1. Introducción
La deforestación es uno de los problemas ambientales más graves que enfrenta el mundo actualmente. La pérdida de bosques no solo afecta la biodiversidad y el clima, sino también la seguridad alimentaria y el desarrollo económico en el largo plazo (Makki, 2009). Dentro de ese panorama, resulta relevante analizar el caso de Bolivia, un país que posee importantes extensiones de bosques, pero que también ha experimentado una de las tasas más altas de deforestación en los últimos años (Forest Trends, 2021). ¿Qué rol jugó la política pública mediante normativa que permite el desmonte de tierras? ¿Qué consecuencias tuvo para los sectores agropecuario y forestal?
En este trabajo se busca responder a estas preguntas mediante un estudio de caso que evalúa el impacto de las llamadas “leyes incendiarias” promulgadas por el Gobierno boliviano en el período 2013-2019. Dentro de esas normas, se presta especial atención a las leyes 739, 740 y 741, promulgadas en el año 2015. Esta normativa permitió el desmonte de tierras forestales para fines agropecuarios, lo que posiblemente generó un aumento de los incendios forestales y una reducción del área boscosa. Todo esto entra en contradicción con los compromisos de Bolivia en el marco del Acuerdo de París y con el Plan de Desarrollo Económico y Social 2021-2025.
La hipótesis de la presente investigación consiste en que las denominadas “leyes incendiarias” aceleraron la reducción del área forestal e incrementaron la superficie agropecuaria en Bolivia. Para contrastar la anterior hipótesis, el presente trabajo cuenta con seis secciones. En primer lugar, se presenta el marco contextual relacionado con la evolución de la cobertura forestal y la frontera agrícola y ganadera. A continuación, se describen las denominadas “leyes incendiarias” y se explican las posibles relaciones causales con la deforestación y la frontera agropecuaria. Posteriormente, se establece la relación teórica entre dichas variables. Seguidamente, se desarrolla el marco metodológico en el que se explica la metodología adoptada. Luego, se muestran los principales resultados. Finalmente, se plantean las conclusiones.
2. Contexto
Bolivia alberga una biodiversidad única; la extensa cobertura forestal se extiende por distintos ecosistemas, desde la selva amazónica hasta los bosques de montaña. Esta riqueza ambiental desempeña un papel crucial en la regulación del clima regional y global (Programa de las Naciones Unidas para el Medio Ambiente, 2019). Según la base de datos de la Organización de las Naciones Unidas para la Alimentación y la Agricultura (2024; FAO, por sus siglas en inglés), Bolivia tenía una extensión forestal de aproximadamente 73,6 millones de hectáreas para el año 2001. Sin embargo, esa cifra fue en franca disminución durante la siguiente década. Desde el año 2016, se observó una tendencia preocupante de pérdida de cobertura forestal en Bolivia. De hecho, para el año 2021, dicha cobertura solo llegó a 70,9 millones de hectáreas. En términos porcentuales, hasta el año 2015, Bolivia registró una caída anual promedio de 0,08%. En contraste, desde el 2016, la baja anual media fue de 0,44%.

Fuente. Elaboración de los autores con datos de FAO (2024)
Gráfico 1: Área de cobertura forestal en Bolivia
El Gráfico 1 suscribe lo planteado anteriormente. No queda duda de que en los últimos años se aceleró la deforestación en Bolivia. Los motivos de dicho deterioro forestal pueden ser hallados en el cambio climático y en las actividades económicas.
En el primer caso, se ha encontrado una correlación positiva entre el cambio climático y la probabilidad de incendios forestales. De hecho, Cleetus y Mulik (2014) hallan que el cambio climático empeora significativamente el riesgo de este tipo de incendios. Esta aseveración se ve reforzada por los hallazgos de los mismos autores. En el caso del oeste de Estados Unidos, se encontró que la temporada de incendios aumentó de 5 meses en la década de los setenta a 7 meses en el último decenio.
En cuanto al segundo motivo, se ha encontrado que muchos incendios forestales fueron premeditadamente provocados por distintas causas. En primera instancia, se encuenta un posible descontrol de los chaqueos1 por parte de los campesinos (Arriaza, 2023). Como segunda explicación, está la ampliación de la frontera agrícola y ganadera con el objeto de aumentar la producción de dichos rubros (Agencia de Noticias Fides, 2023). Una tercera causa radica en los intereses de ‘interculturales’2 de ocupar nuevos territorios (Vacaflor, 2022). Finalmente, la cuarta razón abarca otras actividades ilegales que pueden llevar a la generación de incendios, como el narcotráfico (Vacaflor, 2023).
Lo expuesto anteriormente es refrendado por diversos estudios internacionales. Entre ellos, resalta el trabajo de Abatzoglou y Williams (2016). Ellos encuentran que la intervención antropogénica ha contribuido a la quema de 4,2 millones de hectáreas en el oeste de Estados Unidos durante el período 1984-2015. A una conclusión similar, arriba Harvey (2016) en su análisis. El denominado cambio climático antropogénico ha tenido un fuerte impacto sobre el número de incendios forestales.
