SciELO - Scientific Electronic Library Online

 
vol.2 número1Simulación de la producción de Quinua en el Altiplano Boliviano con el modelo de Aquacrop con escenarios futuros generados por LARS-WG y QMPOptimización de áreas de riego en base a hidrología estocástica y sistemas hidropónicos en la comunidad Centro Rivera, Río Desaguadero, Altiplano central índice de autoresíndice de materiabúsqueda de artículos
Home Pagelista alfabética de revistas  

Servicios Personalizados

Revista

Articulo

Indicadores

Links relacionados

  • No hay articulos similaresSimilares en SciELO

Compartir


Revista de Investigación e Innovación Agropecuaria y de Recursos Naturales

versión impresa ISSN 2409-1618

RIIARn vol.2 no.1 La Paz  2015

 

PRODUCCIÓN DE CULTIVOS USO DE SUELOS MODELAJE

 

Evaluación del requerimiento de agua en zonas productoras de Quinua bajo condiciones de cambio climático

 

Evaluation of the water requirements of producing zones of Quinoa under conditions of climate change

 

 

Claudia Canedo1 y Magali García2
1    Maestrante investigador- Facultad de Agronomía, UMSA-Bolivia.
2   Docente Investigador - Facultad de Agronomía, UMSA -Bolivia.

 

 


RESUMEN

El objetivo del presente trabajo de investigación fue analizar la relación entre la probabilidad de las precipitaciones y el requerimiento de riego deficitario de la quinua proyectado a condiciones futuras de cambio climático en el Altiplano boliviano. Este trabajo de investigación comprende tres partes fundamentales, el análisis de la frecuencia de precipitaciones en el Altiplano, la proyección de las condiciones futuras obtenidas por la reducción de escala (downscaling) estadístico de un modelo de circulación general (MCG) y el análisis del requerimiento de agua de la quinua con riego deficitario. Estostres ejes posibilitaron la identificación de medidas de adaptación del cultivo de la quinua bajo un posible impacto de cambio climático. El análisis de frecuencias de las precipitaciones en el Altiplano de Bolivia fue realizado siguiendo la metodología del análisis regional de frecuencias basadas en L-momentos propuesta por Hosking y Wallis (1997). Se determinaron las precipitaciones anuales para un año seco (25% de probabilidad de no excedencia de la precipitación media anual (PMA)), normal (50%) y húmedo (75%) para cada región identificada en el Altiplano a partir de dos criterios de homogeneidad, los cuales son la PMA e índice de estacionalidad de las precipitaciones. Posteriormente se realizó el análisis de las proyecciones de temperatura y precipitación de cuatro localidades del Altiplano central (Patacamaya y Oruro) y Altiplano sur (Rio Mulatos y Uyuni), a través de un downscaling estadístico bajo los límites del Modelo de Circulación General ECHAM5.0 con las condiciones previstas por el IPCC (2007) para el escenario A2. Finalmente se determinó el requerimiento de agua del cultivo de la quinua para el presente y para las condiciones proyectadas en las décadas 2020-2029 y 2046-2055, mediante la comparación de los rendimientos del cultivo obtenidos a secano y bajo riego deficitario. Los resultados muestran que frecuencias de las precipitaciones presentan diferencias en la precipitación del Altiplano norte, central y sur de Bolivia. Para una probabilidad de no excedencia de 50% (año normal) el Altiplano norte y central presenta una precipitación media entre 404 a 800 mm/año, en el Altiplano sur entre 156 a 400 mm/año. Esto muestra la aridez característica del Altiplano sur. La temperatura mínima y máxima se incrementará 2 a 3 °C en las cuatro localidades. Los cambios en la lluvia son menores, las precipitaciones proyectadas para la década 2020-2029 reducirán entre un 1 a 4% y para la década 2046-2055 las precipitaciones anuales reducirán entre un 1 a 8%. Se muestran menores cambios para el Altiplano central. La aplicación de riego deficitario muestra un incremento en los rendimientos del cultivo de la quinua

