1. Introducción
El tipo de cambio real (TCR) es un indicador clave de la competitividad internacional y juega un papel fundamental en la asignación de recursos entre bienes transables y no transables. Sin embargo, su análisis requiere una referencia adecuada: el tipo de cambio real de equilibrio (TCRE). La diferencia entre ambos define el desalineamiento cambiario, una variable crucial en estudios económicos y en la formulación de políticas.
Un desalineamiento prolongado puede generar distorsiones en la economía, afectando la asignación de recursos y provocando inestabilidad económica y costos de bienestar. Diversos estudios han señalado la importancia de esta variable en la identificación de crisis económicas y en la toma de decisiones de política económica.
La historia económica de Argentina, caracterizada por inestabilidad macroeconómica y crisis recurrentes, ofrece un caso paradigmático para analizar el desalineamiento cambiario. En varias ocasiones, el país ha experimentado déficits fiscales y sobrevaluación del peso argentino, lo que ha desencadenado crisis económicas y ha puesto en evidencia la necesidad de políticas correctivas eficaces.
La medición del desalineamiento cambiario es un desafío teórico y empírico, ya que el TCRE es una variable no observable. Existen múltiples enfoques para su estimación, algunos basados en modelos de equilibrio macroeconómico y otros en técnicas econométricas como la cointegración de Johansen. Estas metodologías buscan determinar los factores fundamentales que explican la evolución del TCR a largo plazo.
En Argentina, se han utilizado diversos modelos para estimar el TCRE, lo que ha dado lugar a una variedad de variables fundamentales consideradas determinantes del TCR. Entre ellas, se destacan los términos de intercambio, los activos externos netos, la productividad relativa y el gasto público. La metodología econométrica más utilizada ha sido la cointegración de Johansen, aplicada a largas series de datos.
Existen enfoques distintos para determinar el TCRE. Algunos modelos, como los de equilibrio externo e interno, priorizan la balanza comercial, mientras que otros, como los de equilibrio general, enfatizan el rol de los activos externos netos. También se han desarrollado modelos más flexibles, como los BEER, que permiten ajustar las variables en función de la disponibilidad de datos.
Los estudios sobre desalineamiento cambiario en Argentina han mostrado un patrón recurrente: las crisis económicas de 1975, 1982 y 2002 fueron precedidas por una sobrevaluación del TCR. Este fenómeno no es exclusivo de Argentina, sino que ha sido identificado como un factor clave en crisis cambiarias a nivel global.
A pesar de estos hallazgos, existen discrepancias entre los estudios sobre la magnitud y el momento exacto del desalineamiento cambiario en distintos períodos. Por ejemplo, para la década de 1990, algunos estudios indican que el TCR pasó de estar subvaluado a sobrevaluado a inicios de la década, mientras que otros sitúan esta reversión en la segunda mitad de los años 90.
Estas discrepancias pueden deberse a limitaciones metodológicas, como la falta de consideración de quiebres estructurales, la ausencia de validación empírica del TCRE estimado y la falta de pruebas de super-exogeneidad en los modelos utilizados. Estas deficiencias pueden generar sesgos en los resultados y comprometer la validez de las estimaciones del desalineamiento.
En esta dirección, este estudio busca estimar el TCRE y el desalineamiento cambiario en Argentina entre 1980 y 2022 mediante una metodología alternativa que supere las limitaciones identificadas. Se empleará un modelo basado en la estrategia de la Forma Reducida de la Ecuación Única y el enfoque de cointegración ARDL, con el objetivo de contribuir a la literatura económica y proporcionar recomendaciones para la formulación de políticas económicas sostenibles. En este sentido, el objetivo de este estudio es estimar la serie del TCRE de mediano/largo plazo de Argentina para el periodo 1980-2022 y el grado de desalineamiento cambiario proponiendo una metodología alternativa que resuelve las tres limitaciones clave señaladas anteriormente. Para ello se empleará la estrategia de la Forma Reducida de la Ecuación Única, basada en Baffes et al. (1999)yEdwards y Savastano (1999) para obtener el TCRE. En cuanto a los fundamentales macroeconómico a utilizar se incluyen los términos de intercambio, la relación entre deuda externa y PIB, el gasto público relativo y la productividad relativa entre los sectores transables y no transables. Los dos últimos factores se consideran en el contexto de Argentina y sus socios comerciales, siguiendo el modelo general de comportamiento del TCR propuesto por Baffes et al. (1999),Clark y MacDonald (1998)yDriver y Westaway (2005), el cual permite ajustar la selección de variables según la disponibilidad de datos. Para la estimación, se aplicará el modelo de cointegración ARDL (Autoregressive Distributed Lag Model) de Pesaran et al. (2001), debido a su capacidad para manejar muestras pequeñas y su flexibilidad ante distintos órdenes de integración de las series.
Los hallazgos de este estudio no solo contribuyen a la literatura sobre TCRE y desalineamientos cambiarios en el contexto argentino sino que sugieren que el mantenimiento de políticas fiscales, cambiarias y monetarias consistentes y sostenibles son un factor clave para garantizar la estabilidad y prevenir crisis económicas.
El resto de este artículo está organizado de la siguiente manera. En la Sección 2 se presenta el modelo teórico seleccionado. Luego en la Sección 3 se presenta la metodología econométrica y los datos a utilizar. La Sección 4 contiene los resultados de la estimación del modelo.
La Sección 5 presenta la construcción del TCRE en base a los análisis necesarios para que la medida sea consistente. En la Sección 6 se obtiene el desalineamiento del TCR, y luego la sección 7 el análisis de su dinámica. Finalmente, la Sección 8 contiene las conclusiones.
2. Revisión Bibliográfica
La diferencia entre el TCRO y el TCRE define el desalineamiento cambiario, una variable central tanto en el análisis académico como en el diseño de políticas económicas (Aguirre y Calderón, 2005;Bastourre et al., 2008). Un desalineamiento prolongado y significativo del TCRO puede distorsionar el precio relativo de los bienes transables y no transables, generar señales “incorrectas” a los agentes económicos (lo que conduce a una asignación de recursos subóptima entre sectores) y dar lugar a una mayor inestabilidad económica y significativos costos de bienestar (Aguirre y Calderón, 2005;Edwards, 1994;Montiel, 2011).
En este contexto, la experiencia de Argentina del último medio siglo, marcado por una alta inestabilidad macroeconómica y recurrentes crisis financieras y monetarias, ofrece un caso de estudio paradigmático para analizar la evolución del desalineamiento cambiario. La recurrencia de los periodos de crisis, caracterizadas principalmente por alto déficit fiscales y sobrevaluación del ARS (Amado et al., 2006), plantea interrogantes fundamentales sobre las causas y consecuencias del desalineamiento, así como sobre la efectividad de las políticas económicas implementadas para corregir los desequilibrios.
Sin embargo, el cálculo del desalineamiento del TCR es una de las cuestiones más controvertidas de la Macroeconomía de la Economía Abierta (Aguirre y Calderón, 2005;Baffes et al., 1999;Hinke y Montiel, 1999;Williamson, 1994). Su dificultad principal radica en la estimación del TCRE ya que presenta desafíos tanto teóricos como empíricos al ser una variable no observable, existiendo un gran abanico de teorías y técnicas para obtenerlo (Hinke y Montiel, 1999). Una de esas visiones establece que el TCRE es una función de variables macroeconómicas observables (fundamentales), en donde el TCRO tiende a converger hacia este nivel a largo plazo (Baffes et al., 1999;Montiel, 1999a). Así, el desalineamiento es necesariamente un fenómeno temporal, generado por fuerzas macroeconómicas de corto plazo que evitan un movimiento inmediato del TCRO hacia su equilibrio de largo plazo (Baffes et al., 1999).
