SciELO - Scientific Electronic Library Online

 
vol.12 número1Especies arbóreas con potencial para adaptación al cambio climático en sistemas silvopastoriles, República DominicanaEfecto de los plaguicidas agrícolas sobre la salud de la mancomunidad del río Opamayo, Huancavelica índice de autoresíndice de materiabúsqueda de artículos
Home Pagelista alfabética de revistas  

Servicios Personalizados

Revista

Articulo

Indicadores

Links relacionados

  • No hay articulos similaresSimilares en SciELO

Compartir


Revista de Investigación e Innovación Agropecuaria y de Recursos Naturales

versión impresa ISSN 2409-1618

RIIARn vol.12 no.1 La Paz abr. 2025

https://doi.org/10.53287/spkj9013ru79j 

ESTUDIOS DE CASO

Efectos del control de la sigatoka negra (Mycosphaerella fijiensis Morelet) en zonas bananeras de Valverde, República Dominicana

Effects of black sigatoka (Mycosphaerella fijiensis Morelet) control in banana growing areas of Valverde, Dominican Republic

Pedro Antonio Núñez Ramos1 
http://orcid.org/0000-0001-7580-7931

Carlos Manuel Céspedes2 

Victor Camilo Pulido-Blanco3 
http://orcid.org/0000-0002-1217-6877

1 Docente e investigador, Instituto Nacional de Investigaciones Agropecuarias, Facultad de Ciencias Agronómicas y Veterinarias, Universidad Autónoma de Santo Domingo. Investigador, Instituto Dominicano de Investigaciones Agropecuarias y Forestales, República Dominicana. pnunez25@uasd.edu

2 Investigador Asociado, Instituto Dominicano de Investigaciones Agropecuarias y Forestales. Investigador sector privado en musáceas, República Dominicana. ccespedes13@hotmail.com

3 Investigador máster, Corporación Colombiana de Investigación Agropecuaria, Colombia. vpulido@agrosavia.co


Resumen

La sigatoka negra (Mycosphaerella fijiensis, Morelet) es una enfermedad limitante de las musáceas. Se evaluó el efecto del control de la sigatoka negra en zonas bananeras de Valverde, República Dominicana (Cruce de Guayacanes, Guazumita, El Charco, Palo Amarillo y Los Cáceres) en los sistemas bananeros convencional y orgánico, para generar recomendaciones de manejo en bloque. Se midieron el tiempo de desarrollo y estado evolutivo (EE) de la enfermedad, ritmo de emisión foliar (REF), hojas más jóvenes enfermas y necrosadas (HMJN), número de hojas funcionales a floración (NHF) y cosecha (NHC), corrección de candela o de hoja cigarro (CC), para calcular el área bajo la curva de progreso de la enfermedad (ABCPE). Se realizaron comparaciones entre sistemas y zonas de las variables anteriores, y del ABCPE, con prueba t al 5 % de probabilidad, y análisis de componentes principales para generar los bloques de recomendación. En el sistema de producción orgánico se analizaron entre dos y diez ciclos de fumigación, y entre tres y siete ciclos para el sistema convencional, en las cinco zonas de estudio, entre la semana 26 del 2015 y 9 del 2016. Se hallaron diferencias estadísticas significativas (p = 0.0367) entre las variables, en las cinco zonas de producción, pero no entre los sistemas: el EE, en ambos sistemas de producción, mostró tendencia similar, diferenciado solo por el momento de aplicación y la eficacia del producto utilizado. Así, no existen diferencias estadísticas del ABCPE entre los sistemas en cada zona. Por ende, los efectos de control de la sigatoka negra no están mediados por variables de la enfermedad asociadas a los sistemas sino por la calidad de los productos y los momentos de aplicación en las zonas.

Palabras clave: manejo biológico; cultural; químico; tipología; fumigación

Abstract

Black sigatoka (Mycosphaerella fijiensis, Morelet) is a limiting disease of musaceae. The effect of black Sigatoka control in banana growing areas of the Valverde, Dominican Republic (Cruce de Guayacanes, Guazumita, El Charco, Palo Amarillo and Los Cáceres) was evaluated in conventional and organic banana systems, to generate recommendations for block management. The development time and evolutionary state (ES) of the disease, foliar emission rate (FER), youngest diseased and necrotic leaves (YDNL), number of functional leaves at flowering (NFL) and harvest (NFH), candle or cigar (CC) leaf correction, were measured to calculate the area under the disease progress curve (AUDPC). Comparisons were made between systems and zones of the above variables, and of the AUDPC, with a t test at 5% probability, and principal component analysis to generate the recommendation blocks. In the organic production system, between two and ten fumigation cycles were analyzed, and between three and seven cycles for the conventional system, in the five study zones, between week 26 of 2015 and week 9 of 2016. Significant statistical differences were found (p = 0.0367) between the variables, in the five production zones, but not between the systems: the ES, in both production systems, showed a similar trend, differentiated only by the time of application and the efficacy of the product used. Thus, there are no statistical differences in the AUDPC between the systems in each zone. Therefore, the control effects of black Sigatoka are not mediated by disease variables associated with the systems but by the quality of the products and the times of application in the zones.

Keywords: biological; cultural; chemical management; typology; fumigation

INTRODUCCIÓN

Dentro de los retos que enfrenta la agroindustria de la musáceas, se destaca la sigatoka negra (Mycosphaerella fijiensis, Morelet), como la enfermedad más limitante de los cultivos (Barrera et al., 2016; Mengesha et al., 2023). El hongo ataca el tejido de las hojas estableciéndose en los espacios intracelulares y absorbiendo los metabolitos del protoplasma, lo que ocasiona que los órganos comerciales de la planta como racimos y frutos sufran atrofiamiento (García et al., 2017; CIAT, 2013).

Orozco-Santos et al. (2013) y Velez (2021) indican que en el control de la sigatoka se utilizan los métodos cultural, químico, biológico y genético; estos autores reportan que los programas de mejoramiento genético no han entregado a la industria bananera un clon resistente a la sigatoka negra, con características agronómicas y de exportación deseables por el mercado. En el caso del control cultural, se incluyen labores que favorecen en forma directa el buen desarrollo de los cultivos e indirectamente el progreso de la enfermedad, siendo los resultados alentadores (Merchán, 2000).

