INTRODUCCIÓN
El ñame (Dioscorea spp.) es muy importante como fuente de alimento para los habitantes de los países en desarrollo en las zonas tropicales del planeta como el Caribe (González 2012). A pesar de que sus orígenes son de Asia y África, el cultivo se ha expandido a otras regiones del mundo incluyendo las zonas tropicales en mayor extensión de área en África, el Caribe, Asia y Oceanía (Asesor y Bulacio, 2021).
A nivel mundial de acuerdo con la organización de las naciones unidas para la agricultura y la alimentación, para el año 2022 los países del continente africano como Nigeria, Ghana y Costa de Marfil registraron la mayor producción en total con en 7.481.859 ha (FAOSTAT, 2022). Para el caso de Latinoamérica, según esta misma fuente, los países como Colombia y Brasil se ubican como los de mayor producción y en el caso de Colombia registra una producción de producción de 402.385 t en 38.098 ha. Los rendimientos expresados en toneladas por hectárea a nivel del mundo están en 10.3 t ha-1 para el caso del continente americano Jamaica presenta 18.46 t ha-1, Colombia registra 11.8 t ha-1 (FOASTAT, 2022).
De acuerdo con las Evaluaciones Agropecuarias (EVA, 2023) los departamentos que mayor área dedican al cultivo del ñame son Córdoba con 11.830 hectáreas y una producción de 148.170 toneladas, Bolívar con 13.422 hectáreas y una producción de 159.733 toneladas; y Sucre con 6.154 hectáreas y una producción de 51.917. De acuerdo con Agronet (2024) el país destina aproximadamente 35.724 hectáreas las cuales producen cerca de 412.819 toneladas.
El cultivo del ñame como cualquier otra especie agrícola no está exenta de presentar enfermedades o disturbios que comprometen su buen desarrollo, muchas veces pasan inadvertidas hasta que no se presente un brote o una limitación severa que permita identificar la presencia de enfermedades. Fue así como la presencia de la antracnosis causada por el hongo Colletotrichum gloeosporioides produjo bajas considerables en el área cosechada con disminuciones en 25.000 hectáreas y en la producción aproximadamente en 325.000 toneladas en el periodo 1989-1990 donde el área cultivada en ñame se vio amenazada a desaparecer (Reina-Aranza, 2012).
De acuerdo con Ntui et al. (2021), la principal limitante fitosanitaria del ñame es la antracnosis causada por Colletotrichum alatae, que ha causado daños
graves al cultivo del ñame en África Occidental, con daños con un rango entre el 50% y el 90% de las pérdidas de rendimiento de tubérculos. Plantea que los agricultores son conscientes de los limitantes de esta enfermedad, pero los métodos usados para combatirla no han tenido éxito. La solución a base de fungicidas químicos tampoco ha tenido los resultados esperados por lo que proponen el uso de técnicas biotecnológicas combinados con prácticas convencionales.
Pwakem et al. (2020) llevaron a cabo un diagnóstico del estado sanitario del ñame en Ghana en África, dirigiéndose en la enfermedad de antracnosis. Proponen el uso de extractos vegetales, como Azadirachta indica, Jatropha curcas y Nicotiana tabacum, como una alternativa al control químico, el cual no es recomendable debido a problemas de inocuidad. Concluyen que los agricultores están dispuestos a adoptar extractos acuosos de semillas de Azadirachta indica como estrategia para el manejo de la antracnosis en el ñame blanco (Dioscorea rotundata Poir).
El análisis de los cambios en deseos o actitudes, especialmente en relación con las técnicas de producción de ñame, puede realizarse mediante varios métodos, como la valoración contingente, el método envolvente o la elección discreta (Manly et al., 2007). En este caso, nos enfocamos en el uso de la elección discreta, que ha demostrado ser eficaz para evaluar deseos y actitudes, especialmente tras la publicación del trabajo de McFadden, ganador del Premio Nobel de Economía en 2000. Esta técnica interpreta el deseo de las personas al momento de tomar decisiones, así como su disposición a aceptar o rechazar opciones. Originada en el ámbito de la medicina, la elección discreta se ha utilizado en la valoración económica de servicios ambientales y, posteriormente, se ha aplicado en la agricultura para analizar la toma de decisiones (Martínez-Reina et al., 2023). Es importante mencionar que estos procesos en las comunidades rurales de Colombia son complejos, ya que intervienen e influyen múltiples factores biológicos, sociales, culturales y económicos, que requieren una estrategia integral que combine diferentes visiones, disciplinas y líneas temáticas (Pérez y Clavijo, 2012).
