Servicios Personalizados
Revista
Articulo
Indicadores
-
Citado por SciELO -
Accesos
Links relacionados
-
Similares en
SciELO
Compartir
Revista Latinoamericana de Desarrollo Económico
versión impresa ISSN 2074-4706versión On-line ISSN 2309-9038
rlde n.20 La Paz nov. 2013
ARTÍCULO
La evolución de la pobreza en Bolivia: un enfoque multidimensional
The Evolution of Poverty in Bolivia: A Multidimensional Approach
Paul Villarroel*, Werner L. Hernani-Limarino**
* Fundación ARU. Contacto: pvillaroel@aru.org.bo
** Fundación ARU. Contacto: whl@aru.org.bo
Resumen:
Este documento construye una medida de pobreza multidimensional para Bolivia, basado en todos los derechos fundamentales establecidos en la Constitución de 2008 que pueden ser medidos en las encuestas de hogares; y documenta los cambios de pobreza observados en Bolivia durante la última década utilizando un enfoque multidimensional. En particular, extendemos el análisis de Hernani-Limarino (2010) de la evolución de la pobreza monetaria con nuevas mediciones de líneas de pobreza desarrollados por Hernani y Eid (2013) y un análisis que incorpora cinco dimensiones no monetarias: acceso a educación, seguridad social de corto plazo (salud), seguridad social de largo plazo (pensiones), vivienda adecuada, y servicios básicos de la vivienda (electricidad, agua, saneamiento básico y telecomunicaciones).
El análisis muestra que, durante el periodo 1999-2011, la pobreza monetaria ha mostrado una tendencia decreciente acelerada a partir del año 2005, con una tasa de reducción promedio de 4.5% anual, que representa 253,364 personas por año. Por otra parte, se han observado ligeros avances en el acceso a dimensiones sociales durante el periodo 1999-2005 en el área urbana, mientras que en el área rural se han mantenido niveles altos de privación. Estos resultados han generado que la pobreza multidimensional se haya reducido en 24 puntos porcentuales durante el periodo 1999-2011 pero también un aumento de las personas con vulnerabilidad social por el comportamiento elusivo de la pobreza no monetaria en el país.
Palabras clave: Pobreza multidimensional, pobreza monetaria, privación de derechos sociales, necesidades básicas insatisfechas, Bolivia.
Abstract:
This paper constructs a multidimensional poverty measurement for Bolivia based on all fundamental rights establish inits 2008 Constitution than can be measured in the surveys; and documents the observed poverty changes in Bolivia during the last decade using this multidimensional approach. In particular, we extent Hernani-Limarino (2010) analysis of the evolution of income poverty with an analysis that incorporares five non-income dimensions: access to education, short term social security (health), long term social security (pensions), adequate dwelling, and basic dwelling services (electricity, water, basic sanitation and telecommunications).
Our analysis shows that, during 1999-2011 income poverty has shown a downward trend accelerated from the year 2005 with an average reduction rate of 4.5% per year, representing 253,364 people per year. On the otherhand, slight increases were observed in access to social dimensions during 1999-2005 in urban areas, while in rural areas have maintained high levels of deprivation. These results have reduced multidimensional poverty by 24 percentage points during the period from 1999 to 2011 but also an increase of people with social vulnerability due to elusive behavior of non-monetary poverty in the country.
Keywords: Multidimensional poverty, income poverty, social rights deprivation, unsatisfied basic needs, Bolivia.
Clasificación/Classification: T3, T32, 031, 01
1. Introducción1
Bolivia ha pasado por importantes cambios políticos y económicos desde que Evo Morales asumió la presidencia en 2006 -la tan llamada "Revolución Democrática y Cultural". Todos estos cambios estan destinados a alcanzar el "vivir bien", "suma qamaña" en aymara y "suma kwasay" en quechua; un concepto que no solo es persistente en toda clase de estrategias y planes gubernamentales -incluyendo el Plan Nacional de Desarrollo: Bolivia digna, soberana, productiva y democrática para Vivir Bien (subrayado añadido)- sino tambien en el preámbulo de la Constitución Política del Estado aprobada en 2008, el mismo que indica:
(...) Los bolivianos (...) han construido un nuevo Estado. Un Estado basado en el respeto e igualdad para todos, con principios de soberanía, dignidad, complementariedad, solidaridad, armonía y equidad en la distribución y redistribución del producto social, donde el punto de vista dominante es la búsqueda del "vivir bien", (...) con acceso a agua, trabajo, educación, salud y vivienda para todos
Desafortunadamente, el cambio enfatizado en el discurso político no ha sido acompañado por esfuerzos para medir los niveles promedio, distribución y evolución del "vivir bien. Este documento intenta contribuir a la discusión construyendo una medida de pobreza multidimensional para Bolivia, basado en todos los derechos fundamentales establecidos en la Constitución de 2008 que pueden ser medidos en las encuestas, para sí documentar los cambios en pobreza observados en Bolivia durante la última década, utilizando este enfoque multidimensional.
Además de las motivaciones políticas, pasar del enfoque unidimensional al enfoque multidimensional puede ser importante, si bien creemos que algunas de las dimensiones no pueden ser agregadas en el enfoque tradicional (porque no observamos los niveles de consumo ni sus precios) o si queremos comprender la contribución de cada dimensión a la evolución observada. Pasar del enfoque unidimensional al enfoque multidimensional implica un set significativo de desafíos que incluyen: (1) la definición de las dimensiones relevantes a ser incluidas en el análisis; (2) la definición de (insumo, producto o resultado) indicadores, así como los niveles normativos -lineas de pobreza para cada dimensión; (3) la identificación del "pobre multidimensional"; y (4) la agregación de las funciones de identificación individuales dentro de una medida global. Consecuentemente, se busca la definición del sistema de ponderación que define los patrones de substitución y complementariedad entre las dimensiones alternativas. Por otra parte, los índices multidimensionales deben ser consistentes con los objetivos de política llevadas a cabo (control, evaluación, orientación, etc.)
En particular, extendemos el análisis de Hernani-Limarino (2010) sobre la evolución de la pobreza monetaria con un análisis que incorpora cinco dimensiones no monetarias: acceso a educación, seguridad social de corto plazo (salud), seguridad social de largo plazo (pensiones), vivienda adecuada, y servicios básicos de la vivienda (electricidad, agua, saneamiento básico y telecomunicaciones).
El resto del documento se encuentra organizado de la siguiente manera. La Sección 2 presenta los desafíos de pasar de un enfoque unidimensional a uno multidimensional en la medición de pobreza. Esta sección describe la elección de las dimensiones de pobreza, su medición (funciones de privación), la identificación del "pobre multidimensional" bajo diferentes criterios, y la agregación y sistemas de ponderación. La Sección 3 describe los datos. La Sección 4 presenta los resultados empíricos, i.e., la evolución de privaciones individuales en cada dimensión y la evolución de la pobreza multidimensional de acuerdo a diferentes criterios. La Sección 5 concluye con algunas implicaciones de los resultados, así como algunas recomendaciones para futuras medidas de pobreza en Bolivia.
2. Midiendo la pobreza multidimensional en Bolivia
Pasar del enfoque unidimensional al enfoque multidimensional implica un set significativo de desafíos, que incluye: (1) la definición de las dimensiones relevantes a ser incluidas en el análisis; (2) la definición de (insumo, producto o resultado) indicadores, así como los niveles normativos -lineas de pobreza para cada dimensión; (3) la identificación del "pobre multidimensional; y (4) la agregación de las funciones de identificación individuales dentro de una medida global. Consecuentemente, se busca la definición del sistema de ponderación que define los patrones de substitución y complementariedad entre las dimensiones alternativas. Esta sección hace explícitos nuestros supuestos y decisiones para medir los cambios en la pobreza en Bolivia bajo un enfoque multidimensional.
2.1. La elección de las dimensiones de pobreza
El primer desafío en la medición de la pobreza multidimensional es definir las dimensiones relevantes a ser incluidas en el análisis. Las alternativas potenciales para la elección de las dimensiones relevantes incluyen la selección de alternativas como una función de: la disponibilidad de información, supuestos implícitos o explícitos acerca de las valoraciones de las personas, consenso público (e.g.,la lista de Objetivos de Desarrollo del Milenio-ODMs), proceso deliberante participativo y evidencia empírica previa sobre los valores de las personas (Alkire, 2008, para mayores detalles).
Otra alternativa posible en la elección de las dimensiones relevantes es el criterio legalista. Este criterio busca la incorporación de dimensiones sustentadas en un marco legal. Este documento sigue esta alternativa, descrita por Coneval (2010) en el caso mexicano, e incluye las dimensiones relevantes descritas en el capítulo de Derechos fundamentales de la Constitución Política de Estado de 2008, que pueden ser medidas en el set de encuestas de hogares. Estos derechos incluyen:
acceso a educación. (NCPE, 2008. art. 17)
acceso a seguridad social de corto plazo (salud). (NCPE, 2008. art. 18)
acceso a seguridad social de largo plazo (pensiones). (NCPE, 2008. art...)
acceso a vivienda adecuada. (NCPE, 2008. art. 19)
acceso a servicios básicos. (NCPE, 2008. art.20)
acceso a comida (NCPE, 2008. art 16 P.I and II)
2.2. Indicadores y funciones de privación
Una vez que las dimensiones relevantes son elegidas, necesitamos definir, no solo un indicador sino tambien los niveles normativos que definan quiénes deben ser considerados privados o no en cada dimensión. La tarea no es directa. Para cada dimensión, podemos elegir diferentes tipos de indicadores, desde insumos hasta productos y resultados. Por consiguiente, para cada tipo de indicadores necesitaremos diferentes normas para definir 1 a pobreza. En la medida en que es posible, tratamos de enfocarnos en indicadores de resultados en el largo plazo.
En este punto puede ser útil introducir alguna notación necesaria. Dado y = [yij], que denota una matriz n x d de logros, donde un típico elemento yij denota el rendimiento o logro de los individuos i ∈ I = 1, 2,..., N en la dimensión j = J = 1, 2, ...d.
Cada fila vector yi lista logros de los individuos i's, mientras que cada columna vector yj brinda la distribución de logros en la dimensión j a través del set de individuos. Para cualquier y, sea g = gij la matriz de privaciones 0 - 1 asociadas con el logro y, cuyo elemento típico gαij está definido como:

2.2.1. Acceso a educación
Los logros y privaciones en acceso a educación pueden ser medidos de diferentes maneras. La manera más directa es utilizar el logro escolar como un indicador de acceso de las generaciones pasadas y presentes. Con tal indicador, la definición de la norma que define el logro es fácil bajo el enfoque de derechos sociales. Según la nueva ley de educación "Avelino Siñani", la educación secundaria universal se encuentra garantizada por el Estado. De esta manera, la función de privación en educación para un individuo g1i puede ser definida como:

En palabras, una persona sería considerada como privada en su acceso a educación si no está en el proceso de adquirir educación comunitaria o si no la completó todavía, i.e., no asiste al colegio (ai = 0) y su educación no se encuentra terminada todavía (si < 12) para aquellas personas entre 6 y 18 años; o si no adquirió la norma para mayores de 18 años.
Si bien la legislación vigente garantiza la educación secundaria, el periodo de estudio en el presente documento se encontraba bajo la ley de "Reforma Educativa" promulgada el año 1996. Bajo este marco legal, el Estado garantiza la educación universal primaria (8 años). De esta manera, se adopta una nueva alternativa para definir la función de privación en educación, la cual utilizamos posteriormente en la identificación de la pobreza multidimensional. Esta nueva función la podemos escribir de la siguiente manera:

