SciELO - Scientific Electronic Library Online

 
 número28La regulación del comercio en Bolivia: de la economía informal al mercado extralegalDemostración de equilibrio competitivo con short-sale hipotecario índice de autoresíndice de materiabúsqueda de artículos
Home Pagelista alfabética de revistas  

Servicios Personalizados

Revista

Articulo

Indicadores

Links relacionados

  • No hay articulos similaresSimilares en SciELO

Compartir


Revista Latinoamericana de Desarrollo Económico

versión On-line ISSN 2074-4706

rlde  no.28 La Paz nov. 2017

 

 

 

Entendiendo la Curva de Phillips del siglo XXI: estado de la cuestión

 

Understanting the 21st Century Phillips Curve: A state of the art

 

 

Pablo Mendieta*, Carlos Hugo Barbery**

 

 


Resumen

La historia de la Curva de Phillips, una regularidad empírica que implica una relación inversa entre inflación y desempleo descubierta a mediados de siglo pasado, ha estado caracterizada por la controversia, tanto en el ámbito teórico como empírico. En este artículo repasamos la historia desde ese hito, pero principalmente resaltamos que actualmente una versión modificada y con fundamentos microeconómicos de la misma es una pieza importante en la modelación macroeconómica. Discutimos que la discusión académica alrededor de esta relación es, en realidad, una muestra de diferentes visiones metodológicas y epistemológicas en la profesión.

Palabras clave: Curva de Phillips; metodología económica.


Abstract

The history of Phillips curve, an empirical regularity that suggests an inverse relationship between inflation and unemployment discovered in the middle of the last century, has been characterized by controversy, both in the theoretical and empirical field. In this article we review the history of this relationship, but mainly we emphasize that today a modified version with microeconomic foundations is an important piece in macroeconomic modeling. We argue that the academic discussion around this relationship is an example of different methodological and epistemological approaches in economics.

Keywords: Phillips curve; economic methodology.

Clasificación/Classification JEL: B220, B410, E310.


 

 

1. Introducción

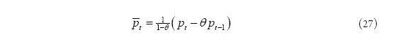
"La herramienta macroeconómica más importante utilizada para entender la inflación es la curva de Phillips. Esta curva muestra la relación entre la tasa de desempleo y la inflación", señala la descripción inicial del texto introductorio a la economía de Samuelson y Nordhaus (2010:643). A su vez, otro texto introductorio en el tema (Parkin, 2009:696) señala que "otra manera de estudiar los ciclos de inflación se centra en la relación y la correlación de corto plazo entre la inflación y el desempleo, una relación llamada la curva de Phillips"1.

Empezamos con estas citas porque muestran que, aun dentro del campo económico, la relación mencionada sigue considerándose tal como fue planteada en sus inicios: como una relación entre inflación y desempleo, pese a que, como veremos en el artículo, es una relación que analiza la inflación en función a sus expectativas y a una medida de la actividad económica, sea ésta la brecha del producto o los márgenes de las empresas. Dicha relación debe su nombre a quien la descubrió en sus investigaciones empíricas, el economista inglés A. W. Phillips, quien en noviembre de 1958 publicó un documento en el cual exploró la relación entre la tasa de desempleo y el crecimiento de los salarios monetarios en el Reino Unido, durante el periodo 1861-1957 (Phillips, 1958).

El análisis estadístico básico de la información para estas variables mostró una relación inversa y no lineal, de la forma que se muestra a continuación:

Dicha ecuación en cierta forma revolucionó el análisis macroeconómico porque conectó el mercado laboral con el mercado monetario, que en el consenso de la época no estaban enlazados, tal como señalan Snowdon y Vane (2002). Sin embargo y pese al apoyo que recibió de varios economistas por la existencia de evidencia empírica, recibió también fuertes críticas. Los exponentes más importantes al respecto fueron los posteriormente galardonados con el Premio Nobel de Economía, Milton Friedman y Edmund Phelps. El primero, en un influyente artículo que es la transcripción de la alocución presidencial ante la Asociación Americana de Economía realizada en 1967, señaló explícitamente que "contiene un defecto básico -la falla de distinción entre salarios nominales y salarios reales"2 (Friedman, 1968:8). Un año antes, Phelps (1967) delineó la relación que generaría mayor atención a los economistas dedicados al tema: la relación positiva o directa entre la producción y la inflación, como se muestra en el gráfico siguiente:

Como veremos más adelante, desde la década los ochenta del siglo XX la Curva de Phillips ha sido planteada en términos de una relación entre (la brecha de) la producción y la tasa de inflación, en lugar de la relación inflación y desempleo, además que ha venido a denominarse "Nueva Curva de Phillips Neo-keynesiana" (NCPN). En el artículo presente esbozamos los aspectos generales en lo teórico y empírico de esta regularidad empírica, enfatizando cuánto ha cambiado y cuál es su formar actualmente, exponiendo las principales críticas al respecto y haciendo una reflexión sobre su relación con la epistemología. El énfasis es proporcionar el contexto adecuado al lector para entender cómo esta relación ha pasado de estar sometida a mucha crítica a convertirse en uno de los pilares de la modelación macroeconómica moderna.

 

2. Naturaleza de la Nueva Curva de Phillips Neo-keynesiana

Para entender el carácter de la curva mencionada, es necesario señalar algunas referencias de la evolución del pensamiento económico en esta área que servirán para entender su concepción, la cual seguirá la línea narrativa de McCallum (1989). La crítica teórica, como la de Friedman y Phelps, señalada previamente, cambió la naturaleza de la Curva de Phillips a una que es "aumentada por expectativas económicas". Vale decir, la relación pasó a ser una en la cual en el corto plazo existía la posibilidad de que exista una relación entre las variaciones de los precios y la actividad y el (des) empleo, mientras que en el largo plazo no existía ninguna relación, imposibilitando que las variables reales y nominales puedan relacionarse3.

El siguiente desafío en la profesión fue descubrir por qué se observaba empíricamente en el corto plazo la relación entre inflación y actividad (y empleo), unida al desafío de añadir en ella aspectos básicos de los modelos macroeconómicos de la época, como son las expectativas racionales, entendidas como la imposibilidad de que los agentes económicos se equivoquen sistemáticamente.