La sigatoka negra es una enfermedad policíclica de ciclo corto, que se ve muy favorecida por el carácter permanente de las plantaciones de banano y las condiciones climáticas de las zonas tropicales, donde se han establecido las principales zonas de producción, que son altamente favorables para su desarrollo (Guzmán, 2012; Ricardo y Vicente, 2021). El control cultural juega un papel muy importante en la reducción de las condiciones favorables para que el hongo prospere (Velez, 2021). Dentro de éste, la reducción de los niveles de inóculo en la plantación, mediante el deshoje fitosanitario, tales como el despunte y la cirugía, constituye la práctica cultural más importante en su manejo (Marín et al., 2003; Bornacelly y Bolaño, 2020). Estas prácticas sanitarias se han dirigido a eliminar de manera periódica las hojas o porciones de estas con lesiones avanzadas de la enfermedad, antes de que liberen la mayor cantidad de inóculo. En el suelo el tejido se descompone con mayor rapidez y se reduce sustancialmente el tiempo en que las lesiones permanecen esporulando; además, las esporas liberadas del tejido en el suelo tienen mayores limitaciones para alcanzar las hojas nuevas ubicadas en la parte superior de las plantas (Guzmán, 2012; Ricardo y Vicente, 2021).

Orozco-Santos et al. (2013) y Vélez (2021) reportan en sus estudios un sin número de medidas para el manejo integrado de la sigatoka negra en banano. En ese sentido, Guzmán (2012) y Borja-Peña (2019), mencionan independientemente otras prácticas de deshoje, o más bien modalidades de este, que se han introducido con miras a eliminar el tejido foliar potencialmente infeccioso antes de que se produzca la liberación de ascosporas y hasta de conidios desde las lesiones. Esta práctica es conocida como “defoliación controlada” o “poda temprana de hojas” y consiste en eliminar cierta cantidad de hojas tempranamente, cuando las lesiones son aún jóvenes, adelantándose a la liberación de esporas del patógeno (Martínez et al., 2006; Bornacelly y Bolaño, 2020). La Corporación Bananera Nacional (CORBANA) en Costa Rica, recomienda la eliminación de las tres hojas más viejas en la primera semana de haber florecido las plantas (CORBANA, 2010). Según Vargas et al. (2009) y Borja-Peña (2019), se ha demostrado que esta intensidad de defoliación controlada no afecta la producción, el crecimiento de la planta, ni la calidad poscosecha de la fruta, porque se eliminan hojas que ya han cumplido su periodo de mayor eficiencia fotosintética. Mientras, en Colombia se informa de una variación de la práctica, con la eliminación de la porción apical de las hojas 3 y 5, para reducir la severidad de la sigatoka negra (Martínez-Acosta et al., 2006).

En el sistema convencional, en el control de M. fijiensis se realizan aspersiones aéreas y terrestres con fungicidas, aceites minerales, adyuvantes y emulsificantes. Mientras en banano orgánico se usan productos biológicos, botánicos, que son comerciales y lixiviados artesanales, entre otros (Velez, 2021). Existen fungicidas altamente efectivos para el control del hongo de la sigatoka negra; sin embargo, el patógeno ha logrado desarrollar resistencia a la mayoría de estos, lo que ha dificultado cada vez más el manejo del problema y a su vez ha puesto de manifiesto la necesidad por un manejo más integrado y por reducir la dependencia del control químico (Guzmán, 2012; Ricardo y Vicente, 2021).

En el control de la sigatoka negra existen fungicidas agrupados en varios tipos, que tienen diferente acción contra el hongo, entre estos, los fungicidas de contacto protegen solo las partes de la hoja cubiertas con la aspersión, impidiendo la germinación de las esporas, sin tener acción sobre las infecciones establecidas y requieren una mayor frecuencia de aplicación (Valdivieso et al., 2021). Mientras, los fungicidas sistémicos tienen acción preventiva y curativa; al ser absorbidos se movilizan en diferentes partes de la planta y no es recomendable hacer múltiples aplicaciones (Merchán, 2000; Rojas-Contreras, 2021). Merchán (2000) recomienda el uso de aceites agrícolas para mejorar el cubrimiento y penetración de los fungicidas, evitar lavados de producto por la lluvia y retardar los estados de desarrollo del agente causal de la enfermedad.

Por último, la metodología del preaviso para el combate de esta enfermedad se fundamenta en el análisis de los descriptores biológicos, los cuales permiten anticipar la evolución futura de la enfermedad y realizar las aplicaciones de fungicidas antes de que ocurran daños al cultivo. El método generalmente utilizado y recomendado es el del estado de evolución, concebido y elaborado por el CIRAD (Guillermet et al., 2016). En primer lugar, fue diseñado para combatir la sigatoka amarilla en las Antillas Francesas (Ganry y Meyer, 1972). Posteriormente, fue adaptado al combate de la sigatoka negra en África del Oeste (Fourè 1988; Ternisien, 1985) y en América Latina (Marín et al., 2003). En la República Dominicana, a través del proyecto Medidas de Acompañamiento al Banano (BAM por sus siglas en ingles), se ha puesto en práctica un monitoreo de la evolución de la sigatoka negra en fincas con sistemas de producción de bananos, tanto orgánicas como convencionales, con el objetivo de reducir la carga química al ambiente.

Así, para el control de esta enfermedad se pueden combinar los métodos anteriormente señalados para establecer campañas fitosanitarias programadas mediante evaluaciones en el campo del estado evolutivo de la enfermedad, lo cual conlleva acciones fitosanitarias más racionales. Incluso, estas campañas deberían estar recomendadas por grupos o bloques de fincas con condiciones fitosanitarias similares. El propósito de este estudio fue evaluar el efecto del control de la sigatoka negra con miras a generar recomendaciones de este tipo en cinco zonas bananeras convencionales y orgánicas de la provincia Valverde (Cruce de Guayacanes, Guazumita, El Charco, Palo Amarillo y Los Cáceres) las cuales concentran el 35 % de los productores dominicanos que se dedican a la producción de bananos.

