INTRODUCCIÓN
La papa (Solanum tuberosum L.) es uno de los cultivos comerciales de mayor importancia en el mundo, en términos de producción y consumo (Jovovic et al., 2016; FAO, 2009), es el principal alimento de origen no cereal más importante para la población humana, y la tercera especie de mayor importancia luego de arroz y trigo (FAO-BID, 2007); su distribución en América va desde el suroccidente de los Estados Unidos hasta el sur de Chile. El tubérculo data de hace más de 10 000 años, tiene su centro de origen en la zona andina de Perú y Bolivia, la altura óptima para el cultivo está entre 2 500 y 3 000 m s.n.m. Es un cultivo comercial, industrial y de seguridad alimentaria, estratégico para los agricultores de bajos ingresos y consumidores vulnerables en momentos de inestabilidad e incertidumbre en el mercado mundial de alimentos (FAO, 2007), en los últimos años, ha crecido significativamente el consumo de papa procesada prefreída y congelada, lo cual ha impulsado su producción (MADR, 2022).
En Colombia es el tubérculo más sembrado, cerca del 90 % de área sembrada se concentra en cuatro departamentos, Cundinamarca 36 %, Boyacá 27 %, Nariño 21 % y Antioquia 5 % (MADR, 2022). En 2021 el área sembrada ascendió a 125 426 ha con un rendimiento de 20.9 ton ha-1 se calculan que unas 100 mil familias se dedican a este cultivo, en 13 departamentos (AGRONET, 2022). Para el 2021, se registraron en Nariño, 25 789 ha sembradas (MADR, 2022). Las variedades más sembradas en el país son Suprema Pastusa, Diacol Capiro o R12, ICA Única, Criolla, Suprema, Parda Pastusa, Tuquerreña e Ica Puracé (MADR, 2019).
Es un cultivo propio de esquemas de economía campesina, el 95 % de los agricultores cultivan el 45 % de la producción nacional y siembran menos de 3 ha en promedio (MADR, 2019). Predomina el uso de tecnología tradicional en cerca del 90 % de los predios, mientras que en el 10 % se implementan tecnologías más avanzadas (FEDEPAPA, 2022).
La papa es considerada un cultivo vulnerable a los efectos de cambio climático (Chong et al., 2021; Marmolejo y Ruiz, 2018) principalmente a periodos de calor o frío, sequía e inundaciones (Baljeet et al., 2020). Entre las estrategias de adaptación propuestas por el IPCC (2007) para el cultivo de papa, se han evaluado medidas como el uso de materiales mejorados con resistencia a estrés biótico y abiótico (Pradel, et al., 2019), el rescate de variedades nativas resistentes y con ciclos cortos (Bustillos et al., 2018; Marmolejo y Ruiz, 2018), el manejo integrado de cultivos, la reprogramación de siembras y cosechas (Zohrab et al., 2018), el manejo y conservación del suelo, el uso eficiente del agua y los sistemas de riego (Rojas, 2011; Yactayo et al., 2013).
En algunas zonas, el cultivo se percibe como una amenaza para los ecosistemas de páramos superiores a los 3 000 m s.n.m. (Gomez y Ramirez, 2015; Casabuenas y Estupiñan, 2007), puesto que la ampliación de la frontera agrícola en busca de mejores condiciones fitosanitarias y de menores precios de la tierra, genera conflictos de uso en suelos de vocación para la conservación y en transición (Julio et al., 2018; UPRA, 2016), especialmente para la acumulación y generación de corrientes de agua.
En Nariño se produce entre 2 600 y 3 400 m s.n.m., en suelos ácidos derivados de ceniza volcánica de diferente profundidad y fertilidad, limitada por alta fijación de fósforo (UPRA, 2016). En el municipio de Yacuanquer, el 80 % de los productores de papa poseen lotes muy pequeños, menores a una hectárea y el 20 % de los productores tienen lotes pequeños, entre 1.1 y 2.0 ha cultivados en papa; estas pequeñas áreas se deben a las limitantes que tiene que enfrentar el agricultor como los eventos climáticos extremos (sequías, lluvias y heladas), o a los problemas de precios y comercialización entre otros (Gomez et al., 2016).
