SciELO - Scientific Electronic Library Online

 
 issue40Effects of the COVID-19 pandemic on the Bolivian economyInclusive growth and decent jobs by gender: the case of urban areas in Bolivia author indexsubject indexarticles search
Home Pagealphabetic serial listing  

Services on Demand

Journal

Article

Indicators

Related links

  • Have no similar articlesSimilars in SciELO

Share


Revista Latinoamericana de Desarrollo Económico

Print version ISSN 2074-4706On-line version ISSN 2309-9038

rlde  no.40 La Paz  2023  Epub Nov 30, 2023

https://doi.org/10.35319/lajed.202340282 

ARTÍCULO

El ecoturismo a nivel local y el aprovechamiento del recurso vegetación

Ecotourism at the local level and the use of the vegetation resource

Alex Rolando Carrión Hidalgo* 
http://orcid.org/0009-0009-4563-6380

Yudemir Cruz Pérez** 
http://orcid.org/0000-0001-9876-732X

*Máster en Administración de Negocios, Department of Human Resource, Chuanqing Drilling Engineering Limited, Ecuador. Contacto: alex.carrion1987@gmail.com.

**Doctor en Ciencias Forestales, Facultad de Turismo, Universidad de La Habana, Cuba. Contacto: cruzperezyudemir@gmail.com.


Resumen

El propósito de la investigación fue diagnosticar la gestión del ecoturismo a nivel local y el aprovechamiento del recurso turístico vegetación, en Guamote, Ecuador. El trabajo partió del examen de la información secundaria disponible, el abordaje empírico de la problemática (combinando herramientas de la encuesta y el trabajo grupal) y la proyección de acciones de mitigación. Se obtuvo bajo nivel de conceptualización del ecoturismo entre turistas, comunitarios y agentes turísticos, y todos le confirieron importancia a la actividad, evidenciando concientización sobre la jerarquía de la vegetación en la estructuración del producto ecoturístico. La síntesis de la problemática expuso la no diferenciación del producto en el país, cuya causa raíz en el sistema local fue el insuficiente aprovechamiento del recurso turístico vegetación; sin embargo, en el territorio se identificaron limitaciones físicas, políticas y de mercado para la solución de la problemática, sobre las que se definieron acciones de mitigación.

Palabras clave: Aprovechamiento; recurso turístico; vegetación; ecoturismo; desarrollo local

Abstract

The purpose of the research was to diagnose the management of ecotourism at the local level and the use of the tourist resource vegetation, in Guamote, Ecuador. The work started from the examination of the secondary information available, the empirical approach to the problem (combining survey tools and group work) and the projection of mitigation actions. A low level of conceptualization of ecotourism was obtained among tourists, community members, and tourist agents, and all of them gave importance to the activity, evidencing awareness of the hierarchy of vegetation in the structuring of the ecotourism product. The synthesis of the problem exposed the non-differentiation of the product in the country, whose root cause in the local system was the insufficient use of the vegetation tourist resource; however, in the territory physical, political and market limitations were identified for the solution of the problem, on which mitigation actions were defined.

Clasificación/Classification JEL:

L83; M31; Q01; Q26; Q27.

Keywords: Use; tourist resources; vegetation; ecotourism; local development

1. Introducción

Si bien las características naturales del territorio brindan a la comunidad la oportunidad de desarrollar turismo de bajo impacto económico mediante el cual encuentran medios de sustento, no queda claro si el fortalecimiento del turismo puede contribuir al desarrollo sustentable frente a otras alternativas (Andere y Moreno, 2022). Sin embargo, el ecoturismo se puede percibir en su potencial como una herramienta eficaz para el desarrollo sostenible. Como turismo alternativo, posibilita el desarrollo local, enfocado en turistas con interés de experimentar y aprender sobre naturaleza, flora, fauna y la cultura local Kiper, 2013.

El ecoturismo en sí mismo es ciertamente para construir conciencia sobre un beneficio ambiental Hutabarat et al., 2023, sin embargo, también tiene el potencial de causar algunos impactos negativos. Por esta razón, es importante la implicación de la comunidad local Widodo et al., 2023. Su planificación en el siglo XXI requiere una mayor coordinación entre los administradores de recursos naturales y los prestadores de servicios al turismo, basada en una mayor comprensión de los segmentos, de la probable demanda futura y de las expectativas de los clientes (Stewart, 1993).

Según la OMT, se estima que los ingresos anuales del ecoturismo en todo el mundo aumentarán de aproximadamente US$ 800 mil millones a un billón en 2025. El crecimiento actual es del 10% al 12% anual y es el tipo de turismo de más rápido crecimiento. La edad media de los viajeros se ha reducido, y cada vez más jóvenes están interesados. Los viajeros de ecoturismo cuestan menos en infraestructura por unidad de ingreso que cualquier otro tipo de turista. En los últimos 30 años, ningún otro tipo de turismo ha generado tal crecimiento y popularidad y ha adquirido una importancia fundamental en el sector turístico y la economía mundial. Actualmente, el ecoturismo es preferido por el 71% de las personas menores de 30 años Daneva y Nadda, 2023. Se ha convertido en un atractivo cada vez más demandado tras la pandemia. Sin embargo, la situación pospandemia y la crisis económica y política internacional pueden obstaculizar potencialmente los esfuerzos que el subsector del ecoturismo ha estado realizando para lograr el Objetivo de Desarrollo Sostenible 15 sobre la promoción del uso sostenible de los ecosistemas terrestres y la detención de la degradación de la tierra y la pérdida de biodiversidad Mudzengi et al., 2023. Es por ello que sus productos y servicios deben ser atractivos y cuidadosamente elaborados y promovidos para atraer turistas Purba et al., 2023.

En el desarrollo del ecoturismo se deben seleccionar recursos turísticos característicos Xiang, Xiao y Yin, 2020, como el aprovechamiento turístico de la vegetación y todo su potencial, transformando estos recursos en atractivos (Cruz, 2018). Sin embargo, la explotación de recursos, la piratería de genes, los delitos contra la vida silvestre y el comercio de flora y fauna protegidas se han examinado como el lado negativo del ecoturismo De Zoysa, 2022. El ecoturismo es un importante impulsor del turismo en las regiones periféricas rurales Burton y Rogerson, 2023. Di Pietro (2014) apunta que el desarrollo local es la respuesta de localidades y regiones a un desafío de carácter global que apunta a procesos de desarrollo endógeno, para hacer frente de alguna manera a las políticas macroeconómicas que tienen como resultados procesos de distribución inequitativa. El ecoturismo, entonces, basado en la comunidad se fundamenta en un modelo de desarrollo local, debido a que el proyecto debe ser manejado por y para la comunidad Ezaquias, 2022.

América Latina cuenta con el 35% de las reservas de agua dulce del planeta, el 12% de las tierras cultivadas y más de un 20% de bosques naturales Pengue, 2015. En este contexto, el Ecuador es considerado como uno de los 17 países megadiversos del planeta; sin embargo, no ha logrado construir ventajas claras que lo diferencien de sus competidores. Las principales falencias del país están vinculadas a la manera en la cual se gestiona este patrimonio y cómo los agentes económicos participan y se benefician de él. Esto explica, por lo menos en parte, las dificultades que ha mostrado el país para atraer turistas de los segmentos de mayor gasto.

Considerando esta situación, el cantón Guamote de la provincia de Chimborazo también tiene una gran biodiversidad, destacándose sus peculiares paisajes, la gastronomía e historia local, así como que el 94.5% de su población es indígena (Municipio de Guamote, 2017), que se dedica básicamente a la producción agropecuaria y artesana. En el cantón se cuenta con bosques primarios y páramos que albergan una gran variedad de vegetación, cultura y tradición, pero sus potencialidades no han sido debidamente aprovechadas. Es por ello que el objetivo de este trabajo se enmarcó en valorar el desarrollo del ecoturismo a nivel local y el aprovechamiento del recurso turístico vegetación.

