Servicios Personalizados
Revista
Articulo
Indicadores
-
Citado por SciELO -
Accesos
Links relacionados
-
Similares en
SciELO
Compartir
Revista Latinoamericana de Desarrollo Económico
versión On-line ISSN 2074-4706
rlde no.33 La Paz 2020
Modelo de riesgo competitivo en los "Senior Workers": evidencia del mercado laboral chileno
Competing Risk Model in "Senior Workers": Evidence of the Chilean Labor Market
Carolina Vera Rivera *
Resumen
La composición etaria del mercado laboral ha cambiado en las últimas décadas, generando un aumento significativo en los trabajadores mayores de 50 años. En este documento se analizan los patrones dentro del mercado laboral de los trabajadores que se encuentran cerca o en la edad de jubilación, denominados "Senior Workers", ante la presencia de un shock exógeno de destrucción de empleo. Se genera un aporte a la literatura existente para identificar las características de la reinserción laboral hacia distintos vectores de salida de este conjunto de la población. Se utilizaron datos de la Encuesta de Protección Social de los años 2004-2015 de Chile para aplicar el Modelo de Riesgo Competitivo, y se encontró que los desempleados senior tienen menor probabilidad de encontrar un empleo formal que los trabajadores menores de 50 años, y que esto se agudiza a medida que se acercan a los 60-80 años. Se analizaron brechas de género, edad y se realizaron comparaciones con otros modelos de duración.
Palabras clave: Trabajadores senior; modelo de riesgo competitivo; mercado laboral; shock exógeno.
Abstract
The age composition of the labor market has changed in recent decades, generating a significant increase in workers over 50 years. This document analyzes the patterns within the labor market of workers who are close to or at retirement age, called "Senior Workers" in the presence of an exogenous shock of job destruction. It generates a contribution to existing literature to identify the characteristics of the labor reintegration towards different exit vectors of this group of the population. Data from the 2004-2015 Social Protection Survey of Chile were used to apply the Competitive Risk Model and it was found that senior unemployed people are less likely to find a formal job than workers under 50 years of age and that this is exacerbated as they approach 60-80 years. Gender and age gaps were analyzed, and comparisons were made with other duration models.
Keywords: Senior workers; Competing Risk Models; Labor markets; Exogenous Shock.
Clasificación/Classification JEL: J14, J64, J65, J23.
1. Introducción
En las últimas décadas se ha observado que la esperanza de vida de las sociedades se ha incrementado en general, y que la etapa de envejecimiento es más larga (OECD, 2015). Debido a esto, se han generado cambios significativos en el tamaño y composición de la fuerza laboral (García-Pérez y Sánchez Martín, 2013). La composición de la fuerza laboral se ha duplicado en las últimas dos décadas, por ejemplo, en la Unión Europea, del 25.4% al 53.5% (Coy, 2014), mientras que en Latinoamérica también se ha observado un incremento de la fuerza laboral "Senior" en 21.6 puntos porcentuales (Ramírez, 2018). Estos cambios demográficos en los mercados laborales hacen que sea atractivo estudiar las características del empleo y desempleo en los trabajadores que se encuentran cerca de la tercera edad. La principal contribución de este documento es ilustrar patrones de la duración de desempleo hacia múltiples transiciones en los trabajadores de la tercera edad en Chile. Para mostrar esto, se considera un shock exógeno de destrucción de empleo que permita situar a los individuos en el desempleo y estudiar por medio de un Modelo de Riesgo Competitivo las duraciones promedio de desempleo y la calidad de empleo. Los resultados pueden ser comparables con otros grupos etarios para explicar si existen diferencias significativas.
El trabajo contribuye a la literatura existente de tres maneras. Primero, explora la oferta de trabajo de los "Senior Workers", tanto para empleados como para desempleados. En la opinión de la autora, los aportes a la literatura han sido pocos, a pesar de que la fuerza laboral senior realiza una contribución significativa al mercado de trabajo. En segundo lugar, modela cuidadosamente un escenario donde los individuos cuentan con diversas posibilidades para salir del desempleo mediante modelos de duración multivariados, todo en un marco de un shock exógeno que permite obtener patrones de salida de desempleo en este grupo etario. Finalmente, considera explícitamente los datos de múltiples tramos e incluye la heterogeneidad no observada en modelos de duración, lo que permite un mayor realismo en cuanto a las opciones de los individuos.
Las decisiones de empleo formal (informal), retiro y jubilación son complejas y multifacéticas porque están influenciadas por la familia, ingresos alternativos, estado de salud, entre otros (Vigtel, 2018). En comparación con los trabajadores de la edad principal, los trabajadores de mayor edad enfrentan un camino más fácil para salir de la fuerza laboral si pierden sus empleos durante una recesión. La jubilación es una de las decisiones financieras más importantes que se toman durante la vida, ya que generalmente marca el final del ingreso laboral y el comienzo de la reducción de los recursos de jubilación acumulados a lo largo de la carrera del trabajador (Blake y Sangnier, 2011). De este modo, las salidas de trabajo prematuras o las pérdidas de ingresos en los años previos a la jubilación pueden ser particularmente devastadoras para los ahorros de ésta (Friedbergy Webb, 2005).
El documento está organizado como sigue: en la sección 2 se presenta la revisión de la literatura; la sección 3 detalla los antecedentes en el mercado laboral chileno y sus principales características; la sección 4 describe el Modelo de Riesgo Competitivo; la sección 5 muestra los datos utilizados en las estimaciones y el procedimiento seguido para obtener la muestra; la sección 6 presenta el método de estimación, y discute tanto la estrategia de identificación como los resultados de las estimaciones; finalmente, en la sección 7 se encuentran las conclusiones y su implicación para los hacedores de política.
2. Revisión de literatura
Existe una vasta literatura que estudia los determinantes del mercado laboral en sus distintos niveles etarios; particularmente, en estos últimos años se ha hecho énfasis en estudiar a los trabajadores adultos mayores. Dentro del estudio de la fuerza laboral "Senior", se han observado determinantes como las pensiones, la jubilación, las condiciones o la discriminación laboral, entre otros (Adams, 2004; Coy, 2014; Vigtel, 2018; Coile y Levine, 2007). Denton y Spencer (2009) y Aghion, Algan y Cahuc (2011) estudian los cambios en el mercado laboral en adultos mayores y cómo estos se ven afectados en varios posibles estados; si los adultos mayores tuvieran beneficios sociales que cubran una situación económica promedio, tendrían una baja presencia en la fuerza laboral. Matsukura, Shimizutani, Mitsuyama, Lee y Naohiro (2017) examinaron si el uso de la capacidad de trabajo proporcionada por personas mayores podría afectar el bienestar de colegas en otros grupos de edad. Los resultados son insignificantes, de modo que es improbable que la utilización de la capacidad de trabajo potencial de las personas mayores represente una amenaza grave para las oportunidades de empleo de sus jóvenes homólogos en Japón. Por otra parte, los adultos mayores permanecen en el mercado laboral porque la esperanza de vida se ha incrementado, y con esto, la calidad de salud en años posteriores (Fetter y Lockwood, 2018).