Palabras clave: Quinua, Requerimiento de agua, Downscaling, LARS


ABSTRACT

The objective of this research was to analyze the relationship between the probability of precipitation and déficit irrigation requirements of quinoa projected to future climate change conditions in the Bolivian Altiplano. This research includes three main parts, the analysis of the frequency of rainfall in the highlands, the projection of future conditions obtained by downscaling (downscaling) statistic of a general circulation model (GCM) and Water requirement analysis for quinoa with déficit irrigation. These three issues allow identifying adaptation actions of quinoa crop under possible impacts of climate change.. The precipitation frequency analysis over the Bolivian altiplano was developed following the methodology of regional frequency analysis based on L-moments proposed by Hosking and Wallis (1997). The annual precipitations for a dry year (25% probability of non-exceedance of the annual precipitations (WFP)), Normal (50%) and humid (75%) year were defined for each identified region in the Altiplano from two homogeneity criteria, which are the LDCs and seasonal index of precipitations. Subsequently the analysis of temperature and precipitation projections was performed of four localities of the central Altiplano (Patacamaya and Oruro) and Southern Altiplano (Rio Mulatos and Uyuni), through a statistical downscaling under the General Circulation Model boundaries ECHAM5.0 with the conditions defined by the IPCC (2007) for the A2 scenario. Finally, the water requirement for quinoa crop was found for the present and projected conditions for the decades 2020-2029 and 2046-2055 comparing the obtained yield production with rainfed and déficit irrigation. The results showthat he precipitation differences among northern, central and southern Altiplano were identified. For a probability of not exceeding 50% (normal year) over northern and central Altiplano is between 404 and 800 mm/year, in the southern highlands between 156-400 mm/year. This shows the aridity characteristic of the southern Altiplano. The minimum and maximum temperature will increase from 2 to 3 ° C over the four locations. Precipitations changes are smaller; the projected precipitation for the decade 2020-2029 will decrease between 1 and 4% and for the decade 2046 to 2055 annual precipitation will decrease between 1 to 8%. The results with déficit irrigation applied on quinoa crop showed an increase overquinoa's yield.

Keywords: Quinoa, Water requirement, Downscaling, LARS


 

 

INTRODUCCIÓN

La precipitación constituye una de las principales fuentes de agua para la producción agrícola en el Altiplano de Bolivia. La quinua es un cultivo prioritario de la zona y se caracteriza por ser resistente a sequías en ciertas etapas de desarrollo. La producción de quinua en el Altiplano de Bolivia es generalmente a secano. El análisis de frecuencias es la estimación de cuán seguido ocurre un evento específico, se basa en el estudio de datos en sitios determinados con observaciones típicas de la misma variable en una región definida, donde el análisis regional de frecuencias se aplica siempre y cuando múltiples muestras presentan disponibilidad de datos similares (Hosking y Wallis, 1997). El análisis regional de frecuencias basado en L-momentos (ARF-LM) es usado para estimar cuantiles mediante un ajuste de distribuciones de probabilidad (UNESCO, 2010).

En palabras de Hosking y Wallis (1997), el procedimiento compensa la carencia de información en el tiempo, por su abundancia en el espacio. Dado que el Altiplano constituye una región con características similares en distribución temporal de precipitación, el desarrollar el ARF-LM en el Altiplano Boliviano permite contar con una herramienta de estimación de Precipitación Media Anual (PMA) en determinadas probabilidades de ocurrencia de eventos, donde la PMA es el promedio de precipitación total de lluvia registrada en un año. Bajo la posibilidad de un clima cambiante, el análisis de precipitaciones de registros históricos del Altiplano de Bolivia debe ser complementado con el estudio de posibles impactos de cambio climático en el futuro sobre el sector productivo agrícola, priorizando en este caso el cultivo de la quinua debido a su importancia en el área. En este ámbito la Convención Marco de las Naciones Unidas sobre el Cambio Climático (UNFCCC) indica que el downscaling o reducción de escala es un método para obtener información climática o de cambio climático de alta resolución a partir de los Modelos de Circulación General (MCG's).