Una explicación inicial vino de la mano del posteriormente laureado con el Premio Nobel de economía Robert Lucas, quien indicó que esta relación ocurría porque las empresas tenían que discriminar entre aumentos generales de precios (inflación) y aumentos de precios relacionados a mayor demanda en cada industria. Por problemas de información, podía existir una relación de muy corto plazo entre producción (y) y desviación de la inflación (π) respecto a su valor esperado:4

No obstante, hubo críticas al enfoque esbozado por Lucas (1972), puesto que parecía difícil que existan rezagos de información en una época en la cual la información pertinente ya estaba al alcance de los agentes económicos por diversos medios, aspecto que difería de la época analizada por Phillips en su trabajo original. Posteriormente, algunos investigadores plantearon dos vertientes teóricas, que se resumen en que la relación de corto plazo entre inflación y actividad se daba porque los precios se fijaban de forma escalonada en las industrias, principalmente de EEUU, aunque no sincronizada. Esta línea principalmente corresponde a Taylor (1979) y Fischer (1977).

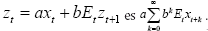
A raíz de este planteamiento, dos economistas proponen lo que es actualmente la Nueva Curva de Phillips Neo-keynesiana. El primero de ellos, Julio Rotemberg, planteó que las empresas se encontraban ante el dilema de cambiarlos precios o mantenerlos (Rotemberg, 1982). Ambas implicaban costos, porque, al permanecer fijos, los beneficios eran sub-óptimos mientras que, al variar los precios, se incurría en "costos de menú" relativos a la erogación necesaria para fijar nuevos precios, desde su estudio hasta su impresión.

El segundo fue realizado por Guillermo Calvo, quien, en el ánimo de plantear una versión discreta del modelo de ajuste escalonado, generó una corriente teórica que hasta el día de hoy es un referente (Calvo, 1983). Dicho modelo supone que una parte de las empresas pueden cambiar los precios, mientras que otras los mantiene fijos. La elección de empresas susceptibles a los cambios es aleatoria. Por tanto, las empresas deben tomar en cuenta o aumentar su ponderación en el escenario en el cual los precios no cambiarían, puesto que los precios que fijen determinarán sus beneficios, en un contexto de competencia monopolística y de múltiples bienes a elección del consumidor.

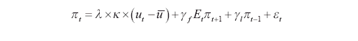
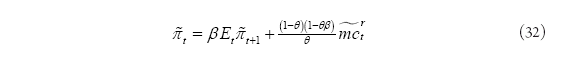
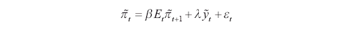
Tal como se expone en el Anexo, donde se deriva matemáticamente la siguiente relación teórica, este planteamiento se puede resumir en la siguiente expresión:

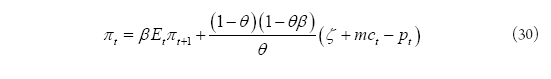
Donde πt es la inflación, Etπt+1 es la expectativa de la inflación en el siguiente periodo, yt es el producto, εt es una perturbación aleatoria, β es la tasa de descuento que las empresas tienen a la hora de plantear sus planes y λ es un factor de proporcionalidad relacionado con la proporción de empresas que puede cambiar sus precios y la tasa de descuento. Todas las variables están expresadas en desviaciones respecto de su equilibrio.

Intuitivamente, la inflación depende de dos aspectos: i) el estado del ciclo que está medido por la brecha del producto, que indica que en periodos de auge (recesión), la inflación es más alta (baja); y, ii) de la inflación esperada. Esta última implicación es importante porque el curso de la inflación presente está afectado por las creencias o expectativas de la evolución futura. En ese sentido, un proceso de estabilización de la inflación podría ser instantáneo en la medida que las empresas perciban que la inflación va a disminuir.

En este modelo, la relación de causalidad va de la brecha del producto a la inflación. Además que no tiene el problema de que genere una relación de largo plazo entre una variable nominal (la inflación) y otra real (la actividad), puesto que se eliminarán.

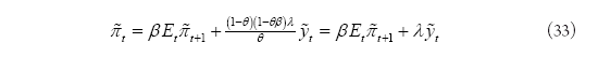
Una modificación importante y útil en el trabajo empírico fue el realizado por Gali y Gertler (1999), quienes introdujeron la inercia de la inflación en la especificación teórica, haciendo que la inflación actual también esté determinada por la pasada, pero sin romper con una nula relación de largo plazo entre inflación y actividad económica, para lo cual introdujeron el supuesto de que una porción de las empresas que podía cambiarlos precios lo hacía con una simple regla de cálculo indexada a la inflación pasada:

Cabe acotar que esta nueva relación deja atrás la discusión entre inflación y desempleo, en términos de poder estimular la actividad económica y reducir el desempleo a costa de mayor inflación.

En efecto, de ser la panacea del pensamiento macroeconómico de la década del sesenta, como el influyente trabajo de Samuelson y Solow (1960), al punto que muchas economías utilizaron su aplicación como medida para sostener las tasas de desempleo en niveles relativamente bajos (entretanto se sacrificaba con tasas de inflaciones moderadas e inclusive medianamente altas), en algunos lustros posteriores, la evidencia empírica, y en específico la crisis de 1973, demostró que en determinadas economías se presentaba un fenómeno al que se denominó "estanflación", es decir, una situación en la que simultáneamente coexistían altos niveles de tasas de inflación y a su vez altos niveles de tasas de desempleo, lo cual quebró la confianza en el paradigma clásico de la Curva de Phillips en su forma original.

Como se mencionó, Phelps (1967), Friedman (1968) y Lucas (1972) se encontraron entre los más duros detractores de la Curva de Phillips, al punto de desacreditar la misma como una "relación estable", es decir que, en el corto plazo podría observarse una correlación negativa entre niveles de inflación y desempleo, pero en el largo plazo no era sistémica ni sostenible, pues al desaparecer la ilusión monetaria no existía un "intercambio" entre inflación y desempleo.

