Servicios Personalizados
Revista
Articulo
Indicadores
-
Citado por SciELO -
Accesos
Links relacionados
-
Similares en
SciELO
Compartir
Revista de Investigación e Innovación Agropecuaria y de Recursos Naturales
versión impresa ISSN 2409-1618
RIIARn vol.3 no.1 La Paz jun. 2016
MODELACIÓN DE DIGESTIÓN ANAERÓBICA EN BIODIGESTORES
Implementación del modelo IWA ADM1 a la modelación y simulación del tratamiento anaerobio
de los efluentes industriales de matadero en un reactor UASB
Implementation of the IWAADM1 model tothe Modeling and Simulation of the Anaerobic Treatment
of Industrial Effluents from Slaughterhouse in a UASB Reactor
Juan José Sossa1, René Alvarez1
1Instituto de Investigación y Desarrollo de Procesos Químicos (IIDEPROQ), Campus Universitario, Calle N° 30, zona de Cota Cota, La Paz, Bolivia. sljj91@gmail.com
Artículo recibido en: 14 de diciembre 2015 Manejado por: Comité Editorial Aceptado en: 15 de marzo de 2016
Resumen
El propósito principal de esta investigación es modelar y simular el tratamiento anaerobio de los efluentes industriales del Matadero Municipal de La Paz (MMLP) en un reactor anaerobio de flujo ascendente (UASB por sus siglas en inglés). En primer lugar se ha instalado un reactor UASB de 7,5 l de capacidad y se trabajó a una temperatura constante de 35 °C, con una concentración de alimentación promedio de 2000 mg DQO M. Durante el trabajo experimental se varió el tiempo de retención hidráulica (TRH) y se obtuvo que la reducción de materia orgánica promedio fue de 85% para TRH=16 h, 69% para TRH=12 h y 58% para TRH=8 h, además el pH se mantuvo prácticamente constante. Paralelamente, se ha planteado un modelo fenomenológico para representar el proceso digestión anaerobia en el reactor y el mecanismo de reacción utilizado es el ADM1 (Anaerobic Digestion Model No. 1). El comportamiento hidrodinámico del reactor fue analizado a partir de información encontrada en la literatura científica especializada y sirvió para el modelamiento del reactora partir de la conexión de 3 reactores de tanque con agitación continua (CSTR) en serie. Los resultados experimentales sirvieron para calibrary validar el modelo matemático que simula el comportamiento del pH, la reducción de materia orgánica y la producción de biogás. El modelo matemático tiene un coeficiente de correlación (R) de 0.9394 y se simuló el tratamiento de los efluentes industriales del Matadero Municipal de La Paz en las condiciones reales de la descarga, bajo distintas condiciones de operación, constituyéndose en un valioso aporte para el diseño final de la Planta de Tratamiento.
Palabras clave: Digestión anaerobia, efluente de matadero, reactor UASB, modelación matemática, ADM1.
Abstract
The main purpose of this research is to model and simulate the anaerobic treatment of industrial effluents from the Municipal Slaughterhouse of La Paz city in a UASB reactor. First, a UASB reactor of 7,5 l was installed working at a constant temperature of 35 ° C, with an average supply concentration of 2000 mg COD M. During the experimental work the hydraulic retention time (HRT) was varied and it was found that the average organic matter reduction was 85% for HRT = 16 h, 69% for HRT = 12 h and 58% for HRT = 8 h, in addition the value of pH remained constant. Simultaneously, a phenomenological model has been developed to represent the anaerobic digestion process in the reactor and the reaction mechanism used is ADM1 (Anaerobic Digestion Model No. 1). The hydrodynamic behaviorof the reactor was analyzed based on information found in the scientific literature and it served for modeling the reactor as 3 continues stirred tank reactors (CSTR) connected in series. Experimental results were used in the calibration and validation of the mathematical model that simulates the behaviorof the pH, the reduction of organic matter and the production of biogas. The mathematical model has a correlation coefficient (R) that is 0.9394 and the treatment of industrial effluents from Municipal Slaughterhouse of La Paz on the actual conditions of discharge under different operating conditions were simulated, becoming a valuable contribution to the final design of the treatment plant effluents.
Key words: anaerobic digestion, slaughterhouse effluent, UASB reactor, mathematical model, ADM1
INTRODUCCIÓN
El Matadero Municipal de La Paz, se encuentra en la zona de Achachicala de la ciudad de La Paz (Bolivia), a una altitud aproximada de 3.754 m. Este matadero emite diariamente efluentes líquidos que están compuestos principalmente por estiércol, sangre, rumen, orina y grasas, generando un problema de contaminación ambiental, debido a que la concentración de materia orgánica y otros parámetros en el efluente es sumamente alta respecto al valor permitido por la normativa ambiental vigente y el Río Choqueyapu, que atraviesa la ciudad, es el receptorde sus descargas.
