informal, 1 if formal. Also, the average level of managerial abilities of firms in a single country is approximated by the level of trade openness in the country. In case of a drop in sales, the firm could choose to cut costs via a reduction in the level of factors (labor, capital or a move towards informality). However, there is simultaneity between the level of sales and the formality status. If the firm chooses to remain formal it can continue to have access to a broader base of clients (the state, public enterprises, formal private firms) and therefore increase its sales. A higher level of managerial abilities, approximated by trade openness, lessens the impact of a drop in sales on the reduction of employed factors.
Because enterprise surveys are not as widespread as household or labor surveys in developing countries, firm informality –in comparison to labour informality- is the road less traveled by researchers. Our purpose is to contribute to the study of firms’ movement to informality, presenting informalization as a strategy to confront a drop in sales and link trade openness with a higher probability of a firm to stay formal. For this aim we apply a simultaneous equation framework with dichotomous dependent variable.
Besides the shortage of firm informality literature, there is a conceptual difficulty in the elaboration of a homogenous definition of firm informality –as is the case of labour informality. Informality in a broad sense is the lack of state control or the unwillingness to participate in societal institutions. We define formality according to the compliance of a specific regulation: the tax registry regulation. Informal firms are not registered and formal firms are registered. Tax regulation is not perfectly imposed and smaller firms are more likely to pass under the radar.
We focus on firm informalization, in other words the self-deregistering from the tax records. In this way, we work with a representative sample of firms in 12 developing countries. One of the consequences of tax deregistering is the reduction in the government’s tax revenue, which is a recurrent issue in developing countries. Also, an unregistered firm is more unlikely to comply with social and labor obligations such as long and short term social security, occupational safety and health, minimum wage, etc. Finally, a larger presence of informal firms in an economy lowers the total factor productivity.
To put forth the relationship between formality, sales and trade openness, we use a simultaneous equation framework with two interlinked dependent variables: firm formality and level of sales. Since firm formality is dichotomous and sales is continuous, we apply the methodology proposed by Maddala (1983) to correct the standard errors after a two-step estimation. We find a positive simultaneous relation between sales and formality along with a positive impact of trade openness on formality, no matter how foreign trade is measured.
This paper contributes in three dimensions. First, it is an addition to the barely researched “firm side” of informality, since much of the literature in this area is devoted to study labor informality rather than firm informalization. Second, by following the view of formality as a production factor to its logical conclusion, we present firm informalization akin to a strategy conducted to face a downturn in sales. Third, we add firm formality to the list of benefits of trade in developing countries.
2. Literature Revision
We define informality as lack of tax registry. Of course, this is not the only way to define firm formality. Gatti (2008) elaborates an index of formality according to survey reported tax evasion. Busso (2012) measures firm informality as the ratio of social security taxes to the remunerations of workers. We adopt the opinion of Levenson (1998) and include formality in the production function along with labor and capital. From our definition of formality, we regard formality as an indivisible factor capable of expanding production and sales. But, in case of a drop in sales and a need to cut costs, the firm could choose to become informal.
The analysis of firm informality runs from two approaches: determinants of formality (causes) and the gains of formalization (consequences). A stylized fact form the first approach is the increased likelihood of small firms to operate informally, related to firm size duality. Rauch (1991) explains this fact as surged from different levels of managerial ability. From the second approach, an advantage of formalization is a greater return and a larger payroll (Fajnzylber 2011). In contrast, MacKenzie (2007) finds mixed evidence on the impact of formality, understood as tax registry: larger productivity in medium sized formal firms and smaller productivity in small and large formal firms.
The conjectured causes of informal activity are summarized in Oviedo (2009): burdensome regulation, low institutional and public services quality, lack of access to credit, individual preference, etc. We add to the list an overlooked benefit of formality: access to more important formal clients who prefer or are required to buy supplies or final goods from formal firms . Likewise, informality presents possible drawbacks: suboptimal scale, low investment, reduced innovation, non-compliance with labor and tax regulation, or safety measures. Busso (2012) argues that total factor productivity is lower in a milieu of high informality due to distortions in the labor market.
The debate on the effect of trade on growth starts from the foundation of the economic science in the seminal Adam Smith book. Centuries have passed and there is no agreement on the nexus and causal relation of trade openness and growth through productivity. On one side, Krugman (1994) and Rodrick (1995) rather stress the importance of institutions on growth and its interaction with trade. On the other side, the endogenous theory of growth contributes to elucidate the channels through which trade could promote growth in a developing economy (Lucas 1998).