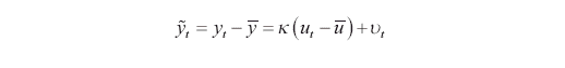
¿Es posible reconciliar el enfoque de la NCPN con la Curva de Phillips aumentada por expectativas? La respuesta viene por el lado de la "Ley de Okun", que corresponde a una regularidad empírica encontrada por Arthur Okun, la cual relacionaba la brecha del producto con la brecha de la tasa de desempleo respecto a una tasa natural (Okun, 1962). En términos formales:

Donde K es un parámetro, y es el nivel de producción, u es la tasa de desempleo y ν es una perturbación aleatoria. Las variables con barra representan el nivel natural en el caso del desempleo y el potencial en el del producto.

De esta forma, la NCPN puede ser expresada como una variación de la Curva de Phillips aumentada por expectativas:

En tal dirección, y como se mencionó, la teoría de la tasa natural de desempleo hace la diferenciación entre una Curva de Phillips de corto plazo y otra de largo plazo: la primera con una relación inversa entre inflación y desempleo, y la segunda, que incorpora únicamente la Tasa Natural de Desempleo No Aceleradora de la Inflación (NAIRU, por su acrónimo en inglés), planteada con esta denominación por Friedman (1968), que es consistente con una tasa de inflación estable, lo que rompe la relación entre inflación y desempleo.

En términos gráficos, se puede expresar de la siguiente manera:

El punto de partida de equilibrio es (A) con un determinado nivel de desempleo e inflación. Ya sea si se aplicara una política económica cuyo fin fuera reducir el nivel del desempleo a través de aumentos de la demanda agregada o por una perturbación aleatoria, el efecto en la economía -de acuerdo con la Curva de Phillips- se encontraría en un nuevo equilibrio en (B), con un menor nivel de desempleo; sin embargo, esta "nueva curva" se desplazará en sentido vertical, hasta una "nueva" Curva de Phillips, alcanzándose en definitiva un equilibrio final en (C), en el que se retorna a la situación inicial del nivel de desempleo, ocasionando un incremento del nivel de inflación de mediano plazo. Esto se debe a que, a medio y largo plazo, los aumentos de la inflación se han internalizado en las decisiones económicas de los agentes sobre precios y salarios, y se han revisado las expectativas inflacionarias existentes.

Algunas implicaciones importantes de la NCPN son las siguientes: a) es consistente con un contexto de expectativas racionales o la ausencia de errores sistemáticos por parte de los agentes económicos; b) se plantean rigideces en la fijación de precios o de salarios para generarla relación de corto plazo entre inflación y desempleo que se observa empíricamente; y c) la política monetaria puede influir en el corto plazo, no sólo en la inflación, sino también en la actividad económica o la producción y, por ende, en el desempleo.

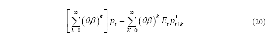
Es importante señalar que, en la medida que la NCPN tuvo menos crítica porque las formulaciones recientes incluyen lo que se denomina "fundamentos microeconómicos", éstos empezaron a introducirse en la formulación de políticas. De hecho, Rotember y Woodford (1997) son los primeros que formulan un modelo macroeconómico con optimización intertemporal que contiene la NCPN, la nueva curva de IS y una regla de política, que luego fue popularizada por Berg, Karam y Laxton (2006). El siguiente diagrama refleja claramente la evolución de la curva de Phillips

 

3. Contrastaciones empíricas de la NCPN

En la época posterior a la crítica a la Curva de Phillips tradicional y en virtud a la influencia del monetarismo liderado por Milton Friedman y otros economistas de esa tradición, el Fondo Monetario Internacional (FMI) postuló un enfoque de determinación de la masa monetaria en un contexto de tipo de cambio fijo, como el plasmado en FMI (1977). Dentro del marco general planteado en esa época, no cabía la inclusión de la Curva de Phillips, por las dubitaciones que generó su eventual uso en el diseño de políticas macroeconómicas.

Paradójicamente, en la actualidad el FMI es la institución que ha popularizado la NCPN como una de las tres relaciones básicas para la modelación macroeconómica, lo cual se evidencia principalmente en Berg, Karam y Laxton (2006), donde las otras dos corresponden a la nueva curva IS o de determinación de la brecha del producto, y a una regla de política (más conocida como regla de Taylor) para la tasa de interés. Este cambio ocurrido en un lapso de tres décadas se explica porque estimaciones empíricas de la NCPN parecían explicar relativamente bien la trayectoria de la inflación.

A mediados de la década de los noventa y utilizando la especificación estándar entre inflación y desempleo, pero con el uso de varios rezagos temporales para cada caso Fuhrer (1995) encontró que el poder predictivo de la Curva de Phillips era adecuado para proyectar la inflación. Con un enfoque más estadístico, esta posición fue luego reafirmada por el Premio Nobel Clive Granger en un trabajo conjunto, quien encontró que con diversas especificaciones econométricas no lineales, la relación entre el desempleo y la inflación (en ese orden de causalidad) era robusta, pero cambiante en el tiempo (Granger y Jeon, 2011). Es más, ambos autores ponderan que con un limitado instrumental econométrico, Phillips haya podido encontrar una relación tan significativa.

Posteriormente, y de manera decisiva, el renovado interés por la Curva de Phillips provino de las investigaciones de Gali y Gertler (1999), quienes concluyen que la especificación planteada por la ecuación híbrida que contiene tanto el pasado como las expectativas de la inflación explican bien la dinámica inflacionaria. Esta conclusión es reafirmada por Gali, Gertler y Lopez-Salido (2005), un documento posterior donde se responde a varias críticas a su investigación inicial.

En el caso de Bolivia, también existen estimaciones al respecto. Una investigación preliminar de corte empírico viene dada por Mendieta y Rodriguez (2007), quienes estiman por Método Generalizado de Momentos (GMM, por su acrónimo en inglés) curvas de Phillips mensuales y trimestrales, donde además introducen el coeficiente de traspaso del tipo de cambio al nivel de precios o pass-through, en la línea que luego fue formalizada por D'Amato y Garegnani (2009), explicando por qué en Bolivia la inflación pasada tiene un rol más activo que la futura; es decir, histéresis.

Un documento con mayor contenido teórico y empírico es el elaborado por Valdivia (2008), quien adiciona características propias de la economía boliviana, como la dependencia de insumos importados y el alto grado de dolarización observado en el periodo de estudio. Sus resultados avalan la existencia de una relación de la forma híbrida planteada por la literatura convencional.