En palabras, una persona sería considerada como privada en su acceso a educación si no está en el proceso de adquirir educación comunitaria o si no la completó todavía, i.e., no asiste al colegio (ai =0) y su educación no se encuentra terminada todavía (si <8) para aquellas personas entre 6 y 14 años; o sino adquirió la norma para mayores de 14 años.
2.2.2. Acceso a seguro social de corto plazo (salud)
Los logros y privaciones en el acceso a seguridad social de corto plazo pueden ser medidos de diferentes maneras. Por la disponibilidad de información, escogimos el acceso a seguro de salud como indicador de esta dimensión. El acceso a seguro de salud puede tomar diferentes formas. Por una parte, existen programas públicos como el Seguro Universal Materno Infantil, desde el año 2002, o el Seguro Médico Gratuito de Vejez, desde el año 1998, que benefician a niños menores de 5 años y a los adultos mayores de 60 años, respectivamente. Por otra parte, existe una obligación de proveer de seguro de salud a todo trabajador asalariado formal, i.e., a todos los trabajadores que tienen una relación de dependencia a un empleador o firma. Este derecho establecido para los trabajadores formales se extiende al cónyuge y a los hijos del beneficiario. Finalmente, existe también la posibilidad de tener un seguro privado de salud. Dadas las limitaciones de información, incluimos el primer criterio para definir la función de privación de acceso a salud.
Considerando la temporalidad de los programas públicos de salud, es necesario definir funciones de privación según los periodos en los que estos se aplicaban. De esta manera, en el periodo 1999- 2003 los programas de salud pública incluían el Seguro Básico de Salud2, que cubría simplemente a algunos grupos vulnerables de la población y enfermedades específicas; el Seguro Médico Gratuito de Vejez3, por otra parte, cubre las necesidades médicas de los adultos mayores a 60 años. De esta manera, la función de privación para el periodo 1999-2002 se puede representar de la siguiente manera:

A fines del año 2002 se promulga el Seguro Universal Materno Infantil (ley 2421 de 21 de noviembre de 2002), que tiene como beneficiarios a todos los niños hasta los 5 años y a las mujeres en gestación. De esta manera, la población cubierta por programas de salud públicos se expande y la función de privación para el periodo 2003-2009 es representada de la siguiente manera:

2.2.3. Acceso a seguridad social de largo plazo (pensiones)
Al igual que en la medición de acceso a seguridad de corto plazo, la información disponible nos obliga a escoger el acceso a pensiones o rentas como una medida de esta dimensión. Las pensiones o rentas recibidas por las personas provienen de dos fuentes: Estado y aportes personales. Las rentas por seguridad social cubiertas por el Estado tienen como antecesor al Bono Solidario (BONOSOL)4. El nombre de esta renta cambia al de BOLIVIDA el año 19985 y finalmente el año 2007 vuelve a modificarse, pasando a llamarse Renta Dignidad6; es pagada a los adultos mayores a 60 años.
Por otra parte, los aportes personales se limitan a las personas que se encuentren aportando a las AFPs. Por la falta de información, el estudio no considera a las personas que tengan aportes personales pero no se encuentren realizando aportes en el momento de la encuesta. Los menores de 14 años carecen de norma en esta dimensión o se considera que no tienen privación por no tener edad suficiente para trabajar según el código laboral, al igual que las personas que no pertenecen a la población económicamente activa. Considerando los criterios analizados, la función de privación para el periodo 1999-2007 es la siguiente:

Donde pi identifica a la población económicamente activa.
Tomando en cuenta la promulgación de la Renta Dignidad, la función de privación para los años 2008 y 2009 es la siguiente:

2.2.4. Acceso a vivienda adecuada
Siguiendo el enfoque de las Necesidades Básicas Insatisfechas (NBI) (INE, 2002), definimos la privación de una vivienda adecuada como la falta de al menos una de las siguientes cuatro características: (1) espacio adecuado (en relación al número de miembros de la familia y cuartos disponibles), (2) materiales adecuados en las paredes, (3) materiales adecuados en los pisos, y (4) materiales adecuados en el techo, i.e.,

donde Dk denota el set de normas adecuadas para la característica k.7
2.2.5. Acceso a servicios básicos
Definimos la privación de acceso a servicios básicos como la falta de al menos uno de los siguientes cinco servicios: (1) agua, (2) alcantarillado, (3) electricidad, (4) gas y (5) telecomunicaciones, i.e.,

donde Sk denota el set de normas adecuadas para el servicio k.8
2.2.6. Acceso a comida (pobreza monetaria)
La función de privación por ingresos, gαi(F), es una conocida función FGT,

donde yi representa el ingreso per cápita del hogar individual, z la linea de pobreza, y α un parámetro de aversión a la desigualdad.9
2.3. La identificación del "pobre multidimencional"
Una vez que las funciones de privaciones estan definidas para cada dimensión relevante, necesitamos identificar quienes deberían ser considerados como "pobres multidimensionales". Tres estrategias alternativas de identificación han sido propuestas en la literatura: un enfoque de unión, un enfoque de intersección y un enfoque dual. Las tres estrategias de identificación dependen del número de privaciones sufridas por un individuo, que notamos como ci.
2.3.1. El enfoque de unión
Un punto de partida natural es identificar como "pobre multidimensional" a aquellas personas con al menos una dimensión en la cuál la persona se encuentre privada, i.e.,

2.3.2. El enfoque de intersección
Una alternativa natural es identificar como "pobre multidimensional" a aquellas personas privadas en todas las dimensiones, i.e.,

2.3.3. El enfoque de corte dual
Finalmente, también es posible identificar un nivel intermedio k ∈ 1, 2,..., d-1, que se encuentra entre los enfoques de unión e intersección, i.e., definir como "pobre multidimensional" a aquellas personas privadas en al menos k dimensiones;

2.4. Agregación y peso
En el enfoque multidimensional, los problemas de identificación y agregación son complicados por el hecho de que observamos más de una dimensión de pobreza.
2.4.1. Familia de medidas AF
Alkire y Foster(2009) propusieron una familia de medidas de pobreza multidimensional basadas en la clase FGT. Notar que las funciones de privación definidas en la sección 2.2 censura la información de las personas no pobres a cero. Sea g0(k) la matriz obtenida de la identificación de pobres siguiendo las normas señaladas

Un primer índice multidimensional es el ratio headcount ajustado de las dimensiones. En vez de definir una simple proporción (el porcentaje de pobres individuales), los autores extienden esta definición. La ratio
representa la proporción de posibles privaciones experimentadas por el individuo i. El promedio de privaciones entre los pobres es por lo tanto igual a:

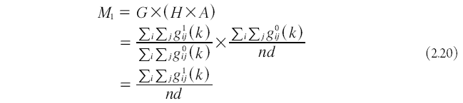
donde q es el número de pobres. La ratio headcount ajustado de dimensiones M0 es definido como M = H A. Esta medida toma en cuenta tanto la frecuencia como la brecha de la pobreza multidimensional. Oscila entre 0 y 1. Notar que H = q/n,

Un segundo índice puede ser obtenido tomando la profundidad (o intensidad) de las privaciones consideradas. Definimos nuevamente la matriz censurada como g1(k), cuyo elemento típico es igual a

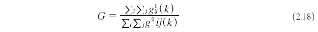
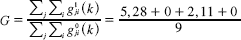
Definimos la brecha promedio de pobreza G como

La brecha de pobreza ajustada para las dimensiones puede ser definida como
![]()
Es fácil observar que

Finalmente, un tercer índice puede ser obtenido tomando en cuenta la severidad de las privaciones.
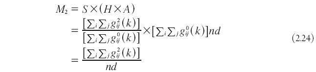
Definimos una matriz censurada g2(k) como

Definimos el promedio de severidad de las privaciones S como

Podemos ahora definir una medida ajustada de pobreza M2 como
![]()
Es fácil observar que

Uno puede generalizar naturalmente este enfoque y definir una medida de pobreza ajustada por dimensión Mα.
2.4.2. Tipología del Coneval
Una medida relativa es la tipología de pobreza multidimensional desarrollada por Coneval (2010). Esta medida permite agrupar a los individuos en los siguientes grupos o tipos:

Para tipificar a los individuos siguiendo este criterio, Coneval aborda el enfoque multidimensional desde otro punto de vista. La tipología toma en cuenta dos meso-dimensiones: pobreza monetaria y pobreza por derechos sociales.
Pobreza monetaria: considera la dimensión de ingresos-acceso a comida en el presente documento, utilizando como corte la línea de pobreza y línea de pobreza extrema.
Pobreza por derechos sociales: considera los derechos fundamentales, (1) Acceso a educación, (2) Acceso a seguridad de corto plazo (salud), (3) Acceso a seguridad de largo plazo (pensiones), (4) Acceso a una vivienda adecuada y (5) Acceso a servicios básicos. Al momento de identificar a los pobres por derechos sociales, el criterio sigue el enfoque de unión, y considera el umbral si existe la privación de al menos una dimensión. Por otra parte, sigue un enfoque dual al momento de definir el umbral de pobreza extrema en derechos sociales considerando la carencia de al menos tres dimensiones como umbral.
Una vez identificadas las personas privadas en cada meso-dimensión, se combinan las dos meso-dimensiones para agrupar siguiendo los cuatro tipos previamente descritos. La figura 1 identifica estos tipos en cuadrantes, tomando en cuenta las dos meso dimensiones como ejes del gráfico.

La descripción de los cuatro tipos es la siguiente:
Tipo I. Pobre multidimensional: agrupa a toda la población con un ingreso per cápita menor a la línea de pobreza y que presenta la privación de al menos un derecho social.
Tipo II. Vulnerable por derechos sociales: agrupa a toda la población con un ingreso per cápita mayor a la línea de pobreza, pero que presenta la privación de al menos un derecho social.
Tipo III. Vulnerable por ingresos: agrupa a toda la población que no presenta privación de ningún derecho social, pero tiene un ingreso per cápita menor a la línea de pobreza.
Tipo IV. No pobre multidimensional: a grupa a toda la población con un ingreso per cápita mayor a la línea de pobreza y no presenta privación de ningún derecho social.
La tipología inicial, tomando en cuenta la línea de pobreza y el umbral de privación de derechos sociales como cortes de las meso-dimensiones, puede ser extendida utilizando la línea de pobreza extrema y el umbral de privación extrema en derechos sociales (ver figura 2).

La descripción de los nueve tipos de pobreza multidimensional extrema es la siguiente:
Tipo I. Pobre multidimensional extremo: agrupa a toda la población con un ingreso per cápita menor a la línea de pobreza extrema y que presenta la privación de al menos tres derechos sociales.
Tipo II. Pobre multidimensional con vulnerabilidad monetaria extrema: agrupa a toda la población con un ingreso per cápita menor a la línea de pobreza extrema y que presenta privación entre uno y tres derechos sociales.
Tipo III. Vulnerable monetario extremo: agrupa a toda la población con un ingreso per cápita menor a la línea de pobreza extrema, pero que no presenta privación de ningún derecho social.
Tipo IV. Pobre multidimensional con vulnerabilidad social extrema: agrupa a toda la población con un ingreso per cápita entre la línea de pobreza y la línea de pobreza extrema, y que presenta la privación de al menos tres derechos sociales.
Tipo V. Pobre multidimensional moderado: agrupa a toda la población con un ingreso per cápita entre la línea de pobreza y la línea de pobreza extrema, y que presenta la privación entre uno y tres derechos sociales.
Tipo VI. Vulnerable monetario: agrupa a toda la población con un ingreso per cápita entre la línea de pobreza y la línea de pobreza extrema, pero que no presenta privación de ningún derecho social.
Tipo VII. Vulnerable social extremo: agrupa a toda la población con un ingreso mayor a la línea de pobreza, pero que tiene privación de al menos tres derechos sociales.
Tipo VIII. Vulnerable social: agrupa a toda la población con un ingreso per capita mayor a la línea de pobreza pero presenta privación entre uno y tres derechos sociales.
Tipo IX. No pobre multidimensional: agrupa a toda la población con un ingreso per cápita mayor a la línea de pobreza y que no presenta privación de ningún derecho social.
2.4.3. Familia de medidas BC
Finalmente, también utilizamos la familia de índices de pobreza multidimensional propuesta por Bourguignon y Chakravarty (2003) -BC, de ahora en adelante. BC agrega las privaciones entre dimensiones para cada individuo utilizando una elasticidad constante de la función de substitución que permite diferentes grados de substitución a ser incorporados, y luego agrega entre individuos las privaciones multidimensionales utilizando una fórmula FGT estándar. Formalmente,