El downscaling (reducción de escala) estadístico es una herramienta de fácil acceso con buenos resultados. Diversos autores y agencias (UNFCC (2005), por ejemplo Canadian Climate Change Scenarios Network (2013) entre otros sugieren su uso a nivel local. Estos autores describen que entre los diversos métodos de regionalización o downscaling estadístico están: a) Funciones de transferencia, basadas en modelos de regresión, lineales y no lineales para derivar las relaciones entre predicciones locales y predicciones de larga escala. b) Tipos de tiempo y métodos de análogos, basados en modelos de vecinos cercanos o de clasificación de tiempos en un número de grupos con similares tipos de tiempo meteorológico y c) Generadores de tiempo, a través de la simulación estocástica de series de valores diarios consistentes con la climatología disponible. Posteriormente se identificó su utilidad para la regionalización local por su capacidad de reproducir la climatología diaria, la cual, integrada con los resultados de los Modelos de Circulación General, ha mostrado una amplia y barata aplicabilidad para la evaluación de condiciones futuras locales. Dentro de estos últimos, el modelo LARS-WG (Semenov y Barrow (1997), Semenov et al. (1998) ha mostrado capacidad para reproducir adecuadamente las condiciones meteorológicas locales de puntos situados bajo variadas condiciones fisiográficas y meteorológicas.

Considerando la importancia del cultivo de la quinua, se requiere evaluar la vulnerabilidad y flexibilidad del sistema productivo. A pesar de la tolerancia de la quinua a factores abióticos adversos, la producción actual en condiciones a secano presenta un rendimiento promedio de 0,6 toneladas por hectárea según el Instituto Nacional de Estadística (2007). Por este motivo el riego constituye una alternativa para mejorar su rendimiento. Según Geerts (2008) la aplicación de riego es una práctica recomendable para el cultivo de quinua en regiones secas, donde el riego deficitario constituiría una buena alternativa tomando en cuenta la limitada oferta de agua en la zona. El riego deficitario es limitado a la aplicación de riego únicamente en etapas sensibles al estrés hídrico del cultivo, en el caso de la quinua estas etapas son el establecimiento del cultivo, floración y llenado de grano. Por todo lo mencionado anteriormente, este estudio pretende analizar la relación entre la probabilidad de las precipitaciones y el requerimiento de riego deficitario de la quinua proyectado a condiciones futuras de cambio climático en el Altiplano boliviano, con el fin de encontrar medidas de adaptación que garanticen la sostenibilidad del cultivo.

 

MATERIALES Y MÉTODOS

Análisis de frecuencias de las precipitaciones

El análisis de frecuencia de precipitaciones se basó en los datos históricos de precipitación diaria de 35 estaciones meteorológicas a nivel del Altiplano, de las cuales 24 se encuentran en territorio boliviano y 11 en el norte de Chile. El análisis regional de frecuencias basadas en los L-momentos (ARF-LM), considera cinco etapas fundamentadas en trabajos de Hosking y Wallis (1997), Schaefer et al. (2007) y UNESCO (2010) los cuales indican: 1) Revisión y preparación de los datos, 2) Identificación de regiones homogéneas, 3) Selección de la distribución de frecuencia, 4) Cálculo de parámetros y estimación de la función de cuantiles y 5) Mapeo del periodo de retorno o probabilidad de ocurrencia de la precipitación.

La revisión y preparación de datos tiene como propósito el control de la calidad de datos, detectar datos erróneos y examinar el cumplimiento de los supuestos básicos de tendencia, homogeneidad y autocorrelación. La identificación de regiones homogéneas toma dos criterios de formación de regiones homogéneas, la precipitación media anual (PMA) y la estacionalidad. La precipitación media anual es el promedio de la acumulación de la precipitación en el periodo de un año de la serie histórica e Índice de Estacionalidad (SI) descrito por Schaefer et al. (2007) el cual considera el día medio de ocurrencia, análogo a la media aritmética, el SI, análogo a una medida estandarizada de variación. Su cálculo es el siguiente:

donde Precipitación total Días total es el número total de días para el año actual, Ji=día juliano del año, P¡ es la precipitación para una fecha dada (Ji); n es el número total de precipitaciones y fechas; Ptotal es la suma total de todos los valores de precipitación para el conjunto de registros.

En el análisis regional de frecuencias es necesario que todas las estaciones pertenecientes a esa región presenten datos con la misma distribución de probabilidades. La prueba de heterogeneidad de las estaciones se define como Hosking y Wallis (1997):

donde son la media y variación estándar de datos simulados respectivamente. V1 es la desviación estándar ponderada de L-coeficiente de variación que tiene la siguiente definición:

donde N es el número de sitios o estaciones, ni es la longitud de registros de cada sitio, LCVi es el L-coeficiente de variación de cada sitio, LCV es el promedio de los valores de LCVi.