En base a esta perspectiva, en la Tabla A.1 se compila un importante corpus de investigación empírico con respecto a la estimación del TCRE para Argentina a través de lo que Baffes et al. (1999)yEdwards y Savastano (1999) denominaron estrategia de la Forma Reducida de la Ecuación única. Se distingue una cierta variedad de modelos empleados del TCRE en estas investigaciones, lo que deriva en una gran cantidad de variables fundamentales macroeconómicas propuestas como determinantes del TCR. No obstante, esto no es así en cuanto al uso de la metodología econométrica para estimar la ecuación del TCR, ya que las investigaciones utilizaron en su mayoría la técnica de cointegración de Johansen (1988,1995) aplicada a periodos amplios de tiempo
Para graficar la diversidad de enfoques empleados, los modelos macroeconómicos de equilibrio externo e interno de determinación de Montiel (1999b) o Baffes et al. (1999) que utilizan Lanteri (2002)yGadea (2014), se caracterizan por seguir muy de cerca una de las interpretaciones de la definición del TCRE de Nurkse (1945), llevando a postular como uno de los fundamentales macroeconómicos a la balanza comercial respecto al PIB. Esto difiere de los modelos macroeconómicos microfundados de equilibrio general para economías pequeñas propuesto por Obstfeld y Rogoff (1995,1996) en el que se basan Aguirre y Calderón (2005),Gay y Pellegrini (2003)yGay (2017), donde no postulan la ratio balanza comercial/PIB como determinante, pero sí a los activos externos netos a diferencia de los anteriores. Asimismo, ambos modelos difieren notablemente de los modelos BEER (Behavioural Equilibrium Exchange Rates), donde las variables a postular es un proceso más ad hoc que es adaptable a la disponibilidad de datos con que se cuenten, como ocurre en los trabajos de Bastourre et al. (2008)yCoppola et al. (2016) donde postulan diversas variables.
A pesar de la gran variedad de variables postuladas que se observa en esa tabla, las variables más comúnmente identificadas como fundamentales del TCRE a mediano/largo plazo para Argentina fueron los términos de intercambio, los activos externos netos, la productividad relativa entre los sectores transables y no transables, y el gasto público. Además, muchos de estos trabajos luego de haber obtenido el TCRE construyeron la serie del desalineamiento cambiario, ya sea para estudiar su dinámica (Bastourre et al., 2008;Bello et al., 2010;Carrera et al., 1998;Coppola et al., 2016;Espert y Vignoli, 2018;Gadea, 2014;Garegnani y Escudé, 2005;Gay y Pellegrini, 2003;Perry y Serven, 2002) o emplearla como paso intermedio para explorar otros tipos de análisis (Aguirre y Calderón, 2005;Dal Bianco, 2008;Gadea, 2014;Zarzosa y Valdivia, 2017).
Los resultados del desalineamiento destacan un patrón consistente: las grandes crisis acontecidas en 1975, 1982 y 2002 que tuvieron un impacto significativo en la sociedad estuvieron precedidas por un TCR sobrevaluado (Bastourre et al., 2008;Bello et al., 2010;Carrera et al., 1998;Coppola et al., 2016;Espert y Vignoli, 2018;Gay y Pellegrini, 2003;Lanteri, 2002). Estos resultados no fueron exclusivos de la economía argentina, sino que forman parte de un gran cuerpo de evidencia empírica que establece que el desalineamiento cambiario es uno de los elementos más importantes a la hora de anticipar las crisis económicas que han asolado al mundo (Burkart y Coudert, 2002;Kaminsky et al., 1998;Hinkle y Montiel, 1999).
Sin embargo, a pesar del amplio consenso en tales acontecimientos para el caso argentino, las trayectorias del desalineamiento cambiario en los estudios de la Tabla A.1 presentan discrepancias, ofreciendo miradas distintas del fenómeno para ciertos periodos. Por mencionar un ejemplo, el periodo que va desde 1990 hasta 2001 presenta un amplio consenso de que el TCRO pasa de estar subvaluado a sobrevaluado (Coppola et al., 2016;Carrera et al., 1998;Bastourre et al., 2008;Bello et al., 2010;Del Bianco, 2008;Garegnani y Escudé, 2005;Gay y Pellegrini, 2003;Lanteri, 2002;Perry y Serven, 2002). No obstante, los estudios difieren en el momento en que se produjo esa reversión. Algunos encontraron que se dio entre 1990 y 1991 (Carrera et al., 1998;Bastourre et al., 2008;Bello et al., 2010;Del Bianco, 2008;Garegnani y Escudé, 2005;Lanteri, 2002), mientras que otros a mediados de esa década (Gay y Pellegrini, 2003;Perry y Serven, 2002) yCoppola et al. (2016) recién entre 1998/99.
Explicar las discrepancias en los resultados del desalineamiento no es sencillo. Edwards y Savastano (1999), al analizar una serie de trabajos empíricos sobre el TCRE y el desalineamiento cambiario, identificaron limitaciones teóricas y metodológicas que, en ciertas circunstancias históricas, pueden generar resultados engañosos. Estas limitaciones también son evidentes en los estudios de la Tabla A.1, ya que todos siguen la estrategia de la Forma Reducida de la Ecuación Única. Entre las limitaciones metodológicas más relevantes destacan tres:
Ausencia del estudio de quiebres estructurales: para determinar el orden de integración de las series, los estudios utilizaron las pruebas de raíz unitaria convencionales. Sin embargo, Perron (1989) demostró que estas pruebas pueden generar resultados sesgados hacia una falsa raíz unitaria cuando las series presentan quiebres estructurales. Los estudios analizados no contemplan este problema ,, aun cuando la historia económica argentina se caracterice por presentar episodios de crisis, cambios de régimen económico e incluso fuertes shocks externos que podrían haber afectado la dinámica de las variables macroeconómicas. Esto podría conducir a relaciones espurias de cointegración e invalidar así las relaciones estimadas. En consecuencia, es un aspecto crucial a tener en cuenta.
Falta de operatividad del concepto de TCRE: muchos de los estudios de la Tabla A.1 estiman la serie del TCRE para algún periodo de tiempo, sin embargo, la verificación empírica de si el TCRO efectivamente alcanzó este nivel no es abordada por los mismos. Implícitamente, en los estudios se asume que los promedios de las series (establecidos en la constante estimada) reflejan las condiciones de equilibrio de las mismas en el periodo de estimación. Esta suposición puede introducir sesgos en el desalineamiento cambiario ya que no necesariamente es así, por lo que resulta crucial especificar explícitamente un año de equilibrio (Caputo y Núñez ,2008;Edwards y Savastano, 1999;Baffes et al., 1999). Para ello es crucial seleccionar el año base de equilibrio del TCRO analizando el cumplimiento de las condiciones enunciadas por el concepto del TCRE que se desee emplear.
Falta de validación de la super-exogeneidad de los fundamentales: según Baffes et al. (1999), para que el procedimiento de la obtención del desalineamiento sea econométricamente válido, los fundamentales macroeconómicos deben cumplir con el criterio de super-exogeneidad. Esto es, que el TCRO no debe afectar a sus fundamentals (exogeneidad débil) y además los parámetros del modelo deben ser invariantes a la crítica de Lucas (invarianza de los parámetros de la estimación). Sin embargo, nuevamente la mayoría de los estudios evalúan estas condiciones, lo que compromete la fiabilidad de sus resultados obtenidos.
3. Marco Teórico
Para estimar la relación de largo plazo entre el TCR y sus fundamentals postulados en el marco de la estrategia de la Forma Reducida, se decide emplear el modelo más general de comportamiento del TCR de acuerdo Baffes et al. (1999),Clark y MacDonald (1998)yDriver y Westaway (2005) caracterizado por la siguiente ecuación:
Donde es el TCRO, es un vector de fundamentals económicos que son esperados a influir en el TCR en el mediano y largo plazo y es el vector de coeficientes a estimar. Cabe resaltar que ésta ecuación está desprovista de los factores transitorios y de corto plazo y de los shocks aleatorios.
Se utiliza este marco general puesto que capta los movimientos del TCR a lo largo del tiempo (Driver y Westaway, 2005) y la selección de los fundamentals es adaptable a la disponibilidad de datos con que se cuenten y deja abierta la posibilidad de que los datos expresen la relación entre el TCR y sus determinantes (Bastourre et al., 2008). Por lo tanto, es un modelo muy flexible en comparación a los demás anteriormente mencionados.
Entonces, definiendo al TCRO en su forma externa o basada en la PPP (Hinkle y Montiel, 1999):
Donde es el índice de precios domésticos, es el índice de precios del extranjero y es el tipo de cambio nominal (TCN) que expresa la unidad de moneda extranjera por moneda doméstica. Observe que la definición implica que un incremento (disminución) de indica una apreciación (depreciación) real de la moneda local.
