1. Introducción
La Matriz Insumo-Producto (MIP) se ha consolidado como una herramienta fundamental en la medición y análisis de las economías nacionales. Esta herramienta, concebida como un cuadro de doble entrada (input-output), revela las intrincadas interrelaciones entre los diversos sectores económicos a lo largo de las diferentes etapas del proceso productivo. Wassily Leontief, economista ruso-estadounidense, sentó las bases para la creación sistemática de la MIP a través de su obra pionera La estructura de la economía americana, 1919 y 1929 (Camacho y Romano, 1999). Esta publicación no solo presentó la teoría subyacente a la MIP, sino que también proporcionó un método riguroso para analizarla, impulsando su adopción en diversos países y su incorporación como componente esencial en los manuales de cuentas nacionales de las Naciones Unidas (1999).
La MIP ha demostrado ser una herramienta versátil, con aplicaciones en diversos ámbitos de la economía. Su capacidad para representar de manera simplificada las características macroeconómicas de un país la ha convertido en un instrumento indispensable para el análisis de la estructura productiva (Puchet Anyul, 2001). En este contexto, los encadenamientos sectoriales, tanto directos como totales, emergen como conceptos clave para comprender la dinámica del sistema productivo y las relaciones entre las distintas actividades económicas. (Tanaka, 2011).
Los encadenamientos directos, propuestos por Chenery y Watanabe (1958), se centran en los efectos inmediatos que un cambio en la demanda final de un sector tiene sobre la producción de otros sectores. Estos encadenamientos se clasifican en encadenamientos hacia atrás (backward linkages), que miden la demanda de insumos de un sector a otros, y encadenamientos hacia adelante (forward linkages), que miden la oferta de productos de un sector como insumos para otros.
Por otro lado, los encadenamientos totales, desarrollados por Norregaard Rasmussen (1956), consideran tanto los efectos directos como los indirectos a lo largo de toda la cadena productiva. Este enfoque permite una comprensión más completa de las interdependencias sectoriales y facilita la identificación de los sectores clave en la economía.
En el caso particular de Bolivia, estudios previos sobre encadenamientos sectoriales han arrojado resultados divergentes (Bustos, 2011; Silva, 2013). Estas discrepancias ponen de manifiesto la necesidad de realizar investigaciones adicionales para comprender mejor las relaciones sectoriales en la economía boliviana y su evolución a lo largo del tiempo.
Este estudio se propone abordar esta problemática mediante el análisis de las matrices Insumo-Producto de Bolivia para los años 2000 y 2014. Se utilizarán los métodos de encadenamientos directos de Chenery y Watanabe y encadenamientos totales de Norregaard Rasmussen para identificar y clasificar las relaciones sectoriales en la economía boliviana. Además, se analizará la evolución de los sectores clave y estratégicos en relación con el Producto Interno Bruto (PIB) durante el período 2010-2019.
El presente estudio contribuirá a una mejor comprensión de la estructura productiva de Bolivia y sus encadenamientos sectoriales, proporcionando información valiosa para la toma de decisiones en materia de política económica y planificación del desarrollo.
2. Revisión de la literatura
La base teórica que sustenta el análisis de las relaciones intersectoriales en la economía se remonta a los trabajos pioneros de Francois Quesnay, uno de los principales exponentes de la escuela fisiócrata en Francia. A través de su “Tableau Economique”, Quesnay presentó una visión macroeconómica de la economía, centrándose en el origen y la distribución del producto social. Su modelo, que identificaba tres clases sociales (productiva, terrateniente y estéril) y sus interacciones económicas, sentó las bases para el análisis de las relaciones intersectoriales y la distribución del ingreso.
Dos siglos más tarde, Wassily Leontief revolucionó el campo de la economía con su desarrollo de los cuadros de Insumo-Producto (MIP). Su obra La estructura de la economía americana, 1919 y 1929 (Leontief, 1986) no solo presentó la teoría detrás de la MIP, sino también un método para analizar las relaciones cuantitativas entre los sectores económicos. La MIP se convirtió en una herramienta indispensable para comprender la interdependencia de las industrias y su impacto en la economía en su conjunto.
La MIP se basa en un conjunto de hipótesis que simplifican la realidad económica para hacerla manejable. Estas hipótesis incluyen la homogeneidad sectorial, la invarianza de los precios relativos, la proporcionalidad estricta y la aditividad. A pesar de estas simplificaciones, la MIP ha demostrado ser una herramienta poderosa para analizar la estructura productiva y los encadenamientos sectoriales (Schuschny, 2005).
El modelo matemático de Leontief (1986), que subyace a la MIP, se basa en un sistema de ecuaciones lineales que representan las relaciones entre los sectores económicos. La matriz de coeficientes técnicos, derivada de la MIP, muestra los requerimientos directos de insumos de cada sector para producir una unidad de producto. La inversa de la matriz de Leontief, conocida como matriz de requerimientos totales, revela los requerimientos directos e indirectos, capturando así la cadena completa de interacciones en los procesos de producción.
