Servicios Personalizados
Revista
Articulo
Indicadores
-
Citado por SciELO -
Accesos
Links relacionados
-
Similares en
SciELO
Compartir
Revista Latinoamericana de Desarrollo Económico
versión On-line ISSN 2074-4706
rlde no.33 La Paz 2020
Efecto asimétrico de la actividad económica en la liquidez del sistema financiero boliviano
Asymmetric Effect of Economic Activity on the Liquidity of the Bolivian Financial System
Pablo Cachaga Herrera*, José Martin Romero Cuevas**
Resumen***
El documento de investigación analiza el efecto diferenciado de la actividad económica extractiva y no extractiva sobre la liquidez del sistema financiero boliviano para el periodo comprendido entre 2000 y 2019. Considerando el quiebre estructural de la liquidez a partir de 2009, según la prueba de estacionariedad de Andrews y Zivot, el análisis distingue entre regímenes de alta y baja liquidez utilizando la “Metodología de vectores autoregresivos estructurales por umbrales”. Las funciones impulso-respuesta muestran que un shock positivo en la actividad económica genera incrementos diferenciados en el excedente de encaje según el tipo de actividad y régimen de liquidez. El análisis también permitió evidenciar mayor coherencia entre los movimientos esperados en el excedente de encaje y cambios de las variables asociadas a la política monetaria en el régimen de alta liquidez.
Palabras clave: Bolivia; política monetaria; excedente de liquidez; actividad económica extractiva y no extractiva; modelo VAR estructural por umbrales.
Abstract
The research document analyzes the differentiated effect of extractive and non-extractive economic activity on the liquidity of the Bolivian financial system from 2000 to 2019. Considering the structural breakdown of liquidity from 2009 according to the Andrews and Zivot stationarity test, the analysis distinguishes between high and low liquidity regimes using the Structural Threshold Vector Autoregression methodology (TVAR). The impulseresponse functions show that a positive shock in economic activity generates differentiated increases in liquidity surplus according to the type of activity and liquidity regime. The analysis also revealed greater coherence between the expected movements in the liquidity surplus and changes in the variables associated with monetary policy in the highly liquid regime.
Keywords: Bolivia; monetary policy; liquidity surplus; extractive and non-extractive economic activity; Structural Threshold Vector Autoregression Model.
Clasificación/Classification JEL: E52, E65, E23, C32.
1. Introducción
La Constitución Política del Estado establece en su artículo 327, como función de la autoridad monetaria, mantener la estabilidad del poder adquisitivo interno de la moneda, para contribuir al desarrollo económico y social. Asimismo, en el artículo 328 se disponen como sus atribuciones determinar y ejecutar la política monetaria, así como ejecutar la política cambiaria, además de regular el sistema de pagos, autorizar la emisión de la moneda y administrar las reservas internacionales. Bajo estos antecedentes, el Banco Central de Bolivia (BCB) tiene definido su objetivo de preservar la estabilidad de los precios, siendo éste también un medio para contribuir al crecimiento económico, el aumento del empleo y la disminución de la pobreza.
Para el control de la inflación, el BCB utiliza como meta operativa la liquidez del sistema financiero, la cual tiene como variable proxy el excedente de encaje legal, que es el resultado de la diferencia entre el encaje constituido y el requerido1. En este sentido, el presente documento de investigación tiene el objetivo de analizar los factores determinantes de la liquidez para el sistema financiero boliviano desde una perspectiva dinámica, dadas las relaciones de bicausalidad existentes entre el sistema de variables que determinan el comportamiento de la liquidez.
El BCB administra la política monetaria con metas intermedias de cantidades (límites a la expansión del crédito interno neto), las cuales se ejecutan por medio de su meta operativa (Esquema 1).
Como se observa en el anterior esquema, una de las principales variables para la toma de decisiones de política monetaria es el pronóstico de la liquidez, es decir, el ente emisor decide ser expansivo o contractivo de acuerdo al panorama de la liquidez futura. El BCB trabaja sobre la meta operativa (liquidez del sistema financiero), la cual es resultado de dos factores fundamentales: 1) factores de expansión, los cuales están determinados por las reservas internacionales netas (RIN), los créditos al sector público no financiero (SPNF) y al sector financiero, y 2) factores de contracción, en los cuales la emisión monetaria, los depósitos del SPNF, del sistema financiero y la colocación de títulos del Tesoro General de la Nación (TGN) tienen una participación importante. La diferencia de los factores de contracción y expansión da como resultado la inyección bruta (oferta ex ante), sobre la cual la autoridad monetaria toma decisiones de política monetaria, instrumentándola mediante operaciones de mercado abierto (OMA), encaje legal, entre otros, para finalmente alcanzar la inyección neta que se considere adecuada para alcanzar la meta intermedia y cumplir con los objetivos finales de inflación y crecimiento económico (Esquema 2).
El efecto de las variables financieras (créditos y depósitos del sistema financiero), externas (RIN) y fiscales (créditos y depósitos del SPNF y colocación neta de títulos del TGN) sobre la liquidez del sistema financiero es explicado en el anterior cuadro. Sin embargo, hasta la fecha la literatura existente no ha profundizado en el análisis del efecto que tiene el sector real sobre la dinámica de la liquidez. Por esta razón, el presente documento tiene como objetivo analizar el efecto de la actividad económica sobre los movimientos del excedente de encaje legal del sistema financiero2, para el periodo comprendido entre 2000 y 2019.
Es importante mencionar que la participación del Estado en actividades extractivas y del sector privado en actividades no extractivas determinan diferentes flujos económicos, en términos de magnitud y temporalidad, que impactan de forma diferenciada en el sistema financiero. Para abordar adecuadamente esta caracterización de la economía boliviana el presente documento realiza un análisis diferenciando entre actividad extractiva y no extractiva y sus efectos sobre la dinámica de la liquidez del sistema financiero. Asimismo, el incremento sustancial que tuvo el excedente de encaje en la última década, no solo en términos absolutos, sino también en relación al tamaño de la economía y los depósitos del sistema financiero, motivó a que se recurra a la “Metodología de vectores autoregresivos estructurales por umbrales” (TSVAR3) para la estimación de los efectos de los determinantes de la liquidez sobre dicha variable.