El criterio de homogeneidad utilizado en la guía metodológica de la UNESCO (2010) se basa en Hosking (et al, 2007), quienes sugieren los siguientes rangos, a diferencia de los rangos originales descritos por Hosking y Wallis (1997), presentados en la Tabla 1.

Como indican Hosking y Wallis (1997) la cantidad fundamental del análisis de frecuencia estadística convencional es la distribución de frecuencia, que especifica cuan frecuentemente ocurren los posibles valores de la magnitud de la precipitación anual Q, que puede tomar un valor potencial entre 0 y el infinito. Denótese a continuación por F(x) la probabilidad de que el valor actual de Q sea menor o igual a un determinado valor x:

Donde F(x) corresponde a la función de distribución de probabilidad de la distribución de frecuencia. Y la función inversa de SI=i=1F(x) corresponde ai=1x(F), que es conocida como la función cuantílica de la distribución de frecuencia y expresa la magnitud de un determinado evento, la precipitación acumulada en un año, en términos de probabilidad de no excedencia F (Hosking y Wallis, 1997).

Los mismos autores indican que el periodo de retorno (T) es el valor esperado del intervalo entre ocurrencias promedio de eventos que exceden o igualan una magnitud especificada de la variable aleatoria . Entonces, un cuantil con periodo de retorno (QT), es un evento de magnitud extrema, que tiene una probabilidad 1T-1 de ser excedido por cualquier evento específico. Para un evento extremo alto, ubicado en la cola superior de la distribución de frecuencias, QTestá dado por:

Para un evento extremadamente bajo, en la cola inferior de la distribución de frecuencia, las relaciones correspondientes son . En este contexto, el objetivo del análisis de frecuencia, es obtener una estimación del cuantil (QT) para un periodo de retorno determinado. El objetivo puede ser el estimar QT para un rango de periodos de retorno o estimar la función cuantílica completa (Hosking y Wallis, 1997).

Proyecciones termo-pluviométricas

El análisis de las proyecciones termo-pluviométricas para el futuro (décadas 2020-2029 y 2046-2055) con series de tiempo de alrededor de 30 años de cuatro estaciones meteorológicas localizadas en el Altiplano de Bolivia (Oruro, Patacamaya, Río Mulatos y Uyuni) incluyen la información diaria de Precipitación (PP) y Temperaturas Máximas (Tmax) y Mínimas (Tmin). Las series fueron filtradas en su consistencia para introducirlas en el Generador de tiempo LARS-WG y correrlas bajo el límite del modelo ECHAM 5.0 y para las condiciones previstas por el escenario A2. Las series climáticas observadas fueron utilizadas para, en primera instancia, generar 30 años de datos diarios que deberían representar la distribución histórica de las estaciones utilizadas y así evaluar la capacidad del modelo de generar datos con poblaciones estadísticamente iguales a los datos de entrada. El análisis de precipitación también fue realizado. Una vez verificada la capacidad del generador LARS-WG para representar las condiciones termo-pluviométricas de las zonas representadas por las estaciones analizadas, se procedió a generar poblaciones climáticas de las décadas de 2020-2029 y 2046-2055 en las cuales se evaluó el cambio promedio de Tmax, Tmin y PP y la frecuencia y variación de la duración del periodo libre de heladas (Tmin<0°C) y las Tmax extremas.

También se calculó la probabilidad de ocurrencia de años secos, normales o húmedos en base a datos históricos mensuales de precipitación media anual de las décadas 2020-2029 y 2046-2055 con el presente, además que se determinaron probabilidades de precipitación anual mediante un análisis de cuartiles, definiendo a años secos a la precipitación mensual ubicada en el primer cuartil, años normales a precipitaciones encontradas en el segundo cuartily años húmedos a las precipitaciones del tercer cuartil. Por otro lado se comparó datos históricos anuales y de precipitación acumulada para los meses con mayor precipitación (diciembre, enero y febrero) con los datos proyectados para las décadas 2020-2029 y 2046-2055, considerando un año seco, normal y húmedo.