En un enfoque dinámico, Blau y Gilleskie (2006) investigaron hasta qué punto los cambios en las normas de seguridad social explican los cambios en la participación de las personas mayores en la fuerza laboral. Li (2018) desarrolla un modelo de ciclo de vida que incorpora el seguro por discapacidad (DI) para estudiarlas reformas de la seguridad social, y encuentra que el aumento de la edad de jubilación causa una disminución en el empleo, y a su vez genera para el Gobierno costos compensados por el seguro de vejez. Liebman, Luttmer y Seif (2009) también examinaron la respuesta de la oferta de trabajo a los beneficios de la seguridad social de Estados Unidos. El efecto de las condiciones del mercado laboral sobre la jubilación es una rama relativamente nueva de la literatura. Chan y Stevens (2001) encuentran que los trabajadores mayores de Estados Unidos que experimentan una pérdida de empleo tienen 20% menos de probabilidad de ser empleados cuatro años después de la pérdida del empleo que otros trabajadores similares no desplazados.
Este trabajo amplía la literatura en varias dimensiones. García-Pérez y Sánchez Martín (2013) prestan especial atención a la transición del desempleo a la jubilación por medio de un modelo de riesgo competitivo. Encuentran que, cuando están adecuadamente definidos, los incentivos económicos tienen un fuerte impacto en las decisiones del mercado laboral. En el presente documento se modelan los patrones que caracterizan estas transiciones a partir del desempleo, hacia el empleo formal, informal y/o la inactividad (que normalmente está caracterizada por la presencia de la jubilación). La metodología empleada implica un análisis econométrico de forma reducida, en el cual principalmente se estudia la duración de eventos de desempleo y retiro (Gruber y Wise, 2004; Casey, Oxley, Whitehouse, Antoln, Duval y Leibfritz, 2003). Boockmann Fries y Göbel (2011) estudian la relación entre políticas enfocadas a empleados mayores y la duración del trabajo. Utilizando datos longitudinales alemanes, encuentran una relación positiva entre el trabajo en equipo intergeneracional y la duración del trabajo. Dichas políticas tienen un resultado no significativo en la retención laboral.
Según la literatura, un largo período de desempleo puede reducir la posibilidad de que, al acercarse a la edad de jubilación, los individuos puedan encontrar un trabajo (Hairault, Langot y Sopraseuth, 2010; Black y Liang, 2005; Belloni y Alessie, 2009). Blau y Gilleskie (2006) mostraron que la elección de jubilación de las personas mayores también depende de las rigideces de las tecnologías. Estos estudios generalmente encuentran que los cambios en los beneficios de jubilación pueden tener un efecto significativo en el momento de la jubilación (Blake y Sangnier, 2011; Benítez-Silva y Ni, 2010). Finalmente, los modelos de equilibrio general calibrados han demostrado la efectividad de los incentivos financieros en las decisiones de jubilación (Hairault, Langot y Sopraseuth, 2010). Un análisis teórico del comportamiento de los desempleados se puede encontrar en García-Pérez y Sánchez Martín (2012). En contraste, hay pocos trabajos sobre cómo el aumento de la edad de jubilación afecta la participación de la fuerza laboral (KruegeryPischke, 1992).
Staubli y Zweimuller (2012) encuentran que el aumento de la edad de jubilación conduce a un incremento considerable en la participación laboral de los trabajadores de mayor edad. Por otro lado, Mealli y Pudney (1996) consideran que la edad de ingreso a la inactividad no está únicamente relacionada con la edad impuesta para la jubilación, sino también con decisiones relacionadas con el mercado laboral, como el tiempo de búsqueda de empleo o la duración de desempleo, entre otros. Asimismo, Chan y Stevens (2001) estudiaron el mercado laboral destacando hasta qué punto la pérdida involuntaria de empleo entre los trabajadores de más edad estimula la jubilación anticipada. Ellos demuestran que la probabilidad de encontrar empleo después del desplazamiento disminuye abruptamente con la edad. Hallazgos parecidos se encuentran en Coile y Levine (2011b) y Callaway (2015), quienes muestran que la pérdida de empleo de los trabajadores mayores se asocia con una menor acumulación de riqueza posterior. Se considera que la predisposición a trabajar a pesar de estar en la edad de retiro ha aumentado en los últimos años, y que esto puede deberse a que la jubilación no es suficiente para el costo de vida o que existe una utilidad en la decisión de continuar trabajando (Neumark, Burn y Button, 2015).
La estimación formal de los modelos econométricos, incluidas las variables de incentivo como regresores clave, están bien ilustradas en Börsch-Supan (2000) y Belloni y Alessie (2009). En lugar de tratar el desempleo cercano a la edad de jubilación como un resultado binario, se consideran varias transiciones posibles: ir a un trabajo formal, obtener un nuevo trabajo que implique trabajo a tiempo parcial o trabajo por cuenta propia; o dejar el trabajo por completo. Una variable de extracción binaria no encaja bien con el proceso de retiro multifacético (Casey et al, 2003; Gruber y Wise, 2004; Liebman, Luttmer y Seif, 2009). Algunos trabajadores se jubilan abruptamente y otros se retiran gradualmente cuando reducen las horas de trabajo; a menudo estos cambios se deben a las características del mercado laboral o a las políticas de seguridad social que se enmarcan en cada país (Morrison y Villagrán, 2014). Makarski y Tyrowicz (2017) desarrollan un modelo para analizar los efectos en el bienestar que tiene la elevación de la edad de jubilación. Encuentran que, si la cantidad de trabajo de por vida es óptima, extender la edad de jubilación obligará a los hogares a permanecer más tiempo en el mercado laboral, pero se adaptarán a los cambios deteriorantes del bienestar al reducir la cantidad de trabajo suministrado en cada año laboral (Duval, 2003).
3. Situación actual del mercado laboral de los "Senior Workers" en Chile
Para hacer frente al envejecimiento de sus poblaciones, los gobiernos de los países desarrollados reformaron sus sistemas de jubilación durante las últimas dos décadas, desalentando la jubilación anticipada e incrementando los incentivos a trabajar para los trabajadores de mayor edad (Blake y Sangnier, 2011). Los altos índices de participación en la fuerza laboral no solo difieren en forma sorprendente de un país a otro, sino que también varían en su reacción a los incentivos de jubilación establecidos por los gobiernos (Aghion, Algan y Cahuc, 2011).
En el siguiente gráfico se tiene un análisis a nivel demográfico del cambio etario en los últimos 40 años, un fenómeno que muestra el envejecimiento de la edad promedio de la población en Chile. Este fenómeno suele ser consecuencia de una baja natalidad, producida por la contención de la fecundidad propia de los países desarrollados, sumada al crecimiento de la población de la tercera edad, proceso que en dichas sociedades se ve consolidado por las aplicaciones de las mejoras en asistencias sanitarias y servicios sociales, que permiten una mayor supervivencia de las personas mayores (Morrison y Villagrán, 2014).
Marcel y Naudon (2016) argumentan que el cambio demográfico en el mercado laboral en Chile explica el comportamiento más atípico del desempleo en los últimos tiempos, cuantificando el tamaño de este efecto. Ramírez (2018) tiene en cuenta los efectos de equilibrio generados por el envejecimiento del mercado laboral en desempleo. Este último brinda una respuesta cualitativa para explicar la menor relación entre desempleo y producto que ocurrió en Chile durante los últimos años. En el siguiente gráfico se observa que los adultos mayores de 45 años llegan a componer entre 27%, en 1990, y 45%, en 2017, de la totalidad de la fuerza laboral. De acuerdo con la CEPAL, la tasa de participación económica (definida como el porcentaje de la fuerza de trabajo en relación con la población en edad de trabajar) para el tramo etario de 60 años o más, en promedio para América Latina, en el año 2016 fue de 38.5%.