El documento se divide de la siguiente manera: en la sección 2 se realiza la revisión de la literatura relacionada a los determinantes del excedente de liquidez; en la sección 3 se detalla el comportamiento observado de las variables determinantes del nivel de excedente de liquidez en la economía boliviana; en la sección 4 se explica la metodología y los datos utilizados para las estimaciones realizadas; en la sección 5 se presentan los resultados obtenidos; y en la sección 6 se dan a conocer las conclusiones y recomendaciones.
2. Revisión de la literatura
Diversos documentos de investigación, si bien no emplean la metodología de estimación utilizada en el presente documento, evidencian que la actividad económica es un factor importante para determinar el excedente de liquidez; a continuación, se detallan dichos trabajos.
Agénor, Aizenman y Hoffmaister (2004) evalúan la demanda por exceso de liquidez de los bancos comerciales de Tailandia para el periodo 1992-1998 (datos mensuales), utilizando Mínimos Cuadrados Ordinarios (MCO). Entre sus variables fundamentales se encuentran el coeficiente de variación del ratio Producto Interno Bruto (PIB) y PIB tendencial, los cuales son una proxy de la estabilidad macroeconómica. Asimismo, utilizan el logaritmo del ratio del PIB y PIB tendencial, los cuales son una proxy a los cambios existentes en la demanda por dinero.
Saxegaard (2006) examina el exceso de liquidez en los países de África subsahariana, para el periodo 1992-2003 (datos trimestrales), considerando los factores que conducen a las entidades bancarias a acumular liquidez, tanto de forma voluntaria como involuntaria. Para dicho análisis, el autor utiliza la metodología de variables instrumentales, y entre sus determinantes se encuentran la brecha del producto y promedios móviles de la desviación estándar de dicha variable, las cuales son aproximaciones a la estabilidad macroeconómica.
Vodová (2011) analiza los determinantes de la liquidez del sistema bancario comercial de Eslovaquia mediante datos panel para el periodo 2001-2010. Sus resultados muestran que la liquidez aumenta con el crecimiento del producto, donde los prestatarios reducen su deuda durante las fases de expansión y aumentan la demanda de préstamos en periodos de recesión. Este hecho, según Vodová, es también la razón por la cual los bancos tienden a prestar más y, por lo tanto, disminuyen su liquidez incluso en períodos de mayor desempleo y menor rentabilidad.
Anderson (2011), examina las tendencias de las reservas excedentes de bancos en Jamaica durante el período comprendido entre 1998 y 2010 (datos trimestrales). Utiliza el método Autoregressive - Distributed Lag (ARDL), uno de cuyos fundamentos es la brecha del producto como proxy a los cambios en la demanda de dinero y la volatilidad del ingreso.
Deléchat, Henao, Muthoora y Vtyurina (2012), utilizando un panel con datos anuales de aproximadamente 100 bancos comerciales de la región, encuentran que la demanda de liquidez precautoria se asocia con medidas del tamaño del banco, la rentabilidad, la capitalización, la dolarización y el desarrollo financiero. La metodología utilizada es MCO y Método Generalizado de Momentos (GMM), y entre sus variables macroeconómicas fundamentales se encuentra el crecimiento real de la economía.
Karkowska (2015) busca los determinantes de la liquidez de bancos en 42 países (países avanzados y emergentes/en desarrollo) para el período 2000-2011 mediante datos panel y el método GMM (Datos anuales). Los resultados muestran la importancia de las diferencias en la liquidez global, dependiendo del nivel de desarrollo del país; entre sus variables fundamentales toma al crecimiento del PIB real, como factor macroeconómico.
Godfrey, Akume y Nkwetta (2017) examinan el impacto del exceso de liquidez de los bancos comerciales de Nigeria en el desenvolvimiento de dichas entidades para el periodo 1990-2016 (datos anuales). Los autores utilizan un modelo VAR que incorpora la diferencia logarítmica del PIB, para analizar el desempeño de la actividad económica.
Para el caso boliviano, Cernadas (2013) analiza los determinantes del excedente de reservas bancarias depositadas de forma voluntaria e involuntaria en la autoridad monetaria para el periodo 2002-2011 (datos mensuales). Para lo anterior, utiliza la metodología GMM, y entre sus variables determinantes toma en cuenta la volatilidad del Índice Global de Actividad Económica (IGAE) y la brecha del IGAE, las cuales son proxys de la estabilidad macroeconómica.
Como se pudo observar, varios de los trabajos toman como variable explicativa de la liquidez del sistema financiero la actividad económica que está vinculada al sector real de la economía (crecimiento, volatilidad, brecha del PIB). Por lo anterior queda claro que la dinámica del producto tiene efecto sobre la liquidez del sistema financiero.
Asimismo, sectores como el financiero, externo, monetario y fiscal tienen efectos sobre el nivel de liquidez; ante un shock positivo de sus determinantes, los efectos sobre el nivel de liquidez son diferentes. Frente a incrementos en los depósitos, se observa un aumento de la liquidez (tiene el mismo efecto de incrementos en la tasa pasiva); sin embargo, ocurre lo contrario cuando se incrementan los créditos, debido a que se resta liquidez del sistema financiero y sucede lo mismo cuando las tasas activas incrementan, porque se desincentiva la demanda de créditos de los agentes económicos. Por su parte, la política monetaria, representada mediante el encaje legal y tasa de política monetaria, indica que, ante aumentos de las mismas, la liquidez disminuye. Por otro lado, aumentos de las RIN generan mayores ingresos de divisas a la economía, que pueden transformarse en depósitos y aumentar la liquidez. En algunos casos, estas divisas suelen trasladarse a los depósitos del sector público (este hecho se da particularmente en Bolivia, debido a que gran parte de las exportaciones corresponden a empresas públicas, como el caso de YPFB), disminuyendo la liquidez. Por último, el sector fiscal afecta a la liquidez mediante los créditos y depósitos del SPNF: cuando aumentan los depósitos del sector público (debido a mayores ingresos que gastos o mayor endeudamiento) disminuye la liquidez, ya que disminuyen los recursos del sistema financiero para ser trasladados al sector público; empero, ocurre lo contrario cuando se otorga un crédito al SPNF, ya que mediante el gasto público estos recursos ingresan al sistema financiero, incrementando la liquidez (Cuadro 1).