Requerimiento de agua de la quinua

Geerts (2008) indica que se podrá obtener buenos rendimientos tomando en cuenta solo la disponibilidad de riego deficitario para las etapas sensibles de la quinua, estas fases son durante el establecimiento del cultivo, florescencia y grano lechoso (llenado de grano). El modelo AquaCrop es un modelo que mantiene un balance correcto entre robustez y precisión de salida. Es un modelo genérico de uso eficiente de agua y puede ser usado por un gran número de cultivos (Raes et al., 2008). La determinación de niveles de rendimiento pueden ser esperados bajo la variación de aplicación de agua y el riego deficitario en varias zonas agroclimáticas. Para determinar si el riego deficitario continuó siendo beneficioso en casos de escasez de agua, Geerts (2008) calibró y validó el modelo de AquaCrop considerando las características de suelo y las condiciones de manejo del Altiplano boliviano, mediante simulaciones para diferentes series de tiempo y escenarios de accesibilidad a agua.

La eficiencia del uso de agua (EUA) (Ya/ETa) se determinó mediante la relación entre el rendimiento obtenido valorado económicamente (Ya), que para la quinua es el grano con un determinado volumen de agua consumida por el cultivo (evapotranspiración real ETa) (Molden, 2003; Geerts 2008). La evapotranspiración real (ETa) es la suma de la pérdida de agua por la evaporación del suelo y la transpiración de la planta durante el ciclo del cultivo.

Con el modelo AquaCrop se determinaron los rendimientos del cultivo de la quinua a secano, a partir de la entrada de datos de clima de las series históricas y de las proyecciones para las décadas 2020-2029 y 2046-2055. Además se ingresó al modelo datos de suelo y manejo del cultivo. Las características del cultivo ingresadas al modelo se basaron en los resultados de Geerts (2008). Se repitió este procedimiento con la incorporación de riego de la quinua, considerando la aplicación de riego deficitario. Posteriora esto, se compararon los rendimientos de quinua obtenidos para el presente y para el futuro, a secano y con riego deficitario.

 

RESULTADOS Y DISCUSIÓN

Análisis regional de frecuencias basado en L-momentos

La PMA de las estaciones estudiadas tiene un rango de 71 a 850 mm/año, un 40% de las estaciones presentan una PMA de 400 a 600 mm/año. Las estaciones con menor precipitación se ubican en el Altiplano sur mientras que las estaciones con mayor precipitación se encuentran en el Altiplano norte, cercanas al Lago Titicaca. El índice de estacionalidad muestra dos picos, las estaciones con 0,5 a 0,55 se ubican en el Altiplano norte y central, en el rango entre 0,75 y 0,8 se centran en estaciones ubicadas en el Altiplano sur, mostrando una estacionalidad marcada en el Altiplano sur.

Una vez determinadas las regiones homogéneas se prosiguió con la selección de la distribución de probabilidad regional, los resultados de este análisis son detallados en la Tabla 2, de la misma forma se identifican las estaciones pertenecientes a cada región y el resultado de la prueba de bondad de ajuste ZDIST, las regiones contemplan un valor de Z menor a 1.64, por lo tanto las distribuciones se ajustan adecuadamente a los datos observados.

Se determinaron cuantiles de precipitación para un año seco (F 0.25), normal (F 0.5) y húmedo (F 0.75). Para un año seco la PMA oscila entre 88,5 y 607 mm año-1, para un año normal entre 156 -800 mm año-1 y para un año húmedo la PMA se encuentra entre 246 -1037,5 mm año-1.

Las regiones localizadas en el Altiplano sur (1,2,3 y 4) presentan PMA menor al Altiplano norte y central (5, 6, 7, 8 y 9). Para un año seco las precipitaciones del Altiplano sur de Bolivia tienen un rango entre 88,5 - 315 mm año-1, en comparación con las regiones del Altiplano central y norte que presentan una precipitación entre 341 - 607 mm año-1. De igual forma en un año normal existe un gran contraste en las precipitaciones, las regiones del Altiplano sur de Bolivia oscilan entre 156 - 400 mm año-1 y las regiones del Altiplano central y norte van desde 404 - 800 mm año-1. Para un año húmedo las precipitaciones van desde 246 - 493 mm año-1 para el Altiplano sur de Bolivia y entre 470 -1037,5 mm año-1 para el Altiplano central y norte.

