Introduction
As pivotal centers of human activity, urban areas confront a growingly complex array of environmental hazards, encompassing both natural and anthropogenic threats. The rapid expansion of urban spaces, extensive infrastructure development, and climate change impacts have exacerbated these risks. Urban natural resources, such as rivers, are crucial in sustaining environmental health, providing essential services like drinking water and supporting the ecological balance within cities. Despite their importance, these resources are under significant stress due to unregulated urbanization, unsustainable resource exploitation, and the adverse effects of climate change. These pressures contribute to severe issues including pollution, water scarcity, and environmental degradation1.
To address the threats to urban natural resources and ensure the sustainability of urban development, a thorough risk and vulnerability assessment is crucial2. Effective resource management requires a nuanced understanding of the potential hazards and their associated impacts. This understanding facilitates the creation of targeted risk reduction strategies that can mitigate adverse effects and enhance the resilience of urban ecosystems3.
In this context, consequences are among the defining factors of a threat or disaster, representing the outcomes of a threat or disaster that affect objectives. Any disaster can lead to a wide range of impacts; therefore, when examining the impacts on urban assets, the worst-case scenario resulting from the threat should be considered. Analyzing the impacts resulting from targeting urban assets is a crucial part of determining the risk scope of those assets. Therefore, the consequences of targeting infrastructure and assets by hypothetical threats are analyzed based on the vulnerability of the infrastructure4.
A review of the literature reveals that the occurrence of any threat to a city's assets encompasses 2 categories of primary and secondary consequences. Generally, the consequences and effects resulting from the occurrence of threats on urban assets can be summarized as follows: i) Disruption and cessation of ongoing activities and functions, leading to social, economic, political, security, etc., damages. ii) Destruction of the existing spatial structure, resulting in severe or scattered devastation in the city. iii) Casualties and injuries leading to human and managerial damages in the city5. iv) Economic disruptions and high financial costs. v) Significant environmental damages. vi) Loss of critical and valuable information6.
Although the consequences of an incident may vary depending on its nature, the most significant general consequences are as follows: i) Fatalities, poisonings, and irreparable injuries. ii) Release of pollutants into air, soil, and water. iii) Financial and human losses, as well as the destruction of assets. iv) Injury or long-term effects on the population. v) Impact on the health of plants and animals. vi) Disruption and interruption of operations. vii) Other health and environmental effects7,8.
However, the consequences of various disasters, especially environmental pollution, compel decision-makers to consistently consider consequence reduction as an important criterion in their calculations.
Considering that; Urban assets are key resources, often seen as part of critical infrastructure. They consist of physical elements (often natural or historic) in the city and are linked to quality of life9.
This study leverages the CARVER model, a structured and systematic framework designed for the identification and prioritization assets (urban natural resources). The CARVER model evaluates various factors, including the importance of the asset, its accessibility, vulnerability, and the potential impact of threats. This comprehensive approach allows for a nuanced of assessment of the risks associated with the Abbas Abad River in Hamedan, a critical water resource for the city10,11.
The CARVER model's multi-dimensional evaluation provides a thorough understanding of which threats pose the greatest risk to the river. By incorporating criteria such as the asset's criticality to urban water supply, ease of access by potential pollutants, the river's susceptibility to damage, and the overall potential consequences of various threats, the model ensures a well-rounded risk assessment. This methodical approach helps in identifying the most pressing risks and in prioritizing them based on their severity and likelihood12.
To complement the CARVER model, a risk matrix is employed to further analyze the severity and probability of identified threats. The risk matrix systematically categorizes threats by assessing their likelihood of occurrence and the potential impact they could have. This analytical tool provides a quantitative basis for decision-making, helping urban planners and policymakers to evaluate which threats require immediate attention and which can be managed with less urgency10.
The integration of the CARVER model with the risk matrix offers valuable insights into the specific challenges faced by the Abbas Abad River and guides effective resource management strategies. By highlighting the critical threats and providing a structured approach to risk assessment, this research delivers actionable information that can enhance the city's capacity to manage its water resources and mitigate its vulnerability to environmental threats.