2. Metodología

La investigación se desarrolló entre febrero de 2018 y noviembre de 2022, con la influencia del periodo crítico de la pandemia por COVID-19, como parte de una tesis doctoral de la Facultad de Turismo de la Universidad de La Habana, llevada a cabo por los autores (como tutor y doctorando, respectivamente), en el cantón Guamote (Latitud: -1,93333, Longitud: -78,7167 1° 55'60" Sur, 78° 43'0" Oeste), provincia de Chimborazo en Ecuador. La trayectoria metodológica seguida en la investigación se estructuró en dos fases: el diagnóstico y la proyección de acciones de mitigación.

La fase de diagnóstico constó de dos etapas: en la primera se abordó empíricamente la problemática a partir de consultas a fuentes primarias de información, mediante un muestreo no probabilístico (Arias, Villasís y Miranda, 2016) combinado entre el muestreo por cuotas (estratos de la población más “representativos” o “adecuados” para los fines de la investigación) y el intencional (los individuos a los que se tuvo fácil acceso). La muestra sobre la población (por estratos) se calculó Cooper y Schindler, 2016 con las expresiones matemáticas [1] y [2], y se estratificó la unidad de análisis a partir de la expresión [3], para lo cual se utilizó una población con un grado de confianza estimado de 0.95 y margen de error de 0.005.

donde n' es el tamaño de la muestra; S 2, la varianza de la muestra y V 2 , la varianza de la población.

donde n' es el tamaño de la muestra; n, la muestra y N, la población.

donde fh es la fracción del estrato; n, la muestra y N, la población.

El porcentaje de la muestra (Cuadro 1) superó el mínimo calculado (52.2% >19.0%) y el tamaño de esta (430 >155) fue aceptable (Hernández et al, 2010). De igual manera, los datos recolectados con la muestra abarcaron los dos componentes esenciales del mercado turístico: la demanda (turistas) y la oferta (comunidades de acogida y agentes turísticos), e intencionalmente desde un enfoque endógeno del desarrollo local.

Cuadro 1 Muestra estudiada 

Estratos Identidad Población Muestra Porcentaje (%)
n Cantidad
Turistas Los que visitaron intencionalmente en la temporada alta de 2018, 2019 y 2022. 703 n1 371 52,7
Líderes comunitarios Comunitarios locales de reconocido liderazgo en el cantón. 67 n2 39 58,2
Agentes turísticos Actores organizacionales relacionados directamente con la actividad turística. 48 n3 20 41,7
Total N 818 - 430 52,6

Fuente: Elaboración propia.

Después de definida la muestra, se diseñaron como herramientas de muestreo una entrevista no estandarizada y un cuestionario (Muñoz, 2016). La entrevista fue realizada a los líderes comunitarios y a los agentes turísticos, con el fin de examinar el conocimiento general sobre la problemática y su implicación, así como para lograr su motivación y compromiso de participación. Con base en la indagación de la entrevista, se diseñó el cuestionario (aplicado online ) para explorar sobre la problemática en los niveles cognitivo (relativo al conocimiento), actitudinal (disposición) y preferencial (prioridad e importancia) en los actores de la oferta; a la vez se adaptó (en forma) este mismo cuestionario para los turistas, examinando así, del lado de la demanda, con el mismo contenido. Se realizó una prueba previa online a 30 individuos (10 turistas, 6 líderes comunitarios y 4 agentes turísticos, los que fueron excluidos de la muestra), que permitió la obtención de elementos complementarios sobre el problema, así como la introducción o exclusión de temas y el rediseño de preguntas. Se estimó la confiabilidad con el cálculo del Coeficiente Alfa de Cronbach (α) para cada nivel del cuestionario (Cuadro 2), lo que corroboró que, de modo general (X¯α - valor medio del coeficiente), la consistencia interna entre los ítems era aceptable.

Cuadro 2 Resumen de la estimación de confiabilidad del cuestionario 

Niveles Cantidad de ítems valorados (n) α Consistencia interna
Cognitivo 6 0,880 Buena (> 0,8)
Actitudinal 4 0,701 Aceptable (> 0,7)
Preferencial 4 0,639 Cuestionable (> 0,6)
General Σn=14 X¯α = 0,740 Aceptable (> 0,7)

Fuente: Elaboración propia con base en los resultados corridos en el SPSS 21.0 para Windows versión 21.02.

La información recolectada de los instrumentos anteriores fue sistematizada a través de un grupo de discusión (Arboleda, 2008) que se gestionó online siguiendo las pautas de newsgroups desarrolladas por la International Research and Training Institute for the Advancement of Women(INSTRAW-ONU, 2021). Este Grupo de Discusión Online (GDO) estuvo integrado por 12 miembros, incluyendo cinco líderes comunitarios y cinco miembros de los agentes turísticos de entre los encuestados, los que fueron convocados y aceptaron participar, más los dos autores, pues se trabajó bajo el enfoque de la investigación-acción-participativa. El GDO aplicó una escritura de idea como técnica de generación de ideas, y la aclaración de éstas, la sustentación de criterios y la votación directa, como técnicas de consenso respecto a los problemas (causas y efectos) del tema de estudio: “Insuficiente aprovechamiento del recurso turístico vegetación para el desarrollo del ecoturismo a nivel local”, los cuales se analizaron y ordenaron mediante un Diagrama de Ishikawa (Ishikawa y Loftus, 1990).

En la segunda etapa se revisaron informes científicos de carácter empírico, teórico, crítico y metodológico en bases de datos de acceso abierto (WoS, Scopus, DOAJ, SciELO, Redalyc, Latindex y otras), para lo cual se siguieron 10 axiomas (Taylor et. al, 2017). De este modo, se logró una mejor comprensión del fenómeno, a partir de la aplicación de métodos (Muñoz, 2016) teóricos como el histórico-lógico, con el análisis-síntesis, abstracción- integración e inducción-deducción, representado en el Diagrama de Ishikawa de la etapa anterior. Seguidamente, se llevó a cabo el análisis documental sobre las fuentes disponibles en la Secretaría Nacional de Planificación y Desarrollo, el Instituto Nacional de Estadística y Censos, el Ministerio del Turismo, el Gobierno Autónomo Descentralizado y otras fuentes territoriales en Ecuador; lo que permitió la aplicación de la “Teoría de restricciones” (TOC, por sus siglas en inglés) de Goldratt y Cox (2010), solo en su primer paso (identificar la restricción del sistema), para la confección de un Árbol de Realidad Actual (ARA) y una Nube de Conflictos (NF) que sistematizaran los hallazgos identificados.

La fase de proyección de acciones de mitigación (segunda fase), comenzó con la definición de las limitaciones actuales sobre aprovechamiento del recurso turístico vegetación para el desarrollo del ecoturismo a nivel local en el territorio seleccionado; y la formulación y selección de acciones para la mitigación de las limitaciones. Para desarrollar ambas tareas, el GDO llevó a cabo diferentes sesiones de trabajo virtual, utilizando las mismas técnicas de trabajo grupal referidas en la etapa anterior, tanto para la generación de ideas como para lograr consenso. El trabajo del GDO con respecto a la primera tarea de esta etapa conllevó el análisis individual de los resultados de la primera, a partir de los cuales se llegó a una nueva lista, esta vez con la enunciación de las limitaciones que se consideraron sobre la problemática de estudio. Para crear la lista de limitaciones se le indicó al GDO trabajar con la clasificación de limitaciones que Goldratt y Cox aportaron en su “Teoría de las limitaciones” utilizada y citada por Costas et al. (2015). La clasificación consistió en: a) limitaciones físicas: son equipos, instalaciones o recursos humanos, entre otros, que evitan que el sistema cumpla con su meta; b) limitaciones de políticas: son todas las reglas que evitan que el sistema alcance su meta; y c) limitaciones de mercado: son impedimentos impuestos por la demanda.