Los fundamentals a comprobar son seleccionados de acuerdo a la revisión de la literatura empírica de la sección anterior y la disponibilidad de datos confiables para Argentina. Sin embargo, a pesar de que el modelo deja abierta la posibilidad de que los datos expresen la relación entre el TCR y sus determinantes (Bastourre et al., 2008), decidimos seguir muy de cerca las relaciones teóricas postuladas por los modelos de Aguirre y Calderón (2005)yFaruqee (1994). Así, asumiendo que la relación a largo plazo entre el TCR y sus determinantes que ofrece la teoría es log-lineal, la ecuación del modelo es:
Donde para todo periodo t, TIt son los términos de intercambio, de acuerdo a Aguirre y Calderón (2005), se espera que ante un aumento de los términos de intercambio aumentaría el consumo de los transables y generaría efectos riquezas positivos que reducirían la oferta de trabajo del sector no transable. Esto llevaría a un incremento en el precio relativo de los no transables y por lo tanto a una apreciación del TCR. Así, se espera que β1 > 0.
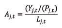
Luego PRt es la productividad relativa entre el sector transable y no transable del país doméstico sobre el extranjero, Aguirre y Calderón (2005) postula que el precio relativo de los bienes no transables deber crecer más rápido en el país domestico que en el extranjero si la ratio entre la productividad de bienes transables y no transables está creciendo más rápido en el país domestico que en el extranjero. Además, si se supone que el precio de los bienes transables se iguala entre países, el precio de la producción no transable doméstica debe aumentar en relación al de la producción extranjera. Por lo tanto, si la productividad relativa entre los bienes transables y no transables está creciendo más rápido en el país domestico que en el extranjero, el TCR debería apreciarse. Esto es conocido como el efecto Balassa-Samuelson por lo que β2 > 0.
Después GPRt es el gasto público relativo del país doméstico sobre el extranjero donde Aguirre y Calderón (2005) establece que si se asume que el gasto público está más sesgado hacia los bienes no transables, un aumento del consumo público afectará negativamente la demanda del sector no transable, aumentando así su precio y generando una apreciación del TCR, por lo que β3 > 0.
Finalmente, Dt es la deuda externa, que de acuerdo a Faruqee (1994), un aumento del nivel de deuda aumenta la necesidad de obtener fondos externos adicionales para repagar el principal más los intereses, lo que lleva en el largo plazo a necesitar un TCR más depreciado por lo que β4 > 0.
4. Metodología analítica
4.1. Metodología Econométrica
Utilizando letras minúsculas para representar el logaritmo natural de las variables en mayúsculas, la especificación empírica entonces viene dada por (5):
Donde se le añade a el término de error aleatorio, εt. El principal desafío es evaluar si existe una relación de largo plazo, es decir, si presentan relaciones de cointegración.
La cointegración1 es un concepto econométrico que establece la existencia de un equilibrio de largo plazo entre series de tiempo económicas subyacentes que convergen en el tiempo (Nkoro y Uko, 2016). En esta oportunidad, se elige la técnica de cointegración ARDL (Autoregressive Distributed Lag) de Pesaran y Shin (1999)oPesaran et.al., (2001) porque, diferencia de otras técnicas como la de Johansen y Juselius (1990), el enfoque ARDL presenta varias ventajas: es aplicable y robusto ante series con diferentes órdenes de integración por lo que reduce la incertidumbre del análisis del orden de integración de las series, puede aplicarse a muestras pequeñas y utiliza mínimos cuadrados ordinarios (OLS) para las inferencias por lo que es sencilla de aplicar (Nkoro y Uko, 2016;Pesaran et al., 2001).
Además, el ARDL permite identificar un único vector de cointegración, lo que facilita la derivación de un Error Correction Model (ECM) para integrar las dinámicas de corto plazo con el equilibrio de largo plazo. Esta metodología asegura que las variables no pierdan información en el proceso de ajuste (Nkoro y Uko, 2016).
4.1.1. Procedimiento para testear la relación de largo plazo entre las variables del modelo
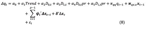
Para implementar la técnica de cointegración ARDL se sigue la notación de Pesaran et al. (2001). Se incluyeron 2 variables dummy para tener en cuenta, por un lado, el efecto de la década de la Convertibilidad (D0,t), y por otro lado, para tener en cuenta el efecto de algunas2 recesiones económicas experimentadas durante el periodo (D1,t) de la siguiente forma:
La inclusión de estas variables dummy no afecta los valores de las pruebas de cointegración que se llevaron a cabo3. Sea zt = (qt, tit , aent , prt, gprt)' = (qt, xt')'. Entonces, el modelo ECM condicional de interés al reexpresar presenta la siguiente forma:
Donde ∆ es el operador diferencias, Trend es la constante, es la variable determinística de tendencia y ρ es el lag de los rezagos. Suponiendo que qt-1 no ingresa en el modelo sub-VAR para , la ecuación (8) está identificada y puede ser estimada mediante OLS.
Entonces, bajo una serie de supuestos (ver Pesaran et al., 2001) se puede formular la hipótesis nula conjunta para testear cointegración, y consiste en:
Que para determinar la existencia de una relación de largo plazo entre las variables se utiliza el procedimiento de límites basado en estadístico F o de Wald y se confirma mediante el estadístico en caso de se pueda obtener (todas poseen distribución no estándar). El procedimiento de límites consiste en obtener los valores críticos de la banda superior e inferior, que asume que todas las variables son I(1) e I(0) respectivamente. Si el estadístico F o de Wald (y el si corresponde) observado supera el límite superior de la banda, este es el valor crítico que supone que todas las variables son I(1), entonces se rechaza la H0 y se demuestra la existencia de cointegración entre las regresoras.
4.2. Datos
Se han recolectado datos anuales sobre el TCR y los fundamentals postulados (deuda externa, productividad relativa del sector transable y no transable, términos de intercambio y gasto público relativo) para una muestra de 42 observaciones correspondientes al periodo 1980-2022. En que en el Apéndice B se detallan las definiciones y construcciones de cada variable con en detalle.
5. Resultados
En esta sección se recopilan los resultados de las pruebas econométricas realizadas para obtener el TCRE. Para tal tarea se utiliza el software econométrico Eviews en su versión 13, Gretl en su versión 2023 c y el lenguaje de programación R.
5.1. Análisis del Orden de Integración de las Series
Si bien en el enfoque ARDL no es condición necesaria que las series a utilizar sean exclusivamente, Nkoro y Uko (2016) igualmente recomiendan testear su orden de integración, ya que las mismas no deben ser para aplicar correctamente la técnica.
En primera instancia se emplearon las pruebas de raíz unitaria convencionales de Dickey-Fuller aumentada (ADF en inglés), Phillips-Perron (PP) y Kwiatkowski-Phillips-Schmidt-Shin (KPSS). Las pruebas ADF y PP contrastan la hipótesis nula de la presencia de una raíz unitaria, mientras que la KPSS examina si la serie es estacionaria. Este enfoque complementario refuerza la robustez de los resultados.
Los resultados de las pruebas, bajo las diferentes configuraciones de los componentes determinísticos, presentaron resultados mixtos para las variables a testear. Más detalladamente, la variable no presenta contradicciones, concluyéndose que es no estacionaria en nivel. Sin embargo, para las demás variables, las pruebas arrojaron resultados contradictorios lo que impide llegar a una conclusión clara sobre su orden de integración. Estas discrepancias podrían deberse a la baja potencia de las pruebas, aumentando el riesgo de errores tipo I o II al testear la raíz unitaria. En este sentido, Perron (1989) demostró que los test convencionales de raíz unitaria pueden sesgarse hacia una falsa raíz unitaria cuando existen quiebres estructurales en las series.
Así, dada la volatilidad de las series y la turbulenta historia política y económica de Argentina entre 1980 y 2022, la posibilidad de quiebres estructurales no puede descartarse ya que podrían haber afectado las pruebas de raíz unitaria.
Para abordar este problema, se utilizó la prueba de raíz unitaria de Kapetanios (2005), que permite considerar múltiples quiebres estructurales. Esta prueba contrasta la hipótesis nula de que la serie tiene una raíz unitaria o es no estacionaria , incluso después de considerar posibles quiebres, contra la alternativa de que la serie es o estacionaria alrededor de una tendencia y/o constante que ha experimentado quiebres estructurales.