Furthermore, the methodologies and insights presented in this study are not limited to the context of Hamedan. The CARVER model and risk matrix approach can be adapted and applied to other urban settings, providing a versatile and practical framework for assessing and managing risks associated with urban natural resources. This adaptability ensures that the research findings can benefit a broader range of urban environments, offering a robust tool for improving sustainability and resilience across various cities.
This research aims to establish a comprehensive framework for assessing the risks associated with urban rivers, with a particular focus on Hamedan City, Iran. Hamedan, a historically significant city with a rich cultural heritage, faces significant challenges related to water resource management. These challenges include chronic water scarcity during dry periods and pollution of its rivers due to various human activities. By developing and applying a robust risk assessment model, this study seeks to identify and prioritize key threats to the city's river systems, and to propose effective strategies for mitigating these risks1.
Materials and methods
Several studies have employed a multifaceted approach to risk evaluation and analysis. For example, the U.S. Department of Homeland Security suggests a hybrid method that combines RAMCAP, a straightforward ranking system, and MBRA, a risk assessment model. Both RAMCAP and MBRA utilize the established T.V.C formula to calculate risk. However, MBRA's risk analysis framework relies on fault tree analysis to allocate resources. RAMCAP, in contrast, complements MBRA's risk assessment process and acts as a valuable tool for fault tree analysis1. Numerous studies have investigated the risks to a city's critical assets from diverse environmental threats, including both natural and human-caused hazards. A review of domestic and international scientific literature reveals that most of these studies have concentrated on human-built vital assets, such as buildings and essential infrastructure within a biological system. While threats like natural disasters and terrorism have been addressed, other technological events and human-caused hazards, often impacting the environment and urban communities due to a lack of awareness or unintended consequences, have also been studied. Furthermore, some studies have considered ranking urban natural assets, such as rivers. The risk assessment of these natural assets in the face of natural hazards has been examined, with a particular emphasis on identifying potential consequences11,13.
A pivotal study in this field is by Omidvar & Vejdani Nozar10, titled 'Qualitative risk assessment of water infrastructure, Case study: Potable water system of a city.' Their research sought to evaluate the qualitative risk of critical urban water infrastructure by examining a portion of a hypothetical city's water supply system. Initially, they conducted a literature review to assess existing knowledge. Subsequently, they conducted a field study to identify vital assets and specific threats to the water infrastructure. Finally, they calculated a risk score for each asset and prioritized risk management strategies. This was accomplished by qualitatively evaluating the risk of each threat to the identified assets using a risk matrix approach10. Chapagain et al.14, in their study, titled 'Investigation of urban vulnerability in the face of multiple hazards with a case study of Biratnagar metropolis, Nepal,' examined how cities with numerous assets are constantly exposed to various threats, resulting in substantial socioeconomic losses for the country. They presented Biratnagar, a rapidly developing economic city in Nepal, as a case study. The research initially identified key indicators of physical, social, economic, and environmental vulnerabilities. Spatial data for these indicators were collected through fieldwork and analyzed using Geographic Information System (GIS) tools. The findings were then visualized in the form of vulnerability maps14. The research titled 'Multi-Hazard and Risk Assessment Report for the Mataniko River Watershed in Guadalcanal, Solomon Islands,' sought to evaluate the vulnerability and potential consequences of risks in the Mataniko River Basin3. The research commenced by consulting local communities and reviewing relevant literature to identify potential hazards. A qualitative research approach, based on the AS/NZS ISO 31000: 2009 standard and Australia's Disaster Resilience Risk Management Guide, was used to assess the risk associated with each hazard. By determining the level of risk for each identified hazard, the prioritization of these risks was established. Additionally, a multi-criteria consequence and likelihood scenario analysis, developed by the Australian Institute for Disaster Resilience and based on the AS/NZS ISO 31000: 2009 risk management guideline, was employed to analyze data regarding the consequences and likelihood of potential hazards in the Mataniko River catchment area. The generic risk formula, Risk = Consequence × Likelihood, was used to calculate risk values for specific hazards3.
