Journal of the Selva Andina Biosphere
versão impressa ISSN 2308-3867versão On-line ISSN 2308-3859
J. Selva Andina Biosph. vol.13 no.1 La Paz 2025 Epub 31-Maio-2025
https://doi.org/10.36610/j.jsab.2025.130100005
ARTÍCULOS DE INVESTIGACIÓN
Comparative efficacy of biological and chemical fungicides against Rhizoctonia solani in three rice varieties in Ecuador
1 Technical University of Babahoyo. Av. Universitaria km 2.5 via Babahoyo - Montalvo, Building without number. Babahoyo, Los Ríos. Ecuador.
2 University of Zulia. Av. 16 Guajira, University City ‘Dr. Antonio Borjas Romero’. Agricultural Centre 15205. Maracaibo, Zulia. Venezuela.
3 Quevedo State Technical University. Av. Jaime Roldós Aguilera and 22ava. Building without number. Quevedo, Los Ríos. Ecuador.
4 Agricultural Consultant. Barreiro Parish, Third Street and Alternate Road S/N. Babahoyo, Los Ríos. Ecuador.
La investigación evaluó la eficacia comparativa de fungicidas biológicos y químicos para el control de Rhizoctonia solani Kühn, agente causal del tizón de la vaina en arroz (Oryza sativa L.), utilizando tres variedades peruanas bajo condiciones de campo en Babahoyo, Ecuador. Se aplicaron doce tratamientos con productos como Serenade Max, Timorex Gold, Renaste, Propiconazol y Tebuconazol, más un testigo absoluto, bajo un diseño de bloques completos al azar con arreglo factorial y tres repeticiones. Las variables evaluadas incluyeron incidencia y severidad de la enfermedad, eficacia de los tratamientos, número de macollos, porcentaje de granos vanos y rendimiento. Los resultados indicaron que las parcelas tratadas presentaron menor incidencia y severidad de R. solani respecto al testigo, aunque la eficacia no superó el 30 %. La variedad A3, combinada con B1, alcanzó el mayor rendimiento (6749.49 kg ha⁻¹) y menor porcentaje de granos vanos (16.14 %), sugiriendo una interacción positiva entre variedad y manejo fitosanitario. Se concluye que el uso combinado de fungicidas biológicos y químicos, junto con variedades adaptadas, puede fortalecer un manejo fitosanitario integrado en arroz, reduciendo la dependencia de agroquímicos sintéticos y mejorando la productividad.
Palabras clave: Condiciones climáticas; control; manchado de grano; manejo fitosanitario
The research evaluated the comparative efficacy of biological and chemical fungicides for the control of Rhizoctonia solani Kühn, the causal agent of sheath blight in rice (Oryza sativa L.), using three Peruvian varieties under field conditions in Babahoyo, Ecuador. Twelve treatments were applied with products such as Serenade Max, Timorex Gold, Renaste, Propiconazole and Tebuconazole, plus an absolute control, under a randomised complete block design with factorial arrangement and three replications. Variables evaluated included disease incidence and severity, treatment efficacy, number of tillers, percentage of empty kernels and yield. The results indicated that the treated plots showed lower incidence and severity of R. solani compared to the control, although the efficacy did not exceed 30 %. Variety A3, combined with B1, achieved the highest yield (6749.49 kg ha-¹) and the lowest percentage of empty grains (16.14 %), suggesting a positive interaction between variety and phytosanitary management. It is concluded that the combined use of biological and chemical fungicides, together with adapted varieties, can strengthen integrated phytosanitary management in rice, reducing dependence on synthetic agrochemicals and improving productivity.
Keywords: Climatic conditions; control; grain staining; phytosanitary management
Introduction
Oryza sativa, a staple food for more than half of the global population, is cultivated in approximately 308211 hectares in Ecuador, with a total production of 1,546 523 tons and an average yield of 5.05 t ha-1. In the province of Los Ríos, around 79379 hectares are planted, yielding 358501 tons with an average yield of (4.52 t ha⁻¹)1.
Globally, rice cultivation faces significant phytosanitary challenges due to the incidence of biotic agents such as bacteria, fungi, viruses, spiroplasmas, mycoplasmas, nematodes, and protozoa. These pathogens significantly affect crop development, causing considerable yield losses and reducing the profitability for farmers who rely economically on this cereal as a primary source of livelihood2. Studies conducted in tropical Asia have shown that yield losses vary depending on the type of disease. In individual cases, losses range from 1 to 10 %, while the simultaneous interaction of multiple diseases, insects, and weeds can lead to average losses of 37.2 %, reaching up to 41 % under severe conditions, depending on the composition of the pathological system and the production environment3.
This cereal crop of great agricultural importance is affected by more than 40 diseases and microbial disorders, which represent a significant threat to its global productivity4. The magnitude of economic losses depend both on the vulnerability of the cultivated varieties and on the type of agronomic management applied5. In this context, it is essential to validate the resistance of varieties introduced from other regions, considering that their phytosanitary performance may vary depending on agroclimatic conditions.
One of the most aggressive rice pathogens is the necrotrophic fungus Rhizoctonia solani Kühn (teleomorph Thanatephorus cucumeris), which belongs to the family Corticiaceae, order Homenomycetales, and class Basidiomycetes. This phytoparasite secretes a wide range of secondary metabolites, including host-selective toxins and other biologically active molecules6. R. solani is a soil-borne pathogen that negatively affects various crops of high economic relevance worldwide. For this reason, it continues to be the subject of research in different regions of the world7. The main crops affected belong to the following families: Poaceae (maize, rice, wheat, barley, oat), Fabaceae (soybean, peanut, common bean, alfalfa, lentil, pea), Solanaceae (tobacco, potato), Amaranthaceae (sugar beet), Brassicaceae (canola), Rubiaceae (coffee), Malvaceae (cotton), Asteraceae (lettuce), Araceae (pothos), Moraceae (ficus) and Linaceae (flax)8.
R. solani is responsible for the disease known as sheath blight (SB), which is considered the second most important disease in rice cultivation worldwide, after rice blast9, and can significantly reduce crop yield10. In countries such as the Philippines, losses caused by SB range from 10 % under normal conditions to 25-80 % in highly infected areas11. This problem is exacerbated by the use of high-yielding semi-dwarf rice varieties, high planting densities, and excessive use of nitrogen fertilizers. Furthermore, the wide host range of this pathogen and its ability to survive and persist in a latent state under unfavorable conditions make its control difficult12.