Ante tal panorama, resulta crucial analizar la postura del gobierno boliviano frente a los incendios forestales. Durante los últimos años, las políticas de protección ambiental no han ocupado un lugar prioritario en la agenda estatal, a pesar de contar con una normativa avanzada sobre medio ambiente y los compromisos internacionales asumidos en la materia. Desde 2010, Bolivia cuenta con la Ley de Derechos de la Madre Tierra y, en 2012, con la Ley Marco de la Madre Tierra (Estado Plurinacional de Bolivia, 2010; 2012), ambas promoviendo una relación armónica entre los seres humanos y la naturaleza.
De igual manera, el Plan de Desarrollo Económico y Social 2021-2025 se enmarca en el contexto del Acuerdo de París (Naciones Unidas, 2015). En lo que respecta a la gestión de bosques, el plan afirma: “El manejo integral y sustentable de los componentes del bosque permitirá garantizar su conservación y protección, resguardar la biodiversidad diversificando la producción nacional en las regiones con potencial forestal” (Estado Plurinacional de Bolivia, 2021, p. 162).
En consonancia con este objetivo, el documento también menciona la importancia de un medio ambiente sustentable y equilibrado. Se asegura que se han incrementado las áreas reforestadas y forestadas en un 49%, además de haberse mejorado la gestión de riesgos ante incendios forestales mediante la implementación de planes de prevención y atención en diez municipios vulnerables. Este discurso se refuerza con los compromisos asumidos en las “Contribuciones determinadas a nivel nacional de Bolivia”, donde se plantea como meta reducir en un 80% la deforestación en general, y, en particular, disminuir en un 100% la deforestación en áreas protegidas nacionales y en un 60% la superficie afectada por incendios forestales (Estado Plurinacional de Bolivia, 2021).
Sin embargo, pese a estos compromisos, entre 2013 y 2019 la promulgación de leyes que favorecen la quema controlada y la expansión de la frontera agropecuaria contribuyó al incremento de los incendios forestales. Esto ha complicado los esfuerzos de conservación y regeneración de los ecosistemas. El descontrol en el uso del fuego como herramienta para el desmonte de tierras refleja la inefectividad de los planes de contingencia y prevención. A pesar de los compromisos ambientales, el marco normativo adoptado promovió una mayor permisividad hacia los incendios, con el fin de acelerar la producción agrícola y ganadera (Fundación Tierra, 2024).
Este cambio en la política medioambiental puede explicarse, en parte, por las dificultades económicas que enfrentó el país. La caída en los precios internacionales de los hidrocarburos redujo significativamente los ingresos fiscales, afectando la recaudación del Impuesto Directo a los Hidrocarburos, una fuente clave de financiamiento estatal. En respuesta, el Gobierno promovió la agricultura y la ganadería como sectores estratégicos para mitigar las pérdidas económicas. Se fijaron metas ambiciosas, como alcanzar 13 millones de hectáreas cultivadas y producir 45 millones de toneladas métricas de alimentos para el año 2025 (Centro de Estudios para el Desarrollo Laboral y Agrario, 2015). Paralelamente, se proyectó incrementar la producción de carne bovina con miras a la exportación, especialmente al mercado chino, lo que llevó a los ganaderos a solicitar una ampliación de tierras de 13 a 20 millones de hectáreas (Centro de Estudios para el Desarrollo Laboral y Agrario, 2019). Este proceso de expansión ha sido respaldado por créditos productivos otorgados por entidades financieras, que facilitan el financiamiento para tales actividades (La Patria, 2024).
Con el fin de cumplir estas metas, el Gobierno presentó varias medidas que incluyeron la facilitación, e incluso el fomento, de la deforestación mediante la aprobación de un paquete de leyes entre 2013 y 2019. Estas normativas, conocidas como “leyes incendiarias”, incentivaban la generación de incendios para ampliar la frontera agrícola y ganadera, lo que ha generado críticas por sus efectos perjudiciales en el medio ambiente (Fundación Tierra, 2024).
3. Normativa ambiental
Para comprender la relación entre las normas aprobadas por el Gobierno boliviano desde el año 2013 y su impacto en la deforestación y la expansión de la frontera agrícola, es fundamental analizar el contenido específico de estas leyes. Solo al examinar detenidamente su alcance y disposiciones, se podrá comprender cómo han afectado a la superficie forestal y agrícola en Bolivia.
Hasta antes de la década de los noventa del siglo pasado, Bolivia no contaba con un instrumento jurídico que normara tanto la utilización sostenible como la protección de bosques y recursos forestales. Recién la Ley Forestal N° 1700 de 1996, enfatizó el rol cuidador del Estado en cuanto a dichos recursos. Estableció lineamientos para la gestión de recursos forestales, la conservación de áreas naturales, la protección de la fauna silvestre y la participación comunitaria en la gestión y conservación de dichas áreas. Además, definió sanciones y penalidades para quienes incumplieran sus disposiciones.