Lewis15, in the third edition of his book 'The Role of Protecting Vital Infrastructures in National Security,' delves into the foundational concepts of protecting critical infrastructures and assets, risk strategies, and disaster theories. To comprehend the essential infrastructures and vital assets of society, particularly urban areas, he conducts a cognitive and empirical analysis of key assets such as communication and information technology, water and wastewater management, energy, electricity, public health, transportation, and food supply chains. Adhering to the recommendations of the U.S. Department of Homeland Security, he employs a combined methodology that integrates a simple ranking system called RAMCAP and a model known as MBRA to evaluate and analyze risks arising from environmental threats, both natural and human-caused. While both RAMCAP and MBRA utilize the well-established formula 'Risk = Threat × Vulnerability × Consequence' to estimate risk, the MBRA model primarily relies on fault tree analysis for resource allocation. RAMCAP acts as a supplementary risk assessment tool for the MBRA model and as a fault tree analysis tool. In essence, RAMCAP is the recommended tool for assessing risks to these critical assets15. Similarly, Rostam Asl et al.16, in their research on the Jarrahi (Maroun) River Basin, encompassing approximately 24000 km2 with a population of around 870000 in southwest Iran, sought to evaluate the basin's vulnerability. They applied the River Basin Vulnerability (RBV) method, which concurrently assesses both human and environmental vulnerabilities. The method incorporates six key indicators: governance, economic, social, environmental, water stress, and natural hazards. By employing raster algebraic addition within the ArcGIS environment, the data were integrated and quantitatively assessed to provide a comprehensive evaluation of the basin's vulnerability16. Mathieu & Rao11, in their article titled Identifying drinking water and water treatment systems vulnerabilities using the CARVER matrix method,' had a statement: Employing the CARVER method for use as a risk prevention tool is an economical and effective method of analysis. The water sector can benefit from the analysis that CARVER provides due to water's importance as a resource and CARVER's ability to provide insight into potential threats. While analyzing three individual targets, it is possible to discover the broad-scale use of the CARVER method. In addition, using the CARVER method as a risk prevention tool provides a basis for continuing to develop methods to better the prevention of national security11. Similarly, Mashhadi & Amini Varki2, in their research titled 'Compilation and Presentation of a Model to Assess Threat, Vulnerability, and Risk Analysis of Critical Infrastructures with an Emphasis on Passive Defense,' proposed a locally adapted model based on a descriptive-analytical approach. By conducting a comparative analysis of various models and methods, particularly those based on FEMA's Anti-Terrorism Design Standards Guidelines, the Integrated Design Standards of the U.S. Department of Defense, Basic Building Security Strategies, and the RAMCAP Risk Management Method, they developed a comprehensive framework. This model comprises five general stages: evaluation and classification of vital assets, assessment of threats and their impacts, evaluation of vulnerabilities, risk analysis, and explanation of common scenarios. Each stage includes a detailed framework for identifying the relevant components involved in risk assessment2. Lee et al.17, in their article titled 'Development of a Risk Assessment Program for Chemical Terrorism,' sought to evaluate security risks, threats, and vulnerabilities affecting assets and to propose protective measures for enhancing safety and security. They developed and implemented a software tool that adheres to a five-step program for security vulnerability assessment and analysis of the likelihood of terrorism and vandalism. The steps include: i) Asset Identification, ii) Threat Assessment, iii) Vulnerability Analysis, iv) Risk Assessment, and v) New Countermeasures. This approach, known as Security Vulnerability Assessment (SVA), is a systematic and risk-based methodology where risk is a function of the severity of the consequences of an adverse event, the likelihood of the event occurring (e.g., an enemy attack), and the probability of the enemy's success in causing such an event17.