En el campo de la agricultura, la medición de los impactos de la tecnología ha sido objeto de estudio en diversas investigaciones dentro de los cuales se citan algunos de más relevancia. Por ejemplo, Traxler y Byerlee (2014), del programa de economía del Centro Internacional del Mejoramiento del Maíz y Trigo (CIMMYT), utilizaron un enfoque similar en el Valle del Yaqui. En su investigación, emplearon técnicas de manejo de plagas y un modelo Probit para medir los impactos tecnológicos en los agricultores. Concluyeron que los programas de extensión han sido efectivos, logrando una reducción en la cantidad de insecticidas aplicados gracias al uso de un programa de Manejo Integrado de Plagas.
Verter y Bečvářová (2015), evaluaron los determinantes de la producción de ñame en Nigeria a través de un modelo econométrico que definió como variable dependiente la cantidad producida de ñame por hectárea en función del área cosechada, los rendimientos por hectárea, los fertilizantes, el precio para el productor y el financiamiento. Concluyen que las principales limitaciones del cultivo del ñame en Nigeria están asociadas a la falta de financiamiento, los insumos agrícolas inadecuados, las instalaciones de almacenamiento y el alto costo de la mano de obra por su parte el tamaño de la explotación, el precio para el productor, el uso de fertilizantes, el rendimiento y el crecimiento económico tienen una influencia positiva en la producción de ñame en Nigeria.
Además, Cuevas-Reyes et al. (2020) analizaron los factores que determinan el uso de variedades de polinización libre de sorgo en el norte de Sinaloa. A través de un modelo de elección, encontraron que la tasa de adopción de estas variedades alcanzó un 55%. Estos estudios destacan la importancia de la investigación y la innovación tecnológica en la mejora de las prácticas agrícolas y la sostenibilidad en la producción.
Para evaluar las decisiones de los agricultores, especialmente sobre si están dispuestos a aplicar técnicas o usar cierta tecnología, se utiliza el modelo de elección discreta. Un estudio realizado por Boadu et al. (2019) en Ghana aplicó este método para analizar las preferencias de los agricultores por el sistema de certificación de semillas de ñame y su disposición a pagar por semillas certificadas. La muestra incluyó a 380 agricultores, los resultados indicaron que los agricultores están dispuestos a pagar más por semillas certificadas, ya que estos materiales de siembra ofrecen mayores rendimientos en los cultivos; como recomendación, sugieren el uso de semillas certificadas.
Martínez-Reina et al. (2023), mediante un modelo logit tipo McFadden analizó los determinantes para identificar enfermedades en el sistema de producción de cacao en la región del Sur de Córdoba el estudio concluye que el nivel tecnológico, haber recibido ayuda de entidades de fomento son los que más influyen en la identificación de las enfermedades en el sistema de producción de cacao.
Al no haber evidencia de un estudio sobre los factores que determinan la identificación de enfermedades en el sistema de producción de ñame para la Región Caribe se propuso el presente trabajo.
MATERIALES Y METODOS
Ubicación de la zona de estudio
El área de influencia del estudio fueron las regiones de Montes de María y Sabanas de Sucre, en los municipios de San Jacinto (coordenadas geográficas: 9° 49' 54'' de latitud norte y 75° 07' 35'' de longitud oeste, a una altitud de 250 metros sobre el nivel del mar, con temperaturas promedio entre 27 °C y 30 °C), San Juan (latitud 9.0350° N, longitud 75.3028° W, a 500 metros sobre el nivel del mar, con temperaturas entre 27 °C y 30 °C), El Carmen de Bolívar (latitud 9.2814° N, longitud 75.2372° W, a 300 metros sobre el nivel del mar, con temperaturas de 27 °C a 30 °C), Morroa (latitud 9.1700° N, longitud 75.4933° W, a 200 metros sobre el nivel del mar, con temperaturas entre 28 °C y 32 °C), y San Antonio de Palmito (latitud 9.3278° N, longitud 75.3344° W, a 180 metros sobre el nivel del mar, con temperaturas de 28 °C a 32 °C) (IDEAM, 2024; IGAC, 2024).
