SciELO - Scientific Electronic Library Online

 
vol.12 issue1Endophytic fungi associated with the root of the quinoa crop (Chenopodium quinoa W.) in the highlands of BoliviaChicken nuggets (Gallus gallus domesticus) enriched with pitahaya shell powder (Hylocereus undatus) author indexsubject indexarticles search
Home Pagealphabetic serial listing  

Services on Demand

Journal

Article

Indicators

Related links

  • Have no similar articlesSimilars in SciELO

Share


Revista de Investigación e Innovación Agropecuaria y de Recursos Naturales

Print version ISSN 2409-1618

RIIARn vol.12 no.1 La Paz Apr. 2025

https://doi.org/10.53287/ozyq5541hg24i 

ARTÍCULOS ORIGINALES

Efecto del hidrolizado de residuos de pescado en el cultivo de lechuga crespa (Lactuca sativa) en Tacna, Perú

Effect of fish waste hydrolysate on the cultivation of lettuce (Lactuca sativa) in Tacna, Peru

Juan Carlos Tejada Vizcarra1 
http://orcid.org/0000-0002-6551-9554

Leo Ulises Michaell Tirado Rebaza2 
http://orcid.org/0000-0002-6599-8866

Junior Manuel Mamani Huarcusi3 
http://orcid.org/0009-0001-1514-7510

José Antonio Apaza Atencio4 
http://orcid.org/0000-0002-9012-4749

Keila Abigail Muñante Carrillo5 
http://orcid.org/0000-0002-3815-4887

Yessenia Danidtza Gomez Aguilar6 
http://orcid.org/0009-0003-8468-1877

1 Docente Universitario, Escuela Profesional de Agronomía, Universidad Nacional Jorge Basadre Grohmann, Perú. jtejadav@unjbg.edu.pe.

2 Docente Universitario, Escuela Profesional de Ingeniería Ambiental, Universidad Nacional Jorge Basadre Grohmann, Perú. leotiradorebaza@gmail.com.

3 Investigador Independiente, Escuela Profesional de Agronomía, Universidad Nacional Jorge Basadre Grohmann, Perú. juniormh@unjbg.edu.pe.

4 Investigador Independiente, Escuela Profesional de Ingeniería Ambiental, Universidad Nacional Jorge Basadre Grohmann, Perú. joseaa@unjbg.edu.pe.

5 Docente Universitario, Escuela Profesional de Ingeniería Ambiental, Universidad Nacional Jorge Basadre Grohmann, Perú. kmunantec@unjbg.edu.pe.

6 Docente Universitario, Escuela Profesional de Ingeniería Ambiental, Universidad Nacional Jorge Basadre Grohmann, Perú. ygomeza@unjbg.edu.pe.


Resumen

La lechuga (Lactuca sativa) es una hortaliza ampliamente cultivada y consumida a nivel global debido a su rápido crecimiento y alto valor nutricional, sin embargo, su producción intensiva ha llevado a una dependencia excesiva de fertilizantes sintéticos. Ante esto, los bioestimulantes, especialmente los derivados de residuos orgánicos como los hidrolizados de pescado, han emergido como una alternativa sostenible. El presente estudio evaluó el efecto del hidrolizado de residuos de pescado como bioestimulante en el cultivo de lechuga crespa (Lactuca sativa, variedad Green Span) en Tacna, Perú. Se utilizó un diseño de bloques completamente aleatorizado (DBCA) con cuatro tratamientos (200, 400, 600 y 800 L ha⁻¹) y tres repeticiones. El rendimiento se midió en función del peso unitario de las plantas, analizado mediante ANOVA y prueba de Tukey (p < 0.05). Los resultados indicaron que el tratamiento con 600 L ha⁻¹ alcanzó el mayor rendimiento (300.26 g por planta), evidenciando un efecto positivo en la acumulación de biomasa. No obstante, el tratamiento con 800 L ha⁻¹ no mostró mejoras adicionales y sugirió posibles efectos negativos por saturación de nutrientes. Un análisis de regresión demostró que la dosis óptima para maximizar el rendimiento unitario es de 670.74 L ha⁻¹, con un peso proyectado de 306.61 g por planta. Aunque no se observaron diferencias estadísticamente significativas en el rendimiento total por hectárea entre tratamientos, se evidenció una mayor uniformidad de producción en dosis intermedias. El estudio concluye que el hidrolizado de pescado es una herramienta prometedora para mejorar la productividad de la lechuga en condiciones adversas, aunque su efectividad depende de más factores de estudio.

Palabras clave: hidrolizado; residuos de pescado; lechuga crespa; bioestimulante

Abstract

Lettuce (Lactuca sativa) is a widely cultivated and consumed vegetable globally due to its rapid growth and high nutritional value. However, intensive production has led to an excessive reliance on synthetic fertilizers. In response, biostimulants, particularly those derived from organic waste such as fish hydrolysates, have emerged as a sustainable alternative. This study evaluated the effect of fish waste hydrolysate as a biostimulant on curly lettuce (Lactuca sativa, Green Span variety) cultivation in Tacna, Peru. A completely randomized block design (CRBD) was implemented with four treatments (200, 400, 600, and 800 L ha⁻¹) and three replicates. Yield was assessed based on individual plant weight, analyzed using ANOVA and Tukey’s test (p < 0.05). The results indicated that the 600 L ha⁻¹ treatment achieved the highest yield (300.26 g per plant), demonstrating a positive effect on biomass accumulation. However, the 800 L ha⁻¹ treatment did not yield additional improvements and suggested potential negative effects due to nutrient saturation. A regression analysis determined that the optimal dose for maximizing individual plant yield was 670.74 L ha⁻¹, with a projected weight of 306.61 g per plant. Nevertheless, no significant differences in total yield per hectare were observed among treatments, indicating that while the hydrolysate enhances individual plant growth, it does not necessarily increase overall production. The study concludes that fish hydrolysate is a promising tool for improving lettuce productivity under challenging conditions, though its effectiveness depends on additional influencing factors.