El análisis de encadenamientos sectoriales, basado en la MIP, permite identificar los sectores clave en la economía y comprender cómo los cambios en la demanda final afectan la producción de los demás sectores (Hernández, 2012; Iráizoz Apezteguía, 2006). Los encadenamientos hacia atrás (backward linkages) miden la capacidad de un sector para demandar insumos de otros sectores, mientras que los encadenamientos hacia adelante (forward linkages) miden la capacidad de un sector para ofrecer productos como insumos para otros sectores.
Chenery y Watanabe (1958) propusieron los multiplicadores directos para cuantificar el impacto directo de los encadenamientos hacia atrás y hacia adelante. Estos multiplicadores permiten clasificar los sectores según su capacidad para impulsar o ser impulsados por otros sectores. Norregaard Rasmussen (1956), por su parte, desarrolló un método de clasificación basado en los encadenamientos totales, que considera tanto los efectos directos como los indirectos. Este método clasifica los sectores en cuatro categorías: clave, estratégicos, impulsores e independientes.
La relevancia de estos estudios radica en su capacidad para informar la toma de decisiones en materia de política económica. La identificación de sectores clave y estratégicos permite orientar la inversión pública y privada hacia aquellos sectores con mayor potencial de generar crecimiento económico y empleo. Además, el análisis de encadenamientos productivos puede ayudar a identificar cuellos de botella en la producción y diseñar políticas para fortalecer las cadenas de valor (Barrientos, 1995;Soza Amigo, 2006).
El análisis de encadenamientos productivos, basado en la MIP, ha sido ampliamente utilizado en América Latina [18, 12, 11] para comprender las estructuras productivas y diseñar políticas de desarrollo. En el contexto latinoamericano, la identificación de sectores clave y estratégicos ha sido crucial para impulsar el crecimiento económico y reducir la dependencia de productos primarios.
Para la economía colombiana, Hernández (2012) realiza un análisis detallado de la Matriz Insumo-Producto de Colombia, aplicando métodos de los manuales input-output de las Naciones Unidas para matrices construidas con la revisión 4 (1993). Sus hallazgos son de gran relevancia para estudios posteriores y facilitan la comprensión de las aplicaciones de la Matriz Insumo-Producto. El autor destaca la importancia de la correcta construcción de la matriz para poder aplicar los métodos de análisis y utiliza las metodologías de Chenery y Watanabe, así como las de Norregaard Rasmussen, además de calcular multiplicadores no tradicionales para empleo, valor agregado y remuneraciones.
Hurtado Redón y Martínez (2017) realizan un análisis en Medellín, Colombia, donde identifican encadenamientos directos y totales, además de simular cambios en la demanda final, concluyendo que la economía de Medellín a nivel sectorial se caracteriza por tener tanto sectores no manufactureros como manufactureros orientados al destino final. En Argentina, Beyrne (2015) analiza los encadenamientos productivos de la MIP de 2004, destacando que la industria manufacturera es clave tanto como proveedor como comprador dentro del sistema económico
En Bolivia, la investigación sobre encadenamientos sectoriales ha cobrado relevancia en las últimas décadas. Estudios como los de Bustos (2011) y Silva (2013) han aplicado los métodos de Chenery- Watanabe y Norregaard Rasmussen a la MIP de Bolivia, revelando la importancia de sectores como hidrocarburos, minería y agricultura en la economía nacional. Sin embargo, estos estudios también han puesto de manifiesto la necesidad de actualizar la MIP y profundizar en el análisis de las interdependencias sectoriales.
Sin embargo, el análisis de encadenamientos productivos en Bolivia enfrenta desafíos importantes. La falta de actualización de la MIP limita la precisión de los resultados y su aplicabilidad a la realidad económica actual. Además, la estructura productiva de Bolivia, caracterizada por una alta dependencia de recursos naturales y una débil diversificación, plantea retos particulares para el análisis de encadenamientos.
A pesar de estos desafíos, la investigación sobre encadenamientos productivos en Bolivia sigue siendo un área de gran relevancia para el desarrollo económico del país. La actualización de la MIP y la aplicación de metodologías más sofisticadas permitirán una mejor comprensión de la estructura productiva y sus interdependencias, lo que a su vez facilitará el diseño de políticas económicas más efectivas.
3. Datos y metodología
3.1. Datos utilizados
Los datos utilizados en este estudio se derivan de la Matriz Insumo-Producto (MIP) de Bolivia, una herramienta contable esencial que detalla las relaciones intersectoriales dentro de la economía. La MIP ilustra cómo los diversos sectores económicos interactúan, comprando y vendiendo bienes y servicios entre sí.