Al año 2017, existían 15 millones de personas en edad de trabajar (PET) en Chile (Ramírez, 2018). Los adultos mayores representaban el 22% del total de PET; esto es, alrededor 3.3 millones de personas. Del total, casi un tercio eran adultos mayores que estaban en la fuerza de trabajo, con una tasa de desocupación del adulto mayor de 2.5% (casi 913 mil ocupados). Como lo muestran Albagli y Barrero (2015), la composición por edad de la fuerza laboral ha cambiado considerablemente. En particular, la importancia relativa de los trabajadores entre 15 y 24 años ha disminuido en casi el 20%, mientras que la importancia de los mayores de 50 años aumentó en un 20.3% a 34.3%, en los últimos 30 años (Marcel y Naudon, 2016). Dado que la tasa de desempleo de los más jóvenes es generalmente más alta que la de los ancianos, este cambio en la composición podría explicar una disminución en la tasa de desempleo a largo plazo (Ramírez, 2018).
A nivel nacional, según Martínez y Vergara (2018), el sector del comercio destaca como el principal ámbito de ocupación tanto adulto mayor como total. Esto puede brindar alguna pista sobre el deterioro de calidad de los empleos a los cuales pueden acceder los adultos mayores. En esta línea, según la Encuesta de Protección Social, un 26% de los trabajadores activos mayores de 65 años se encuentran en el empleo informal. Al distinguir por género, varios autores encuentran que, en el sector informal, las mujeres presentan una concentración más fuerte que los hombres. En el modelo de riesgo competitivo, la presencia de patrones en donde predominan mujeres senior trabajando en el sector informal puede dar una guía sobre los posibles resultados en cuanto a la probabilidad de que encuentren trabajo formal y la diferencia a nivel de género.
Las transiciones laborales de los trabajadores senior son el resultado de un conjunto complejo de elecciones tomadas por individuos y, en menor medida, por corporaciones. Es necesario explorar los determinantes básicos de las decisiones de los trabajadores desempleados y empleados con respecto a la jubilación. Desde 1980 se instalaron los sistemas de administración de fondos de pensiones en Chile, lo que permitió que los empleados formales recaudarán un monto de sus salarios para ahorrarlo con vistas al futuro retiro e inactividad, es decir, la jubilación. Según datos de la Subsecretaría de Previsión Social, el número de pensionados hasta agosto de 2018 alcanzaba a 720.223, y estaba compuesto por casi el 70% de mujeres, mientras que el 31.5% eran hombres. Por otro lado, se observa que, si bien el promedio de jubilación mensual alcanza los 220.976 pesos chilenos, la brecha de jubilación entre hombres y mujeres llega a casi 100.000 pesos (por ejemplo, una mujer gana en promedio US$ 192.042 y un hombre US$ 284.075).
Dentro de los patrones de transición del mercado laboral, si bien la jubilación puede tener un efecto sobre la decisión de continuar trabajando o de acceder al retiro, también las condiciones del mercado laboral para los trabajadores mayores pueden tener impactos sobre la calidad de empleo y la duración del desempleo, entre otros. De acuerdo con la Superintendencia de Pensiones (SP), las mujeres que en 2016 tengan 60 años vivirán hasta los 90.3 años; esto es, 1,2 años más que lo que se estimaba previamente, y en el caso de los hombres que cumplan 65, se estima una longevidad de 85.2 años, siete meses más en relación con la estimación previa, repercutiendo directamente en el monto de la pensión a recibir (Martínez y Vergara, 2018). El aumento dela esperanza de vida tiene un efecto sobre el recálculo de las pensiones, ya que, si el sistema no puede recalcular dinámicamente, éstas no podrán ser suficientes para que cubran las necesidades básicas, lo cual es un incentivo financiero importante para que los "Senior workers" permanezcan en el mercado laboral a pesar de haber llegado a la edad de jubilación (García-Pérez y Sánchez Martín, 2017).
4. Descripción del Modelo de Riesgo Competitivo
En la mayoría de los ejemplos prácticos, un spell o tramo puede terminar en más de un estado alternativo; por ejemplo, la tasa de desempleo de un individuo puede terminar en varios tipos de trabajo o abandonando la fuerza laboral (Mealli y Pudney, 1996). En este documento se considera que las transiciones de desempleo podrían deberse al cambio a uno de los dos posibles estados de empleo (formal - uef, informal - uei) o a salir de la fuerza laboral y pasar a la inactividad. Para un único tramo, el modelo especifica la distribución conjunta de dos variables: la duración del tramo,, que se supone que es una variable discreta temporal, y la ruta de salida, r, que es una variable entera que toma valores en el conjunto {1, 2,.., m}, si hay rutas posibles.
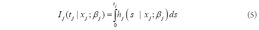
El Modelo de Riesgo Competitivo permite explicar de manera directa la multiplicidad de estados. En este sentido, se supone que existe una duración latente, si existe, para cada ruta de salida posible (o riesgo), j, por la cual el episodio puede terminar; tj (j = 1,..., m) se interpreta como el tiempo de espera que transcurriría antes de que finalice la transición a través de la ruta de salidaj, en ausencia de cualquier otro riesgo que pudiera terminar el tramo antes de ese tiempo. La duración observada, δ, es el mínimo de la t, ya que el primer evento de finalización es el que determina la duración:

![]()
Como primer supuesto, los riesgos son independientes. Se puede caracterizar la distribución de tj en términos de su función de riesgo acumulado, hj interpretada, en ausencia de cualquier otra ruta posible, como la probabilidad instantánea de terminar el episodio, condicional al evento de que no se haya producido la salida.
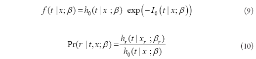
La duración del evento del Modelo de Riesgo Competitivo es condicional en un vector de covariables xj y parámetros βj la función de densidad de probabilidad (pdf) y la función de distribución acumulada (cdf). Para la duración latente se pueden expresar como sigue:

donde Ij es el riesgo integrado para el riesgo j:

La distribución conjunta de la duración y la ruta de salida, r, es entonces:

donde X = (x1,x2,...,Xm), β = (β1,...,βm) y I0 =ΣIj es el hazard integrado agregado. Para un spell incompleto, donde solo se observa una duración censurada, T, la función de sobreviviente es:
![]()
La función de densidad marginal de la duración y la probabilidad condicional de la ruta de salida se pueden derivar al dividir la distribución conjunta:

Donde: h0 = Σhj
El principal interés es estimar la distribución del tiempo de permanencia t en un estado particular del mercado laboral. Si se sigue a una cohorte de individuos heterogéneos, se puede estimar la tasa de riesgo de dejar el estado y relacionarla con las características observadas de los individuos (Van den Berg, 2001). Las características observadas están dadas por un vector de regresores x, y las características no observadas están resumidas en una variable aleatoria escalar v, con x y v independientes. Se supone que la tasa de riesgo es del tipo de riesgo proporcional mixto (MPH).
