INTRODUCCIÓN
Los principales fitófagos reportados en el mundo para el cultivo de limón son los pulgones donde se encuentra T. aurantii, A. floccosus, trips y P. citrella (León, 2012). Se conoce que la actividad de control de insectos plaga en el Ecuador es de aproximadamente el 15 % del costo de producción del cultivo limón (Valarezo et al., 2011). En el territorio ecuatoriano el problema se concentra en la diversidad de artrópodos plaga que afectan al limón tales como: P. citrella, A. floccosus, T. aurantii, pudiendo causar bajas en la producción hasta un 48 % (Cañarte et al., 2005). Según el Sistema de información Publica Agropecuaria en el Ecuador se produce mayoritariamente dos cítricos naranja y limón, de este último, en el país durante el año 2023 se registró 6 368 hectáreas, distribuidas, entre las provincias de Manabí (26.76 %), El Oro (26.08 %), Carchi (14.39 %), Pichincha (13.39 %), y el 19.37 % en el resto de provincias, con una producción anual de 28 107 toneladas al año, con un rendimiento promedio de 5.64 t ha-1 (INEC -ESPAC, 2024).
Beingolea desde el siglo XXI señaló a los cítricos como unidad ecobiológica que, en su desarrollo mantiene una fauna de invertebrados fitófagos, además de especies de microorganismos causantes de enfermedades sobre la fauna de insectos y las enfermedades patógenas, lo que ponen en manifiesto la importancia de esta diversidad de fauna en la agricultura sostenible (Srivastava et al., 2022). Bajo este contexto, en la actualidad, este concepto cada vez se ha reconocido por su eficacia en manejo integrado de plagas, cuyo objetivo es conservar los organismos benéficos además de minimizar el uso de pesticidas.
Las avispas parasitoides son un tipo de insecto parásito que pone huevos sobre o dentro de sus huéspedes, generalmente otros insectos o arañas, a diferencia de los parásitos, acaban matando a sus huéspedes y se alimentan de la hemolinfa y los tejidos durante su desarrollo (Gaelen et al., 2024). Según Valarezo et al. (2011) para el cultivo de limón en Portoviejo se han reportado la presencia de E. nigricephala y Eretmocerus sp. como parasitoides de A. floccosus. Además, en larvas y pupas de P. citrella se ha encontrado un parasitoide muy eficiente llamado A. citricola. Finalmente, dentro de individuos de T. aurantii se hallaron controladores biológicos identificados como Aphidius sp. y Diaretus sp.
El conocimiento de los procesos biológicos de insectos plaga y enemigos naturales representan una alternativa para el manejo adecuado de las plantaciones, ya que no provocan riesgos para el ambiente ni para la salud humana o animal. Por todos los antecedentes planteados, el objetivo de la investigación fue evaluar el parasitoidismo de los insectos plaga del limón sutil en dos zonas agroecológicas de Manabí, Ecuador.
MATERIALES Y MÉTODOS
Ubicación de la zona de estudio
La investigación se realizó en el periodo de agosto/2018 y julio/2019, en dos localidades del cantón Portoviejo una Colón (Longitud: O 80º24'47'', Latitud: S 1º6'47'') y otra Riochico (Longitud: O 80º24'59'', Latitud: S 0º59'42''), pertenecientes a la provincia de Manabí, Ecuador. La información meteorológica se la obtuvo de la estación de INAMHI en Portoviejo y estación de MAG en Lodana. Se evaluó las tres principales plagas del cultivo de limón: A. floccosus, T. aurantii, P. citrella con sus parasitoides en dos zonas agroecológicas durante 12 meses, una vez al mes.
Metodología
La presencia de parasitoides de P. citrella se estableció colectando en cada localidad y fecha 50 hojas en 10 árboles, se escogió al azar y zigzag del tercio medio e inferior de brotes desarrollados (15 a 20 cm), parte externa con larvas del III instar y cámaras pupales de P. citrella. Asimismo, se empleó la metodología de colecta y conservación de las muestras en el insectario recomendada por Núñez y Canales (1999) por medio de la cual las hojas se colocaron en bolsas plásticas transparentes, se distribuyeron 25 hojas por bolsa. Finalmente, las bolsas fueron infladas y cerradas con liga para ser colgadas en cordeles en el área más iluminada del insectario hasta la recuperación de parasitoides. Las evaluaciones de emergencia del minador o parasitoides, se realizaron diariamente durante 22 días debido al periodo del ciclo biológico estimado de los parasitoides y del minador para emerger en condiciones naturales. Las pupas de los parasitoides recuperados fueron confinadas en bandejas con algodón humedecido hasta la emergencia que fue entre los ocho y 22 días.