Keywords: hydrolysate; fish waste; curly lettuce; biostimulant

INTRODUCCIÓN

La lechuga (Lactuca sativa) es una de las hortalizas más cultivadas y consumidas a nivel mundial debido a su rápido ciclo de crecimiento y alto valor nutricional, aportando fibra, vitaminas y minerales esenciales (Enciso-Garay et al., 2020; Lique, 2020). Su cultivo se ha intensificado en respuesta a la creciente demanda global, lo que ha generado una mayor dependencia de fertilizantes sintéticos para mantener altos rendimientos (FAO, 2021). Sin embargo, el uso excesivo de estos insumos implica la generación de impactos negativos a largo plazo, como la degradación del suelo, contaminación de fuentes hídricas y la acumulación de compuestos tóxicos en los alimentos, comprometiendo la salud humana y el equilibrio ecológico (Mejía y Gómez, 2020; Tumiri, 2019).

Ante esta problemática, el uso de bioestimulantes ha ganado atención creciente debido a su capacidad para promover el crecimiento de las plantas y mejorar la eficiencia en el uso de nutrientes (Cando y Malca 2016). Se estima que el mercado global de bioestimulantes alcanzará los USD 4.14 mil millones para 2025, reflejando su potencial como herramienta clave para una agricultura más sostenible (Madende y Hayes 2020). En particular, los bioestimulantes derivados de residuos orgánicos, como los hidrolizados de pescado, representan una opción prometedora debido a su biodegradabilidad, bajo costo y alto impacto en los cultivos (Vega, 2015; Hleap y Gutiérrez, 2017). Estos productos no solo aportan nutrientes esenciales (nitrógeno, fósforo y potasio) (Monago et al. 2024; Osorio y Llerena 2018), sino también compuestos bioactivos como aminoácidos, péptidos y hormonas vegetales, que mejoran la absorción de nutrientes y la eficiencia fotosintética (Aldana y Maquén, 2023).

La industria pesquera genera un volumen significativo de residuos orgánicos, particularmente en regiones costeras donde esta actividad es predominante (Domínguez et al., 2024). Residuos como cabezas, espinas, vísceras y pieles son a menudo desechados de manera inadecuada, contribuyendo a la contaminación ambiental y al desperdicio de recursos valiosos (Florez-Jalixto et al., 2021). La valorización de estos desechos mediante su transformación en bioestimulantes no solo mitiga el impacto ambiental, sino que también promueve una agricultura más sostenible al reducir la dependencia de fertilizantes sintéticos y mejorar la productividad agrícola.

En el Perú, la región costera enfrenta desafíos como la baja materia orgánica en el suelo (Galarza y Díaz, 2015) y la limitada disponibilidad hídrica (Pino-Vargas et al. 2019), factores que restringen la productividad agrícola. En este contexto, la presente investigación evaluó el efecto del hidrolizado de residuos de pescado en el cultivo de lechuga crespa (Lactuca sativa, variedad Green Span) en Tacna, una zona con creciente potencial agrícola, pero afectada por condiciones edafoclimáticas adversas, como la aridez y erosión.

A través de esta investigación, se buscó contribuir con información sobre el desarrollo de prácticas agrícolas más sostenibles en campo, que permitan maximizar la producción de alimentos sin comprometer la salud del ecosistema ni la calidad de los cultivos, ofreciendo una solución innovadora y ecológica para los productores locales. Asimismo, se pretende minimizar el impacto ambiental generado por los residuos pesqueros en Tacna, promoviendo su aprovechamiento como bioestimulante. Este enfoque se enmarca en los principios de la economía circular y ofrece una alternativa viable para reducir el uso de agroquímicos convencionales, fortaleciendo la resiliencia y sostenibilidad del sector agrícola.

MATERIALES Y MÉTODOS

Ubicación de la zona de estudio

El estudio se llevó a cabo en la Estación Experimental Agrícola “Pichones Sur” del Centro Experimental Agrícola (CEA III), perteneciente a la Facultad de Ciencias Agropecuarias de la Universidad Nacional Jorge Basadre Grohmann, en el departamento y provincia de Tacna, Perú. Geográficamente, el área de investigación se localiza en las coordenadas 17° 59' 38'' de latitud sur y 70° 14' 22'' de longitud oeste, a una altitud de 550 metros sobre el nivel del mar.