Para este análisis se emplean las MIP de los años 2000 y 2014. Estas matrices, aunque construidas con base en el año 1990, son las últimas disponibles públicamente y ofrecen una visión de la estructura productiva de Bolivia en dos momentos distintos. La elección de estos años permite realizar un análisis comparativo, examinando cómo han evolucionado los encadenamientos sectoriales a lo largo del tiempo.
Es importante destacar que la MIP de Bolivia se basa en la clasificación de las cuentas nacionales, que divide la economía en 35 actividades económicas. Estas actividades abarcan una amplia gama de sectores, incluyendo:
Sector primario: productos agrícolas no industriales, productos agrícolas industriales, coca, productos pecuarios, silvicultura, caza y pesca, petróleo crudo y gas natural, minerales metálicos y no metálicos.
Sector secundario: abarca la industria manufacturera, incluyendo alimentos y bebidas (carnes, productos lácteos, molinería, azúcar, alimentos diversos, bebidas) y otras industrias (tabaco, textiles, madera, papel, químicos, refinación de petróleo, minerales no metálicos, metales básicos, productos metálicos, maquinaria y equipo, y manufacturas diversas).
Sector terciario: engloba las actividades de servicios como electricidad, gas y agua, construcción, comercio, transporte, comunicaciones, servicios financieros, servicios a empresas, propiedad de vivienda, servicios comunales, restaurantes y hoteles, servicios domésticos y servicios de administración pública.
Además de la MIP, el estudio utiliza datos del Producto Interno Bruto (PIB) de Bolivia para el período 2010-2019. El PIB, un indicador macroeconómico clave que mide el valor total de los bienes y servicios producidos en un país durante un período determinado, se obtiene a través de diversas fuentes de información, como la Encuesta Nacional de Población y Vivienda, la Encuesta Nacional Agropecuaria y la Encuesta de Seguimiento al Consumo Alimentario, entre otras. Al analizar la evolución del PIB en conjunto con los encadenamientos sectoriales, podemos comprender mejor la dinámica de la economía boliviana y la contribución de los diferentes sectores a su crecimiento.
La metodología de construcción de la MIP de Bolivia se basa en los manuales del Sistema de Cuentas Nacionales de las Naciones Unidas (1999), siguiendo las recomendaciones de las revisiones de 1968 y 1993. Para cada producto se determinaron los valores de producción, la estructura de costos, los niveles de consumo intermedio, y finalmente, la inversión y los impuestos. Esta información sirvió para calcular los coeficientes técnicos utilizados en las cuentas nacionales para estimar el PIB y otros indicadores.
3.2. Metodología
La metodología empleada en este estudio se basa en el análisis de la Matriz Insumo-Producto (MIP) de Bolivia para los años 2000 y 2014. Estas matrices, aunque construidas con base en el año 1990 (INE, s/f ), son las últimas disponibles públicamente y ofrecen una visión de la estructura productiva de Bolivia en dos momentos distintos. La elección de estos años permite realizar un análisis comparativo, examinando cómo han evolucionado los encadenamientos sectoriales a lo largo del tiempo.
Para identificar los encadenamientos sectoriales, se emplearon dos métodos ampliamente utilizados en la literatura económica: los encadenamientos directos de Chenery y Watanabe (1958) y los encadenamientos totales de Norregaard Rasmussen (1956)
3.2.1. Encadenamientos directos de Chenery y Watanabe (1958)
Este método se enfoca en los efectos inmediatos que un cambio en la demanda final de un sector tiene sobre la producción de otros sectores. Los encadenamientos directos se dividen en dos tipos:
Encadenamientos hacia atrás (DBL): miden la capacidad de un sector para demandar insumos de otros sectores. Se calculan como la suma de los coeficientes técnicos de la columna correspondiente a ese sector en la matriz de coeficientes técnicos (A). Los coeficientes técnicos (aij) representan la cantidad de insumo del sector i que se necesita para producir una unidad de producto en el sector j.
Encadenamientos hacia adelante (DFL): miden la capacidad de un sector para ofrecer productos como insumos para otros sectores. Se calculan como la suma de los coeficientes técnicos de la fila correspondiente a ese sector en la matriz A.