Con esta lista de limitaciones se procedió por el GDO a clasificar las mismas utilizando la Matriz de Vester Bermúdez y Gómez, 2001, y luego se desarrolló un nuevo trabajo grupal para llegar a un listado (también consensuado) con las posibles acciones para la mitigación de las limitaciones activas (causales) obtenidas en el paso anterior. La lista de acciones determinada fue valorada mediante un Diagrama de Pareto Sales, 2013. Para esta valoración, se pidió a cada miembro del grupo que, de forma independiente, jerarquizara la lista de acciones, y una vez aportadas las listas jerarquizadas de cada uno se realizó la ponderación mediante una escala que otorgaba puntos a cada limitación, según el lugar que ocupaba en la lista jerarquizada (Cuadro 3).

Cuadro 3 Escala para ponderar las listas jerárquicas 

Lugar 1ro. 2do.-3ro. 4to.-5to. 6to.-7mo. 8vo.-9no. 10mo. y más
Puntuación 5 4 3 2 1 0,5

Fuente: Elaboración propia tomando como referencia una escala de Likert y la experiencia de Astudillo y Chevez (2021).

El recuento y ponderación garantizó la obtención de frecuencias y porcentajes para construir (con Microsoft Excel, 2016) un histograma que representara el Diagrama de Pareto para la identificación de las acciones más importantes (alrededor del 20% más ponderado por la prioridad en las listas jerarquizadas) y las menos importantes (alrededor del 80% menos ponderado), como proyección de posibles acciones que contribuyan a la mitigación de la situación y un avance hacia el desarrollo local basado en el ecoturismo.

3. Diagnóstico del ecoturismo a nivel local

El ecoturismo permite que tanto los turistas como los actores locales puedan concientizarse y entender lo importante que es el ambiente en el que habitan la flora y fauna, pues de esa manera se originan actitudes, valores y conocimientos que generan soluciones ambientales (Alcalá et al., 2022). Este criterio se constató con la sistematización de los elementos obtenidos de las entrevistas a los líderes comunitarios y agentes turísticos, y confirmó, en primera instancia, la existencia de la problemática sobre el ecoturismo en Guamote.

La indagación del nivel cognitivo, tanto del lado de la demanda como del lado de la oferta, se realizó en primer lugar, a través de la conceptualización sobre el ecoturismo (Gráfico 1). De los turistas predominaron las conceptualizaciones incompletas o vagas, lo cual se relaciona con su perfil y motivación de viaje, pues la mayoría tenía intereses culturales, y para ellos la naturaleza y sus atractivos son tomados como un componente más de lo cultural; en cambio, el 16.4% tuvo una idea cercana al concepto y se identificó como amante del turismo de naturaleza en general.

Fuente: Elaboración propia.

Gráfico 1: Identificación del concepto de ecoturismo 

Según Martínez (2017), la visualización de la naturaleza a través del turismo lleva al conocimiento no solo del medio natural sino también de los rasgos culturales de sus poblaciones y la sensibilización e implicación en la conservación de éstos. Una de las tareas de la planificación consiste en satisfacer las necesidades de interpretación y de información de los visitantes, dado que los turistas desean aprender acerca de los ambientes que visitan y conseguir una mejor apreciación del ambiente natural-cultural.

Sin embargo, los líderes comunitarios expresaron un muy bajo nivel de conceptualización, al ser “Muy vaga” 74.4%, y con apenas un solo líder que logró acercarse a la idea. Este desconocimiento fue un elemento esencial que marcó el curso de los resultados hasta el final de la investigación, dada la relevancia de los comunitarios para la existencia y sostenibilidad de la actividad ecoturística local. Por su parte, los agentes turísticos, como era de esperar, tuvieron un mejor comportamiento como gestores de la oferta con respecto a los comunitarios, pues el 70% se acercó a la idea del concepto; no obstante, es insuficiente, pues todos deberían dominar estas ideas, como partícipes directos de la actividad.

Las curvas exponenciales determinadas mediante sus ecuaciones correspondientes en el Gráfico 2, sustentan el hecho de los mejores resultados en el dominio conceptual de los turistas (del lado de la demanda) y los agentes turísticos (del lado de la oferta), pues estadísticamente existe un crecimiento de las categorías (de las negativas a las positivas), a partir de un exponente, negativo (+) para los primeros y (-) para los segundos, en la ecuación resultante; y al contrario, en el caso de los líderes comunitarios (también del lado de la oferta) con un decrecimiento de la curva de lo positivo a lo negativo con un exponente (+). El cierre del nivel cognitivo puso a disposición de los encuestados los núcleos conceptuales para entender al ecoturismo, divididos en tres básicos (Nb) y seis específicos (Ne):

  • Nb 1 - Vida silvestre: Ne1.1 - Flora endémica y Ne1.2 - Fauna endémica.

  • Nb 2 - Áreas naturales: Ne2.1 - Conservación de la naturaleza y Ne2.2 - Paisajes típicos y sitios significativos.

  • Nb 3 - Desarrollo local: Ne3.1 - Participación comunitaria y Ne3.2 - Desarrollo endógeno.

De este modo, hubo un reconocimiento de los tres Nb del ecoturismo por los tres estratos de encuestados (Gráfico 2), pero dentro de éstos los Ne menos ponderados fueron Ne1.1 y Ne2.1.

Leyenda general: Nb-Núcleo base y Nf-Núcleo específico.

Fuente: Elaboración propia con base en los elementos conceptuales de Jalani (2012) y Rebollo (2012).

Gráfico 2: Reconocimiento de núcleos conceptuales del ecoturismo 

En el caso del primero, solo fue reconocido por poco más del 40% de los comunitarios líderes, lo cual constituye un indicio importante sobre la escasa visualización del componente “vegetación” en la actividad ecoturística. Con respecto al segundo, tanto los comunitarios como los agentes turísticos evidenciaron desconocimiento sobre la importancia del núcleo relacionado con el paisaje y los sitios para entender la actividad integralmente. En ambos casos se percibe pobre conocimiento de las potencialidades del paisaje, sus recursos y atractivos relacionados con la vegetación.

Los resultados obtenidos sobre el criterio de los actores con respecto a la importancia que le confieren a la actividad ecoturística local (Gráfico 3) fue mayoritariamente positivos, lo que se reflejó en un 80% “Totalmente de acuerdo”, que sumados con los que expresaron “Medianamente”, alrededor de un 90% de los turistas y actores locales encuestados estuvieron a favor del fomento de la actividad ecoturística.

Fuente: Elaboración propia.

Gráfico 3: Actitud sobre la importancia del ecoturismo local 

Los criterios anteriormente expuestos fueron contrastados con los resultados de la predisposición de los actores para triangular el nivel actitudinal (Gráfico 4).

Fuente: Elaboración propia.

Gráfico 4: Actitud sobre la importancia del ecoturismo local 

Hubo coincidencia, aunque no una evidencia estadística, en el número de actores de los tres estratos con una predisposición positiva (290 turistas, 20 líderes de la comunidad y 13 agentes) en alguna intensidad, principalmente alta (cuadrante superior derecho).

El hecho de que la mayoría de los encuestados mostraran una predisposición ubicada entre los tres cuadrantes superiores, confirma que existe, como mínimo, un entendimiento sobre la necesidad del ecoturismo, como actividad que contribuye a la dinamización de la economía territorial. Sánchez, Martínez y Parra (2020) coinciden con que un producto del ecoturismo estimula la conservación y concientización ambiental de los espacios naturales; de aquí la importancia que se merece al sector turístico, sin descuidar su planificación, por medio de proyectos o iniciativas que fomenten su progreso de manera sustentable.

El último nivel indagado a través del cuestionario fue el preferencial, el cual arrojó, en primer lugar, que los actores clave identificaron a la Ue: “utilidad relativa del ecoturismo en el desarrollo local” y a la Jv: “jerarquía otorgada a la vegetación como recurso turístico en el ecoturismo” (Gráfico 5), como variables distinguidas para el desarrollo local del producto.

Fuente: Elaboración propia.