Metodología
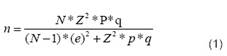
La investigación se obtuvo de un trabajo de campo donde se aplicaron encuestas estructuradas a 48 agricultores de los municipios de San Jacinto, El Carmen, San Juan de Nepomuceno, Morroa y San Antonio de Palmito. La determinación de tamaño de la muestra se hizo mediante el método de muestreo aleatorio simple (Rodríguez, 2005). Mediante la aplicación de la siguiente fórmula.
Dónde: N = población total número de unidades productivas que se dedican a cultivo del ñame 5928 que se constituye en el universo; Z = nivel de confianza elegido en este caso el 95 por ciento con un valor de 1.96; P = proporción de los productores clasificados como pequeños productores con unidades de menos de una hectárea que corresponden al 70% del universo de unidades productivas; q = diferencia entre el total de la población y la proporción de productores con unidades iguales o mayores a una hectárea cultivada (1-P); e =error máximo de muestreo permitido el 5% dado a lo pequeña que resultada la muestra en algunos casos.
Como resultado de aplicación de la fórmula se definió un total de 48 encuestas aplicados a las unidades productivas de ñame en los departamentos de Bolívar y Sucre. Se aplicaron para el caso del departamento de Bolívar 27 encuestas y para el departamento de Sucre 21 encuestas a los agricultores que cultivan ñame.
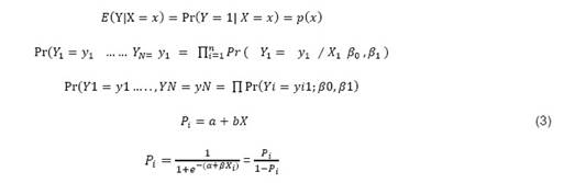
Para analizar los factores que explican las decisiones de identificar enfermedades en el sistema de producción de ñame en las regiones Montes de María y Sabas de Sucre, se usó un modelo de elección discreta tipo McFadden (1973) y Maddala et al. (1996), el cual se estimó con el uso de una regresión tipo Probit por el método de máxima verosimilitud. Se usó esta técnica con fundamento en el hecho que se trata de describir una situación en la que se toma una decisión cuando hay dos alternativas (Maddala et al., 1996).
En el caso del cultivo del ñame objeto de la presente investigación, se quiso conocer si el agricultor identifica o no identifica enfermedades en el cultivo, dicho de otra manera, el productor reconoce la presencia de otra manera, el productor reconoce la presencia de algún disturbio o enfermedad y esta identificación depende en gran medida del conocimiento que tenga el agricultor del cultivo y el nivel tecnológico con que lo maneja (Pindyck y Rubinfeld, 2001).
Para efectos de la estimación de parámetros del modelo es indiferente usar un modelo Logit o Probit en razón a que los dos se utilizan para modelar variables dependientes con valores entre cero y uno, la diferencia está que en el primero usa una función logística que transforma la variable dependiente en una probabilidad de que ocurra o no ocurra el evento por eso sus valores están entre cero y uno (Pindyck y Rubinfeld, 2001). El caso del modelo Probit las probabilidades de la ocurrencia del hecho se derivan de una función normal, en los dos casos se trata de establecer la ocurrencia o no del hecho, en este caso la probabilidad que los agricultores identifiquen las enfermedades en el cultivo del ñame, así como las variables que influyen en esta identificación.
El uso del modelo Logit que utiliza una curva logística para encontrar valores de la variable dependiente en este caso la probabilidad de que el agricultor identifique las enfermedades en el cultivo del ñame se fijan valores entre 0 y 1 así si las identifica tendría valor de 1 y si no las identifica el valor será cero (0) (Gujarati y Porter, 2004; Manly et al., 2007).
Dicho de otra manera:
1= si identifica enfermedades en el cultivo del ñame. 0 = si no identifica o no ha visto enfermedades en el cultivo del ñame o simplemente no reconoce la presencia de enfermedades y por tanto no se manejan.