MATERIALES Y MÉTODOS

Ubicación de la zona de estudio

El estudio se realizó entre la última semana de junio del 2015 y primera semana de marzo del 2016, en diez parcelas, cinco de manejo convencional y cinco de manejo orgánico, de cinco zonas bananeras de la provincia Valverde (dos por zona), de la República Dominicana, entre los 19° 34′ 146′′ de latitud norte y 71° 09′ 77′′ de longitud este: Cruce de Guayacanes (Laguna Salada, 84 m s.n.m.; 19° 38′ 885′′ N y 71° 03′ 859′′ W), Guazumita (Esperanza, 80 m s.n.m.; 19° 36′ 703′′ N y 71° 01′ 829′′ W), El Charco (Laguna Salada, 68 m s.n.m.; 19° 35′ 649′′ N y 71° 04′ 628′′ W), Palo Amarillo (Mao, 73 m s.n.m.; 19° 34′ 146′′ N y 71° 03′ 203′′ W) y Los Cáceres (Jaibón, 54 m s.n.m.; 19° 37′ 956′′ N y 71° 09′ 77′′ W) (Figura 1).

La zona de estudio contiene el 32 % de las fincas sembradas de bananos, lo que representa el 36 % de la superficie de este cultivo (CNC, 2012; Ministerio de Medio Ambiente y Recursos Naturales, 2024). La temperatura promedio anual es de 27.3 °C. La zona de vida que prevalece en la provincia, excepto en las montañas de la Cordillera Septentrional, es la de bosque seco (Ministerio de Medio Ambiente y Recursos Naturales, 2024). El clima es seco estepario caliente de baja pluviometría, con temporada de lluvia bimodal. La precipitación media anual es de 737.2 mm, con una altitud media de 78 m s.n.m. Los vientos de la provincia son altamente perjudiciales para la siembra del banano; por tal razón, se han adoptado marcos de siembras que disminuyen la entrada del viento en las plantaciones: se bloquea la entrada de los vientos de la costa y se privilegia en la parte sur oeste los vientos de la cordillera Central y Septentrional (INDRHI, 2011).

Figura 1 Distribución de las diez parcelas en estudio (cinco de manejo convencional y cinco de manejo orgánico), de cinco zonas bananeras de la provincia Valverde. Las zonas están ubicadas en Palo Amarillo finca José Eduardo Cabrera (JAC) y Emilio Bonilla (EB), El Charco finca Osvaldo Serafín (OS) y Salomón Feliciano (SF), La Guazumita finca José Aquiles García (JAG) y Luis Bonilla (LB), en El Cruce de Guayacanes, Finca Rafael Ferreira (RF) y José Aquiles García (JAG), Los Cáceres de Jaibón finca Juan Tomas Fernández (JTF) y Ramón Tranquilino Medrano (RTM). Algunas siglas están abreviadas en el mapa. 

Metodología

Variables y parámetros medidos

Se midieron las variables auto ecológicas de rigor, como temperatura y pluviometría, además se midieron:

- Tiempo de desarrollo de la enfermedad: registrado como el tiempo comprendido desde la infección de la hoja, es decir desde su emisión en estado de cigarro, hasta la manifestación del síntoma determinado como estadio seis de la enfermedad.

- Ritmo de emisión foliar (REF): en diez plantas al azar, en cada finca y semana, se anotó el número de hoja presente y se restó del número de hojas anteriores. Se estimó el promedio.

- Estado evolutivo de la enfermedad (EE): se usó el método del preaviso biológico descrito por el French Agricultural Research Centre for International Development (CIRAD), según Guillermet et al. (2016): se realizaron observaciones semanales en parcelas de 10 plantas seleccionadas al azar en las fincas de los productores. Se anotó el estadio más avanzado de la enfermedad en las hojas II, III y IV.

Las observaciones concluyeron al momento de la emisión de la inflorescencia. Las observaciones se realizaron sobre hijos de sucesión, a fin de disponer de material vegetal sensible, apto para permitir la detección temprana de un nuevo ataque. Por ello, en plantaciones adultas y como modificación al método, se seleccionaron 10 hijos de sucesión, cuando tenían no más de cinco hojas emitidas, después de la hoja F10 (primera hoja con 10 cm de ancho en la parte media). Dichas plantas fueron marcadas con cintas plásticas a fin de poder encontrarlas fácilmente en las futuras observaciones.

- Hojas más jóvenes enfermas: se evaluó semanal diez plantas contando las hojas desde arriba hacia abajo, hasta encontrar el grado de severidad más avanzado de la sigatoka negra en las hojas más jóvenes.

- Hojas más jóvenes necrosadas (HMJN): se evaluó semanal diez plantas contando las hojas desde arriba hasta encontrar el grado de severidad en estadio cinco en adelante de la sigatoka negra en las hojas más jóvenes.

- Número de hojas funcionales a la floración (NHF): promedio de hojas funcionales en diez plantas en el momento en que cada planta comenzó a florecer en las parcelas de observación.

- Número de hojas funcionales a la cosecha (NHC): número de hojas promedio de diez plantas, presentes al momento de la cosecha.

- Circunferencia de la planta madre (cm): medida en diez plantas, se midió la circunferencia a la altura de un metro sobre la superficie del suelo, con el uso de una cinta métrica. Igual procedimiento se hizo para el pseudotallo.

- Altura de la planta madre (m): medida en diez plantas, se midió la altura con el uso de una regla métrica, desde la superficie del suelo hasta el punto más alto donde las hojas forman una “V”.

- Número de manos por racimos: se contó las manos presentes en el racimo, después de haber salido la mano falsa, en diez plantas al azar, para obtener el promedio.

- Caudal de riego (L s-1): con un aforador portátil se midió el promedio de los caudales de agua aplicada por el productor en cada turno de riego.

- Pluviometría (mm), temperatura (°C) y velocidad del viento (km h-1): medidas con un pluviómetro marca Oregón Scientific y estaciones meteorológicas marca Davis Instrument, ubicados en cada zona de estudio.

