INTRODUCCIÓN
La orientación productiva de la alpaca (Vicuna pacos, Linnaeus, 1758) está dirigida preferentemente a la producción de fibra de calidad para la industria y artesanía nacional. Fibra incluida en la categoría de finas y clasificada de lujo, se encuentra entre las mejores del mundo (DGPA, 2019).
La piel en las alpacas está estructurada por tres capas definidas, una de ellas, la dermis, es interna y bastante gruesa, compuesta principalmente de tejido conectivo y fibras de colágeno, en su lecho se encuentran los folículos pilosos (Bustinza, 2001), los mismos que son órganos diminutos que se encuentran en la piel de los mamíferos (Wuliji, 2018), encargados de germinar el crecimiento de la cubierta externa de fibras en muchos animales. Dos son los tipos de folículos que se desarrollan en la piel de alpacas: primarios y secundarios (Rogers, 2006), los que se desarrollan en períodos de tiempo secuencialmente diferentes durante el proceso de gestación (Yi, 1995), cada uno dotado de atribuciones funcionales diferentes. De acuerdo al contenido de pelos, se agrupan en folículos simples, aquellos que contienen un único tipo de pelo o fibra que emerge a la superficie, y los compuestos, los que están formados por varios folículos de diferente tipo cuyas fibras emergen de una abertura única sobre la superficie de la piel (Badajoz, 2007).
Los primarios son los primeros en formarse en Alpacas (Rogers, 2006), posteriormente aparecen dos folículos laterales al primer primario, a lo que se denomina como Trío folicular (Badajoz et al., 2009; Tapia, 1977), logrando formar su propio ducto piloso por el que salen las fibras (Yi, 1995). Al respecto, Torres et al. (2007) sostienen que, los complejos foliculares en alpacas, presentan un solo folículo primario por cada 3 a 13 folículos secundarios, congruentemente, Ferguson et al. (2012) revelan que el grupo de folículos en alpacas consiste de un solo primario rodeado por un número variable de folículos secundarios que no tienen su propio canal, por lo que, las fibras secundarias emergen vía el canal o conducto del folículo primario. Es necesario entonces, precisar que, todos los folículos secundarios manan de un ducto común, conjuntamente con las glándulas sebáceas; los pelos derivados de los folículos primarios sobresalen separadamente.
En este contexto, es necesario definir dos conceptos: Primero, Densidad de fibra, Cruz (2011), de referencias de investigación en alpacas, precisa como el “Número total de fibras pilosas (y/o pelos) que crecen en una unidad determinada de área de la piel de un animal”, Quispe y Quispe (2018), indican que “Es el número total de fibras (y/o pelos) que crecen en una unidad de área determinada de piel de un animal”; “está determinado por el número de conductos de donde emergen las fibras” (Quispe y Quispe, 2019). Bajo estas proposiciones, debemos concebir que, la densidad de fibra queda determinada como la cantidad total de fibras por unidad de superficie de piel; Segundo, Densidad de folículos, se refiere a la “sumas de folículos de folículos primarios más secundarios que se desarrollan en una determinada área de piel” (Carter y Clarke, 1957).
Las fibras de los folículos secundarios son más finas, es decir, de menor diámetro que los primarios, son más frecuentes y en mayor cantidad, determinan la calidad y densidad de fibra en el vellón de alpacas; implica que, la densidad folicular y densidad de fibra están relacionadas con la producción y calidad de fibras (Arana, 1972). La determinación de la magnitud de la relación de asociación entre densidad de conductos pilosos y densidad de fibra, permitirá utilizar solo una de las variables como criterio de selección genética en poblaciones de alpacas de manera eficiente con propósitos de mejora genética; con la facilidad que ofrece el uso de un procedimiento tecnológico semi automatizado no traumático. Por estas consideraciones es que se plantea el presente estudio, cuyo objetivo fue determinar un estadístico eficaz que mida efectivamente la relación asociación entre densidad de fibra y el número de conductos pilosos en piel de alpacas, a través de un análisis estadístico exhaustivo que otorgue validez a los resultados.
