Servicios Personalizados
Revista
Articulo
Indicadores
-
Citado por SciELO -
Accesos
Links relacionados
-
Similares en
SciELO
Compartir
Revista Jurídica Derecho
versión impresa ISSN 2413-2810
Rev. Jur. Der. vol.13 no.20 La Paz jun. 2024
ARTÍCULOS
Análisis del derecho reproductivo
asistido, en el marco del Estado
Plurinacional de Bolivia
Siles Cajas, Jorge Remy1
1 Doctor (Ph.D.) en Derecho Constitucional y Derecho Administrativo (UMSA). Docente
titular de la Carrera de Derecho de la Facultad de Derecho y Ciencias Políticas UMSA.
Correo: jorgesilescajas@gmail.com
Presentado: 15 de diciembre de 2023 Aceptado: 31 de marzo de 2024
Resumen
El presente estudio de investigación, tiene la finalidad de analizar la correcta actividad de la salud “reproducción asistida” en Bolivia, centros y complejos hospitalarios de salud, en ciudades Metropolitanas de La Paz, Cochabamba y Santa Cruz, y ciudades intermedias, que aglutinan a gran variedad de centros de salud privada y pública, con especialidades, en técnica de reproducción asistida, en mujeres, hombres y personas libres que deseen ser madres y padres, con derechos, deberes y obligaciones. La Reproducción Asistida, aborda mecanismos jurídicos de aplicación preferente, en el marco de la Constitución Política del Estado, el Derecho de Familia y Derecho Civil, los Tratados Internacionales de Derechos Humanos y de Salud Reproductiva, leyes nacionales, regionales e internacionales, con el afán de garantizar el desarrollo y uso eficaz de la Técnica de Reproducción Asistida, en: a) Fecundación Artificial, b) Inseminación In Vitro, c) Gestación Subrogada o Vientre de Alquiler, y d) Donación de Gametos.
Palabras claves: Salud, Ley, Reproducción Asistida, Infertilidad-Esterilidad, familia, Derechos Humanos.
Abstract
The purpose of this research study is to analyze the correct activity of “assisted reproduction” health in Bolivia, health centers and hospital complexes, in the Metropolitan cities of La Paz, Cochabamba and Santa Cruz, and intermediate cities, which bring together wide variety of private and public health centers, with specialties, in assisted reproduction technique, in women, men and free people who wish to be mothers and fathers, with rights, duties and obligations. Assisted Reproduction addresses legal mechanisms of preferential application, within the framework of the Political Constitution of the State, Family Law and Civil Law, International Treaties on Human Rights and Reproductive Health, national, regional and international laws, with the aim to guarantee the development and effective use of the Assisted Reproduction Technique, in: a) Artificial Fertilization, b) In Vitro Insemination, c) Surrogacy or Surrogacy, and d) Gamete Donation.
Keywords:
1. Introducción
Los alcances del presente estudio, tiene el objetivo de analizar las normas jurídicas, que regulen la práctica y técnica de la Reproducción Asistida, donde aún Bolivia no cuenta con la misma, por la poca voluntad política de sus gobernantes, al estudio científico médico, de biólogos, ginecólogos y bioquímicos, que necesitan de normas jurídicas que regulen la actividad de la “Reproducción Asistida” de acuerdo a los “derechos fundamentales de la persona” (Constitución-2009).
También garantizar los “derechos humanos” (Constitución-2009), por considerar necesario su derecho de aspirar a nuevos métodos científicos, médicos, tecnológicos y jurídicos, para lograr obtener los beneficios de la ciencia médica y el derecho, por medio de la “reproducción asistida” (Bellan-2001), el “derecho de familia” (Constitución-2009.Art.62-66), y la “seguridad social” (Constitución-2009.Art.35-43-44) a superar la infertilidad sexual, en parejas, personas casadas, unión libre y transexuales, de acuerdo al derecho.
Actualmente, el uso de la técnica de fertilización in vitro, en Bolivia y el mundo, donde el derecho de familia, enfrenta grandes desafíos en la sociedad moderna, es claro que la ciencia médica, la tecnología médica, el derecho médico, avanzan a pasos agigantados, mediante las nuevas innovaciones médico-tecnológicas, que se constituyen en interactuar con el entorno social y familiar entre individuos, creando muchas oportunidades de vida y de solución, que pueden convertirse en respuestas afirmativas, en la creación de normas sustantivas, para su desarrollo familiar, como es el caso de la técnica de reproducción asistida, que llena los espacios vacíos maternales y paternales, de una familia inicial y permanente.
Las tecnologías y técnica de reproducción asistida, son procedimientos diseñados para asegurar que las parejas con problemas de infertilidad puedan tener hijos, estas técnicas tuvieron su gran impacto en 1978, año en que nació el primer bebé probeta en el Reino Unido y citan un progreso increíble; de esta forma, miles de niños han pasado por esta vía de la ciencia médica asistida.
2. Antecedentes
La unión de pareja por medio del matrimonio y la unión libre, tiene por finalidad tener relaciones sexuales y procrear hijos de manera natural, para la conformación de una familia estable con derechos y obligaciones en el Estado y la sociedad, pero uno de los conyugues tropieza con problemas de esterilidad conyugal, que se traduce en un problema de salud reproductiva, por esa razón, este sector de la población que sufre de esterilidad por diversas razones, y las mismas ansían reproducirse y dejar su descendencia, mediante la “técnica de reproducción asistida” (Campohermoso-2011).