Metodología

Aplicación del hidrolizado de residuos de pescado

El hidrolizado de residuos de pescado utilizado en la presente investigación fue obtenido de un estudio previo titulado “Evaluación comparativa del efecto de biofertilizantes sobre el rendimiento de dos variedades de vainita (Phaseolus vulgaris L.)”, desarrollado por Tejada et al. (2024). En dicho estudio, el hidrolizado fue elaborado a partir de residuos del pescado bonito (Sarda chiliensis chiliensis), empleando principalmente vísceras, cabezas, colas y espinas. El proceso consistió en una hidrólisis enzimática, mediante la incorporación de microorganismos eficientes obtenidos a través de la técnica de la trampa de arroz con melaza, y un período de fermentación controlada de 20 días.

El costo estimado del biofertilizante concentrado (solución madre) es de 3.50 soles por litro, según información proporcionada por los autores del estudio previo. Para la preparación de la dosis de cada tratamiento experimental en este trabajo, se utilizó la misma dilución recomendada: en proporción volumen a volumen (v/v) equivalente a 5 litros de solución madre por cada 200 litros de agua.

Diseño estadístico

Se empleó un diseño de bloques completamente aleatorizado (DBCA) con cuatro tratamientos basados en diferentes dosis de hidrolizado de residuos de pescado y tres bloques (parcelas), totalizando 12 unidades experimentales. Los tratamientos designados fueron los siguientes:

- T1: 200 L ha-1 de hidrolizado de residuos de pescado

- T2: 400 L ha-1 de hidrolizado de residuos de pescado

- T3: 600 L ha-1 de hidrolizado de residuos de pescado

- T4: 800 L ha-1 de hidrolizado de residuos de pescado

Para el análisis estadístico se utilizó el software RStudio versión 2024.04.2 (R Code Team, 2024) con el fin de verificar el cumplimiento de los supuestos del análisis paramétrico: normalidad de datos (prueba de Shapiro-Wilk), homogeneidad de varianzas (prueba de Levene) e independencia de los errores (prueba de Durbin-Watson). Una vez validados estos supuestos, se procedió a aplicar el análisis de varianza (ANOVA) con un nivel de significancia 5 % (α = 0.05), utilizando la prueba F. Para la comparación de medias entre tratamientos, se empleó el test de Tukey HSD como método de contraste múltiple. Asimismo, se realizó un análisis de regresión con el fin de evaluar la relación entre las dosis del biofertilizante y el rendimiento del cultivo, el cual fue evaluado mediante dos variables de respuesta: (i) el rendimiento unitario, definido como el peso fresco individual por planta (g), y (ii) el rendimiento total, calculado como el peso promedio de la planta por parcela y extrapolado a toneladas por hectárea (t ha-1).

Experimentación

Se seleccionó la variedad Green Span de lechuga crespa por su alto rendimiento y adaptabilidad agroclimática, características desarrolladas y evaluadas previamente por el CEA III.

El establecimiento del cultivo se realizó mediante trasplante directo en campo de plántulas con 45 días de desarrollo en vivero, empleando un distanciamiento de 20 cm entre plantas, cada parcela experimental tuvo una dimensión de 1.5 m × 24 m haciendo un total de 36 m² de terreno por cada bloque.

La aplicación del hidrolizado de residuos de pescado se llevó a cabo de forma semanal durante un período de ocho semanas (dos meses), utilizando una mochila de aspersión manual de 20 litros, dirigida al suelo y la parte basal de la planta. El volumen aplicado por parcela se ajustó proporcionalmente a la dosis correspondiente a cada tratamiento. El sistema de riego fue por goteo, con una frecuencia interdiaria y una duración de 30 a 40 minutos por sesión.

El rendimiento se evaluó mediante tres cosechas sucesivas realizadas a partir de los 50 días después del trasplante, considerando que la fecha de establecimiento del cultivo fue el 17 de mayo de 2023. En cada unidad experimental se midió el peso fresco individual por planta (expresado en gramos) para determinar el rendimiento unitario. Paralelamente, el rendimiento total se calculó promediando los valores obtenidos por parcela y extrapolando estos datos a toneladas por hectárea (t ha-1), mediante un ajuste proporcional.

RESULTADOS Y DISCUSIÓN

Efecto del hidrolizado de residuos de pescado en el rendimiento unitario de la lechuga crespa

En la Tabla 1 se evidencia que los tratamientos evaluados tuvieron un efecto significativo (p < 0.05) sobre el rendimiento unitario (g) de la lechuga crespa. Asimismo, se evidencia una variabilidad significativa entre los bloques experimentales, lo que sugiere una influencia de las condiciones del suelo en cada parcela. Cabe destacar que el coeficiente de variabilidad (C.V.) obtenido fue del 12.77 %, lo que indica una dispersión relativamente baja de los datos respecto a la media, reflejando una adecuada precisión experimental y control de las fuentes de variabilidad.

Tabla 1 Análisis de varianza del rendimiento unitario (g) de la lechuga crespa. 

C.V.= 12.77 %

La Figura 1 muestra que el tratamiento T3 (600 L ha-1 de hidrolizado de pescado) alcanzó el mayor peso unitario en lechuga crespa, con un valor promedio de

300.26 g, diferenciándose significativamente del resto de tratamientos (p < 0.05). No obstante, es importante destacar que el tratamiento T4, que recibió la dosis más alta de hidrolizado (800 L ha-1), no generó un incremento adicional en el rendimiento, lo que sugiere una respuesta no lineal del cultivo ante el aumento de la dosis aplicada.