Según la percepción local, en los últimos 10 años el 32 % de los productores fue afectado por periodos de sequías, el 30 % vio afectado sus cultivos por las heladas, en tanto que el 16 % fue afectado por lluvias, el 7 % por inundaciones, 7 % por deslizamientos, el 4 % por encharcamientos y el 3 % por otros eventos. El déficit hídrico es la principal limitante, ya que los largos periodos secos y sin disponibilidad de riego afectan el desarrollo del cultivo, favorecen el ataque de plagas como la polilla guatemalteca (Tecia solanivora) y disminuyen los rendimientos (Gomez et al., 2016).
La tipificación de productores es una herramienta que permite delimitar y especificar las estrategias para contrarrestar los problemas asociados al cambio climático (Hammond et al., 2020), toda vez que permite particularizar las recomendaciones tecnológicas de acuerdo con las condiciones y recursos disponibles para responder ante una eventualidad climática (Orduño et al., 2020). Se logra identificar los diferentes tipos de productores aplicando métodos de agrupamiento a una muestra representativa de los productores que se quieren analizar, estos métodos dependen del tipo de variables y características que pueden ser cualitativas o cuantitativas. También se ha empleado el método Clúster Jerárquico por Componentes Principales (HCPC) para maximizar la homogeneidad intra- grupos y la heterogeneidad entre grupos de agricultores con diversas características en diferentes regiones (Shukla et al., 2019).
Por otro lado, diversos trabajos evalúan este impacto haciendo uso de herramientas de modelación matemática, autores como Wineman y Crawford (2017) determinan el impacto del cambio climático en hogares agrícolas empleando técnicas como la programación lineal, la cual genera un modelo de optimización que busca maximizar la producción de calorías sujeto a limitaciones de recursos del hogar.
Los modelos de programación lineal son ampliamente utilizados en la resolución de problemas de optimización como apoyo a la toma de decisiones en diversos campos. En el sector agropecuario se han propuesto modelos de este tipo para optimizar el uso de la tierra bajo restricciones que varían acorde a condiciones propias de cada problema. Se han desarrollado modelos de programación lineal entera mixta para un problema de selección de cultivos optimizando el uso de la tierra, donde la función objetivo maximiza el beneficio esperado del productor y considera restricciones por disponibilidad de maquinaria y de calendario para las etapas de los cultivos (Filippi et al., 2017); otros autores (Haneveld y Stegeman, 2005) hacen uso de esta herramienta de optimización para planear la producción agrícola, por ejemplo, emplean modelos de programación lineal para planear la producción con diferentes cultivos e incluyen restricciones para la sucesión de los cultivos.
En este trabajo, se desarrolló un modelo de programación lineal entera mixta para optimizar el uso de los recursos en el sistema productivo de papa en trópico alto, que evalúa tecnologías con costos y rendimientos que pueden ser diferentes para productores con condiciones económicas distintas. El modelo propuesto además de maximizar el beneficio del sistema productivo involucra la adaptación al cambio y la variabilidad climática, dado que las opciones tecnológicas que se consideran en la modelación responden a esta necesidad.
Estos modelos se desarrollan con base en las restricciones determinadas por los diferentes tipos de productores en relación a los recursos disponibles y necesarios para el desarrollo de la actividad económica. Las tecnologías priorizadas por los productores y asistentes técnicos locales para responder a las limitantes del cultivo fueron: la incorporación de abonos orgánicos o fertilización orgánica y uso de semilla certificada. El uso de abonos orgánicos busca aumentar o mantener el contenido nutricional del cultivo, especialmente la materia orgánica, que favorezca la humedad en el suelo y la conservación de la microfauna en equilibrio, lo que puede reducir el impacto de plagas y enfermedades (Bolaños et al, 2016). Por su parte, el uso de semilla mejorada busca incrementar la resiliencia del cultivo a eventos de sequía o déficit hídrico, así como mejorar la calidad de la papa producida en la región, dado que, a pesar de contar con un abanico de variedades de papa, se manifiesta cierto desconocimiento sobre el uso de material de calidad, certificado y acorde a las condiciones agroecológicas de la zona (Bolaños et al., 2016).
El objetivo del estudio fue evaluar mediante un modelo microeconómico de programación lineal, la implementación de dos tecnologías (uso de semilla certificada y de fertilización orgánica) conducentes a reducir el riesgo a déficit hídrico en el cultivo de papa de acuerdo con la tipología de productores según condiciones técnicas y socioeconómicas de la pequeña y mediana producción del municipio de Yacuanquer, Nariño.