La Ley 1700 fue importante porque resaltaba la participación estatal, que buscaba garantizar la protección de zona boscosa y controlar la actividad maderera, agrícola y ganadera. Sin embargo, durante los últimos lustros, se fueron modificando los lineamientos gubernamentales sobre la protección de los bosques. Desde el año 2013, en consonancia con la caída en el precio del petróleo, se aprobaron diez normativas relacionadas con la expansión de la frontera agrícola. A continuación, se detalla cada una de ellas:
Cuadro 1 Paquete de “leyes incendiarias”
| Fecha | Ley | Título |
|---|---|---|
| 11/02/2013 | Ley 337 | Ley de apoyo a la producción de alimentos y restitución de bosques. |
| 26/02/2014 | Ley 502 | Ley de ampliación del plazo y modificación a la Ley N° 337 de apoyo a la producción de alimentos y restitución de bosques |
| 23/02/2015 | Ley 739 | Modificación de las leyes N° 337 y N° 502 de apoyo a la producción de alimentos y restitución de bosques |
| 29/09/2015 | Ley 740 | Ley de ampliación del plazo de verificación de la “Función económica social” |
| 29/09/2015 | Ley 741 | Ley de autorización de desmonte hasta 20 hectáreas para pequeñas propiedades y propiedades comunitarias o colectivas para actividades agrícolas y pecuarias |
| 26/05/2017 | Ley 952 | Ley de ampliación del plazo para el registro al programa de apoyo a la producción de alimentos y restitución de bosques |
| 17/09/2018 | Ley 1098 | Ley que establecer el marco normativo que permita la producción, almacenaje, transporte, comercialización y mezcla de aditivos de origen vegetal |
| 18/04/2019 | D.S 3874 | Decreto que autoriza al Comité Nacional de Bioseguridad establecer procedimientos abreviados para la evaluación de la soya evento HB4 y soya evento intacta |
| 25/04/2019 | Ley 1171 | Ley de uso y manejo racional de quemas |
| 10/07/2019 | D.S. 3973 | Decreto que modifica el artículo 5 del Decreto Supremo N° 26075, de 16 de febrero de 2001, autorizando el desmonte para actividad agropecuaria en los departamentos de Santa Cruz y Beni |
Fuente. Elaboración de los autores con información de Gaceta Oficial de Bolivia (2024).
La primera norma fue la Ley 337 del año 2013. Si bien fue de régimen excepcional, legalizó todos los desmontes no autorizados entre los años 1996-2011 para su utilización en la producción de alimentos. Pese a tener un carácter temporal, la ley fue sometida a una serie de modificaciones para prolongar el plazo y bajo el justificativo de mejorar la producción agrícola.
Las modificaciones se hicieron con las leyes 502, 739 y 952. La última corresponde al año 2017, lo que ha significado un escape a aquellos que sin autorización incurren en el desmonte y la quema. Sin embargo, quienes defienden estas normativas lo justifican con el argumento de que fomenta la producción agrícola y es un medio para mejorar la seguridad alimentaria. Utilizan el mismo argumento para el resto de la normativa, como la Ley 741.
Sin duda alguna, la Ley 741 es la más controversial de todas las normas aprobadas. Fue promulgada en el último cuatrimestre del año 2015 y tenía por objeto la autorización de desmonte de hasta 20 hectáreas. De esa forma, se buscaba transformar áreas boscosas en zonas agrícolas sin ofrecer una protección suficiente a las áreas verdes para controlar el daño ambiental que puede surgir a partir de esto. Esta norma se complementó con las leyes 740 y 1098. La primera permitió que las empresas y sectores agrícolas verifiquen su función económica social en pro del bienestar social y los objetivos estatales de mejorar la seguridad alimentaria, mientras que la segunda buscaba la sustitución de importación de diésel vegetal y aditivos. En combinación, existe un fomento al desmonte que se puede acomodar desde diversos objetos jurídicos, generando un perjuicio mayor al beneficio que se busca obtener.
En recientes años, se tiene la Ley 1171. Si bien busca castigar la quema sin autorización, previamente a la sanción, otorga un tiempo excepcional para que aquellos deudores por quema ilegal paguen sus deudas y enmienden sus cuentas con la justicia nacional. De ese modo, no resultó en un instrumento efectivo para regular la quema sin autorización, sino para regularizar los desmontes anteriores. Adicionalmente, la regulación es complicada debido a la extensión de territorio que existe en el país y la propagación rápida de los fuegos.
A todas las leyes anteriores se suman al menos dos decretos supremos del año 2019. El primero, el D.S. 3874, se orienta al establecimiento de procedimientos abreviados para la evaluación de soya con el objeto de la producción de biodiesel. Por su parte, el D.S. 3973 autoriza el desmonte en los departamentos de Beni y Santa Cruz con fines agropecuarios. En ambos casos se incentiva a una mayor deforestación.