SB primarily affects the leaf sheath and leaf blades, but it can also affect the entire plant, including emerging panicles13. Symptoms typically appear during the late tillering stage and early flowering14. A characteristic symptom of the disease is the formation of water-soaked lesions with a grayish-green color on the leaf sheath, near the waterline. These lesions are initially circular, oblong, or elliptical in shape, measuring about 1 cm in length. They later enlarge and become irregular, with a grayish-white center and brown margins. Lesions can appear anywhere on the sheath and may coalesce to encircle the stem. Under favorable conditions, the infection spreads to upper leaves, causing sheath rot and complete leaf drying15. In advanced stages, this disease results in poor grain filling16.
Disease management involves the combination of methods such as genetic resistance, cultural practices, chemical and biological control integrated strategies that promote sustainability, reduce environmental impact, and contribute to strengthening food security17. These strategies aim to reduce the amount of pathogenic inoculum to tolerable levels18. One of the most commonly used practices in modern agriculture is the application of chemical fungicides. These products have become essential for efficient food production, often offering a quick, practical, and economically viable solution19. Although chemical control is one of the most widely employed methods, it poses challenges to sustainability due to increased costs, the development of fungicide resistance, and concerns about residual toxicity20.21. Nevertheless, the use of triazole fungicides (Propiconazole, Tebuconazole, and others) has remained one of the most common strategies for years to control soilborne fungi22,23. Additionally, synthetic products cause toxic effects in humans and contaminate the environment24,25. Therefore, the use of sustainable alternatives such as biological fungicides26-28, plant extracts29, and microbial antagonists30-32 has been promoted.
In a study conducted by Bauzón et al.26, the in vitro efficacy of five biofungicides, a biological agent, a chemical treatment, and an untreated control was evaluated against R. solani. The results indicated that Melaleuca alternifolia + terpenes (3 mL L-1), Aloe vera + Melaleuca oil (3 mL L-1), Aloe vera (2 mL L-1), and Melaleuca alternifolia (2 mL L-1) were highly effective against the disease, with efficacy comparable to the chemical treatment (Propiconazole + Difenoconazole). The authors recommended validating these findings under in vivo conditions to reduce fungicide use and promote environmental sustainability.
Serenade is a biofungicide based on Bacillus subtilis strain QST 713, which acts through antibiosis and induced resistance. It has been evaluated, along with its filtrates and bacterial suspensions, in the control of clubroot disease in canola (Plasmodiophora brassicae being the causal agent), showing high efficacy when two applications are made, effectively eliminating symptoms of the disease33. Timorex Gold is a biofungicide derived from tea tree essential oil (Melaleuca alternifolia) and has proven effective against phytopathogenic fungi in various crops. It has shown success in controlling Black Sigatoka and is thus recognized for its potential as a tool in integrated pest management programs34.
Within the integrated management approach, the use of resistant varieties is highly effective for controlling diseases caused by fungi, as serious pathologies such as rusts, vascular wilts, and root rots can be efficiently managed with these varieties. Studies conducted on 10 rice cultivars under greenhouse conditions have reported significant differences among cultivars in terms of susceptibility and resistance to the pathogen, indicating varying levels of incidence and severity depending on the variety evaluated35.
Since some of these varieties are cultivated in neighboring countries, it is crucial to verify whether they are resistant to various diseases when grown in our country, considering that new varieties may exhibit lower disease incidence and severity, which would allow for a reduction in pesticide applications.
In this context, it is essential to adopt technologies such as the use of biological products and new varieties adapted to our study area in order to reduce pesticide use and increase agricultural yields. Therefore, this study focused on evaluating the impact of various fungicides on the control of R. solani in three Peruvian rice varieties cultivated in the Babahoyo canton.
Materials and methods
The research was conducted at kilometer 9.0 on the Babahoyo-Montalvo Road, Ecuador, at the geographic coordinates (UTM) 672845.34 East longitude and 9796946.78 South latitude. The experimental area is located at an altitude of 8 meters above sea level. The region has a humid tropical climate with an average annual temperature of 25.6° C, annual precipitation of 2329.8 mm, relative humidity of 82 %, and an annual average of 998.2 h of sunshine. The soil has flat topography, a clay-loam texture, and regular drainage.
The experiment was carried out during the agricultural cycle from March to July 2021, under field conditions. The plant material consisted of three Peruvian rice varieties known as HP 102 FL-El Valor, Feron, and INIA 515-Capoteña.
The fungicides used in the research were obtained from certified distributors in the country. The products and their respective codes, based on their technical specifications, are listed below: i) Renaste (Epoxiconazole 50 g L-1 + Pyraclostrobin 133 g L-1), code: RNST-EPY 133, manufactured by BASF, Germany. ii) Serenade Max (Bacillus subtilis strain QST 713), code: SRND-BSQ 713, registered and distributed by Bayer CropScience, USA. iii) Timorex Gold (Extract of Melaleuca alternifolia 26.8 %), code: TMRX-MEL268, distributed by STK Bio-ag Technologies, Israel. iv) Propiconazole 250 EC, code: PRPC-250EC, commonly used and locally produced, distributed by various local companies. v) Tebuconazole 250 EW, code: TBCN-250, formulated by Adama Agricultural Solutions, Israel, with local distribution under license.
The dependent variables of the research were disease incidence and severity, fungicide efficacy, and rice crop yield, while the independent variables included the rice varieties and fungicide treatments (Table 1).