MATERIALES Y MÉTODOS
Ubicación de la zona de estudio
La investigación se desarrolló durante 2014-2018, en el marco del proyecto “Modelos de Adaptación y Prevención Agroclimática MAPA”, financiado por el Fondo Adaptación y ejecutado por la Corporación Colombiana de Investigación Agropecuaria AGROSAVIA. La información primaria se recabó en el municipio de Yacuanquer Nariño, Colombia (Latitud 1° 7' 1'' Norte; Longitud 77° 24' 0'' Oeste), ubicado a 2 670 m s.n.m.
Metodología
Mediante el instrumento de encuesta aplicado a los productores de papa, se indagó sobre aspectos sociales, económicos, ambientales y de la tecnología local de producción. La información económica, tanto del manejo técnico dado al cultivo, como de las tecnologías a implementar (incorporación de abonos orgánicos y uso de semilla certificada), se obtuvo mediante talleres de consenso con productores y asistentes técnicos, y posteriormente validada con un panel de investigadores expertos en el sistema productivo de papa.
En total se realizaron 33 encuestas a productores de papa afectados por Ola Invernal 2010-2011 en el municipio de Yacuanquer, el tamaño se determinó utilizando la siguiente Ecuación 1:
Dónde: n = tamaño de la muestra; N = población total; Z = nivel de confianza; e = el margen de error; p · q la varianza de la población (p = probabilidad de ocurrencia de un evento o q = la probabilidad de no ocurrencia del mismo evento).
Tipificación de productores
A partir de la información primaria recabada en las encuestas, la tipificación de productores se basó en cinco variables con alto poder discriminativo: a) área cultivada en papa, b) área total de la finca, c) tipo de preparación del suelo, d) tipo de semilla y e) uso de crédito bancario. El análisis estadístico para equilibrar la influencia de las variables cuantitativas y cualitativas se hizo con el método FAMD (Análisis Factorial Múltiple de Mezcla de Datos) que combina el PCA (Análisis de componentes principales) y el MCA (Análisis de correspondencia múltiple) (Nyairo et al.2020). El agrupamiento se realizó a través del método HCPC (clúster jerárquico por componentes principales), el cual tiene en cuenta los componentes principales y realiza la agrupación teniendo en cuenta las distancias euclidianas mediante el método de Ward.
Formulación del modelo
Se desarrolló un modelo multiperíodo de programación lineal entera mixta para optimizar el sistema de producción de papa, que evaluó el manejo tradicional del cultivo y el manejo con las tecnológicas propuestas; el modelo permitió identificar la tecnología o el conjunto de éstas que maximizan las utilidades mensuales del productor, sujeto a restricciones de área disponible para el cultivo, mano de obra disponible, capital inicial y acceso a crédito. El modelo considera costos de producción y tasas de rendimiento asociadas a cada opción de manejo agronómico. La programación se hizo en AMPL y el solucionador utilizado fue Gurobi, a través de la plataforma Neos Server. Para construir el modelo algebraico se definieron los siguientes conjuntos:
Siendo 𝑝 el número total de periodos considerados. Las opciones de manejo agronómico son cuatro: el escenario actual, el manejo con semilla del productor y fertilización recomendada, el manejo con semilla certificada y fertilización tradicional y el manejo con semilla certificada y fertilización recomendada. Cada periodo tϵT representa un mes, el subconjunto de periodos que excluye el último periodo (t=p) se denota como T´ donde T´= {1, …, p-1}.
Parámetros
F: tamaño de la finca (ha); Mf: mano de obra familiar; hit: jornales requeridos en el cultivo de una hectárea con la opción iϵI; 𝑆: costo de un jornal; Pi: ingresos por hectárea de papa producida bajo la opción agronómica iϵI; b: rendimiento con la opción de manejo agronómico tradicional (sin tecnologías); λi: tasa de incremento en el rendimiento por hectárea con la opción iϵI; qi: costos por hectárea cultivada con la opción iϵI; G: gastos familiares por periodo; cp: capital inicial; L:monto máximo del crédito bancario; 𝑠1: interés del crédito bancario.