3. Hechos estilizados
3.1. Comportamiento del excedente de liquidez
El excedente de liquidez del sistema financiero aumentó sustancialmente desde 2009. En años precedentes a dicha gestión esta variable en promedio se situaba en Bs. 560 millones (2000-2008), mientras que en las gestiones siguientes alcanzó un promedio alrededor de los Bs. 6.792 millones (2009-2019). Se puede atribuir como uno de los generadores de este acontecimiento al cambio de orientación de la política monetaria de contractiva a expansiva por parte del BCB, para contrarrestar efectos negativos sobre la actividad económica interna debido a la crisis financiera internacional en 2008, ya que este hecho generó incertidumbre respecto al ritmo de crecimiento de la actividad económica4. Según Todd (2013), desde el inicio de la crisis financiera, el excedente de liquidez se incrementó en varios países, como E.E.U.U. y países europeos, y no solo en economías en desarrollo como Bolivia. En la misma línea, Deléchat et al. (2012) mencionan que en la mayoría de los países de América Latina la liquidez de la banca comercial se encuentra por encima de los requisitos legales o prudenciales.
Los saldos de excedente de encaje se incrementaron aún, con subidas en las tasas de encaje legal. La dinamización de la economía y del sector financiero en particular generaron que los depósitos del público se incrementen de manera importante, lo que determinó que se registren aumentos no solo en los saldos de excedente de encaje sino también en los saldos del encaje requerido (Gráfico 1). No obstante, este último redujo su participación en el encaje total: en el periodo 2000-2008 el encaje requerido tenía una participación de 84% del encaje constituido, mientras en el último periodo, 2009-2019, el encaje requerido disminuyó su participación a 69% del encaje constituido. A partir de 2017 se registraron episodios de disminución de la liquidez, sin embargo, el BCB utilizó instrumentos de política monetaria que lograron restablecer el excedente de encaje a niveles adecuados, como la reducción de la tasa de encaje legal en ME en tres ocasiones (reducción de 66.5% a 31.5%), la disminución de las tasas de OMAs en todos los plazos cercanas a cero y la creación de fondos (CPVIS), entre otros.
Si bien el incremento de la liquidez del sistema financiero beneficia a la estabilidad financiera, como indican Deléchat et al. (2012), cuando esta variable se encuentra en niveles muy elevados podría obstaculizar la profundización financiera y la política monetaria al dificultar sus mecanismos de transmisión (Gray, 2011). Por otro lado, el exceso de liquidez podría entorpecer el desarrollo de los mercados interbancarios y de dinero; asimismo, se denota en algunos casos que los bancos acumulan reservas en exceso para afrontar posibles problemas futuros de liquidez (Diamond y Dybvig, 1983; Diamond y Rajan, 2001 y 2005). Si bien la liquidez puede incrementar sustancialmente, un factor importante es determinar si la misma es voluntaria o involuntaria. Para el caso boliviano, gran parte del excedente de liquidez es voluntario (Cernadas, 2013), en este sentido, la política monetaria no pierde su efectividad. Por otro lado, se puede señalar que la bolivianización ha favorecido los mecanismos de transmisión de la política monetaria; asimismo, el crédito creció permanentemente, por lo que los niveles elevados de liquidez no generaron las posibles dificultades señaladas. No obstante, queda profundizar en un estudio posterior acerca de un nivel de liquidez óptimo.
La liquidez también se incrementó en términos relativos. El excedente de encaje en relación a los depósitos del sistema financiero antes de 2009 se situaba en promedio en torno al 3.7%, pero luego de 2009 este ratio se incrementó sustancialmente, hasta alcanzar un máximo de 19.2%, para luego decrecer gradualmente con algunas fuertes oscilaciones y mantenerse en promedio en 7.2% (Gráfico 2a).
Por otro lado, la liquidez respecto al PIB muestra la participación del excedente de encaje legal respecto a los ingresos de la economía nacional. En el escenario anterior al año 2009 se situó en 1.6%, para luego más que duplicarse, llegando hasta 3.5% entre 2009-2019. Dicho aumento en el ratio muestra que el crecimiento de la liquidez no se debe simplemente al aumento del ingreso nominal (Gráfico 2b).
Por último, se relaciona la liquidez con la base monetaria, ya que la misma es una fuente de alimentación de la liquidez. Es decir, el incremento sustancial de la liquidez podría deberse a incrementos de igual o mayor magnitud de la base monetaria, siempre y cuando el BCB no intervenga para esterilizar estos incrementos. Para el periodo 2009-2019, la liquidez se situó en promedio en 15.5% de la base monetaria, superior al 9.4% registrado entre 2000-2008 (Gráfico 2c).
3.2. Relación de la actividad económica y la liquidez del sistema financiero
La variación interanual del IGAE, antes del incremento sustancial del excedente de liquidez, registró fuertes variaciones hasta finales de 2009; las mismas tuvieron una desviación estándar de 2.5 puntos porcentuales superior a la observada en el periodo 2009-2019, donde solo alcanzó a 1.5. Por otro lado, un aspecto que llama la atención es que antes del incremento importante de la liquidez, el dinamismo de la actividad económica se vio reducido gradualmente (entre julio de 2008 y marzo de 2009). Es en este sentido que el crecimiento del PIB de 2009 alcanzó a 3.2%, muy por debajo del tendencial observado entre 2006-2019. Asimismo, es importante destacar que después de 2013 la variación del IGAE fue moderada con tendencia a la baja, hasta alcanzar un nivel similar al de 2009 (Gráfico 3).