Para calcular los coeficientes técnicos (aij), se divide el valor de los insumos intermedios (Xij) que el sector j compra al sector i entre la producción total del sector j (Xj):
Los encadenamientos directos según Chenery y Watanabe se calculan a partir de la matriz de coeficientes técnicos A.
donde:
DBLj es el encadenamiento directo hacia atrás del sector j
DFLi es el encadenamiento directo hacia adelante del sector i
aij es el elemento de la matriz de coeficientes técnicos A que representa el flujo desde el sector
i hacia el sector j
n es el número total de sectores
Una vez obtenidos los coeficientes técnicos, se pueden calcular los DBL y DFL para cada sector. Estos encadenamientos directos se utilizan para clasificar los sectores en cuatro categorías según si sus DBL y DFL son mayores o menores que el promedio de la economía:
3.2.2. Encadenamientos totales de Norregaard Rasmussen (1956)
Este método amplía el análisis de los encadenamientos directos al considerar tanto los efectos directos como los indirectos a lo largo de toda la cadena productiva. Los encadenamientos totales se dividen en dos tipos:
Encadenamientos totales hacia atrás (BL): miden el impacto total de un aumento en la demanda final de un sector sobre la producción de todos los sectores de la economía.
Encadenamientos totales hacia adelante (FL): miden el impacto total de un aumento en la producción de un sector sobre la demanda final de todos los sectores de la economía. Se calculan como la suma de los elementos de la fila correspondiente a ese sector en la matriz de Leontief inversa.
Para obtener los encadenamientos totales de Norregaard Rasmussen, primero calculamos la matriz B:
donde:
I es la matriz identidad
A es la matriz de coeficientes técnicos
Una vez obtenida la matriz B, los encadenamientos hacia atrás (BLj) y hacia adelante (FLi) se calculan como:
Los encadenamientos totales se calculan a partir de la matriz inversa de Leontief (B), que captura el impacto directo e indirecto de las relaciones intersectoriales. Para clasificar los sectores, Norregaard Rasmussen introduce dos índices:
Poder de dispersión (τi): este índice mide la capacidad de un sector para estimular al resto de la economía a través de sus encadenamientos hacia atrás (BL). Un valor superior a 1 indica que el sector tiene un impacto promedio mayor que el resto de los sectores en términos de demanda de insumos intermedios.
Sensibilidad de dispersión (πi): este índice mide la sensibilidad de un sector a los cambios en la demanda final de toda la economía a través de sus encadenamientos hacia adelante (FL). Un valor superior a 1 indica que el sector es más sensible que el promedio a los cambios en la demanda final. Formalmente, se definen como:
donde:
πj es el poder de dispersión del sector j.
BLj es el encadenamiento hacia atrás del sector j.
avg(BLj) es el promedio de los encadenamientos hacia atrás de todos los sectores. τi es la sensibilidad de dispersión del sector i.
FLi es el encadenamiento hacia adelante del sector i.
avg(FLi) es el promedio de los encadenamientos hacia adelante de todos los sectores.
La combinación de estos dos índices permite clasificar los sectores en cuatro categorías:
Sectores clave: son sectores con alto poder de dispersión (πj ≥ 1) y alta sensibilidad de dispersión (τi ≥ 1). Estos sectores son fundamentales para la economía, ya que tienen un fuerte impacto tanto en la demanda de insumos como en la oferta de productos intermedios.
Sectores estratégicos: son sectores con bajo poder de dispersión (πj < 1) y alta sensibilidad de dispersión (τi ≥ 1). Estos sectores son importantes proveedores de insumos intermedios para otros sectores, pero su demanda de insumos es relativamente baja.
Sectores impulsores: son sectores con alto poder de dispersión (πj ≥ 1) y baja sensibilidad de dispersión (τi < 1). Estos sectores tienen una gran demanda de insumos intermedios, lo que impulsa la producción en otros sectores, pero su producción se destina principalmente a la demanda final.
Sectores independientes: son sectores con bajo poder de dispersión (πj < 1) y baja sensibilidad de dispersión (τi < 1). Estos sectores tienen una baja interacción con el resto de la economía en términos de encadenamientos.
El análisis de los encadenamientos sectoriales se complementó con el estudio de la evolución del PIB de Bolivia en el período 2010-2019. Se examinó la tasa de crecimiento promedio anual de los sectores clave y estratégicos, para comprender su contribución al crecimiento económico del país.
Es importante señalar que este estudio tiene limitaciones debido a la antigüedad de la MIP utilizada. La estructura productiva de Bolivia ha experimentado cambios significativos desde 1990, y una MIP más actualizada podría ofrecer una visión más precisa de los encadenamientos sectoriales actuales. Sin embargo, a pesar de esta limitación, los resultados obtenidos proporcionan información valiosa sobre la dinámica de la economía boliviana y pueden servir como base para futuras investigaciones.
4. Resultados
4.1. Análisis descriptivo de la estructura productiva de Bolivia
La economía boliviana, según la clasificación de las cuentas nacionales de 1990 (INE, s/f ), se estructura en 35 actividades económicas. Estas actividades se pueden agrupar en tres sectores principales:
Sector primario: abarca la producción de materias primas, como productos agrícolas (industriales y no industriales), coca, productos pecuarios, silvicultura, caza y pesca, petróleo crudo y gas natural, y minerales metálicos y no metálicos.