El marco normativo que rige el uso de la tierra y la gestión ambiental en Bolivia ha establecido condiciones que legalizan tanto el desmonte como los incendios controlados. Sin embargo, esta legalidad ha generado un impacto considerable en la ecología boliviana, exacerbando la degradación ambiental y contribuyendo al cambio climático, que ya afecta la biodiversidad y los ecosistemas locales. Las “leyes incendiarias” no solo han sido vistas como herramientas para la expansión de la frontera agropecuaria, sino que también han incentivado prácticas que amenazan la integridad de los bosques y otras áreas naturales.
4. Modelo teórico
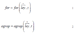
Con base en el planteamiento anterior, queda claro que existe una relación causal de las “leyes incendiarias” tanto con la extensión de la superficie forestal como con el área destinada a la actividad agropecuaria. Dichas relaciones pueden establecerse de la siguiente manera:
Donde:
for es el área forestal de Bolivia
agrop es el área destinada a la actividad agropecuaria en Bolivia
ley es la instauración de las “leyes incendiarias”
z representa a otras variables explicativas del comportamiento del área forestal en Bolivia
t representa a otras variables explicativas del comportamiento del área agropecuaria en Bolivia
Las ecuaciones (1) y (2) indican que las “leyes incendiarias” están estrechamente vinculadas tanto a la superficie forestal como a la agropecuaria en Bolivia. En el caso de las áreas forestales, el impacto es indudablemente negativo, mientras que el efecto sobre la superficie agropecuaria es positivo.
Desde la aprobación de esta normativa en 2013, se ha observado una reducción acelerada del área forestal, impulsada por el aumento de quemas anuales. A pesar de los compromisos internacionales asumidos por Bolivia, las leyes relacionadas con la agricultura y las quemas actúan como un claro incentivo para la deforestación. Esto se debe a la laxitud de estas normativas, que permiten concesiones para realizar quemas, ofrecen amnistías a los quemadores y establecen penas poco severas para quienes infringen las reglas.
Asimismo, esta normativa ha facilitado una expansión más rápida de la frontera agropecuaria. La permisividad en el manejo de incendios ha propiciado una rápida extensión de las tierras cultivadas, dado que las áreas incendiadas rara vez son reforestadas; en cambio, suelen destinarse a la ampliación de la frontera agropecuaria (Villalobos, 2022). Este ciclo de desmonte y expansión agrícola pone en riesgo no solo la biodiversidad, sino también los recursos hídricos y la salud del suelo, elementos fundamentales para la sostenibilidad del ecosistema boliviano.
5. Metodología
Para evaluar los efectos de las “leyes incendiarias” implementadas en Bolivia, se utilizará el método de control sintético. Este enfoque, introducido por Abadie y Gardeazabal (2003) y perfeccionado por Abadie, Diamond y Hainmueller (2010, 2015), es especialmente útil cuando se desea evaluar el impacto de una intervención en un contexto donde no existe un grupo de control natural o donde la cantidad de unidades comparables es limitada. Se trata de una herramienta cada vez más usada en economía aplicada, debido a su capacidad para generar un “contrafactual” a partir de una combinación ponderada de otras unidades no tratadas (en este caso, países), permitiendo comparar qué habría ocurrido en ausencia de la intervención.
Cabe notar que un contrafactual es una estimación de lo que habría sucedido con una unidad si no hubiera sido tratada. En este estudio, Bolivia es la unidad “tratada” al haber implementado las leyes en cuestión en 2016. El contrafactual es una versión ficticia de Bolivia, que simula lo que habría ocurrido si no se hubiesen promulgado estas leyes. Para construir este contrafactual, se usan datos de países que no implementaron leyes similares, ponderados según su similitud con Bolivia en términos de variables relevantes, como el producto interno bruto (PIB) y la población.
En el marco de dicha metodología, se consideran dos indicadores principales: i) la proporción de área forestal respecto a la superficie total del país y ii) la proporción de área destinada a la actividad agropecuaria. Ambos son fundamentales para evaluar los efectos ambientales y económicos de las leyes. Adicionalmente, para mejorar la precisión del modelo, se incluyen dos variables de control: el logaritmo natural del PIB real y el logaritmo natural de la población.
Los datos provienen de la base de datos de la FAO, seleccionándose un panel de 154 países para el período 2001-2021. La elección de este período garantiza que el análisis cubra suficientes años antes y después de la implementación de las leyes, proporcionando una comparación robusta.