Esta heterogeneidad está representada por un m-vector de términos de perturbación v = (v,..., vm) con cdf Gv(.;ψ), donde ψ es un conjunto adicional de parámetros que definen la heterogeneidad de la distribución. Usando una forma de multiplicación convencional, la función de riesgo ahora se escribe en forma condicional h*j(tj|xj,vj;βj) = hj(tj|xj;βj)vj y se obtiene la función de densidad / probabilidad incondicional de δ y Γ integrando el vector v:

donde Rv es el soporte de v. En el enfoque paramétrico convencional de la estimación, se buscaría alguna forma funcional conveniente para Gv para obtener una expresión de forma cerrada para la última función. Alternativamente, se puede usar la cuadratura numérica o algoritmos computacionales basados en simulación.
4.1. Modelando múltiples "tramos" o transiciones
Para especificar un modelo más completo del proceso estocástico, las historias del mercado laboral, un supuesto común es que las duraciones de un individuo son independientes en todos los períodos (Van den Berg, 2001). Esto implica que los términos no observables de heterogeneidad no están autocorrelacionados. Incluso con tal suposición, el modelo permanece complicado. Un problema con m estados requiere en general la especificación de funciones de hazard o riesgo entre m(m - 1) y m2. Uno para cada par de posibles orígenes/ destinos. Esto se reduce a un conjunto de funciones de riesgo específicas del destino.
En principio, esto no implica una pérdida de generalidad, ya que se puede definir el vector xj para que sea específico al estado de origen al incluir dummies que interactúan con las demás variables explicativas. Se puede considerar una secuencia de N spells completos, n = 1,. . . ,N, cada uno caracterizado por una duración δ, el índice rk del estado en el que se gasta el tramo y el índice rk-1 del estado en el que termina el episodio. Si los episodios sucesivos solo pueden ser de diferentes tipos, entonces, dentro de cada transición n, la duración y la ruta de salida pueden ser modeladas por una estructura de riesgo en competencia, con el resto.
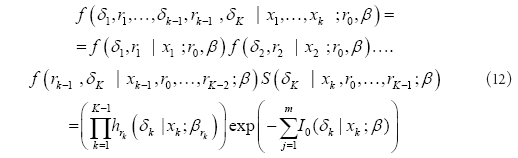
Considérese un proceso de muestreo donde la observación empiece al comienzo de un spell y luego continúe durante un período de observación exógenamente fijo. La realización resultante consistirá en un estado inicial r0, seguido de una secuencia de tramos completos para los que se observa (δk, rk), k = 1,... ,K - 1,yluego un último tramo incompleto, que produce solo una duración censurada de δK. Si no hay heterogeneidad se puede escribir:

donde xk es el vector de covariables (en todas las funciones de peligro m) para el tramo k. Téngase en cuenta que xk puede variar entre los tramos y puede incluir duraciones y estados retrasados.
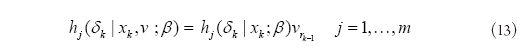
Si ahora se introducen términos de heterogeneidad, la estructura bastante simple se vuelve más complicada. Considérese, por ejemplo, un caso donde los términos de heterogeneidad se fijan a lo largo del tiempo. En este ejemplo, están especificados para volver a escalar uniformemente los hazards o riesgos para cada ruta de salida por un factor específico al estado de origen.
Por lo tanto, para cualquier individuo, todas las duraciones pasadas en un estado particular se transforman de la misma manera, pero los diferentes estados se ven afectados de diversas maneras. Para esta especificación, las tasas de riesgo subyacentes para el tramo k-avo son:
![]()
y la distribución de la muestra resultante es:

Muchas otras estructuras son posibles, y los resultados reportados a continuación corresponden a un modelo con términos adicionales de heterogeneidad específicos de la ruta de salida.
La interpretación de este tipo de modelos de riesgo competitivo se diferencia del modelo de duración simple en que se analiza la duración de desempleo de los individuos creando un escenario donde los mismos tienen más opciones hacia las posibles salidas del desempleo. Cuando se observan las bases de datos, se sabe en qué momento se encuentra en el desempleo y hacia qué tipo de trabajo sale en un siguiente periodo. En ese sentido, los modelos de duración simples (por ejemplo, Cox), sólo analizan esa salida efectiva a un empleo. Una de las fortalezas de esta investigación es aprovechar esta distribución conjunta de eventos para brindar la posibilidad de que el individuo tenga opciones de salida, lo cual se asemeja más a la realidad de los mercados laborales. La distribución conjunta permite agregar eventos que "compiten" y son mutuamente excluyentes, porque sólo uno llega a darse en el periodo en el que el individuo consigue un empleo.
5. Base de datos y estadísticas descriptivas
Para estimar el modelo, se utilizó microdata del mercado laboral chileno, particularmente, la Encuesta Longitudinal de Protección Social (EPS) de la Subsecretaría de Previsión Social. Dicha encuesta considera a adultos mayores de 18 años que son consultados en diferentes olas en los años 2002, 2004, 2006, 2009, 2012 y 2015. A partir de las consultas, se construye un panel de historias laborales que permite identificar eventos de cada individuo, como la situación en el mercado laboral, horas trabajadas y salarios líquidos mensuales, entre otros. Lo que permite que la encuesta sea ampliamente utilizada es su condición longitudinal. Además, la base de datos genera información sobre las transiciones del desempleo al empleo, sea éste de tipo formal o informal. Asimismo, existe una transición del estado del desempleo a la inactividad, lo que puede resultar muy común en los Senior Workers. Esto es importante para la estrategia de identificación utilizada en la siguiente sección.
La estimación del Modelo de Riesgo Competitivo (CRM) considera las encuestas del año 2004 en adelante, para reducir los periodos de censura desde el lado izquierdo y permitir que se obtenga más poder de tamaño de muestra al aumentar observaciones. Se considera como muestra de interés a los hombres y mujeres de 50 años en adelante, la que también se contrastará con la composición etaria de la fuerza laboral menor a 50 años. Estas observaciones participan activamente del mercado laboral y están sujetas a un shock exógeno de destrucción de empleo. Dentro del shock de desempleo se encuentran los individuos que llegaron a este estado porque se cerró la fábrica donde trabajaban y los que tuvieron un final de contrato, a pesar de contar con un contrato permanente. También se encuentran los individuos que terminaron su relación laboral por fuerza mayor o por otras razones. Estos shocks son exógenos, ya que no están controlados por decisiones endógenas de los jefes o superiores ni de parte de los trabajadores. En las encuestas inicialmente se contaba con 57.455 observaciones, las que se redujeron a 1.836, que son los individuos que se encuentran en el estado de desempleo debido al shock exógeno. Por lo tanto, siguiendo la literatura, se construyó una muestra transversal compuesta por todos los estados del mercado laboral (períodos de desempleo y empleo) de todos los años seleccionados.
Para el Modelo de Riesgo Competitivo, se definió una variable que genere los vectores de salida del desempleo: que el individuo encuentre un empleo, que el individuo pase al sector informal (trabajo por cuenta propia) o que se convierta en inactivo (que puede darse en los casos de retiro o jubilación). Finalmente, los individuos que carecían de información sobre salarios, horas trabajadas o fechas de eventos, fueron eliminados de la muestra. Además, el programa utilizado censura por las características del modelo, llegando a 1.720 observaciones.