Los resultados de esta prueba para cada variable mostraron que, dependiendo de los quiebres estructurales modelados, algunas series son estacionarias en torno al mismo, mientras que otras no. Por ejemplo, con un solo quiebre en la constante, solo la variable q es estacionaria alrededor de ese quiebre, mientras que las demás son no estacionarias luego de considerar el quiebre (ver Tabla D.4).
Por lo tanto, los resultados confirman un orden de integración mixto en las series, lo que hace inapropiado el uso de técnicas de cointegración que requieran series como por ejemplo la de Johansen y Juselius (1990). Dado este contexto, la técnica ARDL es considerada la más adecuada para estimar la relación de largo plazo entre el TCR y sus fundamentals.
5.2 Estimación del Modelo ARDL y Prueba de Cointegración
Para encontrar la mejor especificación del modelo se evaluaron las cinco especificaciones posibles (denominadas Casos), teniendo en cuenta como máximo un rezago para la variable dependiente y tres para las independientes4 y utilizando los criterios de información de Akaike (AIC) y el estadístico o de la Bound Test. Los resultados se expresan en la Tabla 1:
Tabla 1. Selección del modelo ARDL

Nota. (***), (**) y (*) indican la significancia estadística al nivel del 1%, del 5% y del 10% respectivamente tomando los valores críticos de Pesaran, Shin y Smith (2001).
* En todos los casos, se permite como máximo 1 rezago en la variable dependiente y 3 en las explicativas.
Según los resultados presentados en la Tabla 1, la mejor especificación correspondió al Caso V, que incluyó una constante y tendencia irrestricta, dado que rechazó la hipótesis nula de no cointegración con mayor contundencia y presentó el valor más bajo del estadístico de Akaike. Por lo tanto, de acuerdo al criterio AIC, modelo óptimo fue un (ver Tabla D5).
Con el modelo ya estimado, correspondió aplicar la Bound Test para verificar la existencia de una relación de largo plazo entre las variables postuladas y el TCR:
Tabla 2. Bound Test para el Caso V (constante y tendencia sin restricciones)

Nota. Los valores de Pesaran, Shin y Smith (2001) están calculados para una muestra n = 1000, mientras que los valores de Narayan (2005) lo están para una muestra n = 40.* Los límites son tomados a la significancia estadística del 1%.
Los resultados presentados en la Tabla 2 confirmaron una relación de largo plazo entre el TCR y los fundamentales macroeconómicos postulados, dado que el estadístico de Wald o sobrepasó los límites superiores críticos tanto de Pesaran et al. (2001) como de Narayan (2005) 5. Asimismo, el valor del estadístico observado de la prueba también sobrepasa ampliamente el valor crítico (ver Tabla 1), por lo que los resultados son consistentes.
Posteriormente, se testearon los diagnósticos de consistencia, que incluyeron pruebas de normalidad de residuos, heteroscedasticidad, correlación serial y la prueba RESET de Ramsey, así como también las pruebas de estabilidad dada por las pruebas CUSUM y CUSUM de cuadrados. Los resultados presentados en la Tabla 3, y las Figuras 1 y 2 permiten confirmar que el modelo pasa exitosamente todas las pruebas. En consecuencia, el modelo es consistente y estable.
5.3. Obtención de los Coeficientes de Largo plazo y Grado de Ajuste
Los resultados de la Tabla 4 muestran que el coeficiente estimado para la velocidad de ajuste del modelo ECM(-1) estadísticamente significativo, negativo y menor a 1 asegurando así la convergencia del modelo. Esto implica que aproximadamente el 66,4% de los movimientos de desequilibrio se corrigen en un periodo. A su vez, en la Tabla 4 se presenta la estimación de los coeficientes de la dinámica de largo plazo6:
Tabla 4. Término ECM y coeficientes de largo plazo

Nota. (***), (**) y (*) indican la significancia estadística al nivel del 1%, del 5% y del 10% respectivamente.
De acuerdo a esta tabla, se encontró evidencia significativa de que todas las variables postuladas efectivamente fueron fundamentales macroeconómicos del TCR para Argentina para el periodo 1980-2022. A continuación, el análisis de cada una:
Términos de intercambio. La evidencia encontrada aquí sugiere que existe una relación negativa entre y el TCR, por lo que un aumento en los deprecia al TCR en el largo plazo en línea con Espert y Vignoli (2018),Gadea (2014),Zarzosa Valdivia (2017)yZarzosa Valdivia y Pérez Águila (2015) para Argentina y contrario a lo predicho por el modelo teórico de Aguirre y Calderón (2005). Esto podría explicarse porque dominaría el efecto sustitución al riqueza (Aguirre y Calderón asumen lo contrario), y por lo tanto un aumento en disminuiría la demanda mundial de bienes, en consecuencia caerían las exportaciones de Argentina y por lo tanto la producción de exportables. Esto liberaría factores productivos del sector transable al no transable, lo que haría descender su precio relativo y por ende el TCR se depreciaría7.
Deuda externa. Se encontró relación negativa a largo plazo entre y el TCR confirmando la hipótesis de Faruqee (1994), lo que indica que un mayor endeudamiento externo deprecia al TCR. Este resultado fue hallado también por Zarzosa Valdivia (2017)yZarzosa Valdivia y Pérez Águila (2015) para Argentina.
Productividad relativa (pr). Se encontró relación positiva a largo plazo entre el y el TCR, por lo que un aumento de la aprecia al TCR a largo plazo. Esto indica que la hipótesis de Balassa-Samuelson se cumple para Argentina en el periodo bajo estudio en línea con Bello et al. (2010),Carrera et al. (1998),Coppola et al. (2016),Falbo y Gaba (2005),Gay (2017),Gay y Pellegrini (2003),Perry y Serven (2002)yZarzosa Valdivia y Pérez Águila (2015) para Argentina.
Gasto público relativo . Se encontró relación positiva a largo plazo entre el y el TCR tal y como postulan Aguirre y Calderón (2005), por lo que un aumento de la aprecia al TCR a largo plazo. Este resultado está en línea con Aguirre y Calderón (2005),Espert y Vignoli (2018),Dal Bianco (2010),Gadea (2014)yLanteri (2002) para Argentina.
Por lo tanto, se ha completado un paso crucial para construir la serie del TCRE de mediano/largo plazo, que se realiza a continuación.
6. Tipo de Cambio Real de Equilibrio
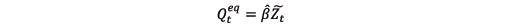
Siguiendo a Baffes et al. (1999),Clark y MacDonald (1998)yDriver y Westaway (2005) la ecuación del TCRE de mediano/largo plazo puede expresarse como (9):
Donde Qteq es el TCRE suponiendo que en algún año el TCRO estuvo en equilibrio, los coeficientes de largo plazo del modelo presentados en la Tabla 4, y \(\tilde{Z}\) t el “valor sostenible” de los fundamentales confirmados anteriormente. Antes de presentar los resultados obtenidos es necesario contemplar tres aspectos.
En primer lugar referido al concepto de sostenibilidad. Si bien el concepto de “sostenibilidad” de los fundamentales está sujeto a un amplio debate8, aquí se sigue a Baffes et al. (1999)yEdwards y Savastano (1999) para representarlos mediante la componente permanente de las series. Para ello se emplearon promedios móviles simples (PMS) de 6 periodos utilizando los primeros 6 datos como valores iniciales para obtener la componente permanente de cada serie, dado que la muestra es pequeña y ésta técnica suaviza mejor las series no estacionarias, además que reconoce que incluso las estacionarias pueden tener movimientos duraderos.9
En segundo lugar, para seleccionar el año base se siguió la definición Nurkseana de Edwards (1994) de TCRE, que lo define cómo el TCRO que para valores dados (de equilibrio o sostenibles) de otras variables relevantes conduce a la consecución simultánea del equilibrio interno y externo. El equilibrio interno significa que el mercado de los no transables se encuentra en equilibrio hoy y se espera que lo esté en el futuro (no hay desviaciones de la tasa natural de desempleo), mientras que el equilibrio externo se logra cuando la cuenta corriente (actual y futura) sea compatible con los flujos de capital sostenibles de largo plazo.