El desempeño favorable observado en el tratamiento T3 puede atribuirse a la composición nutricional del biofertilizante empleado, el cual no solo presenta concentraciones superiores de macronutrientes esenciales (N, P, K) en comparación con biofertilizantes convencionales, como el biol derivado de estiércol vacuno (Delgado et al., 2019; Bayona, 2022; Cando y Malca, 2016; Hilario y Reyes, 2024), sino que además incorpora compuestos bioactivos clave. Entre estos destacan aminoácidos libres, péptidos de bajo peso molecular y fitohormonas (auxinas y citoquininas), cuyos efectos sinérgicos favorecen la absorción de nutrientes, activan enzimas metabólicas y optimizan la eficiencia fotosintética (Tayi et al., 2025; Maquén-Perleche et al., 2023).

Sin embargo, la disminución del rendimiento unitario con la mayor dosis de biol (T4) podría atribuirse a una sobresaturación de nutrientes, que puede alterar el equilibrio iónico del suelo y generar efectos adversos como toxicidad nutricional, disminución del desarrollo radicular y mayor susceptibilidad al estrés abiótico. Este fenómeno, conocido como “consumo de lujo” (luxury consumption), ha sido descrito por Nuzhyna et al. (2024) como una condición en la que el exceso de nutrientes promueve un crecimiento vegetativo desbalanceado, en detrimento del desarrollo radicular y la capacidad de absorción de agua y nutrientes de la planta (Zhang et al., 2022; Penn et al., 2023). Asimismo, un exceso de materia orgánica en el suelo puede modificar negativamente la microbiota rizosférica, favoreciendo la proliferación de microorganismos oportunistas o generando condiciones hipóxicas perjudiciales para el desarrollo radicular (Aldana y Maquén 2023).

En cuanto a la variabilidad entre bloques, se encontró que los bloques I y II presentaron diferencias significativas (p < 0.05), mientras que el bloque III no mostró variación significativa. Esta heterogeneidad podría atribuirse a factores externos no considerados, como la distancia entre parcelas, variaciones microclimáticas o diferencias en la textura del suelo, tal como lo señala Castañeda (2023), quien identificó estos elementos como variables relevantes en estudios de campo. Estos resultados destacan la importancia de ajustar las estrategias de fertilización a las condiciones agroecológicas locales, lo cual implica considerar la variabilidad espacial dentro de un mismo terreno. Asimismo, se refuerza la necesidad de realizar investigaciones en condiciones reales de campo, donde múltiples factores interactúan de forma simultánea y afectan la respuesta del cultivo. A diferencia de los estudios desarrollados en condiciones controladas, como laboratorios o ensayos en macetas, los ensayos en campo abierto permiten obtener resultados más representativos y aplicables a la práctica agrícola, ya que reflejan con mayor fidelidad las dinámicas ambientales, biológicas y edáficas que enfrentan los productores en contextos reales.

Figura 01 Diagrama de caja y bigotes del rendimiento unitario (g) de lechuga crespa en función al tratamiento según dosis de hidrolisis de pescado (L ha-1) y bloque. Nota: Las letras minúsculas indican diferencias significativas entre los tratamientos (dosis) según la prueba de comparación de medias aplicada Tukey (p < 0.05). Tratamientos con letras distintas presentan diferencias estadísticas entre sí. 

Para evaluar la relación entre la dosis del hidrolizado de pescado y el rendimiento unitario, se aplicó un análisis de regresión con distintos modelos matemáticos (Figura 2). La regresión polinómica mostró el mejor ajuste (R2 = 0.92), indicando que la variabilidad en el peso unitario de la lechuga es explicada en gran medida por la dosis aplicada.

Figura 2 Comparación de modelos de regresión para la relación entre dosis y rendimiento unitario. 

La validación del modelo incluyó pruebas de normalidad de residuos (W = 0.96, p = 0.72), homocedasticidad (BP = 5.15, p = 0.16) y ausencia de autocorrelación (DW = 0.86, p = 0.08). Los coeficientes de regresión fueron estadísticamente significativos (p < 0.05), respaldando la influencia de los factores considerados en la variable de respuesta. En consecuencia, se establece la siguiente función de respuesta (Ecuación 1):

A partir de la derivación de la ecuación de regresión y la resolución para el valor óptimo de X, se estimó que la dosis óptima de hidrolizado de residuos de pescado es de 670.74 L ha⁻¹, con la cual se alcanza el mayor peso unitario promedio en lechuga crespa, registrado en 306.61 g por planta (Figura 3). Este valor supera ampliamente los resultados reportados por Hilario y Reyes (2024), quienes obtuvieron un peso unitario de lechuga de 26.67 g al aplicar una concentración de 5 % de biol de pescado. Sin embargo, los presentes resultados son consistentes con lo reportado por Chávez-Merino et al. (2024), quienes alcanzaron un peso promedio de la lechuga de hasta 268.5 g utilizando una solución al 1 % de biol de residuos de pescado en condiciones de maceta, y con Chirito (2024), quien reportó un peso promedio de la lechuga de hasta 310.52 g aplicando 1 % de biol de residuos de pescado en una parcela de 6 m2. En contraste, Castañeda (2023) obtuvo un rendimiento notablemente superior (618.92 g por unidad de lechuga) con una dosis de 4.5 L ha-1 de biol de residuos de pescado aunque bajo condiciones experimentales distintas donde se consideraron distintos niveles de densidad de siembra y el uso de una variedad distinta de lechuga (Iceberg).

