SciELO - Scientific Electronic Library Online

 
vol.11 issue4Infestation of Jamillo (Ligaria cuneifolia) in Pepper tree (Schinus molle) in the Cochabamba ValleyEvaluation of the effects of compost dosing to contribute to soil restoration and productivity of corn (Zea mays) crops at Hacienda Pairumani (Cochabamba-Bolivia) author indexsubject indexarticles search
Home Pagealphabetic serial listing  

Services on Demand

Journal

Article

Indicators

Related links

  • Have no similar articlesSimilars in SciELO

Share


Acta Nova

On-line version ISSN 1683-0789

RevActaNova. vol.11 no.4 Cochabamba Nov. 2024  Epub Nov 30, 2024

https://doi.org/10.35319/acta-nova.202425 

Artículos científicos

Análisis de atributos sensoriales que influyen en la percepción de calidad del café mediante la técnica multivariada de componentes principales

Analysis of Sensory Attributes that Influence the Perception of Coffee Quality through Multivariate Technique Main Components

Vivian Espinoza Romano1 

Valeria Rafaela Figueroa Camacho2 

Soledad Adriana Aldunate Flores2 

1Departamento de Ciencias Exactas e Ingenierías, Universidad Católica Boliviana, Cochabamba, Bolivia

2Ingeniería en Ciencia de Datos y Negocios Inteligentes, Universidad del valle, Cochabamba, Bolivia


Resumen:

El presente estudio analiza la percepción de calidad del café mediante el Análisis de Componentes Principales (ACP), con el objetivo de identificar los factores sensoriales clave que influyen en la satisfacción del consumidor y a la vez caracterizar algunas granjas cafeteras en función de estos atributos. Para la recolección de datos se utilizó la plataforma en línea Kaggle y se aplicaron encuestas a 207 granjas en 22 países productores y consumidores de café, incluyendo Colombia, Brasil, Guatemala y Etiopía. La investigación se centró en la variedad Coffea arábica L., debido a su amplia producción y características diferenciadoras en sabor, altitud de cultivo y contenido de cafeína. La base de datos fue proporcionada por el Instituto de Calidad del Café (CQI), fue procesada utilizando SPSS vs. 28 y R Studio vs. 2022.02.0.

El ACP permitió reducir la complejidad de las variables, destacando dos componentes principales que explican el 88,89% de la variabilidad. El primer componente (83,11%) agrupa los atributos sensoriales más valorados, mientras que el segundo (5,78%) añade información complementaria. Se identificó una fuerte correlación entre el sabor y la percepción de calidad (r = 0,878), siendo el atributo más determinante. El regusto y el balance también influyen positivamente, aunque con menor impacto. En contraste, la acidez y el cuerpo presentan una correlación menor, pero siguen siendo factores relevantes. Asimismo, se caracterizaron fincas cafeteras de ciertos países en función de las variables sensoriales.

Los hallazgos destacan la importancia de mejorar el perfil sensorial del café, especialmente en términos de sabor y equilibrio, para incrementar la satisfacción del consumidor; mismos que pueden ser utilizados por cafeterías y productores para desarrollar estrategias que optimicen la experiencia del cliente y fortalezcan su posicionamiento en el mercado. Además, la metodología empleada demuestra la utilidad del ACP en el análisis de percepciones sensoriales, permitiendo desarrollar enfoques más precisos para la mejora de la calidad del café y la experiencia del cliente.

Palabras clave: Análisis de componentes principales; análisis sensorial; café

Abstract:

This study analyzes the perception of coffee quality using Principal Component Analysis (PCA), with the aim of identifying the key sensory factors that influence consumer satisfaction and at the same time characterizing some coffee farms based on these attributes. For data collection, the online platform Kaggle was used, and surveys were applied to 207 farms in 22 coffee producing and consuming countries, including Colombia, Brazil, Guatemala and Ethiopia. The research focused on the Coffea arabica L. variety, due to its wide production and differentiating characteristics in flavor, cultivation altitude and caffeine content. The database was provided by the Coffee Quality Institute (CQI) and was processed using SPSS vs. 28 and R Studio vs. 2022.02.0.