Sector secundario: engloba la industria manufacturera, que incluye la producción de alimentos y bebidas (carnes, productos lácteos, molinería, azúcar, alimentos diversos, bebidas) y otras industrias manufactureras (tabaco, textiles, madera, papel, químicos, refinación de petróleo, minerales no metálicos, metales básicos, productos metálicos, maquinaria y equipo, y manufacturas diversas).
Sector terciario: comprende las actividades de servicios, como electricidad, gas y agua, construcción, comercio, transporte, comunicaciones, servicios financieros, servicios a empresas, propiedad de vivienda, servicios comunales, restaurantes y hoteles, servicios domésticos y servicios de la administración pública.
El análisis de la Matriz Insumo-Producto (MIP) de Bolivia para los años 2000 y 2014 revela la dinámica de las relaciones intersectoriales en la economía. La MIP muestra cómo los diferentes sectores se interconectan a través de la compra y venta de insumos intermedios, es decir, bienes y servicios utilizados en la producción de otros bienes y servicios. En el Gráfico 2 se puede observar esta dinámica, donde la columna de la derecha representa las actividades económicas que proveen insumos, y la columna de la derecha son las actividades que compran estos insumos de otras actividades; el grosor de las líneas representa el monto de la venta/compra sobre el total.

Fuente: Elaboración propia en base datos Oferta y Demanda Total a precios constantes-INE
Gráfico 1: Histórico de la composición de la oferta y demanda final - Bolivia periodo de 1990 a 2021
Un aspecto destacado de la estructura productiva boliviana es la importancia del consumo intermedio. En promedio, entre 1990 y 2021, el consumo intermedio representó el 39% de la demanda total, lo que indica que una parte significativa de la producción se destina a la producción de otros bienes y servicios, en lugar de ser consumida directamente1. Producción bruta está valorada a precios básicos2. Otros impuestos lo componen: derechos sobre las importaciones; IVA, IT y otros impuestos3. Formación bruta de capital (FBK) es la suma de FBKF más variación de existencias.
Otro aspecto relevante es la evolución de los componentes de la oferta y demanda total a lo largo del tiempo. El Valor Bruto de Producción (VBP) ha sido el componente principal de la oferta total, representando en promedio el 75% entre 1990 y 2021. Por otro lado, el consumo final, que incluye el consumo de los hogares y del Gobierno, ha sido el principal componente de la demanda total, con un promedio del 40% en el mismo período; esto se puede ver en el Gráfico 1.

Fuente: Elaboración propia con base en datos del INE-MIP 2014
Gráfico 2: Visualización de demanda intermedia entre actividades económicas de la Matriz Insumo Producto correspondiente al año 2014
El análisis de la MIP también revela la importancia de las importaciones en la economía boliviana, representando en promedio el 14% de la oferta total entre 1990 y 2021. Asimismo, las exportaciones han jugado un papel relevante, constituyendo el 13% de la demanda total en el mismo período. El análisis también muestra una economía caracterizada por una alta dependencia del consumo intermedio y una importante participación de las importaciones y exportaciones. Durante el periodo de estudio, el sector primario, especialmente la minería y los hidrocarburos, ha desempeñado un papel fundamental en la economía boliviana; sin embargo, tampoco se evidenció un cambio relevante en las interacciones ni la relevancia de las actividades económicas.
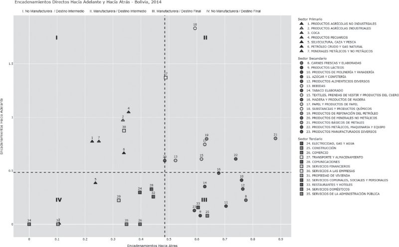
4.2. Encadenamientos directos de Chenery y Watanabe
En esta sección se calcularon los encadenamientos directos hacia adelante (DBL) y hacia atrás (DFL) para los años 2000 y 2014, en base a los datos de la MIP. Los resultados muestran cierta estabilidad en la categorización de las actividades en ambos periodos. El análisis de encadenamientos directos permite categorizar las actividades en cuatro grupos: no manufacturera de destino intermedio, manufacturera de destino intermedio, manufacturera de destino final y no manufacturera de destino final.
No manufacturera de destino intermedio (I): este grupo incluye actividades económicas que se caracterizan por tener bajos encadenamientos hacia atrás (DBL) y altos encadenamientos hacia adelante (DFL), lo que significa que dependen poco de otros sectores para obtener insumos, pero su producción es fundamental como insumo para otros sectores. En 2014, este grupo estaba compuesto principalmente por actividades del sector primario (71.4%), como productos agrícolas no industriales, productos agrícolas industriales, productos pecuarios, petróleo crudo y gas natural, y minerales metálicos y no metálicos.