Gráfico 5: Diagrama del árbol para el ecoturismo y el recurso vegetación 

En el Gráfico 5a se representa el CHAID (Chi-square automatic interaction detector), detector automático de interacción Chi-cuadrado (en español), para el caso de la variable dependiente Ue, a partir del cual se generaron con el algoritmo de árbol estadístico y multidireccional un par de particiones de los datos, o sea, se ramificó en dos nodos (1 y 2) pertenecientes a la variable ‘Actores clave”, segregados, por un lado, los turistas, y por el otro, los comunitarios y los agentes. Esto indica que los actores son la variable principal predictora. Lo mismo sucedió para el caso de Jv (Gráfico 5b). En las interacciones mediante Chi-cuadrado, el CHAID eligió la variable predictora ‘Actores clave” en cada árbol, como la que presentó la interacción más fuerte, sin embargo, el Chi-cuadrado obtenido en el CHAID para Jv es superior al de Ue, lo que estadísticamente evidencia que los criterios de los actores clave son mucho más determinantes sobre Jv para ser tenida en cuenta en las condiciones locales para la actividad ecoturística.

Con respecto al riesgo, las variables de predicción resultantes del modelo CHAID [Ue (Estimación 0,093 y Error estándar 0,014) y Jv (Estimación 0,074 y Error estándar 0,013)], proporcionan una rápida evaluación de la bondad del funcionamiento del modelo, lo que fue coherente con la estimación de riesgo en ambos casos, donde el modelo clasificó de forma correcta, aproximadamente y al menos al 90.7% y 92.6% de los individuos, respectivamente.

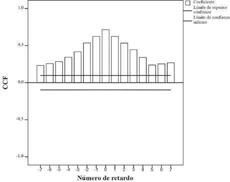
En segundo lugar, para el último nivel indagado mediante el cuestionario, se encontró la existencia de correlación estadística entre la Ue y la Jv (Gráfico 6).

Fuente: Elaboración propia.

Gráfico 6: Correlación ecoturismo-vegetación 

Se corroboró que los valores se ubicaron entre 0 y +1, en ambas variables aumentando al mismo tiempo, por lo que el valor de correlación fue positivo. Es coincidencia entre la mayoría de los autores actuales que los beneficios directos del turismo de naturaleza para las comunidades locales incluyen la generación de empleos, la creación de emprendimientos y oportunidades de educación e inversión, entre otros; así también, un turismo planificado y sustentable puede generar importantes oportunidades de conservación de las áreas verdes del territorio Fernández et al., 2020. Es así que la fuerza y la dirección de la relación lineal, así como la proporcionalidad mostrada entre las dos variables, evidencia que entre los encuestados existe una concientización sobre la jerarquía que ocupa la vegetación en la estructuración del producto ecoturístico.

El trabajo del GDO concluyó en la síntesis de la problemática (Gráfico 7), concretamente en el análisis causa-efecto, obteniéndose como efecto esencial el “no logro de la diferenciación del producto ecoturístico en el país”, o sea, la no concreción de elementos únicos en el producto, en comparación con productos homólogos dentro del territorio ecuatoriano.

Si se relacionan, entonces, la no diferenciación del producto ecoturístico con las causales identificadas y organizadas en el Gráfico 7, se confirma una adecuada abstracción e integración de éstos. En primer orden, las causales básicas relacionadas con el poco dominio de los recursos y atractivos turísticos, y la escasa capacitación de los actores clave; y en segundo orden, las causas relacionadas con la gestión de la actividad ecoturística, como el desconocimiento de los segmentos de demanda y el insuficiente enfoque y gestión de marketing en la actividad.

Un elemento clave en la política de producto es la diferenciación. Dentro de una misma clase, no todos los productos son iguales e, incluso, a pesar de proporcionar similares beneficios, suelen diferir en algún aspecto formal o añadido Godás, 2006. La diferenciación es, por tanto, una estrategia de marketing que trata de resaltar las características, sustanciales o accesorias, que pueden contribuir a que se perciba como un producto único y apreciablemente singular; en definitiva, la esencia es generar ventajas frente a la competencia (Salinas, Medina y Santamarina, 2020). Estas ventajas competitivas tienen que ver directamente con la eficiencia, calidad, servicio e innovación; es así como, para poder implementar la estrategia de diferenciación, la cadena de valor debe estar respaldada por la calidad (producto-servicio de altas prestaciones), enfocarse en la innovación (desarrollo e introducción de mejoras), sobrepasar las expectativas del cliente y apuntar a un mejor servicio integral (Chirino y Rosado, 2016).

Con el ARA (Gráfico 8), el GDO pudo sustentar la problemática estudiada. Este árbol sirve para definir el problema y concentrarse en cuestiones reales, quitando la bruma que suele existir y que puede desviar la atención hacia cuestiones insustanciales.

Fuente: Elaboración propia a partir de los resultados del GDO.

Gráfico 7: Diagrama de Ishikawa 

Fuente: Elaboración propia a partir de los resultados del GDO.

Gráfico 8: Árbol de realidad actual (ARA) 

Como puede observarse, existe una causa raíz en el sistema que impide lograr la meta: el “insuficiente aprovechamiento del recurso turístico vegetación para el desarrollo del ecoturismo a nivel local”, a partir de la cual se ramifican cuatro problemas base o restricciones, a saber:

  • a) baja capacitación y formación sobre ecoturismo de los actores clave,

  • b) no se identifican adecuadamente los atractivos potenciales para el ecoturismo,

  • c) escasa contribución del ecoturismo a la satisfacción de los planteamientos del desarrollo sostenible en contextos locales, y

  • d) no existe un enfoque de marketing en la gestión local del ecoturismo.

Sin embargo, debido a que la primera afecta directamente a todos los efectos en la base del árbol, y los segundos a grupos específicos, se pudo ratificar la primera como la restricción principal del sistema.

Una vez identificada la restricción principal se esbozó la contradicción que provoca que esa situación siga siendo desfavorable para la actividad ecoturística local, con la nube de conflicto (Gráfico 9), donde se evidencia un conflicto entre la implicación y la capacitación de los comunitarios para el ecoturismo como actividad y producto.

Fuente: Elaboración propia a partir de los resultados del GDO.

Gráfico 9: Nube de conflicto (NC) 

Orgaz y Cañero (2015) plantean que el ecoturismo fomenta el desarrollo socioeconómico de los residentes locales e incentiva el respeto y la conservación de la cultura y el medio ambiente. Esto funciona como una herramienta de lucha contra la pobreza en países en vías de desarrollo, garantizando así el desarrollo sostenible. Alcalá et al. (2022) suman a ello que el ecoturismo involucra a las comunidades a ser partícipes de cada proceso turístico, aprendiendo así a conocer lo positivo que traería la actividad ecoturística.

4. Propuesta de acciones de mitigación

A partir del diagnóstico anterior, con la nube de conflictos, el GDO llegó a la identificación de las limitaciones físicas, políticas y de mercado para el abordaje de la solución de la problemática, las cuales fueron clasificadas (Gráfico 10) para facilitar el trabajo sobre ellas.

Leyenda: Limitaciones físicas (L1: No se identifican adecuadamente los atractivos potenciales para el ecoturismo; L2: La conceptualización y diseño del producto ecoturístico aún es deficiente; L3: No se consolida una oferta propia de ecoturismo; L4: Baja capacitación y formación de los actores clave sobre ecoturismo).

Limitaciones políticas (L5: Escasa contribución del ecoturismo a la satisfacción de los planteamientos del desarrollo sostenible en contextos locales; L6: La responsabilidad social corporativa no es incorporada a las actividades del ecoturismo; L7: No se utilizan enfoques innovadores y diferenciadores para el producto ecoturístico). Limitaciones de mercado (L8: No existe un enfoque de marketing en la gestión local del ecoturismo; L9: Los exiguos canales de distribución no garantizan el crecimiento de los flujos turísticos; L10: Las escasas y poco diversificadas acciones de comunicación no contribuyen a la captación de nuevos clientes; L11: Las mezclas de marketing para el producto/ mercado han sido insuficientes; L12: Han fracasado las pocas estrategias de marketing implementadas; L13: No se avanza en la conquista de algún segmento meta de demanda; L14: Los resultados económicos ligados al ecoturismo no incentivan a los actores locales para una mayor implicación).

Fuente: Elaboración propia a partir de los resultados del GDO.