Más recientemente, Murillo (2014) concluye que la especificación de una NCPN híbrida habría explicado adecuadamente la dinámica de la inflación en el período 2006 a junio de 2014. El componente backward-lookingo de inercia es el principal determinante de la dinámica de la inflación en el corto plazo. Claramente, los agentes estarían considerando en mayor medida la inflación pasada que la que esperan a futuro para establecer los precios. También encontró evidencia de la incidencia de las variaciones del producto sobre los precios, cuyo efecto sería marginal, aunque más profunda en los episodios de mayor crecimiento.

 

4. Las críticas a la Curva de Phillips

Es importante mencionar que las críticas a la Curva de Phillips pueden clasificarse en dos líneas: a) las que cuestionan o cuestionaron desde la perspectiva teórica; y b) las que se van a la crítica de su poder como instrumento de análisis y formulación de políticas. Aunque algunos de los trabajos contienen ambos elementos, resalta fundamentalmente por una de las dos vertientes.

En esa línea, los aportes de Phelps (1967), Friedman (1968) y Lucas (1972) van en la dirección de cuestionar la validez de las implicaciones, como el rompimiento de la dicotomía clásica, es decir, la posibilidad de que exista una relación entre una variable nominal y otra real. No obstante, desde el propio trabajo de Lucas (1972) y los subsiguientes se elimina la posibilidad de una relación de largo plazo entre ambas variables, aunque se da pie a que en el corto plazo pueda existir tal relación.

La crítica desde el enfoque empírico proviene de investigaciones que muestran que su poder predictivo es escaso. Para la economía estadounidense, es importante la contribución de Stock y Watson (2009), quienes encuentran que el poder predictivo de la NCPN y de otras especificaciones similares es menor que la de modelos de series de tiempo. En el caso de economías emergentes, una muestra al respecto es el trabajo de Pincheira y Rubio (2010), quienes señalan que la relación entre la brecha del producto y la inflación sería muy leve, inestable y episódica, tanto si se utilizan datos preliminares como también información definitiva, sugiriendo implícitamente su eventual exclusión en la modelación económica.

Este aspecto también fue observado por el Fondo Monetario Internacional, que muestra en una serie de estimaciones de la NCPN que el parámetro de actividad económica o cómo el ciclo afecta a la inflación habría disminuido con el tiempo, aspecto que respondería a varios aspectos, entre ellos la globalización económica (FMI, 2005). Este enfoque es complementado por la explicación de que, en un entorno de países que anuncian o fijan metas de inflación, ésta se habría anclado más a dicho objetivo, implicando menor relevancia tanto para la inflación pasada como para la expectativa futura, aspecto que es abordado en FMI (2013).

Por último, conviene señalar que la discusión empírica sobre la existencia o no de una relación de la forma NCPN continúa. Un buen ejemplo que utiliza técnicas econométricas que distinguen las propiedades estadísticas de las series de tiempo involucradas es el trabajo de Boug, Cappelen y Swensen (2010), quienes utilizan las series de tiempo empleadas por Gali y Gertler (1999) y no encuentran evidencia econométrica con métodos econométricos para series de tiempo.

 

5. La metodología detrás de la Curva de Phillips

Conviene señalar previamente que además de ser un tópico que ha implicado al menos sesenta años de discusión de una rama de la economía relativamente nueva y que tiene menos de un centenar de años desde 1936, nos referimos a la macroeconomía, el análisis epistemológico de la Curva de Phillips envuelve también las dificultades propias de su estudio. Como señala S. Cohn, "Pensar es difícil. Pensar sobre el pensamiento (epistemología) es aun más difícil, pero es donde debemos comenzar si deseamos entender plenamente los debates económicos" (Cohn, 2007:3). Procederemos pues a realizar este análisis para el tema de estudio.

Según indica Blaug (1992), el método hipotético-deductivo involucra en su esencia al menos una "ley universal", a la que se suma un conjunto de premisas que en su conjunto explican el fenómeno que deseamos entender. Además que, si se cumple la "tesis de simetría", existe coherencia entre la explicación y las predicciones que se pueden inferir de esta explicación. En tal sentido, las investigaciones sobre la Curva de Phillips son una muestra clara de la lucha epistemológica por buscar esa tesis de simetría, para buscar esa universalidad en esta regularidad empírica o para contradecirla.

A manera de ejemplo, podemos indicar que desde la perspectiva de la Escuela de Viena, y su postulado positivista dispuesto a aceptar aquellas teorías que sean obtenidas por el método científico, incluso la Curva de Phillips original de 1958 puede considerarse como una teoría derivada de tal método, puesto que hace uso del instrumental estadístico de la época. Nos referimos al hecho de que la relación desempleo y crecimiento de los salarios nominales aparece como una regularidad estadística clara encontrada por Phillips (1958) y luego apoyada decididamente por Samuelson y Solow (1960), quienes designan a esa relación como la Curva de Phillips. Además, y como mencionamos anteriormente, Granger y Jeon (2011) mencionan su sorpresa por el hecho de que con los limitados instrumentos de la época se haya podido encontrar esta relación.

Sin embargo, desde la óptica de los seguidores en el ámbito económico de la visión de Karl Popper y el criterio de la falsación, la relación original fue gradualmente descartada. Aunque la "enmienda Friedman-Phelps", por los trabajos ya mencionados de Friedman (1968) y Phelps (1967), es la objeción más conocida, es importante señalar que las críticas con esta visión provienen de mucho antes. En efecto, y como lo señala Forder (2014) en la sección dedicada al "popperianismo", el primero en utilizar el enfoque de falsacionismo con la Curva de Phillips fue Lipsey (1960) y sus trabajos subsecuentes, en términos de cuestionar su validez como una teoría de determinación de los salarios monetarios.

Por tanto, el falsacionismo popperiano ha sido útil para descartar una relación estable de largo plazo como la encontrada por Phillips entre crecimiento de los salarios nominales y el desempleo, pero no ha podido refutar la persistencia de esta relación en la forma de NCPN desde los años noventa. No obstante, es importante añadir que el método de análisis situacional sugerido por Popper, según lo plantea Wade (1992), consistente en describir la situación, analizar la misma, ver su racionalidad y deducir la explicación general, ha sido en general menos utilizado que el de falsacionismo, cuando Popper sugirió que el único método en una ciencia social (como la economía) es el análisis situacional.