Manufacturera de destino intermedio (II): este grupo está formado por actividades con altos encadenamientos tanto hacia atrás (DBL) como hacia adelante (DFL). Esto indica que estas actividades son importantes demandantes y oferentes de insumos intermedios en la economía, lo que las convierte en eslabones cruciales en las cadenas de producción. En 2014, el 87.5% de las actividades de este grupo pertenecían al sector secundario, como productos de refinación de petróleo, y substancias y productos químicos.
Manufacturera de destino final (III): estas actividades se caracterizan por tener altos encadenamientos hacia atrás (DBL) y bajos encadenamientos hacia adelante (DFL). Esto implica que dependen de otros sectores para obtener insumos, pero su producción se destina principalmente a la demanda final, como el consumo de los hogares. En 2014, el 80% de las actividades de este grupo pertenecían al sector secundario, como carnes frescas y elaboradas y productos lácteos.
No manufacturera de destino final (IV): este grupo incluye actividades con bajos encadenamientos tanto hacia atrás (DBL) como hacia adelante (DFL), lo que sugiere que su producción se orienta principalmente a la demanda final y tienen una menor interacción con otros sectores en términos de intercambio de insumos intermedios. En 2014, el 80% de las actividades de este grupo pertenecían al sector terciario, como comercio y servicios financieros.
Los gráficos 3 y 5 representan los encadenamientos intersectoriales en una representación de diagrama de cuerdas, donde las flechas que salen de un nodo representan la venta de insumos de la actividad económica hacia la actividad que compra esos insumos. En ambas figuras el color representa el grupo al que pertenece según la categorización del análisis de encadenamientos directos. Se puede observar una mayor presencia de las actividades categorizadas como Manufactureras de destino intermedio (color naranja), esto debido a su amplia participación como comprador y productor dentro de la demanda intermedia; lo contrario ocurre con las actividades categorizadas como No manufactureras y de destino final (color rojo), ya que tienen una presencia escasa en las interacciones intersectoriales.

Fuente: Elaboración propia con base en datos del INE-MIP 2000
Gráfico 3: Interacción de las actividades económicas considerando la clasificación según encadenamientos directos (2000)

Fuente: Elaboración propia con base en datos del INE-MIP 2000
Gráfico 4: Clasificación según encadenamientos directos (2000)

Fuente: Elaboración propia con base en datos del INE-MIP 2014
Gráfico 5: Interacción de las actividades económicas considerando la clasificación según encadenamientos directos (2014)

Fuente: elaboración propia, con base en datos del INE-MIP 2014
Gráfico 6: Clasificación según encadenamientos directos (2014)
Cuadro 1 Clasificación mediante encadenamientos directos

Fuente: Elaboración propia con base en datos del INE-MIP 2000; 2014.
En los gráficos 4 y 6 se muestra una distribución bidimensional de las actividades económicas donde los ejes representan el valor de los encadenamientos directos hacia adelante (DFL) y hacia atrás (DBL). Un aspecto de la metodología aplicada es que los promedios de ambos indicadores ejercen como valores umbrales que permiten la clasificación de las actividades. Un elemento que se puede observar en los gráficos es que la mayoría de las actividades categorizadas como No manufactureras de destino final corresponden al sector primario (explotación de materias primas); este punto indica un nivel bajo de industrialización de estas materias primas en el país.
4.3. Identificación de sectores clave, estratégicos, impulsores e independientes
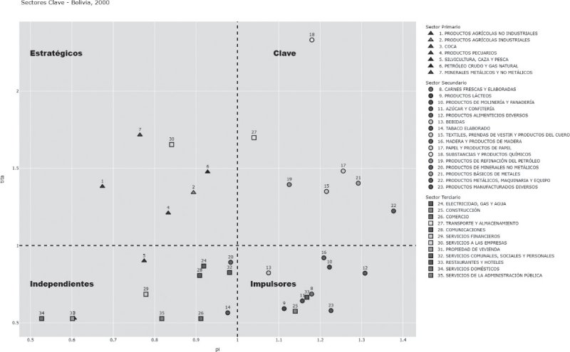
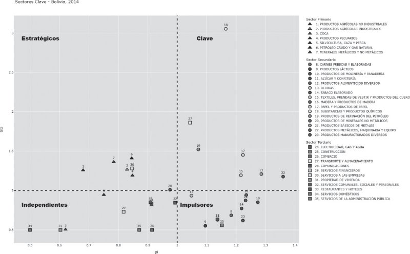
Los resultados del análisis de encadenamientos totales, utilizando la metodología de Norregaard Rasmussen (1956), revelan la existencia de sectores clave, estratégicos, impulsores e independientes en la economía boliviana. Estos sectores se clasifican en función de sus encadenamientos totales hacia atrás (poder de dispersión) y hacia adelante (sensibilidad de dispersión).