Notar que gij(1) es la brecha censurada de pobreza del individuo i en la dimensión j utilizando un valor de corte de k= 1. El parámetro α mide el grado de aversión a la pobreza multidimensional con valores más altos, adjuntando un peso mayor a los individuos con una privación multidimensional más alta. Notar que el parámetro a mide la aversión a la pobreza multidimensional en este enfoque, mientras que en el enfoque FA mide el nivel de aversión a la pobreza específica de la dimensión. El parámetro θ mide el grado de sustituibilidad entre los déficits de la dimensión en el sentido de Hick, i.e., mientras más alto θ; más baja la substituibilidad entre dimensiones. El valor de theta es mayor o igual a uno para cumplir con el supuesto de rendimientos decrecientes. Para θ=1, las dimensiones son perfectamente sustituibles; para θ → ∞, las dimensiones son perfectamente complementarias y los individuos son juzgados por el peor logro en cualquiera de las dimensiones.
Antes de terminar esta sección, es importante notar que el enfoque para la medición de pobreza multidimensional que hemos descrito no es el único. Pudimos haber obtenido medidas de pobreza globales agregando las dimensiones en un solo vector distribucional y determinando una línea de pobreza para ese vector agregado. Alternativamente, pudimos haber agregado las dimensiones primero y luego las observaciones individuales en vez de agregar las observaciones individuales primero y luego las dimensiones. Aplicaciones de estos métodos alternativos para analizar la evolución de la pobreza en Bolivia bajo un enfoque multidimensional son temas para futuras investigaciones.
2.5. Un ejemplo ilustrativo
Para ilustrar la metodología en el presente documento, realizaremos un ejemplo considerando las dimensiones elegidas para el análisis.
Sea y una matriz para n personas y d dimensiones, donde el vector fila de la matriz representa al individuo i y la columna vector identifica a la dimensión j.

La norma definida en la función de privación para las seis dimensiones es: Z (4.78 1 1 1 1 1), considerando que en cinco dimensiones la privación se encuentra definida con el valor de 1.
Matriz de privaciones: tomando en cuenta la norma para cada dimensión, se identifica a las personas que se encuentren en privación, construyendo la matriz de privación g0, que censura las dimensiones de los individuos que no se encuentran en privación con cero.
• Matriz de brecha normalizada: a partir de la matriz inicial y obtenemos la matriz g1 normalizando los valores, i.e., el elemento típico de la matriz se define como (zj -yij) /zj para las dimensiones en privación y 0 si no existe privación, donde zj es la norma para la dimensión j y yij es el logro del individuo i para la dimensión j.
Matriz de brecha al cuadrado: finalmente, obtenemos la matriz g2, cuyo valor típico de la matriz se encuentra definido como [(zj -yij)/zj]2 para las dimensiones en privación y 0 si no existe privación.
2.5.1. Identificación del "pobre multidimensional"
Una vez obtenida la matriz de privaciones, es necesario identificar el número de privaciones por cada individuo. Siguiendo con el ejemplo, el número de privaciones por individuo sería el siguiente:

Para poder solucionar el problema de identificación, seguimos la metodología descrita y utilizamos los tres enfoques posibles: unión, intersección y corte dual.
El enfoque de unión define el corte ci=1, lo que en el ejemplo muestra que, bajo este enfoque, 3 de las 4 personas tienen al menos una privación y son consideradas pobres multidimensionales.

El enfoque de intersección define el corte ci=d , el número total de dimensiones consideradas, lo que en el ejemplo permite la identificación de una persona pobre multidimensional con todas las dimensiones en privación.

Finalmente, consideramos el enfoque de corte dual y definimos el corte ci=2, en el cual se considera pobre multidimensional al individuo con privación en al menos dos dimensiones. Notar que éste es el enfoque que será utilizado para continuar con el ejemplo; de esta manera los pobres multidimensionales identificados se pueden identificar en la matriz de privación:

2.5.2. Agregación
Familia de medidas AF:
Tomando en cuenta la matriz de privaciones g0 y el enfoque de corte dual adoptado en el ejemplo, consideramos en dos privaciones como corte para identificar a un pobre multidimensional. Posteriormente, identificamos la matriz de privaciones censurada g0(k) para las personas pobres identificadas:

Este ejercicio lo repetimos para la matriz de brecha normalizada g1(k) y la matriz de brecha al cuadrado g2(k).

Por lo tanto, la ratio Headcount en el ejemplo es H = 1/2 = 0,5 y la proporción de posibles privaciones en el individuo i es la ratio
. De esta manera el primer indicador de agregacion, el ratio Headcount ajustado por dimensiones es: M0 = HA = 0,5*0,75 = 0,375.
Una vez obtenido el indicador M0, es necesario utilizar la matriz censurada de la brecha normalizada g1(k):

Siguiendo la fórmula descrita previamente en la metodología para la brecha de pobreza.
Ajustada por Dimensiones, M1 = HAG donde
= 08,21, por lo tanto: M1 = 0,5 * 0,75 * 0,821 = 0,308
Finalmente, utilizamos la matriz censurada de la brecha al cuadrado g2(k) para obtener el indicador M2 que nos brinde información sobre la severidad de la brecha de pobreza.

Siguiendo la fórmula descrita en la metodología, el indicador M2 =S H A donde
, por lo tanto M2 = 0,787*0,5*0,75 = 0,295
La familia de medidas AF se resume en las siguientes tablas:


• Tipología Coneval:
Siguiendo el criterio de Coneval, podemos clasificar a los individuos en cuatro tipos, según su situación de pobreza multidimensional. Tomando en cuenta el ejemplo, con el corte ci=2, las personas por cada tipo son:
1. Tipo I. Pobre multidimensional: 2 de 4 individuos.
2. Tipo II. Vulnerable social: 1 de 4 individuos.
3. Tipo III. Vulnerable monetario: 0 de 4 individuos.
4. Tipo IV. No pobre multidimensional: 1 de 4 individuos.
Esta distribución de los individuos se la puede representar claramente en el gráfico típico de esta tipología (ver figura 3).

Familia de Medidas BC:
Finalmente, tenemos el valor del índice de pobreza multidimensional BC. Para realizar el cálculo en el ejemplo, asumimos un valor de 1 para el parámetro α, que identifica el grado de aversión a la pobreza multidimensional y tomamos valores entre 1 y 3 para el valor de la elasticidad de sustituibilidad θ.
De esta manera, siguiendo la fórmula del índice BC propuesta en la metodología, los resultados del ejemplo para cada valor de θ son:


3. Datos
Para analizar la evolución de la pobreza multidimensional utilizamos la base armonizada de encuestas de hogares de la Fundación ARU10. Es importante resaltar que la base armonizada de encuesta de hogares ha utilizado definiciones uniformes de variables e indicadores -en la medida en que es posible, se ha restringido de realizar cualquier clase de imputación o método de ajuste y, lo más importante, se han corregido las diferencias en los diseños de muestra entre las diferentes encuestas, construyendo nuevos pesos muestrales por medio de la utilización de métodos de post-estratificación (para mayores referencias, ver Hernani-Limarino, 2009 y Fundación ARU, 2010).
3.1. Construcción de logros y privaciones
La construcción de logros y privaciones para cada una de las dimensiones descritas en el documento, se ve limitada por la disponibilidad de información. Es por esta razón que es necesario detallar las variables utilizadas y los pasos realizados para construir las funciones de privación en el periodo 1999-2011.
3.1.1. Acceso a educación
El logro en educación que permita definir la privación en esta dimensión se construye a partir de los años de educación que haya logrado acumular cada individuo al momento de la encuesta realizada cada año. Siguiendo la función de privación definida en la sección 2.2, se compara la variable que representa los años de educación con la norma establecida, controlando por la edad de los individuos.
3.1.2. Acceso a seguridad social de corto plazo (salud)
Para definir el logro en salud y determinar la privación de los individuos en atención médica, se utiliza una variable dummy que identifica si la persona aporta o no las AFPs; por otra parte, se determina el parentesco de cada individuo del hogar con la persona que realiza aportes mediante una variable categórica que identifica al jefe del hogar y el parentesco de los demás miembros con el jefe del hogar.
3.1.3. Acceso a seguridad social de largo plazo (pensiones)
Las variables que intervienen en la función de privación del acceso a seguridad social de largo plazo, identifican la edad para determinar su accesibilidad a los programas del Gobierno y los aportes personales a las AFPs. Se utiliza una variable dummy para identificar a las personas que realizan aportes a las AFPs en el momento de la encuesta y su pertenencia a la población económicamente activa identificada por otra variable dummy.
3.1.4. Acceso a vivienda adecuada
La construcción de privación en acceso a una vivienda adecuada considera la disponibilidad de espacio y la calidad de materiales utilizados en piso, techo y paredes.
Disponibilidad de espacio. Se combina una variable que identifica el número de cuartos utilizados para dormitorios con una variable que indica el número de personas que viven en el hogar. Por otra parte, se combina la variable que identifica el número de cuartos utilizados para habitaciones multiuso con la variable que indica el número de miembros del hogar. En ambos casos se utiliza la proporción entre cuartos disponibles y número de personas, para luego comparar con la norma11, siguiendo el criterio metodológico de las NBIs.
Calidad de materiales en el piso. Se utiliza una variable categórica que identifica el tipo de piso de la vivienda: (1) Tierra, (2) Tablones de madera, (3) Machimbre/parket, (4) Alfombra/tapizón, (5) Cemento, (6) Mosaico/cerámica y (7) Ladrillo; y se compara con la norma establecida en la función de privación.
Calidad de materiales en el techo. Se utiliza una variable categórica que identifica el tipo de techo de la vivienda: (1) Calamina/plancha, (2) Teja, (3) Losa de concreto y (4) Paja/caña/palma/barro; y se compara la variable con la norma establecida en la función de privación.
Calidad de materiales en las paredes. Para poder determinar las características de la vivienda y compararlas con la norma indicada en la función de privación, se combina en primer lugar una variable categórica que identifica el material de construcción: (1) Ladrillo/cemento/hormigón, (2) Adobe/tapial, (3) Tabique/quinche, (4) Piedra, (5) Madera, (6) Madera, (7) Madera y (8) Caña/palma/tronco. Esta variable se combina con una variable dummy que permite identificar si la vivienda tiene revoque o no en las paredes.
3.1.5. Acceso a servicios básicos
La construcción del índice de privación en acceso a servicios básicos incluye agua potable, electricidad, alcantarillado, gas y telecomunicaciones.
Agua potable. La privación en agua potable se construye a partir de la identificación de la procedencia y distribución del agua en el hogar. La procedencia del agua se encuentra representada por una variable categórica: (1) Red por cañería, (2) Pileta pública, (3) Pozo con bomba, (4) Pozo sin bomba, (5) Rio/vertiente/acequia, (6) Lago/laguna/ curiche y (7) Carro repartidor. Por otra parte, la distribución del agua se identifica en una variable con las siguientes categorías: (1) Cañería dentro de la vivienda, (2) Cañería fuera de la vivienda y (3) No se distribuye por cañería.
Electricidad. La privación en electricidad se encuentra definida por la variable que identifica si el hogar tiene acceso o no a energía eléctrica.
Alcantarillado. Para construir el índice de privación en alcantarillado, primero se identifica si el hogar tiene o no baño mediante una variable dummy. Luego, se determina el tipo de desagüe que tiene el baño de la vivienda mediante una variable que tiene las siguientes categorías: (1) Alcantarillado, (2) Camara séptica, (3) Pozo ciego y (4) A la superficie.
Gas. Para determinar el acceso a gas de la vivienda, se considera si se utiliza gas o un combustible mejor para cocinar12. La variable que identifica el combustible tiene las siguientes categorías: (1) Leña, (2) Guano/bosta, (3) Kerosene, (4) Gas y (5) Electricidad.
Telecomunicaciones. Debido a la falta de información, la creación de un índice de privación en telecomunicaciones necesita la utilización de diferentes variables en todo el periodo de estudio. Para el periodo 1999-2002, se considera una variable que identifica a las personas que cuentan con una línea de teléfono fija o teléfono celular. Para los años 2003 y 2004 utilizamos la variable que identifica la tenencia de una línea de teléfono fija como activo; es necesario resaltar que en estos dos años no se considera la tenencia de celular por la falta de datos. Finalmente, para el periodo 2005-2009 se consideran dos variables que identifican por separado la tenencia de teléfono fijo y celular.
3.1.6. Acceso a comida (ingresos)
Para poder determinar la privación de las personas en su acceso a comida, medido por sus ingresos, utilizamos las líneas de pobreza moderada y extrema calculadas por Hernani et. al. (2013). Estas líneas de pobreza fueron actualizadas por los autores en base a la encuesta de gastos e ingresos de los años 2003 y 2004, calculando el requerimiento calórico de las personas por dominios geográficos.
4. Cambios en la pobreza multidimensional en Bolivia
Una vez descrita la metodología y los datos utilizados, se presentan los resultados obtenidos en la identificación de las personas privadas por dimensión y la evolución de los indicadores de pobreza multidimensional por familia de medidas.
4.1. Cambios en los ratios de privación por dimensión
4.1.1. Acceso a educación
La privación en acceso a educación muestra una reducción en el índice de 0.31 a 0.25 (5.96 puntos porcentuales) durante el periodo 1999-2011, a nivel nacional. Durante este periodo, la tasa de reducción porcentual promedio del índice equivale a 1.9% anual (ver figura 5).