Table 1 Description of treatments used in the study
| Treatment | Factor A (Rice varieties) | Factor B (Fungicides + Dosage) |
|---|---|---|
| T1 | A1 | (B1) (Epoxiconazole + Pyraclostrobin) F1+(Bacillus subtilis QST 713) F2 + (Melaleuca alternifolia extract) F3 (150 mL ha-1) + (500 mL ha-1) + (1000 mL ha-1). |
| T2 | A1 | (B2) (Epoxiconazole + Pyraclostrobin) + (Bacillus subtilis QST 713) + (Melaleuca alternifolia extract) (300 mL ha-1) + (1000 mL ha-1) + (1500 mL ha-1). |
| T3 | A1 | (B3) How the farmer handles it (Propiconazole) F4+ (Tebuconazole) F5 (500 mL ha-1) + (500 mL ha-1). |
| T4 | A1 | (B4) Without application of fungicides (0) |
| T5 | A2 | (B1) (Epoxiconazole + Pyraclostrobin) F1+(Bacillus subtilis QST 713) F2 + (Melaleu-ca alternifolia extract) F3 (150 mL ha-1) + (500 mL ha-1) + (1000 mL ha-1). |
| T6 | A2 | (B2) (Epoxiconazole + Pyraclostrobin) + (Bacillus subtilis QST 713) + (Melaleuca alternifolia extract) (300 mL ha-1) + (1000 mL ha-1) + (1500 mL ha-1). |
| T7 | A2 | (B3) How the farmer handles it (Propiconazole) F4+(Tebuconazole) F5 (500 mL ha-1) + (500 mL ha-1). |
| T8 | A2 | (B4) Without application of fungicides (0) |
| T9 | A3 | (B1) (Epoxiconazole + Pyraclostrobin) F1+(Bacillus subtilis QST 713) F2 + (Melaleuca alternifolia extract) F3 (150 mL ha-1) + (500 mL ha-1) + (1000 mL ha-1). |
| T10 | A3 | (B2) (Epoxiconazole + Pyraclostrobin) + (Bacillus subtilis QST 713) + (Melaleuca alternifolia extract) (300 mL ha-1) + (1000 mL ha-1) + (1500 mL ha-1). |
| T11 | A3 | (B3) How the farmer handles it (Propiconazole) F4+(Tebuconazole) F5 (500 mL ha-1) + (500 mL ha-1). |
| T12 | A3 | (B4) Without application of fungicides (0) |
A1 = HP 102 FL - El Valor, A2 = Feron, A3 = INIA 515 - Capoteña, F1 = The fungicide Renaste (Epoxiconazole + Pyraclostrobin) was applied to the seed before sowing.
F2 = The fungicide Serenade Max (Bacillus subtilis) strain QST 713 was applied 35 days after sowing, F3 = The fungicide Timorex Gold (Melaleuca alternifolia plant extract) was applied 90 days after cultivation (maximum feeding), F4 = The fungicide Propiconazole was applied 40 days after cultivation (as traditionally done by farmers), F5 = The fungicide Tebuconazole was applied 90 days after cultivation (maximum feeding), (as traditionally done by farmers).
The experiment consisted of 12 treatments arranged in a Randomized Complete Block Design (RCBD) with a factorial arrangement A (varieties) × B (fungicides), and three replications. Factor A corresponded to the rice varieties, while Factor B included the fungicide treatments with their respective doses. Each experimental unit (EU) consisted of an area of 4 m² (2 m × 2 m), with a separation of 1.0 m between blocks and 0.5 m between plots. To evaluate the effects of the treatments, the following parameters were measured: disease incidence and severity, fungicide efficacy, number of tillers, percentage of grains per panicle, weight of 1000 grains, and grain yield.
Disease incidence and severity were determined at 60 days after sowing (das). Incidence refers to the proportion of diseased individuals; for this, the number of diseased plants in the useful area was recorded and divided by the total number of plants in the same area, then multiplied by 100336.
Severity was determined through visual observation of the area affected by the disease, and the data obtained were applied to the equation proposed by Ivancovich et al.37.
Fungicide efficacy was calculated using Abbott’s formula38:
Where: E = Efficacy of the fungicide, IT = Infection in the control y It = Infection in the treatment.
To calculate the number of tillers in the useful area of each experimental plot, a 1 m² frame was used once the rice reached physiological maturity. Tillers present within this frame were counted, using the same procedure as for counting the number of panicles in each EU.
To determine the percentage of unfilled grains per panicle, five panicles were randomly selected from each EU, and the percentage of filled and unfilled grains was recorded.
The weight of 1000 grains were obtained by selecting grains from each experimental plot, ensuring they were free from insect or disease damage. The results were expressed in grams.
Grain yield was calculated based on the weight of grains collected from the useful area of each experimental plot. This weight was adjusted to 14 % moisture content and converted to kg ha-1. The weights were standardized using the formula by Azcon-Bieto & Talon39:
Where: Pu is the standardized weight, Pa is the actual weight, ha is the actual moisture content, and hd is the desired moisture content.
For the statistical analysis, the collected data were organized in electronic spreadsheets. The Shapiro-Wilk normality test was applied to each evaluated variable. Subsequently, to analyze the effect of the treatments, Tukey’s test was used with a 95 % confidence level. The statistical analyses were performed using SigmaPlot software40. Pearson's correlation test (r) was applied to determine the relationships among the evaluated variables.
Results
Incidence of R. solani. The varieties A1, A2, and A3, when combined with specific fungicides and doses, reduced the incidence of R. solani compared to the untreated control. The incidence ranged from 39.42 to 41.38 %, with variety A3 showing the lowest number of affected plants, while variety A1 showed the highest value. The highest incidence observed was 50.56 %. In treated plots, incidence values ranged between 36.61 and 37.17 %. No significant differences were observed in incidence for the interaction between varieties, fungicides, and doses.
In plots treated with fungicides and different doses, incidence fluctuated between 35.00 and 38.67 %, with no significant differences between treatments. In contrast, the three untreated varieties showed higher incidence values between 49.33 and 51.33 %, exceeding those observed with the application of treatments and doses, as well as their interactions. Table 2 shows the incidence of R. solani in response to the applied treatments.
Severity of R. solani. No significant differences were observed in severity among the fungicide treatments and doses, although a slight reduction in damage was noted compared to the untreated control. Severity ranged from 38.25 to 39.75 %, with the highest value recorded in variety A1. Treated plots showed severity values between 34.11 and 39.56 %. The lowest severity was observed with treatment B3, commonly used by local farmers. However, severity differences among treatments were not significant.
In contrast, plants without fungicide treatment (B4) had the highest severity percentage, 43.67 %. No significant differences were observed in severity for the interactions between varieties, fungicides, and doses. Varieties A2 and A3 treated with B3 showed the lowest severity percentage (33.00 %), which was lower than that of other fungicides, including untreated plots (Table 2).