Sectores clave: estos sectores se caracterizan por tener altos encadenamientos tanto hacia atrás como hacia adelante, lo que significa que tienen una fuerte interdependencia con otros sectores de la economía. Los sectores clave identificados en Bolivia para el año 2014 fueron: productos de refinación de petróleo, sustancias y productos químicos, transporte y almacenamiento, productos básicos de metales, productos metálicos, maquinaria y equipo, papel y productos de papel, textiles, prendas de vestir y productos de cuero. Estos sectores juegan un papel crucial en la economía, ya que su desempeño afecta a una amplia gama de otras actividades.
Sectores estratégicos: estos sectores tienen una alta capacidad de ofrecer productos como insumos para otros sectores (altos encadenamientos hacia adelante), pero su demanda de insumos de otros sectores es relativamente baja (bajos encadenamientos hacia atrás). Los sectores estratégicos identificados en Bolivia para el año 2014 fueron: productos agrícolas no industriales, productos agrícolas industriales, productos pecuarios, petróleo crudo y gas natural, minerales metálicos y no metálicos, productos de minerales no metálicos, y servicios a las empresas. Estos sectores son importantes proveedores de insumos para la economía y su desempeño puede afectar la capacidad de producción de otros sectores.
Sectores impulsores: estos sectores tienen una alta demanda de insumos de otros sectores (altos encadenamientos hacia atrás), pero su capacidad de ofrecer productos como insumos para otros sectores es relativamente baja (bajos encadenamientos hacia adelante). Los sectores impulsores identificados en Bolivia para el año 2014 fueron: carnes frescas y elaboradas, productos lácteos, productos de molinería y panadería, azúcar y confitería, productos alimenticios diversos, bebidas, tabaco elaborado, madera y productos de madera, productos manufacturados diversos, construcción, y restaurantes y hoteles. Estos sectores generan una demanda significativa de insumos de otros sectores, lo que puede estimular la producción en toda la economía.
Sectores independientes: estos sectores tienen bajos encadenamientos tanto hacia atrás como hacia adelante, lo que significa que tienen una baja interdependencia con otros sectores de la economía. Los sectores independientes identificados en Bolivia para el año 2014 fueron: coca, silvicultura, caza y pesca, electricidad, gas y agua, comercio, comunicaciones, servicios financieros, propiedad de vivienda, servicios comunales, sociales y personales, servicios domésticos y servicios de la administración pública. Estos sectores operan de manera relativamente autónoma y su desempeño tiene un impacto limitado en otros sectores.
Cuadro 2 Clasificación mediante encadenamientos directos

Clasificación mediante encadenamientos directos
Fuente: Elaboración propia con base en datos del INE-MIP 2014.
Es importante destacar que la clasificación de los sectores en estas categorías puede variar a lo largo del tiempo debido a cambios en la estructura productiva y en las relaciones intersectoriales. Por lo tanto, es fundamental realizar análisis periódicos para identificar los sectores clave y estratégicos en cada momento y adaptar las políticas económicas en consecuencia. Los indicadores calculados para realizar la clasificación acorde a los encadenamientos se encuentran en los cuadros 3 y 4.
4.4. Evolución de los sectores clave y estratégicos en relación con el PIB (2010-2019)
Los sectores identificados como estratégicos y clave en la economía boliviana, según el análisis de encadenamientos, han mostrado una evolución significativa en la última década (2010-2019). Esta evolución refleja el papel crucial que desempeñan en la estructura productiva y su contribución al Producto Interno Bruto (PIB).
Dentro de los sectores estratégicos se destacan las actividades agropecuarias (agricultura industrial y productos pecuarios) y la minería (minerales metálicos y no metálicos), que son fundamentales para la industria nacional. También destacan los productos agrícolas no industriales y los hidrocarburos, cuya producción se destina principalmente a mercados externos. El sector agropecuario, en su conjunto, experimentó un crecimiento promedio anual del 5% en el período 2010-2019. Los productos agrícolas industriales, en particular la soya y la caña de azúcar, tuvieron un desempeño notable, tanto en su tasa de crecimiento como en su contribución al PIB total.
La producción pecuaria también mostró un crecimiento promedio anual del 5% en el período analizado. Las producciones bovina, avícola y porcina son las principales actividades pecuarias en Bolivia, y su destino principal son las empresas de alimentos que procesan y transforman los productos para el consumo interno y, a partir de 2019, también para la exportación. La minería y los hidrocarburos, tradicionalmente sectores dominantes en la economía boliviana, experimentaron un declive a partir de 2014. Factores como el contexto internacional y la falta de planificación en la exploración de hidrocarburos contribuyeron a esta disminución en su producción y, por ende, a su menor contribución al PIB.