Para realizar un análisis diferenciado según el tipo de actividad económica, se ha descompuesto el IGAE en extractivo y no extractivo. El índice promedio del IGAE extractivo ha registrado un incremento más fuerte que el IGAE general y no extractivo a partir de 2006; empero a partir de 2015 ha cambiado su tendencia, hasta situarse por debajo del IGAE general, aspecto que denota la fuerte contracción del sector hidrocarburífero (Gráfico 4a). El crecimiento interanual del IGAE extractivo muestra una de sus variaciones más fuertes a finales de 2008 y un descenso creciente a partir de 2015 (Gráfico 4b). El IGAE no extractivo tiene un comportamiento mucho más moderado y similar al IGAE general. A partir de 2006, el IGAE extractivo, que contiene a los sectores de minería e hidrocarburos, tiene una elevada participación estatal y responde más al contexto económico internacional. En el primer caso, las exportaciones mineras se destinan principalmente a los países asiáticos (China, Corea del Sur y Japón) y en el segundo a los mercados de Brasil y Argentina.
En cambio, el IGAE no extractivo tiene una participación mayoritaria del sector privado y responde a impulsos fiscales y monetarios direccionados a estimular la demanda interna. Los sectores que más dinámica registraron en los últimos años fueron electricidad, gas y agua, construcción y obras públicas, servicios financieros y administración pública. Tales diferencias implican que los recursos generados por dichos sectores impactan de forma distinta en la liquidez del sistema financiero. En el caso de la actividad extractiva, los recursos se acumulan inicialmente en cuentas públicas (contracción de la liquidez); solo cuando se empieza a ejecutar el gasto público dichos recursos se dirigen al sistema financiero (incremento de la liquidez). En cambio, en el caso de la actividad no extractiva, los recursos se acumulan directamente en el sistema financiero (incremento de la liquidez).
4. Datos y metodología de estimación
4.1. Variables y datos
Para la estimación del modelo se utilizan datos con frecuencia mensual para el periodo 2000-2019. Para medir la dinámica de la actividad económica se consideró el IGAE calculado por el Instituto Nacional de Estadística (INE). Para diferenciar los efectos según el tipo de actividad económica, se calcularon dos índices; en base a las ponderaciones de cada sector se calculó un índice extractivo que incluye a los sectores de petróleo y gas y al de minerales. Asimismo, se calculó un índice no extractivo, incorporando al resto de sectores incluidos en el IGAE5.
Por el lado del sistema financiero, se consideró la información de la cartera total destinada al sector privado y los depósitos totales (depósitos vista, caja de ahorro, a plazo fijo y otros depósitos) de los agentes económicos. Dicha información contiene las operaciones en moneda tanto nacional como extranjera, calculada por el BCB según los reportes de las entidades de intermediación financiera (EIF). Para medir la liquidez del sistema financiero, se consideró el excedente total de encaje legal (títulos y efectivo), es decir, la diferencia entre el encaje constituido en el BCB y el requerido a las EIF según lo dispuesto por el ente emisor. Asimismo, como variable que permita apreciar el cambio de régimen en la liquidez del sistema financiero se incluyó el ratio excedente de liquidez sobre el PIB. Respecto a las variables de política monetaria, se incluyó un ponderado de las tasas de interés para los títulos valor del BCB a 51 semanas. Asimismo, se incorporó una tasa ponderada de encaje legal para los depósitos de las EIF. En el modelo econométrico, todas las variables nominales se encuentran deflactadas por el índice de precios al consumidor, a excepción de los ratios y tasas de interés.
Considerando la prueba de Dickey-Fuller Aumentada, la mayoría de las variables son integradas de orden uno (anexo 1); por tanto, para las estimaciones se utilizaron diferencias logarítmicas para el índice extractivo, índice no extractivo, créditos, depósitos y excedente de encaje; y variaciones en puntos porcentuales para la tasa ponderada de los títulos de regulación monetaria y la tasa ponderada de encaje legal. El ratio entre el excedente de liquidez y PIB se incluye en niveles.
4.2. Metodología: Modelo VAR estructural por umbrales
Como se describió en la sección de revisión de literatura, para el caso boliviano, Cernadas (2013), mediante la metodología GMM, encuentra los determinantes del ratio de excedente de encaje legal. El presente documento se centra en analizar los factores de la liquidez desde una perspectiva dinámica, dadas las relaciones de bicausalidad existentes entre el sistema de variables que determinan el comportamiento de la liquidez.
Para el caso de las variables de interés del presente trabajo, es necesario entender cómo estas interactúan en la economía. Inicialmente el sistema financiero captura los recursos excedentarios de las familias y hogares (ingresos que dependen de la actividad económica) y los traslada a otros agentes económicos (Esquema 3):
◆ En escenarios de alta liquidez, estos recursos pueden ser capturados por el Banco Central mediante operaciones de mercado abierto, y con su política monetaria contractiva afectar la dinámica del producto.
◆ El sistema financiero puede trasladar sus depósitos a créditos de consumo, vivienda, productivo u otros, y afectar positivamente el crecimiento del PIB.
◆ En escenarios donde existe una liquidez baja, el Banco Central, mediante la disminución de la tasa de encaje legal, puede inyectar más recursos a la economía, generando que la misma se dinamice.
◆ Por su parte, el sector público puede hacer uso de los depósitos privados mediante la colocación de títulos; la magnitud dependerá de las necesidades de financiamiento del déficit fiscal. Estos recursos se destinan a gasto corriente o de capital y tienen efectos sobre el crecimiento del producto.
◆ Por último, los depósitos en el sistema financiero también pueden ser invertidos en el exterior, teniendo un efecto ambiguo sobre el crecimiento del producto.