De igual forma, lo anterior iría en contrasentido con lo expuesto en un seminal documento: "La metodología de la economía positiva", de Milton Friedman, donde en esencia dicho autor señala que las teorías deben ser consideradas por su poder predictivo Friedman (1953). Es decir, que "no son representaciones de la realidad sino instrumentos que funcionan o no funcionan" (Maas, 2014:93)5.

La concepción sobre la Curva de Phillips también es una muestra clara de lo que se conoce como "revoluciones científicas" (Kuhn, 1970). En términos sencillos, podríamos señalar que esta teoría sostiene que los paradigmas de conocimiento tienden a sobrevivir hasta que existe una masa crítica de evidencia llega a cambiarlo por un nuevo paradigma. En ese sentido, la primera Curva de Phillips implicó una revolución en el sentido de que proveyó al análisis macroeconómico de la "ecuación faltante" Forder (2014), que relacionó el ámbito monetario con el sector real. Ésta fue aceptada no sólo en el ámbito académico, sino también en la formulación de políticas económicas, hasta la llegada de la "enmienda Friedman-Phelps", que se constituye en otra revolución a lo Kuhn.

Con esa nueva forma de ver la inexistencia de largo plazo entre inflación y desempleo, el énfasis cambió a plantear modelos económicos que puedan explicar la razón detrás de la evidencia empírica de que en el corto plazo se observe esta relación. Sin embargo, los estudios previamente señalados sobre la relación llamada NCPN desde el trabajo de Fuhrer (1995) en adelante plantean una tercera revolución, en cuanto a que el consenso no sólo teórico sino también de políticas ha hecho que esta ecuación sea un elemento indispensable en el análisis macroeconómico contemporáneo.

Finalmente, tomamos al tercer importante exponente dela epistemología contemporánea, Imre Lakatos, quien de forma resumida señala que no sólo es suficiente el falsacionismo, sino que éste debe ir de la mano de una explicación mejor o más general que la anterior (Lakatos, 1978). Nuevamente, la historia del desarrollo de la NCPN es una muestra de que las explicaciones que surgieron desde Lucas (1972) en adelante, influidas por la "enmienda Friedman-Phelps" resultaron en explicaciones alternativas y claramente mejores en términos de que introducen expectativas racionales, fundamentos microeconómicos y otros. Vale decir, la noción original fue reemplazada por explicaciones mejores en el sentido de Lakatos. Lamentablemente, la discusión de la Curva de Phillips vista desde la visión epistemológica de Lakatos se queda en la crítica a la relación de largo plazo entre inflación y desempleo, como se evidencia en Backhouse (1998), que toma como ejemplo esta relación en la discusión metodológica, pero no toma en cuenta los avances que llevaron hasta la NCPN.

 

6. Conclusiones

El principal objetivo de este ensayo es dar una visión del contexto que rodea a una relación que, lamentablemente, ha sido sólo entendida como si solo se diera entre inflación y desempleo, cuando el avance en los campos teórico y empírico señalan que es una relación con una dirección causal definida y con un grado de soporte macroeconómico adecuado. El estudio inicial de esta relación en 1958 tomó un periodo de tiempo muy largo, en el cual la relación dio la sensación de estabilidad, lo cual condujo a los hacedores de política a utilizarla para fines de política. Obviamente, y en retrospectiva, las razones de esta regularidad tenían que ver con aspectos institucionales que no se alteraron en el largo periodo de estudio, como un crecimiento de productividad moderado, un esquema monetario relacionado a los movimientos en la balanza de pagos en un contexto de tipo de cambio fijo y un bajo nivel de difusión de la información entre los agentes económicos, entre los principales.

Luego de un periodo de crítica intensa que llevó a desechar la relación con fines de política, fue el trabajo empírico el que la ha convertido en el presente en una herramienta de análisis macroeconómico tanto teórico como empírico. Es una relación que señala que los ciclos de la inflación están vinculados tanto a las oscilaciones de la actividad económica como a las expectativas que se forman los agentes económicos respecto a la evolución futura de la economía, lo que se denomina Nueva Curva de Phillips Neo-keynesiana. Cabe notar que, tal como mostramos en la parte de revisión empírica, es probable que sus propiedades vayan cambiando con el tiempo, en la medida en que los esquemas de fijación de precios y la microeconomía que la subyace se modifiquen, en una época caracterizada por un alto grado de integración de mercados y uso intenso de información económica. Creemos que su análisis brinda una oportunidad de pensar seriamente en la metodología de la ciencia económica, en un entorno como el descrito en el párrafo anterior, que probablemente tomará también nuevos rumbos.

Fecha de recepción: 15 de septiembre de 2017

Fecha de aceptación: 31 de octubre de 2017

Manejado por la A.B.C.E.

 

Notas

* Subgerente del Centro Boliviano de Economía, CAINCO, Av. Las Américas #7, Santa Cruz de la Sierra. Contacto: pablo.mendieta@cainco.org.bo

** Director de Contabilidad, Costos e Impuestos. COTAS S.R.L., Chuquisaca #168, Santa Cruz de la Sierra. Contacto: cbarbery@cotas.com

1 En ambas citas, el énfasis se encuentra en el original.

2 Traducción libre. El énfasis corresponde al documento original.

3 Siguiendo a McCallum (1989), la relación entre inflación y desempleo pasó de una que relacionaba los salarios (w) corregidos por el aumento de los precios (p) y el desempleo, Δwt- Δpt = f(UNt-1), a otra en la cual la relación era entre la diferencia entre la inflación y la inflación esperada y el desempleo, además de la productividad: Δpt + λ = f(UNt) + Δpte. Es decir, esta curva implicaba una relación de corto plazo entre desempleo e inflación, pero ninguna en el largo plazo.

4 En la ecuación, es el producto potencial, k es un factor de proporcionalidad y ε una perturbación aleatoria. Además, E denota la expectativa del agente sobre la variable e es la brecha del producto o la diferencia entre el producto observado y su potencial.

5 Una discusión más amplia de la influencia del ensayo de Friedman se puede encontrar en Maki (2009), mientras que la influencia de Popper en la metodología se encuentra en Boylan y O'Gorman (2008).

