INTRODUCCIÓN
En los últimos años la dieta de los consumidores ha sufrido cambios radicales debido al estilo de vida, sobre todo en grandes ciudades, donde principalmente factores como el sedentarismo, una dieta poco equilibrada, con un consumo de grandes cantidades de alimentos procesados han ocasionado que en la población aumente el número de personas con enfermedades digestivas, como la gastritis y úlceras, ocasionando que alrededor del 5 al 10% de la población mundial se vea afectada por lesiones ulcerosas, esta cifra aumenta drásticamente hasta el 50% a la edad de 60 años. (Ayaz et al., 2022).
El desarrollo de gastritis, úlceras y otros trastornos gástricos pueden estar asociados con factores endógenos como enfermedades autoinmunes e hipersecreción gástrica, y factores exógenos como estrés, alcohol, cafeína, fármacos antiinflamatorios no esteroideos (AINE), infección por Helicobacter pylori y síndrome de Zollinger-Ellison entre otros (Malfertheiner et al., 2023; Rachmani et al., 2021).
La úlcera péptica es una degeneración de la mucosa que llega hasta la submucosa causada por una lesión ácida péptica del tracto digestivo. Las úlceras pépticas se localizan en el estómago o en la porción proximal del duodeno, pero también pueden encontrarse en el esófago (Van Wieren, 2024). Es causada por el resultado de un desequilibrio entre factores agresivos gástricos entre otros, el ácido y la pepsina y los factores de protección de la mucosa que actúan de barrera defensiva, como el moco y bicarbonato. Así la formación de la úlcera puede producirse tanto por aumento de la secreción de ácido gástrico como por la disfunción de la barrera mucosa (Laucirica et al., 2023).
En los pacientes con infección por H. pylori, el tratamiento de elección para la úlcera péptica es la terapia erradicadora, basada en la combinación de varios antibióticos activos frente a H. pylori junto a un inhibidor de la bomba de protones (IBP). Sin embargo, estos medicamentos presentan varias reacciones adversas (Gisbert et al, 2022), eventos cardiovasculares, dolores de cabeza, depresión, estreñimiento (Baroja et al., 2020), mayor riesgo de contraer infecciones. La enfermedad péptica origina un importante número de consultas externas y supone un índice elevado de ingresos hospitalarios en esta población. (Roig y Arramz, 2024).
Es por ello que existe una creciente demanda de opciones de tratamiento naturales que conlleva al interés de analizar sustancias de nuestra alimentación que pueden ser beneficiosas para la salud debido a la presencia de compuestos bioactivos en su composición.
Musa paradisiaca (M. paradisiaca) y otras especies de Musa relacionadas se denominan comúnmente como plátano, es un cultivo básico en las zonas húmedas y partes subhúmedas de África, Asia, Centro y Sur América. Los plátanos (fruto) son ricos en ácidos orgánicos, compuestos fenólicos, polisacáridos, carotenoides, azúcares, vitaminas y minerales (Sojinu et al., 2021). Los beneficios para la salud del fruto plátano verde inmaduro incluyen propiedades antioxidantes debido a la presencia de compuestos fenólicos en su composición (Shodehinde y Oboh, 2013), beneficios relacionados con las enfermedades gastrointestinales, control del peso, con el metabolismo glucémico, complicaciones renales y hepáticas asociadas a la diabetes, la diarrea y estreñimiento en niños, mejora el perfil lipídico en adultos al igual que los parámetros inflamatorios. (Osama et al., 2020; Leeward et al., 2023; Dunji et al., 1993; Rabbani et al., 2001; Bahado et al., 2006; Sarda et al., 2016; Cassettari et al., 2019).
Erithroxylum coca (coca) es una especie vegetal que ha sido considerada sagrada por diversos grupos indígenas. Con base en los resultados publicados dedicados al estudio de la composición química de las especies de Erythroxylum, se han encontrado 383 compuestos, incluidos diterpenos, triterpenos, flavonoides, alcaloides y otros derivados (Lv et al., 2022). Weil, (1981) informó sobre la utilización de la coca en la medicina tradicional andina, para aliviar las úlceras, dolores estomacales, diarrea, náuseas.