El reactor anaerobio de flujo ascendente, UASB (Lettinga et al., 1984) se constituye en la principal alternativa para el tratamiento biológico de las aguas residuales del MMLP debido a que se han reportado remociones de materia orgánica mayores al 80% y tiempos de retención hidráulica de 10 a 24 h (Sayed et al., 1984; Sayed, 1987; Manjunath et al., 2000; Caldera et al. , 2003; Torkian et al., 2003).
La modelación y la simulación matemática del proceso de digestión anaerobia es una herramienta que nos permite el diseño, escalamiento y control de procesos. Para ello es necesario conocer los diferentes fenómenos que ocurren durante la degradación anaerobia, el mecanismo de reacción a través del cual la materia orgánica se transforma en biogás, la cinética del proceso y el comportamiento hidrodinámico del sistema donde se desarrolla el tratamiento anaerobio. Varios modelos matemáticos dinámicos, de distinta complejidad, han sido desarrollados con el objetivo de describir el mecanismo de reacción de la digestión anaerobia (Kleinstreuer & Poweigha, 1982; Bryers, 1985; Siegrist et al., 1993; Angelidaki et al.1999; Martinez et al., 2012). Otros han sido desarrollados con la intención de describir el comportamiento de reactores UASB (Wu & Hickey, 1997; Batstone et al., 2005; Tartakovsky et al., 2008).
El Modelo de Digestión Anaerobia No.1 (ADM1 por sus siglas en inglés), publicado el año 2002 por el grupo de trabajo de modelación matemática de procesos anaeróbicos de la Asociación Internacional del Agua (IWA), es un modelo cinético estructurado genérico que incluye la descripción de los procesos bioquímicos y fisicoquímicos implicados en el proceso de digestión anaerobia (Batstone et al., 2002), cuya aplicación a diversas situaciones, ha reportado resultados satisfactorios (Rivera et al., 2009). Sin embargo, el ADM1, considera que el comportamiento hidrodinámico del sistema físico es el de un reactor de tanque con agitación continua (CSTR). Por otra parte se ha reportado que el comportamiento hidrodinámico de un reactor UASB difiere bastante de un CSTR (Batstone et al., 2005) (Pérez, et al., 2010). De esta manera, el objetivo de esta investigación es obtener un modelo matemático validado para el tratamiento anaerobio de las aguas residuales del MMLP, utilizando el mecanismo de reacción propuesto porelADM1. Esto permitirá experimentar distintos escenarios de forma virtual y evaluar el comportamiento y las características de un reactor UASB apropiado para las necesidades del MMLP, su producción de biogás y la reducción de materia orgánica que será obtenida.
MATERIALES Y MÉTODOS
Sistema experimental
El sistema experimental utilizado para al tratamiento de las aguas residuales del MMLP consta de un tanque de alimentación, un reactor UASB calefaccionado de 7.5 l, un tanque de recepción de efluente, y un sistema de almacenamiento y medición de caudal de biogás. En la Figura 1 se muestra una representación esquemática del sistema experimental que se instaló en el laboratorio de Digestión Anaerobia del IIDEPROQ en Cota Cota.
El reactor UASB fue inoculado con lodo anaerobio proveniente de los biodigestores del Centro de Investigación de Biodigestores, Biogás y Biol (CIB3), el cual se encuentra ubicado en la Estación Experimental Choquenaira (Viacha, La Paz) que pertenece a la Facultad de Agronomía de la UMSA. El proceso de adecuación y activación del lodo anaerobio, con la consecuente formación de floculos y gránulos activos capaces de producir biogás, se realizó en un tiempo de 6 meses. Durante este período, los factores que midieron la duración del proceso de activación de los microorganismos anaerobios fueron la concentración de microorganismos dentro del reactor (sólidos suspendidos volátiles) y la producción de biogás, esperando llegar hasta el estado estacionario de ambos parámetros. Además, la temperatura de operación fue de 35 °C y el tiempo de retención hidráulica de 24 horas. Como sustrato se alimentó efluente industrial de matadero cuya concentración de DQO se incrementó gradualmente desde 500 hasta 3500 mg O2 l-1. A continuación, se trabajó durante tres períodos experimentales: (a) EXP-2 con un tiempo de retención hidráulica (TRH) de 16 horas, (b) EXP-3 con un TRH de 12 horas y EXP-4
con un TRH de 8 horas, además cada período tuvo una duración de 8 días. La información generada durante EXP-2 fue utilizada para la calibración del modelo y los datos generados durante EXP-3 y EXP-4 se emplearon para la validación del mencionado modelo. La temperatura durante todos los períodos de experimentación se mantuvo constante a 35 °C, así como también la concentración de materia orgánica del sustrato cargado al tanque de alimentación (2000 ± 542 mg DQO l-1), realizándose diluciones del efluente industrial del MMLP, cuyas características se muestran en la Figura 1.