 

Referencias

1. Backhouse, R. 1998. Explorations in economic methodology. From Lakatos to empirical philosophy of science. Londres: Routledge.        [ Links ]

2. Berg, A., P. Karam y D. Laxton. 2006. “A Practical Model-Based Approach to Monetary Policy Analysis-Overview”. IMF Working Papers.

3. Blaug, M. 1992. The methodology of economics or how economists explain (2a, ed.). Cambridge: Cambridge University Press.

4. Boug, P., A. Cappelen y A. Swensen. 2010. “The new Keynesian Phillips curve revisited”. Journal of Economic Dynamics & Control, 858-874.

5. Boylan, T. y P. O’Gorman. 2008. Popper and Economic Methodology. Contemporary Challenges. New York: Routledge.

6. Calvo, G. 1983. “Staggered Prices in a Utility-Maximizing Framework”. Journal of Monetary Economics, 383-398.

7. Cohn, S. 2007. Reintroducing Macroeconomics. A Critical Approach. New York: M. E. Sharpe.        [ Links ]

8. D’Amato, L. y L. Garegnani. 2009. “Dinámica de corto plazo de la inflación: estimando una curva de Phillips híbrida neokeynesiana para la Argentina (1993-2007)”. Ensayos Económicos del BCRA, 33-56.

9. De-Gregorio, J. 2007. Macroeconomía. Teoría y Práctica. Santiago de Chile: Pearson Educación.        [ Links ]

10. Dixit, A. y J. Stiglitz. 1977. “Monopolistic Competition and Optimum Product Diversity”. The American Economic Review, 297-308.

11. Fischer, S. 1977. “Long-term Contracts, Rational Expectations, and the Optimal Money Supply Rule”. Journal of Political Economy, 191-205.

12. Fondo Monetario Internacional. 1977. The Monetary Approach to the Balance of Payments, Exchange Rates, and World Inflation. Washington DC: Praeger.        [ Links ]

13. ---------- 2005. “How has globalization affected inflation?”. FMI, World Economic Outlook April (págs. 97-134). Washington DC: FMI.

14. ---------- 2013. “The dog that didn’t bark: Has inflation been muzzled or was it just sleeping?” En F. M. Internacional, World Economic Outlook April (págs. 1-17). Washington DC: FMI.

15. Forder, J. 2014. Macroeconomics and the Phillips Curve Myth. Oxford: Oxford University Press.        [ Links ]

16. Friedman, M. 1953. Essays in Positive Economics. Chicago: Chicago University Press.

17. Friedman, M. 1968. “The role of monetary policy”. The American Economic Review, 1-17.

18. Fuhrer, J. 1995. “The Phillips Curve is Alive and Well”. New England Economic Review, 41-56.

19. Gali, J. y M. Gertler. 1999. “Inflation dynamics: A structural econometric analysis”. Journal of Monetary Economics, 195-222.

20. Gali, J., M. Gertler y D. Lopez-Salido. 2005. “Robustness of the estimates of the hybrid New Keynesian Phillips ”. Journal of Monetary Economics, 1107-1118.

21. Granger, C. y Y. Jeon. 2011. “The Evolution of the Phillips Curve: A Modern Time Series Viewpoint”. Economica, 51-66.

22. Kuhn, T. 1970. The Structure of Scientific Revolutions. Chicago: Chicago University Press.        [ Links ]

23. Lakatos, I. 1978. The Methodology of Scientific Research Programmes. Cambridge: Cambridge University Press.        [ Links ]

24. Lipsey, R. 1960. “The relation between unemployment and the rate of change of money wage rates in the United Kingdom, 1882-1957: A further analysis”. Economica, 1-250.

25. Lucas, R. 1972. “Expectations and the Neutrality of Money”. Journal of Economic Theory, 103-124.

26. Maas, H. 2014. Economic Methodology. A historical introduction. New York: Routledge.        [ Links ]

27. Maki, U. 2009. The Methodology of Positive Economics. Reflections on the Milton Friedman Legacy. Cambridge: Cambridge University Press.        [ Links ]

28. McCallum, B. 1989. Monetary Economics. Theory and Policy. New York: Macmillan Publising Company.        [ Links ]

29. Mendieta, P. y H.Rodriguez. 2007. “Una de Phillips neokeynesiana empírica para el caso de Bolivia”. Ponencia en la Primera Jornada de Modelación Económica de Bancos Centrales. Buenos Aires.

30. Murillo, A. 2014. Estimación de una curva de Phillips neokeynesiana para Bolivia”. Documento de trabajo del Banco Central de Bolivia.

31. Okun, A. 1962. “Potential GNP: Its Measurement and Significance”. En A. S. Association, Proceedings of the Business and Economics Statistics Section (págs. 98-104). Washington DC: American Statistical Association.

32. Parkin, M. 2009. Economía. México: Pearson Educación.

33. Phelps, E. 1967. “Expectations of Inflation and Optimal Unemployment over Time”. Economica, 254-281.

34. Phillips, W. 1958. “The Relation Between Unemployment and the Rate”. Econometrica, 283-299.

35. Pincheira, P. y H. Rubio. 2010. “El escaso poder predictivo de simples curvas de Phillips en Chile: una evaluación en tiempo real”. Documentos de trabajo del Banco Central de Chile.

36. Rotember, J. y M. Woodford. 1997. “An Optimization-Based Econometric Framework for the Evaluation of Monetary Policy”. En B. Bernanke y J. Rotemberg, NBER Macroeconomics Annual (pp. 297-346), Cambridge: The MIT Press.

37. Rotemberg, J. 1982. “Sticky Prices in the United States”. Journal of Political Economy, 1187-1211.

38. Samuelson, P. y W. Nordhaus. 2010. Economia con aplicaciones a Latinoamérica. México: McGraw-Hill.

39. Samuelson, P. y R. Solow. 1960. “Analytical Aspects of Anti-Inflation Policy”. The American Economic Review, 177-194.

40. Snowdon, B. y H. Vane. 2002. An Encyclopedia of Macroeconomics. Northampton: Edward Elgar Publishing. Inc.

41. Stock, J. y M. Watson. 2009. “Phillips Curve Inflation Forecasts”. En J. Fuhrer, Y. Kodrzycki, J. Sneddon y G. Olivei, Understanding inflation and the implications for monetary policy : a Phillips curve retrospective (pp. 101-185). Cambridge MA: The MIT Press.