Gráfico 10: Clasificación de las limitaciones 

Según el grado de causalidad entre ellas, seis resultaron limitaciones críticas, lo que significa que éstas tuvieron un total de activos y pasivos altos, demostrando una gran influencia sobre el resto, a la vez que el resto sobre éstas. Entre las críticas, el 50% fueron de mercado, el 33% políticas y sólo 1 (17%) física; de ellas, la más crítica de todas, y, por tanto, la más focal para tener en cuenta en la toma de decisiones fue la L11 (las mezclas de marketing para el producto/mercado han sido insuficientes).

El marketing mix (mezcla de marketing) es considerado como el motor del marketing, su aplicación está presente en casi todos los productos que desarrollan su comercialización en el Ecuador. Constituye un instrumento de la acción de marketing cuya aplicación influye en la demanda de sus productos (Yépez, Quimis y Sumba, 2021). Sin embargo, a escala local y en la actividad ecoturística, superar esta limitación crítica precisa de un enfoque innovador y diferenciador del producto de Guamote. De aquí que el marketing verde puede ser una alternativa adecuada para estos fines. Perdomo, García y Millán (2022), coincidiendo con diferentes autores, plantean que se puede estimar que la carencia de elementos estratégicos de marketing verde impide el desarrollo de procesos para el reconocimiento, por la innovación en las actividades ecoturísticas, los cambios en sus estructuras y los ajustes en los modelos de producción ambientalmente sustentables para lograr el posicionamiento desde el nivel local hasta nacional. En esta perspectiva, el marketing verde es, de acuerdo con la American Marketing Association (2017), un proceso que, desde el enfoque comercial, consiste en la comercialización de productos que se suponen ambientalmente seguros; o como productos diseñados para minimizar los efectos negativos sobre el medio ambiente o para mejorar su calidad (enfoque social), o como los esfuerzos de las organizaciones para producir, promover y recuperar los productos de una manera que sea sensible o responda a las preocupaciones ecológicas (enfoque ambiental).

Por otro lado, ligadas a esta limitación más crítica, están L14 y L12, relacionadas con el mercado y que deberán ser consideradas como elementos negativos a enfrentar mediante estrategias específicas que contribuyan a su superación en el menor plazo posible, en función de una recuperación de los resultados económicos ligados al ecoturismo y al diseño e implementación de estrategias de marketing más efectivas y relacionadas con enfoques adecuados, como el de marketing verde, tratado anteriormente. De igual forma, L5 y L7, como limitaciones críticas de tipo político, exigen un esfuerzo territorial, máxime cuando resulta de gran causalidad la escasa contribución del ecoturismo a la satisfacción de los planteamientos del desarrollo sostenible, y, por otro lado, la falta de enfoques innovadores y diferenciadores para el producto ecoturístico. Todo lo cual también se reflejó en el hecho de que entre las limitaciones físicas la deficiente conceptualización y diseño del producto ecoturístico (L2) haya sido la de mayor causalidad.

En el segundo cuadrante de la figura 10 se agruparon las limitaciones pasivas, o sea, aquéllas con un alto total de pasivos y bajo total de activos, siendo más influenciadas y menos influenciadoras. Entre éstas, una física (L3), una política (L6) y tres de mercado (L13, L10 y L9), se debe entender que en la medida que sean superadas las críticas, comenzarán a desaparecer, debido a que las pasivas tienen un alto nivel de dependencia del resto (son más bien efectos). Por su parte, en el tercer cuadrante no se ubicó ninguna, lo cual evidencia que todas las limitaciones consensuadas en el GDO tuvieron un nivel de causalidad que no las hizo indiferentes. En cambio, en el cuarto cuadrante se situaron tres limitaciones (L8, L4 y L1), dos físicas y una de mercado, siendo aquéllas con altos totales de activos y bajos de pasivos, caracterizadas por ser limitaciones activas con gran causalidad sobre la mayoría y poca de las demás sobre ellas, siendo las causales más relevantes dentro del grupo valorado. Entre éstas, la de mayor causalidad fue la no existencia de un enfoque de marketing en la gestión local del ecoturismo, la cual evidencia una lógica causal hacia el resto de las limitaciones, en especial las críticas. Por su parte, la no identificación de los atractivos potenciales, unido a la baja capacitación y formación de los actores clave sobre ecoturismo, son causas físicas de peso mayor, que pueden considerarse como premisas para el cambio en la situación actual del producto y la actividad ecoturística de Guamote.

A partir de la clasificación e interpretación de las limitaciones, el GDO se centró en las causales esenciales (limitaciones activas), a las cuales se sumó la L7, que, si bien resultó crítica, su ubicación cartesiana fue muy próxima al cuarto cuadrante, de ahí que se añadió al trío de las activas, definiéndose un total de 14 acciones (A) para la mitigación de esas limitaciones más causales.

En función de éstas fueron definidas tres acciones para L1 y L7, y cuatro para L4 y L8, cuya ponderación, según su importancia relativa (Gráfico 11), arrojó que al menos cuatro de ellas (una sobre cada una de las cuatro limitaciones) son las más importantes, considerándose las esenciales a ser implementadas en el corto plazo. La reducción, atenuación o eliminación de las situaciones desfavorables de un sistema constituye un conjunto de esfuerzos en un tiempo difícil de predecir, pues solucionar aspectos negativos siempre constituye retos y movilización de múltiples recursos.

Leyenda: A1.1: Ejecutar un inventario y clasificación especializada de los recursos para el ecoturismo; A1.2:Valorar con métodos científico-metodológicos el atractivo de los recursos ecoturísticos; A1.3: Desarrollar un sistema para el monitoreo y seguimiento de recursos y atractivos del ecoturismo; A4.1: Diagnosticar los niveles reales y potenciales de las necesidades teóricas y prácticas de capacitación; A4.2: Determinar el potencial formado (y en formación) de profesionales para la actividad ecoturística; A4.3: Elaborar la línea base para la capacitación y formación en ecoturismo; A4.4: Desarrollar la estrategia y el plan de capacitación en ecoturismo; A7.1; Visualizar los núcleos esenciales de innovación y diversificación sobre el producto; A7.2: Implementar el uso de la vegetación como elemento diferenciador del producto ecoturístico local; A7.3: Validar el uso de la vegetación como elemento diferenciador combinado con la innovación en el nivel genérico de la mezcla de producto; A.8.1: Diagnosticar los niveles de conocimiento y uso de la filosofía de marketing y sus herramientas de gestión; A8.2: Sensibilizar a los actores clave en el uso del enfoque de marketing en la gestión del ecoturismo; A8.3: Introducir el marketing estratégico y operativo en la actividad ecoturística; A8.4; Establecer el enfoque de marketing en la gestión ecoturística local.

Fuente: Elaboración propia a partir de los resultados del GDO.

Gráfico 11: Pareto sobre la importancia de las acciones de mitigación 

Las acciones de remisión propuestas se basaron en experiencias comparables con las de Prentice et al. (2023), sobre sostenibilidad y los impedimentos para el desarrollo del ecoturismo en el estudio de caso del Parque Ecoturístico Abaca en el oeste de Viti Levu Fiji, cuyos resultados revelaron una variedad de obstáculos de infraestructura, desigualdad, dependencia excesiva de los países vecinos y las vulnerabilidades políticas para el desarrollo del ecoturismo, comparables con las limitaciones encontradas en Guamote. De este modo, la propuesta podría servir de punto de partida para la intervención de la situación actual de la gestión ecoturística en el sistema local por parte de los actores implicados y con énfasis en la incorporación de recursos naturales con potencialidades, como es el caso de la vegetación.