In consonance with the theoretical dispute, empirical evidence is also inconclusive, although it usually supports the positive relation between trade and growth. Edwards (1998) uses different indexes of trade openness and finds a greater total factor productivity growth in more open economies. Miller (2000) also finds evidence aligned with the positive effect of trade on total factor productivity and explores the interaction with human capital in middle and low income countries: human capital upholds growth only in the context of a minimum threshold level of openness. However, the specialization on primary exports is less beneficial for growth, particularly in poor economies (Dowrick 2004).
3. Data
The data for the analysis of firm informalization are extracted from the Enterprise Surveys that were conducted by the Analysis Unit of the World Bank. The surveys are the result of implementing a comprehensive methodology in different countries and years. The Enterprise Surveys contain detailed information at firm level: company size, age, technology, cost structure, sales level, etc. The surveys also cover aspects related to the payment of taxes, perceived level of difficulty in obtaining permits, licenses and other information likely to be used in the analysis of firm formality in developing countries. In addition, another advantage of the Enterprise Surveys is that it has data for two different years polling the same firms for each country (Table 2).
The Enterprise Surveys gather information from 47 countries. From these, 15 are in Africa, 14 in Europe and 12 in Latin America. Table 3 shows the percentage of firms in each survey according to the continent they belong. Latin America has a higher percentage of polled firms with 39 percent of the total, and the African continent is second with 32 percent.
Table 4 displays the distribution of formal enterprises according to their activity. In the first survey, Wearing Apparel manufacture is the activity with the highest level of informality, 10 percent. In the second survey, the informality level in this activity drops to 5%. Food and Other Services experienced also a greater degree of informalization between the two surveys.
There is a higher percentage of polled firms in developing countries (53 percent) than in developed countries (47 percent). In developing countries (Low and Medium Human Development) the level of formality - 80 and 89 percent - is lower than in developed countries (very high and high human development) - 94 and 92 percent - (See Table 5).
The Enterprise Surveys apply a similar sample design that involves the randomness of the stratified sample in each country, based on the location, size and sector. (World Bank). Although stratification is informed by firms’ census, one of the frequent criticisms to the Enterprise Surveys is their lack of representation of the firms’ size distribution. In other words, small firms are underrepresented. Because most informal enterprises are small, this bias results in a low percentage of informal enterprises, as described in previous lines (See Table 6). From estimations of the size of the informal economy in developing countries (Loayza 1996; Schneider 2002), it is clear that the World Bank surveys underreport the number of informal firms. We could hypothesize several reasons for this underestimation, from difficulty in finding informal itinerant firms to conscious avoidance of tax inspector fearing of being subject to fines or bribes.
To avoid the underlying difficulty in the analysis of informal enterprises from an unrepresentative sample, our analysis relies upon formal firms in the first survey and their evolution in the second survey. Our main question is if they continue as formal or move to informality and why.
We take into account data from firms in 12 countries, because for these subset of countries there is tax registry and sales level information, while in the remaining countries this information is absent. The level of sales is recorded in local current currency and, for comparison purposes, we convert it to constant 2005 U.S. dollars. The 12 countries analyzed are scattered across 4 continents. Nonetheless, they all show a comparable level of development (See Table 7)
From an exploratory point of view, we observe a positive relation between trade openness and average formality by country (See Figure and Figure 2). Also, the average age of firms by country has a positive relation with formality (See Figure 1). As expected, data collected from the Enterprise Surveys show a positive relationship between firm size and formality (Table 6), in line with firm size duality.
4. Methodology
One of the frequent issues in economic research and economics in general is the simultaneous determination between variables. Probably, Haavelmo (1941) in his article "On the theory and measurement of economic relations" was the first to formalize the simultaneous equation model. But, what if one of the dependent variables causing the simultaneity is qualitatively observed (dichotomous)? Maddala in his book "Limited-Dependent and Qualitative Variables in Econometrics-Cambridge University Press (1983)" discusses this issue and proposes the appropriate procedure. In the next lines, we present a brief overview of the methodology developed by Maddala.
4.1. Model Specification
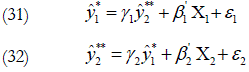
The essential difference between the typical model of simultaneous equations and simultaneous equations model with qualitative dependent variable is the way and the possibility of observing and . Equations (1) and (2) show a generic typical model with two simultaneous equations:
![]()
![]()
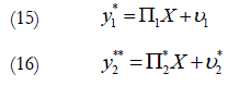
We present the following cases. First, if Υ1 and Υ2 are observed and are not equal to zero, the strategy estimation is Two-stage least squares. Second, if Υ1=0 or Υ2=0, but not both, and the errors are uncorrelated, the strategy is estimation by OLS equation by equation. Finally, the issue that concerns us, if Υ2 is a latent variable that we observed as a categorical variable ,Υ*2 i.e.:
![]()
![]()
![]()
Assuming further that Υ1 and Υ2 are non-zero, the suitable estimation strategy comes from Maddala (1983), i.e., the estimation of simultaneous equations with qualitative dependent variable1.
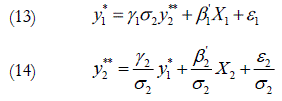
4.2. Reduced form and structural form of the model with qualitative dependent variable
Equations (3) and (4) constitute the structural form of the model of simultaneous equations with qualitative dependent variable. Where Υ*1 is a function of Υ*2 and Υ*2 is a function of Υ*1
![]()
![]()
where,