Con base en los datos, se construye un “control sintético” ponderando países que no implementaron leyes similares a las bolivianas. Este control busca imitar las características de Bolivia antes de la implementación de las leyes. Matemáticamente, las ponderaciones se determinan minimizando la distancia entre Bolivia y los otros países en términos de las variables de interés antes del tratamiento (2001-2015). La ecuación que define las ponderaciones óptimas es la siguiente:
Donde:
w* es la ponderación óptima que minimiza la diferencia entre cada variable boliviana y la suma ponderada de los otros países.
wi es la ponderación asignada al país i.
lnpib1t es el logaritmo natural del producto interno bruto real de Bolivia en el período t.
lnpibit es el logaritmo natural del producto interno bruto real del país i en el período t.
lnpob1t es el logaritmo natural del número de habitantes de Bolivia en el período t.
lnpobit es el logaritmo natural del número de habitantes del país i en el período t.
pfor1t es la proporción del área forestal respecto a la superficie total de Bolivia en el período t.
pforit es la proporción del área forestal respecto a la superficie total del país i en el período t.
pagrop1t es la proporción del área destinada a la actividad agropecuaria respecto a la superficie total de Bolivia en el período t.
pagropit es la proporción del área destinada a la actividad agropecuaria respecto a la superficie total del país i en el período t.
Una vez obtenidas estas ponderaciones, se comparan los resultados de Bolivia después de la implementación de las leyes (2016-2021) con los resultados del contrafactual. La diferencia entre ambos refleja el impacto de las “leyes incendiarias”.
αˆ es el efecto encontrado.
Z1t representa a las variables bolivianas sobre las que se evalúa el efecto de las “leyes incendiarias”; la proporción de área forestal y la proporción de área agropecuaria.
Zit representa a las variables de los otros países sobre las que se evalúa el efecto de las “leyes incendiarias”.
J es el número de los países incluidos para la ponderación de la unidad sintética.
Para garantizar la validez de los resultados, se consideran tres aspectos:
Bondad de ajuste: se evaluará cómo se ajusta el contrafactual a Bolivia antes de la implementación de las leyes. Cuanto mayor sea la coincidencia entre las tendencias, más fiable será el modelo.
Pruebas de placebo: se aplicará el método a otros países que no implementaron las leyes, simulando un escenario hipotético en el que sí lo hicieron. Si los resultados observados en Bolivia no se replican en otros países, esto refuerza la significancia de los hallazgos.
Pruebas de robustez: se excluirán países clave del análisis para verificar si los resultados permanecen estables. Si la exclusión de alguno de estos países no altera significativamente los resultados, se podrá afirmar que el modelo es robusto.
6. Análisis de resultados
Para un mejor análisis, se plantean separadamente los modelos construidos. De esa forma, se busca evaluar los efectos sobre el área forestal y el área agropecuaria.
6.1. Área forestal
En este caso, la construcción del contrafactual se basó en 14 países:
Cuadro 2 Ponderadores del modelo de área forestal
| País | Ponderación |
|---|---|
| Azerbaiyán | 0.028 |
| Bélgica | 0.047 |
| Brasil | 0.244 |
| Chipre | 0.076 |
| Eswatini | 0.003 |
| Georgia | 0.013 |
| Guinea-Bisáu | 0.146 |
| Irlanda | 0.013 |
| Laos | 0.163 |
| Mauricio | 0.006 |
| Nueva Zelanda | 0.083 |
| Paraguay | 0.102 |
| Portugal | 0.072 |
| Suecia | 0.004 |
Fuente. Elaboración de los autores con datos de FAO (2024) y Banco Mundial (2024).
Como se aprecia, existen cuatro países que componen casi dos tercios del contrafactual. Se trata de Brasil (24.4%), Laos (16.3%), Guinea-Bisáu (14.6%) y Paraguay (10.2%). Es importante notar que dichas naciones se caracterizan por contar con una importante superficie boscosa, una característica importante para asemejarse a la variable boliviana.
Con base en las ponderaciones, es posible construir el contrafactual. En el Gráfico 2 se observa el comportamiento de éste en comparación con la situación boliviana. En primera instancia, es fácil notar que existe una importante bondad de ajuste. Es decir, durante el período previo a la implementación de las “leyes incendiarias”, el comportamiento es muy similar. De hecho, en promedio, la variación entre la variable contrafactual y la boliviana es de 0.056%. Por tanto, el modelo es confiable para analizar el impacto de las “leyes incendiarias”.
En relación a la significancia de las variables, las pruebas indican que no existe ningún caso de placebo con un comportamiento similar al de Bolivia. Además, el análisis de robustez revela una baja variación en los resultados del modelo cuando se excluye a algún ponderador del contrafactual. Por tanto, se concluye que los resultados son significativos y robustos3.
Una vez validado el modelo, se debe prestar atención al efecto del tratamiento. En el Gráfico 2 se observa una diferencia marcada a partir del año posterior de 2016. Si las “leyes incendiarias” no hubiesen sido instauradas, la disminución del área forestal habría sido menos acelerada. En el contrafactual incluso se aprecia que entre 2017 y 2018 habría existido una leve recuperación de dicha superficie.

Fuente. Elaboración de los autores con datos de FAO (2024) y Banco Mundial (2024).