Variables
x it : hectáreas cultivadas con la opción 𝑖 ∈ 𝐼 en el periodo tϵT; Rt: producción del cultivo en el periodo tϵT; 𝑐𝑎𝑝𝑡: capital en tϵT; Mct: mano de obra contratada en tϵT; Mv t : mano de obra vendida en tϵT; 𝑐𝑡: monto del crédito para capital de trabajo en el periodo tϵT.
Función objetivo
Suejto a
La función objetivo (Ecuación 3) maximiza las utilidades del productor teniendo en cuenta los ingresos por la producción del cultivo, los costos por hectárea cultivada y la mano de obra contratada y vendida para cada periodo de tiempo considerado.
Las restricciones (Ecuación 4) limitan el número de hectáreas que pueden ser cultivadas en cada periodo, no siendo mayor al área total de la finca. Las restricciones (Ecuación 5) definen la producción total del cultivo para cada ciclo o periodo de la modelación. Las restricciones (Ecuación 6) garantizan la mano de obra necesaria en cada periodo, donde los jornales familiares y/o contratados deben ser mayores o iguales a los requeridos para el cultivo, también posibilita la venta de jornales familiares cuando no son necesarios en el periodo correspondiente.
Las restricciones de tipo (Ecuación 7) limitan en cada periodo el monto del crédito cuando este existe. Las restricciones (Ecuación 8) definen el capital disponible para el próximo periodo teniendo en cuenta las utilidades, el capital del periodo correspondiente y la cuota de pago del crédito del siguiente periodo. En las restricciones (Ecuación 9) se garantiza que los costos no sean mayores al capital disponible en cada periodo. La restricción (Ecuación 10) otorga valor al capital inicial. Las restricciones (Ecuación 11 y 12) son condiciones propias de las variables.
RESULTADOS Y DISCUSIÓN
Sistema de papa en Yacuanquer
El área cultivada en papa por cada productor es baja, en promedio 2.7 ha, predominan los arreglos en asocio o rotación con arveja, maíz, arveja, quinua trigo y pastos entre otros. El 73% de los productores es propietario de los predios, el 94 % es nativo del municipio, con fuertes vínculos sociales y familiares y amplio conocimiento del territorio, con experiencia de más de 30 años en el cultivo y un poco más de la mitad de los productores reside en los predios. El
54 % de la mano de obra empleada es contratada, 27 % familiar y el 18 % tiene carácter mixto. Se estima que un ciclo productivo demanda entre 120 y 300 jornales ha-1. Tan solo el 36 % acude a crédito bancario y el 18 % manifestó contar con servicio de asistencia técnica.
Los problemas fitopatológicos más reportados por los productores son gota (Phitophthora infestans) 80 %, mancha o tizón temprano (Alternaria solani sp.) 60 % y roya (Puccinia piteriana) 13 %. En cuanto a los insectos plagas más frecuentes son polilla guatemalteca (Tecia solanivora) 67 %, pulguilla (Epitrix cucumeris) y chupadores como el pulgón (Myzus persicae) 53 %.
Los eventos climáticos extremos que más afectan la producción son sequía o déficits hídricos, altas precipitaciones y heladas, siendo la primera la más limitante, las heladas se presentan esporádicamente, pero con gran impacto causando grandes pérdidas de cultivos. En los últimos años, los eventos de sequía afectaron al 94 % de los encuestados, seguido de precipitaciones excesivas al 91 %, heladas al 70 %, deslizamientos e inundaciones al 18 %, encharcamientos y vientos fuertes al 12 %. El 70 % de los productores no realiza ninguna actividad para mitigar el efecto después de la ocurrencia de estos eventos. Entre las acciones de mitigación más frecuentes se destacan la construcción de drenajes, fertilización de los cultivos y el descanso de los lotes o los cambios en las fechas de siembra. La recuperación de lotes afectados por un fenómeno climático tarda en entre uno y cuatro meses, dependiendo de la intensidad del daño.