The PCA allowed reducing the complexity of the variables, highlighting two main components that explain 88.89% of the variability. The first component (83.11%) groups the most valued sensory attributes, while the second (5.78%) adds complementary information. A strong correlation was identified between flavor and quality perception (r = 0.878), being the most determining attribute. Aftertaste and balance also have a positive influence, although with less impact. In contrast, acidity and body have a lower correlation but are still relevant factors. Likewise, coffee farms in certain countries were characterized based on sensory variables.

The findings highlight the importance of improving the sensory profile of coffee, especially in terms of flavor and balance, to increase consumer satisfaction; these can be used by coffee shops and producers to develop strategies that optimize the customer experience and strengthen their positioning in the market.

In addition, the methodology used demonstrates the usefulness of PCA in the analysis of sensory perceptions, allowing for the development of more precise approaches to improve coffee quality and customer experience.

Keywords: Principal component analysis; sensory analysis; coffee

1. Introducción

En un mercado tan competitivo como el actual, las preferencias de los consumidores de café son clave para destacar. En este contexto, la calidad del café se ha convertido en un factor esencial para lograr la satisfacción de los clientes. Atributos sensoriales como el aroma, el sabor, el regusto, la acidez, el cuerpo y el balance tienen una influencia directa en cómo los consumidores perciben y valoran el café. Si bien estos atributos sensoriales son cualidades del café; para hacer uso de la técnica multivariada de análisis de componentes principales se necesita trabajar con variables cuantitativas, por este motivo se medirán dichos atributos en una escala numérica.

Para entender qué elementos impactan más en la experiencia del cliente y optimizar la oferta de productos, el Análisis de Componentes Principales (ACP) se presenta como una herramienta valiosa. Este método permite simplificar la complejidad de los datos sensoriales al identificar y agrupar las variables clave en componentes interpretables, destacando aquellos que tienen mayor impacto en la percepción del consumidor. Según Monroy, (2012) es un estudio realizado sobre n - individuos mediante p - variables x1, ... , xp, es posible encontrar nuevas variables notadas por yk que sean combinaciones lineales de las variables originales xj, y sujetas a condiciones de conservación de información y ortogonalidad. El desarrollo del ACP es semejante a una regresión lineal del componente principal sobre las variables originales. En tal sentido se determina la primera componente principal y1, la cual sintetiza la mayor cantidad de variabilidad total contenida en los datos, y así sucesivamente.

El objetivo de este estudio es determinar cuáles son los atributos sensoriales que más influyen en la percepción de calidad del café. La hipótesis plantea que existe una relación positiva entre ciertos atributos sensoriales específicos y la satisfacción general del cliente. Además, se propone que estos atributos pueden resumirse de manera eficaz en componentes principales, lo que permitiría desarrollar estrategias precisas para mejorar la calidad percibida del producto.

Investigaciones previas han analizado la percepción de calidad en distintos productos alimenticios usando ACP y otros métodos estadísticos avanzados. En el caso del café, se sabe que factores como el sabor, el aroma y el cuerpo son esenciales para la satisfacción del consumidor y, en muchos casos, para fomentar su lealtad hacia la marca (Villarroel, Álvarez, & Maldonado, 2003).

Según Jaimes & Barahona, (2016), en el contexto del marketing, los análisis sensoriales son poderosas herramientas para investigar "la voz del cliente" de forma sistemática y estructurada. Permiten demostrar que los productos llegan al mercado con los atributos deseados por los consumidores. Los análisis sensoriales caracterizan objetivamente los alimentos y bebidas, mediante el análisis de la información percibida por los sentidos humanos, al tiempo que se consideran los principios de la nutrición, fisiología, psicología y estadística. Asimismo, afirman que su estudio es muy limitado en la investigación de bebidas de café y dentro del contexto latinoamericano. En la industria del café, los análisis sensoriales se han convertido en herramientas de gran valor, debido a su capacidad para procesar correctamente un enorme número de variables relacionadas con los atributos del producto.

Dependiendo de los objetivos del proyecto o de la investigación, el perfil de los catadores puede variar, así como el nivel y tiempo de entrenamiento.