Manejo del experimento

Se evaluó cada semana el comportamiento de la sigatoka negra en las zonas y sistemas de estudio a través de monitoreo, durante 39 semanas de la hoja 2, 3 y 4, de diez plantas seleccionadas al azar en cada una de las diez parcelas, hasta encontrar síntomas del hongo en los diferentes estadios. El manejo de la plantación lo realizó el productor siguiendo las recomendaciones tecnológicas de sus respectivas asociaciones o asesores particulares. Los datos del estado evolutivo de cada zona y sistema de producción fueron graficados con el uso de Excel (Microsoft office). Se registró productor, fecha de aplicación de moléculas y producto utilizado. Se marcó con una flecha en los gráficos, la semana de aplicación y el nombre comercial del producto. En las zonas donde se cultiva el banano, se realizaron entre 2 y 10 ciclos de fumigación durante el periodo de evaluación (desde la semana 26 del 2015 hasta la semana 9 del 2016), en el sistema de producción orgánico. Para el sistema de producción convencional se realizaron entre 3 y 7 ciclos de aplicación. Se utilizaron productos solos y en combinación con aceite u otro producto.

Evaluación del crecimiento del cultivo

Las diez plantas seleccionadas debieron tener un mínimo de cinco hojas funcionales al momento de la primera lectura (semana 26 del 2015). Semanalmente se registró la emisión de hojas por planta. Además, se observó el estado de desarrollo de la candela, el cual se anotó como fracción decimal del total de hojas emitidas en la observación.

Observación de la enfermedad

Se monitorearon las hojas dos a cuatro para detectar ataques tempranos de la enfermedad. Las búsquedas del estadio uno se efectuó en el envés de la hoja, con prioridad en la parte apical de la media parte izquierda de la hoja, que corresponde a la parte expuesta a las ascosporas mientras se abre la candela. Los estadios dos a tres se buscaron en el haz y el envés de la hoja. Se registró la HMJE y HMJN, como indicativo fitosanitario de la plantación. También el NHC como indicativo de la pertinencia de la cosecha. A partir de estas observaciones, se calculó el EE, expresión de la velocidad de desarrollo de la enfermedad.

Ritmo de emisión foliar actual (REFi)

Es igual a la emisión foliar actual (EFA), menos la emisión foliar pasada (EFP). Sumando el REF para cada planta y dividiendo este resultado entre el número de días entre dos observaciones (N = 7), se obtuvo el ritmo de emisión foliar actual (REFi), según Guillermet et al. (2016) (Ecuación 1).

Corrección de candela o de hoja cigarro (CC)

Esta corrección tuvo como finalidad disminuir las variaciones súbitas debidas al paso de un estadio al otro. Cabe recordar que, tanto el crecimiento vegetativo, como el desarrollo de la enfermedad, son fenómenos continuos en la práctica, mientras que las observaciones se realizaron semanalmente. Este dato se obtuvo multiplicando, en cada planta, el valor asignado a su estado de candela por el número de hojas observadas encontradas con síntomas de enfermedad. A partir de los datos de corrección de candela o de hoja cigarro (CC), se obtiene el correctivo de evolución (CE) (Ecuación 2), multiplicando el resultado de la suma de CC para todas las plantas por 2, el cual es un factor preestablecido (Guillermet et al., 2016).

Suma bruta (SB) de la enfermedad

La suma bruta representa el nivel de la enfermedad registrado al momento de la observación (Guillermet et al., 2016).

Suma de evolución (SEV)

Se obtiene sustrayendo el correctivo de evolución a la suma bruta (Guillermet et al., 2016).

Estado evolutivo de la enfermedad (EE)

Se obtiene multiplicado el ritmo de emisión foliar promedio ponderado por la suma de evolución. Los datos se obtienen por el método descrito en variables (Guillermet et al., 2016).

Interpretación de los resultados del EE

Cada semana los datos del EE fueron colocados en una gráfica a fin de obtener una curva que permita seguir la evolución de la enfermedad. No existe un umbral crítico para tomar la decisión de control contra la enfermedad. Se usa más la pendiente de la curva descrita por el estado de evolución de la enfermedad, que informa el aumento o disminución del potencial de la sigatoka negra. En la práctica, el umbral de intervención será el que fijen los técnicos de acuerdo con todos los parámetros del entorno general (capacidad de respuesta en la ejecución de tratamientos, tipo de productos disponibles, entorno climático y epidemiológico). Es fundamental tener en cuenta que el carácter preventivo del sistema de preaviso es el elemento determinante de su éxito; por ello, aumentos significativos del EE de una semana a otra, incluso si los valores absolutos se desvían a niveles que no alcanzarían el umbral fijado, deben analizarse de acuerdo al medio ambiente y a la organización del equipo encargado de la fitosanidad.

Diseño experimental y análisis estadístico

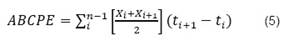
Para el análisis de varianza y comparación de medias del área bajo la curva de progreso de la enfermedad (ABCPE), se realizó la prueba de t al 5 % de probabilidad. Para el cálculo del ABCPE, se utilizó la siguiente fórmula (Guillermet et al., 2016) (Ecuación 5):

Donde: Xi = valores del estado de evolución de la sigatoka (EE); ti = tiempo en días transcurrido entre una lectura y otra; Ʃ = sumatoria de los segmentos de áreas que describe la curva; n= número total de observaciones; i= i-ésima observación.

Para ver el comportamiento de la enfermedad en cada zona de producción de banano para exportación, tanto en el sistema orgánico como el convencional, los resultados del estado evolutivo de la enfermedad fueron graficados utilizando el software Excel. Se compararon los valores del ABCPE con la prueba t (Di Rienzo et al., 2016).

RESULTADOS Y DISCUSIÓN

Efectos del control de la sigatoka negra en las cinco zonas de producción

El sistema orgánico tuvo diferencias estadísticamente significativas (p = 0.0174) entre las zonas de producción. Para el sistema de producción convencional, las diferencias estadísticas fueron altamente significativas (p = 0.0013, Tabla 1).

Tabla 1 Comparación de los valores del área bajo la curva de progreso de la enfermedad (ABCPE) entre sistemas de producción de bananos en las diferentes zonas. 