Para el análisis de precipitación media anual (PMA) se realizó el análisis con probabilidades desde 0,1 hasta 0,9. De forma general, para todas las probabilidades de estimación de cuantiles se confirmaron mayores concentraciones de PMA en el Altiplano norte y central comparado con el Altiplano sur. La Figura 1 muestra el mapeo espacial de cuantiles (Q) [mm año-1] a una frecuencia de 0,25 (año seco con 25% de probabilidad no excedencia de PMA), 0,5 (año normal con 50% de probabilidad no excedencia de PMA) y 0,75 (año húmedo con 75% de probabilidad no excedencia de PMA) respectivamente. Para un año seco el PMA oscila desde 65 mm año-1 en zonas más áridas (Altiplano sur) hasta 520 mm año-1 en las zonas más húmedas (Altiplano norte). Para un año normal el PMA va de 115 mm año-1 en el sur hasta 650 mm año-1 en el norte y para un año húmedo el PMA alcanza unos valores de 142 mm año-1 en el sur hasta 840 mm año-1 en el norte.

Proyección de condiciones climáticas futuras

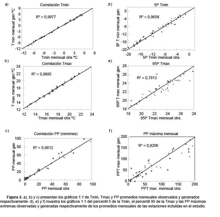
Para la validación del LARS-WG, los valores promedio mensuales de temperatura mínima (Tmin), temperatura máxima (Tmax) y precipitación fueron reproducidos por el modelo LARS-WG. La Figura 2 muestra los gráficos 1:1 de Tmin(a), Tmax (b) y precipitación(c) observada y generada de las estaciones incluidas en el estudio junto a los valores de coeficiente de determinación (R2) de las relaciones obtenidas. La Figura 2 también muestra los gráficos 1:1 del percentil 5 de la Tmin (d),el percentil 95 de la Tmax (e) y precipitación máxima extrema (f) observada y generada de las estaciones estudiadas, también con su valor de coeficiente de determinación (R2). En todos los casos se aprecia una alta capacidad para generar valores a partir de datos de clima tanto en variabilidad, promedios y extremos. Por lo que se deduce que el modelo podría reflejar las condiciones climáticas para el futuro en las localidades de Oruro, Patacamaya, Río Mulatos y Uyuni.

Los valores proyectados de temperatura y térmicos se observarían hacia 2046-2050 con precipitación muestran mayores incrementos poco cambio hasta 2020-2029 (Figura 3).

El incremento en las Tmax se percibe con mayor intensidad en Oruro y Patacamaya que en Rio Mulatos y Uyuni, probablemente por la mayor sequedad del aire, la cercanía a los anticiclones y la altitud que reducen la posibilidad de acumular energía durante el día. También se percibe una elevación térmica homogénea de la Tmax a lo largo del año a diferencia de la Tmin.

En la Tabla 3 se muestra la precipitación anual [mm año-1] para el presente y para las décadas 2020-2029 y 2046-2055 a probabilidades de 25% (año seco), 50% (año normal) y 75% (año húmedo).

Oruro y Patacamaya proyectan para las décadas 2020-2029 y 2046-2055 una disminución de la precipitación. En la década 2020-2029 la variación va de 4 a 14 mm año-1, lo que representa 2 a 3% de precipitación, en la década 2046-2055 la variación oscila entre 4 a 9 mm año-1 lo que representa entre 1 a 3% de precipitación. Para la década 2020-2029, Río Mulatos y Uyuni proyectan una disminución de la precipitación media anual de 3 a 12 mm año-1 (1 - 4%). Para la década 2046-2055 esta diferencia asciende de 5 a 23 mm lo que representa entre 6 a 8% de precipitación. Para estas cuatro localidades, la década 2020-2029 proyecta una disminución en la precipitación acumulada promedio de los meses más lluviosos (diciembre, enero y febrero). En el Altiplano central (Oruro y Patacamaya), la disminución en esta década es de 1 % lo que representa entre 2 a 4 mm de precipitación. En el Altiplano sur (Rio Mulatos y Uyuni), el decremento de la precipitación es de 3% lo que representa una precipitación de 3 a 7 mm.

Para la década 2046-2055 se intensifica la disminución de las precipitaciones para los meses más lluviosos. En el Altiplano central la precipitación disminuye entre 2 a 4% lo que representa de 3 a 10 mm. En el Altiplano sur este porcentaje oscila entre 6 a 8% (Tabla 3).