Fungicide efficacy. The control percentage of R. solani according to the treatments analyzed, (Figure 1), revealed that B3 achieved an efficacy of 27.60 %. B2 and B1 showed 26.80 and 26.46 %, respectively. These values did not differ significantly from each other. The coefficient of variation was 22.08 %. Among the evaluated varieties, none of the fungicide treatments exceeded 30 % efficacy for controlling R. solani.
Table 2 Incidence and severity of R. solani according to varieties and fungicides
| Varieties | Fungicides and doses | Incidence of R. solani (%) | Severity of R. solani (%) |
|---|---|---|---|
| (A1) | - | 41.38 | 39.75 |
| (A2) | - | 40.25 | 38.25 |
| (A3) | - | 39.42 | 39.42 |
| - | (B1) | 37.17 b | 39.22 |
| - | (B2) | 37.06 b | 39.56 |
| - | (B3) | 36.61 b | 34.11 |
| - | (B4) | 50.56 a | 43.67 |
| (A1) | (B1) | 38.67 | 36.00 |
| (A1) | (B2) | 38.00 | 43.33 |
| (A1) | (B3) | 37.83 | 36.33 |
| (A1) | (B4) | 51.00 | 43.33 |
| (A2) | (B1) | 36.17 | 44.00 |
| (A2) | (B2) | 36.50 | 41.00 |
| (A2) | (B3) | 37.00 | 33.00 |
| (A2) | (B4) | 51.33 | 35.00 |
| (A3) | (B1) | 36.67 | 37.67 |
| (A3) | (B2) | 36.67 | 34.33 |
| (A3) | (B3) | 35.00 | 33.00 |
| (A3) | (B4) | 49.33 | 52.67 |
| Statistical Significance | Varieties | ns | ns |
| Fungicides and doses | ** | ns | |
| Varieties* fungicides and doses | ns | ns | |
| Coefficient of variation | 10.10 | 15.39 |
Means with a common letter are not significantly different (p> .05) according to the Tukey test at the 5 % probability level.
** Highly significant (p< .01); ns: Not significant (p> .05).
The interaction between varieties and fungicides was not statistically different. However, Figure 2 shows that for variety A2, treatment B1 achieved a control of 29.49 %. This result was similar to those obtained with 28.99 and 27.98 % (B3) in the same variety. On the other hand, for varieties A1 and A3, the fungicide treatments reported efficacy values ranging from 24.05 to 29 %. These values were not significantly different. Moreover, the persistence period of the fungicides exceeded 20 days.
Number of tillers. According to Table 3 and the evaluated treatments, variety A1 had the highest number of tillers, with an average of 293.92, followed by A3 with 286.08. Plots without fungicide application (B4) had an average of 306.67 tillers m-2. Treatments B2 and B1 resulted in 289.67 and 280.56 tillers m-2, respectively, while B3 produced 277.67 tillers m-2. The latter did not differ from the number observed in plots without fungicide application.
When considering the interaction between varieties and fungicides, the highest number of tillers per square meter was recorded in A1 without fungicide treatment, with 316.33 tillers m-2, followed by A2 with B3 (309.67), and A3 without fungicides (306.00). The lowest number of tillers per square meter was recorded in A2 with B2 (261.33 tillers), which was similar to the values observed in A3 with B3 (261.67), A1 with B3 (261.67), A3 with B1 (267.67), and A2 with B1 (275.00).
Yield. Table 3 shows the grain yield in kg ha-1 for the different treatments analyzed. The yields of the varieties ranged from 5192.32 to 6395.67 kg ha-1, with A3 standing out as the highest-yielding variety per unit area. The yield of A3 was significantly different from that of A2 and A1, whose yields were statistically similar to each other.
Regarding the fungicide and dose factor, B3 and B1 achieved the highest yields, with 5968.98 and 5786.79 kg, respectively, with no significant differences between them. However, the yield in B3 (5968.98 kg) was significantly different from B2 (5231.15 kg) and the untreated control (5500.44 kg).
In the interaction between varieties and fungicide treatments with different doses, variety A3 combined with B3, B1, and B2 showed the highest yields per hectare, with 6891.73, 6749.49, and 6257.44 kg, respectively. However, the yield of LAP-003-2020 with B1 did not differ significantly from the absolute control (5684.00 kg).
On the other hand, the lowest yields per hectare were obtained with the combinations A1 y B2, A2 y B2, and A1 y B1, which reached 4692.05, 4743.95, and 4804.05 kg, respectively. These values were not significantly different from their respective untreated controls.
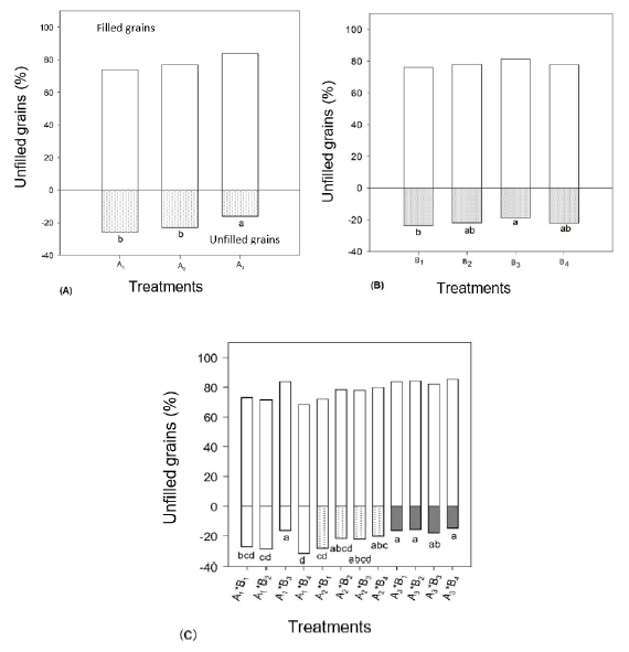
Unfilled grains. In Figure 3A, variety A3 presented the lowest number of unfilled grains per panicle, with 16.14 %. Figure 3B shows the percentage of unfilled grains in response to different fungicide treatments and their respective doses. In this variable, the percentage of empty grains per panicle ranged from 18.79 to 23.85 %. The lowest value was recorded in B3, which was significantly different from B1, which reported 23.85 % unfilled grains. The absolute control recorded 22.17 % empty grains, but this value did not differ significantly from the others.