Como se aprecia en el Gráfico 11, las acciones A8.4, A4.4, A1.3 y A7.1 acumulan el 80% de la importancia relativa entre todas las analizadas, lo que significa, desde el principio de Pareto, que este grupo constituye el grupo de “las pocas” más importantes respecto al resto que constituyen “las muchas” triviales. Ahora bien, para entender el significado se interpreta el resultado a partir de que las pocas que son más importantes y que fueron indicadas en los primeros lugares de jerarquía por cerca del 80% de los miembros del GDO, generando un porcentaje acumulado de la importancia relativa, constituyen el punto de partida para influir sobre alrededor del 80% de las limitaciones más causales analizadas anteriormente. De este modo, los aspectos clave para la transformación y el desarrollo más eficaz de la gestión ecoturística local resultaron: a) el establecimiento del enfoque de marketing, b) la capacitación, c) el monitoreo y seguimiento de recursos y atractivos, y, d) la innovación y diversificación sobre el producto.

El primer aspecto resulta evidente frente a las principales limitaciones encontradas con anterioridad. Utilizar un enfoque de marketing significa implementarlo en lo estratégico y operativo, según Palacios, Rey y Orero (2021), identificando las unidades y oportunidades de negocio, y, principalmente, las necesidades de los clientes que se van a estudiar, para aportarles la máxima satisfacción posible, lo cual, según Ramírez, Salinas y Miranda (2021), es un elemento muy difícil de duplicar, es una base sólida para el marketing y para poder desarrollar una posición dentro del mercado. Sin embargo, la aplicación del marketing al ecoturismo local deberá adecuarse a las particularidades de esta actividad independientemente del territorio y los recursos disponibles Benjamin, 2022;Nina, 2022;Agustina et al., 2023;Ajuhari, Aziz y Bidin, 2023;Ivushkina y Sambiev, 2023;Zainol, Abdullah y Rahman, 2023.

Con respecto al segundo tema, según Perrone (2021), el turismo tiene una participación considerable dentro de la economía territorial y local, a la vez que es uno de los sectores de mayor generación de empleo. El componente humano y sus competencias turísticas toma importancia desde la demanda de personal calificado en los puestos de gerencia, así como la relevancia de capacitación de la sociedad civil en su conjunto. Uno de los problemas más serios de los gobiernos locales es la calificación de sus recursos humanos, en dos aspectos: los niveles educativos de los funcionarios y agentes municipales, y las habilidades y capacidades específicas requeridas para la gestión local. De ahí que, de manera general, Tenrero et al. (2021) planteen que la gestión del conocimiento se convierte en la base para tomar decisiones y solucionar problemas para el logro de transformaciones sociales, económicas y ambientales.

En el caso del tercer aspecto, el monitoreo y seguimiento de recursos y atractivos del ecoturismo es casi una premisa para el desarrollo de cualquier producto de esta índole. Es así que García et al. (2019) plantean que los proyectos turísticos surgen, con frecuencia, de forma espontánea y sin planificación, con base en una demanda creciente de visitantes y una fuerte sobrecarga en torno a escasos productos, en ocasiones ilegítimos y de baja calidad, que son tratados como atractivos exclusivamente comercializables.

Por desconocimiento o falta de interés, en muchos casos se dejan de lado importantes recursos del paisaje que pueden contribuir al desarrollo de propuestas integrales de mayor calidad, como son la calidad ambiental y ecológica de los componentes naturales, lo que confirma la importancia de este elemento dentro de la actividad local, en concordancia con las experiencias de Abidin et al. (2023);Imrani y Asgarli (2023);Lupa y Hossain (2023 y Mekonnen y Mekonen (2023).

Finalmente, en el cuarto aspecto sobre innovación y diversificación en el producto, García y Salvaj (2017) plantean que la innovación surge como una forma en que los destinos pueden introducir mejoras en sus estrategias de marketing y así cumplir con las más actualizadas exigencias del turista. Estas innovaciones deben adoptar una perspectiva diferente que permita satisfacer la necesidad de los viajeros de experimentar un destino y establecer una conexión emocional con el mismo. De manera particular, la innovación en la actividad turística se convierte en una herramienta clave para adaptarse al entorno cambiante mediante la introducción de novedades o mejoras y diversificación en los productos, procesos u organización. También se trata de ofrecer un nuevo sentido al producto turístico y elevar la calidad del proceso para alcanzar una eficacia máxima (Mullo, Castro y Guillén, 2019).

La aplicación de las acciones generadas y trabajadas por los especialistas del GDO constituyen un aporte importante a la reingeniería del ecoturismo en Guamote, y sintetizan un esfuerzo de diagnóstico para la proyección estratégica de la actividad, sus actores clave y el redireccionamiento del producto ecoturístico, en función de su crecimiento y reconocimiento en el creciente mercado especializado del Ecuador.

5. Conclusiones

El nivel cognitivo general entre los actores clave encuestados fue medio-bajo. Entre los turistas predominaron las conceptualizaciones incompletas o vagas, los líderes comunitarios expresaron un muy bajo nivel de conceptualización y, en cambio, los agentes turísticos tuvieron un mejor comportamiento como gestores de la oferta; en los dos primeros casos se percibe pobre conocimiento de las potencialidades del paisaje, sus recursos y atractivos relacionados con la vegetación.

Los niveles actitudinal y preferencial de los encuestados fueron de modo general positivos frente al ecoturismo. Todos le confieren importancia a la actividad ecoturística local, y existe, como mínimo, un entendimiento sobre la necesidad de seguir desarrollando la actividad (o producto) e identifican que contribuye a la dinamización de la economía turística territorial, evidenciando una concientización sobre la jerarquía que ocupa la vegetación en la estructuración del producto ecoturístico.

El insuficiente aprovechamiento del recurso turístico vegetación para el desarrollo del ecoturismo a nivel local expuso como efecto esencial el no logro de la diferenciación del producto ecoturístico, cuyas causales estuvieron relacionadas con el poco dominio de los recursos y atractivos turísticos, la escasa capacitación de los actores clave, el desconocimiento de los segmentos de demanda y el insuficiente enfoque y gestión de marketing en la actividad.

La causa raíz que impide lograr la meta en el sistema ecoturístico de Guamote es el insuficiente aprovechamiento del recurso turístico vegetación, evidenciando un conflicto entre la implicación y la capacitación de los comunitarios para el ecoturismo como actividad y producto. En este sentido, la falta de implicación es un síntoma de escasa estructuración de la actividad ecoturística en la localidad.

En el territorio se identifican limitaciones físicas, políticas y de mercado para el abordaje de la solución de la problemática; según el grado de causalidad entre ellas, cuatro son las principales causales, sobre las que se definen 14 acciones de mitigación, cuatro de las cuales (el establecimiento del enfoque de marketing, la capacitación, el monitoreo y seguimiento de recursos y atractivos, y la innovación y diversificación sobre el producto) pueden servir de punto de partida para la intervención a la situación actual de la gestión ecoturística en el sistema de Guamote, con la participación de los actores implicados y con énfasis en la incorporación de recursos naturales con potencialidades, como la vegetación.

Referencias

1. Abidin, Z., Nuryani, F. E., Saputra, D. K., Fattah, M., Harahab, N. y Kusumawati, A. (2023). Mangrove potential assessment for determining ecotourism attraction and strengthening destination branding and marketing: “Gunung pithing mangrove conservation”, Indonesia. GeoJournal of Tourism and Geosites, 47(2), 388-396. https://doi.org/10.30892/gtg.47204-1036. [ Links ]

2. Agustina, Y., Wijijayanti, T., Winarno, A. y Rahayu, W. P. (2023). The Economarketing Model: Development of Productive and Sustainable Tourism Area. International Journal of Professional Business Review, 8(2), e01017. https://doi.org/10.26668/businessreview/2023.v8i2.1017. [ Links ]

3. Ajuhari, Z., Aziz, A. y Bidin, S. (2023). Characteristics of attached visitors in ecotourism destination. Journal of Outdoor Recreation and Tourism, 42, 100608. https://doi.org/10.1016/j.jort.2023.100608. [ Links ]

4. Alcalá Sánchez, K. F., Yactayo Sánchez, R. A., Quispe Fernández, L. A., Peñafiel Huamaní, B. A., Napanga Yalle, G. Y., Huamán Payano, R., Flores Guzmán, J. D., Chuquihuamani Chipana, M. A., Bautista Tomairo, N. B. y Yallico Huamán, M. Y. (2022). El marketing ecológico y su incidencia en el desarrollo del ecoturismo en las Lomas de Quilmaná. Revista de Investigación Cañetana, 1(2), 37-45. https://undc.edu.pe/ric/index.php/ricundc/article/view/18. [ Links ]