42. Szentmihályi, S. y B. Világi. 2015. “The Phillips curve - of thought and empirical evidence”. Financial and Economic Review, 5-38.

43. Taylor, J. 1979. “Staggered Wage Setting in a Macro Model”. American Economic Review, 108-113.

44. Valdivia, D. 2008. “¿Es importante la fijación de precios para entender la dinámica de la inflación en Bolivia?” Documento de trabajo sobre desarrollo de INESAD.

45. Wade, H. 1992. “Falsification, Situational Analysis and Scientific Research Programs: The Popperian Tradition in Economic Methodology”. En N. Marchi, Post-Popperian Methodology of Economics: Recovering Practice (pp. 19-53). Boston: Kluwer Academic Publisher.

46. Walsh, C. 2010. Monetary Theory and Policy (. ed.) Cambridge, MA: The MIT Press.

 

Anexo: una derivación formal de la NCPN

En este apartado mostramos los pasos necesarios para obtener la Curva de Phillips, los cuales involucran algunas operaciones con mayor complejidad matemática, pero que son necesarios para su análisis. Seguiremos el análisis del modelo más común en esta temática, cual es la versión discreta de Calvo (1983), según es expuesto en De-Gregorio (2007) y en (Walsh, 2010), aunque con modificaciones para hacer más sencilla la explicación.

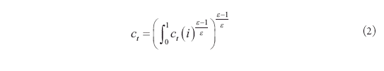
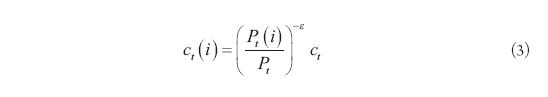
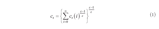
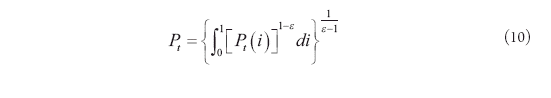
El punto de partida de este modelo es un resultado bastante obvio: un consumidor no consume un único bien. Haciendo analogía con la comida y suponiendo que es el único bien que consume, nuestro "agente representativo" consume sólo alimentos deshidratados y mezclados, similares a los que consumen los astronautas o los militares de países desarrollados. Sin embargo, podemos ampliar el modelo para que el agente representativo consuma una infinidad o variedad de bienes, cuya diversidad es mayor a medida que pasa el tiempo. Para modelar matemáticamente esto supondremos que el bien de consumo es la suma (ponderada) de infinitos artículos de la clase o variedad "i", los cuales tienen una elasticidad de sustitución constante ε. En forma discreta sería algo así:

Esta especificación data de finales de la década de los setenta, gracias al trabajo del Premio Nobel Joseph Stiglitz y su coautor Avinash Dixit (Dixit y Stiglitz, 1977). No obstante, es de uso más común y, en cierta forma, más sencillo, modelarlos en forma continua, como sigue, donde las integrales se pueden interpretar como el equivalente de sumas:

Se puede demostrar que la minimización del costo de una cesta de consumo cuyo nivel monetario está dado, da lugar a una curva de demanda para la variedad "i" que tiene pendiente negativa, puesto que se supone un entorno de competencia monopolística, de la forma siguiente:

Desde la perspectiva de la empresa, se supondrá, para fines de simplicidad, que la variedad del bien de consumo "i" se produce por medio de una tecnología que sólo emplea el factor trabajo para cada artículo específico, de acuerdo a la siguiente función de producción, que contiene un factor tecnológico común a todas las empresas "A":

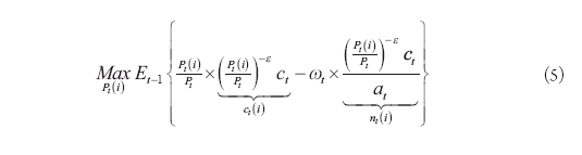
En un periodo dado, el problema de la empresa es elegir el precio que maximiza el beneficio neto real esperado anticipadamente a la determinación de la demanda agregada y de los precios. Esto es:

La condición de primer orden del anterior problema de maximización es la derivada de (5) respecto al precio de cada variedad "i" y su posterior equivalencia a cero, para determinar que se trata de un punto óptimo:

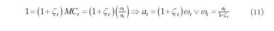
Si se denota a la expresión , que representa el margen o "mark-up" en el caso de competencia monopolística, ésta puede ser rescrita de la siguiente forma:

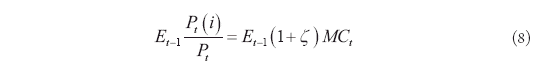
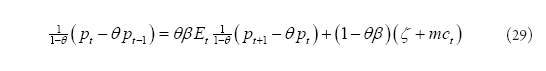
Esta expresión será útil más adelante para encontrar una relación entre el costo marginal (MC), el cual está expresado en términos nominales, y la brecha del producto. Para ello, la ecuación (7) se puede simplificar como la condición ex ante o previa de maximización de beneficios, que señala que el precio del artículo "i" se fijará como un margen del costo marginal:

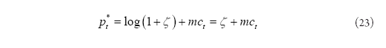
No obstante, la condición anterior diferirá de la que efectivamente ocurriría luego de observados los precios (incluyendo el del propio artículo "i") y los salarios; es decir, de la situación ex post. En ese caso, la condición posterior u observada será igual a:

La anterior expresión muestra que, si la demanda aumenta de forma inesperada en "t", entonces los salarios subirán debido a la necesidad creciente de trabajo, y el margen disminuirá. De esa forma, se observará un comportamiento contra-cíclico de los márgenes observados (ζt).

A continuación, y para seguir con el esquema de rigor, se demostrará que el costo marginal real tiene una relación directa con la brecha del producto.