MATERIALES Y MÉTODOS
Ubicación de la zona de estudio
El estudio se realizó en el Centro de Desarrollo Alpaquero Toccra (CEDAT), del distrito de Yanque de la provincial Caylloma, departamento de Arequipa, Perú; a una altitud de 4 400 m s.n.m. entre las coordenadas de 71°28'24.6'' W (-71.473501) Longitud Oeste y 15°50'0.9'' S (-15.833584) de Latitud sur, con temperaturas que oscilan entre 15 y -20 ºC y una precipitación pluvial anual inferior a 350 mm (CEDAT, 2018). La Figura 1 visualiza el lugar y un panorama del medio ambiente, bretes y alpacas pertenecientes al Centro de Desarrollo Alpaquero Toccra.
Metodología
Para el efecto se utilizaron 344 alpacas de las razas Huacaya y Suri, de ambos sexos, de diferentes colores, agrupados por edad como: adultos, tuis y crías (Tabla 1).
Densidad de fibra y densidad de conductos pilosos
Se determinaron en concordancia a lo establecido por Quispe y Quispe (2019) quienes definieron secuencialmente cuatro pasos: i) preparación de la piel del animal, ii) captura amplificada de imágenes de piel y fibras en animal vivo; para el efecto se utilizó un área de 1 mm2, obteniendo las imágenes de forma manual. Las imágenes fueron capturadas mediante el Fiber-Den, logrando cinco imágenes por zona corporal, mediante el software Fiber-Den1. iii) Almacenamiento de imágenes en un software propietario, iv) procesamiento de imágenes y presentación de datos, para el efecto se utilizó un software especifico equipo (Fiber-Den2), el que permitió cuantificar el número de fibras por conducto en cada captura, y subsecuente determinación de estadísticos de tendencia central y dispersión de densidad de fibras mm-2, de manera similar para densidad de conductos mm-2.
La Figura 2 evidencia la preparación de áreas de trabajo en la zona del costillar medio de alpacas, con especificaciones pertinentes.
La Figura 3. muestra el procedimiento secuencial de la captura y almacenamiento de imágenes en áreas de trabajo preparadas y la consecuente cuantificación de las variables de estudio.
Estadístico de asociación
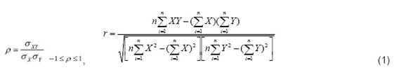
El Coeficiente Producto Momento de Pearson como parámetro y como estadístico fue obtenido respectivamente por la Ecuación 1 (Restrepo y Gonzales, 2007):
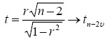
Significancia del Coeficiente de Correlación (r) de Pearson (CCP). Implicó la aplicación de la prueba de estadística de t para el CCP, bajo el supuesto de que ρ es el verdadero valor del CCP. El estadístico de recursos de estadísticos integrados al Excel, que contiene una multiplicidad de herramientas y funciones complementarias de análisis de datos que no proporciona Excel estándar, y que permite realizar
prueba la Ho: r = 0, basado en más fácilmente una amplia variedad de análisis estadísticos prácticos (Zaiontz, S/F). una aproximación a la distribución de t de Student, el cual es comparado con la distribución de t de Student con n-2 grados de libertad (Stephen, 2015). Operativamente, para la determinación del CCP y la significancia de los mismos en términos probabilísticos (p-value), se recurrió al software BioStat LE 7.6.1.
Absolución de supuestos para el análisis estadístico
Supuesto de normalidad bivarida. Se demostró que el vector aleatorio continuo: densidad de fibra y número de conductos, tiene una distribución normal bivariante (bidimencional); para el efecto, se recurrió al método propuesto por Mardia (1970), la que se basa en una extensión de los parámetros de asimetría y curtosis, haciendo uso del software Real Statistics, un paquete
Supuesto de homocedasticidad. Para absolver este supuesto se recurrió a la prueba propuesta por Levene (1960), prueba inferencial utilizada para evaluar homogeneidad de variancias para variables de dos o más grupos; prueba la Hipótesis nula (Ho): Todas las variancias son diferentes; operativamente, fue determinado a través del software estadístico SPSS 18.