Para el periodo 1999-2005, la reducción del índice fue de 0.31 a 0.28 (2.61 puntos porcentuales), con una tasa de reducción porcentual promedio de 1.4% por año. Sin embargo, la reducción del índice durante este periodo se explica en 2.1 puntos porcentuales por la caída experimentada el año 2004, mientras que en los primeros años se mantuvo prácticamente constante. Por otra parte, la reducción en el periodo 2005-2011 fue de 0.28 a 0.25 (3.3 puntos porcentuales), con una tasa de reducción porcentual promedio de 2.4% por año, mostrando una mayor aceleración en este periodo.
A nivel geográfico, el área urbana tuvo una reducción en la privación de 3.46 puntos porcentuales durante el periodo 1999-2011, siendo el periodo 2005-2011 el que presentó una mayor aceleración, con una tasa de reducción porcentual promedio de 2.6%, en comparación con el 0.8% del periodo 1999-2005.
Por otra parte, el área rural tuvo una reducción del índice de privación de 8.01 puntos porcentuales durante el periodo 1999-2011, explicando básicamente la reducción a nivel nacional. La tasa de reducción porcentual promedio durante el periodo 1999-2005 fue de 1.6%, mayor a la tasa de reducción del periodo 2005-2011, que fue de 1.4%. Sin embargo, la caída durante el primer periodo se explica por un quiebre en el año 2004, que tuvo una reducción en la privación de 8.1 % (ver figura 4).

Para explicar los cambios generados en el índice, es necesario observar la privación por grupos de edad. Las personas entre 6 y 14 años del área rural muestran un aumento considerable del índice en el año 2003, privación que para este grupo de edad se mide por la asistencia al centro educativo -siendo los problemas sociales los posibles causantes de dicho aumento. Debido al aumento observado el año 2003, la caída durante el año 2004 para este grupo de edad llega a ser demás del 10%, explicando de cierta manera el quiebre existente en la tendencia nacional. Por su parte, el grupo de niños menores de 6 años se considera sin privación en el acceso a educación por todavía no tener la edad necesaria para ingresar al sistema educativo. Sin embargo, el grupo de personas mayores de 14 años es el que explica el nivel de privación, con más del 35% de personas con rezago en educación primaria (criterio de privación para este grupo de edad).
4.1.2. Acceso a seguridad social de corto plazo (salud)
El índice de privación en el acceso a seguridad de corto plazo muestra una reducción de 0.79 a 0.67 (11.94 puntos porcentuales) a nivel nacional durante el periodo 1999-2011. Durante este periodo, la tasa de reducción porcentual promedio fue de 1.3 % anual (ver figura 6).

Durante el periodo 1999-2005, la tasa de reducción porcentual promedio fue de 1.5%, una caída que se explica por la introducción del Seguro Universal Materno Infantil (SUMI) durante el año 2002. El nuevo seguro de salud para todos los niños menores de 5 años generó una disminución del 15.1% en la privación de acceso a seguridad social de corto plazo, explicando el quiebre en la tendencia a partir del año 2003, que hasta ese año había permanecido prácticamente constante. Por otra parte, el periodo entre 2005 y 2011 muestra una tasa de reducción porcentual promedio de 1.1%, ajustándose a la tendencia normal del índice, siendo los años 2009 y 2011 los que presentan una mayor reducción.
A nivel geográfico, el área urbana muestra una tasa de reducción porcentual promedio de 1.3% durante el periodo 1999-2005, mostrando nuevamente una fuerte caída el año 2003 por la introducción del SUMI, la cual redujo la privación en 14.4%. En el periodo 2005-2011, la privación en acceso a seguridad social de corto plazo mostró una tasa de reducción porcentual promedio de 1.0%, mostrando una tendencia similar a la nacional.
El área rural, por su parte, muestra una tasa de reducción porcentual promedio de 1.7% durante el periodo 1999-2005, siendo el quiebre del año 2003 mayor al del área urbana, con una caída del 17.7% en el índice de privación. Sin embargo, el año 2005 existe un aumento de la privación de 8.9%, que se explica por un cambio en la privación de personas entre 5 y 60 años. Para el periodo 2005-2011, nuevamente el índice se ajusta a una tendencia natural y la tasa de reducción porcentual promedio se reduce a 1.2%, alcanzando un nivel de privación de 0.72. Este comportamiento muestra que el índice nacional muestra una tendencia similar a la del área urbana, pero que el nivel de privación se encuentra condicionado por los altos valores del área rural.
Considerando que la formalidad del empleo y los beneficios en seguros de salud que conlleva es uno de los criterios principales para determinar el índice de privación en acceso a seguridad social de corto plazo, es lógico observar los altos niveles de privación de dicha dimensión, tomando en cuenta la alta informalidad existente en el mercado laboral (Hernani et. al.,2011).
4.1.3. Acceso a seguridad social de largo plazo (pensiones)
El índice de privación en acceso a seguridad social de largo plazo -medido por las pensiones, sistema de protección social no contributivo y aportes a las AFP-muestra una reducción de 0.38 a 0.34 (4.52 puntos porcentuales) durante el periodo 1999-2011. La tendencia del índice muestra leves cambios durante todo el periodo (ver figura 7).

Para el primer periodo comprendido entre 1999 y 2005, la tasa de reducción porcentual promedio fue de 1.8% anual, con una caída de 4.12 puntos porcentuales en estos años. Dentro de este periodo, la caída más significativa es de 7.7% en el año 2011, que se explica por la reanudación en el pago del sistema de protección social no contributivo al adulto mayor, transferencia suspendida en los primeros dos años del periodo por falta de fondos.
Durante el segundo periodo, 2005-2011, la privación de acceso a seguridad social de largo plazo se mantuvo prácticamente constante, con una tasa de reducción porcentual promedio de 0.2% anual, lo que representó simplemente la reducción de 0.6 puntos porcentuales. Sin embargo, durante los primeros tres años de este periodo (2006-2008) se observa un aumento de la privación en 1.2 puntos porcentuales -situación que puede estar asociada a un ligero aumento de empleos informales- mientras que los siguientes años (2009-2011) existe una nueva caída de la privación, que por su parte se encuentra influenciada por la ampliación de beneficiarios dentro del sistema de protección social no contributivo.
A nivel geográfico, el área urbana presenta una reducción de 2.61 puntos porcentuales durante el periodo 1999-2011, siendo la tasa de reducción porcentual promedio de 0.7% anual. Para el periodo 1999-2005, la caída de la privación fue de 2.49 puntos porcentuales, una reducción que nuevamente se explica por el pago del sistema de protección social no contributiva. Por otra parte, durante el periodo 2005-2011 existió un aumento de 7.7% de la privación en el año 2008, pero la tasa de reducción porcentual promedio en los siguientes años fue mayor al 2.5% anual, lo que no genera un cambio grande entre el inicio y final del periodo.
En el área rural, la privación de acceso a seguridad social de largo plazo muestra una reducción de 6.76 puntos porcentuales durante el periodo 1999-2011. En los primeros años del periodo, comprendidos entre 1999 y 2005, se observó una caída de 6.42 puntos porcentuales, explicando casi totalmente la reducción existente en todo el periodo. Dentro de estos primeros años, la caída generada por el sistema de protección social no contributivo fue de 7.7% en el año 2003, lo que representa 3.5 puntos porcentuales de la reducción total del índice en todo el periodo.
4.1.4. Acceso a vivienda adecuada
El índice de privación en acceso a vivienda adecuada, medido por las características de los materiales utilizados para la construcción de la vivienda y el espacio por miembro de hogar, tuvo una reducción de más de 9.38 puntos porcentuales (0.47 a 0.38) durante el periodo 1999-2011. Esta reducción representa una tasa porcentual promedio de 1.9% anual; sin embargo, el valor de esta tasa de reducción fue cambiando durante el tiempo (ver figura 8).

Para el periodo 1999-2005, la tasa de reducción porcentual promedio fue de 1.4%, alcanzando una reducción total de 4.18 puntos porcentuales durante este periodo. Por otra parte, en el periodo 2005-2011 existe un aumento de la tasa de reducción porcentual promedio a 2.5% anual, lo que generó la caída en 5.2 puntos porcentuales de la privación de acceso a vivienda adecuada. Estos resultados muestran una continua caída de la privación de vivienda adecuada durante todo el periodo, pero que se aceleró a partir del año 2005.
A nivel geográfico, el área urbana tuvo una caída en el índice de privación de 0.40 a 0.31, representando 8.61 puntos porcentuales durante el periodo 1999-2011. La tasa de reducción porcentual promedio en el área urbana fue de 1.9%; sin embargo, durante el periodo 1999-2005 la tasa era de 0.9% anual, lo que muestra una aceleración en la caída del índice de privación a partir del año 2005. Durante el periodo 2005-2011, la tasa de reducción porcentual fue de 3.5%, logrando una caída de 6.6 puntos porcentuales en estos últimos años.
Este comportamiento en el área urbana muestra una caída mucho más pronunciada que la efectiva a nivel nacional. Por otra parte, el área rural muestra una caída de 8.78 puntos porcentuales en el índice de privación de vivienda adecuada, un valor no muy alejado al observado en el área urbana, a diferencia de las otras dimensiones hasta ahora analizadas. Llama la atención, dentro del área rural, que para el periodo 1999-2005, la tasa de reducción porcentual promedio fue de 2% anual, mientras que para el periodo 2005-2011 fue de 0.9%. Este comportamiento de la tendencia del índice en el área rural es opuesto al observado en el área urbana, logrando una mayor reducción durante los primeros años del periodo.
Los componentes que se utilizan para la construcción del índice de privación en acceso a vivienda adecuada se pueden dividir en (1) materiales de construcción de la vivienda y (2) indicadores de comodidad o habitabilidad. Si observamos la evolución del índice de privación para cada uno de los componentes en estas dos categorías, se puede entender de mejor manera la evolución de esta dimensión (ver figura 9).