Este grupo de población vio una esperanza en la fertilización “artificial” y “in vitro” cuando se informó a la sociedad y al mundo, a finales de la década de los 70 del siglo XX, cuando un 27 de julio de 1978, en Inglaterra dan a conocer el nacimiento de un “bebe probeta” (Edwards-1978) , la niña Louise Joy Brown, por medio de la fecundación in vitro, y la transferencia embrionaria, donde fue la primera bebe nacida mediante la “biotecnología” (Matozzo) , al extraer el óvulo de la mujer, e inyectándole y fertilizándole con espermatozoide del hombre.
Luego se utilizó embriones en el útero materno, con la finalidad y esperanza de lograr la fecundación en este sector de la población con problemas de “esterilidad” (0ssorio-2016) , que vio una luz, al final del camino, encontrándose con la ciencia biológica y la tecnología médica, que descubrió la reproducción asistida y sus diferentes áreas especializadas, así tenemos a la técnica de la “fertilización artificial e inseminación in vitro” (Pérez-Peña-2011) , utilizada frecuentemente, junto a la “Transferencia Embrionaria” (FIV/TE) , en centros de salud asistida.
Desde 1978, hasta el momento 2022, nacieron gran variedad de bebes probetas entre niños y niñas en el mundo, donde Bolivia también puso en práctica esta técnica de reproducción asistida, que beneficia a varias parejas de casados y de uniones libres, con problemas de esterilidad, que ven hecho realidad sus sueños de tener un hijo, mediante la técnica reproductiva en sus diferentes áreas.
Los principales objetivos de la Reproducción Asistida es la transferencia de un solo embrión con mayor probabilidad de implantación, con el fin de obtener un recién nacido vivo sano, la valoración morfológica es una herramienta fundamental para seleccionar un “embrión” (Arango-2016) , que dio nacimiento a Louise Brown en 1978, que gracias a la “fecundación in vitro” (FIV), (Garzon-2007) , que marcó un hito en la historia de la humanidad, en beneficio de las mujeres y hombres con problemas de esterilidad.
3. Fundamentación Teórica de la Reproducción Asistida
“La esterilidad, se define como la incapacidad de concebir, es decir, la imposibilidad de embarazo. En la práctica se considera estéril a la pareja en la que, después de 1 año de mantener relaciones sexuales normales sin usar ningún tipo de método anticonceptivo, no hay concepción. Infertilidad significa incapacidad para tener hijos, pero con posibilidad de embarazo, que no llega a término. Por lo tanto, una mujer infértil será aquella que queda embarazada, pero no llega a tener hijos, mientras que la esterilidad no consigue embarazos” (Gonzales-Merlo-2003).
En el contexto del avance científico y técnico que marca el comienzo de una nueva era para la humanidad, es esencial abordar de manera precisa y cautelosa los logros en el campo de la reproducción asistida, considerando su implicación en relación con los derechos humanos. Esta revolución científica y médica ha llevado a la conquista de nuevos horizontes en la capacidad de controlar y manipular procesos reproductivos, lo que a su vez plantea cuestiones fundamentales en torno a la ética y los derechos individuales.
La aplicación de técnicas de reproducción asistida ya sea con fines reproductivos o terapéuticos, debe estar firmemente arraigada en la protección y fortalecimiento de los derechos fundamentales de los seres humanos. Esta cuestión se vuelve aún más relevante dado el espectro de opiniones diversas que existen en relación con estas prácticas. Por un lado, se encuentran posiciones que enfatizan la importancia de garantizar el acceso a estas tecnologías como un medio para cumplir con los derechos reproductivos de las personas. Por otro lado, se plantean preocupaciones éticas y legales que buscan regular adecuadamente estas tecnologías para prevenir abusos y asegurar que se respeten los derechos humanos en el proceso.
El inicio de una nueva etapa en la historia de la humanidad, marcada por notables avances científicos y tecnológicos, plantea un desafío crucial: garantizar que estos logros se integren adecuadamente con los principios fundamentales de los derechos humanos. Es imperativo reconocer que los beneficios derivados de estos avances deben ser evaluados en función de su relación con los derechos humanos, especialmente en el contexto de su aplicación con fines reproductivos o terapéuticos. La regulación precisa de estas tecnologías es esencial para garantizar que fortalezcan y no menoscaben los derechos fundamentales de los seres humanos.
La intersección entre los avances científicos y los derechos humanos ha generado diversas perspectivas y posiciones en el debate académico y ético. Es fundamental que estas perspectivas sean consideradas y evaluadas con detenimiento para establecer políticas y regulaciones efectivas que guíen el uso de estas tecnologías. La aplicación de técnicas médicas y científicas en el contexto de la reproducción asistida o con fines terapéuticos debe llevarse a cabo con un enfoque claro en la preservación y el respeto de los derechos humanos universales.
La importancia de esta regulación no se limita únicamente a la esfera ética y moral, sino que también tiene implicaciones legales y sociales significativas. El equilibrio entre la promoción de avances científicos y tecnológicos y la protección de los derechos humanos es esencial para el desarrollo sostenible de la sociedad. Por lo tanto, es necesario abordar esta cuestión con un enfoque integral que considere tanto los aspectos éticos como legales, con el objetivo de salvaguardar los derechos fundamentales de todos los individuos involucrados en el uso de estas tecnologías.