Otras variedades de Erithroxylum presentan propiedades antioxidantes (De Barros et al., 2017), propiedades antimicrobianas (Manabe et al., 1992), citotóxicas (Satoh et al., 2000), efectos sobre la hipertensión arterial (Hansen et al., 1996) y efectos antivirales entre otros (Lohezic et al., 1999).
Basados en el uso tradicional y las investigaciones que se realizaron con estas especies vegetales, en este trabajo se plantea evaluar el efecto gastroprotector de los extractos hidroetanólicos de plátano verde (fruto) y hojas de coca en ratones, además de una asociación de estos extractos, buscando validar su uso tradicional y poder incorpóralos en un fitomedicamento.
MATERIAL Y MÉTODOS
Material vegetal
Las especies vegetales se recolectaron de productores locales en Bolivia. El plátano inmaduro (plátano verde) se adquirió del municipio de Caranavi en los Yungas de la empresa “Yungueña”. La coca fue adquirida de los proveedores de la Zona de Villa Fátima en la ciudad de la Paz, proveniente del municipio de Coroico en los Yungas. Las especies vegetales fueron obtenidas en el mes de mayo 2023.
Se molieron 500 g de las hojas de coca en un mortero a mano, se pasó por un tamiz de (350μm). El plátano se lavó y desinfecto, se cortó en rodajas delgadas que fueron secadas a 35°C en una estufa, luego se procedió a molerlas y pasarlas por un tamiz (350μm). La extracción de los componentes de las dos especies vegetales se realizó por maceración en una mezcla hidroetanólica al 70% (500 g de polvo de hojas de coca en 700 ml de solución y 500 g de polvo de plátano verde en 1000 ml de solución) a temperatura ambiente durante siete días hasta agotamiento, los macerados se filtraron y concentraron a presión reducida en un rotaevaporador (Heidoph 1-4000) y luego se liofilizaron (Christ Alpha 2-4).
Animales de experimentación
Se utilizaron ratones albino suizos (30-35g) proporcionados por el Bioterio de la Facultad de Ciencias Farmacéuticas y Bioquímicas de la Universidad Mayor de San Andrés (UMSA, La Paz-Bolivia). Los animales fueron separados en grupos de cinco, mantenidos en condiciones estándar durante una semana antes de los experimentos, a una temperatura ambiente (22±2°C), con 12 horas de luz y 12 horas de oscuridad, recibieron agua y alimento ad libitum. Antes de la evaluación gastroprotectora los animales fueron alojados en jaulas con malla de alambre para evitar la coprofagia. Todos los experimentos se realizaron previa aprobación por el Comité Institucional de Ética Animal CEI-UMSA 0715.
Inducción de úlceras gástricas.
La inducción de úlceras gástricas se realizó mediante la administración de etanol absoluto en una dosis de 0,08 ml/10g de peso corporal, por medio de una sonda intragástrica, los animales se dividieron aleatoriamente en seis grupos de cinco ratones en cada uno. Doce horas antes del experimento se les proporcionó solamente agua ad libitum. Cada grupo fue pre tratado por vía oral, al grupo I sanos, no se le administró etanol (tratado con solución salina 0,9% - 0,1ml/10g de peso corporal), grupo II control patológico se le administró etanol (tratado con solución salina más 0,9%), grupo III se le administró etanol (tratado con omeprazol 60 mg/kg), grupo IV se le administró etanol (tratado con extracto hidroetanólico de coca a una dosis de 500 mg/kg), grupo V se le administró etanol (tratado con extracto hidroetanólico de plátano verde a una dosis de 500 mg/kg), grupo VI se le administró etanol (tratado con extracto hidroetanólico de plátano y coca en una relación (70:30) a una dosis de 1500 mg/kg). Esta asociación es utilizada como remedio tradicional por 30 personas de 250 que tienen diabetes, participantes en el proyecto “Diabetes tipo 2: nutracéuticos e investigación clínica”, del Área de Farmacología del IIFB, la proporción y dosis fue ajustada según los resultados de cribado obtenidos a dosis de 250, 500 y 1000 mg/kg de actividad gastroprotectora para los dos extractos.