En primer lugar, la evolución de la privación en los materiales de construcción de la vivienda (paredes, techos y pisos) tiene un comportamiento muy diferente entre ellos. La privación de paredes de buena calidad dentro de la vivienda muestra un comportamiento prácticamente constante durante el periodo 1999-2011, con una leve caída a partir de 2005, menor a 5 puntos porcentuales. La privación de techos de buena calidad presenta este comportamiento constante durante el periodo 1999-2005, pero comienza una reducción de más de 10 puntos porcentuales a partir de este año, explicando en cierta medida la reducción de la privación de esta dimensión durante estos años. Finalmente, la privación de pisos de buena calidad presenta una tendencia decreciente durante todo el periodo 1999-2011, con tasas de reducción similares entre los primeros y ultimos años, alcanzando una caída en el índice de 18 puntos porcentuales.
En segundo lugar, los componentes de espacio o habitabilidad de la vivienda no han sufrido cambios muy marcados en el nivel de privación durante el periodo 1999-2011. La privación de dormitorios por miembro del hogar muestra que la tendencia del indicador es constante durante todo el periodo, exceptuando los años 2005 y 2008, que muestran caídas cercanas a los 5 puntos porcentuales, alcanzando una reducción de 10 puntos porcentuales en el índice. Por otra parte, el espacio de habitaciones múltiples no muestra prácticamente cambio alguno, con una pequeña reducción menor a 5 puntos porcentuales en el periodo 1999-2011. Una característica de este componente es la similitud que presenta tanto en el área urbana como en el área rural, mostrando que las habitaciones multiuso de la vivienda son una privación independiente del área geográfica.
Finalmente, una vez analizados los componentes del índice, se puede observar que en el área urbana existe una mejora en la vivienda por la calidad de materiales en su construcción. Sin embargo, en el área rural la privación se mantuvo constante alrededor de 0.5 a partir del año 2005, deteniéndose la reducción de la privación que se había observado durante los primeros años del periodo.
4.1.5. Acceso a servicios básicos
El índice de privación en acceso a servicios básicos tuvo una reducción de 0.85 a 0.58 (26.75 puntos porcentuales) durante el periodo 1999-2009. Esta caída en el índice representó una tasa de reducción porcentual promedio de 3.2% anual. Sin embargo, la reducción experimentada durante el periodo tuvo diferentes comportamientos entre el periodo y no fue una caída constante del índice (ver figura 10).

Para el periodo 1999-2005, el índice de privación tuvo una caída de 13.65 puntos porcentuales, pasando de 0.85 al inicio del periodo a 0.71 en el año 2007. Sin embargo, la tendencia del índice fue totalmente irregular durante estos primeros años. Entre 1999 y 2004 se observan aumentos y reducciones leves en el índice, que se traduce en una tasa de aumento porcentual promedio de 0.4% por año. El gran quiebre de la tendencia se genera durante el año 2005, en el cuál se experimenta una caída de 17.7 puntos porcentuales en el índice de privación, que se explica principalmente por cambios en los datos disponibles para la construcción del índice -específicamente en el componente de telefonía, que se explica más adelante. A partir del año 2005, la privación en acceso a servicios básicos tiene una reducción relativamente constante y de mayor aceleración que en años anteriores, con una tasa de reducción porcentual promedio de 3.9% anual, lo que representa una caída de 13.09 puntos porcentuales.
A nivel geográfico, el índice de privación muestra un comportamiento muy diferente entre el área urbana y el área rural. En el área urbana se observa una tendencia similar a la nacional, con un nivel de privación mucho menor al rural. Durante el periodo 1999-2011, la privación en acceso a servicios básicos en el área urbana tuvo una reducción de 37.67 puntos porcentuales, explicando la caída a nivel nacional. La caída observada el año 2005 se acentúa aún más en el área urbana, con una reducción total de 28.9 puntos porcentuales en este año, mostrando en el periodo 1999-2005 una tasa de reducción porcentual promedio de 4.2% anual. Sin embargo, a partir del año 2005 se acelera la reducción en este índice, con una tasa de reducción porcentual promedio de 7.0% anual, alcanzando en estos años una caída de 17.44 puntos porcentuales.
Por otra parte, el área rural muestra un comportamiento elusivo al mejoramiento en acceso a servicios básicos. El criterio para la identificación de personas privadas en acceso a servicios básicos considera la privación en al menos un servicio básico de un total de cinco servicios. Este criterio puede explicar que durante el periodo 1999-2005 el índice de privación tuvo simplemente un cambio de 0.99 a 0.97 (2.27 puntos porcentuales), con una tasa de reducción porcentual promedio de 0.2% anual. El comportamiento constante de este índice en el área rural sugiere que, de los seis servicios básicos considerados, existe al menos uno de ellos que no muestra una mejora en el periodo, lo que se traduce en la reducción del índice de privación en acceso a servicios básicos.
Para entender el comportamiento de la tendencia observada en el índice, además de las diferencias generadas entre periodos de tiempo y nivel geográfico, es necesario que se analicen algunos de los componentes (servicios básicos) que fueron considerados al momento de su construcción. En este sentido, los servicios básicos que han mantenido una reducción constante durante todo el periodo 1999-2011 son el acceso a electricidad y combustible, con una reducción a nivel nacional de 10 y 18 puntos porcentuales, respectivamente. Por otra parte, el acceso a agua potable mantuvo a nivel nacional un nivel constante en su privación, con valores entre 0.35 y 0.38 durante el periodo. Sin embargo, en el área rural existen variaciones considerables durante los últimos años, observándose un aumento de más de 20 puntos porcentuales desde el año 2007, cambio que según los datos se relaciona con la procedencia del agua declarada por los hogares.
Por último, los servicios básicos que explican de mejor manera la tendencia y nivel del índice de privación son el acceso a alcantarillado y a telecomunicaciones. El índice de privación en acceso a alcantarillado muestra una reducción constante durante el periodo 1999-2011 de más de 10 puntos porcentuales a nivel nacional, acentuándose en el área urbana con una caída de 20 puntos porcentuales. Sin embargo, en el área rural la privación se mantuvo prácticamente constante durante todo el periodo, con más del 95% de las personas privadas en este servicio básico, explicando de esta manera el nivel alto de la privación en el área rural y el comportamiento constante durante el periodo. Por otra parte, el servicio de telecomunicaciones muestra una caída considerable durante el año 2005, explicando el quiebre en la tendencia del índice de privación en servicios básicos a nivel nacional y urbano. Este quiebre se explica por la diferencia en la recopilación de los datos utilizados para el estudio. En el periodo 1999-2004 se agrega dentro de una pregunta el acceso a telefonía básica y celular, mientras que a partir del año 2005 se puede diferenciar el acceso a telefonía basica y celular. Considerando el avance en cobertura de la telefonía celular, sobre todo en el área rural, se puede explicar la gran caída el año 2005 y la tendencia decreciente con una gran aceleración a partir de este año (especialmente en el área rural) (ver figura 11).

4.1.6. Acceso a comida (ingresos)
El índice de privación en acceso a comida o el índice de pobreza monetaria moderada, por estar medido a partir del ingreso per cápita de las personas, tuvo una reducción de 0.71 a 0.48 (22.83 puntos) a nivel nacional durante el periodo 1999-2011. Esta caída representa una tasa de reducción porcentual promedio de 3.3% anual; no obstante, esta reducción no tuvo una tasa constante durante todo el periodo (ver figura 12).

Para el periodo 1999-2005, la tasa de reducción porcentual promedio fue de 2.3% anual, representando una caída de 9.68 puntos porcentuales. En este periodo se puede observar un aumento en los años 2000 y 2003-posiblemente relacionado con la situación económica y social, respectivamente. Posteriormente, en el periodo 2005-2011, la caída se incrementó a 13.15 puntos porcentuales, casi duplicando la tasa de reducción porcentual promedio a 4.5% anual.
Por otra parte, el índice de pobreza extrema tuvo una caída de 0.47 a 0.21 durante el periodo 1999-2005 (26.28 puntos porcentuales). La tasa de reducción porcentual promedio para este índice fue de 6.5% anual; sin embargo, el comportamiento de la tendencia es similar al índice de pobreza monetaria moderada, con una tasa de reducción variable durante el periodo. En el periodo 1999-2005, la tasa de reducción porcentual promedio fue de 4.4% anual, mientras que en el periodo 2005-2011 la tasa de reducción porcentual promedio fue más acelerada, con un valor de 9.1%, un aceleramiento mayor al experimentado por el índice de pobreza monetaria moderada.
A nivel geográfico, el área urbana tuvo una reducción de 17.40 puntos porcentuales durante el periodo 1999-2011 en el índice de pobreza monetaria moderada, un valor similar a los 17.66 puntos porcentuales de reducción que tuvo el índice de pobreza monetaria extrema. Sin embargo, llama la atención que durante el periodo 2005-2011 la tasa de reducción porcentual promedio para el índice de pobreza monetaria extrema tuvo un gran aumento, siendo de 10.7% anual.
Durante el periodo 1999-2011, el área rural tuvo una caída de 0.89 a 0.59 en el índice de pobreza monetaria y de 0.77 a 0.38 en el índice de pobreza monetaria extrema. En este periodo se observa que hubo una aceleración en la tasa de reducción porcentual promedio a partir del año 2005 en el índice de pobreza moderada; sin embargo, el índice de pobreza monetaria extrema tuvo una mayor caída durante el periodo 1999-2005 (20.14 puntos porcentuales) que durante los siguientes años (18.45 puntos porcentuales). Este comportamiento en el índice de pobreza monetaria extrema difiere del observado en el área urbana, en el cual la mayor reducción de pobreza monetaria extrema se observa en el periodo 2005-2011.
4.2. Identificando a los "pobres multidimensionales"
Una vez identificadas las privaciones para cada persona y año, es necesario agregar las dimensiones en privación de cada persona, para entender su situación bajo un enfoque de pobreza multidimensional. Considerando que el estado de "pobre multidimensional" se encuentra determinado por el criterio de corte utilizado, se muestran los resultados para cada tipo de corte que se podría adoptar en el estudio. Durante la identificación no se realiza una diferencia entre las dimensiones generadas por derechos sociales y la dimensión monetaria (ver figura 13).

El primer enfoque que se asume es el de "unión", en el cual se considera como pobre multidimensional a toda persona que tiene al menos una dimensión en privación. Este primer enfoque nos muestra que, siendo lo más estrictos posibles en la identificación de la pobreza multidimensional, durante el periodo 1999-2011 el índice fue mayor a 0.90, i.e., que más del 90% de las personas se considerarían pobres multidimensionales, con una reducción de 5 puntos porcentuales durante el periodo, para llegar a 0.92 el año 2011. La tendencia decreciente de la pobreza multidimensional, siguiendo este enfoque, sería constante durante todo el periodo, sin experimentar periodos de mayor aceleración a pesar de variaciones anuales.
Considerando dos privaciones como el número de corte para la identificación, el índice de pobreza multidimensional se reduce en relación al enfoque de unión, y cambia de 0.89 a 0.77 durante el periodo 1999-2011. Este criterio permite observar diferentes velocidades en la reducción durante el periodo comprendido entre los años 1999 y 2005, se observa una reducción de 5.26 puntos porcentuales, mientras que a partir del año 2005 se observa una reducción de 7.05 puntos porcentuales. Esta tendencia muestra que en el periodo 2005-2011 existe una mayor reducción de la pobreza multidimensional, con una tasa de 1.7% por año.
Por otra parte, considerando la mitad de dimensiones como el corte para la identificación de la pobreza multidimensional, la caída del índice es aún mayor que en los cortes menos estrictos. Durante el periodo 1999-2011, el índice de pobreza multidimensional pasó de 0.77 a 0.54 (22.95 puntos porcentuales), con una reducción de 11.84 puntos porcentuales a partir del año 2005, lo que muestra una aceleración en la caída a partir de este año.
En cuanto a la evolución del índice con un enfoque de cuatro dimensiones y siendo más estrictos para la identificación de la pobreza multidimensional, existe una caída de 24.13 puntos porcentuales, pasando de 0.54 a 0.30 durante el periodo 1999-2011. Lo interesante en este enfoque es que la tasa de reducción durante el periodo 1999-2005 es mayor al observado en los últimos años, comportamiento que difiere de aquellos enfoques menos escritos.
Los enfoques más estrictos, que consideran como pobre multidimensional a las personas con cinco o seis dimensiones, presentan un nivel más bajo durante el periodo 1999-2011. Por otra parte, durante el periodo 1999-2005 se observa una mayor reducción de puntos porcentuales, pero en un mayor número de años i.e., las tasas de reducción porcentual promedio se aceleran a partir del año 2005, pero en una proporción menor a la de los otros enfoques.
A nivel geográfico (ver figura 14), se puede apreciar una gran diferencia en la identificación de la pobreza dimensional por enfoque, a pesar de una tendencia decreciente en la mayoría de los enfoques para el periodo 1999-2011. En el área urbana, el nivel de pobreza multidimensional muestra una gran reducción en la mayoría de los enfoques utilizados. En cuanto al nivel de la pobreza dimensional, se puede observar que cerca al 50% de la población tiene tres o menos dimensiones en privación, y menos del 5% tiene privación en las seis dimensiones durante el periodo 1999-2011.