Análisis económico
A partir de los talleres participativos realizados, el análisis económico del sistema permitió establecer un horizonte de tiempo definido de 10 periodos o ciclos de cultivo. Los costos de producción con el manejo tradicional del productor (testigo) por concepto de preparación del suelo, fertilización, manejo fitosanitario, insumos y herramientas son de 3 061 ha-1 USD, si adopta la fertilización orgánica que se propone, el costo será de 2 694 USD, si el productor emplea semilla certificada además del manejo tradicional, los costos ascienden a 3 866 ha-1 USD, y si se implementa la semilla certificada y la fertilización orgánica recomendada los costos son de 3 633 ha-1 USD. El costo de un jornal en la región es de 5 USD, con el uso de la semilla del productor se requieren 153 jornales por hectárea por ciclo y con el uso de semilla certificada este requerimiento es de 380 jornales.
La tasa de interés para el crédito se estima en 9.8 %, este crédito se puede tomar para cada ciclo del cultivo y debe pagarse en el siguiente ciclo productivo. Los gastos familiares del productor se estiman en 105 USD mensuales, este valor en el modelo debe garantizarse con las utilidades del sistema productivo.
El rendimiento del cultivo de papa con el manejo tradicional es de 25 289 kg ha-1 por ciclo, con la implementación de la fertilización recomendada y la semilla del productor es de 26 118 kg ha-1. Si el productor implementa semilla certificada, el rendimiento se incrementa en un 40 %, y si además implementa la fertilización recomendada, el incremento productivo es del 59 %. Los ingresos por la actividad productiva con las condiciones actuales del sistema son aproximadamente de 5 632 USD, si se adopta la fertilización orgánica propuesta el ingreso será de 5 738 USD, si el productor emplea semilla certificada los ingresos aumentarían a 8 237 USD y si además de esta semilla se implementa la fertilización recomendada los ingresos serían de 9 534 USD.
Tipificación del sistema de papa
La determinación de los grupos se realizó mediante el Análisis Factorial Múltiple de Mezcla de Datos a partir de variables productivas y socioeconómicas y de acuerdo con su comportamiento estadístico, se priorizaron las variables de área sembrada en papa, tamaño total del predio, tipo de preparación del suelo, tipo de material sembrado y acceso a crédito bancario. En la Figura 1 se muestra el dendrograma de la tipificación con el agrupamiento de los diferentes tipos de productores.
Algunas variables determinaron la conformación de los cinco grupos resultantes: el grupo 4 es el único productor tipo que utiliza semilla comprada y certificada, mientras que el grupo 5 es el único que realiza la preparación del suelo mediante la práctica de guachado1; los dos grupos con mayor número de individuos son el grupo 2 y el grupo 3, la diferencia entre estos grupos es el tipo de material de siembra utilizado; el grupo 3 utiliza material de siembra producido en la finca y no certificado, mientras que el grupo 2 compra la semilla, pero sin certificación; el grupo 1 es el que tiene mayor área promedio de la finca y es el único grupo de productores que realiza la preparación del lote de manera mecanizada, mediante la utilización de tractor, esta característica marca la diferencia con los demás grupos (Tabla 1).
Resultados del modelo
La solución del modelo para cada grupo de productores indica que las tecnologías son viables, la Tabla 2 muestra los valores óptimos de la función objetivo para cada corrida.
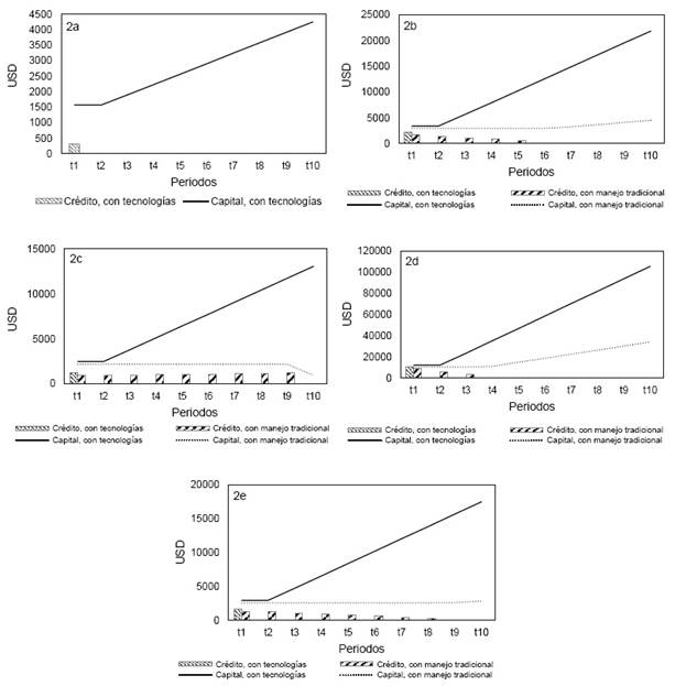
Productor tipo 1: pequeños productores mecanizados y potenciales adoptantes
Para un productor con 0.2 ha cultivadas en papa, la solución óptima sugiere la adopción de ambas tecnologías: el uso de semilla certificada y la fertilización orgánica. Este tipo de productor cuenta con la menor área disponible para cultivar. La producción bajo los supuestos del modelo es 8 063 kg por ciclo. Los ingresos básicos de este tipo de productor con el manejo tradicional son muy bajos y no alcanzan a cubrir los gastos mínimos estimados, estos productores pueden estar por debajo de la línea de pobreza. La implementación de las tecnologías propuestas puede contribuir a superar la pobreza rural en productores de papa en el trópico alto.