In the interaction between varieties and fungicide treatments with different doses (Figure 3C), A3 without fungicides presented 14.68 % unfilled grains, followed by A3 with B2 (15.66 %), A3 with B1 (16.26 %), and A1 with B3 (16.28 %). The percentages observed in these treatments did not show significant differences among them.
Discussion
The results obtained demonstrate that the integration of biological and chemical fungicides, combined with the appropriate selection of rice varieties, can play a key role in reducing the incidence and severity of R. solani under field conditions. Although no treatment exceeded 30 % efficacy, B1 and B3 stood out compared to the untreated control, supporting their inclusion as complementary strategies within integrated management programs. This moderate efficacy may be attributed to factors such as high inoculum pressure in tropical environments, intensive use of nitrogen fertilizers, and varietal susceptibility, which highlights the need for multifactorial approaches41-44. Therefore, the implementation of comprehensive disease management measures is essential. These strategies include the use of resistant or tolerant materials, optimal planting times, balanced nutrition, crop rotation, incorporation of antagonistic microorganisms, and the rational application of fungicides45-48. Collectively, these measures have been associated with a reduction in R. solani symptom incidence, approximately 8 % lower than chemical control, especially during the early growth stages and vegetative development of the crop49.
Table 3 Number of tillers and production according to the treatments studied
| Varieties | Fungicides and doses | Number of tillers m-2 | Production (kg ha-1) |
|---|---|---|---|
| (A1) | - | 293.92 | 5192.32 b |
| (A2) | - | 285.92 | 5277.53 b |
| (A3) | - | 286.08 | 6395.67 a |
| - | (B1) | 280.56 ab | 5786.79 ab |
| - | (B2) | 289.67 ab | 5231.15 c |
| - | (B3) | 277.67 b | 5968.98 a |
| - | (B4) | 306.67 a | 5500.44 bc |
| (A1) | (B1) | 299.67 a | 4804.05 d |
| (A1) | (B2) | 298.00 a | 4692.05 d |
| (A1) | (B3) | 261.67 b | 5818.40 bc |
| (A1) | (B4) | 316.33 a | 5454.77 bcd |
| (A2) | (B1) | 275.00 b | 5806.83 bc |
| (A2) | (B2) | 261.33 b | 4743.95 d |
| (A2) | (B3) | 309.67 a | 5196.80 cd |
| (A2) | (B4) | 297.67 a | 5362.56 cd |
| (A3) | (B1) | 267.67 b | 6749.49 a |
| (A3) | (B2) | 309.67 a | 6257.44 ab |
| (A3) | (B3) | 261.67 b | 6891.73 a |
| (A3) | (B4) | 306.00 a | 5684.00 bc |
| Statistical Significance | Varieties | ns | ** |
| Fungicides and doses | ** | ** | |
| Varieties* fungicides and doses | ** | ** | |
| Coefficient of variation | 3.13 | 4.87 |
The lowest incidence and severity of the disease were observed with B1 and B3, consistent with previous studies. The efficacy of Bacillus subtilis and Melaleuca alternifolia extract highlights their ability to control pathogens through antibiosis, induction of systemic resistance, and competition for ecological niche26,33-34.
Several studies have confirmed that the use of B. subtilis as a biofungicide can significantly improve rice resistance to soilborne pathogens. For example, Lahlali et al.33 reported that Serenade Max, based on B. subtilis strain QST 713, induces systemic resistance and reduces disease severity in canola. Similarly, Boukaew et al.28 indicated that combining biocontrol agents with chemical fungicides can enhance control efficacy against Rhizoctonia solani without causing environmental harm or inducing resistance. In another study, Rashid et al.27 reported that biopesticides based on plant extracts and beneficial bacteria were effective in reducing the incidence of sheath rot disease in rice in Bangladesh, with results comparable to conventional treatments.

Figure 3 Empty grains (%) and full grains (%) in varieties (A), fungicide treatments and doses (B) and interaction between varieties and fungicides and doses (C). Bars with a letter in common are not significantly different (p>0.05) according to the Tukey test at 5 % probability
Additionally, Yang et al.29 noted that bacterial strains isolated from bovine manure had potential as biological control agents against R. solani, highlighting the feasibility of using native microorganisms as a sustainable and local solution. This body of evidence strengthens the notion that an integrated management approach based on biological products and their interaction with plant material constitutes a solid strategy to reduce pathogen impact and improve productive stability in tropical rice systems.
Variety A3 exhibited the least damage, and when combined with treatment B1, it achieved the highest yield (6749.49 kg ha-1) and the lowest percentage of unfilled grains (16.14 %), demonstrating a favorable interaction between the plant material and the phytosanitary strategy used. Similar findings have been previously reported, emphasizing the importance of integrating management practices, including the appropriate selection of tolerant varieties and complementing their management with fungicides having different modes of action to substantially reduce disease incidence in the field50.
This suggests that the selection of rice variety, along with the appropriate biological fungicide, is crucial to maximizing control of R. solani. The interaction between host, pathogen, and biological agent requires further investigation to better understand these mechanisms, which aligns with the observations of Quiroz Ojeda et al.7, who noted that R. solani interacts with its hosts through biological, genetic, and pathogenic pathways fundamental to understanding host pathogen relationships across different pathosystems.
The percentage of unfilled grains affects crop yield by compromising photosynthesis, nutrient translocation, and grain filling51. Variety A3 showed the lowest percentage of unfilled grains regardless of the treatment applied. A similar trend was observed in variety A1 with the application of Propiconazole and Tebuconazole, which reported 16.28 % of unfilled grains per panicle. This suggests that the percentage of unfilled grains could be influenced by biotic factors (pathogens, insect pests, and genetic traits) and abiotic factors (low temperature, relative humidity, and cloud cover)45,52.
On the other hand, synthetic fungicides such as Propiconazole and Tebuconazole continue to show a certain level of effectiveness, as evidenced by studies conducted by Pérez Vicente et al.53. However, their continued use presents risks of resistance development in pathogens and may lead to undesirable environmental impacts. Therefore, the results obtained in this study support the progressive transition from synthetic molecules to bioproducts, in line with agroecological approaches. This research stands out for integrating biological products with rice varieties currently used by farmers in the field, generating valuable information and strengthening the decision-making process for producers interested in more sustainable agricultural practices in the rice-growing areas of the Ecuadorian coast.