El estado evolutivo de la enfermedad en ambos sistemas de producción tiene la misma tendencia, diferenciándose solo por el momento de aplicación y la eficacia del producto utilizado. A continuación, se discute zona a zona:

Zona Cruce de Guayacanes

Para esta zona no existen diferencias estadísticamente significativas del ABCPE entre ambos sistemas de producción (p = 0.0774). Es probable que los productores no hayan aplicado a tiempo las recomendaciones para manejar la sigatoka negra con el monitoreo del estado de evolución y aplicaron, sin tomar en cuenta, la residualidad de los productos, ni el momento oportuno de realizarlo (Figura 2). Al respecto, Benavides-López et al. (2023), comentan que el uso estratégico de fungicidas demanda un conocimiento de aspectos de la enfermedad más allá de los síntomas, pues las técnicas de evaluación en campo basadas en síntomas visibles parten de deterioros en las hojas que ya causaron un daño fisiológico; y que por ende la efectividad de los fungicidas en estados avanzados de la enfermedad es limitada, o simplemente tardía.

Figura 2 Estado de evolución de la sigatoka negra en sistemas de producción orgánico y convencional, y ciclos de aplicaciones en la zona Cruce de Guayacanes. 

Zona Guazumita

Las condiciones climáticas (temperatura y humedad) influenciaron en mayor proporción el comportamiento de la enfermedad, como quedó demostrado en las tendencias observadas en la curva del EE (Figura 3). En esta zona no hubo diferencias estadísticamente significativas (p = 0.1778) con la prueba t, al comparar los valores de las ABCPE. Las tendencias observadas en las curvas se deben, por ende, al manejo cultural en ambos sistemas de producción. Esto coincide con el estudio llevado a cabo por Benavides-López et al. (2023), donde las condiciones climáticas de precipitación, temperatura, humedad relativa, humedad foliar y radiación solar, en el estado candela de la hoja candela, tuvieron una relación directa y significativa con el comportamiento de la enfermedad, medida por la concentración de ADN en zonas necrosadas. Como es evidente, en órganos no estacionales como las hojas, patógenos fúngicos prosperan bajo las condiciones óptimas de temperatura y agua disponible para sus procesos vitales, bien sea de la humedad del ambiente, de la lluvia, o del riego. En este caso, parece ser esta última la fuente determinante de la presencia del patógeno.

Figura 3 Estado de evolución de la sigatoka negra en sistemas de producción orgánico y convencional y ciclos de aplicaciones en la zona Guazumita. 

Zona El Charco

No se hallaron diferencias estadísticamente significativas (p = 0.2130). Se observó que en el sistema orgánico se realizó un control calendarizado y fuera de las recomendaciones dadas por el seguimiento al comportamiento de la EE, ya que en este sistema se realizaron hasta diez aplicaciones para su control. Por ende, fue patente la realización de aplicaciones en momentos no necesarios (Figura 4), debido a que se registraron condiciones desfavorables para el hongo. En consecuencia, se hubiese ahorrado una o varias aplicaciones. En el sistema convencional solo se realizó cuatro aplicaciones en el periodo de evaluación y se obtuvo buen control, a excepción del período lluvioso de principio del año 2016, cuando se registró mayor valor del EE, antes de cumplir con las recomendaciones de aplicar productos. En un estudio llevado a cabo por Cedeño-Zambrano et al. (2021), en plátano “Barraganete” bajo fertilización con magnesio en El Carmen, Ecuador, se halló que es necesario una programación de las aplicaciones de fungicidas calendarizada a partir de las condiciones locales de la severidad e incidencia históricas de la enfermedad sigatoka negra: las inspecciones en campo permiten determinar momentos específicos de aplicación semanal de fungicidas antes de los picos conocidos de proliferación de la enfermedad, ahorrando tiempo, dinero y esfuerzo, pero sobre todo racionalizando los ciclos de aplicación. Fue así como estos autores tuvieron que reprogramar únicamente dos ciclos de aplicación para conseguir el manejo deseado.

Figura 4 Estado de evolución de la sigatoka negra en sistemas de producción orgánico y convencional 

Zona Palo Amarillo

La comparación de los valores del ABCPE con la prueba t, no indica diferencias estadísticamente significativas (p = 0.1440) en el comportamiento de las curvas de EE para el periodo en estudio. En el sistema convencional se realizaron siete ciclos de aplicación, mientras que en el orgánico se realizaron cinco aplicaciones. Esta zona históricamente ha tenido mayor presión de la enfermedad, por lo que es probable que motivara aplicaciones más oportunas para evitar la evolución de los estadios iniciales mediante el buen deshoje fitosanitario, logrando mayor eficiencia en el manejo de productos. Como se observa en la Figura 5, esta zona presenta hasta el triple de pluviometría que otras zonas, lo que se relaciona con una mayor manifestación del patógeno, y concuerda con los hallazgos de Benavides-López et al. (2023), Mengesha et al. (2023), Cedeño-Zambrano et al. (2021), Pérez et al. (2000), donde las condiciones climáticas, sobre todo la pluviometría y la temperatura, se relacionaban con valores altos del patógeno en campo.

Figura 5 Estado de evolución de la sigatoka negra en sistemas de producción orgánico y convencional y ciclos de aplicaciones en la zona Palo Amarillo. 

Zona Los Cáceres

La comparación de los valores del ABCPE con la prueba t indica diferencias estadísticamente significativas (p = 0.0030) en el comportamiento de las curvas de EE para el mismo periodo en estudio. En el sistema de producción orgánica se realizaron siete aplicaciones, en cambio en el sistema convencional los ciclos de aplicación fueron seis (Figura 6). El momento oportuno y la calidad del producto aplicado, sumado a un buen deshoje fitosanitario, fueron claves para los bajos valores de la enfermedad registrados.

Figura 6 Estado de evolución de la sigatoka negra en sistemas de producción orgánico y convencional y ciclos de aplicaciones en la zona Los Cáceres. 

Al comparar el ABCPE entre sistemas de producción por zonas, se observó diferencias estadísticas significativas, sólo en la zona de los Cáceres (p = 0.0030). La magnitud de la incidencia y severidad de la enfermedad fue similar entre los sistemas de producción (orgánico y convencional) para las demás zonas, con p = 0.0774, 0.1778, 0.2130 y 0.1440 en Cruce de Guayacanes, Guazumita, El Charco y Palo Amarillo, respectivamente.