Con la solución óptima el capital entre periodos es creciente debido a la producción constante y los excedentes una vez garantizados los gastos familiares. El acceso a crédito es importante en los primeros ciclos de la implementación tecnológica, acorde a la solución del modelo se debe acceder a crédito para financiar el primer y segundo periodo, en el primero el crédito para capital de trabajo debe ser de 311 USD y en el segundo periodo de 5 USD. La interpretación de estos resultados sugiere que el crédito facilita la implementación de las tecnologías en el primer periodo, la cantidad del crédito para el segundo periodo puede considerarse despreciable (Figura 2a).
Bajo este tipo de sistema productivo no se requiere contratar mano de obra adicional, la mano de obra requerida se satisface con el trabajo del productor y su familia y le permite además trabajar en otras actividades que le representen ingresos adicionales (venta de mano de obra), aproximadamente 82 jornales por periodo.
Productor tipo 2: pequeños productores familiares tradicionales y adoptantes
En 0.6 hectáreas cultivadas bajo el sistema tradicional se producen 15 173 kg. La solución óptima sugiere la adopción de ambas tecnologías propuestas (fertilización orgánica y semilla certificada), con lo cual la producción aumentaría a 24 189 kg de papa, lo que representa un incremento del 59.4 %.
El capital puede aumentar entre periodos si se implementan las dos opciones tecnológicas. Aunque este tipo de productor no tiene acceso al sistema financiero tradicional, el modelo sugiere que lograr acceso a crédito para capital de trabajo durante los dos primeros periodos puede beneficiar el sistema productivo, el crédito en el primer periodo de la implementación tecnológica por valor de 2 144 USD y en el segundo periodo por 43 USD (Figura 2b).
El manejo tradicional del cultivo sin tecnologías produce menores utilidades y solo después del sexto periodo logra tener algunos excedentes que permiten aumentar el capital disponible, además requiere de créditos para capital de trabajo durante los primeros seis periodos de la modelación.
Este sistema productivo no requiere mano de obra adicional, el trabajo del productor satisface los requerimientos de jornales del cultivo y le permite trabajar en otras actividades que le pueden representar ingresos adicionales, aproximadamente siete jornales por periodo.
Productor tipo 3: pequeños productores familiares, tradicionales y jornaleros adoptantes
En 0.4 hectáreas cultivadas la producción es de 10 082 kg por ciclo, si se adoptan ambas tecnologías propuestas, la producción se incrementa en 59.9 %, logrando 16 126 kg por ciclo. En la solución óptima, el capital crece en el tiempo después del segundo periodo, indicando que habría excedentes y que el gasto familiar se satisface con suficiencia. Las utilidades del sistema productivo son mayores con las tecnologías de fertilización y semilla certificada que bajo el manejo tradicional.
Este tipo de productor no cuenta con acceso a crédito en el sistema financiero tradicional, sin embargo, los resultados del modelo muestran que el uso de crédito para financiar el primer ciclo con la implementación tecnológica puede mejorar la viabilidad del sistema productivo. Acorde al modelo, el crédito para el primer periodo es de 1 225 USD y para el segundo periodo de 19 USD, para la implementación de los resultados, el crédito para el segundo periodo se puede despreciar debido a su bajo valor. Con el manejo tradicional, el uso de crédito para capital de trabajo es más frecuente entre periodos. Se recomienda que se exploren alternativas de microcréditos y créditos de fácil acceso sin las restricciones propias de las líneas de crédito tradicionales (Figura 2c).