Supuesto de linealidad. La relación estocástica lineal entre las variables densidad de fibra y número de folículos pilosos, fue evidenciada de una manera intuitiva a través de la figura de dispersión de puntos, que nos inducen a plasmar una percepción a cerca de la tendencia y la magnitud de su dispersión; para el efecto, se graficó un “plot” de ambas variables, con ayuda de la hoja electrónica Excel del Microsoft.
Potencia de la prueba, tamaño de efecto y tamaño de muestra óptimo
La potencia estadística fue determinada utilizando el software estadístico G*Power, programa estadístico diseñado para realizar estimaciones de la potencia estadística y el tamaño del efecto (Erdfelder et al., 1996; Faul et al., 2007). Procedimentalmente implica utilizar los aplicativos; Test, correlación y regresión, correlación bivariada; secuencialmente. El tipo de análisis fue definido como a posteriori (post hoc), que determina el poder la prueba alcanzada, dado un alfa (α), tamaño de muestra y tamaño del efecto, todo ello para una prueba bilateral.
Específicamente, la potencia de la prueba (1-β error prob), tamaño de efecto (d de Cohen) y el tamaño de muestra óptimo, fueron determinados suministrando información y parámetros requeridos, procedimentalmente se seleccionó: exact en familia de pruebas, en Pruebas Estadísticas se seleccionó: Correlation: Bivariate normal model; en tipo de poder de análisis, se seleccionó: Post hoc: Compute achieved power-given α, sample size, and effect size. En suministro de parámetros, se definió: Tails: two, correlation ρ H1: 0.778, α error de proba: 0.01, total sample size: 344. El tamaño óptimo de la muestra fue definido en función de la potencia de la prueba y el tamaño de la muestra utilizada para su determinación, siempre recurriendo al software estadístico G*Power.
RESULTADOS Y DISCUSIÓN
Definición, propiedades, aspectos y estadísticos de variables
La densidad de fibra, fue definida hace mucho tiempo atrás en estudios en ovinos (Mathews, 1951) refiriéndose a ello como el número total de fibras (y/o pelos) que crecen en una unidad definida de área de piel. Al respecto, Cruz (2011) indica que, en alpacas, está referida al número de fibras que existe por unidad de superficie del vellón (mm2), Quispe y Quispe (2019), haciendo referencia a otros investigadores, indican que la densidad de fibra (y/o pelos) es el número total de fibras (y/o pelos) que crecen en una unidad determinada de área de la piel de un animal, y está determinado por el número de conductos de la piel de donde emergen las fibras, el número es variable de 1 hasta 8. Bajo estas premisas asumimos concebir que, la densidad de fibra queda determinada por la cuenta de la cantidad total de fibras, haces y conductos (Quispe y Quispe, 2019) por unidad de superficie de piel.
Por otro lado, primarios y secundarios son los tipos de folículos que se desarrollan en la piel de alpacas (Rogers, 2006), los que se despliegan en períodos de tiempo secuencialmente diferentes durante el proceso de gestación (Yi, 1995) y se diferencian por su tamaño; se observa un reducido número de folículos primarios fuera de los complejos foliculares, cuyos diámetros oscilan entre 300-400 µm que forman pelos gigantes primarios, otros dentro de los nidos, con un diámetro menor de 300 - 350 µm, el resto corresponden a folículos secundarios con diámetros entre 200 - 250 µm y son los que forman la fibra de alpaca (Torres et al., 2007).
En piel de alpacas, los folículos primarios son los primeros en aparecer (Rogers, 2006), posteriormente surgen dos folículos laterales al primer primario, denominado como Trío folicular (Tapia, 1977), logrando formar su propio conducto piloso por donde emerge la fibra. Ferguson et al. (2012) precisan que el grupo de folículos en alpacas consiste en un solo folículo primario rodeado por un número variable de folículos secundarios, Torres et al. (2007) sostienen que, los complejos foliculares en alpaca, presentan un folículo primario por cada 3-13 folículos secundarios, presentan glándula sudorípara, rodeados por tejido conectivo denso; estos empiezan a formarse a partir de los 187 días de gestación y la mayoría de ellos empiezan a producir fibra a los 343 días de gestación (Yi, 1995); a los 264 días de gestación se observa que el folículo secundario no tiene su propio canal, las fibras secundarias emergen vía el conducto del folículo primario. Consecuentemente, se tiene como premisa que la de densidad folicular es el número de folículos existentes en una unidad de superficie, expresada en unidades por mm2 de piel (Tapia, 1977; Gamarra, 2008).