El parasitoidismo para A. floccosus y T. aurantii se estableció colectando en cada localidad y fecha 50 hojas en 10 árboles, se escogió al azar y zigzag del tercio medio, parte interna y externa de brotes desarrollados de 15 a 20 cm (Cañarte et al, 2005). Se tomaron muestras de brotes con presencia de mosca blanca y de áfidos en sus distintos estados de desarrollo, las cuales fueron llevadas a laboratorio y bajo el estereomicroscopio se contó el número total de estadíos del insecto plaga y parasitoides, las hojas que presentaron evidencia de parasitoides fueron colocadas en recipientes plásticos transparentes para continuar su desarrollo y obtener de esta manera adultos parasitoides. A partir de esta fecha se realizaron evaluaciones diarias hasta los 22 días posteriores. Para calcular el porcentaje de parasitoidismo, se aplicó la Ecuación 1 de Castaño (1996):
Una vez colectados los datos y levantada la información, se procedió a realizar el análisis estadístico inferencial, comparativo y correlacional, a través del software R 2017 V3.4.2. En estadística inferencial se realizaron análisis bivariantes para comparar la población de plagas y sus parasitoides por localidades de Colón y Riochico. Se verificó el supuesto de normalidad mediante las pruebas de Kolmogorov-Smirnov para el total de individuos de poblaciones de plagas y el porcentaje de parasitoides, estas variables presentaron normalidad por lo que se empleó la prueba t de muestras independientes para comparar entre las localidades. Se realizó análisis de correlación de Pearson para las poblaciones de plagas y sus parasitoides. La significancia estadística se estableció para p-valor<0.05.
RESULTADOS Y DISCUSIÓN
Condiciones agroclimáticas de las localidades
En la Tabla 1, se describen las características climáticas, estado fenológico y labores culturales del cultivo de limón. En cuanto al clima se notó que en el caso de la temperatura no presentan cambios en el mes de agosto hasta el mes de noviembre, mientras que, desde diciembre hasta abril sube en un grado centígrado a favor de las dos localidades en estudio; a partir de mayo hasta julio la temperatura desciende ligeramente. En cuanto a la humedad relativa (HR), desde agosto hasta marzo, se notó un incremento para las dos localidades. Con respecto a la precipitación desde agosto hasta noviembre, se observó una sequía notable, a partir del mes de diciembre se iniciaron las primeras lluvias y se incrementaron paulatinamente hasta el mes de abril, luego disminuyeron. En cuanto al estado fenológico del cultivo en las dos localidades, los estados del cultivo fueron en agosto estado vegetativo, desde septiembre a diciembre del mismo año se observó el de floración y desde enero se inicia el estado de fructificación hasta abril, en los meses de junio y julio se inicia nuevamente el estado vegetativo. Además, las labores culturales se realizaron periódicamente en ambas localidades, las mismas se efectuaron de acuerdo al estado fenológico de la planta; así se tiene que, en agosto se realizaron Riegos (R) y Control de plagas (CP) y desde los meses; septiembre hasta julio, además de las mencionadas, también se efectuaron las labores de Control de malezas (CM), Fertilización (F) y Cosecha (C).
Tabla 1 Características del clima, estado fenológico y labores culturales del cultivo de limón en las localidades de Riochico y Colón (Manabí, Ecuador: 08/2018 - 07/2019).

V=vegetativo, F=floración, FR=fructificación, CM=control de maleza, R=riego, CP=control de plagas, C=cosecha, Fer=fertilización, Po=poda.
En la Tabla 1 respecto al clima se pudo apreciar que para Riochico y Colón el periodo seco abarcó desde junio a noviembre. La información generada resultó valiosa para conocer dinámica poblacional de los principales insectos plaga y sus insectos parasitoides. Se identificaron en Toxoptera aurantii dos especies de parasitoides Aphidius sp. (Hymenoptera: Braconidae) y Diaretus sp. (Hymenoptera: Braconidae), en Phyllocnistis citrella a Ageniaspis citricola (Hymenoptera: Encyrtidae) y para Aleurotrixus floccosus se identificaron dos especies de parasitoides Encarsia nigricephala (Hymenoptera: Aphelinidae) y Eretmocerus sp. (Hymenoptera: Aphelinidae).