La probabilidad de que Y = 1, es decir que los agricultores identifiquen enfermedades está condicionado por variables explicatorias X como el nivel tecnológico, la experiencia en el cultivo y la edad del productor.
Se formaliza la probabilidad de que el agricultor agricultores identifiquen enfermedades en el cultivo del ñame de acuerdo con Manly et al. (2007). La forma general del modelo aplicado al caso de la identificación de enfermedades en el cultivo del ñame y de acuerdo con McFadden 2002 y desarrollado por Manly et al. (2007), se propone a partir de la siguiente ecuación:
Donde: IE = identificación de enfermedades en ñame; X1, X2, X3, Xn = nivel tecnológico, experiencia y edad del productor en años.
De un conjunto grande de variables que podría considerarse como variables explicatorias se seleccionaron las que presentaron mayor robustes una vez se hizo el análisis de correlación y diagnóstico de datos. Algunas variables no estaban expresadas directamente en la respuesta de los productores a la encuesta como el caso del nivel tecnológico que fue producto de la combinación de variables como uso de prácticas como tratamiento de semilla, preparación de suelo, análisis de suelos dando lugar a tres niveles tecnológicos uno bajo que son aquellos agricultores que no tratan semilla ni preparan suelos ni hacen análisis de suelos ocupan el 40% de la muestra encuestada, un segundo grupo o nivel dos son aquellos agricultores que tratan semilla, combinan preparación manual de suelos y con maquinaria participan con el 8% de la muestra y el nivel tecnológico tres son aquellos agricultores que tratan la semilla, hacen análisis de suelos y preparan el suelo con maquinaria corresponden al 52% de la muestra encuestada. Al momento de estimar el modelo por máxima verosimilitud se tuvo en cuenta las características de los estimadores como varianza mínima, insesgados, con ausencia de autocorrelación (Gujarati y Porter, 2004).
Una vez definidas las variables y realizados los análisis de correlación se procedió a formular el modelo logit para determinar la probabilidad de que los agricultores identifiquen las enfermedades en el cultivo del ñame. Las cuales se presentan en la Tabla 1.
Tabla 1 Variables que conforman el modelo para determinar el manejo de enfermedades sistema de producción de ñame en las regiones de Montes de María y Sabanas de Sucre 2024.
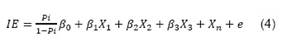
Una vez definidas la variable se procedió a formular el modelo que mede la probabilidad de que los agricultores identifiquen enfermedades en el cultivo del ñame lo cual se presenta en la siguiente ecuación:
Donde: IE = identifica alguna enfermedad en el cultivo del ñame; β = valor de los parámetros producto de la estimación del modelo Logit; Nt = nivel tecnológico alto, medio y bajo, a criterio de investigador; Edad = edad del agricultor en años; Experiencia = años de cultivar el ñame; 𝑒 = término de perturbación.
En este orden existen tanto parámetros como variables explicatorias contenga el modelo. Las estimaciones por máxima verosimilitud se hicieron con el uso de programa econométrico Eviews 8.
RESULTADOS Y DISCUSIÓN
Antes de presentar los resultados del modelo, se hace referencia al contexto sociodemográfico en que se realiza el sistema de producción de ñame por parte del productor en las regiones de Montes de María y Sabanas de Sucre. El análisis de los datos de la encuesta revela que se trata de agricultores con una amplia trayectoria, tanto en su vida personal como en el cultivo de ñame. La edad promedio de los encuestados es de 47 años, lo que representa el promedio más bajo registrado en estudios sobre la región Caribe, en comparación con los hallazgos de Correa et al. (2020) y Martínez-Reina et al. (2019), quienes reportaron una edad promedio de 57 años en el cultivo de hortalizas y Martínez-Reina et al. (2023), que encontraron promedios de 52 años en el cultivo de cacao.
En cuanto al género de los agricultores, se observa una clara predominancia del género masculino, con un 75% de hombres y un 25% de mujeres. Cabe destacar que el porcentaje de mujeres en este sistema es superior al reportado por Correa et al. (2020) en su estudio sobre hortalizas en la Región Caribe. La experiencia promedio de los agricultores es de 20 años, y el nivel de escolaridad más común entre los encuestados es la secundaria, representando el 42% de la muestra analizada.