Para empezar con esta demostración, se puede probar formalmente que el nivel de precios para la canasta de consumo esbozada en (2) viene dado por una expresión similar a la canasta:

Por tanto, en equilibrio los precios de cada artículo "i" serán iguales al nivel general de precios (P) y la condición (9) se convertirá en la siguiente relación:

Igualando la anterior ecuación con la oferta de trabajo, se obtiene:

A su vez, esta expresión se puede simplificar utilizando la definición de la función de producción de (4), para que (12) sólo incluya el consumo y el factor tecnológico común "α":

Utilizando la técnica de linealización logarítmica alrededor del equilibrio, la ecuación anterior se transforma en:

Dada la definición de función de producción agregada y conociendo que en un contexto de precios flexibles (pero con competencia imperfecta), los márgenes previo y posterior son iguales, se obtiene una relación entre el parámetro de productividad (α) con la desviación logarítmica del producto (ỹt*) que en este caso es igual al consumo:

Tomando en cuenta que la versión log-lineal del margen ex post, tal como es expuesta en la ecuación (9) es y combinándola con la última ecuación, se obtiene la relación entre el costo marginal real y la brecha del producto respecto a su potencial:

Para fines de simplificacion el uso de formulas y planteamientos del modelo, supondremos que la ultima expresion del parentesis derecho es cero, de tal manera que:

Es decir, (la desviación logarítmica de) el costo marginal real es proporcional a la brecha del producto.

El siguiente paso para obtener la Curva de Phillips es señalar cuál será el esquema de fijación de precios. Usualmente se asume, siguiendo la línea iniciada por Guillermo Calvo, que sólo una fracción (1 - θ) de empresas puede cambiar sus precios, mientras el remanente los mantiene en el valor del periodo previo.

Es decir, se trata de un proceso de fijación escalonada ("staggered"), preconizada previamente por los economistas Stanley Fischer (1977) y principalmente por John B. Taylor (1979). Esta formulación obedece al hecho de que, en Estados Unidos, usualmente las empresas o las industrias fijan el aumento salarial por un periodo de tres años, pero no todas lo hacen al mismo tiempo.

En virtud a esta restricción, las empresas que puedan fijar sus precios deberán hacerlo tomando en cuenta el peor escenario posible: que existe una alta probabilidad de que el precio permanecerá fijo en los siguientes periodos. En ese sentido, deberán fijar el precio tomando en cuenta no sólo las condiciones presentes del mercado, sino también las futuras.

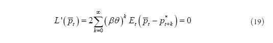
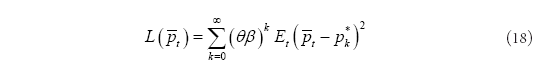
De forma simplista, supondremos que existe un costo cuadrático de fijar el precio en un nivel distinto al de equilibrio, el cual debe ser minimizado por la empresa de forma inter-temporal, pero incluyendo, como es usual, un factor de descuento, para ponderar más los periodos de tiempo más cercanos. En términos matemáticos, la pérdida cuadrática (logaritmos) de fijar el precio en el nivel es igual a:

Intuitivamente, la expresión entre paréntesis es la pérdida esperada en los beneficios a lo largo del tiempo de desviarse del precio de equilibrio que debería fijarse periodo a periodo, asumiendo que el precio fijado hoy no cambiará. Esta pérdida está ponderada de manera decreciente respecto al periodo futuro que se considere: los más cercanos tienen una ponderación mayor que los más lejanos.

La condición de primer orden, que vendrá de diferenciar la anterior expresión respecto a e igualar a cero, corresponde al siguiente resultado:

Dado que es una constante a determinar y por la propiedad de que la expectativa de ésta es igual al valor actual o presente de las expectativas de dicha variable ("ley de expectativas iterativas"), se puede expresar como:

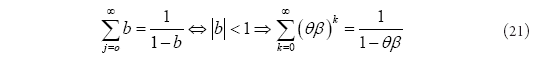
Recordando una importante propiedad de la suma geométrica aplicada al problema anterior:

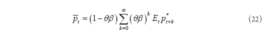
y despejando, se tiene que el precio a ser fijado por la firma es un promedio ponderado de los precios óptimos que se estima deberían observarse en los periodos siguientes bajo condiciones de mercado. Esto es, hacer la mejor apuesta sobre las condiciones de mercado a futuro, interesándose más en aquellos periodos que son más cercanos:

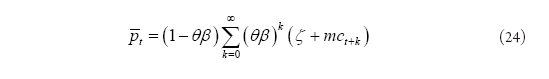
Entonces, y con el marco previamente fijado, el precio óptimo fijado en cada periodo (en logaritmos) será igual a un margen ("mark up") más el costo marginal:

donde hemos aplicado la propiedad de la aproximación logarítmica. De esa forma, (22) se puede expresar como:

Según la lógica de expectativas racionales, es posible señalar que la solución a la ecuación . Por tanto, es indistinto expresar de una u otra forma esta ecuación. Aplicando este principio a la ecuación (24) se tiene:

Por otra parte, y según la forma en la cual se concibe el esquema de fijación, el nivel de precios agregado (en logaritmos) será igual al promedio ponderado entre aquellos artículos que no cambiaron de precio (una proporción θ del total) y aquéllos que sí cambiaron sus precios siguiendo la lógica expuesta previamente:

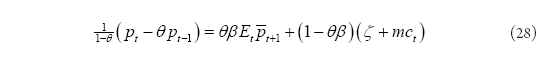
Despejando el precio óptimo fijado en t, se obtiene:

Dado que las expresiones del lado izquierdo de (26) y (27) son iguales, se tiene la siguiente expresion:

Para que la anterior expresión sólo esté en función a las variables observadas, se puede remplazar la expresión de (27) adelantada en un periodo en (28), con el siguiente resultado:

Posteriormente y tomando en cuenta que, en forma logarítmica, y luego de algunas simplificaciones matemáticas, la anterior expresión se transforma en:

La última expresión entre paréntesis es igual al costo marginal real (), quedando como:

Expresado en términos de desviaciones logarítmicas en torno a un estado estacionario con tasa de inflación igual a cero, se puede demostrar que la anterior expresión es igual a:

Finalmente, se inserta la expresión que relaciona (la desviación logarítmica de) el costo marginal real con la brecha del producto obtenida en (17), para tener como resultado final la Nueva Curva de Phillips Neo-keynesiana:

Esta expresión muestra que la inflación depende de dos factores: i) las expectativas sobre el curso de la inflación en el periodo siguiente; y, ii) la brecha del producto, la cual viene dada, como corresponde, por presiones de costo.

 

Creative Commons License Todo el contenido de esta revista, excepto dónde está identificado, está bajo una Licencia Creative Commons