El Modelo de Riesgo Competitivo permite la conjugación de varios tramos o transiciones, siendo estos competitivos y excluyentes. De este modo, el estado de desempleo se caracteriza solo por las personas que buscan trabajo, porque el modelo no tiene datos sobre las decisiones de participación. La construcción de historias del mercado laboral durante un largo período de tiempo permite controlar factores que varían, como los efectos del ciclo económico, la edad o el estado civil, que pueden afectar el comportamiento del mercado laboral.
5.1. Estadísticas descriptivas
La muestra incluye la carrera laboral completa (desde la edad de 50 años en adelante) para 1.720 individuos que fueron entrevistados en la Encuesta de Protección Social de Chile durante el período 2004-2015. Cada trabajador puede tener períodos de empleo y desempleo. La primera diferencia importante surge al comparar estos trabajadores en la muestra, es decir, cuando tienen 50 años al sufrir el shock que genera que el individuo ingrese al desempleo exógenamente y que efectivamente tienen una salida al empleo formal, informal o a la inactividad.
En ese evento, el trabajador "senior", en promedio, tiene una duración de desempleo de 13.3 meses. Aquellos que trabajaban lo hacían en promedio 42.87 horas a la semana y contaban con ingresos reales de SU$ 4.71 la hora. En general, esta muestra tiene un nivel de calificación bajo a medio en promedio, como se ve en el cuadro 1 (el 29% no cuenta con educación básica; el 39% tiene educación básica completa; el 26%, educación secundaria completa; y sólo el 4% cuenta con educación universitaria). Los trabajadores que están casados o son convivientes son 64% y los solteros/viudos son un 36%, y en promedio tienen 2 hijos. Los que reciben jubilación en la edad legal son un 60.68%, y 57% efectivamente cotiza en las AFPs.
En cuanto al shock exógeno, dentro de la variable de término laboral, se escogieron los motivos que evitan que el ingreso al desempleo sea resultado de alguna decisión de los empleadores o empleados. Por eso se escogieron tres razones. Una es el "cierre de empresa o fábrica", que provoca que los empleadores se vean en la obligación de despedir a todos los trabajadores, pero por causas que no están relacionadas con características del empleado (endógenas) y componen el 13% del total. Otra causa es el "vencimiento de contrato (con contrato permanente)", que son situaciones en las que, si bien un empleado tiene un contrato permanente, éste se le termina sin ninguna razón atribuible al trabajador ni al empleador (17%). Por último, se encuentra el motivo "fuerza mayor, caso fortuito u otras" que compone el 70% restante de la distribución.
En este sentido, según el diseño de la encuesta, esta variable podría ser exógena ya que no está sujeta a variables de despido justificado o decisiones del empleador como para contener algún posible sesgo endógeno que se pueda atribuir a características de la población estudiada. Si bien este motivo representa a gran parte de la submuestra que se seleccionó, sólo corresponde al 6% del total de los posibles motivos de finalización de relación laboral.
6. Estimación del modelo y resultados
El principal objetivo es estudiar la tasa de riesgo de desempleo hacia el empleo formal/informal o la inactividad de todos los trabajadores en la muestra. Dado que los datos se miden en términos mensuales, es natural utilizar un modelo de duración discreta, donde la tasa de riesgo viene dada por la siguiente probabilidad condicional:
![]()
y T es una variable aleatoria discreta que denota la duración del desempleo. Siguiendo a García-Pérez y Sánchez Martín (2017), la tasa de riesgo se parametriza de la siguiente manera:
![]()
Los tres destinos posibles al abandonar el desempleo (empleo formal, uef empleo informal, uei o inactividad, ui) y k es un contador de destinos cuando el trabajador abandona el empleo; x(t) denota el vector de variables explicativas, algunas de las cuales varían con la duración del tramo, β1j son los coeficientes de los factores explicativos, que también pueden depender de la duración, y los riesgos β0j (t) son los riesgos de referencia. Finalmente, se incluye un componente adicional en cada una de las tasas de riesgo para capturar la heterogeneidad no observada. Como se está considerando un marco de riesgo competitivo, la salida de un estado dado se especifica como:
![]()
Sin embargo, una interpretación causal de estos patrones empíricos no está justificada. La heterogeneidad no observada muestra características individuales que también pueden resultar en una tasa de hazard de pendiente descendente. En general, el modelo necesita controlar la heterogeneidad no observada en el proceso de estimación y, en consecuencia, racionalizar la inclusión de ρj en la especificación del modelo. Además, se tiene en cuenta que es probable que estos factores relevantes estén correlacionados entre los períodos de desempleo de la misma persona (Heckman y Singer, 1985).
Según estos supuestos, los períodos de desempleo no se pueden tratar por separado al estimar el modelo. Por lo tanto, se debe especificar la función de probabilidad para todos los tramos e integrarlos efectos aleatorios (Lancaster, 1990). Como es habitual en los modelos de este tipo, y dado que se están analizando trabajadores de mayor edad, el período inicial observado corresponde a la fecha de entrada al desempleo. Por lo tanto, se tiene que considerar el problema de las condiciones iniciales. Para esto, se especifica la distribución conjunta de probabilidad de todos los resultados, incluido el período de tiempo inicial, condicional a la heterogeneidad no observada (características de cada individuo, incentivos económicos, entre otras). Se analiza el patrón o tiempo de desempleo hasta llegar a un empleo formal, condicional a que el individuo tiene las opciones de conseguir un empleo informal o se puede retirar (inactividad).
Esta metodología se trabajó utilizando el software de Stata con un modelo de máxima verosimilitud, porque permite definir las condiciones iniciales. Esto es sensato, dado que éstas consideran la probabilidad de que el trabajador esté desempleado al comienzo del período observado. El modelado en el software permite calcular los subhazard a nivel acumulado y analizar los distintos eventos que compiten, permitiendo una comparación con regresiones de supervivencia Cox, como también una modelación entre mayores y menores de 50 años.
Las variables de control seleccionadas son género, estado civil (igual a 1 en los individuos que cuentan con pareja, ya sea casado, unión libre u otro; y 0 en otro caso), dummies de edad, divididas en tres subgrupos: 50-59, 60-69 y 70-80 años (por ejemplo, a50 = 1 si está entre los 50 a 59 años, 0 en otro caso.), dummies educativas (educación básica, secundaria, técnica y superior) y dummies anuales de los años de la encuesta para capturar alguna información a nivel de ciclos (año 2006= 1; 0 en otro caso; al igual que en 2009, 2012 y 2015). Sin embargo, es importante recalcar que no se cuenta con variables de años de experiencia laboral o educación, porque la encuesta longitudinal no toma en cuenta estas variables, ya que se enfoca en analizar las historias laborales y la presencia de seguridad social en cada caso.
6.1. Resultados
Esta sección revisa los resultados de la estimación de máxima verosimilitud del modelo descrito anteriormente, utilizando la muestra de trabajadores entre 50 y 90 años. El principal interés radica en las transiciones observadas después del shock, es decir, una vez que el trabajador se encuentra en el desempleo. Por lo tanto, los resultados de las transiciones entre el desempleo y el momento de encontrar un nuevo empleo, junto con la estimación de las condiciones iniciales, se limitan a los cuadros A-1, A-2 y A-3 presentados en los anexos.