Sin embargo, pocos estudios han aplicado ACP específicamente para priorizar estos atributos en el contexto del café, por ejemplo, en el estudio realizado por Buendía-Espinoza et al., (2020), el objetivo fue de evaluar la calidad física y sensorial de las variedades Typica y Mundo Novo a través del análisis de componentes principales, durante el período 2017-2018, para identificar las variables que se asocian a la calidad en taza de las variedades. Once muestras de café cereza se procesaron con beneficio húmedo para evaluar sus características físicas y sensoriales. De las 7 características se redujeron a 2 dimensiones rescatando 73,67% de variabilidad total; también se encontró una correlación positiva entre las variables cuerpo y balance. Finalmente, los resultados indican que no hubo diferencias significativas en relación con la calidad física del grano y en taza entre variedades.

En el trabajo de investigación de Puerta, (2000), se evaluó la calidad en taza de mezclas de variedades de café de la especie Coffea arabica L., mediante pruebas sensoriales. Se midió el aroma, la acidez, el amargor, el cuerpo y la impresión global y por análisis fisicoquímicos el pH, la acidez y los sólidos de la bebida. Se utilizó café maduro de las variedades Colombia, Caturra, Borbón y Típica procedente de Chinchiná, procesado mediante beneficio húmedo, fermentación natural y secado solar. Algunos de los resultados que se encontraron fueron que las variedades no mezcladas presentaron cualidades especiales que pueden destacarse mediante la tostación o balancearse por medio de mezclas. Las mezclas que contenían variedad Colombia de fruto amarillo se destacaron por su alta acidez. Todo este análisis se efectuó con la técnica multivariante de Componentes Principales; explicando un 90% de la varianza original con dos componentes principales que fueron el gusto (ácido) y el aroma (tostado y molido).

Si bien se encontraron artículos referidos a los atributos sensoriales del café, en la revisión bibliográfica, son estudios que utilizaron factores, lugares o variedades del café diferentes, lo cual abre nuevas oportunidades para seguir explorando y afinando la percepción de los consumidores de esta bebida y por ende, a mejorar la calidad de.

Este trabajo busca aportar al conocimiento existente ofreciendo una evaluación detallada de las preferencias de los consumidores de café; además caracterizarlos por países. Con estos hallazgos, las empresas del sector podrán identificar los factores sensoriales más valorados y desarrollar productos que no solo cumplan, sino que superen las expectativas de su público objetivo.

2. Problema de investigación

En el contexto del consumo de café, la percepción de calidad juega un papel central en la satisfacción del cliente y en su fidelidad hacia una marca. No obstante, comprender qué atributos sensoriales específicos contribuyen más significativamente a esta percepción de calidad sigue siendo un desafío para la industria. A pesar de que se reconoce que factores como el aroma, sabor, regusto, acidez, cuerpo y balance influyen en la experiencia del consumidor, la complejidad de estos datos sensoriales puede dificultar el desarrollo de estrategias específicas para optimizar el producto, sus ventas y calidad.

La falta de un análisis detallado que priorice estos atributos y permita identificar su impacto relativo representa un vacío en el conocimiento actual. Aunque existen investigaciones previas sobre análisis sensorial de café, pocas han empleado el Análisis de Componentes Principales (ACP) para sintetizar y destacar los factores de percepción sensorial para resaltar la calidad de esta bebida que es consumida mundialmente. Esto deja a la industria con información limitada para tomar decisiones estratégicas basadas en evidencia.

Por lo tanto, el problema central que aborda este estudio es identificar y jerarquizar los atributos sensoriales que más influyen en la calidad percibida del café y asimismo, caracterizarlas por países, utilizando técnicas estadísticas avanzadas como el ACP. Este análisis permitirá simplificar la complejidad de las variables sensoriales, proporcionando prácticas perspectivas para el desarrollo de productos y la mejora de la calidad del café y también la experiencia del cliente en varios países del mundo.

3. Objetivo

Identificar y jerarquizar los atributos sensoriales clave que influyen en la percepción de calidad del café, con el propósito de generar información útil para mejorar los productos y satisfacer las expectativas de los consumidores en diversos países del mundo.

4. Sustento teórico

El análisis multivariante es un conjunto de técnicas de análisis de datos en expansión. (Hair, 2004). Entre las técnicas más conocidas se tiene el análisis factorial, que incluye variaciones tales como el análisis de componentes principales, que puede considerarse como una aproximación estadística para analizar interrelaciones entre un gran número de variables y explicarlas en términos de sus dimensiones subyacentes comunes (factores); cuyo objetivo es encontrar un modo de condensar la información original en un conjunto más pequeño con una pérdida mínima de información.