Additionally, a summary of the most effective methods for risk analysis, including their components such as the probability of occurrence and consequences, along with their characteristics, (is provided in Table 1)18. The brainstorming method, incorporating expert opinions, is also commonly used to refine and complete such methodologies (Table 1). Despite extensive research available on assessing urban risk and vulnerability in the face of specific hazards (primarily natural hazards), a gap persists in the field of disaster engineering and crisis management-particularly concerning the evaluation and classification of urban natural assets and the impacts of environmental hazards on them. Consequently, this study's focus on 'Evaluation and Categorization of Urban Natural Assets and the Repercussions Influencing Them in the Face of Environmental Dangers' represents a significant innovation. In essence, this research shifts the focus from vulnerability assessment of human-made assets to the classification of functional natural assets in urban areas and the evaluation of the consequences of environmental hazards19.
In this study, the researchers concentrated on evaluating and categorizing the consequences that impact urban natural assets when exposed to environmental hazards, with a specific case study of the rivers located in Hamedan City. Initially, the research commenced by explaining the topic and reviewing the relevant literature and theoretical foundations. The investigation was conducted in two stages: first, through the library method and the analysis of available findings, and then by applying the CARVER technique. This technique was utilized to assess the significance of the rivers in providing a portion of the city's drinking water. The CARVER analysis enabled a more in-depth understanding of the role of these rivers as natural assets and their vulnerability to environmental threats3. The CARVER technique, developed by the American Infrastructure Institute, is a well-established ranking methodology used to identify the most sensitive assets within a system based on their overall score across six key criteria: criticality, accessibility, recoverability, vulnerability, effect, and recognizability3. This study employed the CARVER approach to categorize the rivers of Hamedan and establish their priority levels. Experts assigned scores to the six criteria, along with adjustment indices for each criterion, based on the values presented in Table 2 (a, b, c, d, e, and f). Through this scoring process, the rivers were ranked in terms of their importance and role as critical urban assets, with the final classification reflecting their significance for the study's objectives (Table 2).
To utilize the CARVER technique for evaluating and ranking societal assets, the scores and ranks of each of the six criteria are determined based on their significance, as presented in Table 2. The final score is the sum of these points, which aids in assessing and ranking the assets. Once the total score for various assets is calculated, these assets are compared to identify the most important one and establish the primary priority.
After selecting the highest-priority asset and considering the associated environmental risks and potential threats, the qualitative risk for each hazard was evaluated using the risk matrix approach. The risk matrix assesses risk based on two factors: the likelihood (probability) of occurrence and the consequence (severity of impact). These factors are divided into several categories in the matrix, and each category is explained and rated based on predefined criteria. Finally, using the formula (Risk = Probability of Occurrence × Consequence), the risk level is calculated, and the resulting risk is evaluated according to existing standards3. Following the classification of the natural assets of the studied city (rivers) using the CARVER technique, the risk matrix method proposed by WHO was employed to evaluate and categorize these assets and the consequences affecting them in the face of environmental risks. The process involved scoring the probability of occurrence and the potential consequences of risks, based on expert opinion, to assess the overall risk5 (Table 3).
In this approach, the risk value for each selected asset in response to possible threats was calculated by scoring the 2 key risk components: consequence and likelihood of occurrence, based on expert assessments. The potential risks were then categorized, and risk management solutions aimed at mitigating potential consequences were outlined20. The conceptual model of this research is presented in Figure 1.

Figure 1 Conceptual model of assessing and scoring the assets and the consequences affecting them in the face of environmental risks
The primary variables used to assess urban assets-viability, accessibility, recoverability, vulnerability, impact, and identifiability defined based on expert opinions and field studies, with each variable assigned a score as shown in Table 4.
Given the probability of natural hazards in Hamedan and the historical records of natural and man-made disasters, the primary hazards impacting the city’s internal rivers are summarized in Table 5.
The variables used for assessing risk and consequences include the likelihood of the event and the severity of its impact, as well as the overall risk rating. These variables, as determined by expert opinion, are outlined in Tables 6 and 7. In essence, the risk evaluation variables are specified according to the guidelines presented in these tables.