Figura 3 Modelo polinomial ajustado para la predicción del rendimiento unitario en función de la dosis. 

Si bien el hidrolizado de pescado mejoró significativamente el rendimiento del cultivo, su efecto siguió una relación polinómica en lugar de lineal. A medida que aumenta la dosis, se observa un incremento en el peso unitario de la lechuga crespa hasta alcanzar un punto óptimo, después del cual dosis superiores generan una respuesta decreciente. Esto puede explicarse por lo mencionado anteriormente: que la sobresaturación de nutrientes en el suelo se puede inducir desbalances en la absorción de elementos esenciales, competencia iónica, o incluso estrés osmótico en la rizosfera, afectando la eficiencia fisiológica de la planta. Este comportamiento es característico de fertilizantes y bioestimulantes aplicados en exceso, donde un punto de inflexión marca la transición entre el beneficio máximo y los efectos potencialmente negativos sobre el crecimiento, como se ha observado en cultivos de pimiento (Cobeña-Montes et al., 2022), pepinos (Tambo et al., 2023) y maíz (Ávila et al., 2021).

Efecto del hidrolizado de residuos de pescado en el rendimiento total de la lechuga crespa

El análisis de varianza (ANOVA) presentado en la Tabla 2 indica que no se encontraron diferencias estadísticamente significativas ni entre tratamientos ni entre bloques para el rendimiento total de la lechuga crespa (p > 0.05). Sin embargo, el coeficiente de variación (C.V. = 17.37 %) refleja una variabilidad aceptable, lo que sugiere consistencia en los datos experimentales.

Tabla 2 Análisis de varianza del rendimiento total (t ha-1) de la lechuga crespa. 

C.V.= 17.37 %

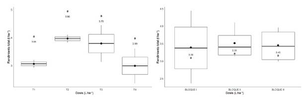
Aunque las diferencias no fueron estadísticamente significativas, en la Figura 4 se observa que el tratamiento T2 (400 L ha⁻¹) presentó el mayor rendimiento total, con un promedio de 3.96 t ha-1, seguido por T3 (600 L ha-1) con 3.79 t ha-1. Sin embargo, un aspecto relevante es la variabilidad de los datos dentro de cada tratamiento: el diagrama de caja y bigotes muestra que T2 tuvo una menor dispersión en comparación con T3, lo que sugiere una respuesta más estable del cultivo a la dosis.

Es importante aclarar que, si bien el tratamiento T3 mostró el mayor peso unitario promedio por planta, el rendimiento total por hectárea no depende únicamente del peso individual, sino también de la uniformidad de crecimiento de cada planta en cada parcela. En el caso del tratamiento T3, se puede mencionar que la mayor variabilidad en el peso de las plantas redujo el promedio general por área, lo que explicaría por qué el tratamiento T2 resultó en un mayor rendimiento total, pero sin diferenciarse significativamente de este. Esta situación es coherente a lo reportado por Jiménez- Tobón et al. (2023), quienes señalan que dosis elevadas de bioestimulantes pueden generar un crecimiento heterogéneo entre plantas, afectando negativamente el rendimiento global del cultivo.

Este comportamiento también puede estar influenciado por efectos de competencia intraespecífica, donde el mayor desarrollo vegetativo de algunas plantas pudo limitar el acceso a nutrientes para otras.

Además, factores como la capacidad de retención del suelo, disponibilidad efectiva de nutrientes y la densidad de siembra empleada (la cual fue constante en todos los tratamientos), pudieron haber condicionado la distribución homogénea de la biomasa de cada planta en las parcelas. Esta variabilidad también puede estar vinculada a los resultados obtenidos en el análisis de bloques, donde se observó un efecto significativo en el rendimiento unitario, lo que resalta la importancia de la estructura del terreno en la productividad del cultivo.

Figura 4 Diagrama de caja y bigotes del rendimiento total (t ha-1) de lechuga crespa en función al tratamiento según dosis de hidrolisis de pescado (L ha-1) y bloque. Nota: Las letras minúsculas indican diferencias significativas entre los tratamientos (dosis) según la prueba de comparación de medias aplicada Tukey (p < 0.05). Tratamientos con letras distintas presentan diferencias estadísticas entre sí. 

En cuanto a los bloques experimentales, se observó que los valores de rendimiento total oscilaron entre 3.38 y 3.51 t ha-1, con diferencias mínimas entre parcelas. Esto sugiere que, a pesar de haberse registrado variabilidad en el rendimiento unitario por bloque, la producción total por área se mantuvo relativamente estable. En conjunto, estos resultados refuerzan la idea de que el hidrolizado de pescado puede mejorar el desarrollo individual de las plantas; sin embargo, su efecto sobre la producción total depende de factores agronómicos adicionales, como podría ser la estructura del cultivo en campo.

Cabe destacar que se llevó a cabo un análisis de regresión para evaluar la relación entre la variable dependiente y los factores estudiados. Entre los modelos evaluados, la regresión polinomial presentó el mayor coeficiente de determinación (R2 = 0.56), lo que indicó una capacidad moderada para explicar la variabilidad en los datos. Al verificar los supuestos estadísticos del modelo, se encontró que los residuos seguían una distribución normal (W = 0.97, p = 0.88) y no se detectó heterocedasticidad significativa (BP = 5.71, p = 0.13), lo que indica que la varianza de los errores se mantiene relativamente constante. No obstante, se evidenció una correlación serial en los datos (DW = 3.21, p = 0.01), lo que sugiere que las observaciones no son completamente independientes. Esta autocorrelación puede atribuirse y afirmar que existen efectos espaciales dentro del ensayo, donde las condiciones ambientales y edáficas de una parcela pueden influir en el rendimiento de las parcelas adyacentes.