Se comienza por revisar algunas implicaciones clave de las salidas que van compitiendo a lo largo del modelo. En el cuadro A-1 se encuentran las regresiones del modelo de riesgo competitivo. En la primera columna se muestra el evento de salida principal, que en este caso es el empleo formal, compitiendo con que el trabajador consiga empleo informal. En la segunda columna se observa la regresión en la submuestra, en este caso, de la decisión de inactividad, compitiendo con el empleo formal. Por último, en la tercera regresión se presentan los dos eventos compitiendo con el empleo formal.
En primer lugar, existen variables que son sistemáticamente significativas en las tres regresiones y que poseen el mismo signo en sus efectos marginales en la media. La variable género, por ejemplo, muestra que los hombres tienen un 45% de probabilidad mayor de salir del desempleo que las mujeres, en la tercera columna del cuadro A-1, ya que en esta se encuentra un CRM más complejo. Esto puede deberse a que, al brindar eventos competitivos como la inactividad y el empleo informal, las mujeres senior tienen una tendencia mayor a pasar al mercado laboral informal o directamente a la inactividad, ya que las condiciones laborales a nivel formal no son tan favorables.
En cuanto a las dummies de edad de 60-70-80 años, cuando comienza el evento del shock exógeno se observa que presentan una disminución de la probabilidad; esto comienza a los 60 años, ya que existe una reducción de 50% de salir al desempleo formal, a diferencia de los trabajadores de 50 años. Sin embargo, cuando llegan a 70 años o más, la probabilidad de desempleo llega a cero. Esto puede deberse a que el grupo etario se dirige a la informalidad en un gran porcentaje. Lo señalado concuerda con Tejada (2018), quien encuentra que la informalidad tiene una incidencia mayor en trabajadores sobre los 60 años. La fuente de ingresos más común es la informalidad o trabajo por cuenta propia, y alcanza al 60% de participación. Las variables de estado civil (dummy =1 si tiene pareja) y las dummies educativas ofrecen coeficientes no significativos, pero sí signos y magnitudes que van con la intuición económica del efecto de encontrar un empleo formal.
En cuanto a las dummies anuales, la probabilidad de encontrar empleo formal se reduce en las tres regresiones en los años 2009, mientras en 2015 aumenta la probabilidad de encontrarlo. Según datos del Banco Mundial, se observa una recesión en el caso del año 2009, mientras en 2015 se produce un crecimiento mayor en comparación a años anteriores. Esto concuerda con Hairault et al. (2010), quien afirma que, ante recesiones cíclicas, los más desplazados al desempleo son los adultos mayores, y con García-Pérez y Sánchez Martín (2013), quienes muestran la importancia de los incentivos financieros para los trabajadores senior en las decisiones del mercado laboral.
En el gráfico 3 se muestra la probabilidad acumulada subhazard de que un senior worker encuentre un empleo formal cuando compiten dos eventos adicionales. Estos eventos son: que encuentre un empleo informal y que ingrese a la inactividad. La probabilidad se reduce al 25% en 15 meses de búsqueda de empleo. El gráfico tiene un elemento escalonado por ser un análisis discreto y se acentúa la curva en los 11 meses; esto se debe a que, según las estadísticas, una frecuencia importante consigue empleo formal antes de que se cumpla un año de desempleo. Dicho gráfico presenta un patrón que reflejaría una desventaja en el mercado laboral para los trabajadores más adultos, porque ante un shock exógeno, sólo dos de cada diez adultos mayores podrían encontrar efectivamente un empleo formal en un año. El resto de los trabajadores tendría que optar por participar en el mercado informal o decidir ingresar a la inactividad.
Aspectos relevantes del Modelo de Riesgo Competitivo con dos eventos
El análisis del modelo a nivel de género demuestra que cuando los trabajadores senior se enfrentan a un shock que los hace ingresar en el desempleo, las mujeres tienden a tener una menor probabilidad de encontrar un empleo formal. En el gráfico 4 se observa que, en el riesgo acumulado, sólo un 30% podrá conseguir un empleo formal. Existen varias razones de por qué se da esto. En primer lugar, las condiciones laborales de las mujeres pueden causar que estas opten por un empleo informal, ya que, según datos del NENE, la incidencia en la informalidad es mucho mayor en las mujeres que en los hombres, superando una diferencia de 10% en todas las edades desde los 50 años en adelante. Otra razón es que optan por la inactividad, ya que las mujeres componen un 68.5% del total de jubilados. Esta brecha de género es evidente en todas las edades a partir de los 50 años.
Asimismo, en el subhazard acumulado del gráfico 5 se muestra que, conforme avanza la edad, la probabilidad de los desempleados de salir a un empleo formal se va reduciendo del 15% al 0%. A los 80 años esta probabilidad es nula, porque la mayoría de los trabajadores senior opta directamente por la inactividad, sea con una jubilación o no. Es importante destacar en el gráfico que, en los últimos años, que son claves para la cotización para la jubilación, un porcentaje no menor no podrá llegar a encontrar empleo formal ante shocks exógenos, lo que se hace más visible entre los 60 y 70 años.
En el cuadro A-2 se tiene una comparación de dos modelos de duración. En la primera columna se encuentra el Modelo de Riesgo Competitivo con dos eventos en competencia que se analizó anteriormente, y en la segunda columna se presenta un modelo de duración de Cox, que contiene un evento de salida simple: encontrar un empleo formal.
Si bien los efectos marginales y los signos son bastantes cercanos en ambas regresiones, se pueden observar algunas diferencias importantes. Por un lado, las variables de género y dummies de 60 y 70 años son menores en la regresión de Cox que en la de riesgo competitivo. Sin embargo, también hay variables que se incrementaron, como el efecto negativo en la dummy de 80 años, ya que es mucho menos probable que se pueda conseguir un empleo formal a esta edad. Del mismo modo, en el modelo de Cox existe un efecto más grande de las variables anuales de 2009 y 2015. Al no estar compitiendo con otros eventos posibles, se atribuye a los ciclos económicos un nivel significativo de explicación sobre la probabilidad de llegar al empleo formal.
La mayor diferencia entre estos dos modelos, que también está soportada por la literatura, es que el modelo de duración de Coxpresume, según los patrones, que un mayor porcentaje de la fuerza laboral senior que tuvo el shock exógeno, llegaría a encontrar un empleo formal. Este modelo no toma en cuenta que los individuos tienen más posibilidades, como la informalidad o la inactividad. Por esta razón, el Modelo de Riesgo Competitivo obtiene resultados más cercanos a la realidad, ya que los individuos cuentan con más opciones laborales.
En el cuadro A-3 se muestran dos modelos de riesgo competitivo, pero con dos submuestras diferentes. La primera pertenece a lo ya estudiado de los "Senior workers" y la segunda pertenece a los trabajadores desde los 35 a los 50 años. Se seleccionaron muestras de individuos que sufrieron el mismo shock exógeno. En ambos casos las variables de estado civil no son significativas. Sin embargo, el signo para los "Senior Workers" es negativo, a diferencia de los trabajadores jóvenes. Se considera que esto se debe a que la literatura muestra que la pareja influye en la dinámica laboral conjunta: normalmente ambos desean retirarse juntos o las mujeres dejan de trabajar antes que los hombres, o incluso deben cuidar a su pareja por temas de salud (García-PérezySánchezMartín, 2013). De este modo, una pareja representaría una "carga" o responsabilidad que reduce la probabilidad de acceder a un empleo formal.