En base a este criterio, se decidió establecer al año 2007 como de equilibrio del TCR. La selección de justifica porque en aquel año la brecha entre el PIB observado y su potencial oscilaba el 4% (Gay, 2018) y el nivel de empleo alcanzaba su nivel NAIRU (Non-Accelerating Inflation Rate of Unemployment) según Baumann Fonay y Cohan (2018)yArcusa (2020), por lo que se puede decir que se estuvo muy cerca de alcanzar el balance interno. Con respecto al balance externo, la cuenta corriente poseía un superávit del 2,9% del PIB (BCRA, 2008), por lo que las cuentas externas estaban gozaban de un buen desempeño.
Finalmente, cómo se está construyendo la serie del TCRE utilizando no los valores originales de los fundamentales sino una derivación de los mismos con los coeficientes originales de la estimación, Baffes et al. (1999) exigen testear lo que se denomina super-exogeneidad10 de los fundamentales, que combina exogeneidad débil11 (TCRO no debe afectar a sus fundamentals) con invarianza de los parámetros de interés12 (crítica de Lucas por el cambio de base y uso de fundamentales sostenibles) para que los resultados anteriores sean econométricamente válidos ante tales cambios.
Para ello, se supone que la propiedad de la invarianza de los parámetros es una hipótesis que se cumple en lugar de probarla formalmente ya que es sensible a los diversos ejercicios que se realicen (Baffes et al., 1999), mientras que la exogeneidad débil se la testea realizando la prueba de no causalidad de Toda y Yamamoto (1995), que permite trabajar con las series de tiempo de distinto orden de integración. Los resultados obtenidos de la prueba presentados en la Tabla 5 confirmaron la no retroalimentación del modelo desde la variable dependiente (TCR) hacia los fundamentales y por lo tanto la super- exogeneidad de los fundamentales (bajo el supuesto de invarianza de los parámetros). A su vez, este resultado también refuerza la elección del modelo BEER al postular las variables como determinantes del TCR.
Nota. Para estimar cada relación, se estimó un modelo VAR aumentado (k + dmax), donde es el rezago temporal óptimo del VAR, y el orden integrado máximo de las variables del sistema. En este caso, dmax=1 y k=2 seleccionado de acuerdo al cumplimiento estabilidad y ausencia de correlación serial del modelo VAR.
Este ejercicio de testear conjuntamente la super-exogeneidad y el cambio de base como requisito para la construcción del TCRE es algo inédito para el caso argentino en comparación con los estudios de la Tabla A.1. A pesar de que Gay y Pellegrini (2003) testearon la exogeneidad débil de los fundamentals, complementándolo con un análisis de consistencia de los parámetros, o que Carrera et al. (1998) emplearon pruebas para testear la exogeneidad fuerte de sus fundamentales, no testearon la super-exogeneidad y mucho menos el cambio de base (al menos explícitamente) para operativizar la definición de TCRE13.
Así, estos análisis permiten superar las limitaciones metodológicas de la literatura, obteniéndose una serie del TCRE que se visualiza en la Figura 3:

Nota. La serie inicia en 1988 por el costo de utilizar PMS de 6 periodos, donde ya por la estimación de 3 rezagos se habían perdido otros 3.
Figura 3 Tipo de cambio real de equilibrio (2007 = 100)
La dinámica del TCRE muestra una tendencia decreciente entre 1988 y 2022, es decir, que se fue depreciando año tras año (Figura 3). Durante este periodo, el TCRE se depreció un 53%, pasando de un valor de 208 en 1988 hacia 98,6 para 2022, con una tasa promedio anual de depreciación del 2%. Este comportamiento puede explicarse analíticamente a partir de la evolución de los fundamentales sostenibles, particularmente del incremento notable de los términos de intercambio (ver Figuras C2.1 a C5.1).
En efecto, el crecimiento de los términos de intercambio fue a una tasa promedio anual del 1,6%, mientras que el gasto público relativo (el otro fundamental que también presentó un crecimiento importante) lo hizo al 0,5 anual14. Este mayor dinamismo en los términos de intercambio fue crucial, dado que se encontró que un aumento del 1% del mismo deprecia al TCRE en un 1,35% (Tabla 4). Aunque los demás fundamentales también contribuyeron a la trayectoria del TCRE, sus influencias se observaron más marcada en periodos específicos.
Sin embargo, dado que el TCRE es solo una referencia hacia la cual converge TCRO a largo plazo, resulta fundamental ampliar el análisis considerando ambas variables. A continuación, se construye el desalineamiento cambiario para profundizar en este aspecto.
7. Desalineamiento del TCR y Análisis de su Dinámica
7.1. Construcción del Desalineamiento
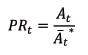
Se define al desalineamiento del TCR (DESt) cómo el desvío porcentual entre el TCRO y el TCRE de mediano/largo plazo con base en 2007 Qt eq, expresado en la ecuación (10):
Debido a que se utiliza el TCRE de mediano/largo plazo, éste índice se corresponde con lo que Clark y MacDonald (1998) denominan como total misalignment. Además, dada la definición del TCRO, un valor positivo (negativo) de significa que el TCRO se encuentra sobrevaluado (subvaluado).
En la Figura 4 se visualiza la evolución del desalineamiento total obtenido para el periodo 1988-2022:
La Figura 4 muestra que, al seleccionar 2007 como año de equilibrio del TCRO, el desalineamiento cambiario se anuló en ese punto. Como consecuencia de esta elección, se obtuvieron que los períodos de sobrevaluación predominaron en 24 de los 35 años analizados, sugiriendo que al menos en el período estudiado, la moneda argentina tendió a estar sobrevaluada de manera persistente.
Los resultados obtenidos también indicaron una cierta conexión entre el grado de desalineamiento y los episodios de crisis económicas ocurridos en Argentina. Particularmente, antes de los grandes colapsos cambiarios como ser los de 2002 o 2018/2019, el ARS se encontró sostenidamente sobrevaluado y presentó una tendencia creciente si es que se toman 6 años de antelación a los acontecimientos, promediando un 21,8% para 1995-2001 y un 20,8% para 2011-2017. Estos hallazgos están en línea con los diversos estudios que sugieren que los episodios de sobrevaluación prolongada de una moneda podrían actuar como señales de alerta temprana de futuras crisis cambiarias (Amado et al., 2005;Burkart y Coudert, 2002;Kaminsky y Reinhart, 1998;Omotosho, 2015).
De manera similar a las sobrevaluaciones, una subvaluación significativa del ARS precedió a la crisis financiera y monetaria de 1989/90 (56%). Este resultado refuerza la idea que conecta la subvaluación con presiones inflacionarias y su culminación en crisis económicas investigadas en la literatura (Borensztein y De Gregorio, 1999,Schröder, 2013). Concretamente para el caso argentino, con un piso de inflación anual que superaba el 400% para 1988 en combinación con un nivel de subvaluación tan alto, la presión para que el TCRO converja hacia su nivel de equilibrio fue hiperinflacionaria, lo que terminó dándose al año siguiente corrigiendo tal distorsión.
Es así que estos resultados se encontraron dentro de la visión convencional que afirma que cuando el TCRO se percibe severamente distorsionado de su nivel de equilibrio, se crearán expectativas de que éste se ajustará hacia el equilibrio en el futuro (Montiel, 2011). El ajuste se da ya sea a través de depreciaciones o devaluaciones de la moneda cuando se encuentra gravemente sobrevaluada como en 2002 o 2018/19, o mediante un incremento en los precios en el caso de amplias subvaluaciones como en 1989/90. Como se puede notar, esta visión conlleva implícitamente la idea de que las correcciones se realizan únicamente a través de movimientos en el TCRO, ya que modificaciones en el TCRE de mediano/largo plazo conlleva mucho más tiempo.
Como consecuencia de todo este análisis, se podría decir que el abrupto atraso cambiario obtenido del ARS desde 2019 sería una señal de alerta para la economía argentina (ver Figura 4). Esta sobrevaluación que alcanzó el 71% para 2022, y que fue el máximo valor obtenido de atraso cambiario en toda la muestra indicaría que, si en un hipotético caso el gobierno hubiese decidido liberar el mercado de cambios hacia 2023, muy probablemente la corrección del TCRO hacia su nivel de equilibrio hubiese conllevado enormes costos económicos como en el pasado, o quizás mucho mayores por la magnitud de la distorsión encontrada del TCRO.