Sin embargo, en el área rural se puede observar que la proporción de personas con privación en las dimensiones estudiadas es mucho mayor al del área urbana. Si consideramos el criterio de tres dimensiones para la identificación de pobreza multidimensional, el 80% de las personas que viven en el área rural son pobres multidimensionales y más del 50% tiene cuatro o más dimensiones en privación. Los resultados encontrados en la identificación de la pobreza multidimensional nos permiten observar que, independientemente del enfoque que se utilice, la pobreza desde un enfoque multidimensional ha caído durante el periodo 1999-2009. Sin embargo, la tendencia de la caída tiene una dependencia del enfoque utilizado y de los años dentro del periodo. De esta manera, el índice tiende a tener una mayor aceleración durante el periodo 2005-2011 en criterios que agrupen menor cantidad de dimensiones, lo que podría sugerir que la reducción de la pobreza multidimensional en los últimos años se concentró en aquellos con menor cantidad de dimensiones en privación, mientras que se mantuvo elusiva al grupo más vulnerable de la población.
4.3. Medidas de agregación
Una vez identificada la población en situación de pobreza multidimensional bajo diferentes enfoques, se busca profundizar el estudio siguiendo diferentes tipos de indicadores de pobreza multidimensional. En este sentido, seguimos las tres metodologías descritas para la agregación de medidas globales a toda la población.
4.3.1. Familia de medidas AF
Siguiendo la familia de medidas AF a nivel nacional (ver cuadro 4), podemos observar que el índice de pobreza corresponde a los resultados previamente descritos en la sección anterior al identificar la pobreza multidimensional. De acuerdo al corte elegido, el nivel de pobreza multidimensional puede llegar a agrupar a más del 90% de la población (corte de una dimensión) o a menos del 5% (corte de seis dimensiones) en el año 2011. Sin embargo, la tendencia en cualquiera de los cortes es evidentemente decreciente durante el periodo 1999-2011. Esta reducción muestra mayores tasas de reducción para el periodo 2005-2011, pero se ve desacelerada cuando se consideran cortes con mayor número de dimensiones, reduciendo los mismos 2.5 puntos porcentuales en el periodo 1999-2005 y 2005-2011 para el corte de seis dimensiones.

Por otra parte, al observar la incidencia de pobreza ajustada por el número de dimensiones observadas en las personas identificadas como pobres multidimensionales, durante el periodo 1999-2011 existe una reducción porcentual mayor a medida que el corte considera un mayor número de dimensiones. De esta manera, la reducción porcentual para el corte de una sola dimensión es de 26.31% mientras que si consideramos un corte con las seis dimensiones, el índice de pobreza ajustada se vuelve prácticamente nulo. La tasa de reducción para este indicador se ve acelerado durante el periodo 2005-2011, mostrando una mayor reducción de dimensiones en privación para los pobres multidimensionales durante los últimos años del periodo. Por lo tanto, este indicador nos muestra que existe una disminución considerable de las dimensiones en privación para los pobres multidimensionales en el periodo 1999-2011.
Al observar la intensidad de la pobreza multidimensional, la brecha de pobreza muestra un comportamiento similar a la incidencia de pobreza, independientemente del corte que se utilice. Esta brecha de pobreza calculada muestra una tendencia decreciente durante todo el periodo 1999-2011, con solo un aumento en el año 2000 -siendo la crisis económica la posible razón de este aumento.
Por su parte, la severidad de la pobreza muestra una reducción menor a la observada en la brecha de pobreza, siendo nuevamente nula para los últimos años del corte de seis dimensiones. Estos resultados muestran nuevamente una reducción mayor de la severidad de la pobreza a partir del año 2005, con una aceleración en la reducción de las dimensiones en privación por parte de los pobres multidimensionales.
El área urbana muestra niveles de pobreza multidimensional muy por debajo del nivel nacional. La tendencia decreciente de los indicadores de pobreza multidimensional es menor a la nacional, pero con gran aceleración en el periodo 2005-2011. Dentro de este nivel geográfico la adopción de un criterio para la elección del corte se hace fundamental, por los resultados obtenidos para cortes con más de cinco dimensiones. Si consideramos como pobres multidimensionales a las personas con un mayor número de dimensiones en privación, se observa que la brecha de pobreza y la severidad se hace nula, lo que indica que en el área urbana las personas en una gran mayoría no son privadas en al menos una de las dimensiones observadas (ver cuadro 5).

Finalmente, el área rural muestra niveles más altos en los indicadores de pobreza multidimensional y una tendencia decreciente durante el periodo 1999-2011. Sin embargo, los valores que se observan en la brecha de pobreza y severidad muestran una proporción de gente con privación en la mayoría de las dimensiones estudiadas. Si bien los indicadores de pobreza multidimensional muestran una tendencia decreciente independiente del corte utilizado, la incidencia de pobreza según el corte de seis dimensiones, identifica cerca a 10% de personas que viven en privación y cuya brecha de pobreza y severidad no ha mostrado reducciones considerables durante el periodo 1999-2011. Estos resultados nos muestran un grupo de personas vulnerables en el área rural que se mantiene durante el periodo, ajenos a las reducciones en privación que se observa en el área urbana (ver cuadro 6).

4.3.2. Tipología Coneval
La familia de indicadores AF identificaba la pobreza multidimensional a partir de la privación en el conjunto de dimensiones estudiadas. Por su parte, la metodología adoptada por Coneval (2010) identifica una dimensión monetaria y otra dimensión social. De esta manera, se puede diferenciar la evolución de la pobreza según el derecho que se encuentre en privación. Según la metodología descrita, consideramos a una persona con privación en la dimensión social si tiene al menos un derecho social en privación, y con privación monetaria si el ingreso per cápita de la persona se encuentra por debajo de la linea de pobreza moderada (ver figura 15).

Los resultados obtenidos para las personas que se encuentran bajo pobreza multidimensional, i.e., aquellas personas que tienen al menos un derecho social en privación y cuyo ingreso per cápita es menor a la linea de pobreza moderada, muestran un cambio de 0.70 a 0.46 (24.38 puntos porcentuales) en el periodo 1999-2011. En este periodo, la tasa de reducción porcentual promedio fue de 3.7% anual, siendo el periodo 2005-2011 el que presentó una tasa más acelerada, cercana al 5% de reducción anual. Dentro de este periodo, es necesario resaltar que durante el año 2000 se observa un aumento de 4.1 puntos porcentuales en la incidencia de pobres multidimensionales, relacionado nuevamente con la situación económica del país durante este año.
El grupo de vulnerables sociales-personas con privación en al menos un derecho social, pero con ingreso per cápita mayor a la linea de pobreza moderada- tuvo un aumento de 0.26 a 0.44 durante el periodo 1999-2011, mostrando un aumento de 17.82 puntos porcentuales durante estos años. Este cambio observado en las personas vulnerables sociales tuvo un mayor aumento a partir del año 2005, con una tasa de variación porcentual positiva de 6% anual. Estos resultados muestran que para el año 2011 la proporción de vulnerables sociales es prácticamente igual a la de pobres multidimensionales a nivel nacional. Es necesario aclarar que el aumento en este grupo de personas no significa necesariamente un aumento en la privación de derechos sociales, sino que puede dejar otros grupos de privación para identificarse con la privación exclusiva de derechos sociales.
Por su parte, el grupo de vulnerables monetarios, i.e., las personas que tienen un ingreso per cápita menor a la linea de pobreza moderada pero no tienen privación en derechos sociales, es el más pequeño de los identificados en esta metodología. Durante el periodo 1999-2005, el índice de vulnerables monetarios pasó de 0.01 a 0.02 (1.55 puntos porcentuales de aumento) en este periodo, un cambio que representa simplemente un aumento de 0.1 puntos porcentuales por año. Sin embargo, este grupo es el más volátil de los ya analizados, con aumentos y reducciones constantes durante el periodo.
El último grupo de estudio corresponde a las personas no pobres de la población, i.e., que no tienen privación en ningún derecho social ni en la dimensión monetaria, cuyo cambio en el índice fue de 0.02 a 0.07 (5 puntos porcentuales) durante el periodo 1999-2011. Este grupo de personas no pobres tuvo una tasa de aumento porcentual promedio de 10.7% anual. Sin embargo, durante el periodo 1999-2005 se evidencia una tasa de aumento mayor a la que se observa a partir del año 2005; esta tasa significó un aumento de 2.52 puntos porcentuales en los primeros años, frente a 2.42 puntos porcentuales observados en el periodo 2005-2011.
Los resultados obtenidos muestran que, durante el periodo 1999-2011, la caída en el índice de pobreza multidimensional a nivel nacional se debe principalmente a un cambio en la dimensión monetaria. Esta conclusión se debe principalmente al gran aumento de vulnerables sociales y los cambios leves en los demás grupos. Observando la dinámica generada, se puede concluir que la dimensión de derechos sociales se mostró elusiva durante el periodo, siendo la dimensión monetaria la responsable de la reducción del índice de pobreza multidimensional.
A nivel geográfico (ver figura 16), el área urbana muestra una reducción de 19.64 puntos porcentuales en el índice de pobres multidimensionales durante el periodo 1999-2011. Esta reducción se encuentra acompañada de un aumento de vulnerables sociales en 10.32 puntos porcentuales, convirtiéndose en el grupo más numeroso, con 45% de personas en este grupo. Sin embargo, lo más llamativo del área urbana es el aumento de no pobres multidimensionales, con más de 7.09 puntos porcentuales en todo el periodo. Este aumento tuvo una mayor aceleración en el periodo 1999-2005, con una tasa de aumento de 12.3% anual, mientras que en el periodo 2005-2011 fue de 6.2%.