Métodos analíticos
Para los análisis de DQO, ácidos grasos volátiles, pH, grasas y aceites extractables con hexano, nitrógeno amoniacal y total, alcalinidad, calcio y cloruros se aplicaron los Métodos Standard establecidos por la American Public Health Association (1995). El flujo de biogás fue medido utilizando un medidor de volumen, a través del desplazamiento de una columna de agua, cuyo pH fue de 2.00, puesto que de esta forma se evita la solubilización del CO2. Los análisis se realizaron en el Instituto de Investigación y Desarrollo de Procesos Químicos (IIDEPROQ), dependiente de la carrera de Ingeniería Química de la UMSA.
Modelo de digestión anaerobia N° 1 (ADM1)
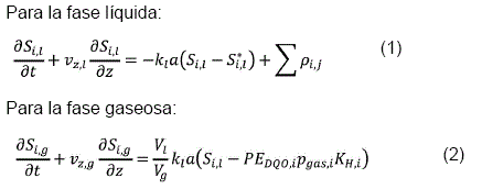
El ADM1 representa los sustratos complejos a partir de sus principales componentes (carbohidratos, proteínas, azúcares, aminoácidos, ácidos grasos de cadena larga, ácidos grasos volátiles, aniones y cationes). El modelo toma en cuenta los fenómenos bioquímicos y fisicoquímicos que ocurren en el proceso de degradación anaeróbica, tanto en la fase líquida como en la fase gaseosa.

Para modelar la digestión anaerobia, el ADM1 divide el problema en dos sistemas:
Sistema bioquímico, que describe a los procesos bioquímicos que ocurren en solución
Sistema fisicoquímico, que describe a los procesos químicos y de transferencia de masa que ocurren en las fases líquida y gaseosa.
Los procesos bioquímicos que son tomados en cuenta por el modelo, tenemos: desintegración (etapa extracelular), hidrólisis (extracelular), acidogénesis, acetogénesis, metanogénesis y muerte celular, haciendo un total de 19 procesos que describen al sistema bioquímico. Además, debido a la presencia de compuestos que inhiben el crecimiento bacteriano se incluye la inhibición no competitiva (para la inhibición por hidrógeno y amoniaco), el consumo competitivo (para la competencia entre butirato y valerato) y la inhibición por pH. Respecto al comportamiento cinético de los procesos, en el caso de la desintegración y la muerte celular se considera que es de primer orden y para el consumo de sustrato y crecimiento de los microorganismos se emplea la ecuación cinética de Monod. Por otra parte, el sistema fisicoquímico describe los procesos de disociación iónica de los diferentes compuestos químicos que se encuentran en solución, esto con el objetivo de simular el equilibrio químico de la fase líquida para determinar el pH. También se incluye el proceso de transferencia de materia entre la fase líquida y la fase gaseosa de ciertos compuestos, tales como: H2, CH4 y el CO2. En total en la fase líquida se tienen 24 compuestos orgánicos y 9 compuestos iónicos, y en la fase gaseosa se tienen 3 compuestos.
Planteamiento del modelo fenomenológico
El modelo fenomenológico fue planteado bajo las siguientes suposiciones:
El perfil de velocidades es constante (flujo pistón), por lo tanto y las diferencias de presión son prácticamente nulas, por lo cual el balance de cantidad de movimiento se desprecia.
Se considera que el sistema es isotérmico, consiguientemente se desprecia el balance de energía.
Se considera que la concentración presenta dispersión axial.
El mecanismo de reacción del proceso de digestión anaerobia es el propuesto por el ADM1.