Entre los individuos menores a 50 años existen otras variables explicativas que aumentan su probabilidad de salir a un empleo formal. En ese mismo sentido, en la variable género se ve que los hombres tienen una ventaja por sobre las mujeres del 27%, a diferencia del 45% en los "Senior workers". En este caso, las variables educativas tienen importancia, ya que la educación secundaria brindaría una menor posibilidad de salida a un empleo formal, porque para esa edad ese nivel de educación brinda una desventaja en el mercado laboral. Esto refleja una gran diferencia con los trabajadores mayores de 50 años, ya que éstos no tendrían un coeficiente significativo en ningún nivel educativo que permita que puedan conseguir empleo. Asimismo, esto sería una posible evidencia de que los "Senior workers" sufren algún tipo de discriminación (Nuemark, Burn y Button 2015).
Otra diferencia es que las variables anuales de los eventos tienen un nivel de significancia; por ejemplo, los años 2006, 2009 y 2015 tienden a reducirla probabilidad de encontrar empleo formal. Esto se puede atribuir a las condiciones del mercado laboral que se desarrollaron en esos ciclos económicos. La del año 2009 sería la que provoca que los trabajadores menores de 50 años tengan una probabilidad menor de acceder a un nuevo empleo, ya que la crisis de las hipotecas subprime provocó un efecto en cadena a nivel mundial, y eso significó que Chile tenga una reducción del PIB de 2%, según datos del Banco Mundial.
En el gráfico 6 se comparan los subhazard acumulados en dos submuestras etarias. A simple vista, las diferencias en el subhazard acumulado son evidentes entre los trabajadores mayores y menores de 50 años. Al final del periodo de análisis, los individuos más jóvenes llegarían a salir al empleo formal en un 40% y los mayores solamente en un 25%. Este patrón es importante para los hacedores de política, entre otros, por las características de los empleados mayores.
7. Conclusiones
En este estudio se han desarrollado varios modelos para analizar eventos del mercado laboral de un grupo etario que posee características especiales, como son los trabajadores senior. Si bien existe una amplia literatura que analiza los distintos aspectos de las pensiones y su efecto en el mercado laboral, el principal aporte de esta investigación es analizar los patrones de salida de los desempleados que están cerca o en edad de jubilación. Sin duda, este tipo de estudios no se han desarrollado en Latinoamérica, y dan a lugar una nueva aplicación para los modelos de riesgo competitivo.
Una creciente literatura busca entender la heterogeneidad del empleo o tasas de actividad en todos los países. Otro aporte de este documento es modelar un shock exógeno que permita que los trabajadores comiencen en el desempleo, y que este efecto esté separado de una posible discriminación laboral por la edad, de factores de salud o de causas endógenas atribuibles al empleador o al empleado. Una de las conclusiones es que se requiere una mejor comprensión de la oferta de trabajo en esta edad, que sirva de utilidad a los responsables políticos para influir en el comportamiento individual a través de incentivos o a nivel institucional.
Los principales resultados a partir del Modelo de Riesgo Competitivo muestran que las variables de edad tienen un efecto marginal significativo sobre la probabilidad de empleo. Se sabe que un gran porcentaje de los que no consiguen un empleo formal pasan al empleo informal o la inactividad. De este modo, también se incluyeron variables que denotan la calidad del empleo a la cual los individuos tenderían a trasladarse cuando sufren este tipo de shocks. Estos resultados podrían ser útiles a la hora de diseñar políticas públicas destinadas a fomentar la integración social y laboral del adulto mayor. Se trata de facilitar las condiciones para que la participación de los adultos mayores aumente, y aquéllos que puedan y quieran seguir trabajando no dejen de hacerlo por aspectos como la flexibilidad horaria o por tener una peor calidad en el empleo.
Asimismo, se realizó un análisis a nivel de género, que revela que en todas las regresiones existen patrones que demuestran que las mujeres tienen una desventaja marcada al conseguir empleo formal. Si bien esto está condicionado porque las transiciones muestran que un porcentaje no menor se va a la informalidad e inactividad, podría brindar una evidencia de la calidad del empleo a la cual pueden acceder las mujeres a lo largo de su etapa laboral.
El verdadero desafío para los futuros gobiernos será probablemente atraer personas mayores a la fuerza laboral. De hecho, la mayoría de las reformas políticas hace poco implementadas apuntan claramente en esta dirección. Esto se da porque muchos sistemas públicos de pensiones enfrentan un problema de financiamiento a largo plazo. Una forma potencial de restaurar la solvencia financiera es aumentar la edad de elegibilidad para los beneficios de jubilación.
Por eso es muy importante conocer cómo se desarrollan los trabajadores "senior" en el mercado y cómo afrontan una situación de desempleo. Por el momento, como se ha visto que porcentajes menores vuelven a empleos formales, se sabe que la posibilidad de seguir cotizando e incrementando su futura jubilación se reduce. Esto a su vez trae consigo nuevos desafíos para los hacedores de política, no solamente en pensiones sino en condiciones adecuadas y calidad de empleo para los trabajadores que tienen una edad cercana a la de la jubilación o ya se encuentran en la misma.
Mi recomendación principal es promover más aportes a la literatura sobre el mercado laboral en la tercera edad y las políticas que están buscando mejorar las condiciones de pobreza en este grupo etario. La misma está relacionada con el desarrollo de las políticas de seguridad social y éstas están enlazadas estrechamente con su estado actual del mercado laboral. Se aprecia una relación importante entre el nivel de cobertura de las jubilaciones y los niveles de pobreza de los países de la región. Al no resultar suficiente, se encuentra un porcentaje relativamente elevado de personas mayores participando en el mercado de trabajo, principalmente en el sector informal y percibiendo remuneraciones que no alcanzan para cubrirlos costos de vida básicos.
Notas
* Profesora Asistente de la Universidad de las Américas, Santiago de Chile.
Contacto: carolina.vera.rivera@edu.udla.cl
Fecha de recepción: 26 de enero de 2020.
Fecha de aceptación: 12 de abril de 2020.
Manejado por ABCE/SEBOL/IISEC.
Referencias
1. Adams, S. (2004). Age discrimination legislation and the employment of older workers. Labour Economics, 11(2), 219-241. [ Links ]
2. Aghion, P; Algan, Y. y Cahuc, P. (2011). Civil Society and the State: The Interplay between Cooperation and Minimum Wage Regulation. Journal of the European Economic Association, 9(1), 3-42. [ Links ]
3. Albagli, E. y Barrero, A. (2015). Tasa de desempleo y cambios demográficos en Chile. Minuta anexa IPoM marzo 2015. Mimeo. BCCh.
4. Belloni, M. y Alessie, R. (2009). The importance of financial incentives on retirement choices: New evidence for Italy. Labour Economics, 16(5), 578-588. [ Links ]
5. Benitez-Silva, H. y Ni, H. (2010). Job Search Behaviour of Older Americans, Mimeo. [ Links ]
6. Black, D. y Liang, X. (2005). Local Labor Market Conditions and Retirement Behavio. Working Paper Nº 2005-08, Boston College Center for Retirement Research.