Por otra parte, recién se analizó la relación entre el desalineamiento cambiario y las crisis económicas, sin embargo, también fue posible encontrar una relación entre los periodos de estabilidad y el desalineamiento. Se encontró que los periodos de crecimiento ininterrumpido y estabilidad económicas se asociaron a un nivel de desalineamiento moderado. Así, para el periodo 19911994 el desalineamiento en términos absolutos promedio fue del 9% mientras que para 2003 a 2007 lo fue del 11%, siendo ambos periodos los de mayor estabilidad en la muestra estudiada. Si se extienden tales periodos con las interrupciones de 1995 y 2009 hasta que la economía ingresó en un periodo de declive o estancamiento, se encontró que para 1991-1998 el desalineamiento fue en promedio del 6%, mientras que para 2003-2011 en términos absolutos el promedio fue del 7,6%. Los periodos de crecimiento ininterrumpido se circunscribieron en escenarios post crisis en donde los gobiernos de turno implementaron grandes cambios en las políticas económicas revertir las caóticas situaciones que heredaron.
Estos resultados llevan a la conclusión general de que los periodos de mayor (menor) inestabilidad económica comúnmente estuvieron asociados a un mayor (menor) grado de desalineamiento cambiario real. Sin embargo, los contextos bajo los cuales se dieron estos resultados presentaron diferencias particulares que es importante analizar.
A continuación, se analizará la dinámica del desalineamiento obtenida. Para facilitar su comprensión, se distinguieron 4 etapas o periodos en donde la trayectoria del desalineamiento mostró un comportamiento afín a los regímenes económicos que promovían los gobiernos de turno. La primera etapa corresponde al periodo 1988-1990, la segunda va desde 1991 a 2001, mientras que la tercera y cuarta respectivamente abarcan los años 2002 a 2010 y 2011 a 2022.
Análisis del Desalineamiento
Antes de comenzar con el análisis, resulta útil graficar la evolución del desalineamiento cambiario real en conjunto con sus dos componentes: el TCRO y el TCRE. Esto permite visualizar de manera más precisa los procesos bajo los cuales dieron lugar a la dinámica del desalineamiento, y observar si los resultados anteriormente mencionados forman un patrón que sea importante destacar, más allá de los resultados del desalineamiento obtenidos en el apartado anterior. En la Figura 5 se visualiza esto.
Primera Etapa: Hiperinflación y Crisis
Esta etapa es la más breve de todas. Una dinámica similar del desalineamiento para estos años también se observa en Carrera et al. (1998),Coppola et al. (2016),Bello et al. (2010)yLanteri (2002).
El trienio de 1988-1990 que la conforma comprendió uno de los periodos de crisis más profundas del siglo XX en Argentina (Amado, et al., 2005). En este contexto, se obtuvieron los niveles más elevados de subvaluación de toda la muestra bajo estudio: 56% y 63% para 1988 y 1989 respectivamente, y del 30,6% para 1990 (Figura 5).
Siguiendo el trabajo de Fanelli y Frenkel (1987) para explicar el contexto de los resultados obtenidos, a partir de 1987 el denominado Plan Austral dio muestras de agotamiento ya que se empezaron a revertir los logros obtenidos en materia fiscal y comercial. El shock externo que deterioró los términos de intercambio en aquel año impactaron drásticamente en los ingresos públicos incrementando así el déficit fiscal, y ello a su vez, impidió una política monetaria en línea con el plan estabilizador. La inconsistencia entre las políticas económicas era evidente, y ante una situación compleja el gobierno decidió implementar tanto una devaluación real de la moneda como el incremento de las tarifas públicas para cerrar las brechas fiscales y externas, pero que se encargaron de generar una fuerte aceleración inflacionaria ya en un contexto de alta inflación.
De esta manera, el contexto macroeconómico y la credibilidad del gobierno se estaban deteriorando seriamente hacia 1988. Es así que, en ese año un nuevo plan estabilizador conocido como Plan Primavera fue puesto en marcha para corregir de forma significativa los desbalances fiscales. Sin embargo, éste fracasa rotundamente ya que, por un lado, las metas de déficit fiscal se incumplieron nuevamente por problemas en el lado de los ingresos, y por el otro, el esquema de intervención cambiaría mediante el establecimiento de tipos de cambio diferenciales no pudo sostenerse.
Esta última cuestión fue la que dio lugar al estallido hiperinflacionario de 1989, ya que el BCRA dejó de intervenir el mercado debido a la falta de reservas en un contexto de inflación de base cercana al 400% anual. Así, el grado de desalineamiento real abrupto de estos años guarda una profunda conexión con la permanente inestabilidad macroeconómica y crisis que atravesaba el país. El hecho de que la inflación de base hacia 1988 era de tal magnitud, y con un grado de subvaluación alta producto de las devaluaciones reales, el escenario para que el TCRO converja hacia su nivel de equilibrio a través de una hiperinflación era inminente.
Así, se observa en la Figura 5 una convergencia del TCRO hacia su nivel de equilibrio al terminar esta etapa en 1990, año en que un nuevo episodio hiperinflacionario se manifestó. La escalada de precios finalmente en aquel año logró contenerse luego de la implementación de diversos planes económicos, pero la economía todavía no lograba estabilizarse.
Finalmente, antes de avanzar con la siguiente etapa resta explicar por qué el TCRE de mediano/largo plazo estuvo tan apreciado. De acuerdo a nuestro modelo, esto se debió principalmente tanto al bajo nivel de los términos de intercambio sostenibles, como al alto nivel de gasto público relativo sostenible que presentaba la economía, si es que se los compara con los valores que tomarían en un futuro.
Una dinámica similar del desalineamiento para estos años también se observa en Carrera et al. (1998),Coppola et al. (2016),Bello et al. (2010)yLanteri (2002).
Segunda Etapa: La Década de la Convertibilidad
La segunda etapa de abarca el periodo de funcionamiento del Plan de Convertibilidad, que va desde 1991 a 2001. Resultados similares para la dinámica del desalineamiento de esta etapa fueron encontrados por Bastourre et al. (2008),Coppola et al. (2016),Gadea (2014),Gay y Pellegrini (2003)yPerry y Serven (2003), en el sentido de que el TCRO se mantuvo sobrevaluado durante toda ésta época como muestra la Figura 5.
En esta etapa la dinámica del desalineamiento presentó dos matices muy marcadas: la primera que va desde 1991-1994 caracterizada por una trayectoria del desalineamiento baja y cercana al equilibrio, y la segunda desde 1995 a 2001, distinguida por una sobrevaluación creciente a lo largo de los años (Figura 5).
El primer subperiodo de sobrevaluación baja del ARS coincidió con los años de mayor éxito del Plan de la Convertibilidad. Este plan consistía de un ambicioso conjunto de reformas estructurales en el plano monetario, fiscal, comercial y cambiario que llevó a la economía desde su implementación en 1991 a estabilizarse, crecer y llevar a la inflación a niveles de un digito anual hacia 1994 (Rodríguez, 1995). Sin embargo, su consistencia y sostenibilidad se vieron amenazadas en 1995 con el impacto del denominado Efecto Tequila de la crisis mexicana del año anterior, que desató una severa crisis bancaria en Argentina e interrumpiendo el crecimiento sostenido de años anteriores.
Es así que inicia la escalada sobrevaluatoria del peso en el segundo subperíodo. Con el Tequila se empezaron a revelar las vulnerabilidades del régimen, cómo ser una posición fiscal endeble o un sistema bancario expuesto ante una eventual salida del sistema (Perry y Serven, 2003). Estas vulnerabilidades se sumaron al problemático déficit de la cuenta corriente, y a las desventajas intrínsecas de un sistema de Caja de Conversión, tales como la pérdida de instrumentos de política económica para hacer frente a shocks externos.
Por lo que los shocks externos provocados por la Crisis Asiática de 1997, el Efecto Vodka de la crisis rusa de 1998 y el Efecto Caipirinha de la crisis brasileña en 1999 provocaron la depreciación de las monedas de países emergentes e introdujeron a Argentina en un clima de creciente incertidumbre y desconfianza al apreciarse (y sobrevaluarse) el ARS.