Como se puede observar en los ejemplos anteriores, los ingresos de los agentes económicos son afectados por las variaciones en el crecimiento del PIB, generándose un círculo de relaciones. Similares razonamientos se pueden realizar para otras variables que influyen en el excedente de liquidez.
Por otro lado, como se señaló en la sección de hechos estilizados, el excedente de liquidez del sistema financiero se incrementó de manera importante en los últimos años, no solo en términos nominales, sino también en relación al PIB y los depósitos del sistema financiero. Respecto a dicho comportamiento, la prueba de estacionariedad de Andrews y Zivot para el ratio excedente de encaje y PIB permite establecer que esta variable sufre un cambio estructural a partir de mayo de 2009, según la especificación Innovation Outlier (IO), y en marzo de la misma gestión, según la especificación Additive Outlier (AO) (Cuadro 2).
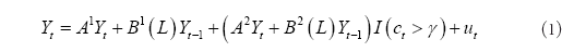
Este quiebre en el ratio de excedente de encaje y PIB se asociaría a factores como el fuerte shock externo positivo recibido por la economía boliviana hasta finales de la gestión 2008 (reflejado en la dinámica del IGAE extractivo), así como a las políticas fiscales y monetarias por lo general expansivas, en los años posteriores. En este sentido, los resultados obtenidos por el test de Andrew y Zivot implican que las estimaciones econométricas que involucren el excedente de encaje legal (liquidez del sistema financiero) deben tratar de forma adecuada su no linealidad. Existen varias metodologías que permiten abordar series de tiempo con quiebre estructural (Balke y Chang, 1995), estimando relaciones según regímenes de las mismas. En el presente documento se utiliza la “Metodología de vectores autoregresivos estructurales por umbrales” (TSVAR), para ecuaciones con un rezago; estos modelos se pueden representar de la siguiente forma:
![]()
En la ecuación anterior, Yt es un vector columna que agrupa a las variables del sistema; A1 y A2 son las matrices que agrupan los coeficientes de las relaciones estructurales contemporáneas del modelo identificados de forma recursiva, es decir, según el ordenamiento de causalidad que se le imponga; los superíndices indican el régimen al cual corresponde cada matriz; B1(L) y B2(L) son las matrices de polinomios de rezagos diferenciados según regímenes; finalmente, I(ct > γ) es el indicador del régimen en el cual se encuentra el sistema, es igual a 1 siempre que ct > γ y 0 en otro caso, es decir, ct es la variable de umbral6 cuyo comportamiento determina los regímenes del sistema.
Para la estimación se utilizó el add-in de Eviews 9 de Davaajargal Luvsannyam, creado en base al paper de Balke (2000)7. Como variable umbral se consideró al ratio excedente de encaje y PIB; los resultados según los estadísticos Sup-Wald, Avg-Wald y Exp-Wald rechazan la hipótesis nula de linealidad (Cuadro 3), pudiéndose establecer por tanto que el sistema tiene dos regímenes, dados por los niveles de la variable umbral seleccionada. Asimismo, los regímenes estimados coinciden de forma muy cercana con los resultados obtenidos según la prueba de estacionariedad con quiebre estructural de Andrews y Zivot, es decir, a partir de 2009 existe un régimen de “alta liquidez”, mientras que los meses precedentes (salvo pocas excepciones) corresponden a un régimen de “baja liquidez” (Gráfico 5).
Para estimar el VAR Estructural se recurrió a la identificación recursiva, es decir, se asumió que existe una cadena temporal secuencial en la causalidad de las variables8. Se consideraron como las variables más exógenas a la actividad extractiva y no extractiva, puesto que ningún cambio en el resto de variables del sistema puede afectar a la actividad económica en el mismo mes. Al respecto, si bien los créditos pueden incrementar la producción, lo hacen con posterioridad al shock en los préstamos, debido al periodo de maduración que tienen los proyectos de inversión. Asimismo, las variables de política monetaria normalmente afectan a las variables del sector real con cierto rezago9.
Posteriormente se incluyeron las variables del sistema financiero que determinan el comportamiento del excedente de liquidez, en el entendido de que es posible que, en un mismo mes, cambios en la actividad económica puedan generar mayores recursos en la economía, que se podrían traducir en mayores depósitos del público. Asimismo, dada la temporalidad de la intermediación financiera (se requieren captaciones previas a la otorgación de préstamos) se consideraron a los depósitos más exógenos que los créditos. Respecto las variables del excedente de encaje (el excedente como tal y su ratio respecto al PIB), se incluyeron de forma posterior a los créditos y depósitos, dado que movimientos en el mismo mes de estas dos variables financieras pueden afectar directamente a la liquidez.
Finalmente, se incluyeron las variables asociadas a la política monetaria, como ser la tasa de interés de los títulos de regulación monetaria y la tasa de encaje legal, puesto que es razonable asumir que los hacedores de política toman sus decisiones conociendo la dinámica de las variables, tanto del sector real como del sector financiero. Matricialmente, las restricciones se pueden representar de la siguiente forma:

5. Resultados
Las funciones de impulso-respuesta (FIR) estimadas muestran particularidades en su dinámica según el régimen en el cual se encuentre la liquidez. Respecto a la relación de interés del presente documento (actividad económica-liquidez del sistema financiero), se diferenciaron los efectos según actividad extractiva y no extractiva.
En cuanto a la actividad extractiva, se observa que en ambos regímenes un shock positivo en esta variable inicialmente genera caídas en el excedente de liquidez. Este comportamiento se vincula a la acumulación de depósitos públicos (factor de contracción de la liquidez) resultado del ingreso de recursos por la venta de productos hidrocarburíferos y minerales en el mercado interno y externo. Posteriormente se observa que el shock en la actividad extractiva genera aumentos en la liquidez, los cuales se explican por la progresiva desacumulación de los depósitos públicos mediante la ejecución del gasto corriente y/o de capital, recursos que pasan a cuentas del sector privado, aumentando de esta forma los depósitos en el sistema financiero y por defecto incrementando la liquidez. Los efectos contractivos son estadísticamente significativos dentro de los primeros cinco meses posteriores al shock y los expansivos posteriores al mes 13 (Gráfico 6a). Asimismo, en ambos regímenes el efecto acumulado10 de los shocks de esta variable son positivos, ya que a mayor dinámica del PIB se espera que la liquidez del sistema financiero aumente, porque los agentes económicos tendrán mayor cantidad de recursos para depositar en las EIF; no obstante, se destaca que la liquidez es más sensible en el régimen de “baja liquidez”11 (Cuadro 4 y anexo 3).