REFERENCES
1. Cifras Agroproductivas [Internet]. Ministerio de Agricultura y Ganaderia - Sistema de Informacion Publica Agropecuaria. 2023 [citado 10 de abril de 2021]. Recuperado a partir de: https://sipa.agricultura.gob.ec/index.php/cifras-agroproductivas [ Links ]
2. Garcés Fiallos FR, Aguirre Calderón ÁJ, Díaz Coronel TG. Severidad de la quemazón (.) Pyricularia oryzae Cav en germoplasma de arroz F1 en la zona central del litoral ecuatoriano. Ciencia y Tecnología 2013;5(2):1-6. DOI: https://doi.org/10.18779/cyt.v5i2.125 [ Links ]
3. Savary S, Willocquet L, Elazegui FA, Castilla NP, Teng PS. Rice pest constraints in tropical Asia: quantification of yield losses due to rice pests in a range of production situations. Plant Dis 2000;84 (3):357-69. DOI: https://doi.org/10.1094/PDIS.2000.84.3.357 [ Links ]
4. Naqvi SAH, Umar UD, Hasnain A, Rehman A, Perveen R. Effect of botanical extracts: A potential biocontrol agent for Xanthomonas oryzae pv. oryzae, causing bacterial leaf blight disease of rice. Pak J Agric Res 2018;32(1):59-72. DOI: https://dx.doi.org/10.17582/journal.pjar/2019/32.1.59.72 [ Links ]
5. Facuy-Delgado J, Molina-Oleas W, Ortega-Ponce L. Revisión sistemática de los algoritmos para detección de enfermedades fúngicas en el arroz. MQRInvestigar 2022;6(4):608-20. DOI: https://doi.org/10.56048/MQR20225.6.4.2022.608-620 [ Links ]
6. Li D, Li S, Wei S, Sun W. Strategies to manage rice sheath blight: lessons from interactions between rice and Rhizoctonia solani. Rice (NY) 2021;14(1):21. DOI: https://doi.org/10.1186/s12284-021-00466-z [ Links ]
7. Quiroz Ojeda CM, Salazar González CE, Betancourth García CA. Revisión del estado actual de las investigaciones sobre Rhizoctonia solani Kühn. Rev Fac Cienc Básicas 2023;18(1):61-74. DOI: https://doi.org/10.18359/rfcb.6523 [ Links ]
8. Ajayi-Oyetunde OO, Bradley CA. Rhizoctonia solani: taxonomy, population biology and management of rhizoctonia seedling disease of soybean. Plant Pathol 2018;67(1):3-17. DOI: https://doi.org/10.1111/ppa.12733 [ Links ]
9. Albornoz Buchelli R. Tizón de la vaina (Rhizoctonia solani) una enfermedad potencialmente importante en el cultivo de arroz en Colombia [Internet]. Bogotá: Instituto Colombiano Agropecuario-ICA; 1988. [citado 10 de octubre de 2021]. 12 p. Recuperado a partir de: https://repository.agrosavia.co/handle/20.500.12324/30516 [ Links ]
10. Lee FN, Rush MC. Rice sheath blight: a major rice disease. Plant Dis 1983;67(7):829-32. DOI: https://doi.org/10.1094/PD-67-829 [ Links ]
11. Mew TW, Gonzales P. A handbook of rice seedborne fungi [Internet]. Metro Manila: International Rice Research Institute; 2002 [cited September 10, 2021]. 91 p. Retrieved from: http://books.irri.org/9712201740_content.pdf [ Links ]
12. Martínez B, Reyes Y, Infante D, González E, Baños H, Cruz A. Selección de aislamientos de Trichoderma spp. candidatos a biofungicidas para el control de Rhizoctonia sp. en arroz. Rev Protección Veg 2008;23(2):118-25. [ Links ]
13. Rangaswami G., Mahadevan A. Diseases of Crop Plants in India. 4th ed. New Delhi: PHI Learning Pvt, Ltd; 1999. [ Links ]
14. González-Vera A, Graterol E, Borges B, Hernández F. Métodos de evaluación y reacción de cultivares para resistencia al añublo de la vaina del arroz causado por Rhizoctonia solani AG-1 IA. Bioagro 2011;23(1):3-12. [ Links ]
15. Senapati M, Tiwari A, Sharma N, Chandra P, Bashyal BM, Ellur RK, et al. Rhizoctonia solani Kühn pathophysiology: status and prospects of sheath blight disease management in rice. Front Plant Sci 2022;13:881116. DOI: https://doi.org/10.3389/fpls.2022.881116 [ Links ]
16. Pérez Iglesias HI, Rodríguez Delgado I, García Batista RM. Principales enfermedades que afectan al cultivo del arroz en Ecuador y alternativas para su control. Agroecosistemas 2018;6(1):16-27. [ Links ]
17. Sun W. The battle against rice blast: Strategies for control. J Plant Physiol Pathol 2024;12:1. DOI: https://doi.org/10.4172/2329-955X.1000320 [ Links ]
18. Martínez de la Parte E, Abreu Fundora J, García D. Presencia de Gaeumannomyces graminis var. graminis y Magnaporthe salvinii en variedades de arroz cultivadas en Cuba. Fitosanidad 2014;18(3): 163-8. [ Links ]
19. Carmona M, Sautua F. La problemática de la resistencia de hongos a fungicidas. Causas y efectos en cultivos extensivos. Agronomía y Ambiente. Agron Ambiente 2017;37(1):1-19. [ Links ]
20. Yellareddygari SKR., Reddy MS., Kloepper JW, Lawrence KS, Fadamiro, H. Rice sheath blight: a review of disease and pathogen management approaches. J Plant Pathol Microbiol 2014; 5:10002 41. DOI: https://doi.org/10.4172/2157-7471.1000241 [ Links ]
21. Datta A, Vurukonda SSKP. Rice sheath blight: a review of the unsung fatal disease. Trends Biosci 2017;10(45):9216-9. [ Links ]
22. Novo RJ, Viglianco A, Pérez MA, Cavallo A. Efficiency of fungicides in the control of seedborne fungi of carrot seeds (Daucus carota L.) and physiologic quality of seeds. Rev Bras Sementes 2009; 31(4):160-7. DOI: https://doi.org/10.1590/S0101-31222009000400019 [ Links ]
23. Salman M, Abuamsha R. Potential for integrated biological and chemical control of damping-off disease caused by Pythium ultimum in tomato. BioControl 2012;57(5):711-8. DOI: https://doi.org/10.1007/s10526-012-9444-4 [ Links ]