7. Blake, H. y Sangnier, M. (2011). Senior Activity Rate, Retirement Incentives, and Labor Relations Economics: The Open-Access. Open-Assessment E-Journal, 5 (2011-8), 1-32. [ Links ]
8. Blau, D.M. y Gilleskie, D. (2006). Health insurance and retirement of married couples. Journal of Applied Econometrics, 21(7), 935-953. [ Links ]
9. Boockmann, B; Fries, J. y Göbel, C. (2011). Specific Measures for Older Employees and Late Career Employment. SSRN Electronic Journal. 10.2139/ssrn.2159817. [ Links ]
10. Börsch-Supan, A. (2000). Incentive effects of social security on labour force participation: evidence in Germany and across Europe. Journal of Public Economics, 78(1-2), 25-49. [ Links ]
11. Callaway, B. (2015). Job Displacement of Older Workers During the Great Recession: Tight Bounds on Distributional Treatment Effect Parameters Using Panel Data. Manuscrito inédito, Vanderbilt University, October.
12. Casey, B; Oxley, H; Whitehouse, E; Antoln, P; Duval, R. y Leibfritz, W. (2003). Policies for an ageing society: recent measures and areas for further reform. Economics Department, Working Paper Nº 369. OECD.
13. Chan, S., y Stevens, A. H. (2001). Job Loss and Employment Patterns of Older Workers. Journal of Labor Economics, April 2001, 19(2), 484-521.
14. Coile, C.C. y Levine, P.B. (2007). Labor market shocks and retirement: do government programs matter?. Journal of Public Economics, 91(10), 1902-1919. [ Links ]
15. ---------- (2011). Recessions, retirement, and social security. American Economic Review, 101(3), 23-28.
16. Coy, P. (2014). American workers are older than ever. Bloomberg Business Week. Disponible en: http://www.businessweek.com/articles/2014-08-04/a-record-22-dot-2-percentof-ofu-dot-s-dot-workers-are-55-or-older [ Links ]
17. Denton, F. T. y Spencer, B. G. (2009). Population Aging, Older Workers, and Canada’s Labour Force. Canadian Public Policy, 35(4), 481-492. University of Toronto Press. Recuperado en noviembre 22, 2018, de Project MUSE database.
18. Duval, R. (2003). The retirement effects of old-age pension and early retirement schemes in OECD countries. OECD Economics Department, Working Paper Nº 24.
19. Fetter, D. y Lockwood, L. (2018). Government Old-Age Support and Labor Supply: Evidence from the Old Age Assistance Program. American Economic Review, 108(8): 2174-2211. [ Links ]
20. Friedberg, L. y Webb, A. (2005). Retirement and the evolution of the pension structure. Journal of Human Resources, 40(2), 281-308. [ Links ]
21. García Pérez, J.I., y Sánchez Martín, A.R. (2012). Fostering job search among older workers: the case for pension reform. Universidad Pablo de Olavide, Working Paper Nº 12.09.
22. ---------- (2013). Retirement incentives, individual heterogeneity and labor transitions of employed and unemployed workers. Labour Economics, 20, 106-120.
23. Gruber, J. y Wise, D. (2004). Social Security Programs and Retirement Around the World: Micro Estimation. University of Chicago Press. [ Links ]
24. Hairault, J-O; Langot, F. y Sopraseuth, T. (2010). Distance to retirement and older workers’ employment: the case for delaying the retirement age. Journal of the European Economic Association, 8(5), 1034-1076, Cambridge, Massachusetts, MIT Press, September.
25. Heckman, J. y Singer, B. (1985). Social science duration analysis. En J. J. Heckman y B. Singer (eds.), Longitudinal Analysis of Labour Market Data. Cambridge University Press, Cambridge.
26. Krueger, A., y Pischke, J. (1992). The Effect of Social Security on Labor Supply: A Cohort Analysis of the Notch Generation. Journal of Labor Economics, 10(4), 412-437. [ Links ]
27. Lancaster, T. (1990). The Econometric Analysis of Transition Data. Cambridge University Press, Cambridge.
28. Li, Y. (2018). Paradoxical effects of increasing the normal retirement age: A prospective evaluation. European Economic Review, 101(C), 512-527, Elsevier. [ Links ]
29. Liebman, F.P; Luttmer, D. y Seif, G. (2009). Labor supply responses to marginal Social Security benefits: Evidence from discontinuities. Journal of Public Economics, 93(11-12), 1208-1223, ISSN 0047-2727. [ Links ]
30. Makarski, K. y Tyrowicz, J. (2017). On welfare effects of increasing retirement age. GRAPE Working Papers Nº 10, GRAPE Group for Research in Applied Economics.
31. Marcel, M., y Naudon, A. (2016). Transiciones laborales y la tasa de desempleo en Chile. Documento de Trabajo Nº 787, BCCh.
32. Martínez, C. y Vergara, R. (2018). Caracterización del mercado laboral para el adulto mayor. Puntos de Referencia, 492, octubre. Disponible en: https://www.cepchile.cl/cep/site/docs/20181031/20181031111549/pder492_cmartinez_rvergara.pdf. [ Links ]
33. Matsukura, R; Shimizutani, S; Mitsuyama, N; Lee, S. y Naohiro, O. (2017). Untapped Work Capacity among Old Persons and Their Potential Contributions to the ‘Silver Dividend’ in Japan. The Journal of the Economics of Ageing. 12. 10.1016/j.jeoa.2017.01.002.
34. Mealli, F. y Pudney, S. (1996). Occupational pensions and job mobility in competing risks model. Journal of Applied Econometrics, 11(3), 293-320. [ Links ]
35. Morrison, R. y Villagrán, M. (2014). Envejecimiento activo de la población chilena. Santiago de Chile: RIL editores. [ Links ]
36. Neumark, D; Burn, I. y Button, P. (2015). Is it Harder for Older Workers to Find Jobs? New and Improved Evidence from a Field Experiment. NBER Working Paper Nº w21669.
37. OECD (2015). Pensions at a glance. OECD Publishing. [ Links ]
38. Ramírez, S. (2018). Cambios en la composición etaria de la fuerza laboral y sus efectos en el desempleo: una aplicación para Chile. Tesis PUC. [ Links ]
39. Staubli, S. y Zweimuller, J. (2012). Does raising the retirement age increase employment of older workers? University of Zurich Department of Economics Working Paper Nº 20.
40. Tejada, M. (2018). Informalidad laboral en Chile. Observatorio Económico, 131, noviembre. Universidad Alberto Hurtado. ISSN 0719-9597. [ Links ]
41. Van den Berg, G.J. (2001). Duration models: specification, identification, and multiple durations. En J.J. Heckman y E. Leamer (eds.), Handbook of Econometrics, 5, 3381-3460. North-Holland, Amsterdam.
42. Vigtel, T. (2018). The retirement age and the hiring of senior workers. Labour Economics, 51, 247-270, ISSN 0927-5371. [ Links ]
Anexo
Comparación brechas de género entre trabajadores senior y trabajadores adultos (35 a 49 años)
En el gráfico 7 se comparan los subhazard acumulados con las brechas a nivel de género. En ambos grupos etarios se observa una diferencia: los hombres salen a un empleo formal en un periodo de 15 meses con una probabilidad de 45% (adultos) y un 30% cuando tienen más de 50 años, mientras en el caso de las mujeres es de 38% cuando tienen entre 35 y 49 años y en una edad posterior a ésta, la probabilidad es de 18%. La brecha es menor entre los más jóvenes, especialmente en los primeros meses, sin embargo, ésta se acentúa a medida que pasan los meses de desempleo.
