Cuarenta minutos después de la administración de los tratamientos se administró el etanol absoluto (0,08 ml/10g de peso corporal), a todos los grupos exceptuando al grupo I, una hora después de la administración ulcerogénica los animales fueron sacrificados y sus estómagos fueron extraídos y abiertos a lo largo de la curvatura mayor. Cada estómago fue lavado usando solución salina para eliminar el contenido gástrico y los coágulos de sangre y así poder observar lesiones macroscópicas.
Evaluación de la lesión de la mucosa gástrica.
Las muestras de los estómagos se fotografiaron usando una cámara digital, las imágenes obtenidas fueron analizadas para identificar las lesiones y se observó el grado de la lesión, la morfología macroscópica, tejido gástrico, el color, y el sangrado en la mucosa gástrica de los estómagos de los ratones. Las úlceras se calificaron según su gravedad utilizando el estándar de puntuación de Guth (Guth et al., 1979) de la siguiente manera: petequias lesiones = 1, erosiones <1 mm = 2, erosiones entre 1 y 2 mm = 3, erosiones entre 2 y 4 mm = 4, y erosiones mayores que 4 mm = 5. Las puntuaciones parciales se sumaron para obtener la puntuación total final de la lesión para cada estómago.
El índice de úlcera se calculó dividiendo el área total ulcerada (mm2) entre en área total del estómago para cada grupo. El porcentaje de protección de determinó mediante la siguiente ecuación:
% de Protección=((índice de úlcera control)-(índice de úlcera de prueba))/(índice de úlcera control))*100
RESULTADOS
Se obtuvo un rendimiento del 3 % para el extracto vegetal de M. paradisiaca y 4,8% para el extracto vegetal de E. coca.
Al grupo I sanos no se le administró etanol, solo se administró solución salina, no presenta ninguna lesión, por tanto el índice de ulceración es 0mm2. El potencial gastroprotector de los extractos de Musa paradisiaca (plátano), Erithroxylum coca (coca) y la asociación de los dos extractos se muestra en la tabla 1 donde se observa que el porcentaje de inhibición del extracto de plátano verde y la asociación de los dos extractos presentan una significativa reducción de las áreas dañadas del estómago en comparación con el control patológico en ratones con úlcera inducida por etanol como agente ulcerogénico .
Tabla 1 Efecto de la administración oral de extractos de plátano verde, coca y la asociación de los extractos de plátano verde y coca, en ratones (n=5) sometidos a inducción de úlcera aguda con etanol

Resultados como media ±.SEM. Se realizó la comparación estadística utilizando ANOVA seguido de la prueba de Dunett *p<0.05 y **p<0.01 de todos los grupos comparados con el grupo control patológico.
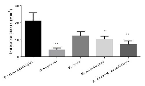
El efecto de los extractos sobre las úlceras inducidas por etanol fue analizado por separado (figura 1), se puede observar que el extracto de coca tuvo un efecto reductor de las úlceras con un índice de úlcera de 12.28 mm2, menor que el presentado por el grupo control patológico que fue de 21.02 mm2, pero que no fue significativo, por otro lado el extracto de plátano verde si presentó un efecto gastroprotector significativo con un índice menor de úlcera de 10.32 mm2 respecto del grupo control patológico, por otra parte, el mayor efecto protector fue de la asociación de los dos extractos plátano verde y coca con un índice de úlcera mucho menor de 7.31 mm2 comparado con el grupo control patológico y mas cercano al índice de ulcera del grupo omeprazol de 4.06 mm2.