Por su parte, el efecto de shocks en la actividad no extractiva difiere según el régimen de la liquidez. En el régimen de “alta liquidez” se observa que un shock en dicha variable tiene un efecto inicial positivo, es decir, los mayores recursos generados por la dinamización de este sector se acumulan en depósitos en el sistema financiero, lo cual es congruente con el hecho de que estas actividades se encuentran mayoritariamente en manos del sector privado. Posteriormente y durante aproximadamente un semestre, este sector empieza a demandar recursos del sistema financiero, lo que se puede explicar por las expectativas positivas generadas por el shock positivo inicial; no obstante, esta reducción transitoria de la liquidez repercute luego en una mayor capacidad de generación de excedentes económicos que retornan al sistema financiero como depósitos, siendo estadísticamente significativos los efectos expansivos entre los meses 10 a 17 posteriores al shock (Gráfico 6b). Los efectos en el régimen de “baja liquidez”, son mayores, debido a que la dinámica del producto tiene un efecto más fuerte sobre los depósitos del sector privado, por el reducido tamaño de las captaciones de las EIF en dicho régimen, siendo estadísticamente significativos los efectos de incremento de la liquidez desde el inicio del shock hasta el mes 17. Al igual que en la actividad extractiva, en ambos regímenes se observa que el efecto acumulado de esta variable es positivo, pero el excedente de encaje es más sensible en el régimen de “baja liquidez” (Cuadro 4 y anexo 3).
Respecto a las variables del sistema financiero que determinan la liquidez, se puede destacar lo siguiente: un shock positivo de los depósitos del público en ambos regímenes aumenta la liquidez del sistema financiero; no obstante, en el régimen de “alta liquidez” éste es más persistente, siendo los efectos estadísticamente positivos para todo el periodo de análisis (tres años). Dicho comportamiento es explicado por la orientación de la política monetaria durante el periodo de “alta liquidez”, donde las tasas de los títulos de regulación monetaria se mantuvieron en niveles bajos y en algunos casos cercanos a cero, lo cual generó que las entidades prefieran utilizar los depósitos del público para la otorgación de créditos o mantenerlos como excedente de encaje (Gráfico 6c). Asimismo, tal como señala la teoría referente a la liquidez, shocks en los depósitos generan en el efecto acumulado incrementos en el excedente de encaje en ambos regímenes; sin embargo, dichos efectos tienen mayor magnitud en el régimen de “alta liquidez” (Cuadro 4 y anexo 3).
Por su parte, un shock en los créditos al sector privado genera disminución de la liquidez en ambos regímenes, reducciones estadísticamente significativas casi para todo el periodo de análisis; no obstante, en el régimen de “baja liquidez” la caída tiene mayor magnitud. Lo anterior evidencia que las EIF tienen mayor margen para expandir el crédito sin generar episodios de estrés de liquidez en el sistema financiero en el actual régimen de “alta liquidez” (Gráfico 6d). Similar comportamiento se observa para los efectos acumulados, tal como señala la literatura de la liquidez; esta variable se contrae ante shocks positivos de los créditos, evidenciándose contracciones acumuladas de menor magnitud en el régimen de “alta liquidez” (Cuadro 4 y anexo 3).
En lo referente a las variables asociadas a la política monetaria, la tasa de encaje legal tiene un efecto diferenciado sobre la liquidez, dependiendo del régimen en que se encuentre. En el caso de un régimen de “baja liquidez”, incrementos en la tasa de encaje tienen efectos nulos sobre la liquidez del sistema financiero, debido a que las entidades cubren los nuevos requerimientos de encaje con nuevas captaciones para no afectar sus bajos niveles de excedente. Por su parte, en un régimen de “alta liquidez”, un aumento de la tasa de encaje disminuye la liquidez del sistema financiero; los efectos contractivos son estadísticamente significativos a partir del mes 11 después del shock. Lo anterior permite observar que el uso de la tasa de encaje es más eficiente en el régimen de “alta liquidez” (Gráfico 6e). Los efectos acumulados en el régimen de “alta liquidez” tienen el sentido esperado según la literatura económica, es decir, aumentos en la tasa de encaje legal producen disminuciones en la liquidez del sistema financiero; en cambio, en el régimen de “baja liquidez” los efectos acumulados son cercanos a cero (Cuadro 4 y anexo 3).
Un shock en las tasas de política monetaria en regímenes de “baja liquidez”, no necesariamente alcanza los objetivos deseados de manera inmediata, debido a que aumentos de la tasa de política monetaria se traducen en incrementos de la liquidez y posteriormente en reducciones, demostrando que el efecto de la política monetaria en este régimen es muy rezagada y casi nula (es estadísticamente no significativa para casi todos los meses posteriores al shock), lo que puede asociarse al alto grado de dolarización del sistema financiero durante la vigencia de dicho régimen. Por su parte, incrementos de la tasa de política monetaria en el régimen de “alta liquidez” contraen la liquidez del sistema financiero de forma estadísticamente significativa en los siguientes 17 meses posteriores al shock, denotando de esta manera su mayor efectividad en dicho régimen (Gráfico 6f). Finalmente, los efectos acumulados en el régimen de “alta liquidez” tienen el sentido esperado según la literatura económica, es decir, shocks positivos en las tasas de política monetaria (posición contractiva de la autoridad monetaria) disminuyen la liquidez del sistema financiero. Por otro lado, en el régimen de “baja liquidez” los efectos acumulados están próximos a cero (Cuadro 4 y anexo 3).