Data analysis. Hamedan is located between the geographical longitudes of 33° 28' to 48° 48' and the latitudes of 34° 45' to 34° 50'. Nestled on the slopes of Mount Alvand at an altitude of 1870 meters above sea level, it is considered one of the coldest cities in Iran. Hamedan is also recognized as the oldest city in Iran and one of the most ancient cities in the world. Historically, it has served as a key communication route connecting Western cities with central Iran. The city is situated in a plain that connects to Ganj Nameh Valley to the west and Abbas Abad River, which originates from the Alvand Mountain to the east21,22. (Figure 2).
The City of Hamedan is traversed by five rivers: Abbas Abad, Dare Morad Bek, Khako (Khidr), Divin, and Haidara (Figure 3). While these rivers are considered significant natural assets, their channels, riparian zones, and sections have undergone substantial, often unplanned alterations over time due to urban development. These changes have, in some cases, transformed these rivers from valuable resources into potential threats, particularly during rainy periods23,24.
Despite these issues, the rivers are still recognized for their potential to mitigate water stress and contribute to the city's drinking water supply. The Abbas Abad River originates from Ganj Nameh and, after passing the western edge of Bu-Ali Sina University, joins the Manouchehri River and subsequently flows into the Vali Asr (Dizaj) River, crossing Artesh Boulevard. Before entering the city, the river's water is redirected during non-agricultural seasons for conventional purification and is used for drinking purposes24,25. The Dare Morad Bek River, a central river in Hamedan, originates from the northern slopes of Mount Alvand. It flows through the eastern part of Dare Morad Bek, continues to Jihad Field, and after traversing the city center and Badie Al-Zaman Boulevard, merges with the Divin River. A portion of this river's flow is diverted to the Shahid Beheshti Water Treatment Plant for drinking23,24. The Khako (Khidr) River starts from the Kishin and Mazda Ghineh Mountains. Before meeting Malayer Road, it is known as Mazda Ghineh River. After flowing through the Madani River, it joins the Divin River and eventually connects to the Dare Morad Bek River (Figures 2 and 3)24.
The studied area is characterized by a radial structure with a natural slope from the southwest to the northeast. Historically and presently, the city's layout has centered around these five internal rivers (Abbas Abad, Dare Morad Bek, Khako (Khidr), Divin, and Haidara) as vital natural assets. Despite their importance, there has been limited effort towards their systematic and planned maintenance. Without corrective measures, these rivers risk becoming potential threats20.
After consulting 30 experts in the relevant fields-including university professors and professionals from various executive bodies such as water, health, environment, municipality, and crisis management-the average scores for indicators related to the six criteria were determined. These scores are presented in Table 5.
Results
The results of the evaluation and ranking of the rivers in Hamedan City based on their use in supplying part of the drinking water of the said city and based on the CARVER technique according to Table 4 shows that the Abbas Abad River has priority compared to other rivers. Therefore, in the following, while studying this river cognitively and evaluating possible threats and dangers to it, considering the frequency and history of occurrence, as well as evaluating and analyzing the possible consequences affecting it, the related risk will be evaluated and its management measures will be considered with the approach of reducing the consequences based on the results.
Abbas Abad River, which originates from Ganj Nameh and after crossing the western wall of Bu-Ali Sina University in Hamedan, enters the Manouchehri River and then reaches Vali Asr River (Dizaj) while crossing Artesh Blvd. Before entering the city, the water of this river is harvested in non-agricultural seasons by separating its route and is used for drinking after performing the conventional purification steps. Investigating the Abbas Abad River's various sections' discharge capacity using the current situation perspectives reveals a decline in capacity as sections go downstream, indicating an adverse condition for these channels in terms of the sections' discharge capacities. To study the discharge capacity of the studied river, the methodology is as follows, the downstream section of this river was considered zero kilometer and the distance of other sections was calculated with zero section. Moreover, from the topographical map of the city, the general slope of the ground at the location of each section was determined and the capacity of all sections was calculated using Manning formula10. The values obtained for each river were drawn on a graph.