La sigatoka negra puede controlarse eficientemente con tratamientos de los respectivos productos en sistemas orgánicos y convencionales de producción de bananos por señalización biológica en el marco de un programa de manejo integrado. Aproximadamente se requiere entre 10 y 9 aplicaciones por año en los respectivos sistemas, para obtener un control eficiente de la enfermedad bajo estas condiciones, aunque algunos autores como Cedeño-Zambrano et al. (2021), lo lograron con cuatro aplicaciones. Similares resultados fueron obtenidos por Pérez et al. (2000) en el cultivo de plátano en Cuba.

Como se puede observar en las tendencias del estado evolutivo de la sigatoka negra, en todas las zonas de producción de banano de la provincia Valverde, la incidencia y severidad de la enfermedad son altas o son bajas debido a la distribución de las lluvias (Figuras 2 a 6). Como consecuencia, la enfermedad presenta un comportamiento cíclico en ambos sistemas de producción y zonas: una fase epidémica con alta severidad, que se relaciona con la época de lluvia y una fase de baja severidad, pero prevaleciente por el sistema de riego empleado, asociada a la época seca.

Recomendaciones de manejo de la sigatoka negra en las cinco zonas en estudio

Se realizó el análisis de componentes principales incluyendo zonas y sistemas de producción de bananos, para determinar grupos de fincas que puedan hacer un manejo de la sigatoka negra en bloques. El 66 % de la variación de los datos en los sistemas y zonas de producción se explicó basada en los dos primeros componentes del ACP (Tabla 2).

Tabla 2 Análisis de componentes principales para sistemas y zonas de producción. 

e1 = valor de ponderación de componente principal 1; e2 = valor de ponderación de componente principal 2.

Las variables más sensibles seleccionadas en el componente principal 1 (CP1) para los sistemas y zonas de producción fueron: EE, pluviometría y riego (caudal de agua utilizado). En menor magnitud de correlación se encuentran las variables temperatura, HMJE y HMJN, NHF, NHC, REF, altura de la planta madre, circunferencia del pseudotallo y manos/racimo.

Estas variables se correlacionan con las localidades de El Charco en los dos sistemas de producción de bananos. Separados a la derecha del eje vertical de las coordenadas en mayor magnitud se encuentran aquellas variables medidas en Palo Amarillo y Guazumita para el sistema orgánico (Figura 7).

Figura 7 Gráfico biplot de los dos componentes principales en los sistemas y zonas de producción de bananos en la zona de estudio. 

Desde el punto de vista del CP2, Guazumita: ambos sistemas; El Charco: sistema orgánico y Cruce de guayacanes: sistema convencional, forman un bloque de zonas con similar comportamiento de las variables de la enfermedad HMJN, HMJE y REF; además de las variables del clima pluviometría y temperatura.

Dado que el hongo de la sigatoka negra tiene comportamiento con tendencia similar en todas las zonas y sistemas de producción, y que las diferencias observadas para la época estacional seca son más de manejo que del propio comportamiento de la enfermedad, se propone, para fines de campaña fitosanitaria de manejo, dividir en tres bloques las cinco zonas de producción: Cruce de Guayacanes, Guazumita y el Charco conforman un primer bloque de aplicación de productos. El segundo bloque estaría comprendido por las fincas ubicadas en la zona de Palo Amarillo. Esto debido a que fue la zona donde la epidemiología de la enfermedad fue más agresiva y se recomienda que las medidas de control con productos, sean diferenciadas de las recomendaciones para el primer y tercer bloque, tal como recomiendan Cedeño- Zambrano et al. (2021) (particularizada por zona). El tercer bloque corresponde a las fincas que se encuentran en la zona de producción de bananos de Los Cáceres. Es factible que puede formar parte del primer bloque ya que las diferencias que se registran corresponden a variables del cultivo y del manejo del deshoje fitosanitario, que a variables propias de la enfermedad; además esta geográficamente aislada de otras zonas.

Este estudio registra como la práctica más efectiva para reducir la fuente de inóculo a la remoción de hojas afectadas o porciones de éstas cada semana, acompañado de un manejo racionalizado de los fungicidas, vía un calendario de aplicación con base en las incidencias y severidades locales observadas año a año. En el deshoje, el tejido removido se deposita en el suelo y es factible la aplicación de urea diluida al 5 % para acelerar su descomposición. Una práctica alternativa puede ser el “mini composteo”, que consiste en colocar el tejido removido durante el deshoje y la hojarasca y restos de plantas cosechadas en pequeños montones para su rápida degradación. Se puede agregar microorganismos eficaces para acelerar la descomposición, lo cual reduce el inóculo e incorpora nutrientes y materia orgánica al suelo. La poda temprana de las puntas de hojas jóvenes en hijos de sucesión y la eliminación rápida de las hojas de plantas cosechadas también disminuyen el inóculo. Desde 1994, autores como Gauhl citaban a las hojas enfermas dejadas en la planta como las mayores productoras de ascosporas de M. fijiensis, las cuales pueden sobrevivir y ser liberadas por más de 20 semanas. También, como recomendación para el manejo de la sigatoka negra, el manejo agronómico integrado del cultivo es deseable: densidad de plantación, sistemas de drenaje, métodos de riego, control de malezas, fertilización química-biológica y control de nematodos y picudos, ayuda a reducir las condiciones favorables para el desarrollo de sigatoka negra e incrementa el vigor de las plantas.

CONCLUSIONES

Los efectos de control de la sigatoka negra con productos, en las diferentes zonas y sistemas de producción de banano, resultaron con eficiencias diferentes, debido al manejo inadecuado ejercido por los productores (mala calendarización de las aplicaciones o aplicación fuera del momento oportuno) y que no se pone en práctica un control generalizado que permita las aplicaciones en bloques de fincas con características comunes de comportamiento de la enfermedad.

Los resultados de esta investigación demuestran que el control de la sigatoka negra mediante el preaviso biológico es factible, tanto, en sistema de producción orgánico como convencional, y puede ser eficiente tanto en lo económico como en lo técnico. Requiere de una estructura organizativa con los productores o sus respectivas asociaciones, que permita las operaciones de registro de datos biológicos y climáticos, para la adopción oportuna y eficaz de las medidas de control recomendada.