El sistema productivo no requiere contratar mano de obra adicional para implementar y sostener el cultivo, los requerimientos de jornales se satisfacen con el trabajo del productor, además, puede destinar tiempo para trabajar en otras actividades que le pueden representar ingresos adicionales. El productor puede destinar aproximadamente 45 jornales por periodo del cultivo a otras actividades económicas.
Productor tipo 4: pequeños agroempresarios rurales
Este tipo de productores cuenta con 2.5 hectáreas cultivadas en papa y representa el grupo de productores con mayor área cultivada. Con el manejo tradicional se producen en promedio 63 222 kg por ciclo. La solución óptima del modelo sugiere la adopción de las dos tecnologías propuestas para maximizar las utilidades del productor, donde la producción total por ciclo es de 100 789 kg, esto es un incremento del 59.4 %.
Aunque el manejo tradicional del cultivo de papa le permite a este productor satisfacer el gasto familiar y tener utilidades que acorde al modelo, pueden crecer desde el cuarto ciclo productivo, la implementación tecnológica permite mayores utilidades. El uso de crédito para capital de trabajo con la implementación tecnológica se recomienda para el primer periodo por valor de 10 848 USD y para el segundo periodo por 208 USD. El sistema productivo requiere contratar 348 jornales para un periodo productivo, que supone además, la dedicación completa del productor (Figura 2d).
Productor tipo 5: pequeños productores tradicionales, con uso de-guachado y semilla certificada
En 0.5 hectáreas cultivadas en papa y con el manejo tradicional del cultivo se producen en promedio 12 644 kg por ciclo productivo. La solución óptima del modelo sugiere la adopción de ambas tecnologías propuestas desde el primer periodo y en el área total del cultivo, con la implementación tecnológica la producción asciende a 20 158 kg por periodo, esto representa un incremento del 59.4 %.
Con la implementación de las tecnologías el capital crecería desde el segundo ciclo productivo y el gasto familiar se satisface con suficiencia. El acceso a crédito ayuda a financiar la implementación durante los primeros dos periodos, el crédito en el primer periodo es de 1 685 USD y en el segundo de 31 USD. El escenario con el manejo tradicional muestra mayor dependencia de créditos para capital de trabajo. Aunque el gasto familiar se logra satisfacer, el capital no logra crecer entre los periodos de la modelación.
El sistema productivo requiere contratar 26 jornales adicionales al trabajo del productor para satisfacer los requerimientos de mano de obra por periodo, suponiendo, además, que el productor trabaja en dedicación completa al sistema productivo (Figura 2e).

Figura 2 Tipo 1: capital disponible y uso de crédito con el escenario óptimo de la modelación y el escenario tradicional para el productor de papa Figura 2b. Tipo 2: Capital disponible y uso de crédito con el escenario óptimo de la modelación y el escenario tradicional para el productor de papa; Figura 2c. Tipo 3: capital disponible y uso de crédito con el escenario óptimo de la modelación y el escenario tradicional para el productor de papa; Figura 2d. Tipo 4: capital disponible y uso de crédito con el escenario óptimo de modelación y el escenario tradicional para el productor; Figura 2e. Tipo 5: capital disponible y uso de crédito con el escenario óptimo de la modelación y es escenario tradicional para el productor de papa.
Los productores de papa estudiados responden a condiciones de economía familiar que desarrollan su actividad productiva en pequeños predios o minifundios, similar a la categorización de la FAO de Agricultura familiar de subsistencia, como aquella más orientada al consumo familiar con disponibilidad de tierras hasta 3 ha y/o ingresos de producción hasta tres salarios mínimos legales2 (CEPAL, 2014) necesarios para garantizar la reproducción familiar, lo que induce en muchos casos recurrir al trabajo asalariado, fuera o al interior de la agricultura. Este grupo social ha sido catalogado en proceso de desaparición o descomposición, con escaso potencial agropecuario y tendencia hacia la asalariarización en la medida que no varíe su acceso a activos y una dinamización de la demanda (FAO, 2009).