En la Figura 2 (a), se muestra el diagrama de flujo del reactor UASB. Aplicando las ecuaciones de variación de balance másico (Bird, Stewart, & Lightfoot, 1978), se obtiene un modelo de parámetro distribuido:

Siendo SM y Si,g, la concentración (g DQO l-1) de cualquier componente i, dentro la fase líquida y gaseosa, respectivamente. Vl y Vg, los volúmenes de las fases líquida y gaseosa, kl a, la constante global de transferencia de materia; PEDQO,i, el peso de DQO equivalente a un mol de compuestos gaseoso (g DQO/mol compuesto gaseoso); KH,i, la constante de Henry (mol/bar); pgas,i, la presión parcial del componente(bar); pu, la velocidad de reacción para cada proceso (j) en los cuales el compuesto i está involucrado, z, es la coordenada de la altura del reactor (m) y t, es el tiempo (d). Las Ecuaciones (1) y (2) representan un modelo de parámetro distribuido de gradiente máximo, cuya solución, aún a pesar de las simplificaciones realizadas, es bastante compleja.
Globalización del modelo de parámetro distribuido
Considerando que las Ecuaciones (1) y (2) deben aplicarse a los 32 componentes de ADM1, la solución del sistema de ecuaciones diferenciales parciales resultante es una tarea compleja, que aún no garantiza la correcta representación del comportamiento hidrodinámico del reactor UASB. Para simplificar la tarea de resolución y obtener un comportamiento hidrodinámico más próximo al real, se procede a globalizar el modelo de parámetro distribuido eliminando la variación espacial de la concentración, dejando solamente una dependencia respecto al tiempo (Himmelblau & Bischoff, 1992). Esto se realiza dividiendo el reactor UASB en K segmentos de igual altura, de forma
z=H K-1, siendo H, la altura total del reactor. Además, a cada segmento se designa como una etapa, cuyo comportamiento hidrodinámico es igual al de un reactor de tanque con agitación continua (CSTR), es decir que la concentración de cada componente es constante en cada etapa. Para determinar el número de etapas es necesario realizar un análisis de tiempos de residencia y se utilizaron los datos de Pérez et al. (2010) determinándose que el número de etapas que representan el comportamiento hidrodinámico del reactor UASB son 3 (Figura 2b). Adicionalmente, debido a que el reactor UASB posee deflectores que impiden que los sólidos abandonen el sistema, éstos permanecen mucho más tiempo dentro el reactor que los compuestos solubles, esto nos indica que el tiempo de retención hidráulica es diferente del tiempo de retención de sólidos. Finalmente, el modelo fenomenológico de parámetro globalizado es, para los compuestos solubles en la fase líquida:

Siendo k, el número de etapa (1, 2 ó 3), TRH, el tiempo de retención hidráulica (d), TRS, el tiempo de retención de sólidos (d) y qz g k, el flujo de biogás de cada etapa. Además se considera que los flujos de biogás de cada etapa se suman para obtener el flujo total de biogás.
Mecanismo de reacción
Como se mencionó anteriormente, el mecanismo de reacción que se utiliza para analizar el proceso de digestión anaerobia es el propuesto por el ADM1. Sin embargo, para su aplicación fue necesario realizar un análisis previo de las características del sustrato y de las condiciones de operación del reactor. Además, desde su publicación, la estequiometría propuesta por el ADM1 originalmente ha sido mejorada, es por ello que se aplica la estequiometría propuesta por Rosen & Jeppsson (2006). La caracterización de los carbohidratos, proteínas y lípidos del sustrato se hizo de acuerdo a la metodología propuesta en Shi et al.(2014), dónde las fracciones de DQO particulada (DQOP) perteneciente a proteínas, lípidos y carbohidratos se obtuvieron a partir de las siguientes ecuaciones:

Siendo 6.25, el peso equivalente de proteínas por gramos de nitrógeno orgánico (g de proteínas/g de nitrógeno orgánico), NTK, nitrógeno total Kjeldahl (g l-1); NA, nitrógeno amoniacal (g l-1) y AGH, aceites y grasa extraíbles con hexano (g l-1). Aplicando las Ecuaciones (6), (7) y (8) a los datos de DQOP del efluente del matadero MMLP, se obtiene que la DQOP se distribuye de la siguiente forma: 74% corresponde a las proteínas, 20% a los lípidos y el restante 6% a los carbohidratos y la DQO total: 57% de proteínas, 16% lípidos, 4% proteínas y el 23% restante se distribuye entre los demás que se caracterizaron se aplicando el método sugerido por Huete et al. (2006). Los parámetros cinéticos de desintegración e hidrólisis iniciales utilizados fueron tomados de Batstone et al. (2002), sugeridos para el tratamiento de aguas residuales de matadero, el resto fueron tomados de Rosen & Jeppsson(2006).
Solución del modelo matemático
El programa computacional utilizado para resolver el modelo matemático es MatLab®. Debido a que los procesos bioquímicos y los fisicoquímicos ocurren a distinta velocidad, el sistema de ecuaciones diferenciales ordinarias formado es un sistema rígido se deben aplicar métodos numéricos de paso variable.