Agradecimientos

Al Proyecto BAM (Medida de acompañamiento del Banano, República Dominicana), en la persona del señor Jesús Coto (director técnico) y todo su personal por apoyar la investigación en las diversas fases.

A los productores de la provincia Valverde José Eduardo Cabrera y Emilio Bonilla (Palo Amarillo), Osvaldo Serafín y Salomón Feliciano (El Charco), José Aquiles García y Luis Bonilla (La Guazumita), Rafael Ferreira y José Aquiles García (El Cruce de Guayacanes) y Juan Tomas Fernández y Ramón Tranquilino Medrano (Los Cáceres de Jaibón), por facilitar el acceso a sus fincas para las determinaciones de campo. Se agradece a los alumnos Nelson José Adamés, Crucita Jiménez y Roberto Antonio Polanco Reyes, por el levantamiento de informaciones en campo (egresados de la carrera de Ingeniería Agronómica de la Facultad de Ciencias Agronómicas y Veterinarias de la Universidad Autónoma de Santo Domingo

BIBLIOGRAFÍA

Barrera, VJ; Barraza, AF; Campo, AR. 2016. Efecto del sombrío sobre la sigatoka negra (Mycosphaerella fijiensis Morelet) en cultivo de plátano cv hartón (Musa AAB Simmonds) (en línea). Revista U.D.C.A Actualidad & Divulgación Científica 19(2):317-323. Disponible en http://www.scielo.org.co/scielo.php?script=sci_arttext&pid=S0123-42262016000200008Links ]

Benavides-López, LF; Camacho Calvo, AM; Muñoz Fonseca, ME. 2023. Modelos predictivos de la infección foliar causada por Sigatoka negra (Pseudocercospora fijiensis) en plantas de banano (Musa AAA) con y sin aplicación de fungicidas (en línea). Revista AgroInnovación En El Trópico Húmedo 3(2):1-18. Disponible en https://repositoriotec.tec.ac.cr/handle/2238/15554Links ]

Borja-Peña, NK. 2019. El deshoje fitosanitario como alternativa para reducir la incidencia y severidad de la sigatoka negra (Mycosphaerella fijiensis Morelet) en banano (en línea). Tesis de pregrado. Disponible en http://dspace.utb.edu.ec/handle/49000/6020Links ]

Bornacelly, H; Bolaño, J. 2020. Efecto de diferentes labores de manejo sobre el desarrollo de la sigatoka negra del banano en el distrito de Sevilla, zona bananera del Magdalena (en línea). Universidad del Magdalena. Disponible en http://repositorio.unimagdalena.edu.co/handle/123456789/5166Links ]

Cedeño-Zambrano, JR; Díaz-Barrios, EJ; de Jesús Conde- López, E; Cervantes-Álava, AR; Avellán-Vásquez, LE; Tobar-Galvéz, JP; Zambrano-Mendoza, E; Estévez- Chiva, S; Sánchez-Urdaneta, AB. 2021. Evaluación de la severidad de Sigatoka negra (Mycosphaerella fijiensis Morelet) en plátano “Barraganete” bajo fertilización con magnesio (en línea). Revista Técnica de la Facultad de Ingeniería, Universidad del Zulia 44(1). Disponible en https://www.redalyc.org/journal/6057/605772532002/605772532002.pdfLinks ]

CIAT (Centro Internacional de Agricultura Tropical). 2013. La Sigatoka negra en plátano y banano (en línea). Disponible en https://www.fao.org/4/as089s/as089s.pdfLinks ]

CNC (Consejo Nacional de Competitividad). 2012. Los mercados del banano orgánico y de comercio justo de la República Dominicana: evolución reciente y perspectivas. Recomendaciones para la elaboración de una estrategia de mercado sostenible (en línea). Estrategia nacional del sector bananero de la República Dominicana. Programa Desarrollo de Capacidades en Apoyo a las Políticas Sectoriales en el Área Competitividad. FIODM - CNC. Roma. Disponible en https://intranet.cedaf.org.do/digital/mercados_banano.pdfLinks ]

CORBANA (Corporación Bananera Nacional). 2010. Costa Rica: plan de acción y prevención. Frente a la amenaza que representa Foc RT4 (en línea). Ed. Mauricio Guzmán, Coordinador de Fitopatología, CORBANA. Costa Rica. Disponible en https://www.fao.org/fileadmin/templates/banana/documents/04_Plan_de_accin_Costa_Rica.pdfLinks ]

Di Rienzo, JA; Casanoves, F; Balzarini, MG; González, L; Tablada, M; Robledo, C. 2016. InfoStat, versión 2016, Grupo InfoStat, FCA. Universidad Nacional de Córdoba. Argentina. [ Links ]

Fourè, E. 1988. Estrategias de lucha contra la sigatoka negra de los bananos y plátanos provocada por Mycosphaerella fijiensis Morelet. Fruits 43(5):269274. [ Links ]

Ganry, J; Meyer, JP. 1972. La lutte contrôlée contre le Cercospora aux Antilles. Bases climatiques de l'avertissement technique d'observation et de numération de la maladie (en línea). Fruits 27(10): 665-676. Disponible en https://revues.cirad.fr/index.php/fruits/article/download/33925/36589/40224Links ]

García, J; Farias, N; Benavides-JR; Escobar, E. 2017. Procesamiento de imágenes aplicadas a la identificación de agentes patógenos en el cultivo de plátano. Revista de las Tecnologías de la Información 4(13):23-31. [ Links ]

Gauhl, F. 1994. Epidemiology and ecology of black sigatoka (Mycosphaerella fijiensis) on plantain and banana (Musa spp.) in Costa Rica, Central America (en línea). The International Network for the Improvement of Banana and Plantain. Montpellier, France. ISBN :2- 910810-00-3. Disponible en https://www.musalit.org/seeMore.php?id=2859Links ]

Guillermet, C; De Lapeyre de Bellaire, L; Le Guen, R; Rodriguez, A; Coto, J; Polanco, T; Céspedes, C; Peralta M. 2016. Guía técnica implementación del sistema de preaviso biológico para el manejo de la sigatoka negra en fincas de banano convencionales (en línea). San Salvador: OIRSA; CIRAD. Disponible en https://publications.cirad.fr/une_notice.php?dk=583919Links ]