24. Regueiro J, Olguín N, Simal-Gándara J, Suñol C. Toxicity evaluation of new agricultural fungicides in primary cultured cortical neurons. Environ Res 2015;140:37-44. DOI: https://doi.org/10.1016/j.envres.2015.03.013 [ Links ]
25. Costa NO, Vieira ML, Sgarioni V, Pereira MR, Montagnini BG, Mesquita Sde F, Gerardin DC. Evaluation of the reproductive toxicity of fungicide propiconazole in male rats. Toxicology 2015; 335:55-61. DOI: https://doi.org/10.1016/j.tox.2015.06.011 [ Links ]
26. Bauzon-Cantila IM, Silvestre JC, Evangelista RE, Catubay E. In vitro efficacy of five biofungicidas against Rhizoctonia solani Kuhn in rice. BioRxiv 2020;7.22:216325. DOI: https://doi.org/10.1101/2020.07.22.216325 [ Links ]
27. Rashid MM, Bhuiyan MR, Dilzahan HA, Hamid MA, Hasan N, Khan MA, et al. Biological control of rice sheath blight disease (Rhizoctonia solani) using bio-pesticides and bio-control agents. Bangladesh Rice J 2021;24(1):47-58. DOI: https://doi.org/10.3329/brj.v24i1.53239 [ Links ]
28. Boukaew S, Klinmanee C, Prasertsan P. Potential for the integration of biological and chemical control of sheath blight disease caused by Rhizoctonia solani on rice. World J Microbiol Biotechnol 2013;29(10):1885-93. DOI: https://doi.org/10.1007/s11274-013-1353-x [ Links ]
29. Yang JH, Zhang WW, Zhuang YQ, Xiao T. Biocontrol activities of bacteria from cowdung aga-inst the rice sheath blight pathogen. J Plant Dis Prot 2017;124(2):131-41. DOI: https://doi.org/10.1007/s41348-017-0080-1 [ Links ]
30. Narváez-Montaño M de J, Mendoza-López MR, Sánchez-Viveros G, Almaraz-Suarez JJ, Argumedo-Delira R. Actividad inhibitoria de extractos alcohólicos de hongos comestibles contra Rhizoctonia solani. Rev Mex Cienc Agric 2023;14(4): 615-25. DOI: https://doi.org/10.29312/remexca.v14i4.3200 [ Links ]
31. Kabdwal BC, Sharma R, Kumar A, Kumar S, Singh KP, Srivastava, RM. Efficacy of different combinations of microbial biocontrol agents against sheath blight of rice caused by Rhizoctonia solani. Egypt J Biol Pest Control 2023;33:29. DOI: https://doi.org/10.1186/s41938-023-00671-6 [ Links ]
32. Garrido Rondoy M, Vilela Severino N. Capacidad antagónica de Trichoderma harzianum frente a Rhizoctonia, Nakatea sigmoidea y Sclerotium rolfsii y su efecto en cepas nativas de Trichoderma aisladas de cultivos de arroz. Scientia Agropecuaria 2019;10(2):199-206. DOI: https://doi.org/10.17268/sci.agropecu.2019.02.05 [ Links ]
33. Lahlali R, Peng G, Gossen BD, McGregor L, Yu FQ, Hynes RK, et al. Evidence that the biofungicide serenade (Bacillus subtilis) suppresses clu-broot on canola via antibiosis and induced host resistance. Phytopathology 2013;103(3):245-54. DOI: https://doi.org/10.1094/PHYTO-06-12-0123-R [ Links ]
34. Reuveni M, Blachinsky D, Pascholati SF, Dalio RJD, Chayat E. El uso de DF Timorex GoldTM para la sigatoka negra reduce el riesgo de desarrollo de la marchitez por Fusarium en el banano [Internet]. London: STK-bio-Ag Tecnologies; 1998 [cited September 10, 2021]. 34 p. Retrieved from: https://stk-ag.com/wp-content/uploads/2022/05/Acrobat-2022-Printable-brochure-Spanish.pdf [ Links ]
35. Moreano N, Vivas L. Incidencia y severidad de Rhizoctonia sp. en 10 cultivares de arroz en condiciones de invernadero. Rev Univ Guayaquil 2011;110(1):13-8. DOI: https://doi.org/10.53591/rug.v110i1.431 [ Links ]
36. Agrios GN. Plant Pathology. 5th ed. Amsterdam: Elsevier Academic Press; 2005. [ Links ]
37. Ivancovich A, Botta G, Ploper DA, Laguna L, Annone JG. Diagnóstico y manejo de enfermedades en soja. En: Libro de conferencias: IV Curso de diagnóstico y manejo de enfermedades de soja. Pergamino; Instituto Nacional de Tecnología Agropecuaria; 1998. p. 54. [ Links ]
38. Abbott WS. A method of computing the effectiveness of an insecticide. J Econ Entomol 1925; 18(2):265-7. DOI: https://doi.org/10.1093/jee/18.2.265a [ Links ]
39. Azcón-Bieto J, Talón M. Fundamentos de fisiología vegetal. 2ª ed. Madrid: McGraw-Hill. Interamericana; 2008. [ Links ]
40. Monks S. SigmaPlot 8.0. Biotech Software & Internet Report 2002;3(5-6):141-5. DOI: https://doi.org/10.1089/152791602321105816 [ Links ]
41. Miah SA, Shahjahan AKM, Hossain MA, Sharma NR. Survey of rice diseases in Bangladesh. Trop Pest Manag 1985;31(3):208-13. DOI: https://doi.org/10.1080/09670878509370984 [ Links ]
42. Ludwig J, Moura AB, Santos ASD, Ribeiro AS. Microbiolização de sementes para o controle da mancha-parda e da escaldadura em arroz irrigado. Trop Plant Pathol 2009;34(5):322-8. DOI: https://doi.org/10.1590/S1982-56762009000500005 [ Links ]
43. Hu XF, Cheng C, Luo F, Chang YY, Teng Q, Men DY, Liu L, Yang MY. Effects of different fertili-zation practices on the incidence of rice pests and diseases: A three-year case study in Shanghai, in subtropical southeastern China. Field Crops Res 2016;196:33-50. DOI: https://doi.org/10.1016/j.fcr.2016.06.004 [ Links ]
44. Naik RG, Jayalakshmi K, Naik TB. Efficacy of fungicides on the management of sheath blight of rice. Int J Curr Microbiol App Sci 2017; 6(9): 611-4. DOI: https://doi.org/10.20546/ijcmas.2017.609.075 [ Links ]