Aleurotrixus floccosus y sus parasitoides
En la Tabla 2, se muestran los resultados de individuos encontrados de A. floccosus en la localidad de Colón, donde el número fluctuó de 600-1 000 individuos entre agosto y octubre; en cambio en Riochico, se encontró un mayor número de ellos con valores que varían de 800-1 000 individuos entre noviembre - diciembre del mismo año; mientras que, entre los meses de enero a julio, el número de individuos disminuye significativamente. Además, durante los meses de agosto a diciembre para el parasitoide E. nigricephala, en Colón se encontró un parasitoidismo muy bajo con valores de 3 a 10 %; mientras en la localidad de Riochico, a partir del mes de enero el porcentaje se reduce a 1.5 % y se vuelve a incrementar durante los meses de febrero a mayo con valores de 13.9 a 23.6 % en su orden, pero disminuyen nuevamente a partir de junio y sube en el mes de julio, este evento se puede atribuir a la labores culturales realizadas en esa zona ya que en esa fecha se realizó una poda lo que se estima que influyo sobre el número de parasitoides.
Esto coincide con investigaciones donde indican que la poda además de ayudar a eliminar ramas enfermas o infestada, altera el microclima dentro del dosel lo que influye en la capacidad de supervivencia de las plagas y sus enemigos naturales (Matías et al., 2023; Villanueva y Childers, 2005).
También se señala que el parasitismo de Eretmocerus sp. en la localidad de Colón desde agosto hasta diciembre fue reducido fluctuando de 2.7 a 4.7 %, mientras que desde enero a febrero se incrementó con valores de 14.8 a 18.3 % respectivamente; mientras que, desde marzo a junio, desciende y finalmente en el mes de julio se incrementa. Esta variación de los parasitoides puede estar ligada a los cambios de humedad y temperatura de la zona lo podría haber provocado una alteración en la actividad del parasitoide. Caso similar se presenta en Riochico, este regulador biológico hace su presencia con una tasa de 11.2 % en agosto comienza a disminuir desde septiembre hasta diciembre, con valores que varían de 9.7 a 3 %, luego a partir de enero se vuelve a incrementar su presencia y paulatinamente va en aumento hasta caer en julio. Estas variaciones mayormente se pueden atribuir a las variaciones en los parámetros ambientales como temperatura y humedad relativa. Este hecho se ve respaldado con Miles et al. (2017) quienes en un estudio de variaciones climáticas y la interacción huésped-parasitoide indican que los cambios de los parámetros climáticos afectan la distribución, tiempos de emergencia los parasitoides, porcentaje de parasitismo y supervivencia teniendo una implicación sobre el ciclo de vida de los insectos e implicaciones sobre la estabilidad y consumidores en el control biológico.
Tabla 2 Fluctuación poblacional de Aleurotrixus floccosus (Af) y sus parasitoides Eretmocerus sp. (Er) y Encarsia nigricephala (En) en cultivo de limón, localidades de Colón y Riochico (Manabí, Ecuador: 08/2018 - 07/2019).
A nivel general A. floccosus presentó correlación significativa con E. nigricephala y Eretmocerus sp. donde los coeficientes fueron -0.707 y -0.618, es decir, existe una correlación lineal inversa entre A. floccosus y sus parasitoides, a medida que la población se incrementa el porcentaje de parasitoides disminuye. En ambas localidades se observó el mismo comportamiento sin embargo el coeficiente -0.706 fue mayor en la localidad Riochico. Estos resultados se contrastan con coeficientes positivos en estudios de fluctuación poblacional y parasitismo de Aleurothricus floccosus (Tello-Mercado y Zarzar-Maza, 2021). Este evento pudiera estar relacionado al manejo del cultivo debido a que son fincas con manejo convencional donde se realiza aplicación de plaguicida para el control de insectos y maleza, lo que podría haber repercutido en la eficiencia del parasitoide, debido a la disminución de individuos parasitoides. A su vez, la disminución de los parasitoides afectaría en la eficiencia de control de la plaga. Esto se sustenta en la idea de Carvallo et al. (2024) donde muestran un coeficiente negativo entre huésped y parasitoide, sugiriendo que, en niveles equivalente entre huésped y parasitoide, la actividad parasitoide muestra tener control más eficaz sobre las plagas. Por último, para la localidad de Colón, se observó correlación significativa entre los parasitoides E. nigricephala y Eretmocerus sp. donde el coeficiente fue 0.672 lo que indica correlación lineal directa entre los parasitoides, es decir, si se incrementa E. nigricephala también se incrementa Eretmocerus sp. (Figura 1). Este hecho pudiera estar asociado a que ambas especies coexisten positivamnete y suprimir eficazmente a su huésped en los cítricos. Esto se ve respaldado en la investigación de Abbasi et al. (2011) donde evalúan la interacción de Encarsia lutea y Eretomocerus near y demostraron que la tasa de parasitoidismo no se vio afectada significativamente.