La implementación de técnicas de reproducción asistida conlleva una serie de implicaciones éticas y sociales, las cuales deben ser consideradas desde una perspectiva amplia. Tanto la aplicación con fines reproductivos como terapéuticos presenta ventajas y desventajas que tienen un impacto significativo en las personas y las familias que consideran someterse a estos tratamientos. El análisis de estas implicaciones resulta esencial para una comprensión más completa de las dimensiones éticas y sociales que rodean a la reproducción asistida.
En el contexto de la aplicación con fines reproductivos, se observa un beneficio palpable para parejas que enfrentan problemas de infertilidad. Para estas parejas, la reproducción asistida se convierte en una opción esperanzadora después de haber agotado todos los medios tradicionales de concepción. La posibilidad de tener un hijo se convierte en un logro emocional y, en muchos casos, en la realización de un sueño largamente acariciado. Además, esta técnica también podría ser utilizada con fines terapéuticos, particularmente en situaciones en las que se busca tratar enfermedades genéticas hereditarias en un hijo existente. En este contexto, el hijo concebido mediante reproducción asistida podría servir como un donante de células o tejidos compatibles para brindar tratamiento o cura a su hermano o hermana afectado por la enfermedad. En ambos escenarios, la reproducción asistida representa un avance significativo en el ámbito biológico, ya que abre nuevas posibilidades para superar desafíos médicos y brinda esperanza a quienes se enfrentan a la infertilidad o enfermedades genéticas.
Es fundamental subrayar que estas consideraciones éticas y sociales deben ser examinadas en el contexto de un marco regulatorio y normativo adecuado que garantice la protección de los derechos y el bienestar de todas las partes involucradas, incluyendo a los futuros padres, los hijos concebidos mediante reproducción asistida y la sociedad en general. Por tanto, es esencial continuar investigando y debatiendo estos aspectos en aras de lograr un equilibrio ético y social en la aplicación de las técnicas de reproducción asistida.
4. Teoría del Derecho, en la reproducción asistida
En el “Derecho Constitucional” , se toma como base de estudio doctrinal, a los Institutos Jurídicos del Constitucionalismo, referente a los Derechos Fundamentales de las personas, en este caso, desde la Constitución Política de Bolivia, que nos indica, que toda persona tiene derecho a la vida e integridad física, psicológica y sexual, en especial las mujeres, a no sufrir violencia física, sexual y psicológica, donde el Estado garantice el acceso a la salud reproductiva asistida, en todos sus niveles, sin discriminación, en centros de salud pública y privada, en todo el Estado.
El Derecho Constitucional es el conjunto de normas que determina la organización del Estado y de los poderes públicos, fija sus límites y las relaciones. Como norma dogmática y fundamental, regula los actos de las personas, el respeto a la vida y las garantías individuales.
La Constitución es sobre todo, la norma suprema y jurídica, que tiene como única finalidad la distribución del poder entre los órganos estatales, está dotada de principios y derechos que condicionan la validez de las normas, es en este sentido que se habla de lo constitucional, y por ello se afirma que las novedades del constitucionalismo se centran en dos aspectos teóricos: las fuentes del Derecho y su aplicación e interpretación en todo el territorio boliviano.
Mediante la Constitución, se protege los derechos sexuales y reproductivos de mujeres y hombres, a resolver el conflicto de parejas de casados y de uniones libres, que no pueden concebir un hijo de manera natural, y se lo practique de manera científica, la Técnica de la Reproducción Asistida en sus diferentes áreas, y este garantizado y legalizado su utilización y practica desde la Constitución Política del Estado, el Derecho de Familia y el Derecho civil, con la finalidad de beneficiar a toda persona o pareja, con problemas de infertilidad, a que puedan concebir un ser de manera biológica y legalmente establecido.
5. Derecho Civil, en la concepción
El Derecho Civil rige al hombre desde su nacimiento y existencia, como persona individual, y pasa por periodos de mucha importancia y de reconocimiento, a) persona por nacer (Romero-1986) y de existencia natural, que se inicia, con la unión de los óvulos femeninos y los espermatozoides masculinos, b) nacimiento de un ser vivo o persona, reconocido por las leyes del Estado, que regula toda la actividad civil, a través de los contratos, los derechos de familia, de la niñez y adolescencia, y los derechos sexuales y reproductivos en mujeres y hombres.
La protección de la vida y de los derechos del que está por nacer, comienza desde el primer momento de su concepción, donde la ley resguarda a la persona por nacer, con la finalidad de proteger la vida al nacer y sus derechos, desde el momento de su “concepción”, son capaces de adquirir sus propios derechos, donde a la “persona” concebida se le aplica el adagio “infans conceptus pro nato habetur quoties de conmodis ejus agitur”, “el concebido se tiene por nacido, para todo lo que le sea favorable” (Romero-1986) .
Debemos aclarar que el precepto mencionado referente al concebido, por el actual código civil vigente, que nos indica lo siguiente “al que está por nacer se lo considera nacido, para todo lo que pudiera favorecerle y ser reconocido como persona, bastara nacer con vida” (Cód.Civil-2013) , este reconocimiento que se realiza desde el claustro materno a un hijo por nacer, es también reconocido por el código de familia que indica “que puede reconocerse a los hijos simplemente concebidos e igualmente a los prematuros, para Beneficio del cónyuge y de los descendientes” (Cod.Familias-2013) .