The vertical axis in this graphic denotes the cross-sections' discharge capacity, while the horizontal axis displays the distance from the zero cross-section. It should be noted that as flooding is one of the dangers that might harm this property, the graphic also includes the plan's floods, including the 50-year flood, to make it easier to compare the available capacity to the current capacity. Based on the floods drawn on the discharge capacity chart of Abbas Abad River, except for a section of the upstream which is marked with blue color (Figure 4), the other sections have the discharge capacity for a 50-year flood.
Considering the probability of occurrence of 22 known natural hazards in the studied city, and on the other hand, the history of hazards that have occurred, natural and man-made, the most important hazards occurring in the past in the mentioned city and affected the internal rivers of the city are described in Table 5.

Figure 4 Diagram and map of the discharge capacity of the Abbas Abad River in Hamedan city with the design flood with different return periods
Identifying and examining risks and dangerous threats and evaluating risks. After the cognitive study of the natural assets of the studied area (rivers within the city) determining the priority (Abbas Abad River), and evaluating the specific threats of this area in the future according to the present records and experts' points of view, possible and prioritized risks and threats in the study area as described in Table 6, and to identify and evaluate the risks, and its components (probability of the risk and its consequences) using the risk matrix technique, after identifying and evaluating the probability of risk occurrence and possible consequences, the effective risk of each of them was evaluated for the specified asset, and finally control measures and risk management solutions were defined by calculating the risk number for each of the threats, while determining the priority of budget allocation. It should be noted that 10 significant dangerous threats were found in the Abbas Abad River based on the studies done in the chosen area and property. Following expert consultation and scoring of the risk components (based on the standards of the risk matrix used), the risk rating of each threat and prioritization were established to allocate resources and implement control measures.
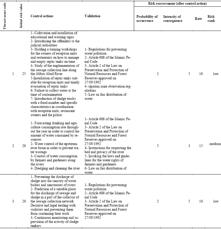
Determining and validating control measures, re-evaluating and prioritizing risks. After determining the risk value, and its prioritization based on Table 6, control measures are proposed by determining the available legal documents and crediting them in line with the budget allocation priorities to reduce the risk of threat-assets with a greater risk number equal to 20 as described in Table 7.
Discussion
This study focuses on assessing the vulnerability and risks associated with urban natural assets, particularly the rivers in Hamedan. The CARVER method, a well-established tool for qualitative risk assessments, was utilized to evaluate the vulnerability of these rivers based on six key criteria: criticality, accessibility, recoverability, vulnerability, effect, and recognizability. The findings demonstrate a high level of vulnerability for the Abbas Abad River, which corroborates previous studies such as those by Timothy & Alexander11, who assessed drinking water and water treatment systems vulnerabilities, and Chapingin et al.14, who integrated field data and GIS for spatial analysis11,14. This research, employing both field data and GIS tools, provides a comprehensive vulnerability assessment of urban rivers in the context of natural threats.
Table 6 Identifying and evaluating the components of the probability of the event and the intensity of the control measures
While the CARVER method offers a straightforward approach and is effective for qualitative assessments, its limitations become apparent when applied to more complex urban systems with diverse risk factors. Methods such as RAMCAP and MBRA, which incorporate the T.V.C formula and fault tree analysis, are more suited for detailed and quantitative evaluations. These approaches enable a deeper understanding of vulnerability by considering a broader range of variables and interactions, particularly in scenarios where natural and anthropogenic factors intersect. For example, Omidvar & Vejdani Nozar10 highlighted the importance of incorporating human-induced risks in their evaluation of urban water infrastructure and utilized multi-criteria scenario analysis to address the complexities of such assessments3,10.
Moreover, the use of the CARVER model, despite its strengths in identifying high-priority risks, may lead to an underestimation of certain threats due to its limited scope. The model's primary focus on natural hazards does not adequately account for socio-economic and technological factors, which can significantly amplify the impact of environmental risks. This gap has also been identified by researchers like Lewis15 and Rostam-Asl et al.16, who emphasize the need for comprehensive models that integrate diverse risk sources, including human and infrastructural elements15,16.