Figura 1 Correlación entre población de Aleurothrixus floccosus (Af) y sus parasitoides Eretmocerus sp (Er) y Encarsia nigricephala (En).
En general se observaron que pocas especies sobresalieron por su capacidad de parasitar en las jurisdicciones estudiadas cumpliéndose con la premisa de la especificidad del parasitoidismo de que cada fitófago tiene su insecto que lo controla. El parasitoidismo correspondiente a Eretmocerus sp. perteneciente a Riochico y Colón, resultó inferior comparado a los promedios promedio de 56.8 y 65.8 % donde realizaron muestreo en patios y traspatios con menor actividad (Myartseva et al., 2012; Polaszek et al., 1992). Otra realidad ocurrió donde el nivel de parasitismo alcanzó 45.7 % en campos con mucha actividad humana, temperaturas tropicales y manejo técnico de diferentes cultivos, incluyendo aplicación de plaguicidas, características parecidas a la localidad de Riochico y donde se registraron promedios mensuales más elevados en comparación con el distrito de Colón (Myartseva y Evans, 2008). Por otro lado, también existe reportes donde alcanza niveles de parasitismo bajos similares a los de esta investigación, dejando en manifiesto la variabilidad de comportamiento este parasitoide (Tello-Mercado y Zarzar-Maza, 2021).
Por otro lado, el parasitoidismo promedio reportado E. nigricephala y E. cubensis ha sido superior al 60 % (Nell et al., 1976; Haseena et al., 2024), hecho que se contrapone con los reportado en esta investigación. La posible razón a esta situación podría ser que no se encontraron instares ninfales iniciales sino finales de A. floccosus, en los instares tempranos se han hallado parasitoidismo entre 24.5 y 37.4 % que se aproximaron medianamente a la estadística tabulada en los distritos de Colón y Riochico (Soto et al., 2001). Otro aspecto a resaltar fue la capacidad de sobrevivencia y desarrollo de E. nigricephala a temperaturas altas durante todo el ciclo. Sin embargo, otros aspectos como fecundidad, crecimiento de población pudieron ser afectado debido al bajo número de individuos de parasitoide por sitio, situación que se respaldada en la investigación de los efectos de la temperatura en el desarrollo de Encarsia acaudaleyrodis (Nooshin y Parviz, 2011).
Toxoptera aurantii y sus parasitoides
En la Tabla 3, se presentan el número de individuos de la plaga T. aurantii, durante el período de agosto a julio el cual se incrementó entre los meses de agosto a octubre en la localidad de Colón con valores de 459, 371 y 372 en su orden, pero el número disminuye en los meses de noviembre y diciembre del mismo año; mientras que en Riochico, la misma plaga se presentó con poblaciones bajas de 186, 147, 218 y 133 individuos entre los meses de agosto a noviembre pero en diciembre la disminución de la población es significativa. Estas fluctuaciones pueden ser explicadas por las precipitaciones, debido a que cuando se tuvo menores tasas de T. aurantii coincidió con las mayores precipitaciones, sugiriendo que estos fueron escurridos por las fuertes lluvias. Otro hecho se destaca en que las mayores tasas del insecto se registraron cuando el cultivo estuvo en estado vegetativo y floración. Esto se apoya en idea de Rodrigues et al. (2010) donde mencionan que la dinámica poblacional de T. citricida está influenciadas por la brotación de hojas.