Por otra parte, en el área rural el índice de pobreza multidimensional pasó de 0.89 a 0.59 (30.65 puntos porcentuales) durante el periodo 1999-2005. En este mismo periodo el grupo de vulnerables sociales vio un aumento de 30.21 puntos porcentuales (un cambio en el índice de 0.10 a 0.40), lo que significa un paso en su totalidad de los que dejaron la pobreza multidimensional al grupo de vulnerables sociales. Esto se confirma al observar aumentos muy pequeños, de 0.08 y 0.36 puntos porcentuales, para los grupos de vulnerables monetarios y no pobres multidimensionales, respectivamente.
Estas diferencias observadas a nivel geográfico nos muestran que existe una gran vulnerabilidad en la dimensión social dentro del área rural, mientras que el área urbana ha logrado un aumento de las personas que no presentan privación en derechos sociales. Sin embargo, en ambos niveles destaca el hecho de que la dimensión monetaria es la principal explicación de la reducción en la pobreza multidimensional, mientras que la dimensión de derechos sociales se mantuvo elusiva durante el periodo.
Realizando la desagregación de la tipología Coneval y la incorporación de las líneas de pobreza extrema para ambas dimensiones, los resultados a nivel nacional y por área geográfica para el periodo 1999-2011 (ver cuadro 7), muestran los siguientes resultados:
Pobre multidimensional extremo: El grupo de personas con ingresos menores a la línea de pobreza extrema y con más de tres derechos sociales en privación se constituía en el más numeroso de la población a inicio del periodo. Durante el periodo 1999-2011, el índice de pobreza multidimensional extrema pasó de 0.36 a 0.12 (24.4 puntos porcentuales de reducción), pasando a ser el cuarto grupo más numeroso para el año 2011. Este grupo tuvo una mayor reducción a partir del año 2005, con una tasa porcentual promedio de 8.6% anual.
Por su parte, a nivel urbano el grupo de pobreza multidimensional extremo no tenía la misma relevancia que a nivel nacional, pero mostró una caída de 14.4 puntos porcentuales en el periodo, reduciendo a 4.9% la cantidad de personas en este grupo. Sin embargo, el área rural tenía a más del 66% de su población categorizada como pobre multidimensional extremo en el año 1999. A pesar de una reducción de 39.4 puntos porcentuales durante el periodo 1999-2011, el grupo de pobreza multidimensional extrema sigue siendo el más númeroso el año 2011, con un total de 27.1 % de la población rural bajo esta categoría.
Pobre multidimensional con vulnerabilidad monetaria extrema: dentro de las personas que conforman el estado de pobreza multidimensional existe un grupo de personas que tienen menos de tres derechos sociales en privación, pero sus ingresos se encuentran por debajo de la línea de pobreza extrema. Durante el periodo 1999-2011, este grupo vió una reducción de 2.20 puntos porcentuales a nivel nacional, con una leve aceleración de la caída a partir del año 2005. De esta manera, el año 2011 el 8.5% de la población se categorizaba en este grupo.
A nivel geográfico, el área urbana presenta un nivel similar al nacional en relación al porcentaje de la población que se encuentra en este grupo. Sin embargo, el área urbana presenta una mayor reducción de este grupo, con un valor cercano a los 3 puntos porcentuales. Por otra parte, el área rural presenta niveles similares al urbano, pero con un leve aumento de 0.7 puntos porcentuales en el periodo. Los resultados obtenidos para este grupo nos muestran que, independientemente del área geográfica, existe un grupo de la población que se ha mantenido estable en cuanto a su situación de vulnerabilidad extrema por ingresos, a pesar de no tener una situación extrema en la privación de derechos sociales.
Vulnerable monetario extremo: el grupo de personas con un ingreso per cápita menor a la línea de pobreza extrema y con todos los derechos sociales garantizados es el grupo más pequeño a nivel nacional. Durante el periodo 1999-2011, este grupo tuvo un aumento de 0.4 puntos porcentuales, pero no llega al 1% de la población el año 2011. A nivel geográfico, el área urbana explica la presencia de personas que se encuentren en esta situación de vulnerabilidad, mientras que el área rural prácticamente no cuenta con personas que se encuentren en este grupo. El análisis de este grupo en particular nos permite observar que en el área rural la privación de derechos sociales es sin duda el mayor problema, evidenciando que es improbable encontrar personas vulnerables por ingresos pero no por derechos sociales.
Pobre multidimensional con vulnerabilidad social extrema: este subgrupo de la pobreza multidimensional considera a las personas con un nivel de pobreza monetaria moderada, pero con tres o más derechos sociales en privación. Durante el periodo 1999-2011 se observa una caída de 14.1% a 12.2% de la población que vive bajo esta situación a nivel nacional. Con una tendencia creciente durante el periodo 1999-2005, es a partir del año 2005 que el porcentaje de personas en este tipo comienza a reducirse, logrando una caída cercana a tres puntos porcentuales desde este año.
El área urbana muestra niveles mayores para este grupo de la población, y una caída más llamativa durante el periodo 1999-2011. En estos años, el porcentaje de pobres multidimensionales con vulnerabilidad social extrema cayó en más de 5 puntos porcentuales, alcanzando un valor de 10.2% en el año 2011. Por su parte, el área rural muestra un aumento de este grupo en 3.2 puntos porcentuales. Al observar en el área rural una reducción considerable de la pobreza multidimensional extrema y un aumento de este grupo, se podría explicar que este leve aumento corresponde en parte al grupo de personas que durante el periodo dejaron de ser pobres monetarios extremos, pero no tuvieron algún cambio en la privación extrema de sus derechos sociales.
Pobre multidimensional moderado: dentro de las personas que son consideradas pobres multidimensionales se encuentran aquéllas con menos de tres derechos sociales en privación e ingreso per cápita menor a la línea de pobreza moderada, pero mayor a la extrema. Este grupo fue uno de los que tuvo mayor aumento durante el periodo 1999-2011, pasando de agrupar 9% de la población a 14.1% el año 2011. Considerando la reducción de la pobreza multidimensional extrema, los resultados indican que un posible destino de los que dejan ese estado pasan a ser pobres multidimensionales moderados, logrando mejorar sus ingresos y el acceso a derechos sociales.
A nivel geográfico, el área urbana muestra un nivel más alto de este grupo que a nivel nacional, con un cambio de 12.7 a 17.5% durante el periodo 1999-2011. Sin embargo, el crecimiento de este grupo tuvo una mayor aceleración durante el periodo 1999-2005, lo que podría sugerir que, en el periodo 2005-2011, las personas que dejan la situación de pobreza multidimensional en distintos subgrupos pasan a otro grupo de la población fuera de la situación de pobreza multidimensional como tal. En el área rural la tendencia de este grupo de la población es similar, con una tendencia creciente durante el periodo 1999-2011. No obstante, el porcentaje de población rural que se encuentra en este grupo es mucho menor al observado en el área urbana, con un cambio de 2.6 a 7.3% durante el periodo 1999-2011.
Vulnerable monetario moderado: al igual que el grupo de vulnerables monetarios extremo, el grupo de personas con un ingreso per cápita menor a la línea de pobreza moderada, pero mayor a la extrema y con pleno acceso a derechos sociales, es de los más pequeños a nivel nacional. Durante el periodo 1999-2011, el grupo de vulnerables monetarios moderados pasó de 0.5 a 1.7% a nivel nacional. Este porcentaje de personas se encuentra explicado por el área urbana, en el cual este grupo tuvo un crecimiento de 1.7 puntos porcentuales, pasando de 0.7 a 2.4% entre los años 1999 y 2011. Por otra parte, el área rural nuevamente muestra un grupo prácticamente vacío, al igual que el grupo de vulnerables monetarios extremos. Esto se puede explicar nuevamente por la intensidad en la privación de derechos sociales.
Vulnerable social extremo: el grupo de personas con privación en tres o más derechos sociales e ingresos por encima de la línea de pobreza moderada es uno de los más numerosos a nivel nacional. La incidencia de personas consideradas vulnerables sociales extremas pasó de 11.1 a 16.6%, explicando en cierta medida la reducción de pobres multidimensionales extremos. Este aumento significaría que una parte de la población que dejó la pobreza multidimensional pasó a ser vulnerable social extremo por la mejora en la dimensión monetaria, pero una continua privación de sus derechos sociales.
En el área urbana, el grupo se mantuvo prácticamente constante durante todo el periodo, alrededor de 13% de las personas vulnerables sociales extremas, considerando que la incidencia de personas con un gran número de dimensiones sociales en el área urbana ha mostrado una gran reducción los ultimos años. Por otra parte, en el área rural este grupo es el de mayor crecimiento y se constituye en el segundo grupo más numeroso el año 2011 -luego del grupo de pobres multidimensionales extremos. Durante el periodo 1999-2011, el grupo de vulnerables sociales extremos pasó de 6.8 a 23.7%, representando un aumento de 16.9 puntos porcentuales. Este aumento de este grupo en el área rural y el hecho de que más del 80% tiene una privación de tres o más dimensiones, explica que el mayor porcentaje de las personas que dejan de ser pobres multidimensionales extremos pasan a ser vulnerables sociales extremos, mostrando que la mejora se da en la dimensión monetaria y no así en el acceso a derechos sociales.
Vulnerable social moderado: el grupo de personas con privación en menos de tres dimensiones sociales y con ingresos por encima de la línea de pobreza monetaria moderada se constituye en el grupo de mayor crecimiento a nivel nacional y el más numeroso para el año 2011. Entre 1999 y 2011, el porcentaje de personas vulnerables sociales moderadas pasó de 15.1 a 27.4%, con un crecimiento de 12.3 puntos porcentuales en todo el periodo. Este resultado muestra nuevamente que, a nivel nacional, la mayor parte de pobres multidimensionales dejan esta categoría por el mejoramiento en la dimensión monetaria, pero continúan dentro de un estado de privación de derechos (entre 1 y 3 dimensiones promedio).
A nivel geográfico, dentro del área urbana este grupo es el más numeroso durante todo el periodo 1999-2011. Considerando que el nivel de ingresos es mayor y existe un mayor acceso a derechos sociales, el grupo de personas con ingresos mayores a la línea de pobreza monetaria y pocos derechos sociales en privación prevalece frente a los demás grupos. Dentro de este periodo, el porcentaje de personas vulnerables sociales moderadas pasó de 21.9 a 32.7%, aumentando prácticamente el mismo porcentaje que redujo el grupo de pobreza multidimensional extrema.
No pobre multidimensional: finalmente, el grupo de personas que no tiene privación en ninguna de las dimensiones sociales y cuenta con un ingreso per cápita mayor a la línea de pobreza monetaria moderada. A nivel nacional, el grupo de pobres no multidimensionales tuvo un aumento de 5 puntos porcentuales, pasando de 2.8 a 7.8% durante el periodo 1999-2011, reduciendo en la misma cantidad durante los periodos 1999-2005 y 2005-2011. Este aumento del nivel de no pobres multidimensionales se explica al observar el comportamiento de este grupo en el área urbana, en la cual tuvo un aumento de 7.1 puntos porcentuales, superando el 10% de no pobres multidimensionales el año 2011. Por otra parte, el área rural experimentó una variación porcentual considerable en este grupo durante el periodo 1999-2011; sin embargo, esta variación no es muy significativa cuando se observa que el porcentaje de no pobres multidimensionales en el área rural es de 0.4% en el año 2011.

Finalmente, cuando se logra diferenciar las dimensiones sociales y la monetaria del análisis de pobreza multidimensional, podemos observar que la disminución en la pobreza multidimensional se explica por la caída de la pobreza monetaria. De la misma forma, estos resultados nos permiten ver que el área urbana ha mostrado un cierto avance en el acceso a dimensiones sociales, pero el área rural se ha mostrado elusivo a esta reducción de la privación en derechos sociales. La figura 17 nos permite observar gráficamente este cambio significativo que existió durante el periodo 1999-2011 y el paso de una población pobre multidimensional extrema a una vulnerable social por el acceso a derechos sociales.

4.3.3. Familia de medidas BC
La última metodología descrita en el documento hace referencia a la familia de indicadores BC. Este indicador permite obtener un índice que considere la sustituibilidad de dimensiones y la aversión a la pobreza multidimensional. La figura 18 nos permite observar los indicadores a nivel nacional de la familia BC, que presentan un comportamiento similar al previamente observado en las anteriores secciones.