Figura 1 Efecto gastroprotector de los extractos de plátano verde, coca y la asociación de los extractos de plátano verde y coca en ratones con úlceras inducidas por etanol. Resultados como media ± SEM para cinco ratones. Comparación estadística mediante ANOVA seguida de la prueba de Dunnet *p<0,05 y **p<0.01. Todos los grupos se compararon con el grupo control patológico.
El grupo control (GI) muestra una morfología normal sin alteraciones sobre la mucosa. En el control patológico (GII) se pueden observar lesiones macroscópicas, petequias y lesiones hemorrágicas generalizadas, el grupo omeparazol (GIII) muestra pequeñas petequias y mucho menos lesiones comparadas con el grupo control patológico. El grupo tratado con extracto de coca (GIV) muestra irritación generalizada en diferentes áreas, lesiones hemorrágicas y algunas petequias. El grupo (GV) tratado con extracto de plátano presenta menor irritación en la mucosa, puntos localizados de petequias y focos hemorrágicos. El grupo (VI) tratado con el extracto asociado de coca y plátano vede presenta pocas lesiones, casi no presenta petequias en tres de los cinco estómagos y tampoco se observan hemorragias (figura 2), comparadas con el grupo tratado con omeprazol.

Figura 2 Fotografías del estómago de los ratones. GI: Estómagos sanos (GI-a-GI-e); GII: grupo patológico con úlcera inducida tratado solo con suero fisiológico estómagos ulcerados (GII-a-GII-e); GIII: grupo tratado con omeprazol (60 mg/kg) (GIII-a-GIII-e); GIV: grupo tratado con E. coca (500 mg/kg) (GIV-a-GIV-e); GV: grupo tratado con M. paradisica (500 mg/kg) (GV-a-GV-e); GVI: grupo tratado con la asociación de extractos (1500 mg/kg) (GVI-a-GVI-e).
Las úlceras gástricas frecuentemente son localizadas a lo largo de la curvatura menor del estómago, donde las glándulas pilóricas rodean a las glándulas oxínticas. Su dimensión varía entre unos pocos milímetros hasta varios centímetros, siendo la gastritis generalmente circundante (Lozano, 2000).
El modelo de úlceras agudas inducidas por etanol ofrece importantes indicaciones de los mecanismos de acción de los extractos, que pueden ser asociados con factores antioxidantes y/o factores antiinflamatorios, y la reducción de la secreción de ácido y la producción de mucosidad (Berté et al., 2014; Lemos et al., 2011).
En esta evaluación se pudo observar extensas áreas de necrosis y hemorragia en la mucosa gástrica de los estómagos de los animales del grupo control patológico, lo que demuestra la toxicidad del etanol. Uno de los principales mecanismos atribuido al efecto tóxico del etanol es la alteración en la homeostasis de las células gástricas y daño tisular resultante por su acción directa sobre la mucosa y la formación de radicales y especies reactivas de oxígeno (Repetto y Llesuy., 2002; Rozza et al., 2011).
La producción de radicales libres está controlada por varios antioxidantes, que pueden ser de origen endógeno (superóxido dismutasa) o de la dieta, como los polifenoles. Los antioxidantes son capaces de estabilizar o desactivar los radicales libres antes de que ataquen las dianas biológicas de la célula (Schwanz., 2012).
Los componentes antioxidantes y flavonoides presentes en los extractos estudiados podrían ayudar a controlar los niveles de especies de oxígeno reactivo en la mucosa producidos por el etanol, asimismo, estos compuestos podrían influir en los niveles de prostaglandinas manteniendo la mucosidad y la producción de bicarbonato, protegiendo de esta manera la mucosa gástrica.