El nacimiento de las personas, marco un hecho jurídico en la personalidad, para aplicar el adagio “infans conceptus”, que cuenta la edad de un menor y un mayor.
En este aspecto la dignidad humana y la reproducción asistida, juegan un rol preponderante e importante en el Derecho Civil, incluyendo de manera primordial, el derecho de las personas, al referimos a la libertad de la persona de tomar decisiones autónomas, que constituye el cimiento del ser humano, que resulta ser, el protagonista de estas técnicas de reproducción asistida es donde el derecho encuentra sentido para actuar y normar, mediante la ley.
La persona (natural), en cuanto a persona (artificial), en un sentido amplio, con un valor intrínseco en la sociedad y que le confiere derechos, deberes y obligaciones, respeto a la inviolabilidad del ser humano en su vida en común, con los demás seres, desde su nacimiento, en este caso, a través de la técnica de reproducción asistida en: fecundación artificial, fertilización in vitro, vientre en alquiler y donación de gametos, para personas con problemas de infertilidad y fecundidad.
6. Derecho de Familia en la reproducción asistida
Los derechos de las familias son los principios, valores de responsabilidad, respeto, solidaridad, protección integral, intereses prevalentes, favorabilidad, unidad familiar, igualdad de oportunidades y bienestar común en vivir bien, que es la condición y desarrollo de una vida Integra, material, espiritual y física, en armonía consigo mismo, y en el entorno familiar y social.
De esta manera vamos a señalar que el Estado, está obligado a proteger a la “familia” respetando su diversidad sexual y reproductiva, procurando su integración, estabilidad económica y emocional, el bien común de la familia, el desarrollo social y cultural, para el cumplimiento de los deberes y derechos de todos sus miembros, y orientará sus decisiones legislativas, judiciales y administrativas, en garantizar los derechos fundamentales de las familias y de sus integrantes, priorizando los casos de fecundidad e infertilidad, en mujeres y hombres, en conformar una familia real, mediante la reproducción asistida.
El Estado promoverá acciones y facilitará condiciones para fortalecer la iniciativa, la responsabilidad y la capacidad de las familias en sus dimensiones afectiva, formadora, social, productiva, participativa y cultural, para una convivencia respetuosa y armoniosa, bajo la responsabilidad de la madre y del padre o de ambos, y que estén integradas por diversos miembros de ella, donde gozan de igual reconocimiento y protección de instituciones del Estado.
La autoridad judicial, al momento de emitir decisiones que afecten a las familias, en principio velará por el bienestar, la seguridad familiar, la responsabilidad mutua y compartida, cuidando la no vulneración de los derechos fundamentales de ninguno de sus miembros, donde el hijo concebido durante el matrimonio tiene por padre al marido de la madre, y se presume concebido durante el matrimonio al hijo que nace después de los ciento ochenta días de su celebración hasta los trescientos días siguientes a su disolución o anulación, en este último caso el plazo se cuenta desde el día que sigue a la separación de los esposos.
La inseminación artificial y fecundación in vitro homóloga desde el punto de vista jurídico, no presentan inconvenientes respecto de la determinación de la filiación del hijo nacido por este método, la paternidad debe ser atribuida al marido, en este caso, se trata de un hijo legítimo, ya que la técnica de la reproducción asistida, ha sido utilizada por dos personas capaces, con su consentimiento mutuo y libre, y además coincide la paternidad biológica, y con la filiación legal del recién nacido.
Por lo tanto, si se intentase una acción de impugnación de paternidad, a la mujer le bastaría aportar, la prueba de la fecundación con el semen del marido, que éste ha dado su consentimiento informativo, y que la concepción se realizó dentro de los plazos legales. Distinto es el caso de la fecundación asistida heteróloga, ya que se tiende a atribuir una paternidad distinta de la biológica, pues interviene un donante de gametos (óvulos & espermatozoides).
Mediante la Biología y el Derecho, en el caso de la paternidad, pone en primer plano la dimensión jurídica, y permite afirmar que la filiación es, al menos en esa aproximación inicial, el vínculo jurídico que existe entre un padre y su hijo, o una madre y su hijo, donde el Estado reconoce y protege a las familias como el núcleo fundamental de la sociedad, y garantizará las condiciones sociales y económicas, necesarias para su desarrollo integral, y todos sus integrantes tienen igualdad de derechos, obligaciones y oportunidades en la vida.
7. Gestación Subrogada
Conocida en el ámbito médico-clínico, la "gestación subrogada" o "vientre de alquiler", como se conoce según la referencia de Breña (2012), constituye una faceta destacada de las técnicas de reproducción asistida. Esta práctica se materializa a través de un acuerdo o contrato civil voluntario, en el cual una mujer, en calidad de gestante subrogada, accede deliberadamente a gestar el hijo de otra persona o pareja. En este proceso, se produce la cesión de su capacidad gestante para que se implante un embrión que es ajeno a su material genético y que ha sido engendrado previamente mediante la técnica de fecundación in vitro.