Calibración y validación del modelo
En la calibración del modelo matemático, la primera tarea consiste en la identificación del sistema. Para ello se realiza un análisis de sensibilidad, con la consiguiente estimación de parámetros. En esta tarea se utilizaron los datos experimentales correspondientes al período EXP-2 (TRH = 16 h). En este análisis se calcularon las funciones de sensibilidad absoluta relativa (Jeppson, 1996):

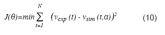
Donde la Ecuación (9) representa el cambio absoluto en una variable de salida x por un 100% en el cambio relativo del parámetro 0. En nuestro caso, la variable de salida utilizada fue la reducción de materia orgánica y los parámetros fueron las constantes cinéticas del proceso de digestión anaerobia. Luego, los valores de los parámetros de alta sensibilidad fueron estimados en base a los datos experimentales del período EXP-2, para ello se aplicó un proceso iterativo y como función objetivo se utilizó la función de mínimos cuadrados (Donoso-Bravo et al., 2011):

Siendo J la función objetivo, vexp las mediciones experimentales de la variable seleccionada, tomadas durante el período de experimentación, vsim los valores de la variable de salida seleccionada obtenidos mediante el modelo, a el valor de los parámetros que deben ser determinados y N el número de mediciones.Para probar la precisión y aplicabilidad de los parámetros calibrados, en la validación del modelo matemático se compararon los resultados simulados y los datos experimentales correspondientes a los períodos experimentales EXP-3 (TRH = 12 h) y EXP-4 (TRH = 8 h) y se calculó el coeficiente de correlación R para medir el grado de concordancia entre los resultados experimentales de reducción de materia orgánica y los resultados del modelo matemático.
La Figura 3 presenta un resumen del procedimiento seguido durante la presente investigación. En primer lugar se planteó el modelo matemático considerando el mecanismo de reacción del ADM1 y los fenómenos de transporte que ocurren durante la digestión anaerobia del efluente del MMLP. De forma paralela se instaló el sistema experimental y se procedió a la activación de los microorganismos anaerobios. A continuación, a través de métodos analíticos, se caracterizó la alimentación y la salida del reactor, así como también cada una de las zonas del reactor. Esta información nos sirvió para establecer las condiciones iniciales y los datos de entrada del modelo matemático. Luego, se trabajó durante los períodos experimentales mencionados anteriormente (EXP-2, EXP-3 y EXP-4) para obtener la información necesaria para calibrar y validar el modelo matemático. Las variables medidas fueron: (a) pH, (b) reducción de materia orgánica en términos de DQO y (c) flujo de biogás. Finalmente se simuló el tratamiento del efluente industrial del MMLP bajo condiciones reales de operación y en base a un análisis de su composición.
RESULTADOS Y DISCUSIÓN
Resultados experimentales
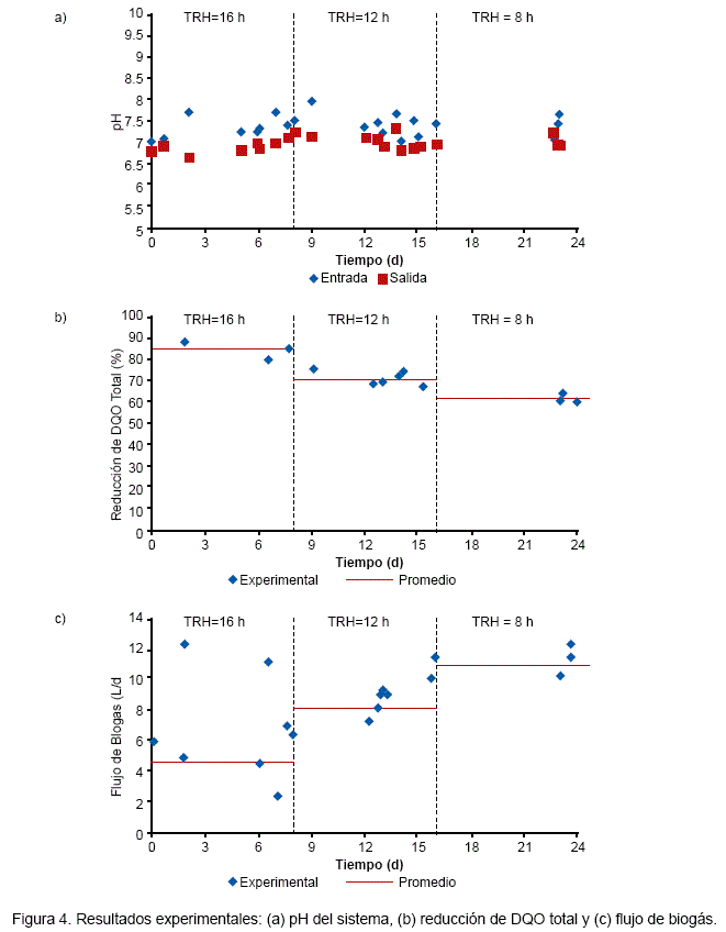
En la Figura 4 se muestran el pH a la entrada y la salida del reactor, el porcentaje de reducción de materia orgánica y el flujo de biogás durante todo el proceso de experimentación.