También el parasitoide Aphidius sp. en la localidad de Colón, su tasa fue 10.5 % en agosto luego disminuyó en septiembre a 8.5 % y desciende su porcentaje en octubre con 3.4 %, pero se vuelve a incrementar en el mes de noviembre y diciembre; mientras en Riochico, presentó 7.8 % en agosto y se incrementa a 15.4 % en septiembre, pero desciende de manera notable en el mes de octubre y noviembre con valores de 4.4 y 3.6 %. Este comportamiento coincide con el siguiente patrón que cuando se registró niveles inferiores de parasitoidismo se registró los valores de mayor temperatura. Situación que fue analizada por Malina y Praslička (2008) donde indican que las tasas de desarrollo, longevidad y parasitismo se ven afectado por el aumento de temperaturas.
Además, sobre parasitoidismo Diaretus sp. se verificó que en Riochico su tasa registró en agosto 4.3 %, en octubre bajo a 1.2 %, durante diciembre subió a 6.4 % mientras que en Colón disminuyó a 5.1 %; en enero el parasitoide incrementó su tasa en Colón pero lo disminuye en Riochico; así mismo, en febrero y marzo incrementó sus valores de 5.3 a 8.8 % en Colón, pero en Riochico se observó una disminución con valores de 10.5 a 8 % en su orden y el parasitoide, finalmente desde abril a julio para ambas jurisdicciones se observaron tendencias similares.
Estadísticamente para la localidad de Riochico se observó correlación entre la población de T. aurantii y el parasitoide Diaretus sp. con p-valor <0.05, el coeficiente de correlación fue de -0.624, lo que indica correlación lineal inversa, es decir a medida que la población de T. aurantii se incrementa disminuye el porcentaje de Diaretus sp. (Figura 2). Este evento sugiere que la abundancia relativa de una especie hace más probable que la otra disminuya.
Tabla 3 Fluctuación poblacional de Toxoptera aurantii (Ta) y sus parasitoides Aphidius sp. (A) y Diaretus sp. (D) en cultivo de limón, localidades de Colón y Riochico (Manabí, Ecuador: 08/2018 - 07/2019).

Figura 2 Correlación entre población de Toxoptera aurantii (Ta) y sus parasitoides Aphidius sp. (A) y Diaretus sp. (D).
El parasitoidismo de Aphidius sp. registró porcentajes muy por debajo de ensayos donde en promedio alcanzaron 78 y 93 % (McClure y Frank, 2015). La posible razón a esta situación según Sampaio et al. (2008) podría ser que T. aurantii no es un fitófago favorito para Aphidius sp. Según Ode et al. (2005) las tasas altas de parasitoidismo se encuentran relacionadas con las poblaciones de insectos plaga, es decir a mayor presencia mayor parasitación, situación que no se cumplió totalmente tanto para la jurisdicción de Colón como Riochico, donde se reportó el áfido fitófago, pero no de una manera abundante. Van Driesche et al. (2008) estableció que la presencia de plantas hospedantes pertenecientes a la familia Brassicae aumentó los registros de Aphidius sp., hecho que se contrapuso a la ausencia de dicho taxón vegetal en los distritos analizados. A pesar que Diaretus sp. registró valores no tan halagadores como otras especies de parasitoides existen reportes según Flint (1985) que en Hawai en cultivos de lechuga orgánica se ha tenido éxito en control de especies fitófagos como Myzus persicae y T. aurantii.
Phyllocnistis citrella y sus parasitoides
En la Tabla 4, se verificó los resultados del número de individuos de la plaga P. citrella, así se puede observar que en Colón, la fluctuación de esta plaga es similar desde agosto hasta noviembre con valores de 32, 24, 26 y 21 individuos y tiene una leve disminución en diciembre con 19 individuos, pero desde enero vuelve a incrementar su número hasta julio; por su parte en Riochico la situación fue similar puesto que, la plaga desde agosto hasta diciembre presentó muy poca población de individuos entre 5 y 12, mientras que, de enero a julio su población se elevó con valores comprendidos entre 18 y 25 individuos. Esta fluctuación P. citrella destaca un patrón de comportamiento, siendo que cuanto el número de individuos fueron bajos en ambas localidades, hubo un registro de control de plagas, situación por la cual pudiera estar directamente relacionado este tipo de comportamiento durante las evaluaciones.