6. Conclusiones
El excedente de encaje del sistema financiero es la meta operativa de la política monetaria del BCB; según su comportamiento, el ente emisor decide tener una posición expansiva o contractiva. En este sentido, la comprensión de la dinámica y determinantes de dicha variable es de suma importancia.
En los últimos nueve años esta variable incrementó sus niveles de manera importante, no solo en términos nominales, sino también en relación al tamaño de la economía y del total de depósitos del público. Dicho incremento se asocia a la importante cantidad de recursos generados por la dinamización de la actividad económica desde mediados de la década pasada, la política monetaria generalmente expansiva a partir de 2009 y la gradual recomposición de los depósitos del público a favor de los depósitos a largo plazo.
Estadísticamente, las pruebas de estacionariedad de Andrews y Zivot realizadas sobre el ratio de excedente de encaje y PIB dan cuenta que esta variable sufrió un quiebre estructural después del primer trimestre de 2009. Lo anterior implica que el análisis de dicha variable debe realizarse mediante metodologías que capturen efectos no lineales. En este sentido, se utilizó un modelo TSVAR, que permite la estimación de FIR dependiendo el régimen en el cual se encuentre el sistema analizado. Cabe resaltar que los resultados de dicho modelo están en línea con los quiebres estructurales encontrados mediante las pruebas de Andrews y Zivot; al respecto, el modelo TSVAR estableció dos regímenes de liquidez: uno de “alta liquidez” para el periodo 2009-2019 y otro de “baja liquidez” para el periodo 2000-2008 (con pocos meses de excepciones).
Las FIR estimadas permiten establecer que la actividad económica extractiva tiene un efecto inicialmente negativo, para luego afectar positivamente a la liquidez. Esta dinámica se asocia a la acumulación y desacumulación de depósitos del SPNF, resultado del ingreso de recursos por la exportación de hidrocarburos, principalmente. Por su parte, los shocks en la actividad no extractiva, al estar mayoritariamente en propiedad del sector privado, generan desde un primer momento incrementos en la liquidez, aunque en el régimen de “alta liquidez” existe un lapso en el cual shocks en esta variable generan demanda de recursos del sistema financiero que permiten incrementar la capacidad de generación de excedentes, los cuales posteriormente retornan aumentando la liquidez. En los acumulados, tanto la actividad extractiva como la no extractiva generan el efecto sugerido por la teoría económica, es decir, la liquidez aumenta ante shocks de la actividad económica.
En el caso de los depósitos, éstos incrementan la liquidez; no obstante, en el régimen de “alta liquidez” su efecto es más persistente. Lo anterior se puede asociar a la orientación de la política monetaria generalmente expansiva durante dicho régimen. Respecto a los créditos, un shock en los mismos genera caídas en el excedente de encaje, las cuales tienen menor magnitud en el régimen de “alta liquidez”, evidenciando mayor espacio para políticas de expansión del crédito. En cuanto a las tasas de encaje legal y los títulos de las OMA en el régimen de “alta liquidez”, se observa que un incremento de dichas tasas genera una disminución del excedente de encaje, resultado que se encuentra en línea con lo esperado por la teoría económica; no obstante, los efectos son casi nulos en el régimen de “baja liquidez”. Este resultado denota que la política monetaria es más eficiente en escenarios de “alta liquidez”.
Con el presente trabajo de investigación se ha evidenciado que la actividad económica tiene un efecto diferenciado sobre la liquidez del sistema financiero. La actividad extractiva, más relacionada al aparato estatal, tiene un efecto contractivo sobre la liquidez, ya que inicialmente se realiza una acumulación de depósitos del sector público. La actividad no extractiva, que está en manos de las empresas privadas, incrementa inmediatamente la liquidez, ya que sus depósitos se encuentran en el sistema financiero. Por otro lado, también se ha evidenciado que la política monetaria es más eficiente en escenarios donde la liquidez es alta.
Notas
* Contacto: pcachaga@gmail.com
** Contacto: jmromerocuevas90@gmail.com
*** El contenido del presente documento es de responsabilidad de los autores y no compromete a las instituciones donde desarrollan sus actividades.
1 Basilea III define a la liquidez como los activos líquidos de alta calidad y libres de cargas, que pueden convertirse facil e inmediatamente en efectivo en los mercados privados.
2 En el presente documento se denomina liquidez del sistema financiero al excedente de encaje legal, por lo cual el uso de ambos términos es indistinto.
3 Threshold Structural VAR, TSVAR,:por su sigla en inglés.
4 En efecto, en el “Informe de política monetaria” del segundo semestre de 2009, el BCB indica que “Las políticas del BCB proveyeron la liquidez necesaria para apuntalar el dinamismo de la economía”.
5 El resto de sectores incluye: agricultura, industria, electricidad, gas y agua, construcción, comercio y transporte, comunicaciones, administración pública y otros servicios. No se incluyó a los establecimientos financieros, puesto que su dinámica se determina en parte por los depósitos y cartera del sistema financiero, variables incluidas de manera diferenciada en el modelo estimado.
6. ![]()
7 Para mayores detalles metodológicos de los modelos TSVAR, ver el anexo 2.
8 Para el ordenamiento de las variables se tomó como referencia el trabajo de Popescu (2012), en el cual, para evaluar los mecanismos de transmision de la política monetaria de Rumania, se utiliza un modelo SVAR que ordena las variables según su exogeneidad de la siguiente forma: producto, variables monetarias financieras y variables de política monetaria. A su vez, el mencionado documento sigue la línea de trabajos previos como Gerlach y Smets (1995).
9 Para la estimación de la ecuación 1 se utilizó un rezago, lo cual es consistente con las variables analizadas que se encuentran expresadas en terminos de crecimiento interanual.