El efecto de la capacidad buffer del sistema se ve reflejado en la estabilidad del pH del sistema (Figura 3), pues el valor promedio de pH a la salida del reactor es de 7.002 y el de ingreso 7.40 en promedio. La disminución se debe a la producción de ácidos grasos volátiles durante la digestión anaerobia, sin embargo, este descenso es controlado debido a la alcalinidad del sistema y el nitrógeno amoniacal del sustrato que neutralizan a los ácidos producidos. Este comportamiento también fue reportado por Caldera et al. (2003). Respecto a la reducción de DQO total, se puede notar que en promedio para un TRH = 16 h el porcentaje total de materia orgánica reducida fue de 85%, para TRH = 12 h 69 % y para TRH = 8 h 58%, estos resultados tienen similitud con los reportados en Manjunath et al. (2000). En lo referente al flujo de biogás, se puede observar que para cada tiempo de retención existe una marcada diferencia entre los caudales de biogás producidos. En promedio el caudal de biogás fue 4.56 l d-1 para TRH = 16 h, 8.22 l d-1 para TRH = 12 h y 11.19 l d-1 para TRH = 8 h. El incremento de la producción del flujo de biogás como resultado de la reducción del tiempo de retención hidráulica es un comportamiento que también se ha registrado en el trabajo de Sayed et al. (1987).
Calibración del modelo matemático
Los resultados de reducción de materia orgánica obtenidos durante el período de experimentación EXP-2 (TRH=16 h) fueron utilizados para la calibración. Para ajustar los resultados del modelo con los experimentales, se modificaron los parámetros más sensibles del modelo. El análisis de sensibilidad indica que los parámetros más sensibles para la reducción de materia orgánica son la Constante cinética de velocidad de hidrólisis de proteínas(khyd,pr), la constante de velocidad mitad de crecimiento de los microorganismos consumidores de ácidos grasos de cadena larga (AGCL) (KS,fa)) y la velocidad de crecimiento específica máxima para los microorganismos consumidores de AGCL (km,fa), esto sugiere que la hidrólisis de proteínas y que el consumo de AGCL son las etapas limitantes de velocidad del proceso de digestión anaerobia de los efluentes industriales del MMLP, este comportamiento tiene relación directa con el mecanismo de reacción propuesto en el ADM1 y con las características del efluente del MMLP, puesto que el 57% de la DQO total del efluente corresponde a las proteínas y un 16% a los lípidos cuyo producto de la hidrólisis son los AGCL, por lo tanto es natural que el proceso se incline hacia la degradación de estos compuestos. Como resultado del análisis de sensibilidad se han estimado nuevos valores para estos parámetros, los cuales se muestran en la Tabla 2. Los resultados del modelo antes y después de la calibración se muestran en la Figura 4(a).
Validación del modelo matemático
Para probar la exactitud con la que el modelo calibrado es capaz de predecir el comportamiento del tratamiento anaerobio de los efluentes industriales del MMLP en un reactor UASB bajo diferentes condiciones de operación, se procedió a la comparación de los resultados del modelo calibrado con los resultados experimentales de los períodos EXP-3 (TRH = 12 h) y EXP-4 (TRH = 8 h). Como se puede observar en la Figura 5 (b), no existe mucha diferencia entre los resultados experimentales y los del modelo. Además se ha calculado el coeficiente de correlación existente para la reducción de materia orgánica (DQO total), cuyo valor es de 0.9394 de correlación.