Fuente: Elaboración propia con base en datos del INE-MIP 2000
Gráfico 7: Clasificación según encadenamientos totales (2000)

Fuente: Elaboración propia con base en datos del INE-MIP 2000
Gráfico 8: Clasificación según encadenamientos totales (2000)

Fuente: Elaboración propia con base en datos del INE-MIP 2014
Gráfico 9: Clasificación según encadenamientos totales (2014)

Fuente: Elaboración propia con base en datos del INE-MIP 2014
Gráfico 10: Clasificación según encadenamientos totales (2014)
En cuanto a los sectores clave, todos ellos forman parte de la industria manufacturera, a excepción de transporte y almacenamiento, que es un servicio transversal a todas las actividades económicas. Las actividades clave con mejor desempeño en los últimos años fueron las de sustancias y productos químicos (8% de crecimiento promedio anual), productos de refinación de petróleo (5%) y transporte y almacenamiento (5%).
La producción de urea, impulsada por políticas de sustitución de importaciones y su posterior aceptación en mercados externos, ha sido un factor clave en el crecimiento de la industria química. Sin embargo, la dependencia de esta industria del sector hidrocarburífero plantea desafíos, ante la disminución de la producción de gas.
El análisis de encadenamientos productivos permite anticipar los efectos de cambios en la producción de un sector sobre otros sectores relacionados. Por ejemplo, la disminución en la producción de hidrocarburos puede afectar negativamente a la industria de refinación de petróleo y a la producción de urea. En resumen, la evolución de los sectores clave y estratégicos en Bolivia en el período 2010-2019 muestra una dinámica compleja, con sectores en crecimiento y otros en declive. El análisis de encadenamientos productivos proporciona una herramienta valiosa para comprender estas dinámicas y diseñar políticas económicas que promuevan un crecimiento sostenible y diversificado.
Cuadro 3 Resumen: indicadores calculados para la clasificación de actividades 253. económicas mediante la Matriz Insumo Producto (2014)

Fuente: Elaboración propia con base en datos del INE-MIP 2000.
5. Discusión y conclusiones
Los resultados de este estudio identifican una estructura productiva en Bolivia caracterizada por una limitada interdependencia entre sectores. La mayoría de las actividades económicas muestran bajos encadenamientos hacia atrás y hacia adelante, lo que sugiere una baja capacidad de generar y transmitir efectos multiplicadores en la economía. Esta situación puede atribuirse a diversos factores, como la especialización en la extracción de materias primas sin una industrialización local, la falta de diversificación productiva y la debilidad de los vínculos entre los sectores primario, secundario y terciario.
Los sectores clave identificados (productos de refinación de petróleo, sustancias y productos químicos, transporte y almacenamiento, entre otros) desempeñan un papel fundamental en la economía, ya que su producción es esencial para el funcionamiento de otros sectores. Sin embargo, su capacidad de generar encadenamientos hacia atrás es limitada, lo que sugiere que la demanda de insumos de estos sectores no se traduce en un estímulo significativo para otros sectores de la economía; también sugiere que los insumos necesarios para estas actividades no son producidos por la industria nacional.
Los sectores estratégicos, por su parte, se caracterizan por su alta capacidad de ofrecer productos como insumos para otros sectores. Sin embargo, su dependencia de la demanda externa y su baja demanda de insumos nacionales limitan su potencial para generar encadenamientos hacia atrás y estimular el crecimiento económico interno.
Los resultados de este estudio son consistentes con investigaciones previas que señalan la necesidad de diversificar la estructura productiva de Bolivia y fortalecer los vínculos entre los diferentes sectores. La promoción de actividades manufactureras con mayor valor agregado y la creación de encadenamientos productivos más fuertes podrían contribuir a un crecimiento económico más sostenible e inclusivo.
Este estudio ha analizado la estructura productiva de Bolivia y sus encadenamientos sectoriales a partir de la Matriz Insumo-Producto de los años 2000 y 2014. Los resultados revelan una estructura productiva poco diversificada y con limitada interdependencia entre sectores.
Los sectores clave identificados, principalmente en la industria manufacturera, desempeñan un papel crucial en la economía, pero su capacidad de generar encadenamientos hacia atrás es limitada. Los sectores estratégicos, por su parte, son importantes proveedores de insumos, pero su dependencia de la demanda externa limita su potencial para estimular el crecimiento económico interno.
Es fundamental que Bolivia promueva la diversificación productiva y fortalezca los encadenamientos entre los diferentes sectores de la economía. Esto implica invertir en sectores con mayor potencial de generar valor agregado, como la manufactura y los servicios, y fomentar la creación de vínculos entre estos sectores y los sectores primario y terciario. Además, es necesario actualizar la Matriz Insumo-Producto de Bolivia, para contar con información más precisa y relevante sobre la estructura productiva actual. Esto permitirá realizar análisis más rigurosos y diseñar políticas económicas más efectivas para promover un crecimiento económico sostenible e inclusivo.