Requerimiento de agua de la quinua bajo condiciones de cambio climático

Al estar calibrado el modelo AquaCrop para la quinua, la determinación de rendimientos esperados para escenarios de riego deficitario es viable. Los datos de precipitación y evapotranspiración diaria para la serie histórica y las décadas 2020-2029 y 2046-2055 de las estaciones de Oruro, Patacamaya, Rio Mulatos y Uyuni servirán para la simulación de productividad de agua.

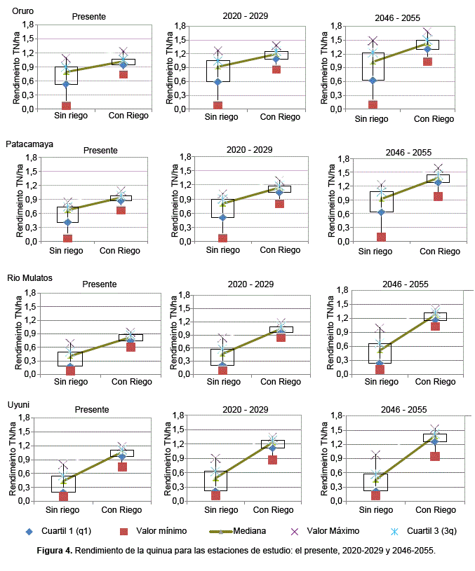
La Figura 4 expresa el rendimiento del cultivo de la quinua para las estaciones de Oruro, Patacamaya, Rio Mulatos y Uyuni respectivamente. En general se muestra una mayordispersión de los rendimientos obtenidos sin riego y una estabilización y aumento de los rendimientos con riego. Por otro lado se muestra un incremento en el rendimiento de la quinua en las décadas 2020-2029 y 2046-2055, inclusive en escenarios sin riesgo.

Se coincide con la afirmación de Geerts (2008) acerca de que el riego deficitario estabiliza los rendimientos en un nivel significativamente mayor a los rendimientos a secano. Este autor mediante experimentación con agricultores dedujo que una buena planificación de riego deficitario utiliza la mitad de agua requerida en un riego completo y permite la estabilización de un rendimiento de la quinua entre 1,2y2Mg ha-1, tomando en cuenta que el estrés por sequía puede ser mitigado durante el establecimiento y las etapas reproductivas (floración y formación del grano).Es importante notar que con la aplicación de riego deficitario los rendimientos se estabilizan, reduciendo la posibilidad de obtener rendimientos mínimos (Figura 4).

 

CONCLUSIONES

El Altiplano norte y central muestran mayor rango de variación de los cuantiles en función de las probabilidades de precipitación, además que presentan mayores concentraciones de lluvia. Sin embargo el rango es menor en el Altiplano sur y contempla un máximo de 500 mm año-1, esta situación disminuye la flexibilidad de probabilidad de precipitación y aumenta la probabilidad de déficit hídrico. Como consecuencia la producción agrícola presenta mayor vulnerabilidad en el Altiplano sur, siendo que las medidas de adaptación deben ser implementadas con mayor urgencia en este sector.

El mapeo de las frecuencias de precipitaciones permitió realizar un análisis espacial a partir de información de estaciones meteorológicas del Altiplano de Bolivia, en la medida de que se identificó la cantidad de lluvia anual a partir de una regionalización basada en las características de precipitación media anual y del índice de estacionalidad.

En cuanto al análisis de las proyecciones de cambio climático, el generador de datos LARS-WG bajo los límites de modelo ECHAM5.0, muestran resultados similares en la salida de las variables de precipitación, temperatura mínima y máxima entre las series históricas observadas y las generadas por el modelo para este periodo. Como resultado de este análisis se concluyó que el modelo ECHAM5.0 podría ajustarse a las condiciones climáticas proyectadas al futuro en la zona de estudio.

Las proyecciones termo-pluviométricas a futuro muestran un aumento de la temperatura entre 2 - 3°C, sin embargo el riesgo por heladas se mantiene los meses invernales. El incremento de la temperatura provoca una mayor evapotranspiración y por lo tanto se incrementan los requerimientos de agua para la planta.

La variación de precipitación a futuro muestra una disminución entre 1 - 4% de la precipitación para la década 2020-2029, lo que representa un máximo de decremento de 12 mm año-1; para la década 2046-2055 se intensifica el decrecimiento de la precipitación entre 1 - 8%, lo que constituye un máximo de 23 mm año-1 de decremento. La disminución de las precipitaciones proyectadas es mayor en el Altiplano sur, situación que podría incrementar su vulnerabilidad y déficit hídrico.