Análisis económico de la aplicación de hidrolizado de residuos de pescado

Desde una perspectiva económica, la aplicación de hidrolizado de residuos de pescado como bioestimulante se presenta como una opción rentable para los productores, especialmente cuando se comparan los costos con los de los fertilizantes sintéticos. En la Tabla 3 se presenta el cálculo del costo estimado del biofertilizante concentrado de hidrolizado de residuos de pescado (solución madre), multiplicado por su precio unitario de 3.50 soles por litro, y la cantidad requerida para preparar cada tratamiento.

Tabla 3 Costo estimado de la aplicación de hidrolizado de residuos de pescado por hectárea en función de las dosis aplicadas. 

Aunque el costo de los insumos aumenta con la dosis aplicada, los resultados de rendimiento muestran que el tratamiento T3 (600 L ha-1) alcanzó el mayor rendimiento unitario, con 300.26 g por planta, lo que se traduce en una mayor acumulación de biomasa en comparación con los demás tratamientos. Sin embargo, el rendimiento total por hectárea no mostró una mejora proporcional, lo que sugiere que, desde un enfoque económico, el tratamiento T2 (400 L ha-1), con un costo de 175 soles por hectárea, podría ofrecer una relación costo-beneficio más favorable al obtener un rendimiento total comparable al de T3, pero con un menor costo de insumo.

Este análisis destaca que, si bien el hidrolizado de residuos de pescado ofrece un beneficio en el rendimiento individual de las plantas, la decisión de la dosis óptima debe considerar tanto el costo de insumo como la producción total. El uso de este biofertilizante, en particular, también permite aprovechar los residuos orgánicos, reduciendo los costos en la adquisición de insumos sintéticos y favoreciendo un modelo de producción más sostenible y económico a largo plazo.

CONCLUSIONES

Los resultados de esta investigación demostraron que la aplicación de hidrolizado de residuos de pescado influye en el crecimiento del cultivo de lechuga crespa (Lactuca sativa variedad Green Span) en Tacna. Se evidenció que la dosis de 600 L ha-1 (T3) promovió el mayor peso unitario de la lechuga crespa, alcanzando un promedio de 300.26 g por unidad, diferenciándose significativamente de los demás tratamientos. Asimismo, la estimación del valor óptimo mediante análisis de regresión indicó que una dosis de aproximadamente 670.74 L ha-1 maximizaría el peso unitario, con un rendimiento proyectado de 306.61 g por planta de lechuga crespa. No obstante, el análisis del rendimiento total reveló que no hubo diferencias significativas entre tratamientos, lo que sugiere que el hidrolizado favorece el tamaño individual de las plantas, pero no necesariamente un incremento proporcional en la producción total por hectárea.

Adicionalmente, los análisis estadísticos mostraron que la relación entre la dosis de hidrolizado y el rendimiento unitario sigue un comportamiento polinomial, con un umbral a partir del cual, mayores aplicaciones no generan beneficios adicionales y pueden afectar negativamente la absorción de nutrientes. Además, la presencia de correlación serial en los datos sugiere que factores agronómicos pueden influir en la respuesta del cultivo, lo que resalta la importancia de estudios complementarios que evalúen la interacción del hidrolizado con la fertilidad del suelo y las condiciones agroclimáticas locales. En general, los hallazgos de este estudio contribuyen al conocimiento sobre el aprovechamiento de subproductos pesqueros como biofertilizantes sostenibles, promoviendo prácticas agrícolas más eficientes y ambientalmente responsables en la región de Tacna.

BIBLIOGRAFÍA

Aldana, S; Maquén, J. 2023. Efecto del Biol de residuos de pescado en el rendimiento y microorganismos rizosféricos de Vigna unguiculata L. Walp y Zea mays L. (en línea). Tesis pregrado. Lima, Perú, Universidad Nacional Pedro Ruiz Gallo. Disponible en https://repositorio.unprg.edu.pe/handle/20.500.12893/11 559Links ]

Ávila, A; Vargas, P; Mora, N. 2021. Influencia del bocashi como complemento de la fertilización nitrogenada en el cultivo del maíz (Zea mays) (en línea). SATHIRI 16(1):155-166. Disponible en https://doi.org/10.32645/13906925.1047Links ]

Bayona, L. 2022. Biol a partir de residuos de pescado y de estiércol vacuno en la mejora del suelo para la producción de lechuga (en línea). Tesis pregrado. Lima, Perú, Universidad César Vallejo. Disponible en https://repositorio.ucv.edu.pe/handle/20.500.12692/140340Links ]

Cando, S; Malca, L. 2016. Desarrollo de un abono orgánico líquido tipo biol usando un proceso anaerobio en bio- reactores simples (en línea). Manglar 13(1):35-40. Disponible en https://dialnet.unirioja.es/servlet/articulo?codigo=8104332Links ]