5. American Marketing Association (2017). Marketing Power. http://www.marketingpower.com/Pages/default.aspx, 7 de enero de 2023. [ Links ]

6. Andere Reyes, A. E. y Moreno Moreno, L. R. (2022). Caracterización del desarrollo económico rural y el papel del turismo. El Periplo Sustentable, (43), 316-349. https://doi.org/10.36677/elperiplo.v0i43.14829Links ]

7. Arboleda, L. M. (2008). El grupo de discusión como aproximación metodológica en investigaciones cualitativas. Revista Facultad Nacional de Salud Pública, 26(1), 69-77. [ Links ]

8. Arias Gómez, J., Villasís-Keever, M. Á. y Miranda Novales, M. G. (2016). El protocolo de investigación III: la población de estudio. Revista Alergia México, 63(2), 201-206. https://www.redalyc.org/pdf/4867/486755023011.pdfLinks ]

9. Astudillo Torres, M. y Chevez Ponce, F. (2021). La escala de Likert en la medición de las TIC y la exclusión social. Brazilian Journal of Education, Technology and Society (BRAJETS), 14(3), 375-383. https://doi.org/10.14571/brajets.v14.n3.375-383Links ]

10. Benjamin, S. T. (2022). Ecotourism anywhere? The lure of ecotourism and the need to scrutinize the potential competitiveness of ecotourism developments. Tourism Management 92, 104568. https://doi.org/10.1016/j.tourman.2022.104568Links ]

11. Bermúdez, G. y Gómez, H. (2001). Los problemas en tecnología: una propuesta metodológica. Tecnura, 5(9), 68-79. https://doi.org/10.14483/22487638.6120Links ]

12. Burton, C. y Rogerson, J. (2023). Challenges of Planning and Developing an Urban Ecotourism Destination in South Africa. Studia Periegetica, 41(1). https://doi.org/10.58683/sp.367Links ]

13. Chirinos Cuadros, C. R. y Rosado Samaniego, J. F. (2016). Estrategia de diferenciación: el caso de las empresas industriales. Ingeniería industrial, 34(34), 165-174. https://doi.org/10.26439/ing.ind2016.n034.1342Links ]

14. Cooper, D. R. y Schindler, P. S. (2016). Métodos de pesquisa em administração, 12ª edição, Brasil: McGraw-Hill. https://books.google.es/books?hl=es& lr=& id=-3wdDAAAQBAJ& oi=fnd& pg=PR1& dq=Cooper+y+Schindler,+2016& ots=X6sEsM074z& sig=xk5YV4epwy83Yggjwar54eFbhiY, [17 de julio de 2021]. [ Links ]

15. Costas, J., Ponte, B., de la Fuente, D., Pino, R. y Puche, J. (2015). Applying Goldratt’s Theory of Constraints to reduce the Bullwhip Effect through agent-based modeling. Expert systems with Applications, 42(4), 2049-2060. https://doi.org/10.1016/j.eswa.2014.10.022. [ Links ]

16. Cruz Pérez, Y. (2018). Los recursos forestales y el aprovechamiento turístico. Revista Cubana de Ciencias Forestales: CFORES, 6(3), 257-259. https://dialnet.unirioja.es/descarga/articulo/6600098.pdf. [ Links ]

17. Daneva, A. y Nadda, V. (2023). Community Development Through Ecotourism: A Stakeholder Analysis of Botevgrad, Bulgaria. In Inclusive Community Development Through Tourism and Hospitality Practices (pp. 20-48). IGI Global. https://www.igi-global.com/chapter/community-development-through-ecotourism/322419. [ Links ]

18. De Zoysa, M. (2022). Forest-based ecotourism in Sri Lanka: A review on state of governance, livelihoods, and forest conservation outcomes. Journal of Sustainable Forestry, 41 (3-5), 413-439. https://doi.org/10.1080/10549811.2021.1943450. [ Links ]

19. Di Pietro Paolo, L. J. (2014). Hacia un desarrollo integrador y equitativo: una introducción al desarrollo local. Ministerio de Desarrollo Social y Medio Ambiente, Argentina. http://municipios.unq.edu.ar/modules/mislibros/archivos/555555.pdfLinks ]

20. Ezaquias, J. E. (2022). Ecotourism management as a means of contribution to the local development of Cuando Cubango, Angola. Ciencias administrativas, 10(20), 1-8. https://dx.doi.org/https://doi.org/10.24215/23143738e107. [ Links ]

21. Fernández, M., Vela, G., Repetto, F., Torres, J., Recabarren, N., González, I. y López, R. (2020). Socioecological studies in natural protected áreas, México: Springer Natura. https://books.google.com.cu/googlebooks/images/kennedy/insert_link.pngLinks ]

22. García Romero, A., Serrano de la Cruz, S. O., Méndez Méndez, M. A. y Salinas Chávez, E. (2019). Diseño y aplicación de indicadores de calidad paisajística para la evaluación de atractivos turísticos en áreas rurales. Revista de Geografía Norte Grande, (72), 55-73. https://dx.doi.org/10.4067/S0718-34022019000100055. [ Links ]

23. García, B. y Salvaj, E. (2017). Asociacionismo, redes y marketing en la transformación hacia el turismo experiencial. El caso del Barrio de las Letras. Madrid. Cuadernos de Turismo, 40, 315-338. https://doi.org/10.6018/turismo.40.309731. [ Links ]

24. Godás, L. (2006). El producto. Tipos, atributos y diferenciación. Ámbito Farmacéutico, 25(5), 116-120. https://www.elsevier.es/es-revista-offarm-4-pdf-13088623. [ Links ]

25. Goldratt, E. M. y Cox, J. (2010). La meta: un proceso de mejora continua, Tercera edición revisada, Buenos Aires: Ediciones Granica S. A. [ Links ]

26. Hernández Sampieri, R., Fernández Collado, C. y Baptista Lucio, P. (2010). Metodología de la investigación. México, DF: McGraw-Hill. [ Links ]

27. Hutabarat, S. V., Hutabarat, I. S., Lubis, D. S., Wardina, H. y Panggabean, Y. T. U. (2023). Study of the development of beach ecotourism based on sustainable local wisdom. Enrichment. Journal of Management, 12(6), 4814-4819. https://doi.org/10.35335/enrichment.v12i6.1085Links ]

28. Imrani, Z. T. y Asgarli, G. F. (2023). Ecotourism potential and usage opportunities of the Goygol National Park. Servis v Rossii i za rubezhom. Services in Russia and Abroad, 17(1), 147-155. https://doi.org/10.5281/zenodo.7793514Links ]

29. International Research and Training Institute for the Advancement of Women, INSTRAW-ONU (2021). Grupos de discusión o newsgroups. http://www.onu.org.do/instraw/gruposdediscusion/index.htmlLinks ]

30. Ishikawa, K. y Loftus, J. H. (1990). Introduction to quality control, volumen 98. Tokyo: 3A Corporation. https://link.springer.com/book/9789401176903#book-headerLinks ]

31. Ivushkina, E. B. y Sambiev, Z. S. (2023). Ecotourism in sustainable regional Marketing. Science Almanac of Black Sea Region Countries, 33(1), 10−17. https://doi.org/10.23947/2414-1143-2023-33-1-10-17Links ]

32. Jalani, J. O. (2012). Local people’s perception on the impacts and importance of ecotourism in Sabang, Palawan, Philippines. Procedia-Social and Behavioral Sciences, 57, 247-254. https://doi.org/10.1016/j.sbspro.2012.09.1182Links ]

33. Kiper, T. (2013). Role of Ecotourism in Sustainable Development. Advances in Landscape Architecture, 773-802. http://dx.doi.org/10.5772/55749Links ]