El primer indicador que considera una aversión igual a uno (α= 1), muestra una reducción de 14.13 puntos durante el periodo 1999-2011. Esta reducción se concentra en el periodo 2005-2011, con una tasa de reducción porcentual promedio de 3.2% anual. Sin embargo, las mayores reducciones se concentran en dos momentos del periodo. El año 2003 se experimenta una caída de 6.5 puntos porcentuales, mientras que el año 2011 se vuelve a observar una caída significativa de 3.7 puntos porcentuales.
Los siguientes indicadores ajustan la aversión a la pobreza multidimensional (α), lo cual permite otorgar un mayor peso a las personas que tienen un mayor número de dimensiones en privación. De esta manera, al aumentar el parámetro a podemos observar que la reducción del indicador es menor, siendo la caída de 11.81 puntos porcentuales para un valor de α=2 y 10.27 puntos porcentuales para un valor de α=3.
Estos resultados nos permiten observar que, al otorgar un mayor peso a las personas con más privaciones, la reducción de la pobreza multidimensional es menor. Este resultado está de acuerdo con los resultados previamente descritos en las anteriores metodologías, que sugieren la existencia de un grupo con privación extrema que se mantuvo elusivo a la reducción en la privación de sus derechos.
5. Conclusiones
Este trabajo documenta los cambios en la pobreza observados en Bolivia durante la última década, utilizando un enfoque multidimensional. En particular, extendemos la medición de Hernani-Limarino (2010) de los cambios en la pobreza monetaria, adoptando nuevas líneas de pobreza, generadas por Hernani et. al. (2013), y añadiendo cinco "derechos fundamentales" no monetarios de acuerdo a la Constitución Política del Estado de 2008, i.e., acceso a educación, seguro social de corto plazo (salud), seguro social de largo plazo (pensiones), vivienda adecuada (aproximada por la disponibilidad de espacio y la calidad de materiales del piso, techo y paredes), y servicios básicos (incluyendo electricidad, agua, saneamiento básico y telecomunicaciones). Este nuevo enfoque nos permite observar el cambio de la pobreza en Bolivia durante el periodo 1999-2011 combinando un enfoque monetario y no monetario.
En primer lugar, las dimensiones utilizadas en el estudio muestran grandes diferencias en el nivel y tendencia de la privación entre ellas a nivel nacional y por área geográfica. El cuadro 8 muestra el el nivel promedio de privación durante el periodo 1999-2011 para cada una de las dimensiones utilizadas en el estudio. Asimismo, se pueden observar las tasas de variación porcentual promedio para los periodos 1999-2005 y 2005-2011. A nivel nacional, existen dimensiones con altos niveles de privación, como ser el acceso a servicios básicos o a seguridad social de corto plazo (salud) con 75.1 % y 73% de personas privadas en el acceso. Sin embargo, todas las dimensiones tienen una tendencia decreciente durante el periodo 1999-2011, con periodos de mayor aceleración que otros. En este sentido, las tasas de variación de acceso a educación, vivienda adecuada, servicios básicos y comida (pobreza monetaria) tienen una aceleración durante el periodo 2005-2011, en algunos casos cercana a la duplicación -acceso a educación y comida, las tasas observadas durante el periodo 1999-2005. Por otra parte, las dimensiones de acceso a seguridad social de corto y largo plazo han mostrado tasas de reducción promedio de 1.1 y 0.2% durante el periodo 2005-2011, menores a las observadas durante el periodo 1999-2005. Esta diferencia se explica en ambos casos por la introducción de políticas públicas de carácter universal, como ser el SUMI en el acceso a seguridad social de corto plazo durante el año 2002 y las transferencias no condicionadas del sistema de protección social al adulto mayor.

A nivel geográfico, el área urbana muestra los niveles más bajos en privación y una tendencia decreciente durante todo el periodo. Las dimensiones con mayores tasas de reducción en el periodo 2005-2011 son las mismas que a nivel nacional, mientras que existe una desaceleración en las dimensiones relacionadas con la seguridad social de las personas. Sin embargo, las dimensiones de educación, servicios básicos o comida muestran grandes avances en su acceso desde el año 2005, con tasas de reducción que duplican o triplican las observadas durante el periodo 1999-2011.
Por otra parte, el área rural presenta altos niveles promedio de privación durante el periodo 1999-2011, con valores cercanos al 100% de privación en el caso del acceso a servicios básicos. Al igual que en el área urbana, la tendencia durante todo el periodo es decreciente, pero con periodos de aceleración diferentes. En este sentido, todas las dimensiones relacionadas con derechos no monetarios muestran mayores tasas de reducción durante el periodo 1999-2005 -exceptuando el acceso a servicios básicos, que prácticamente se mantuvo constante durante todo el periodo, mientras que la dimensión de acceso a comida (pobreza monetaria) fue la única que mostró una mayor reducción durante el periodo 2005-2011, pasando de una tasa de reducción promedio de 2.5 a 4.9% anual.
Una vez observados los niveles promedio de privación y las tasas de variación de cada una de las dimensiones utilizadas en el estudio, es necesario realizar una mención aparte a la dimensión de acceso a comida (pobreza monetaria). Durante el periodo 1999-2011, la pobreza monetaria mostró una caída constante, con años de mayor aceleración en las tasas de reducción. De esta manera, entre los años 1999 y 2005 alrededor de 128,448 personas salían de la pobreza monetaria en promedio por año, mientras que a partir del año 2005 esta cifra es de 253,364 personas por año. Adicionalmente, la dimensión monetaria es la única que muestra el mismo comportamiento, tanto en el área urbana como en el área rural.
En segundo lugar, los resultados muestran que, independientemente del criterio utilizado para el corte de identificación de la pobreza multidimensional, la tendencia del índice es decreciente durante todo el periodo. Sin embargo, los resultados permiten observar que la reducción de la pobreza multidimensional durante el periodo 2005-2011 tuvo una mayor aceleración en aquellas personas con una privación media de dimensiones, i.e., que se encuentran privadas en solo algunas dimensiones del total de las seis estudiadas, mientras que el grupo de personas con mayor número de dimensiones en privación ha mantenido una caída constante en todo el periodo.
Adicionalmente, el estudio por nivel geográfico nos permite observar que el avance en el área urbana es notable en relación al del área rural, en el cual más del 80% de las personas todavía tienen tres o más derechos sociales en privación. Estos resultados son respaldados por los indicadores de la familia AF, que permiten identificar las diferencias previamente señaladas entre el área urbana y el área rural, resaltando las diferencias en incidencia, brecha y severidad de la pobreza multidimensional.
En tercer lugar, pusimos mayor énfasis en los resultados obtenidos utilizando la tipología Coneval y diferenciando las dimensiones sociales con la monetaria. El cuadro 9 muestra la distribución porcentual promedio de la población según la tipología, y describe las tasas de variación porcentual de cada uno por periodo de tiempo. A nivel nacional se puede observar una predominancia del tipo de pobreza multidimensional, con un 62.4% de la población en promedio durante el periodo 1999-2011. Sin embargo, este grupo tuvo una caída durante todo el periodo, con una tasa de reducción de 5% anual a partir del año 2005, duplicando la observada en años anteriores. La caída de este grupo se ve reflejada en el aumento de los grupos de vulnerables sociales y no pobres multidimensionales -el grupo de vulnerables monetarios muestra un considerable aumento, pero representa en promedio simplemente el 1.2% de la población total, con la diferencia de que el grupo de vulnerables sociales muestra mayor aceleración en el periodo 2005-2011, mientras que el grupo de no pobres multidimensionales experimentó un mayor aumento en el periodo 1999-2005. El análisis a nivel geográfico, muestra que en el área urbana existe una reducción de la pobreza multidimensional y un aumento de los grupos de vulnerables sociales y no pobres multidimensionales, con comportamientos de las tasas de variación similares al nivel nacional. Por su parte, el área rural muestra solo un aumento del grupo de vulnerables sociales.

Estos resultados muestran que en el área urbana la disminución de la pobreza monetaria se ha visto acompañada de un avance en el acceso de dimensiones no monetarias -especialmente en el período 1999-2005, que muestra tasas de aumento mayores en el grupo de no pobres multidimensionales, mientras que en el área rural la pobreza monetaria se ha mantenido elusiva a la reducción de la pobreza monetaria durante el periodo, generando que los anteriormente pobres multidimensionales sean ahora vulnerables sociales.
Finalmente, se puede concluir que el presente documento muestra una disminución de la pobreza multidimensional en Bolivia durante el periodo 1999-2011, explicada por una reducción constante de la pobreza monetaria y acelerada a partir del año 2005. Sin embargo, este comportamiento no se ha visto reflejado en el acceso a derechos sociales, que se han mantenido con niveles altos de privación especialmente en el área rural del país.
Notas
1 Los puntos de vista y opiniones expresados en este documento son de los autores y no reflejan necesariamente los puntos de vista y opiniones de ninguna otra institución a la que estén afiliados. Los autores quisieran agradecer a Álvaro Chirino, Christian Valencia y Gary Mena, por su valiosa asistencia en la investigación.
2 D.S. 25265, 31 de Diciembre de 1998.
3 Ley de 14 de Agosto de 1998, reglamentado por el D.S. 25186.
4 Ley de Pensiones N° 1732, de 29 de noviembre de 1996.
5 Ley de Propiedad y Crédito Popular (PCP), de 15 de junio de 1998.
6 Ley de la Renta Universal de Vejez, de 28 de noviembre de 2007.
7 El set de materiales adecuados para paredes incluye ladrillo/cemento, adobe/tapial con revoque, tabique/quinche con revoque, madera; el set de materiales adecuados para techo incluye calamina, teja, losa de concreto; y el set de materiales adecuados para piso incluye tablones de madera, parquet, alfombra, cemento, mosaico, ladrillo.
8 Definimos acceso adecuado a agua cuando la procedencia es de la red de cañerias, piletas públicas, pozo con/sin bomba o carro repartidor y es distribuido dentro de la vivienda. De la misma manera, cuando su procedencia es la red de cañerías o piletas públicas y se distribuye por cañería fuera de la vivienda.
9 Recordar que la agregación de una función de privación FGT nos brinda el ratio headcount cuando α = 0, la medida de la brecha de pobreza.
10 La base armonizada incluye las encuestas de mejoramiento de condiciones de vida (MECOVI) de 1999 a 2002, la encuesta de gastos e ingresos de los años 2003 y 2004 y las encuestas de hogares de 2005 a 2011.
11 Dormitorios: dos cuartos por cinco miembros del hogar. Habitaciones multiuso: un cuarto por cinco miembros del hogar.
12 Criterio utilizado en la metodología de Necesidades Básicas Insatisfechas (NBI).
Artículo recibido: 26 de junio de 2013
Aceptado: 9 de septiembre de 2013
Referencias
1. Alkire S. y Foster, J. (2009). Counting and multidimensional poverty measurement. Oxford Poverty & Human Development Initiative (OPHI), Working Paper N° 32, revised and updated.
2. Bourguignon, F. y Chakravarty, S. R. (2003). "The measurement of multidimensional poverty". The Journal of Economic Inequality, 1 (1) 25-49
3. Consejo Nacional de Evaluación de la Política de Desarrollo Social (CONEVAL). (2010) "Metodología para la medición multidimensional de la pobreza en México" [ Links ]
4. Estado de Bolivia (2008)."Constitución Política del Estado". La Paz, Bolivia. [ Links ]
5. Gobierno de Bolivia (1994). "Ley 1565 de reforma educativa". [ Links ]
6. -------- (1996). "Ley 1732 de pensiones". [ Links ]
7. -------- (1998). "D.S. 25265, seguro básico de salud". [ Links ]
8. -------- (1998). "Ley de propiedad y crédito popular".
9. -------- (2002). "Ley 2426 del seguro universal materno infantil SUMI". [ Links ]
10. -------- (2006). " Plan nacional de desarrollo: Bolivia digna, soberana, productiva y democrática para vivir bien". [ Links ]
11. -------- (2007). " Ley de la renta universal de vejez". [ Links ]
12. -------- (2010). " Ley 070 de educación Avelino Siñani-Elizardo Pérez". [ Links ]
13. Hernani-Limarino, W. (2009). Una evaluación crítica de las medidas oficiales de pobreza en Bolivia. [ Links ]
14. -------- (2010). Poor Poverty Measurement: Unraveling Poverty Changes in Bolivia. [ Links ]
15. Hernani-Limarino, W. y Eid, A. (2013). "Unraveling Declining Income Inequality in Bolivia: Do Government Transfers Matter?" Paper Prepared for the IARIW-IBGE Conference on Income, Wealth and Well-Being in Latin America. [ Links ]
16. Instituto Nacional de Estadística (2002). "Metodología para el cálculo de necesidades básicas insatisfechas (NBI)". La Paz, Bolivia. [ Links ]
