Guzmán, M. 2012. Control biológico y cultural de la sigatoka negra (en línea). Tropical Plant Pathology 37 (Suplemento). Brazilian Phytopathological Society. 45º Congresso Brasileiro de Fitopatologia - Manaus, AM. Brazil. Disponible en https://www.researchgate.net/publication/266021147_Control_biologico_y_cultural_de_la_sigatoka-negraLinks ]

INDRHI (Instituto Nacional de Recursos Hidráulicos). 2011. Estudio de identificación, evaluación y selección de la tecnología de riego (en línea). Programa conjunto para el fortalecimiento de la cadena de valor del banano mediante el crecimiento de mercados inclusivos (Proyecto FAO UNJP/DOM/013/SPA). Disponible en https://intranet.cedaf.org.do/digital/estudio_identificacion.pdfLinks ]

Marín, DH; Romero, RA; Guzmán, M; Sutton, TB. 2003. Black Sigatoka: An Increasing Threat to Banana Cultivation (en línea). Plant Disease. 87(3):208-222. Disponible en https://apsjournals.apsnet.org/doi/pdf/10.1094/PDIS.2003.87.3.208Links ]

Martínez, AM; Castañeda, DA; Bornacellys, H; Merchan, V. 2006. La poda temprana, práctica en el manejo integral de la sigatoka negra en banano (en línea). XVII Reunión Internacional de la Asociación para la Cooperación de investigaciones sobre banano en el Caribe y la América Tropical, Brasil. Disponible en https://www.researchgate.net/publication/305905109_LA_PODA_TEMPRANA_PRACTICA_EN_EL_MANEJO_INTEGRAL_DE_LA_SIGATOKA_NEGRA_EN_BANANOLinks ]

Mengesha, GG; Jambo, A; Terefe, H; Mekonnen, S; Simion, T; Mensa, A; Fikre, G; Ayele, M; Wolddeyohanes, Y; Lemma, B; Turuko, M; Ayele, T; Yemataw, Z; Woldesilassie, AB. 2023. Agronomic practices and environmental factors influenced the distribution and severity of black Sigatoka (Mycosphaerella fijiensis Morelet) of banana in southern Ethiopia (en línea). Journal of Plant Pathology 105(4):1371-1390. Disponible en https://doi.org/10.1007/s42161-023-01461-7Links ]

Merchán, VME. 2000. Prevención y manejo de la sigatoka negra (en línea). Boletín Divulgativo. ICA Ed. No2. Manizales, diciembre, 2000. Disponible en https://repository.agrosavia.co/handle/20.500.12324/15357Links ]

Ministerio de Medio Ambiente y Recursos Naturales. 2024. Valverde (en línea). Gobierno de la República Dominicana. Disponible en https://ambiente.gob.do/informacion-ambiental/informacion-provincial/valverde/Links ]

Orozco-Santos, M; García-Mariscal, K; Manzo-Sánchez, G; Guzmán-González, S; Martínez-Bolaños, L; Beltrán- García, M; Garrido-Ramírez, E; Torres-Amezcua, JA; Canto-Canché, B. 2013. La sigatoka negra y su manejo integrado en banano. Libro Técnico Núm. 1. SAGARPA, INIFAP, CIRPAC, Campo Experimental Tecomán. Tecomán, Colima, México. 152 p. [ Links ]

Pérez, L; Hernández, MA; Porras, GA. 2000. Epidemiología de la sigatoka negra (Mycosphaerella fijiensis Morelet) en Cuba (en línea). II. Pronóstico Bio-Climático de los Tratamientos contra la Enfermedad en Plátanos (Musa spp. AAB) Revista Mexicana de Fitopatología, enero- junio, año/vol. 18, número 001 Sociedad Mexicana de Fitopatología, A.C. Ciudad Obregón, México. Disponible en https://www.redalyc.org/pdf/612/61218104.pdfLinks ]

Ricardo, FÁS; Vicente, LFP. 2021. Tácticas estratégicas para el manejo integrado de plagas y enfermedades en banano (en línea). Brazilian Journal of Animal and Environmental Research 4(4):4973-5000. Disponible en https://ojs.brazilianjournals.com.br/ojs/index.php/BJAER/article/view/37341Links ]

Rojas-Contreras, L. 2021. Estrategia de mercadeo para el lanzamiento del fungicida Belanty® para el combate de Pseudocercospora fijiensis en el cultivo de banano en Costa Rica (en línea). Universidad de Costa Rica. Disponible en https://www.kerwa.ucr.ac.cr/bitstreams/f9b17a1b-9b01-4736-b26b-37991361c645/downloadLinks ]

Ternisien E. 1985. Les Cercosporioses des bananiers et plantains. Méthode de lute, avertissements, perspectives au cameroun. Memoire de fin d’etudes de l’ENITH option horticulture ȧ Angers, 1985-09. [ Links ]

Valdivieso, MAS; Urdaneta, ABS; Álava, ARC; Orellana, ÁFN. 2021. Control de sigatoka negra en banano con fungicidas orgánicos en época de lluvia (en línea). Revista Científica Agroecosistemas 9(1):107-112. Disponible en https://aes.ucf.edu.cu/index.php/aes/article/view/455Links ]

Vargas, A; Araya, M; Guzmán, M; Murillo, G. 2009. Effect of leaf pruning at flower emergence of banana plants (Musa AAA) on fruit yield and black sigatoka (Mycosphaerella fijiensis) disease (en línea). International Journal of Pest Management 55(1):19-25. Disponible en https://doi.org/10.1080/09670870802450219Links ]

Velez, OA. 2021. Sigatoka negra (Mycosphaerella fijiensis) en banano, métodos de control y manejo: Revisión de literatura (en línea). Doctoral dissertation, Zamorano: Escuela Agrícola Panamericana, 2021. Disponible en https://bdigital.zamorano.edu/server/api/core/bitstreams/caa6d1dc-7f3e-48c8-b85e-2e534deba196/contentLinks ]

Recibido: 30 de Enero de 2025; Aprobado: 12 de Abril de 2025

Creative Commons License Este es un artículo publicado en acceso abierto bajo una licencia Creative Commons