Este procedimiento implica un compromiso fundamental por parte de la gestante subrogada, quien se encarga de llevar a cabo el embarazo hasta su término, culminando con la entrega del recién nacido a los futuros padres, quienes generalmente son los progenitores biológicos o comitentes del embrión. Esta práctica plantea cuestiones éticas, legales y sociales de gran envergadura, que involucran no solo los derechos y responsabilidades de las partes involucradas, sino también la percepción pública y las regulaciones gubernamentales en torno a la gestación subrogada.
La gestación subrogada, como componente significativo de la reproducción asistida, ha generado debates profundos en la esfera académica y en la sociedad en general. Se ha convertido en un tema de estudio e investigación multidisciplinario que abarca aspectos legales, bioéticos, psicológicos y médicos. A medida que avanzamos en el siglo XXI, la gestación subrogada se presenta como una cuestión relevante y compleja que demanda un análisis detenido y una consideración cuidadosa de sus implicaciones en la dinámica sociocultural y en la evolución de las prácticas de reproducción asistida.
El 'vientre de alquiler', es una práctica de reproducción asistida en la que una mujer, en virtud de un acuerdo previo y contractual con otra persona o pareja, se somete a un proceso de embarazo y da a luz a un bebé concebido a partir de un óvulo que no es de su propia autoría genética, con el propósito de que la criatura sea entregada a la persona o pareja que ha suscrito el acuerdo. En esta dinámica, los individuos receptores del bebé, quienes proporcionaron el material genético, asumen la responsabilidad parental del recién nacido, configurando así una unidad familiar.
Esta práctica, aunque controversial y objeto de variados debates éticos, legales y sociales, ha emergido como una alternativa reproductiva en la que la maternidad subrogada se convierte en un medio para la realización de los deseos reproductivos de aquellos individuos o parejas que, por diversas razones, no pueden llevar a cabo un embarazo y parto por sí mismos. El fenómeno de la gestación subrogada se inscribe en el contexto más amplio de la reproducción asistida y refleja la complejidad de las cuestiones relacionadas con la parentalidad, la identidad genética y los derechos de reproducción.
La práctica de la maternidad subrogada constituye un tema de creciente relevancia en el contexto contemporáneo, que incide significativamente en una parte sustancial de la población. Este fenómeno plantea una serie de cuestionamientos éticos y legales que revisten una importancia crítica. En particular, la discusión en torno a la moralidad y la legalidad de la maternidad subrogada se presenta como un caso paradigmático de la intersección entre la libertad de elección individual y la autonomía de la voluntad, conceptos fundamentales en el marco de los derechos humanos. La Constitución del año 2009, que establece los cimientos jurídicos y éticos de la sociedad, consagra en su texto los principios que garantizan la autonomía y la dignidad de la persona, entre otros derechos fundamentales.
La maternidad subrogada, en su esencia, se fundamenta en la premisa de que cada individuo debe tener la libertad de tomar decisiones sobre su propio cuerpo y su vida de acuerdo con sus deseos y valores personales, siempre y cuando se respeten los derechos humanos y las disposiciones legales pertinentes. Este enfoque subraya la importancia de salvaguardar la integridad y la dignidad de las personas involucradas en el proceso de gestación subrogada, ya sean gestantes, futuros padres o niños nacidos a través de este método.
La gestación subrogada, en el contexto de los avances en la medicina reproductiva y la diversidad de las estructuras familiares modernas, representa un fenómeno de creciente relevancia en la que una serie de actores, cada uno con roles específicos y compromisos contractuales definidos, participan en el proceso de gestación y crianza de un niño. En esta práctica, una mujer, conocida como "gestante", se compromete voluntariamente y de manera contractual a llevar a término el embarazo y dar a luz al hijo de otra persona o pareja, quienes comúnmente se denominan "padres de intención". El núcleo central de esta dinámica reproductiva implica que, siempre que sea factible, los óvulos, gametos y espermatozoides utilizados para la concepción son proporcionados por los padres de intención. De esta manera, el futuro hijo es concebido biológicamente por ellos, y se establece una conexión genética directa entre el niño y al menos uno de los padres de intención.
8. Legislación Internacional sobre Reproducción Asistida
En 1996 Glen Cove, Nueva York, el Fondo de Población de Naciones Unidas (FNUAP) en colaboración con la Oficina del Alto Comisionado para los Derechos Humanos (en aquel entonces, el Centro para los Derechos Humanos) y la División para la Promoción de la Mujer (DAW) organizaron una Mesa Redonda sobre Enfoque de derechos humanos relativo a la salud de la mujer, en especial, la “salud y los derechos sexuales y reproductivos” (FNUAP) . Todo ello con el fin de promover, implementar y supervisar el derecho de la mujer a la salud, y en particular a la salud sexual y reproductiva.
Los derechos reproductivos abarcan ciertos derechos humanos que ya están reconocidos en las leyes nacionales, en los documentos internacionales sobre derechos humanos y en otros documentos pertinentes de las Naciones Unidas aprobados por consenso, esos derechos básicos de todas las parejas e individuos a decidir libre y responsablemente el número de hijos procrear, a disponer de la información y de los medios para ello, y el derecho a alcanzar el nivel más elevado de salud sexual y reproductiva. También incluye su derecho a adoptar decisiones relativas a la reproducción sin sufrir discriminación, coacciones ni violencia, de conformidad con lo establecido en los documentos de derechos humanos.