Análisis de Componentes Principales (ACP): Es una técnica estadística utilizada para reducir la dimensionalidad de un conjunto de datos con múltiples variables correlacionadas. Introducido por Pearson y Hotelling, el ACP transforma las variables originales en un nuevo conjunto de variables no correlacionadas llamadas "componentes principales", que explican la mayor parte de la varianza de los datos. Los primeros componentes principales retienen la mayor cantidad de información relevante (varianza).

Por los supuestos y condiciones que cumple esta técnica, se deben trabajar estrictamente con variables cuantitativas, Monroy, (2012) también afirma que las nuevas variables poseen algunas características estadísticas "deseables", tales como independencia (bajo el supuesto de normalidad) y no correlación. En el caso de no correlación entre las variables originales, el ACP no tiene mucho que hacer, pues las componentes se corresponderían con cada variable por orden de magnitud en la varianza; es decir, la primera componente coincide con la variable de mayor varianza, la segunda componente con la variable de segunda mayor varianza, y así sucesivamente.

Objetivos principales del ACP:

  • • Generar nuevas variables que expresen la información contenida en un conjunto de datos.

  • • Reducir la dimensión del espacio donde están inscritos los datos.

  • • Eliminar las variables (si es posible) que aporten poco al estudio del problema.

  • • Facilitar la interpretación de la información contenida en los datos.

Características importantes del ACP: (Monroy, 2012)

  • • La proyección de los puntos hacia los ejes originales reproduce los valores de las variables originales, y recíprocamente, las proyecciones de los puntos sobre los nuevos ejes dan los valores para las nuevas variables.

  • • Los nuevos ejes o variables se denominan componentes principales y los valores de las nuevas variables se llaman puntajes de las componentes principales.

  • • Cada una de las nuevas variables es una combinación lineal de las variables originales y se conservan centradas (media cero).

  • - La variabilidad total de las variables nuevas es la misma que la variabilidad total contenida en las variables originales. Es decir, la variabilidad total de los datos no se altera por transformaciones ortogonales de éstos (no hay pérdida de información).

  • - La varianza reunida por la primera nueva variable, por construcción y condición, es mayor que la reunida por cualquiera de las variables originales. La segunda nueva variable, reúne la varianza que no ha sido reunida por la primera nueva variable.

  • - Las dos nuevas variables son incorrelacionadas; es decir, su correlación es cero, y así entre todas las componentes principales encontradas.

Esta última condición de la ortogonalidad (variables incorreladas) y la condición de maximizar varianzas se convierte en la función objetivo a maximizar, sujeta a ciertas restricciones; por lo tanto, se la realiza con el método de estimación de parámetros de Multiplicadores de Lagrange1

Utilidad del ACP: Es especialmente útil en contextos donde muchas variables están interrelacionadas, lo que puede dificultar la interpretación de los datos. Permite identificar patrones clave, simplificando los datos y facilitando su interpretación sin pérdida significativa de información (De la Fuente, 2024). También facilita la interpretación de manera visual, valiéndose de gráficos como: el Gráfico de Componentes y el Gráfico de Individuos.

Aplicaciones relevantes del ACP: En el contexto del café, esta técnica se utiliza para identificar los atributos sensoriales por países que influyen en la percepción de calidad del consumidor, como el aroma, el sabor y el balance. Estas aplicaciones son fundamentales para priorizar estrategias en el desarrollo de productos y optimización de la experiencia del cliente (De la Fuente, 2024).

Fórmulas clave en el ACP: Aunque el procedimiento de este método puede ser técnico, algunas fórmulas esenciales que lo sustentan tienen mucho que ver con matemáticas, en particular con el área del álgebra matricial (transformaciones lineales, subespacios vectoriales, valores y vectores propios, etc.), y si se entienden bien los fundamentos bajo estas fórmulas, la aplicación e interpretación resultan inmediatas.

A continuación, se muestra el cálculo de componente principales:

4.1 Cálculo de Componentes Principales

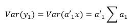
Se considera una serie de variables (x1, x2,..., xp) sobre un grupo de objetos o individuos y se trata de calcular, a partir de ellas, un nuevo conjunto de variables (y1, y2,..., yp), incorreladas entre sí, cuyas varianzas vayan decreciendo progresivamente.