Los extractos de E. coca y M. paradisiaca presentaron actividad gastroprotectora en el modelo de inducción de úlcera por etanol en ratones albinos suizos machos. El mecanismo de acción gastroprotector por el que M. paradisiaca podría ejercer el efecto antiulceroso es el flavonoide leucocianidina monomérica que es un componente del plátano inmaduro que mostro efectos protectores contra las erosiones gástricas inducidas por aspirina, demostrado por ausencia de daño en la mucosa y una reducción significativa en el índice de úlcera. Los autores concluyeron que este compuesto podría aumentar el espesor del moco protector de la mucosa (Lewis et al., 1999, 2001)
Se ha informado que M. sapientum var paradisiaca contiene β-sitosterol, leucocianidina, sringina, quercetina, esterilglucósidos, aminoácidos, etc., y se ha demostrado que los β-sitosteroles y el derivado dimetoxi de la leucocianidina, leucocianidina 3-O-beta-D-galactosil celobiósido, poseen efectos protectores contra las úlceras inducidas. La presencia de muchos componentes activos como flavonoides, saponinas, glicósidos y alcaloides en extractos de M. paradisiaca, que tienen propiedades antihiperglucémicas, antioxidantes y cicatrizantes de úlceras, puede contribuir a la curación de la úlcera gástrica diabética crónica posiblemente al disminuir las citocinas de la mucosa gástrica, IL-1β y TNF-α y mejorar el factor de crecimiento, TGF-α., estos extractos mostraron un mejor efecto curativo en ratas DR-AA que el omeprazol (Moham et al., 2013).
En este estudio se pudo observar una mejora en las ulceraciones con M. paradisiaca con un 50,86 % de inhibición de las úlceras, frente al omeprazol que presentó un 78.8% de inhibición de úlceras, el mecanismo de acción parece ser la estimulación del crecimiento de la mucosa gástrica debido no solo a uno o dos componentes activos sino a la interacción de diferentes componentes, debido a que se pudo observar una rápida protección de la mucosa estomacal de los estómagos de los ratones después de la administración del etanol absoluto.
En el caso del extracto de coca no se pudo obtener un resultado significativo comparado con el grupo control omeprazol, aunque se puede observar una porcentaje de inhibición del 41, 56 frente al grupo control patológico, este porcentaje de inhibición podría deberse a la presencia de los alcaloides tropánicos de la coca que pueden emplear vías metabólicas similares a los de la hioscina con un valor clínico comparado en el manejo de los síntomas digestivos (Montesinos y col., 1965), también se especuló que los alcaloides anestésicos de la coca pueden interrumpir los circuitos de retroalimentación negativa entre el sistema nervioso central y el tracto digestivo que generan estos síntomas, mejorando así las secreciones, relajando los músculos digestivos y regulando la acidez (Weil., 1981).
En el caso de la combinación de los extractos de coca y plátano en una concentración de 1500 mg/kg se puede observar que el porcentaje de inhibición frente al control ulceroso es significativo llegando a 68,7% superando a la actividad de los dos extractos por separado, en esta preparación se utilizó una combinación de plátano/coca en una relación (70:30). El plátano verde y la coca tienen compuestos bioactivos como alcaloides y sustancias antioxidantes que actúan sobre los niveles de prostaglandinas, protegiéndolas del daño causado por el etanol. Estos resultados indican que se pueden elaborar formulaciones en base a estos extractos o que se podría considerar esta dosis de extractos en la formulación de un fitomedicamento que puede ser utilizado como gastroprotector.
CONCLUSIÓNES
En conclusión, el extracto de plátano verde protegió la mucosa gástrica contra lesiones mucosas agudas, inducidas por etanol. Una combinación de los extractos de plátano y coca como se usa en la medicina tradicional mostró una mayor protección en cuanto a irritación, úlceras, petequias, hemorragia generalizada. Esto indica que la capacidad protectora del extracto hidroetanólico de plátano y de coca no se limita solo a uno de sus componentes sino que puede ser una interacción de diferentes componentes activos debido a su acción rápida frente a las lesiones provocadas por el etanol.











uBio 