La Reunión examinó tres cuestiones de considerable importancia para la salud sexual y reproductiva con el fin de evaluar el impacto de los servicios clínicos, los sistemas de salud y otros factores sociales, económicos, legales y políticos, fundamentales para el disfrute de la salud y los derechos sexuales y reproductivos, y para identificar las medidas positivas que deben adoptar los Estados en virtud de las correspondientes disposiciones de los tratados para garantizar el disfrute de esos derechos. Estos tres aspectos fueron “el aborto en condiciones de riesgo, el acceso de los adolescentes a la salud sexual y reproductiva y el VIH/SIDA”.
8.1. FONDO DE POBLACIÓN DE LAS NACIONES UNIDAS (FNUAP), APLICACIÓN DE LOS DERECHOS HUMANOS A LA SALUD SEXUAL Y REPRODUCTIVA
Fomentar y facilitar el análisis de los derechos implicados cuando se analicen cuestiones de salud sexual y reproductiva, con el fin de clarificar su relación con las competencias de los órganos de vigilancia de los tratados de derechos humanos y garantizar una amplia difusión de dicho análisis para apoyar e intensificar los esfuerzos de asistencia de todos los organismos o personas interesadas, incluidas las ONGs y los organismos de Naciones Unidas pertinentes, destinados a promover el pleno disfrute de la salud sexual y reproductiva por parte de todos los seres humanos a reproducirse de manera natural o biológica.
También es de mucha importancia difundir en los diferentes idiomas que existe en el mundo, en este caso los más utilizados como el inglés, español, francés, chino, árabe y ruso, lo más ampliamente posible, incluido al personal de campo de los organismos de Naciones Unidas, a través de todos los medios disponibles, como es el internet, y crear un equipo de trabajo multipartito con representación de los órganos de vigilancia de los tratados, las entidades de Naciones Unidas (incluido personal de campo) y “ONGs” internacionales y nacionales para que realicen un seguimiento y un control de la implementación de estas recomendaciones.
8.2. ORGANIZACIÓN MUNDIAL DE LA SALUD (OMS)
Ginebra, según un informe publicado por la Organización Mundial de la Salud (OMS) , muchas personas padecen de infertilidad en algún momento de su vida, y Cerca del 17,5% de personas adultas (es decir, alrededor de uno de cada seis) presentan este problema, por lo que resulta urgente aumentar el acceso a una atención de la infertilidad asequible y de calidad para quienes la necesiten, y de acuerdo con estimaciones de infertilidad varía poco de una región a otra y las tasas son similares en los países de ingresos altos, medianos y bajos, lo cual demuestra que se trata de un importante problema de salud pública en todos los países y todas las partes del mundo.
Según estudios e informes realizados por personal de la Organización Mundial de la Salud (OMS), han señalado que:
Artículo 4. "Toda persona tiene derecho a la vida. Este derecho estará protegido por la ley, en general, a partir del momento de la concepción" Vamos a señalar que la infertilidad es un trastorno humano natural u propiciado por el aparato reproductor (masculino o femenino) consistente en la incapacidad para lograr el embarazo deseado durante los doce (12) meses o más de relaciones sexuales regulares y constantes sin protección, donde puede causar mucha angustia, estigmatización y dificultades económicas y afectar al bienestar mental y psicosocial de las personas que padecen este problema reproductivo.
8.3. CONVENCIÓN AMERICANA DE DERECHO HUMANOS (C.A.D.H.)
Artículo 4. "Toda persona tiene derecho a la vida. Este derecho estará protegido por la ley, en general, a partir del momento de la concepción" (Luna-2008) .
Se puede hablar de un consenso respecto de cómo interpretar este artículo 4 de la Convención Americana, ya que, en 1981, se le solicitó al órgano que se le ha encomendado la competencia de promover la observancia y respeto de los derechos humanos en el sistema interamericano la Comisión Interamericana de Derechos Humanos, que estableciera si las disposiciones relativas al derecho a la vida contenidas en estos documentos eran compatibles con el derecho de la mujer a acceder a abortos legales y seguros.
La Comisión se expresó con respecto al derecho a la vida, reconocido en la Declaración, es importante notar que los signatarios que actuaron en Bogotá en 1948 rechazaron cualquier redacción que hubiera extendido ese derecho a los que están por nacer [Y] la Conferencia adoptó una simple declaración del derecho a la vida, sin referencia a los que están por nacer y lo vinculó a la libertad y seguridad de la persona. Parecería entonces incorrecto interpretar que la Declaración incorpora la noción de que exista el derecho a la vida desde el momento de la concepción.

FUENTE: Elaboración propia a base de datos. Recuperado.23/03/22.
8.4. CORTE INTERAMERICANA DE DERECHOS HUMANOS (C.I.D.H.)
También en la “Corte Interamericana de Derechos Humanos” (Brena-2011) se ha dejado entrever una fuerte relación de los derechos sexuales y reproductivos con la autonomía personal, la libertad reproductiva, la integridad física y sicológica. Dicho tribunal ha establecido que los derechos a la vida privada y a la integridad personal se hallan también directa e inmediatamente vinculados con la atención de la salud.
La falta de salvaguardas legales para tomar en consideración la salud reproductiva puede resultar en un menoscabo grave del derecho a la autonomía y la libertad reproductiva. Existe por tanto una conexión entre la autonomía personal, la libertad reproductiva y la integridad física y psicológica. (Caso Artavia Murillo y otros Vs Costa Rica, 2012, pág. 47).