Las respuestas del gobierno ante tal problemática fueron débiles (Perry y Serven, 2003). En primera instancia se dio lugar a un proceso deflacionario a partir de 1999 para corregir el atraso cambiario. Sin embargo, esto no fue suficiente. Luego en los últimos años del régimen se realizó un intento del gobierno de mejorar las cuentas públicas mediante el recorte del gasto y aumento de impuestos, pero estas medidas fallaron y agravaron la situación económica (Perry y Serven, 2003). Incluso se recurrió a un préstamo con el FMI para calmar los temores de un posible default, pero nada evitó el fatídico desenlace. Esto nos hace creer que, en tal punto, ya no existía ningún mecanismo que hubiera permitido corregir el desalineamiento cambiario una vez que ya se había vuelto severo (Gay y Pellegrini, 2003).
La persistente sobrevaluación cambiaria real también fue provocada por una depreciación del TCRE de mediano/largo plazo. El TCRE comenzó a depreciarse a partir de 1995 (Figura 5) impulsado por todas las variables fundamentales sostenibles de acuerdo a nuestro modelo, a excepción de la productividad relativa. Entre éstos fundamentales sobresale el comportamiento de la deuda externa total, donde su valor sostenible aumentó notablemente motivado por el enorme endeudamiento, tanto privado como público (Perry y Serven, 2002) que se dio una vez que Argentina reingresó a los mercados internacionales a través del Plan Brady.
Los resultados del desalineamiento obtenidos están en línea con la literatura revisada y compilada en la Tabla A.1. Gay y Pellegrini (2003) estimaron una dinámica del desalineamiento similar a la identificada en esta etapa, calculando una sobrevaluación del 44% para 2001, mientras que otros estudios lo ubicaron en un rango del 45-55% (Bastourre et al., 2008;Coppola, et al., 2016;Gadea, 2014;Perry y Serven, 2003). A su vez, los hallazgos respaldan la hipótesis de que la sobrevaluación del TCRO es un elemento importante a la hora de anticipar las crisis económicas de acuerdo a la literatura establecida (Burkart y Coudert, 2002;Kaminsky et al., 1998;Hinkle y Montiel, 1999).
Tercera Etapa: la Posconvertibilidad
La tercera etapa comprende los años 2002 a 2010 y comienza con la caótica salida del régimen de Convertibilidad. En cuanto a la evidencia empírica de la estimación para esta etapa, una dinámica similar se observa en el trabajo de Gadea (2014), pero sólo hasta 2007. Bastourre et al. (2008) también estiman una dinámica similar a la de éste trabajo, pero ellos lo calculan hasta 2006, año final de su muestra.
Nuestros resultados plasmados en la Figura 5 muestran que la gran subvaluación iniciada en 2002 se va atenuando con el paso de los años hasta llegar al nivel de equilibrio que hemos supuesto que se alcanzó en 2007, configurándose una trayectoria convergente entre ambos TCR. Luego, desde 2008 los TCR se aprecian conjuntamente, pero un desalineamiento muy bajo, culminando en 2010 con una leve sobrevaluación.
Para justificar los resultados obtenidos con el contexto histórico es importante comenzar con las implicancias de la caída de la Convertibilidad. Su salida produjo un overshooting del TCN que superó ampliamente ritmo de crecimiento en los precios, resultando así en una fuerte depreciación del TCRO. Ya que el TCRE de mediano/largo plazo depende de variables reales, se produjo un fenomenal cambio en los precios relativos que llevó desde una sobrevaluación del 43% en 2001 a una subvaluación del 36% para 2002 (Figura 5).
En un contexto una de las crisis más profundas de la historia reciente de Argentina (Amado, et al., 2005), se pone en práctica una conducta pragmática y flexible por parte del gobierno (Redrado, 2006), en pos de estabilizar la situación caótica que se atravesaba. Una vez normalizada las variables monetarias y financieras hacia 2003, y aprovechando un TCRO altamente competitivo, el BCRA optó por seguir una estrategia de acumulación de reservas, acompañada por una política de esterilización y administración cambiaria, permitiéndole al país preservar implícitamente la competitividad internacional (Frenkel y Rapetti, 2008). Según Frenkel y Rapetti (2008), esta estrategia se situó dentro de un régimen macroeconómico más amplio, que lo denominaron SCRER (TCR estable y competitivo en español), que fue clave para explicar el rápido crecimiento económico experimentado durante 2003-2007.
Para que la estrategia SCRER fuera efectiva, no sólo requería de unas políticas monetaria y cambiaria adecuadas, sino también de una política fiscal sólida, para evitar así la presión del sector público sobre el TCRO que apreciaría al TCRO. Por lo tanto, aprovechando del crecimiento en los términos de intercambio y de la competitividad de la economía que beneficiaron al sector externo, el gobierno apeló al instrumento de las retenciones para fortalecer las finanzas públicas (Gerchunoff y Kacef, 2016), que conjuntamente con el aumento de ingresos por el crecimiento le permitió sostener a la SCRER. Es así que, en este contexto de estabilidad y crecimiento económico, que tuvo como pilar un programa económico consistente y sostenible, ambos TCR convergieron hasta alcanzar en 2007 a una posición de equilibrio (Figura 5).
Esta dinámica hacia el equilibrio de 2003 a 2007 estuvo impulsada por un TCRO estable, explicada por una inflación baja (pero creciente con los años) que hizo posible sostener un esquema de flotación administrada del TCN, y un TCRE que se depreció año tras año. La depreciación del TCRE se puede explicar por todos los fundamentales sostenibles, en donde la recuperación y estabilidad económica jugaron un gran papel ya que amortiguaron el aumento del gasto público y permitió a la deuda externa sobre PIB también descender.
Sin embargo, a partir de 2007 este escenario cambió. La inflación que se aceleró desde 2004 finalmente se convirtió en motivo de preocupación desde ese año. Sea cual fuere el motivo del resurgimiento del problema inflacionario15, su aparición se encontró ligado al abandono de la estrategia SCRER por parte del gobierno, puesto que las políticas monetaria y cambiaría se volvieron incompatibles con la fiscal (Frenkel y Rapetti, 2008), ya que ésta última se enfocó finalmente en exacerbar la presión sobre los precios en vez de contenerla. Asimismo, en este año el TCRO alcanzó su posición de equilibrio gracias a la consistencia y sostenibilidad de las políticas macroeconómicas que permitieron a la economía alcanzar los balances internos y externos, pero el equilibrio solamente se mantuvo durante ese año ya que se abandonó ese principio fundamental.
Así, durante los 3 años restantes de la etapa el TCRO se apreció, explicados principalmente por la contención depreciatoria del TCN que siguió el BCRA para atenuar el impacto de la crisis internacional (Redrado, 2010). En tanto que el TCRE de mediano/largo plazo también se apreció, esta vez motivado por la política de gasto público expansivo, los efectos de disminución de la deuda externa y el crecimiento de la productividad que impactaron fuertemente en sus valores sostenibles, y consiguieron superar el impulso depreciatorio del aumento de los términos de intercambio sostenibles.
En cuanto al contexto en el que se dieron estos resultados, el país atravesó shocks de diversa índole que repercutieron fuertemente en la credibilidad y confianza el país. Así, ante el problema inflacionario en 2007 el gobierno optó por negarlo y subestimar la verdadera inflación en las estadísticas oficiales (Gerchunoff y Kacef, 2016). El impacto de esta medida se vio manifestada en una fuga de capitales, y luego se vio potenciada en 2008 por el conflicto del gobierno con el sector agropecuario y los efectos de la crisis financiera internacional (Gaggero et al., 2015;Tortul, 2011).
Si bien el shock externo de la crisis internacional fue sobrellevado exitosamente hacia 2010, las cuentas públicas y externas mostraron un signo de desmejoramiento, aunque todavía conservaban cierta robustez (Gaggero et al., 2015;Redrado, 2010;Tortul, 2011). Sin embargo, el gobierno todavía estaba a tiempo de corregir los problemas, sobre todo el inflacionario, y con ello evitar posibles desequilibrios macroeconómicos a futuro.
Los resultados obtenidos del desalineamiento para esta etapa están en línea con algunos estudios de la literatura compilada en la Tabla A.1. Sin embargo, la cuestión es hasta donde el TCRO se mantuvo subvaluado luego del gran overshooting de 2002. Por un lado, Bastourre et al., (2008) obtuvieron que el TCRO se mantuvo subvaluado hasta 2006 y Garegnani y Escudé (2005) hasta inicios de 2005, periodos donde terminaron sus muestras. Mientras que Coppola et al., (2016) obtuvieron que durante toda esta etapa el TCRO se mantuvo subvaluado, y Espert y Vignoli (2018) obtienen una dinámica errática que oscila entre la sub y sobrevaluación del TCRO.