Equations (5) and (6) represent the reduced form of the model of simultaneous equations with dependent qualitative variable2.

where,

Since Υ*2 is dichotomous, we estimate
by generalized least squares method (GLS) for Probabilistic Weighted Linear Models (PWLM). Thus, we encounter the problem of heteroskedasticity3.

OLS estimation of the transformed model -equation (12) - is equivalent to applying MCG in equation (8), in both cases efficient estimates of regression coefficients are obtained4.
Once the correct heteroskedasticity model Probit, it follows the estimation of the model in its reduced form and later in its structural form.
Structural form:
Since Υ*2 is observed only as a dichotomous variable, structural equations are as follows:

Reduced form:
Since Υ*2 is observed only as a dichotomous variable, the equations in its reduced form are as follows:

where,

We estimate in two stages:
a. Estimation of the first stage:
Since Υ*1 is observed as a continuous variable, in the first stage the Υ*1 is estimated based on all exogenous variables of the model (reduced Υ**2 according to -equation (15)-), using the methodology of OLS, then the predicted values of the variable ŷ*1 (Equation (17)) are obtained. Furthermore, Υ**2 since is observed as a dichotomous variable, Υ**2 is estimated based on all exogenous variables (reduced Υ**2 depending on Υ**1 -equation (16)-) using the Probit estimation. Since it is a qualitative variable regression, predicted or forecast values ŷ**2 (Equation (18)) are obtained5.

b. Estimation of the second stage:
In the second stage, the predicted values of the dependent variables are used as independent variables for estimating the structural model, that is, we use ŷ*1 as an independent variable in the equation (20) and we use ŷ**2 as an independent variable in the equation (19). Equation (19) is estimated via OLS and equation (20) is estimated via Probit.
![]()
![]()
c. Estimation of standard errors:
In the last step we correct the standard errors. The correction of standard errors is necessary since the standard errors for each model in the second stage is based on ŷ**2 and ŷ*1, not in the proper y**2 and y*1. Thus, the estimated standard errors (19) and (20) are incorrect.
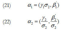
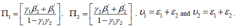
The correction need to be implemented on the covariance matrices α1 and α2, equations (19) and (20) respectively. Equation (21) represents the covariance matrix of equation (19) with mean and variance equal to y1σ2 and β'1 respectively. Equation (22) represents the covariance matrix of equation (20) with mean equal to
and variance equal to 6.![]()