Gráfico 2: Efecto de las “leyes incendiarias” sobre el área forestal
De este modo, se concluye que la “política incendiaria” tuvo efectos negativos sobre la superficie boscosa de Bolivia. Si bien la tendencia de dicha área era a la baja, el tratamiento aceleró la caída del área forestal.
6.2 Área de agropecuaria
En el caso de la superficie destinada a la agricultura y ganadería, se realizó un procedimiento similar al anterior. En ese sentido, inicialmente, se estimaron las ponderaciones que mejor ajusten al contrafactual con la variable boliviana. De ese modo, se construyó la unidad sintética. No obstante, a diferencia del anterior modelo, se obtuvo que los 153 países tienen algún grado de ponderación. Sin embargo, no todos tienen el mismo peso; los más importantes son Singapur (11.00%), Níger (5.90%), Mongolia (5.50%), Iraq (3.40%), Chile (3.30%), Filipinas (3.20%), Benín (3.10%) e Israel (2.40%). El detalle de todas las ponderaciones se encuentra en el Cuadro 3.
El hecho de contar con más ponderadores puede deberse a la variable de estudio en este modelo: la agropecuaria. Considerando que todos los países cuentan con algún grado de actividad agrícola, es totalmente razonable que se tenga más ponderadores que en el caso anterior. De ese modo, se obtiene un mayor ajuste al comportamiento de la variable boliviana. En promedio, la diferencia entre la variable contrafactual y la de Bolivia es de apenas un 0.008%.
En cuanto a la significancia y robustez del modelo, los resultados son similares a los encontrados para el área forestal. Las pruebas de placebo indican que no existe ningún resultado igual al de Bolivia. En términos de robustez, la exclusión de algún ponderador provoca variaciones en los resultados, pero no altera la tendencia general4.
Cuadro 3 Ponderadores del modelo de área de agropecuaria
| País | Ponderador | País | Ponderador | País | Ponderador | País | Ponderador |
|---|---|---|---|---|---|---|---|
| Afganistán | 0.003 | Croacia | 0.004 | Italia | 0.004 | Paraguay | 0.005 |
| Albania | 0.004 | Cuba | 0.004 | Jamaica | 0.003 | Perú | 0.007 |
| Alemania | 0.003 | Dinamarca | 0.002 | Japón | 0.004 | Polonia | 0.002 |
| Angola | 0.004 | Ecuador | 0.002 | Kazajistán | 0.003 | Portugal | 0.003 |
| Arabia Saudita | 0.003 | Egipto | 0.004 | Kenia | 0.004 | Puerto Rico | 0.002 |
| Argelia | 0.004 | El Salvador | 0.004 | Kirguistán | 0.003 | Reino Unido | 0.004 |
| Argentina | 0.004 | Emiratos Árabes Unidos | 0.013 | Laos | 0.014 | República Centroafricana | 0.004 |
| Armenia | 0.014 | Eritrea | 0.003 | Lesoto | 0.009 | República Checa | 0.001 |
| Australia | 0.004 | Eslovaquia | 0.002 | Letonia | 0.006 | República Democrática del Congo | 0.006 |
| Austria | 0.003 | Eslovenia | 0.003 | Líbano | 0.011 | República Dominicana | 0.002 |
| Azerbayán | 0.003 | España | 0.002 | Liberia | 0.008 | Ruanda | 0.003 |
| Bahamas | 0.001 | Estados Unidos | 0.003 | Lituania | 0.007 | Rumania | 0.002 |
| Bangladesh | 0.002 | Estonia | 0.001 | Macedonia del Norte | 0.006 | Rusia | 0.004 |
| Bélgica | 0.003 | Eswatini | 0.003 | Madagascar | 0.003 | Senegal | 0.002 |
| Belice | 0.003 | Etiopía | 0.006 | Malasia | 0.002 | Sierra Leona | 0.001 |
| Benín | 0.031 | Filipinas | 0.032 | Malaui | 0.002 | Singapur | 0.11 |
| Bielorrusia | 0.003 | Finlandia | 0.004 | Mali | 0.004 | Siria | 0.004 |
| Bosnia y Herzegovina | 0.003 | Francia | 0.003 | Marruecos | 0.003 | Somalia | 0.003 |
| Botsuana | 0.004 | Gabón | 0.005 | Mauricio | 0.002 | Sri Lanka | 0.003 |
| Brasil | 0.004 | Gambia | 0.012 | Mauritania | 0.004 | Sudáfrica | 0.003 |
| Bulgaria | 0.002 | Georgia | 0.002 | México | 0.003 | Suecia | 0.006 |
| Burkina Faso | 0.005 | Ghana | 0,019 | Mongolia | 0.055 | Suiza | 0.004 |
| Burundi | 0.003 | Grecia | 0.002 | Montserrat | 0.004 | Surinam | 0.001 |
| Bután | 0.003 | Guatemala | 0.003 | Mozambique | 0.004 | Tailandia | 0.004 |
| Cabo Verde | 0.006 | Guinea | 0.004 | Myanmar | 0.011 | Tajikistán | 0.003 |
| Camboya | 0.007 | Guinea-Bisáu | 0.006 | Namibia | 0.004 | Tanzania | 0,005 |
| Camerún | 0.004 | Guyana | 0.004 | Nepal | 0.003 | Túnez | 0.003 |
| Canadá | 0.004 | Haití | 0.003 | Nicaragua | 0.004 | Turkmenistán | 0.003 |