10 Para 36 periodos, número de periodos aproximado en el que los efectos de las variables convergen al equilibrio.
11 Este comportamiento puede explicarse por los bajos montos de liquidez antes de 2009. Dado que la variable de respuesta en este caso es la tasa de crecimiento del excedente de encaje, pequeños movimientos en la liquidez (en comparación a los registrados después de 2009) generaban tasas interanuales de crecimiento elevadas.
Fecha de recepción: 30 de enero de 2020
Fecha de aceptación: 16 de abril de 2020
Manejado por ABCE/SEBOL/IISEC
Referencias
1. Agénor, P; Aizenman, J. y Hoffmaister A. (2004). The Credit Crunch in East Asia: What can Bank Excess Liquid Assets Tell us? Journal of International Money and Finance, 23(1), 27-49. [ Links ]
2. Anderson R. (2011). Excess reserves in Jamaican Commercial Banks: The implications for Monetary Policy. MPRA Paper Nº 43663.
3. Balke, N. (2000). Credit and Economic Activity: Credit Regimes and Nonlinear Propagation of Shocks. The Review of Economics and Statistics, 82(2), 344-349. [ Links ]
4. Balke, N. y Chang, P. (1995). Credit and Economic Activity: Shocks or Propagation Mechanism. Working Papers 9519, Federal Reserve Bank of Dallas. [ Links ]
5. Banco Central de Bolivia (2009). Informe de política monetaria, julio de 2009. [ Links ]
6. Bolivia (2009). Constitución Política del Estado, 7 de febrero de 2009. Gaceta Oficial de Bolivia. [ Links ]
7. Cernadas, L. (2013). Determinantes del exceso de liquidez: evidencia empírica para Bolivia. Revista de Análisis del Banco Central de Bolivia, 19(1), 57-102. [ Links ]
8. Deléchat C.; Henao, C.; Muthoora, P. y Vtyurina, S. (2012). The Determinants of Banks’ Liquidity Buffers in Central America. Working Paper 12/301, International Monetary Fund.
9. Diamond D. y Dybvig, P. H. (1983). Bank runs, deposit insurance and liquidity. The Journal of Political Economy, 91(3), 401-419. [ Links ]
10. Diamond, D. y Rajan, R. (2001). Liquidity risk, liquidity creation and financial fragility: A theory of banking. The Journal of Political Economy, 109(2), 287-327. [ Links ]
11. ---------- (2005). Liquidity Shortages and Banking Crises. Journal of Finance, 60(2), 615-647.
12. Gerlach, S y Smets, F. (1995). The Monetary Transmission Mechanism: Evidence From the G-7 Countries. BIS Working Papers 26, Bank for International Settlements. [ Links ]
13. Godfrey F. N; Akume D. y Nkwetta A. A. (2017). Modelling the Impact of Liquidity Trend on the Financial Performance of Commercial Banks and Economic Growth in Cameroon. International Journal of Financial Research, 8(3), 121-134. [ Links ]
14. Gray, S. (2011). Central Bank Balances and Reserve Requirements. Working Paper 11/36, International Monetary Fund. [ Links ]
15. Karkowska R. (2015). Global Liquidity Determinants Across Emerging and Advanced Countries. Journal of Banking and Financial Economics, 1(3), 152-170. [ Links ]
16. Orellana, W.; Lora, O.; Mendoza, R. y Boyan, R. (2000). La política monetaria en Bolivia y sus mecanismos de transmisión. Revista de Análisis del Banco Central de Bolivia, 3(1), 81-123. [ Links ]
17. Popescu, I. (2012). Effects of monetary policy in Romania. A VAR approach. CES Working Papers. Centre for European Studies, Alexandru Ioan Cuza University, 4(3a), 605-624.
18. Saxegaard, M. (2006). Excess Liquidity and Effectiveness of Monetary Policy: Evidence from Sub-Saharan Africa. Working Paper 06/115, International Monetary Fund. [ Links ]
19. Todd, W. F. (2013). The Problem of Excess Reserves, Then and Now. Working Paper 763, Levy Economics Institute of Bard College. [ Links ]
20. Vodová, P. (2011). Determinants of Commercial Bank’s Liquidity in Slovakia. Paper prepared for Czech Science Foundation (Project GACR P403/11/P243). Recuperado de: http://www.opf.slu.cz/kfi/icfb/proc2011/pdf/65_Vodova.pdf.
Anexos
Pruebas de estacionariedad

Metodología VAR estructural por umbrales
El paper de Balke y Chang (1995) describe con detalle la metodología empleada para la estimación de un modelo TSVAR. En síntesis, dicho documento apunta lo siguiente.
Sea el modelo:
![]()
Si ctγ fuesen conocidos, para determinar si el sistema responde de forma diferenciada al umbral de ct, bastaría con testear si A1 = A2 y B1 = B2. No obstante, para dejar que los datos determinen ct como γ se realizan estimaciones de combinaciones de estas variables y luego se testea la hipótesis nula de no existencia de diferentes regímenes. Para tal efecto se utilizan tres estadísticos: sup-wald, avg-wald y exp-wald, cuyas distribuciones se estiman empleando metodologías de simulación. La variable y valor de umbral son estimadas de tal forma que minimicen log
, es decir, la sumatoria de los residuos del TSVAR.
La FIR de los modelos TSVAR puede expresarse de la siguiente forma:
![]()
Donde Ωt - 1 es el set de información hasta el periodo t - 1 y ut es una realización de un shock exógeno. Dado que el modelo es no lineal, resulta determinante la naturaleza de las condiciones iniciales Ωt - 1; en el paper de Balke y Chang (1995) se explica que dichas condiciones son establecidas mediante simulaciones aleatorias del modelo, a través de 500 replicaciones para cada régimen. Las FIR por régimen se estiman mediante el promedio de las FIR para cada periodo resultante de las simulaciones realizadas.
FIR acumuladas de la liquidez a shocks positivos en sus determinantes



