Según los resultados del análisis de las encuestas, los agricultores identifican varios problemas fitosanitarios, entre los cuales se destacan las manchas y el marchitamiento del follaje. Algunos mencionan la antracnosis, así como ataques de gusanos e insectos, aunque sin especificar las especies involucradas. Sin embargo, es relevante señalar que la combinación de antracnosis y roya emerge como la problemática más citada, afectando al 19% de la muestra encuestada. Entre las enfermedades identificadas, la antracnosis se presenta como la más recurrente, afecta al 29% de la muestra encuestada. Otros problemas fitosanitarios descritos por los agricultores son la quemazón y las manchas, reportadas por el 19% de los agricultores, así como la chumasquina, mencionada por el 10%, y la mancha foliar, citada por el 3%. Un 39% de los encuestados indicó no haber observado ninguna enfermedad en sus cultivos. Es evidente que la mayoría de los agricultores reconocen haber enfrentado problemas fitosanitarios, siendo las manchas y la quemazón las manifestaciones más comunes, las cuales, en muchos casos, asocian directamente con la antracnosis y otras enfermedades como Cercospora y Curvularia, los cuales los productores no son capaces de distinguir o identificar
Los resultados de la estimación del modelo determinaron como variables que explican la probabilidad de que los agricultores identifiquen las enfermedades en el cultivo del ñame a través de las variables explicatorias se presentan en la Tabla 2.
Tabla 2 Estimación de parámetros para explicar el manejo de enfermedades en el sistema de producción de ñame en las regiones de Montes de María y Sabanas de Sucre 2024.

Fuente: Elaboración propia, a partir de estimaciones con base en las encuestas 2023.
Los resultados de la estimación de parámetros permiten observar que, en primer lugar, la probabilidad de que los agricultores identifiquen enfermedades en el cultivo del ñame está influenciada por el nivel tecnológico que utilizan. Un mayor nivel tecnológico puede aumentar la capacidad de identificación de enfermedades. Además, la experiencia en el cultivo facilita a los agricultores reconocer las enfermedades con mayor facilidad. Por último, la edad, que está relacionada con la experiencia, también contribuye a incrementar la probabilidad de que los agricultores identifiquen estas enfermedades. La información obtenida de la regresión por máxima verosimilitud del modelo logístico dicotómico muestra un R2 de McFadden de 0.29. Este resultado sugiere que el modelo presenta un buen ajuste, conforme a lo indicado por McFadden (1973). Dado que se están utilizando variables cualitativas dicotómicas, estimadas mediante máxima verosimilitud, los valores del estadístico Z son consistentes en la medida que los valores críticos son superados bajo la distribución normal. Estos resultados permiten aceptar la hipótesis que el valor de los coeficientes β es diferente de cero a un nivel de confianza del 90%.
La ecuación, expresada en los valores de los parámetros, se presenta así:
Al analizar los valores de los parámetros, se observa que estos cumplen con las características de estimadores eficientes, ya que presentan varianza mínima y ausencia de correlación serial, lo que los hace consistentes. El parámetro correspondiente al nivel tecnológico, con un valor de 5.700661, indica que, a mayor nivel tecnológico, mayor es la probabilidad de que el agricultor identifique enfermedades en el cultivo. De este modo, un nivel tecnológico elevado fomenta un mayor interés por parte del agricultor en investigar los problemas fitosanitarios del cultivo, a diferencia de lo que ocurre con aquellos agricultores que operan con un nivel tecnológico bajo.
La experiencia en el cultivo contribuye de manera significativa a mejorar el nivel tecnológico. El valor del parámetro, que es de 1.064695, sugiere que, a mayor experiencia, los agricultores tienden a interesarse más por el estado sanitario de sus cultivos y se mantienen alertas ante cualquier posible alteración que pueda surgir. Por último, la edad del agricultor con un valor del parámetro de 0.9181012 indica que a mayor edad podría aumentarse la posibilidad de identificar las enfermedades.