Table 7 Partial validation of control actions and re-evaluation of the components of probability of occurrence and intensity of consequences and evaluation of effective risks in natural assets (Abbas Abad River)
In light of these considerations, future studies should aim to integrate more sophisticated hybrid models, such as a combination of RAMCAP and MBRA with qualitative assessments, to provide a more nuanced and holistic evaluation. Such approaches would enable researchers to capture the complex interplay between natural, anthropogenic, and technological risks more effectively. Furthermore, incorporating dynamic modeling and real-time data collection techniques, such as remote sensing and IoT-based monitoring systems, can significantly enhance the accuracy and timeliness of risk assessments, thereby improving urban resilience planning26,27.
Finality, while the CARVER model and risk matrix have facilitated a foundational analysis of environmental risks associated with Hamedan’s rivers, the integration of advanced quantitative methods would enrich the analytical framework. Future research should consider leveraging these combined methodologies to address a wider spectrum of threats, including socio-economic and technological factors, ensuring a more comprehensive assessment of urban natural assets. This would not only improve the robustness of risk assessments but also provide policymakers with actionable insights for sustainable urban development and disaster risk reduction28.
By reviewing the studies of Omidvar & Vejdani Nozar10, Chapagain et al.14, Ministry of Environment et al.3, Lewis15, Timothy & Alexander11, Mashhadi & Amini Varaki2 and Lee et al.17 on how to assess the risk of a city's critical assets from various environmental threats such as natural and artificial threats2,10,11,14,18. Most of these studies have focused on critical man-made assets, such as buildings and vital arteries in a biological system. In this article, in addition to natural hazards, technological events and other man-made hazards that usually affect the environment and urban society in terms of lack of awareness and unintentionally have been examined. On the other hand, in this article, the ranking of urban natural assets such as Inner-City Rivers was considered and the risk assessment of these assets in facing natural hazards was done with the approach of recognizing the consequences affecting them using the CARVER-Risk Matrix method. The descriptive model of CARVER-Risk Matrix for evaluating and classifying assets, and the consequences affecting them, which was used, along with field studies and the opinions of experts, a simple and suitable method for ranking assets and evaluating risk components including the probability of event, and the intensity of its consequences, which can be used to analyze the risks of possible threats to a specific asset, and they can be managed to reduce the risk by taking into consideration the strategies to reduce the probability of occurrence or to reduce the effective consequence on the property. Despite its simplicity, the described model may assess several systems in an integrated way in addition to having the capacity to grade and categorize a system's assets independently26. The examination and qualitative description of the risk in each subsystem, as well as the use of it to clearly understand the interactions and relationships between various components of complex systems, are thus some of the other benefits of the model mentioned when assessing the risk of the systems29. In the upcoming research, while ranking natural assets (urban rivers) using the simple CARVER ranking technique, based on the criteria of "criticality, accessibility, recoverability, vulnerability, effect, and recognizability" and relevant corrective indicators under each criterion, Abbas Abad River of Hamedan was selected as a priority asset of the city and then according to the history of risks, and threats affecting it, and by taking advantage of experts' opinions; the most important threats in the property in question were identified and then, using the risk matrix method, while evaluating, and describing the components of the probability of occurrence of those threats, and possible consequences, the related risks were evaluated and analyzed30. The results show that among the threats: are the entry of raw sewage, surface effluents of recreational centers, residents of garden houses, and nomads living around and upstream of the river - drought, reduction of atmospheric precipitation and water stress, and the intentional discharge of human sewage into the river by sewage tankers, initial risk value is 25, 20 and 20 respectively with a high-risk rank, on the other hand, because in the situation of drought, and water stress, part of the drinking water of the studied city is supplied from Abbas Abad river in the second six months of the year, therefore, the priority to allocate funds and carry out control and risk reduction measures is related to these three threats - property, finally, after allocating the budget and carrying out control actions in these two asset threats, the risk value after the control actions was 10 (low), 15 (medium) and 10 (low), which indicates a significant risk reduction in the studied asset.











uBio 