8.5. DECLARACIÓN UNIVERSAL DE DERECHOS HUMANOS (D.U.D.H.)
La “Universalidad de los Derechos Humanos” (Yacine-2015) es reafirmada en Viena (1993) durante la tercera Conferencia Mundial. Es decir, quedó claro que los Derechos Humanos son los mismos o deberían serlo en todo el mundo y en todas las culturas, “aun aceptando ciertas particularidades nacionales y regionales, además de diversos patrimonios históricos, culturales y religiosos”, tal como se expresa en el párrafo 15 de la Declaración de Viena.
El reconocimiento de los derechos sexuales y reproductivos en el contexto internacional ha tenido un desarrollo lento durante casi medio siglo. El primer referente de los derechos sexuales y reproductivos como derechos humanos se encuentra en la Conferencia Mundial de Derechos Humanos de Teherán (1968).
La Declaración Universal sobre Genoma Humano y Derechos Humanos proclamada el 11 de noviembre de 1997 por la UNESCO establece en su artículo 2, literales a y b lo siguiente: a) Cada individuo tiene derecho al respeto de su dignidad y derechos, cualesquiera que sean sus características genéticas, b) Esta dignidad impone que no se reduzca a los individuos a sus características genéticas y que se respete el carácter único de cada uno y su diversidad.
9. Tipo y características de consideración muestral de la investigación
Al considerar la muestra de la investigación se tomó en cuenta la disponibilidad de estudiantes con quienes aplicar las técnicas didácticas que se plantean. En ese sentido, se decidió realizar la investigación con una población de 70 personas, asistentes a la Carrera de Derecho, ya que se trabajará con esta clase de primer año como referente del estudio.
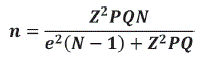
Esta muestra probabilística (Hernández et. Al, 2014) fue escogida de manera intencionada, por conveniencia, según la disposición de los paralelos. La forma en que se determinó la cantidad de estudiantes fue a través de la siguiente ecuación:

Donde:
n : Tamaño de muestra
z : Valor que depende del nivel de confianza, si es 95%, Z = 1,96
e : Error estimado en la encuesta (0,1)
p : Probabilidad de éxito. (0,95)
q : Probabilidad de fracaso (0,05)
N : Tamaño de la población 240 personas.

De tal manera, el resultado obtenido se redondea a 35, y es así como se justifica que este sea el número de estudiantes con quienes se realizó la investigación centrada en la reproducción asistida.
10. Resultados y Discusión
Para sostener la presente investigación científica, utilizamos la “Técnica de la Entrevista y del Cuestionario” (Morga-2012) , como prueba empírica, en base a seis (6) preguntas abiertas y un cuestionario de ocho (8) preguntas cerradas, identificadas con el Objetivo General y Específicos, la Hipótesis y la Propuesta de ley, referente a la Técnica de Reproducción Asistida, en Mujeres y Hombres, con problemas de Infertilidad.
Se ha logrado entrevistar a setenta (70) personas, divididas en dos grupos, el primer grupo de treinta dos (32) personas, con respuestas afirmativas y propositivas, sistematizado bajo las seis (6) preguntas abiertas, y el segundo grupo de treinta ocho (38) personas, con preguntas cerradas al cuestionario, realizadas a parejas casadas, de unión libre de mujeres y hombres, con problemas de infertilidad activa o pasiva, quienes respondieron de manera abierta, logrando obtener el apoyo efectivo, a la propuesta de ley, de acuerdo a su opinión y practica empírica que tienen estas personas, en este caso realizamos el análisis con diez personas.
10.1 Desarrollo de las preguntas en tablas y gráficos
La forma de evaluar previamente la reproducción asistida fue a partir de un cuestionario, y tabla de entrevistas.


De acuerdo con lo descrito en la pregunta, quienes respondieron que si conocen sus derechos sexuales y reproductivos en un 16% en mujeres, y un 16% en hombres, y que era necesario utilizar las áreas de la técnica reproductiva asistida, fecundidad artificial en mujeres con el 18% y hombres el 14%, en inseminación in vitro, mujeres 17% y hombres el 15%, en vientre de alquiler es mas en mujeres 23 % y hombres el 9%, y donación de gametos, en mujeres el 20%, y en hombres el 12%, con beneficios del 36%, para mujeres y hombres
11. Conclusiones
Se verifico bajo que parámetro legales se almacena y se desarrolla la donación de gametos (óvulos y espermatozoides), en centros especializados de salud reproductiva, para mujeres y hombres con problemas de infertilidad, donde se evidencia que el presente objetivo, ha logrado alcanzar su finalidad, al sostener de manera teórica e empírica, los procedimientos y tratamientos clínicos que se realizan en los centros de salud reproductiva, como CIES, EMBROVID y SEFRA que prestan servicios, en técnica de reproducción asistida, a personas e individuos con problemas de fecundidad e infertilidad activa o pasiva, y que necesitan de estos métodos reproductivos, como la “donación de gametos”, que logra dar vida a un ser (hijo-hija), y la oportunidad de ser padres o madres, que es lo más deseado en la unión de parejas casadas o uniones libres.