Castañeda, E. 2023. Fertilización ecológica de biol a base residuos pescado para mayor rendimiento de lechuga (Lactuca sativa L.), Barranca 2022 (en línea). Tesis de doctorado. Huacho, Perú, Universidad Nacional José Faustino Sánchez Carrión. Disponible en https://repositorio.unjfsc.edu.pe/handle/20.500.14067/7610Links ]

Chávez-Merino, I; Gutiérrez-Collao, J; Saldaña-Chafloque, C; Palomino-Santos, E; Chavarría-Márquez, E; Pantoja- Medina, B. 2024. Empleo de biol con desechos de pescado en el cultivo de Lactuca sativa en Huancavelica (en línea). Revista de Investigación e Innovación Agropecuaria y de Recursos Naturales 11(2):30-36. Disponible en https://doi.org/10.53287/iddb9973jm14nLinks ]

Chirito, C. 2024. Aprovechamiento de fertilizante a base de residuos de pescado para obtener mayor rendimiento ecológico de lechuga (Lactuca sativa L.), en Barranca, 2023 (en línea). Tesis pregrado. Huacho, Perú, Universidad Nacional José Faustino Sánchez Carrión. Disponible en https://repositorio.unjfsc.edu.pe/handle/20.500.14067/8812Links ]

Cobeña-Montes, Y; Torres-García, A; Héctor-Adisana, E; Fosado-Téllez, O; León-Aguilar, R. 2022. Efectos de bioestimulantes en las clorofilas y el número de hojas en el cultivo de pimiento (Capsicum annuum L.) en condiciones semiprotegidas (en línea). La Técnica (Ed. Especial):15-26. Disponible en https://doi.org/10.33936/la_tecnica.v0i0.4096Links ]

Delgado, E; Benavente, G; Cáceres, G. 2019. Elaboración de fertilizante orgánico a partir de vísceras de trucha (Oncorhynchus mikyss) y jurel (Trachurus murphyi), cuantificación y evaluación del efecto de los nutrimentos minerales (en línea). Anales Científicos 80(2):452. Disponible en https://doi.org/10.21704/ac.v80i2.1471Links ]

Domínguez, H; Iñarra, B; Labidi, J; Bald, C. 2024. Fish viscera hydrolysates and their use as biostimulants for plants as an approach towards a circular economy in Europe: A review (en línea). Sustainability 16(20):8779. Disponible en https://doi.org/10.3390/su16208779Links ]

Enciso-Garay, C; Santacruz, V; Burgos, R; Godoy, N; González, J; Ruiz, F; Caballero, C. 2020. Horticultura peri- urbana: Análisis productivo y económica de la producción sostenible de lechuga americana con enfoque de paquetes tecnológicos (en línea). San Lorenzo, Paraguay, Universidad Nacional de Asunción. (Resultados de investigación). Proyecto PINV15-152. Disponible en https://www.researchgate.net/publication/358463894Links ]

FAO. 2021. The State of Food and Agriculture 2021 (en línea). Roma, FAO. 182 p. Disponible en https://doi.org/10.4060/cb4476enLinks ]

Florez-Jalixto, M; Roldán-Acero, D; Omote-Sibina, JR; Molleda-Ordoñez, A. 2021. Biofertilizantes y bioestimulantes para uso agrícola y acuícola: Bioprocesos aplicados a subproductos orgánicos de la industria pesquera (en línea). Scientia Agropecuaria 12(4):635-651. Disponible en https://doi.org/10.17268/sci.agropecu.2021.067Links ]

Galarza, F; Díaz, J. 2015. Productividad total de factores en la agricultura peruana: estimación y determinantes (en línea). Economia 38(76):77-116. Disponible en https://doi.org/10.18800/economia.201502.003Links ]

Hilario, J; Reyes, J. 2024. Efecto de la aplicación del Biol a partir de residuos de pescado en el rendimiento del cultivo de la lechuga (Lactuca savita L.) - Carabayllo, Lima - 2022 (en línea). Tesis pregrado. Callao, Perú, Universidad Nacional del Callao. Disponible en https://repositorio.unac.edu.pe/handle/20.500.12952/9277Links ]

Hleap, J; Gutiérrez, C. 2017. Hidrolizados de pescado - producción, beneficios y nuevos avances en la industria.-Una revisión (en línea). Acta Agronómica 66(3):311-322. Disponible en https://doi.org/10.15446/acag.v66n3.52595Links ]

Jiménez-Tobón, D.; Vahos-Posada, D.; Galo-Molina, J.; Ríos- Osorio, L. 2023. Efecto del uso de biofertilizantes sobre la productividad agrícola: revisión sistemática (en línea). Hechos Microbiológicos 13(2):37-50. Disponible en https://doi.org/10.17533/udea.hm.v13n2a05Links ]

Lique, M. 2020. Evaluación de la producción de lechuga crespa (Lactuca sativa) con aplicación de dos niveles de estiércol de ovino en ambiente atemperado en la localidad de Patacamaya (en línea). Tesis pregrado. La Paz, Bolivia, Universidad Mayor de San Andrés. Disponible en https://repositorio.umsa.bo/xmlui/handle/123456789/25687Links ]

Madende, M; Hayes, M. 2020. Fish by-product use as biostimulants: An overview of the current state of the art, including relevant legislation and regulations within the EU and USA (en línea). Molecules 25(5):1122. Disponible en https://doi.org/10.3390/molecules25051122Links ]