Simulación del tratamiento de los efluentes industriales del MMLP
Una vez obtenido el modelo calibrado, se procedió a la simulación del tratamiento de los efluentes del MMLP. El caudal de alimentación del reactor a escala real es de 60 m3 d-1 y las características del efluente se muestran en la Tabla 3. El proceso de caracterización del efluente se realizó de la misma forma que se hizo a escala de laboratorio, a continuación se evaluó el efecto del tiempo de retención hidráulica (TRH) sobre el pH, la reducción de materia orgánica (DQO total) y la producción de biogás. Como se observa en la Figura 6, no existe variación significativa del pH respecto al tiempo de retención, sin embargo, en la reducción de materia orgánica y en el flujo de biogás existen grandes diferencias y se tiene que en el estado estacionario para un TRH de 8 horas el porcentaje de reducción de materia orgánica es de 58.4% y un caudal de biogás de 107 m3/d; para TRH de 12 horas 65.8% y 80.8 m3 d-1; para TRH = 16 horas 70.5% y 65.25 m3 &\ finalmente para TRH = 24 horas 76.2% y 47.30 m3 d-1. Esta información será de mucha importancia al momento de diseñar todo el sistema de tratamiento puesto que manteniendo el caudal constante, la única forma de variar el TRH es modificando el volumen del reactor, esto en la práctica no es posible, ya que se necesitaría construir varios reactores a escala real y realizar las pruebas, requiriendo la inversión de recursos económicos y tiempo. Sin embargo, gracias al modelo matemático se ha podido realizar este experimento con el consiguiente ahorro en recursos.
CONCLUSIONES
Fruto de esta investigación ha sido desarrollado un modelo matemático para la digestión anaerobia de los efluentes industriales del MMLP, dentro el cual se ha implementado el ADM1 en la descripción del mecanismo de reacción del proceso de digestión anaerobia, además fue considerado el comportamiento hidrodinámico del reactor para poderconstruir un modelo con una descripción más detallada. El análisis de sensibilidad indica que la hidrólisis de proteínas y la descomposición de los AGCL son las etapas controlantes de la digestión anaerobia de los efluentes industriales del MMLP. Como resultado de la calibración se ha obtenido un modelo validado, con un alto grado de concordancia respecto a los resultados experimentales, esto se ve reflejado en el coeficiente de correlación R=0.9394. A continuación el modelo calibrado fue aplicado a la simulación del tratamiento de los efluentes del MMLP bajo las condiciones reales de descarga para predecir el comportamiento de un reactor UASB a escala industrial y evaluar distintos escenarios de operación. Finalmente el modelo nos sirve para un mejor entendimiento de la digestión anaerobia de los efluentes industriales del MMLP y se constituye en una muy importante herramienta para el diseño de una futura planta de tratamiento en el MMLP.
AGRADECIMIENTOS
Este trabajo ha sido apoyado por el Instituto de Investigación y Desarrollo de Procesos Químicos (IIDEPROQ) de la Universidad Mayor de San Andrés (UMSA) y se agradece la colaboración del Matadero Municipal de La Paz al facilitar el acceso a sus instalaciones y su cooperación constante.
BIBLIOGRAFÍA
American Public Health Association Washington, DC, U.S.A. Standard Methods forthe examination of water & wastewater. 1995: APHA [ Links ]
Batstone, D. J., J. L. A. Hernandez, y J. E. Schmidt. 2005. Hydraulics of laboratory and fullscale upflow anaerobic sludge blanket (UASB) reactors. Biotechnology and bioengineering . Vol. 63 (3): 387-391. [ Links ]
Batstone, D. J., Keller, J., Angelidaki, I., Kalyuzhnyi, S. V., Pavlostathis, S. G., Rozzi, A., Sanders, W. T. M., Siegrist, H. and V. A. Vavilin London, UK. 2002. The/IWA/Anaerobic/Digestion/Model/No1 (ADM1). 2002: IWApublishing [ Links ]
Bird, R. B., W. E. Stewart, y E. N. Lightfoot Barcelona, España.Fenómenos de Transporte. 1978: Reverté [ Links ]
Bryers, J. D.. 1985. Structured modeling of the anaerobic digestion of biomass particulates. Biotechnology and bioengineering. Vol. 27 (5): 638-649. [ Links ]