De esta manera, la verificación y almacenamiento legal de la donación de gametos, se basa de acuerdo a la normativa de cada país o según la Organización Mundial de la Salud (OMS-2018) , y el Comité Internacional en Reproducción Asistida, que definen la donación, como la “transferencia de un embrión, a partir de gametos (óvulos y espermatozoides), que no se originan en la mujer, ni en el hombre, y por lo tanto necesitan los servicios de donantes, para adquirir óvulos femeninos y espermatozoides masculinos, que son requisitos primordiales e indispensables , para la realización de la inseminación artificial en laboratorio.
Por esta razón vamos a señalar que la medicina biológica y reproductiva hace énfasis en la “donación de gametos” (Medicine-2013) identificadas desde la experiencia clínica, que deben llevarse a cabo prácticas y estudios en hogares receptores, evaluaciones psicopatológicas en padres biológicos que deseen concebir un hijo, asesoramiento psicosocial para las parejas que transitan por este método reproductivo, donde el donante de óvulos, espermatozoides o embriones, donados por un tercero (donante), para permitir que una persona, individuo o una pareja de casados o de unión libre, infértiles (futuro[s] receptor[es]) sea(n) padre(s).
Ahora identificaremos a las donantes de óvulos, mediante los procedimientos de la fecundación artificial (Brugo-Chillik) , donde se obtienen los óvulos de sus ovarios y se donan a la receptora, y luego se utilizan los espermatozoides obtenidos de la pareja de la receptora (o un donante de espermatozoides) para fecundar estos óvulos y los embriones resultantes se transfieren al útero de la receptora. Si se produce un embarazo, la receptora tendrá una relación biológica, pero no genética, con el niño; su pareja (si es que él ha proporcionado el espermatozoide) estará relacionada tanto biológicamente como genéticamente.
Referencias bibliográficas
ÁLVAREZ - DÍAZ JORGE ALBERTO. (2010 pp.228-234). Donación de Embriones. Unidad de Historia de la Medicina, Facultad de Medicina, Universidad Complutense de Madrid España. Correo electrónico: bioética reproductiva@hotmail.com [ Links ]
ARANGO P. (2016 pp.307-318). Estatuto del Embrión Humano. Escritos, Vol. 24, No. 53. [ Links ]
BASSO, DOMINGO M. en “Nacer y morir con dignidad, Bioética”, pp. 82-85-109. “Nacer y morir con dignidad, Bioética”, (pp. 82-109).
BELLAN FERNANDO (2001-p.36). Técnica de Reproducción Humana Asistida (TRHA), y Responsabilidad Médica. [ Links ]
CAMPOHERMOSO RODRÍGUEZ OMAR FÉLIX (2011 p.218). Técnica de Reproducción Asistida. Del Libro Ginecología Práctica. Docente Homerito de la carrera de Medicina de la UMSA La Paz Bolivia. [ Links ]
CENTRO DE SALUD REPRODUCTIVA CIES. Central La Paz. C/Colombia. [ Links ]
CLÍNICA SEFRA. 2022. Servicio de Esterilidad, Fertilidad y Precio en Reproducción Asistida, ubicado en la Clínica Alemana, calle 6 de agosto, zona San Jorge de la ciudad de La Paz, a cargo de los Doctores Udier Kushner. https://www.clinicalemana.com.bo/index/units13. [ Links ]
CLÍNICA EMBRIOVID, Centro de médico y Especialidades en la Técnica de Reproducción Asistida. 2022. http://www.embriovid.com La Paz Bolivia. [ Links ]
CONSTITUCIÓN POLÍTICA DEL ESTADO PLURINACIONAL DE BOLIVIA, (2009.) Derechos Fundamentales de las Personas. Art. 15-18-pp.12-13. Gaceta oficial de Bolivia 7 de febrero de 2009. [ Links ]
DERECHOS HUMANOS. (CPE-Art.13-14 p.11). Gaceta Oficial de Bolivia 7 de febrero de 2009. [ Links ]
DERECHO DE LAS FAMILIAS y Derechos Reproductivos y Sexuales. (Art. 62-66-pp.28-29). Gaceta oficial de Bolivia -7 Feb.2009. [ Links ]
SEGURO UNIVERSAL DE SALUD. (CPE-Art.36). Seguridad Social Gaceta Oficial de Bolivia 7 febrero 2009. [ Links ]
DERECHO A LA VIDA. (CPE-Art. 15-p.12. Gaceta oficial de Bolivia -7. febrero 2009. [ Links ]
HERNÁNDEZ SAMPIERI ROBERTO (2016 pp.35-36). Planteamiento del Problema. 6ta Edición. DERECHOS RESERVADOS (C) 2014, respecto a la sexta edición por Mc GRAW-HILL / INTERAMERICANA EDITORES, S.A. DE C.V. [ Links ]
ORGANIZACIÓN MUNDIAL DE LA SALUD (OMS). 2003 pp. 26-40. Infertilidad en los países Desarrollados, Subdesarrollados y en Desarrollo (pobres). Consejo Ejecutivo. 113. Reunión EB.113/15. Add.1 [ Links ]
Organización Mundial de la Salud (OMS). (2018 pp.2-10). Departamento de Salud Sexual y Reproductiva e Investigaciones Conexas. Avenue Appla 20, 1211. Ginebra 27, Suiza. Email. Reproductivehealthawho.int. www: who.int./reproductivehealth. [ Links ]