Al analizar la contribución marginal de cada variable en la probabilidad de que el agricultor identifique enfermedades en el cultivo de ñame, se observa que el nivel tecnológico explica el 13% de esta probabilidad, mientras que la experiencia y la edad contribuyen en un 5% y un 6%, respectivamente.
Así se ratifica una vez más la importancia del nivel tecnológico que utiliza el agricultor y de la experiencia en el manejo del cultivo como las variables que más influyen en la probabilidad de que el agricultor identifique las enfermedades del cultivo de ñame en las regiones de Montes de María y Sabanas de Sucre. La inspección visual es crucial para la sanidad vegetal, ya que las pruebas de laboratorio no están disponibles en corto plazo y en sitos cercanos, adicionalmente los costos altos y el tiempo requerido para la identificación de plagas o enfermedades. Los productores toman decisiones basadas en los síntomas observados. La identificación rápida ahorra tiempo al identificar problemas y registrar resultados. Algunos productores piden segunda opinión en su entorno o con personas de mayor experiencia.
Surge en estos tiempos, tecnologías o aplicaciones que algunos productores utilizan. Estas básicamente copilan un gran número de fotografías, que pueden orientar sobre la posible enfermedad, en estas organizaciones evaluadas, es mínimo el uso de estas tecnologías.
Los resultados de este estudio sobre la probabilidad de que los agricultores de ñame identifiquen enfermedades son comparables a los hallazgos de Traxler y Byerlee (2014) en el sistema de producción de trigo en el Valle del Yaqui, México. Esta comparación pone de manifiesto la viabilidad de aplicar el método de elección discreta para evaluar decisiones en ambos contextos agrícolas. Se evidenció que la incorporación de tecnologías y la experiencia en el cultivo mejoran la toma de decisiones de los agricultores. De manera similar, Martínez-Reina et al. (2023) encontraron que, en el sistema de producción de cacao en la región del Sur de Córdoba, el nivel tecnológico también desempeñaba un papel determinante en la identificación de enfermedades.
Una amplia gama de medidas para la protección de las plantas contra enfermedades incluye el uso de productos químicos, el monitoreo y predicción constante de las condiciones de las plantas, el tratamiento térmico, la rotación y la cuarentena o eliminación de plantas enfermas. Muchas enfermedades virales de las plantas son transmitidas por insectos, lo que hace que el control de insectos esté directamente relacionado con el control y la protección de las enfermedades de las plantas. Sin embargo, son estas las enfermedades con menor criterio de identificación, principalmente porque pueden mantenerse latentes y algunas sintomatologías en estadios tempranos de la enfermedad pueden pasar desapercibidos.
CONCLUSIONES
Un aspecto positivo es el aumento de la participación femenina en la agricultura la cual es un acelerador de la equidad de género y transforma las dinámicas sociales y económicas de la región. Sin embargo, es fundamental ofrecer capacitación en técnicas modernas para abordar los desafíos fitosanitarios. Por ello, es necesario desarrollar políticas que fortalezcan la formación técnica y promuevan la inclusión de mujeres en el sector agrícola, asegurando así un desarrollo sostenible y una mayor resiliencia.
Sobre la presencia de problemas fitosanitarios en general los agricultores identifican algunas limitantes que reconocen más con enfermedades como manchas, marchitamiento del follaje y antracnosis. Llama la atención que 39% de la muestra no reporta la presencia de enfermedades en el cultivo del ñame para las regiones Montes de María y Sabanas de Sucre. Esta situación sugiere la falta de conocimiento o la subestimación de la gravedad de este problema en los rendimientos del cultivo. Se recomienda implementar planes de capacitación en la identificación y manejo de las enfermedades para mejorar la eficiencia tanto técnica como económica del cultivo.
Es evidente la interrelación entre el nivel tecnológico, la experiencia y la edad del productor en la identificación de enfermedades en el cultivo del ñame.
Una fortaleza es la experiencia que tienen los agricultores en el cultivo la cual se debe potencializar con la capacitación en tecnologías de manejo del cultivo en general y técnicas como tratamiento de semilla y materia de siembra en óptimas condiciones además insistir en atender los aspectos fitosanitarios para contribuir con una mejor productividad.





