La precipitación acumulada de los meses más lluviosos (diciembre, enero y febrero) para el presente y futuro muestran mayor concentración de las precipitaciones en el Altiplano sur que en el Altiplano central; esta estacionalidad coincide con el análisis regional de frecuencias de precipitaciones históricas. La producción del cultivo de la quinua a secano limitaría su disponibilidad de agua a este breve periodo de tres meses, esta situación podría afectar de forma negativa los rendimientos de este cultivo.

Al estar calibrado el modelo AquaCrop para la quinua, la determinación de rendimientos esperados para los diferentes escenarios de riego deficitario fue viable. Bajo la aplicación de riego deficitario efectivamente se pudo observar una estabilización en el rendimiento del cultivo, de igual manera se presenta un aumento del rendimiento para las década 2020-2029 con mayor amplitud para la década 2046-2055.

Tanto en el Altiplano central como en el sur se observó un incremento en el rendimiento, con o sin la aplicación de riego, para las décadas 2020-2029 y 2046 2055, lo cual puede deberse al incremento de la temperatura, presentando una disminución al estrés de este factor. Además puede influir el incremento de concentración de CO2, factor que intervendría en la fotosíntesis de la quinua.

El riego deficitario para el cultivo de la quinua representa una concreta medida de adaptación al cambio climático, debido a que se posibilitaría la estabilización de rendimientos, y por lo tanto se reduciría la vulnerabilidad de los agricultores originada por la dependencia del régimen pluviométrico actual y futuro.

Al haber trabajado con escenarios del cuarto informe de evaluación del IPCC (AR4) se recomienda incorporar un análisis de las proyecciones climáticas bajo escenarios del quinto informe del IPCC, considerando en este estudio la fisiografía de la zona altiplánica.

 

BIBLIOGRAFíA

Geerts S. 2008. Déficit irrigation strategies via crop water productivity modeling: Field research of quinoa in the Bolivian Altiplano. Katholieke Universiteit Leuven. Belgium. 211 p        [ Links ]

Hosking M. y Wallis J.R. 1997. Regional Frequency Analysis: An Approach Based on L-Moment. Cambridge University Press, Cambridge, U.K.        [ Links ]

Intergovernmental Panel On Climate Change (IPCC). 2007. Climate Change 2007: The Physical Science Basis. Contribution of the Working Groups to the Fourth Assessment Report of the Intergovernmental Panel on Climate Change.        [ Links ]

Molden D. 2003. A water-productivity framework for understanding and action. In: Kijne J.W., Barker R., Molden D. (Eds.), Water productivity in agriculture: limits and opportunities for improvement. International Water Management Institute, Colombo, Sri Lanka, p. 1-18        [ Links ]

Raes D., Steduto P., Hsiao T.C., Fereres E. 2008. AquaCrop:The FAO Crop model to predict yield response to water: II Main algorithms and software description. Special issue on "Yield response to water: examination of the role of crop models in predicting water use efficiency". Agron j. Article under review.        [ Links ]

Schaefer M., Barker B., Taylor G. y Wallis J. 2007. Regional precipitation-frequency analysis and spatial mapping for 24-hour precipitation for Oregon.MGC Engineering Consultants, Inc and Oregon Climate Service.        [ Links ]

Semenov M.A. y Barrow E.M. 2002. A stochastic weather generator for use in climate impact studies.User Manual Version 3.0.        [ Links ]

Semenov M.A. y Barrow E.M. 1997. Use of a stochastic weather generator in the development of climate change scenarios. Climate Change. 35:397-414.        [ Links ]

UNESCO. 2010. Guía metodológica para la aplicación del Análisis regional de frecuencia de sequías basado en L-momentos y resultados de aplicación en América Latina. CAZALAC. Documentos técnicos del PHI-LAC, N° 27.        [ Links ]

Wallis J., Schaefer M., Barker B. y Taylor G. 2007. Regional precipitation-frequency analysis and spatial mapping for 24-hour and 2-hour durations for Washington States. Hydrol. Earth Syst. Sci., 11(1): 415-442.        [ Links ]

 

 

Creative Commons License Todo el contenido de esta revista, excepto dónde está identificado, está bajo una Licencia Creative Commons