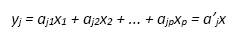
Cada yj (j = 1,..., p) es una combinación lineal de las (x1, x2,..., xp) originales, es decir:

siendo a'j = (a1j, a2j, ..., apj) un vector de constantes, y "x" un vector de variables:

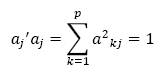
Y una manera de maximizar la varianza es incrementar el valor de los coeficientes aij, esto implica que debe mantenerse la ortogonalidad de la transformación, y esto implica que el módulo del vector a'j = (a1j, a2j, ..., apj) sea igual a 1. Esto es:

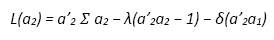
El primer componente se calcula eligiendo a1 de modo que y1 tenga la mayor varianza posible, sujeta a la restricción de que a'1a1 = 1. El segundo componente principal se calcula obteniendo a2 de modo que la variable obtenida, y2 esté incorrelada con y1.

Del mismo modo se eligen y1, y2,..., yp, incorrelados entre sí, de manera que las variables aleatorias obtenidas tengan cada vez menor varianza.

Se elige a1 de modo que se maximice la varianza de y1 sujeta a la restricción de que a'1a1 = 1

Utilizando el método de multiplicadores de Lagrange, se procede a maximizar una función (varianza) sujeta a una restricción (ortogonalidad). Entonces el problema sería maximizar la función a'1Σa1 sujeta a la restricción a'1a1 = 1.

En este caso la incógnita es precisamente a1 (el vector desconocido que da la combinación lineal óptima) y la función a maximizar es:

Y para encontrar el máximo, se deriva respecto al parámetro a1 y se iguala a 0, obteniendo la siguiente expresión:

El determinante de esta matriz singular2debe ser igual a 0 para que admita una solución, la cual será precisamente el valor propio de la matriz de varianzas y covarianzas Σ (que es orden p), y si además es definida positiva, tendrá p autovalores distintos, λ1, λ2,...,λp tales que, por ejemplo, λ1 > λ2 > ... > λp. A esta expresión se llama el polinomio característico:

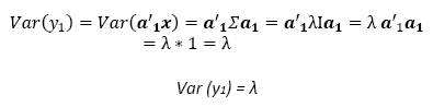
De donde se obtiene que la varianza del primer componente principal será la mayor varianza por construcción y que además es el primer autovalor de la matriz Σ

En realidad, a1 es un vector que da la combinación de las variables originales que tiene mayor varianza, esto es, si a'1=(a11, a12,...,a1p), entonces:

El segundo componente principal, digamos y2 = a'2x, se obtiene mediante un argumento parecido. Además, se quiere que y2 esté incorrelado con el anterior componente y1, es decir, la covarianza entre y1 y y2 es cero Cov(y2, y1) = 0. Esto equivale a que a'2a1= 0, es decir, que los vectores sean ortogonales.

Luego se tiene que maximizar la varianza de y2, es decir, a'2Σa2, sujeta a las siguientes restricciones:

La función a maximizar esta vez sujeta a dos restricciones está dada por:

Se deriva respecto de a2, obteniendo la siguiente expresión:

Aplicando los mismos razonamientos que anteriormente se usaron, elegimos λ como el segundo mayor autovalor de la matriz Σ con su auto vector asociado a2.

Generalizando así, los razonamientos anteriores que se pueden extender, de modo que al j-ésimo componente le correspondería el j-ésimo autovalor.

La búsqueda de estos nuevos ejes se hace mediante el cálculo de los llamados valores y vectores propios de la matriz de correlaciones entre todas las variables del estudio. Puede hacerse también a partir de otra matriz, la de varianzas-covarianzas, pero ésta tiene el problema de que cuando las variables tienen unidades de escala muy diferentes introduce un exceso de influencia por parte de las variables con mayor varianza, por esta razón suele trabajarse con la matriz de correlaciones (matriz estandarizada).

cabe resaltar que estas matrices, no son más que trasformaciones lineales (Traslación y Rotación) de los ejes originales al nuevo espacio de componentes principales.