| Chad | 0.004 | Honduras | 0.008 | Níger | 0.059 | Turquía | 0.003 |
| Chile | 0.033 | India | 0.003 | Nigeria | 0.004 | Ucrania | 0.003 |
| China | 0.004 | Indonesia | 0.015 | Noruega | 0.006 | Uganda | 0.016 |
| Chipre | 0.001 | Irán | 0.003 | Nueva Caledonia | 0.003 | Uruguay | 0.002 |
| Colombia | 0.005 | Iraq | 0.034 | Nueva Zelanda | 0.008 | Uzbekistán | 0.003 |
| Comoras | 0.004 | Irlanda | 0.005 | Omán | 0.006 | Vanuatu | 0.006 |
| Congo | 0.004 | Islas Salomón | 0.003 | Países Bajos | 0.004 | Venezuela | 0.004 |
| Corea del Norte | 0.004 | Islas Turcas y Caicos | 0.002 | Pakistán | 0.003 | Vietnam | 0.001 |
| Corea del Sur | 0.004 | Islas Vírgenes Británicas | 0.004 | Panamá | 0.004 | Yemen | 0.004 |
| Costa de Marfil | 0.002 | Israel | 0.024 | Papúa Nueva Guinea | 0.005 | Zambia | 0.004 |
| Costa Rica | 0.003 |
Fuente. Elaboración de los autores con datos de FAO (2024) y Banco Mundial (2024).
Todo lo expuesto anteriormente valida el efecto observado en la superficie proporcional destinada a la agropecuaria. Por tanto, es momento de analizar el impacto específico de las “leyes incendiarias”.
Tal como se observa en el anterior gráfico, no es posible hallar un efecto inequívoco en la superficie agropecuaria. Inicialmente, la llamada “política incendiaria” provocó una caída significativa en el área destinada a la agricultura, lo que se atribuye al impacto de las leyes que favorecían la quema controlada, pero que terminaron fomentando incendios descontrolados. Esta disminución, no obstante, se mantuvo solo durante los primeros años, ya que desde 2019 se observó una inversión de la tendencia.
Este cambio coincide con los incendios forestales de 2019, los más devastadores de la historia de Bolivia hasta antes del año 2024. La destrucción masiva de áreas forestales aceleró la apropiación de tierras para uso agropecuario, lo que explica el posterior aumento de la superficie destinada a la agricultura y ganadería. Desde ese momento, las “leyes incendiarias” contribuyeron a la expansión de la frontera agrícola, reflejando un patrón de conversión de áreas afectadas por incendios a suelos productivos.
Es importante resaltar que la pandemia de COVID-19, que afectó al país a partir de 2020, limitó aún más la capacidad del Gobierno para proteger las áreas forestales y mitigar los efectos de los incendios. La crisis sanitaria desvió recursos y atención hacia la salud pública, lo que permitió el abuso de dichas leyes y facilitó la expansión agrícola en áreas anteriormente boscosas. Este contexto sugiere que la interacción entre las crisis ambientales y sanitarias exacerbó las dinámicas de apropiación y uso de tierras, mostrando una tendencia de crecimiento en la superficie agropecuaria que podría seguir en ascenso si no se toman medidas para regular estas prácticas.
En resumen, mientras que la “política incendiaria” inicialmente contribuyó a una disminución de la superficie agropecuaria, el contexto de los incendios y la falta de regulación efectiva, agudizada por la pandemia, terminaron generando un aumento sostenido en dicha superficie desde 2019.
7. Conclusiones
El comienzo de la segunda década del siglo XXI estuvo marcado por la caída de los precios de hidrocarburos, el sostén del modelo económico boliviano. Esta situación probablemente llevó a que el Gobierno buscara compensar dicha caída con la promoción de la industria agropecuaria. De ese modo, se reforzó la denominada “política de seguridad alimentaria y exportación de productos agropecuarios” mediante la aprobación de un conjunto de normas con la finalidad de incrementar la frontera agropecuaria. Al mencionado conjunto de medidas se lo denominó como “leyes incendiarias”.
Si bien las primeras normas datan del año 2013, las principales fueron promulgadas a fines del año 2015. Se trata de leyes que autorizan el desmonte para pequeñas propiedades destinadas a la actividad agrícola y ganadera. Considerando que fueron aprobadas en los últimos meses del año 2015, se asume que su instauración plena se realizó en el año 2016. Es precisamente el año mencionado previamente el utilizado para calcular el impacto de la política gubernamental.