Sin embargo, no así es el caso de Gadea (2014), que identificó una dinámica del desalineamiento similar a la aquí presentada, encontrando que el TCRO estuvo subvaluado hasta 2007, y luego paso a estar sobrevaluado. Aquí se encontró que, en los últimos 3 años, el TCRO osciló cercanamente en torno al equilibrio y se ha demostrado que estos resultados fueron consistentes con las circunstancias históricas, así como la hipótesis de Edwards (1994) y el aporte de Frenkel y Rapetti (2008).
Así, desalineamiento cambiario real obtenido para estos años nuevamente guardó una profUnda conexión con el contexto macroeconómico que atravesaba el país de acuerdo a nuestro análisis. Resta analizar la última etapa, quizás la más compleja por la diversidad de medidas económicas que se llevaron a cabo.
Cuarta Etapa: La Nueva Década del Atraso Cambiario Real
El período 2011-2015 estuvo marcado por una creciente sobrevaluación del ARS debido a los desequilibrios macroeconómicos, la pérdida del superávit fiscal y externo, y el aumento de la inflación (Gerchunoff y Kacef, 2016;Albornoz, 2024). La fuerte expansión del gasto público contribuyó a la apreciación del TCRO, afectando la competitividad de las exportaciones y generando una mayor fuga de capitales (Gaggero et al., 2015). Ante este contexto, el gobierno implementó un control cambiario y restricciones a las importaciones para frenar la salida de divisas en lugar de ajustar el tipo de cambio o la política fiscal (Wainer, 2018). Sin embargo, la sobrevaluación del ARS persistió, reflejando un modelo económico que dependía del financiamiento del BCRA y exacerbaba la inflación (Gerchunoff y Kacef, 2016). Hacia 2014, con una economía estancada y reservas en declive, el gobierno recurrió a una devaluación, aunque insuficiente para corregir los desequilibrios estructurales (Albornoz, 2021).
El período 2016-2019 se caracterizó por la eliminación del cepo cambiario y la implementación de una política económica de gradualismo, con endeudamiento externo como principal fuente de financiamiento (Sturzenegger, 2019). La liberalización de la cuenta capital y el intento de establecer un régimen de metas de inflación no lograron resolver los desequilibrios, y la sobrevaluación del ARS repuntó en 2017, reflejando inconsistencias en la coordinación de la política fiscal y monetaria (Cachanosky y Farelli Mazza, 2021). La crisis financiera de 2018, agravada por shocks externos como la crisis de la lira turca y el alza de tasas en EE.UU., desató una fuerte fuga de capitales, corrida cambiaria y devaluación del peso (Bortz et al., 2021). Para estabilizar la situación, el gobierno acordó un préstamo con el FMI y reorientó la política económica, pero la incertidumbre persistió, desencadenando nuevas crisis cambiarias en 2019, hasta que se reimpuso un control cambiario más restrictivo (Sturzenegger, 2019).
El período 2020-2022 estuvo dominado por la crisis del COVID-19, que agravó la recesión y obligó al gobierno a intensificar el financiamiento del déficit fiscal mediante el BCRA (Pesce y Feldman, 2023). En este contexto, la sobrevaluación del ARS se incrementó drásticamente, siguiendo una dinámica similar a la de los últimos años de la Convertibilidad (Edwards, 1994). A pesar de la recuperación económica parcial en 2021-2022, los desequilibrios macroeconómicos se profundizaron y la inflación superó el 90% anual en 2022, impulsando la apreciación del TCRO (Pesce y Feldman, 2023). Al mismo tiempo, la depreciación del TCRE reflejó el impacto del ajuste fiscal, la incertidumbre internacional y el crecimiento del endeudamiento (Bortz et al., 2021). Estos factores consolidaron un escenario de inestabilidad económica que dejó una economía debilitada para la siguiente administración.
En comparación a otros estudios para este periodo, los trabajos de Coppola et al. (2016)yEspert y Vignoli (2018) fueron los únicos que calcularon el desalineamiento del TCRO para parte de esta etapa. No obstante, la dinámica del desalineamiento aquí obtenida guarda más relación con la de Espert y Vignoli (2018), ya que calcularon que hasta 2017.
En relación a los años que van desde 2018 a 2022, no se encontraron investigaciones que hayan estudiado este periodo, por lo que los resultados aquí obtenidos permiten llenar ese vacío en la literatura.
Conclusiones
Los estudios sobre Argentina que estiman el TCRE y el desalineamiento cambiario presentan limitaciones metodológicas, tales cómo ausencia del estudio de quiebres estructurales, falta de operatividad del concepto de TCRE y ausencia de validación de super-exogeneidad de los fundamentales que le quitan credibilidad a sus resultados obtenidos. Ante ello, en este trabajo se estimó la serie del TCRE de mediano/largo plazo de Argentina para el periodo 1980-2022 y el grado de desalineamiento cambiario proponiendo una metodología alternativa que resuelve las tres limitaciones clave señaladas anteriormente.
Con la Forma Reducida de la Ecuación Única, basada en Baffes et al. (1999)yEdwards y Savastano (1999) se obtuvo el TCRE utilizando como fundamentales macroeconómicos los términos de intercambio, la relación entre deuda externa y PIB, el gasto público relativo y la productividad relativa entre los sectores transables y no transables. Estos dos últimos factores se consideraron en el contexto de Argentina y sus socios comerciales, siguiendo el modelo general de comportamiento del TCR propuesto por Baffes et al. (1999),Clark y MacDonald (1998)yDriver y Westaway (2005), el cual permitió ajustar la selección de variables según la disponibilidad de datos. Para la estimación, se aplicaó el modelo de Cointegración ARDL (Autoregressive Distributed Lag Model) de Pesaran et al. (2001), debido a su capacidad para manejar muestras pequeñas y su flexibilidad ante distintos órdenes de integración de las series.
Una vez estimado el TCRE se calculó el desalineamiento cambiario, suponiendo que en 2007 el TCR se encontró en equilibrio. Al analizar su dinámica la misma se dividió en 4 periodos históricos. En los tres primeros periodos los resultados arrojan similitudes con los trabajos más destacados en el área. En el último periodo analizado que comprende 2016-2022, los trabajos de Coppola et al. (2016)yEspert y Vignoli (2018) fueron los únicos que calcularon el desalineamiento del TCRO para parte de esta etapa. No obstante, la dinámica del desalineamiento aquí obtenida guarda más relación con la de Espert y Vignoli (2018), ya que calcularon que hasta 2017. En relación a los años que van desde 2018 a 2022, no se encontraron investigaciones que hayan estudiado este periodo, por lo que los resultados aquí obtenidos permiten llenar ese vacío en la literatura. En efecto, para tales años se encontró que la crisis económica del 2018-2019 tuvo como precedente un atraso cambiario profundo, abriendo así el debate para discutir el rol del TCR como uno de los factores que precedió a la crisis.
De los análisis se obtuvieron como conclusiones que los periodos de crecimiento ininterrumpido y estabilidad (1991-1994, 2003-2007) se asociaron a moderados niveles de desalineamiento cambiario mientras que las crisis económicas de 2001/02 y 2018/19 estuvieron precedidas por atraso cambiario elevado y persistente. Este resultado sugiere que los periodos de mayor inestabilidad económica en general estuvieron asociados a un mayor grado de desalineamiento cambiario. Se destaca además la detección del atraso cambiario desde 2010 en Argentina no pudiendo este ser revertido incluso con las devaluaciones de 2014 y 2015, y alcanzando su valor máximo post COVID-19.
Los resultados obtenidos en este estudio resaltan la importancia de diseñar políticas económicas consistentes y sostenibles para evitar desequilibrios macroeconómicos, y garantizar así la estabilidad económica impidiendo correcciones abruptas del TCRO que puedan entorpecer la evolución favorable de la economía. En el caso de Argentina, la experiencia histórica evidencia que los desequilibrios macroeconómicos emergieron cuando la indisciplina fiscal estuvo presente, por lo que por lo que mantener una política fiscal ordenada y sostenible debe ser priorizada como un eje central en cualquier estrategia económica orientada a la estabilidad.










