Ahora bien, respecto a la cantidad de nuevos factores a retener en el estudio, algunos autores como, por ejemplo, Dillon & Goldstein (1984, págs. 47-50) describen algunos métodos gráficos los cuales sirven como herramienta para la elección del número de componentes principales, suficientes para retener una proporción adecuada de la variabilidad total.

Los autores citan el procedimiento siguiente: en un diagrama cartesiano se ubican los puntos cuyas coordenadas son las componentes principales o factores (CP) y los valores propios, ordenados de forma descendente. Si a partir de algún punto (parte derecha) se puede trazar una línea recta de pendiente pequeña (a manera de ajuste), el número de componentes está dado por los puntos ubicados arriba de tal línea. Este método se conoce también con el nombre de Método del codo.

Fuente: Tomado de: Análisis estadístico de datos multivariados. Monroy, 2020.(pág. 286)

Figura 1. Selección de componentes principales. 

La Figura 1, muestra un ejemplo donde originalmente se están analizando 10 variables, y los tres primeros factores son los candidatos para escoger las componentes principales que retienen una considerable cantidad de la variabilidad total. Este Figura se basa en la magnitud de los valores propios de cada factor.

Este método hasta ahora depende únicamente de los valores propios. Sin embargo, los datos disponen de información adicional que puede emplearse para decidir sobre el número apropiado de componentes principales. Krzanowski & Marriot (1994, págs. 81-83) desarrollan una estadística semejante al PRESS3 de regresión.

Muchas veces la selección de Componentes Principales: Se basa en el criterio de varianza explicada acumulada (por ejemplo: mayor o igual al 85%). Se recuerda que la proporción de varianza explicada por cada Componente Principal es:

Donde:

λi: Autovalor del i-ésimo componente principal.

Suma total de autovalores.

A continuación, se abordará el tema de los análisis sensoriales, que según Meilgaard M. C. (2006)yPardo P. J G, (2008) se componen de un conjunto de técnicas para medir con precisión atributos de los alimentos y bebidas, los cuales son captados mediante los sentidos humanos. Se distinguen cuatro campos de su aplicación: la producción, control de calidad, desarrollo de productos y marketing sensorial. Este último se entiende como la disciplina que involucra los sentidos del consumidor, y a su vez, afecta su percepción, juicio o comportamiento. (Krishna A., 2014)

4.2 Percepción de calidad

La percepción de calidad es el juicio subjetivo que los consumidores hacen sobre un producto o servicio, basado en atributos específicos evaluados a través de los sentidos humanos. En el contexto del café, esta percepción no solo depende del sabor, sino también de factores como el aroma, el regusto y el cuerpo del café.

Según Kotler y Keller (2016), la calidad percibida influye directamente en la lealtad del cliente y en la decisión de compra. En los resultados obtenidos por Puerta (2000), se estudió la calidad sensorial de varias mezclas de café elaboradas con muestras de las principales variedades de café cultivadas en Colombia, con el fin de conocer las características particulares del café colombiano y determinar las proporciones de cada variedad en una mezcla con las cuales, es posible obtener una bebida con el mejor balance que haga potencialmente al café de Colombia más competitivo en el mercado de cafés especiales.

Buendía-Espinoza (2020), menciona que la apreciación global es un indicador que permite aceptar o rechazar una muestra de café por su calidad, y está relacionada con todas las propiedades percibidas con el sentido del olfato (aromas) y gusto (cuerpo, amargo y acidez).

Atributos sensoriales del café: Los atributos sensoriales se refieren a las características que los consumidores perciben a través de sus sentidos. Según Puerta (1996), para medir estos atributos se usa el método descriptivo cuantitativo, utilizando una escala de 9 puntos, para la calificación de cada característica organoléptica del café, la cual se interpreta así: calificaciones 9, 8, 7 para cualidades equilibradas, deseables, donde 9 corresponde a la mejor calificación; 6, 5, 4 para cualidades intermedias, calificando desviaciones, 4 apenas tolerable y 3, 2, y 1 como cualidades indeseables, calificando defectos, donde 1 se consideró como la peor calificación. La escala descriptiva se resume así: 9, 8, 7 muy buena, equilibrada y balanceada; 6 buena; 5 verde, astringente, insípida, aroma pronunciado; 4 baja; 3 cereal, reposo, quemado, muy amargo; 2 fermento, extraño, metálico, sucio; 1 fenol, carbonoso, tierra, picante, contaminado, stinker.