In equations (25) and (26) we have the asymptotic covariance matrix of the Nelson-Olsen7 estimator α1 and α2:
![]()
![]()
where,

5. Model
The production function of the firm includes labor, capital and the formality status of the firm. The latter is an indivisible factor with only two possible values: 0 (informal) or 1 (formal). In addition, the average managerial abilities of firms in a single country is approximated by the level of trade openness in the country. We consider the managerial ability to be part of the total factor productivity. However, instead of multiplying the whole production function, managerial abilities first impact on the status of the firm. A higher total factor productivity means a higher managerial ability. And the greater the trade openness the bigger the total factor productivity and the managerial abilities.
![]()
Where:
Y: Firm’s sales,
K: Capital factor (Firms),
L: Labor factor (Firms),
S: Firm’s formality,
A: Total factor productivity (TFP) (Firms),
α y β: Are elasticities of labor and capital factor, respectively.
In case of a drop in sales, the firm could select to cut costs through firing factors (labor, capital or a move to informality). Yet, there is simultaneity between the level of sales and the formality status. If the firm remains formal it can continue its access to a broader base of clients (the state, public enterprises, formal private firms) and therefore increase its sales. A higher level of managerial abilities, as part of the total factor productivity and approximated by trade openness, lessens the impact of a drop in sales on the firing of employed factors.
Therefore, the higher likelihood of small firms to be informal arises from different levels of managerial ability. In case of a higher level of managerial ability we expect to observe an increase in firm formality. In this matter, the reviewed literature discusses the relation between total factor productivity and growth. However, total factor productivity in its core is a “measure of our ignorance” that coalesces everything that is not labor or capital. We characterize managerial ability as part of total factor productivity and assume that managerial ability first influences the status of a firm. For example, to keep books in a formal firm needs accounting skills.
According to the hypothesis that there is a positive relation between trade and growth, the total factor productivity and managerial abilities should be higher in more open economies. Managerial abilities and productivity are also related to competitiveness. If trade openness allows for more of them, we expect to find a positive link between trade openness and the probability of a firm to remain formal. In other words, we hypothesize that a higher level of managerial abilities –stemming from trade- should reduce the probability of informalization.
To capture the effect of managerial abilities via trade openness on the probability of informalization of formal firms, we make use of four different measures of trade: exports plus imports, exports, imports, exports of commodities, exports of manufactures, all of them as share of GDP. We regress 4 models (summarized in equations (1) and (2)) that analyze the relationship between the level of sales and the likelihood that a formal business continues as such or moves to informality, along with the impact of several measures of trade openness at country level. Therefore:
Equations (25) and (26) represent the structural form of the model of simultaneous equations with qualitative dependent variable to model the formality (informalization).

Where,
![]()

Namely,
y*1 It is a continuous endogenous variable that represents the logarithm of sales of the firm in the second survey (in constant dollars).
y*2: It is an endogenous dichotomous variable, which is equal to "1" if the firm is formal in the first and second survey, and it is equal to "0" if the firm was formal in the first survey and informal in the second survey.
X1: It is a matrix including firm’s age in logarithms, firm’s sales (1st survey) in logarithms.
X2: It is a matrix including the logarithm of the GDP and different measures of trade openness in 4 models (see Table 1).
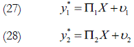
Equations (27) and (28) represent the reduced form of the model of simultaneous equations with dependent qualitative variable8 to model the formality (informalization).

Where,

After correcting heteroskedasticity in the Probit estimation, we estimate the reduced model (equation (29)) which is related to the sales of the firm (y*1) using all exogenous variables in the model X (Firm’s age, firm’s sales in the first survey, GDP per capita, trade openness (see Table 1)). In this manner, we obtain the predicted values of the variable sales firm ŷ*1. Also, we estimate the dichotomous variable formality (y*2) (equation (30)) according to all exogenous variables X in the model (Firm’s age, firm’s sales in the first survey, GDP per capita, trade liberalization measures (see Table 1)) in order to obtain the linear probability of ŷ**2-formality of the firm-.