Para ese cometido se apeló a la metodología de control sintético. La misma consistió en realizar una evaluación de impacto construyendo una unidad sintética con base en el comportamiento de variables de 153 países. A partir de ello se construyó un contrafactual, mismo que tiene las mismas tendencias que Bolivia, pero en el que se asume que no se instauró la “política incendiaria”.
Los resultados avalaron la hipótesis de que la acelerada disminución del área forestal en Bolivia fue causada por la adopción de las “leyes incendiarias”. Si bien existen otros factores que pudieron llevar a una reducción de la superficie de bosques, las normas aprobadas desde el año 2015 incentivaron una aceleración en dicha disminución.
En consecuencia, también se concluye que la permisividad de desmonte puso en riesgo la biodiversidad y el equilibrio sistémico en todo el territorio nacional debido al incremento de incendios. Dicho de otra manera, las políticas aprobadas han generado un incremento en el deterioro ambiental, por lo que el fuego controlado, que es el mecanismo más efectivo y rápido de desmonte boscoso, ha agravado las épocas de sequía y el desequilibrio de los ciclos ambientales de los ecosistemas afectados. Esta afección ambiental ha causado que los incendios perduren más y que el control de fuego sea mucho menor.
En cuanto al área destinada a la agropecuaria, también se halló el comportamiento esperado. En una primera instancia, la ley aprobada llevó a una disminución del área agropecuaria. Esto puede ser explicado debido al incremento de incendios, que también afectó a las superficies destinadas a la agricultura y ganadería. Sin embargo, en años posteriores se observa un incremento de dichas áreas. Esta nueva situación encuentra una explicación en la incorporación del área forestal quemada para la actividad mencionada. En resumen, la agroindustria ha tenido la capacidad y posibilidad de ampliar la frontera agropecuaria prácticamente sin restricciones, lo que nuevamente ha puesto en riesgo la preservación de ecosistemas fundamentales para el equilibrio ambiental, desembocando en una pérdida significativa de áreas naturales.
Es importante señalar algunas implicancias metodológicas relacionadas con la construcción del contrafactual. En el caso del área forestal, este se construyó utilizando únicamente 14 países, mientras que para el área agropecuaria se incluyeron 153 países. Esta diferencia se debe a que solo un número limitado de países presentaba similitudes relevantes con Bolivia en términos de cobertura boscosa, lo cual podía limitar el contrafactual en este ámbito. Por otro lado, el mayor número de países en el análisis del área agropecuaria permitió un ajuste más preciso, aunque introdujo una mayor dispersión en las ponderaciones. Sin embargo, en ninguno de los casos la precisión de los resultados se vio comprometida.
En conclusión, se ha evidenciado que las leyes aprobadas durante la segunda década del presente siglo han tenido un impacto significativo en las áreas forestal y agropecuaria de Bolivia. Este impacto se manifiesta en un incremento de los incendios, que ha llevado a una notable disminución de la superficie boscosa y a un aumento de las tierras destinadas a la agricultura y la ganadería. Particularmente, los incendios forestales de 2019 marcaron un punto de inflexión, siendo unos de los más devastadores de la historia reciente del país. Estos incendios no solo aceleraron la reducción de las áreas forestales, sino que facilitaron la apropiación de tierras quemadas para su uso agropecuario, impulsando un crecimiento continuo de la frontera agrícola desde ese momento.
La pandemia de COVID-19, que afectó a Bolivia a partir de 2020, agravó esta situación. La crisis sanitaria limitó la capacidad del gobierno para controlar los incendios y proteger los bosques, desviando recursos hacia la emergencia de salud pública. Esto permitió que las “leyes incendiarias” fueran explotadas sin suficiente regulación, facilitando una expansión desmedida del uso de tierras y exacerbando la presión sobre los ecosistemas. En este sentido, se puede afirmar que la interacción entre los incendios, la pandemia y la permisividad de las normativas sobre desmonte contribuyó a un deterioro ambiental acelerado en los años posteriores.
Estos hallazgos contrastan de manera inquietante con el discurso ambientalista promovido en el Plan de Desarrollo Económico y Social 2021-2025, así como con los compromisos internacionales asumidos por el país, como el Acuerdo de París. Para superar estas contradicciones y en aras de preservar la biodiversidad, es fundamental que Bolivia refuerce sus políticas ambientales, centrándose en el cumplimiento de sus “Contribuciones nacionales determinadas”, en la lucha efectiva contra los incendios y en el fortalecimiento de las leyes de la Madre Tierra. Todo lo anterior solo será posible mediante la abrogación de las denominadas “leyes incendiarias” y su reemplazo por una normativa que promueva un desarrollo agropecuario sostenible y la conservación de sus valiosos ecosistemas. Esta transformación no solo es crucial para la salud ambiental, sino que también tiene implicaciones profundas para las comunidades locales y la economía boliviana, al garantizar un equilibrio entre el desarrollo y la sostenibilidad.






