Empero el procedimiento metodológico para determinar la densidad folicular total (foll mm-2), hasta no hace mucho tiempo atrás, fue utilizar el protocolo de la técnica del método histológico (McCloghry, 1997), la que básicamente refiere que, con un punzón circular de diámetro definido, se toma una biopsia de piel de la región correspondiente a muestras de vellón, la misma que es conservada, procesada y tratada posteriormente para lectura histológica.
La Tabla 2, presenta parámetros de tendencia central y dispersión para las características: densidad de fibra y número de conductos pilosos en piel de alpacas.
Tabla 2 Parámetros de tendencia central y dispersión para la densidad de fibra y número de conductos pilosos en piel de alpacas.
Un aspecto necesario de poner de manifiesto es la elevada variabilidad de ambas variables, traducida en la elevada magnitud de la desviación estándar respecto de su media aritmética, corroborada por sus valores extremos.
Densidad de fibra
En camélidos sudamericanos es muy exigua la información científica que determina e informa objetivamente la densidad de fibras por la carencia de técnicas especificas con este propósito; tradicionalmente estuvo relacionado con la densidad del vellón (Arana, 1972), así mismo, existen reportes sobre densidad de fibra que refieren una estrecha relación con la densidad folicular y la densidad del vellón (Gamarra, 2008). Aun actualmente, ante la imposibilidad de cuantificar la densidad de fibra, cuando se evalúa o juzga alpacas, una manera subjetiva de estimar la densidad es palpando porciones del vellón y cuando se abren las partes que se examinan es posible ver la cantidad de piel expuesta: a menos piel expuesta, mayor densidad (Franco et al., 2009).
Son relativamente similares los resultados obtenidos por otros investigadores, respecto del presente (24.75± 5.48 f mm-2); así Quispe y Quispe (2018) utilizando el mismo tipo de equipo, reporta una media para la densidad de fibra en alpacas de 23.60 ± 3.46 f mm-2; sin embargo, un año después Quispe y Quispe (2019) haciendo referencia al mismo equipo que aborda un procedimiento no invasivo, determinan una media de 19.40 ± 5.98 f mm-2, por su lado, Centeno (2020) para el mismo carácter reporta valores de 22.15 ± 4.27 y 24.06 ± 4.47 f mm-2, en alpacas crías y adultas, respectivamente. Por su parte, Ccalta (2020) en un estudio sobre 40 alpacas de la raza Huacaya, encuentra una media para la densidad de fibra de 29.49 ± 5.80 f mm-2 siendo este último mayor a los encontrados en el estudio. Varias podrían ser las explicaciones de este comportamiento diferente, en primera instancia estarían las poblaciones de procedencia, el tipo de manejo selectivo al que fueron sometidos, edad de las alpacas, entre otras, fundamentalmente.
Densidad folicular
Varios son los reportes de investigación de esta determinación, así Apaza et al. (1998) refieren que el número medio de folículos secundarios fue de 20.80 ±1.08 foll mm-2 de piel de alpacas, puntualizan un mayor número de folículos secundarios en alpacas de dos años de edad, siendo menor en alpacas de cinco años, con diferencias no significativas; el número medio de folículos primarios fue de 2.71 ± 0.10 foll mm-2, no evidenciando deferencias por el efecto de la edad; resultados similares fueron ofrecidos por Crossley et al. (2014) que refieren que en alpacas Huacaya de color blanco, la media total del número de folículos fue de 21.97 ± 6.37 foll mm-2 y en alpacas de color de 21.56 ± 7.25 foll mm-2, demostrando una diferencia estadísticamente significativa entre grupos de edad. De manera similar, Vélez et al. (2016) refieren que la media ± E.E. para la densidad folicular total en alpacas con fibra fina fue de 21.76 ± 1.92 foll mm-2 y para las con fibra gruesa fue de 18.65 ± 3.77 foll mm-2. Tumi (2017) hace referencia que el número medio de folículos por mm2 en alpacas de la raza Huacaya fue de 20.98 foll mm-2, y para las de la raza Suri de 20.17 foll mm-2, evidenciando de que existe diferencias significantes entre edades hasta los diez primeros meses de vida de las alpacas.