En la misma tabla se establecieron los resultados del porcentaje de parasitoide A. citrícola, al respecto, se puede mencionar que, en Colón, entre los meses de agosto a octubre el porcentaje de este parasitoide se mantuvo en 60 %; pero entre los meses de noviembre y diciembre del mismo año, su porcentaje se disminuye de 55.6 a 43.8 % en su orden; pero se nota que, en el año 2019, el parasitoide continúa disminuyendo hasta llegar al mes de abril, donde baja drásticamente hasta llegar al 20 % y aumenta un mínimo su porcentaje a partir de mayo hasta llegar a un valor de 50.9 % en el mes de julio. Referente a Riochico el comportamiento del mismo parasitoide, fue semejante, desde agosto pues inició con 0 % y se elevó significativamente a partir de septiembre con 57.9 % y se mantuvo el incremento hasta llegar a diciembre; mientras desde enero hasta marzo del mimo año, se mantiene el incremento, pero ya en el mes de abril, se ausenta nuevamente el parasitoide y vuelve hacer presencia a partir de mayo y se mantiene hasta julio con valores entre 28.6; 41.9 y 30.8 % respectivamente. Esta situación se puede asociar al caso anterior de la aplicación de insecticidas en el control químico de las plagas, además de la persistencia y su afectación después de su aplicación.
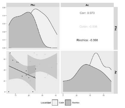
Además, no se observó correlación con significancia estadística entre P. citrella y su parasitoide A. citricola (Figura 3). Esto podría estar relacionado con el control de plagas realizado en las dos zonas agroecológicas, las mismas que se realizan mediante una cobertura total de las plantaciones con insecticidas, lo podría estar afectando significativamente en la población de los adultos durante las aplicaciones. Situación que se sustenta en la investigación donde determinan el efecto de cinco insecticidas sobre Ageniaspis citrícola donde mencionan que estos tienen efectos sobre la mortalidad de los parasitoides en bioensayos de laboratorio (De Morais et al., 2016).
Tabla 4 Fluctuación poblacional de Phyllocnistis citrella (Phc) y su parasitoide Ageniaspis citrícola (Ac) en cultivo de limón, localidades de Colón y Riochico (Manabí, Ecuador: 08/2018 - 07/2019).

Figura 3 Correlación entre población de Phyllocnistis citrella (Phc) y su parasitoide Ageniaspis citrícola (Ac).
El parasitoidismo correspondiente a A. citricola perteneciente a Riochico y Colón resultó superior comparado un promedio nacional de 28.42 % reportado por Cañarte et al. (2005). En ensayos en huertos se han reportado sin intervención de insecticidas se han obtenido valores hasta de 75.5 %, sin embargo, esta tasa puede caer con la aplicación de insecticidas hasta llegar a valores de 8.23 % (Cañarte- Bermúdez et al., 2020). Las barreras geográficas no impidieron que esta especie se disperse en varias partes del mundo y las jurisdicciones analizadas no fueron la excepción, hecho respaldado por Cañarte et al. (2005). El éxito de A. citricola como parasitoide de P. citrella, se puede explicar por ser ésta una especie poliembriónica, específica de este minador y gregaria, lo cual le confiere mayor eficacia frente a las especies generalistas nativas (Hoy y Nguyen, 1994), demostrando su gran competitividad. Mientras que otros parasitoides son desplazados, teniendo que sobrevivir utilizando hospedantes alternos de plantas cultivadas o malezas (Cañarte et al., 2005).
CONCLUSIONES
En este estudio, se encontraron tres especies plagas y cinco especies de parasitoides. Para Aleurotrixus floccosus se identificaron los parasitoides Encarsia nigricephala y Eretmocerus sp. El nivel de parasitoidismo de E. nigricephala fue mayor en la localidad de Colón y Eretmocerus sp. en Riochico. En el caso de Phyllocnistis citrella, se encontró el parasitoide Ageniaspis citrícola, en ambas localidades, las mismas que mostraron un comportamiento similar en cuanto a su nivel de parasitoidismo. Para Toxoptera aurantii se identificaron Aphidius sp. y Diaretus sp. Aphidius sp. estuvo en mayor proporción en ambas localidades.
En cultivos de cítricos bajo la influencia de actividades agrícolas convencionales (uso de agroquímicos) se pudo reportar niveles máximos de parasitoidismo para Aleurotrixus floccosus, Toxptorera aurantii y Phyllocnistis citrella fueron 30.7, 15.4 y 71.4 % respectivamente. Sin embargo, esto valores no fueron estable durante las diferentes fechas de muestreo en un año de evaluaciones, lo que se deja en manifiesto un punto de partida para nuevas investigaciones.