45. Vivas Vivas L, Intriago Mendoza D. Guía para el reconocimiento y manejo de las principales enfermedades en el cultivo de arroz en Ecuador [Internet]. Guayaquil: Estacion Experimental Litoral Sur - Departamento Nacional de Protección Vegetal; 2012 [citado 22 de mayo de 2021]. 12 p. Recuperado a partir de: https://repositorio.iniap.gob.ec/handle/41000/2009 [ Links ]
46. Harish S, Saravanakumar D, Radjacommare R, Ebenezar EG, Seetharaman K. Use of plant extracts and biocontrol agents for the management of brown spot disease in rice. BioControl 2008; 53(3):555-67. DOI: https://doi.org/10.1007/s10526-007-9098-9 [ Links ]
47. Groth DE, Bond JA. Effects of cultivars and fungicides on rice sheath blight, yield, and quality. Plant Dis 2007;91(12):1647-50. DOI: https://doi.org/10.1094/PDIS-91-12-1647 [ Links ]
48. Prasanna Kumar MK, Sidde Gowda DK, Rishikan Moudgal N, Kumar Kumar KT, Pandurange Gowda KT, Vishwanath K. Impact of fungicides on rice production in india. In: Nita M, editor. Fungicides-Showcases of Integrated Plant Disease Management from Around the World. London: IntechOpen; 2013. p. 76-9. DOI: https://doi.org/10.5772/51009 [ Links ]
49. Betancourth CA, Sañudo BA, Flórez CA, Salazar CE. Alternativas para el manejo integrado de Rhizoctonia solani Kühn en el cultivo de papa. Inf Tecnol 2023;34(3):1-10. DOI: https://dx.doi.org/10.4067/S0718-07642023000300001 [ Links ]
50. Uppala S, Zhou XG. Field efficacy of fungicides for management of sheath blight and narrow brown leaf spot of rice. Crop Prot 2018;104:72-7. DOI: https://doi.org/10.1016/j.cropro.2017.10.017 [ Links ]
51. Jasrotia S, Salgotra RK, Sharma M. Efficacy of bioinoculants to control of bacterial and fungal diseases of rice (Oryza sativa L.) in northwestern Himalaya. Braz J Microbiol 2021;52(2):687-704. DOI: https://doi.org/10.1007/s42770-021-00442-1 [ Links ]
52. López-Hernández MB, López-Castañeda C, Kohashi-Shibata J, Miranda-Colín S, Barrios-Gómez EJ, Martínez-Rueda CJ. Tolerancia a sequía y calor en arroz (Oryza sativa). Ecosistemas y Recursos Agropecuarios 2018;5(15):373-85. DOI: https://doi.org/10.19136/era.a5n15.1558 [ Links ]
53. Pérez-Vicente L. Cordero V. Fabret-Leal L. Eficacia del Azoxystrobin y diferentes triazoles en el control en campo de las principales enfermedades fúngicas del arroz en Cuba. Centro Agrícola 2009; 36(2):15-23. [ Links ]
Source of financing This research was conducted with self-financing. However, it was supported by the Faculty of Agricultural Sciences at the Technical University of Babahoyo, which provided facilities and land for the execution of this study.
Acknowledgments The authors would like to thank the Faculty of Agricultural Sciences at the Technical University of Babahoyo for providing the facilities for conducting this research.
Ethical considerations This study adhered to ethical considerations to ensure scientific integrity, environmental welfare, and the safety of all individuals involved. Biological fungicides were used to manage the disease, and no ecological imbalances were observed in the ecosystem. The study promotes the use of products that are not only effective against R. solani but also sustainable in the long term-preserving soil quality and biodiversity. During product application, safety protocols were strictly followed. Additionally, all tested fungicides were approved by the relevant authorities and verified as certified and safe. The results reported in this study have been presented honestly, without data manipulation, ensuring the validity of the research and the trust of the scientific community.
Limitations in the research The cost and availability of biological fungicides may limit their adoption by local farmers, especially if these products are more expensive than traditional chemical fungicides.
Authors' contribution Gualberto Isaúl Ramírez-González, contributed to data collection, conducted field research, and assisted in drafting the article. Vanessa Elizabeth Pino-Meléndez, contributed to writing the manuscript, preparing the initial draft of the article, including the introduction, methodology, results, and discussion. Carlos Belezaca-Pinargote, contributed by reviewing and editing the manuscript to ensure clarity, accuracy, and coherence, as well as maintaining scientific and conceptual rigor. Luis Enrique Sánchez-Jaime, contributed to the analysis and interpretation of data using statistical techniques and software tools. Fernando Javier Cobos-Mora, contributed by organizing the findings into a clear and publishable format, and preparing the tables and figures for the manuscript. Germán Reinaldo Troya-Guerrero, contributed to the literature review, verified references, and adjusted formatting.
Use of Artificial Intelligence We affirm that the entire document was written based on ethical and professional standards, and no AI tools were used to generate the text or images.
Editor's Note: Journal of the Selva Andina Biosphere (JSAB). All statements expressed in this article are solely those of the authors and do not necessarily represent those of their affiliated organizations, or those of the editor, publishers, or reviewers. Any product that may be evaluated in this article, or any claims made by its manufacturer, are not guaranteed or endorsed by the publisher.
Received: January 01, 2024; Revised: February 01, 2025; Accepted: April 01, 2025










texto em 
uBio 