Sin embargo, existen referencias científicas con valores relativamente más discrepantes, así Antonini, (2010), manifiesta que el número medio de folículos primarios para alpacas de la raza Huacaya, por edad en meses fue de 26.74 foll mm-2 (2 meses), 18.27 foll mm-2 (4 meses), 18.66 foll mm-2 (6 meses) y 22.30 foll mm-2 (10 meses); para los folículos secundarios fue de 7.53, 9.35; 8.81 y 8.68 foll mm-2, para los mismos meses correspondientes. Ferguson et al. (2012) en 12 alpacas Huacaya y veinticuatro de la raza Suri, encontraron que la media ± E.E. para la densidad de folículos secundarios fue de 13.7 ± 1.2 y 17.5 ± 0.6 foll mm-2 para Huacaya y Suri, respectivamente, y la media ± E.E. para la densidad de folículos primarios fue de 3.1 ± 0.3 y 2.7 ± 0.1 foll mm-2 para Huacaya y Suri, respectivamente. Por su lado Oruna (2017) utilizando un método de recuento diferente a los anteriores indica que el número medio de folículos secundarios en crías de alpacas fue de 32.4 ± 8.8 foll mm-2 y para los primarios indica de 10.7 ± 5.9 foll mm-2 de piel. En este último grupo de referencias, se asume efectos de tiempo, de raza y procedimiento metodológico de determinación, que las hacen discrepantes al primer grupo de referencias.
No obstante, ambos grupos de referentes científicos anteriormente citados, son dramáticamente diferentes a los resultados encontrados en el presente estudio para la característica (7.83 ± 2.17 foll mm-2) dado que, para la cuantificación de la variable se utilizó el Equipo Fiber-Den y accesorios pertinentes. Al respecto, utilizando el mismo procedimiento de cuantificación del número de conductos pilosos, Quispe y Quispe (2019) determinan que la media para el número de conductos pilosos en alpacas fue de 8.20 ± 2.25 foll mm-2; los mismos investigadores Quispe y Quispe (2018) determinan para la misma característica una media y D.E. de 10.50 ± 1.55 foll mm-2; Centeno (2020) encontró valores de densidad folicular de 8.40 ± 1.78 y 8.22 ± 1.60 foll mm-2 de piel.
Es manifiesto que, este último grupo de resultados es muy diferente a los grupos anteriores citados, la razón fundamental es atribuible al efecto del procedimiento metódico utilizado en ambos tipos de abordaje, para la misma y raza de alpacas. Este contexto conlleva a precisar que no es razonable aceptar exagerada diferencia para un mismo carácter biológico en una misma especie animal, más aún de una misma raza, cuantificados por dos procedimientos metódicos para su determinación. Los resultados conllevan a plantear la pregunta ¿Cuál de estos procedimientos refleja el verdadero comportamiento de este carácter, que permita determinar parámetros de relación ciertos?
Coeficiente de Producto momento de Pearson (rp)
La Tabla 3, muestra el valor del Coeficiente de Correlación de Pearson (0.7784) el mismo que es positivo; según Mondragón (2014) su magnitud es calificada considerable. La significancia del Coeficiente de Correlación de Pearson (p = 0.0000), implica que, la relación de asociación entre densidad de fibra y número de conductos pilosos es estadísticamente altamente significante.
Absolución de supuestos para el análisis estadístico
Supuesto de normalidad bivariada
Los valores de los coeficientes de asimetría y curtosis, que prueban normalidad bivariada del vector aleatorio continuo: densidad de fibra y número de conductos, certifican que tiene una distribución normal bivariante (bidimensional), dado que los valores de los coeficientes de asimetría y curtosis que prueban normalidad bivariada. fueron: coeficiente de asimetría (0.703588), valor del estadístico de prueba (40.33007) y p-valúe (0.0000); coeficiente de curtosis (8.67811), valor del estadístico de prueba (1.572136) y p-valúe (0.0000), respectivamente. Para el efecto, se recurrió al método propuesto por Mardia (1970), la misma que se sustenta en una extensión de los parámetros de asimetría y curtosis combinada; haciendo uso del software Real Statistics, un paquete de recursos estadísticos que contiene una variedad de funciones complementarias y herramientas de análisis de datos que no proporciona Excel estándar. No se dispone de referencias de investigación científica que aborden este tópico en esta temática, que posibilite comparaciones o discrepancias en este aspecto.