Caldera M., Yaxcelys A., Pedro I. Madueño M., Alonso G. Griborio D., Edixon C. Gutiérrez G., y Nola M. Fernández A.. 2003. Efecto del Tiempo de Retención Hidráulica en el Funcionamiento de un Reactor UASB trantando Efluentes Cárnicos. Red de Revistas Científicas de América Latina. Vol. 3 (1):. [ Links ]
De Lemos C., C. A. Delhi, India. Biological Wastewater Treatment Series.Anaerobic Reactors (Vol. IV). 2007: IWA Publishing [ Links ]
Donoso-Bravo, A., J. Mailier, C. Martin, J. Rodríguez, C. A. Aceves-Lara, and A. V. Wouwe. 2011. Model selection, identification and validation in anaerobic digestion: A review. WaterResearch. Vol. 45(1): 5347-5364. [ Links ]
Himmelblau, D. M.,y K. B. BischoffEspaña.Análisis y Simulación de Procesos. 1992: Reverté [ Links ]
Huete, E., M. de Garcia, E. Ayesa, and J. L. Garcia-Heras. 2006. ADM1-based methodology for the characterisation of the influent sludge in anaerobic reactors. Water & Science Technology. Vol. 54 (4): 157-166. [ Links ]
Jeppson, Ulf Lund, Sweden.Modelling Aspects of Wastewater Treatment Processes. Doctoral Dissertation. 1996: Lund University [ Links ]
Kleinstreuer, C., y T. Poweigha. 1982. Dynamic simulator for anaerobic digestion processes. Biotechnology and bioengineering. Vol. 24 (9): 1941-1951. [ Links ]
Lettinga, G., L.W. Hulshoff Pol, I. W. Koster, W. M. Wiegant, W. J. De Zeeuw, A. Rinzema, P.C. Grin, R. E. Roersma and S. W. Hobma. 1984. High-Rate Anaerobic Wastewater Treatment Using the UASB Reactor under a Wide Range of Temperature Conditions. Biotechnology and Genetic Engineering Reviews. Vol. 2 (1): 253-284. [ Links ]
Manjunath, N.T., I. Mehrotra, and R. P. Mathur. 2000. Treatment of wastewater from slaughterhouse by DAF-UASB system. Water Research. Vol. 34 (6): 1930-1936. [ Links ]
Martínez, E., A. Marcos, A. Al-Kassir, M. A. Jaramillo, andA. A. Mohamad. 2012. Mathematical model of a laboratory-scale plant for slaughterhouse effluents biodigestion forbiogas production. Applied Energy. Vol. 95():210-219. [ Links ]
Pérez, J., G. Aldana, M. Useche, N. Rincón, N. Bracho, and J. Mesa. 2010. Axial dispersion model performance a reactor of up flow anaerobic sludge blanket (UASB) under laboratory scale. Rev. Téc. Ing.Univ. Zulia. Vol. 33 (3): 213-222. [ Links ]
Rivera Salvador, Víctor, Juan S. Aranda Barradas, Teodoro Espinosa Solares, Fabián Robles Martínez, y J. Ulises Toledo. 2009. El Modelo de Digestión Anaeróbica IWA-ADM1: Una Revisión de su Evolución. Ingenieria Agricola y Biosistemas. Vol. 1 (2): 109-118. [ Links ]
Rosen, Christian, and Ulf Jeppsson Lund, Sweden. Aspects on ADM1 Implementation within BSM2 Framework. 2006: Lund University [ Links ]
Sayed, S Wageningen. Anaerobic Treatment of Slaughterhouse Wastewater Using The UASB Process. 1987: Landbouwuniversiteitte Wageningen [ Links ]
Sayed, S., W. de Zeeuw, y G. Lettinga. 1984. Anaerobic treatment of slaughterhouse waste using a flocculant sludge UASB reactor. Agricultural Wastes. Vol. 11 (3): 197-226. [ Links ]
Shi, X. S., X. Z. Yuan, Y. P. Wang, S. J. Zeng, Y. L. Qiu, R. B. Guo and L. S. Wang. 2014. Modeling of the methane production and pH value during the anaerobic co-digestion of dairy manure and spent mushroom substrate. Chemical Engineering Journal. Vol. 1 (244): 258-263. [ Links ]
Siegrist, H., D. Renggli, y W. Gujer. 1993. Mathematical modelling of anaerobic mesophilic
sewage sludge treatment. Water Science & Technology. Vol. 27 (2): 25-36.
Tartakovsky, B., S. J. Mu, Y. Zeng, S. J. Lou, S. R. Guiot, and P. Wu. 2008. Anerobic digestion model No. 1 based distributed parameter model of an anaerobic reactor: II Model validation. Bioresourse Technology. Vol. 99 (9): 3676-3684. [ Links ]
Torkian, Ayoob, A. Eqbali, and S. J. Hashemian. 2003. The Effect of Organic Loading Rate on the Performance of UASB Reactor Treating Slaughterhouse Effluent. Resources, Conservation and Recycling. Vol. 40 (11): 1-11. [ Links ]
Wu, M., and R. Hickey. 1997. Dynamical model for UASB reactor including reactor hydraulics, reaction and diffusion. Journal Environmental Engineering. Vol. 123(1): 244-252. [ Links ]





