The predicted values of the dependent variables are used as independent variables for estimating structural models, i.e. the predicted values of the firm sales in the first survey (ŷ*1) is used as an independent variable in the equation (32) and the linear prediction of formality (ŷ**2) is used as an independent variable in the equation (31). Equation (31) is estimated via OLS and Equation (32) is estimated using Probit.

6. Results
We draw on cross-section data for 636 companies in 12 developing countries to regress four models of simultaneous equations with dichotomous dependent variable to study the relationship between sales and the probability of a business to continuity as formal. Although the four models are distinguished by presenting different trade openness measures, in each one is evident a positive and simultaneous relationship between the level of sales and formality, as well as an increased likelihood of the firm to stay in formality in case the firm operates in a more open economy (See Table 8 and Table 9).
Sales increase with firm’s consolidation represented by its age. Also, a higher GDP per capita reflects a better chance to preserve the formality of the firm. From Model D we expected to find a larger impact of manufacture exports than commodity exports on formality. However, tests show that there is no statistical difference in the parameters of both types of exports.
In general, a 1 percent increase in the probability of a firm to remain formal contributes to boost sales from 3 to 6.3 percent in average, depending on the modeled measure of trade openness (See Table 10). These results are robust to changes in specification and inclusion of other variables and do not present the typical pathologies. Changing the time period length to calculate the average of the trade measures does not modify our results.
This scheme is consistent and in line with economic theory, however, when applied to formal businesses in developed countries, the signs are not the expected ones and the statistical significance is lost. This setback leads us to believe that informality in developed countries comes from a strain different than the one originating informality in developing countries.
7. Conclusions
We have identified two important factors, trade openness and sales, to explain why a formal firm becomes informal. Using sales data on 637 firms and 4 different measures of trade openness at country level, we find evidence to identify firm informalization under the set of strategies used to deal with a drop in sales. From the reverse causality point of view, firm formality allows the firm to expand sales, ultimately forming a virtuous cycle between formality and sales.
Since we link trade openness to a reduction in the probability of informalization, our results are relevant for trade policy. Clearly, a wider research in terms of panel data is needed to elucidate the short and long term relation of trade openness with firm formality. However, we could hypothesize that if initially a policy of trade openness bears a negative influence in domestic firm sales, at the end of the day trade is beneficial to formality through gains in managerial ability or productivity.
Building on the results, a more comprehensive scheme than the one displayed here should take into account all of the strategies available to a firm to face a drop in sales: reduction in employment, informalization of labor, decrease in the level of stocks, default and, among others, firm informalization. Also, to expand this analysis, an index of managerial ability can be elaborated with variables such as firm financing (formal or informal), attained level of education by the manager, use of separate accounting and formality at the start, in order to better capture firm specific managerial abilities.
Tax policy should take into account that firm informalization is a strategy used by formal firms to face a reduction in sales. Usually, a drop in the overall economic is followed by a reduction in fiscal income, thus encouraging more tax control. Nonetheless, higher fiscal control during an economic recession could aggravate the already negative influence of a drop in demand and encourage further informalization.
Notas
1 The cdsimeq command (software Stata) estimates the model with simultaneous equations assuming one of the independent variables as qualitative. (Keshk, O. M. (2003). CDSIMEQ: A program to implement two-stage probit least squares. The Stata Journal, 3(2), 1-11)
2 Where