Supuesto de homocedasticidad
El estadístico de Levene basado en la media, tuvo un valor de 173.37 para 1 y 686 grados de libertad, cuya Sig. Fue igual a 0.0000; de lo que se infiere que las variables en estudio tuvieron variancias homogéneas. De manera similar, no se dispone de referencias de investigación científica que acometan este tópico en esta temática, que posibilite contrastes en este aspecto.
Linealidad de variables
Es necesario precisar que el Coeficiente de Correlación de Pearson es una medida que implica necesariamente relación de asociación lineal entre dos variables; sin embargo, no excluye la posibilidad de que exista otra forma de correlación no lineal (Hernández et al., 2018). La distribución de puntos de las intersecciones entre medias del número de conductos y medias de densidad de fibra (Figura 4), orienta una tendencia ascendente, empero, estos no se ajustan exactamente a una función lineal, por lo que el ajuste puede ser considerado como moderado. Se infiere de manera intuitiva que la relación estocástica de las variables del estudio es aproximadamente lineal.

Figura 4 Dispersión de puntos de las intersecciones entre medias del número de conductos y las medias de densidad de fibra por muestra en piel de alpacas.
La relación de asociación lineal entre densidad de fibra y número de conductos fue de rp = 0.7784, valor que tiene varias implicancias, desde el punto de vista de la magnitud, este indica que existe una relación estocástica muy próxima a la función lineal, clasificado como muy fuerte. Este coeficiente implícitamente está precedido de un símbolo positivo (+), la que se interpreta como una correlación positiva, implica que a mayor densidad de fibra le corresponde mayor número de conductos.
Es importante precisar que, el valor absoluto del Coeficiente de Correlación de Pearson, rp, es un tamaño del efecto que resume la fuerza de la relación entre variables, permite una apreciación más directa de la magnitud de asociación de los fenómenos en estudio y ofrece una interpretación más adecuada de los resultados (Ledesma et al., 2008). No representa la pendiente de la línea de mejor ajuste, por lo que un coeficiente de 0.7784 no implica que por cada unidad promedio de aumento en el carácter densidad de fibra le corresponda en promedio 0.7784 unidades de aumento en la variable densidad folicular, simplemente expresa que no hay variación entre los puntos de datos y la línea de mejor ajuste. Es también necesario indicar que, el Producto-momento de Pearson, en este caso, no tiene en cuenta si una variable fue clasificada como variable dependiente o independiente.
La liberación de los supuestos para el análisis estadístico viabiliza que el Coeficiente Producto Momento de Pearson, es el estadístico más adecuado para determinar la relación de asociación entre las variables implícitas en el presente estudio.
La única referencia científica reportada a cerca de este parámetro para las características indicadas fue la ofrecida por Centeno (2020) quien indica un valor de rp = 0.61, un valor mucho menor que el obtenido en presente estudio, a pesar de tratarse de la misma especie animal, el mismo proceso metodológico, diferencia que se asume sea consecuencia del azar, dada la gran variabilidad fenotípica de los caracteres en consideración.
Significancia de rp
En términos estadísticos, la significancia del Coeficiente de Correlación de Pearson, no es otra cosa que la probabilidad de que el coeficiente proceda de una población cuyo valor sea de cero. En la Tabla 3, se aprecia: p-value (2-tailed) = 0.00000, que representa la significancia del Coeficiente de Correlación de Pearson para los caracteres en cuestión, nos permite afirmar con absoluta seguridad de que rp es diferente de cero (0) a un nivel de α = 0.01 y que esta condición no se debe al azar. Sin embargo, es necesario precisar que una correlación de magnitud grande es efectiva, si es significante y puede afirmarse que es diferente de cero; no obstante, una correlación significativa no necesariamente puede corresponder a un coeficiente de correlación cuya magnitud sea grande.