Maquén-Perleche, J; Aldana-Carbonel, S; Muguerza, L; Sánchez-Purihuamán, M; Caro-Castro, J; Carreño- Farfán, C. 2023. Biofertilizer based on fish waste increases the yield of Vigna unguiculata L. Walp, Zea mays L., and the rhizospheric microbiota (en línea). Scientia Agropecuaria 14(4):529-538. Disponible en https://doi.org/10.17268/sci.agropecu.2023.044Links ]

Mejía, R; Gómez, L. 2020. Sostenibilidad de las unidades de producción del cultivo de kiwicha (Amaranthus caudatus) en las Provincias de Yungay - Huaylas Región - Ancash (en línea). Journal of Science and Research 5(1):64-74. Disponible en https://revistas.utb.edu.ec/index.php/sr/article/view/764Links ]

Monago, K; Barba, A; Velásquez, M. 2024. Influence of fruity Biol and Biofish on the vegetative development phase of lettuce Lactuca sativa L. in home garden conditions (en línea). In Proceedings of the 22nd LACCEI International Multi-Conference for Engineering, Education and Technology (LACCEI 2024): “Sustainable Engineering for a Diverse, Equitable, and Inclusive Future at the Service of Education, Research, and Industry for a Society 5.0.” San José, Costa Rica, Latin American and Caribbean Consortium of Engineering Institutions. Disponible en https://doi.org/10.18687/LACCEI2024.1.1.744Links ]

Nuzhyna, N; Raksha, N; Halenova, T; Vovk, T; Savchuk, O; Maievska, T; Maievskyi, K; Tonkha, O; Ostapchenko, L. 2024. Hidrolizados de peces como potenciales bioestimulantes para el cultivo de leguminosas y cereales para reducir el estrés térmico (en línea). The Open Agriculture Journal 18:e18743315337010. Disponible en https://doi.org/10.2174/0118743315337010240830071253Links ]

Osorio, V; Llerena, A. 2018. Producción y caracterización bioquímica de hidrolizado enzimático elaborado a partir de los residuos de la pesca (en línea). Alternativas 19(2):97-106. Disponible en https://editorial.ucsg.edu.ec/alternativas/alternativas/article/view/240Links ]

Penn, C; Camberato, J; Wiethorn, M. 2023. How much phosphorus uptake is required for achieving maximum maize grain yield? Part 1: Luxury Consumption and Implications for Yield (en línea). Agronomy 13(1):95. Disponible en https://doi.org/10.3390/agronomy13010095Links ]

Pino-Vargas, E; Montalvan-Díaz, I; Avendaño-Jihuallanga, C. 2019. La disponibilidad hídrica futura en los ecosistemas de zonas áridas en el Sur de Perú y Norte de Chile (en línea). Agroindustrial Science 9(2):173-178. Disponible en https://doi.org/10.17268/agroind.sci.2019.02.10Links ]

R Core Team (2024). Language and environment for statistical computing. R Foundation for Statistical Computing, Vienna, Austria. Disponible en https://www.R-project.orgLinks ]

Tambo, V; Romero, B; Merino, L; Arevalo, S. 2023. Evaluación del rendimiento de pepino bajo dos sistemas de fertilización en invernadero (en línea). RECIMUNDO 7(2):19-32. Disponible en https://doi.org/10.26820/recimundo/7.(2).jun.2023.19-32Links ]

Tayi, F; Metomo, FNNN; Essamlali, Y; Akil, A; Amadine, O; Aboulhrouz, S; Sair, S; Zahouily, M. 2025. Preparation and characterization of fish-derived protein hydrolysate and assessment of its effect on tomato and sorghum plants growth and productivity (en línea). Sustainable Chemistry and Pharmacy 43:101877. Disponible en https://doi.org/10.1016/j.scp.2024.101877Links ]

Tejada, J; Almanza, W; Tirado, L; Mamani, J; Apaza, J; Muñante, K. 2024. Evaluación comparativa del efecto de biofertilizantes sobre el rendimiento de dos variedades de vainita (Phaseolus vulgaris L.) (en línea). Revista de Investigación e Innovación Agropecuaria y de Recursos Naturales 11(2):57-64. Disponible en https://doi.org/10.53287/gexq9219ho10rLinks ]

Tumiri, E. 2019. Comportamiento productivo de cebada (Hordeum vulgare L.) en dos cortes con riego por aspersión con la aplicación de biol bovino en la estación experimental Choquenaira (en línea). Apthapi 5(1):1475-1495. Disponible en https://doi.org/10.53287/vgxg2053tx36gLinks ]

Vega, K. 2015. Elaboración de composta a partir de residuos de pescado, utilizando el método de pilas con aireación mecánica (en línea). Tesis de maestría. Guaymas, México, Centro de Investigación en Alimentación y Desarrollo, A. C. Disponible en http://ciad.repositorioinstitucional.mx/jspui/handle/1006/58Links ]

Zhang, J; Hedin, L; Li, M; Xu, L; Yan, P; Dai, G; He, N. 2022. Leaf N:P ratio does not predict productivity trends across natural terrestrial ecosystems (en línea). Ecology 103(11):e3789. Disponible en https://doi.org/10.1002/ecy.3789Links ]

Recibido: 27 de Febrero de 2025; Aprobado: 08 de Abril de 2025

Creative Commons License Este es un artículo publicado en acceso abierto bajo una licencia Creative Commons