3 One of the problems of Probit is not constant variance of the errors, that is, errors are not homoscedastic:


The variance of the random error is a function of probability ƒ1 (1), which is in turn a function of each of the observations of the explanatory variables X . The random perturbation is therefore heteroskedastic and estimation by OLS obtains regression coefficients with no minimum variance, i.e., not efficient.
4 MCG estimation generates the loss of the independent term in the model, this can cause the sum of the errors to be non-zero and a negative coefficient of determination.
5 We obtain the linear prediction from the Probit estimation. The linear prediction is a mathematical operation where future values of a discrete time signal are calculated as a linear function of previous samples (Hayes, M. H. , 1996).
6 In the Probit model, we normalize σ2 to one.
7 For more information, see Maddala, G. S. (1986). Limited-dependent and qualitative variables in econometrics (No. 3). Cambridge university press. Also, Blundell, R. W., & Smith, R. J. (1989). Estimation in a class of simultaneous equation limited dependent variable models. The Review of Economic Studies, 56(1), 37-57.
8 
References
Alvarez, R. M., & Glasgow, G. (1999). Two-stage estimation of nonrecursive choice models. Political Analysis, 8(2), 147-165. [ Links ]
Busso, M., Fazio, M. V., & Algazi, S. L. (2012). (In) Formal and (Un) Productive: The Productivity Costs of Excessive Informality in Mexico. [ Links ]
Dowrick, S., & Golley, J. (2004). Trade openness and growth: who benefits?. Oxford review of economic policy, 20(1), 38-56. [ Links ]
Edwards, S. (1998). Openness, productivity and growth: what do we really know?. The economic journal, 108(447), 383-398. [ Links ]
Fajnzylber, P., Maloney, W. F., & Montes-Rojas, G. V. (2011). Does formality improve micro-firm performance? Evidence from the Brazilian SIMPLES program. Journal of Development Economics, 94(2), 262-276. [ Links ]
Gatti, R., & Honorati, M. (2008). Informality Among Formal Firms: Firm-Level. Cross-Country Evidence On Tax Compliance And Access To Credit World Bank Policy Research paper, 4476. [ Links ]
Karaca‐Mandic, P., & Train, K. (2003). Standard error correction in two‐stage estimation with nested samples. The Econometrics Journal, 6(2), 401-407. [ Links ]
Keshk, O. M. (2003). CDSIMEQ: A program to implement two-stage probit least squares. The Stata Journal, 3(2), 1-11. [ Links ]
Krugman, P. (1994). The myth of Asia's miracle. FOREIGN AFFAIRS-NEW YORK-, 73, 62-62. [ Links ]
Levenson, A. R., & Maloney, W. F. (1998). The informal sector, firm dynamics and institutional participation. World Bank Policy Research Working Paper, (1988). [ Links ]
Loayza, N. V. (1996, December). The economics of the informal sector: a simple model and some empirical evidence from Latin America. In Carnegie-Rochester Conference Series on Public Policy (Vol. 45, pp. 129-162). North-Holland. [ Links ]
Lucas, R. E. (1998). On the mechanics of economic development. Econometric Society Monographs, 29, 61-70. [ Links ]
Maddala, G. S. (1983). Limited-dependent and qualitative variables in econometrics (No. 3). Cambridge university press. [ Links ]
McKenzie, D., & Sakho, Y. S. (2007). Does it pay firms to register for taxes? The impact of formality on firm profitability. [ Links ]
Miller, S. M., & Upadhyay, M. P. (2000). The effects of openness, trade orientation, and human capital on total factor productivity. Journal of development economics, 63(2), 399-423. [ Links ]
Otero, J. V. (2006). Eva Medina Moral. Cuadernos de Economía, 29, 85-118. [ Links ]
Oviedo, A. M., Thomas, M. R., & Karakurum-Özdemir, K. (2009). Economic informality: causes, costs, and policies: a literature survey (No. 167). World Bank Publications. [ Links ]
Rauch, J. E. (1991). Modelling the informal sector formally. Journal of development Economics, 35(1), 33-47. [ Links ]
Rodrik, D. (1995). Political economy of trade policy. Handbook of international economics, 3(3), 1457-1494. [ Links ]
Schneider, F. (2002, July). Size and measurement of the informal economy in 110 countries. In Workshop of Australian National Tax Centre, ANU, Canberra. [ Links ]
Appendix
Tables and Figures


