Poder de la prueba
Con la información requerida se determinó el Poder de la prueba (1-β error prob), la que resultó igual a 1.000 ó 100 %, tal como se evidencia en la Figura 5. Para la interpretación de este resultado, previamente fue necesario el planteamiento de la Hipótesis nula (Ho) que prueba: “No existe relación de asociación altamente significante entre la densidad de fibra y conductos pilosos en alpacas”; implica que la decisión de rechazar la Ho, que es falsa, tiene la seguridad en un 100 % de ser una decisión correcta.
Tamaño del efecto (r2)
La correlación r desarrollada por K. Pearson, es el estadístico más utilizado para determinar este parámetro, indica qué tan significativa es la relación entre variables, r2 involucra la importancia práctica de un resultado de investigación. Para el efecto, r2 = 0.59545 (Figura 6), según Cohen (1988, 1992), este valor denota un tamaño del efecto grande, dado que supera a 0.5.
El tamaño del efecto determinado en el presente estudio fue de r2 = 0.5954, según Cohen (1992) es clasificado como un tamaño de efecto Grande, dado que cuanto mayor es el tamaño del efecto, más fuerte será la relación entre dos variables. El valor se interpreta como que 59.54 % de la densidad de fibra es debido a número de conductos pilosos, o más específicamente, que los caracteres densidad de fibra y número de conductos pilosos comparten un 59.54 % de elementos, o tanto la densidad de fibra y el número de conductos comparten condiciones comunes en este porcentaje en piel de alpacas.
El tamaño del efecto es una medida cuantitativa de la magnitud del efecto experimental, para caracteres correlacionados, este se determina por el Coeficiente de Correlación de Pearson (rp) (Castillo, 2014), sin embargo, el tamaño del efecto se sustenta en la correlación efectiva entre variables, la relación mínima se define en términos de variancia explicada, por la que necesariamente debe ser expresada en términos de r2.
El cálculo del tamaño del efecto es un análisis complementario de las pruebas de significación, indican cuánto de la variable dependiente puede explicar, predecir o controlar la variable independiente (Cárdenas y Arancibia, 2014); cuando se usan correctamente, son ayudas importantes para los investigadores que no desean confiar en pruebas de significancia estadística en la interpretación de resultados sustantivos (Castillo, 2014).
Tamaño de muestra
Recurriendo al software estadístico G*Power (Faul et al., 2007) y suministrándole la información pertinente de un r de Pearson de 0.7784, la probabilidad de cometer un Error de tipo I de α = 0.01 y el poder de prueba de (1-β) = 0.999, se determinó que el tamaño de muestra suficiente es de n = 25, resultados que se muestran en la Figura 7. En el trabajo se consideró un número de 344 pares de datos, los que son más que suficiente.
Es habitual trabajar, 1− α, o riesgo de no cometer un error de tipo I. Generalmente se trabaja con una seguridad del 95% (α = 0.05), además tomar β = 0.2 o, equivalentemente, un poder estadístico del 80 %. Se debe precisar además que el contraste de hipótesis debe implementarse con un planteamiento bilateral (el r calculado es diferente de cero). Si se dispone de los datos anteriores, el cálculo del tamaño muestral se ejecuta con un planteamiento bilateral, necesariamente.
CONCLUSIONES
El Coeficiente de Correlación de Pearson (r) es el estadístico adecuado para determinar la relación de asociación de las variables densidad de fibra y número de Conductos pilosos en piel de alpacas, cuyos resultados fueron: r = 0.778, cuya significancia fue de p-valúe = 0.00000; es positivo, alto y altamente significante.
El poder de la prueba estadística encontrado fue de 1.00000 ó 100.00 %. La Potencia estadística fue de 0.99058. El tamaño del efecto fue de 0.5954531. El tamaño de muestra optimo requerido fue de 25 individuos, definido este para un α = 0.05 y un β = 0.99.
Por la gran variabilidad fenotípica que presentan los caracteres en estudio, con un alto valor del coeficiente de correlación de Pearson, uno de los caracteres en estudio puede definirse como criterio de selección genética a temprana edad en alpacas.