Contrario a lo que se afirma en ámbitos económicos y de política pública, en los que se les considera como un tipo de producción inviable y sujeto de iniciativas de índole asistencial y subsidiario (Acevedo, 2016) diferente a la productiva y tecnológica, para este tipo de productores el desarrollo e implementación de tecnologías tendientes a optimizar sus recursos e incrementar sus utilidades, son viables como actores económicos, puesto que mejoran sus condiciones productivas mediante incorporación de prácticas e insumos compatibles con sus recursos disponibles y estructura productiva.
Las dos tecnologías propuestas, además de mitigar los efectos negativos derivados del cambio y la variabilidad climática en los ecosistemas en donde desarrollan sus actividades, sirven como alternativa para el mejoramiento de los sistemas productivos (Bustillos et al., 2018), en este caso productores campesinos con poca tierra o sin ella, que desarrollan complejas estrategias de sobrevivencia basadas en la diversificación ocupacional (Machado, 1991). Así mismo, el ejercicio de modelos sirve como una estrategia de análisis y de toma de decisiones al momento de evaluar alternativas tecnologías, de diferentes tipos de productores agropecuarios en pro de optimizar los escasos recursos disponibles y beneficios percibidos.
CONCLUSIONES
Ambas tecnologías propuestas de uso de semilla certificada y de fertilización orgánica, maximizan las
utilidades en los sistemas productivos evaluados, siendo la implementación de semilla certificada, la tecnología que más contribuye a la optimización. De acuerdo con los parámetros definidos para cada tipología de productores, se recomienda el uso de semilla certificada y la fertilización siendo el crédito financiero una ayuda en ciertos periodos y para ciertos casos. Las diferencias entre los tipos de productores evaluados no son significativas para la adopción de las tecnologías bajo las restricciones consideradas.
El productor tipo 4 cuenta con la mayor área cultivada 2.5 ha, lo cual le permite alcanzar mayores utilidades totales; sin embargo, su mayor demanda de mano de obra le obliga a contratar trabajadores e incurre en mayores costos, esta deseconomía hace que la utilidad del sistema por hectárea sea menor respecto a la de otros tipos de productores. En este caso se supera la cantidad óptima de producción y aumentarla dependerá de reducir costos de manejo del cultivo, posiblemente con el uso de herramientas tecnificadas y aprovechar las economías de escala que brinde una cantidad mayor de producción.
El productor tipo 1, con 0.2 hectáreas no requiere contratar mano de obra adicional a la disponible, además aumenta sus ingresos vendiendo parte de su mano de obra, este productor logra las mayores utilidades por hectárea cultivada para el sistema y podría aumentar el área hasta ocupar la totalidad de la mano de obra disponible para lograr la cantidad optima de producción con las herramientas disponibles para el manejo del cultivo, este productor tiene la mayor viabilidad económica por hectárea cultivada con el uso de las tecnologías propuestas.
Aunque el uso de ambas tecnologías propuestas permite optimizar el sistema productivo de papa en todas las tipologías de productores analizadas, la semilla certificada contribuye en mayor medida a maximizar las utilidades, esto ocurre para todos los productores tipo, ya que el aumento esperado en el rendimiento es mayor que con solo el uso de la fertilización recomendada, y la relación de la utilidad con el costo no se afecta de forma significativa con el cambio de las condiciones propias de cada productor tipo.
En el proceso de adaptación al cambio climático, tanto los productores como los asistentes técnicos requieren entender cuáles tecnologías pueden ayudar a reducir los impactos ante diferentes fenómenos climáticos, pero también necesitan comprender las implicaciones que tienen estas tecnologías para los sistemas de producción, bajo las condiciones socioeconómicas específicas de productores tipo. Es decir, se necesita saber qué tecnologías pueden ser útiles bajo las diferentes restricciones que enfrentan, de carácter biofísico y socioeconómico. Los resultados de la modelación indican que estas tecnologías seleccionadas como medidas de adaptación para el cultivo de la papa en Nariño se ajustan muy bien a la realidad socioeconómica de la región, no obstante, un programa de microfinanciamiento y asistencia técnica podrían tener un impacto positivo considerable en el mejoramiento de las condiciones económicas de los productores, en la productividad del cultivo y en la adaptación al cambio climático.





