34. Lupa, Z. S. y Hossain, M. F. (2023). Potentials of establishing eco-tourism in Cox’s Bazar: Understanding tourist perspectives and preferences for a right marketing mix. AIUB Journal of Business and Economics, 16 (1), 183-204. http://116.206.57.42/index.php/ajbe/article/view/36/35. [ Links ]

35. Martínez Quintana, V. (2017). El turismo de naturaleza: un producto turístico sostenible. Arbor, 193(785), a396. http://dx.doi.org/10.3989/arbor.2017.785n3002Links ]

36. Mekonnen, H. y Mekonen, S. (2023), Potentials, opportunities and challenges of ecotourism development in selected historical and sacred sites of North Shewa Zone, Amhara region, Ethiopia. International Journal of Tourism Cities. https://doi.org/10.1108/IJTC-12-2021-0242Links ]

37. Mudzengi, B.K., Gandiwa, E., Muboko, N. y Mutanga, C. N. (2023). Towards a Management Intervention Framework for Mahenye Ecotourism Biophysical Resources to Cope and Recover from COVID-19 Pandemic Shocks. En: Dube, K., Kupika, O. L. y Chikodzi, D. (editores) COVID-19, Tourist Destinations and Prospects for Recovery, Cham: Springer. https://doi.org/10.1007/978-3-031-28340-6_8Links ]

38. Mullo Romero, E. C., Castro Salceso, J. P. y Guillén Herrera, S. R. (2019). Innovación y desarrollo turístico. Reflexiones y desafíos. Revista Universidad y Sociedad, 11(4), 394-399. http://scielo.sld.cu/scielo.php?script=sci_arttext& pid=S2218-36202019000400394& lng=es& tlng=esLinks ]

39. Muñoz Rocha, C. I. (2016). Metodología de la investigación. México: Oxford University Press. [ Links ]

40. Nina Hermina, U. (2022). Development of ecotourism through tourist village marketing strategies to increase the visit of tourists in Kapuas Hulu regency. Jurnal Mantik, 6(2), 2295-2301. https://doi.org/10.35335/mantik.v6i2.2711Links ]

41. Orgaz, F. y Cañero, P. (2015). Ecoturismo y desarrollo sostenible. Un estudio de caso en comunidades rurales de República Dominicana. Revista Pasos, 13(6) 1425-1435. http://www.pasosonline.org/Publicados/13615/PS0615_11.pdf. [ Links ]

42. Palacios Marqués, D., Rey Martí, A. y Orero Blat, M. (2021). Un enfoque práctico del marketing estratégico, operativo y digital. Editorial Universitat Politècnica de València. http://hdl.handle.net/10251/175364Links ]

43. Pengue, W. A. (2015). Recursos naturales, servicios ambientales y desarrollo en América Latina. Redbioética/UNESCO, 1(11), 64-69. http://www.unesco.org.uy/shs/redbioetica/fileadmin/shs/redbioetica/Revista_11/Pengue.pdf. [ Links ]

44. Perdomo Navarro, C., García Capdevilla, D. A. y Millán Rojas, E. E. (2022). Estrategias de marketing verde para el ecoturismo sustentable en el Cañón del río Combeima (Colombia). Aglala, 12(2), 61-84. https://revistas.curn.edu.co/index.php/aglala/article/view/1944. [ Links ]

45. Perrone, G. (2021). Plan de capacitación en materia turística para el Instituto de Formación y Selección de Servidores Públicos de la Municipalidad de Córdoba (INFOSSEP). Reporte de caso. Buenos Aires, Universidad Siglo 21. https://repositorio.uesiglo21.edu.ar/handle/ues21/20746Links ]

46. Prentice, C., Kundra, S., Alam, M., Alam, M. A. y Nguyen, M. (2023). Utopia or dystopiadeterrents to ecotourism development in Fiji. Tourism Geographies, 25(2-3), 843-864. https://doi.org/10.1080/14616688.2021.2016931Links ]

47. Purba, I. S., Avenzora, R., Anggraini, E. y Darusman, D. (2023). Analysis of external factors on rural ecotourism entrepreneurship (Case study in Bogor regency of West Java). Indonesian Journal of Forestry Research, 10(1), 91-104. https://doi.org/10.59465/ijfr.2023.10.1.91-104Links ]

48. Ramírez Torres, M., Salinas Chaidez, E. y Miranda Navarro, A. (2021). El rol del marketing estratégico en las organizaciones inmersas en entornos VUCA. Revista Científica Anfibios, 4(2), 45-54. https://doi.org/10.37979/afb.2021v4n2.94Links ]

49. Rebollo Soto, N. (2012). Ecoturismo. México: Red Tercer Milenio S. C., primera edición. http://up-rid2.up.ac.pa:8080/xmlui/handle/123456789/2036, [14 de diciembre de 2020]. [ Links ]

50. República de Ecuador. Municipio de Guamote. http://www.municipiodeguamote.gob.ec/2013/index.php/transparencias/lotaip-2011/doc_details/248-resolucion-no-23-sg-c-gadmcg-12-pdf-12-de-marzo-cdl-comision-turismo?tmpl=componentLinks ]

51. Sales, M. (2013). Diagrama de Pareto. EALDE Business School. [ Links ]

52. Salinas Chávez, E., Medina Pérez, N. J. y Santamarina Guerra, J. N. (2020). Productos turísticos. Ocio y negocios: Diseño, desarrollo y comercialización. La Habana: Editorial Científico Técnica. [ Links ]

53. Sánchez Cuenca, L. M., Martínez Romero, D. A. y Parra Loayza, D. C. (2020). Determinación del producto turístico basado en ecoturismo por medio de la potencialidad: Caso parroquias rurales de Santa Rosa, El Oro, Ecuador. RICIT: Revista Turismo, Desarrollo y Buen Vivir, (14), 7-23. https://dialnet.unirioja.es/descarga/articulo/7678370.pdf. [ Links ]

54. Stewart Moore, B. C. (1993). Ecotourism in the 21st century. Tourism Management, 14(2), 123-130. https://doi.org/10.1016/0261-5177(93)90045-M. [ Links ]

55. Taylor D. y Procter, M. (2017). The Literature Review: A few tips on conducting it. Health Sciences Writing Centre, University of Toronto. https://advice.writing.utoronto.ca/wpcontent/uploads/sites/2/literature-review.pdfLinks ]

56. Tenrero Silva, N. R., Díaz Rosabal, E., Gorgoso Vázquez, A. E. y Villarreal Valera, J. A. (2021). La gestión de la información y la gestión del conocimiento como herramientas para el desarrollo local. Redel. Revista Granmense de Desarrollo Local, 5(2), 57-67. [ Links ]

57. Widodo, G., Avenzora, R., Malihah, E. y Sunarminto, T. (2023). Polarization of local community perception on socio-cultural dynamics in ecotourism development of Bopunjur, West Java. Indonesian Journal of Forestry Research, 10(1), 113-134. https://doi.org/10.59465/ijfr.2023.10.1.113-134Links ]

58. Xiang, Ch., Xiao qin, J. y Yin, L. (2020). Study on the rural ecotourism resource evaluation system. Environmental Technology & Innovation, 20, 101131. https://doi.org/10.1016/j.eti.2020.101131Links ]

59. Yépez Galarza, G. D., Quimis Izquierdo, N. C. y Sumba Bustamante, R. Y. (2021). El marketing mix como estrategia de posicionamiento en las MIPYMES ecuatorianas. Polo del Conocimiento: Revista científico-profesional, 6(3), 2045-2069. https://dialnet.unirioja.es/descarga/articulo/7926929.pdf. [ Links ]

60. Zainol, N. R., Abdullah, F. A. y Rahman, M.K. (2023). Exploring Digitalization-Driven in Innovative Eco-Tourism Sector. En N. Zainol y M.K. Rahman, Social Entrepreneurship and Social Innovation in Eco-Tourism. Singapore: Springer. https://doi.org/10.1007/978-981-99-1827-0_5. [ Links ]

Recibido: 30 de Mayo de 2023; Aprobado: 04 de Septiembre de 2023

Creative Commons License Este es un artículo publicado en acceso abierto bajo una licencia Creative Commons