Puerta (2000), afirma que las siguientes propiedades sensoriales del café: Intensidad de aroma del café tostado y molido, aroma de la bebida, acidez, amargo, cuerpo e impresión global de la bebida; son algunos de los atributos más importantes del café:

Aroma: Es uno de los factores más influyentes en la aceptación del café. Según Bui y Nguyen (2021), el nivel de intensidad del aroma tiene un impacto positivo en la intención de compra.

Sabor y regusto: Ambos influyen en la percepción general del café, aunque su relación con la decisión de compra puede ser compleja y depende de otros factores como el precio y la etiqueta del producto (Barahona et al., 2020).

Acidez y cuerpo: Estos atributos afectan la percepción del balance y la complejidad del café, elementos cruciales para los consumidores que buscan una experiencia sensorial equilibrada y rica.

Balance: El equilibrio entre los atributos sensoriales es clave para la satisfacción del consumidor. Un desequilibrio puede afectar negativamente la experiencia general.

Satisfacción del cliente: La satisfacción del cliente es la evaluación general que el consumidor hace sobre un producto, y está estrechamente relacionada con la percepción de calidad. cuando los atributos sensoriales del café son apreciados positivamente, la satisfacción y la lealtad hacia la marca aumentan. Kotler y Keller (2016) sugieren que los consumidores satisfechos son más propensos a convertirse en leales y a recomendar el producto.

4.3 Teorías relacionadas

Teoría del comportamiento del consumidor: Esta teoría se enfoca en cómo los consumidores toman decisiones de compra basadas en sus experiencias sensoriales y emocionales. Según Schiffman y Kanuk (2010), los consumidores no solo buscan satisfacer necesidades funcionales, sino que también buscan productos que generen experiencias emocionales positivas a través de sus atributos sensoriales.

Teoría de la calidad percibida: Según esta teoría, la calidad de un producto se percibe a través de los atributos que lo componen y de la experiencia general que el consumidor tiene con él. En el caso del café, atributos sensoriales como el aroma y el sabor son fundamentales para esta evaluación. Zeithaml (1988) indica que una alta percepción de calidad se traduce en mayor satisfacción, lealtad y disposición a pagar un precio premium por el producto.

4.4 Modelos de preferencia sensorial:

Estos modelos explican cómo los consumidores priorizan ciertos atributos sensoriales sobre otros. Bui y Nguyen (2021) encontraron que, para los consumidores colombianos, el aroma del café tiene una influencia mayor en la preferencia de compra que el sabor, lo que sugiere que los atributos olfativos son decisivos en las intenciones de compra.

4.5 Marketing sensorial y su impacto en la decisión de compra

Spence et al. (2017) destacan la importancia del marketing sensorial, explicando cómo los estímulos sensoriales, como el aroma y el sabor, afectan las decisiones de compra y las emociones del consumidor. Esta investigación refuerza la idea de que los atributos sensoriales no solo influyen en la percepción de calidad, sino también en la conexión emocional con el producto, lo que es clave en la fidelización del cliente.

Jaimes & Barahona (2016), mencionan que cuando una evaluación sensorial es la base para la toma de decisiones estratégicas, con alto impacto en la estructura del negocio, será necesario emplear catadores expertos, locaciones especializadas y metodologías robustas que han demostrado previamente su precisión.

4.6 Antecedentes de investigaciones similares

Estudio de Bui y Nguyen (2021): En su investigación, Bui y Nguyen (2021) analizan cómo los atributos sensoriales, especialmente el aroma, influyen en la aceptación o el rechazo del café, lo que tiene un impacto directo en la percepción del producto y el precio. Los resultados indican que los atributos sensoriales olfativos deben gestionarse adecuadamente para maximizar la satisfacción del cliente.

Estudio de Jaimes & Barahona (2020): En este artículo estudian los Mapas Proyectivos (MPs) que agrupan una familia de métodos utilizados para enlazar la investigación del consumidor con las propiedades sensoriales en alimentos y bebidas, entre estos métodos utilizan Análisis de componentes Principales (ACP) y Análisis de Correspondencias (AC) resultan ser de gran valor en la identificación de aquellos atributos diferenciadores de los productos. Han sido aplicados para estudiar el comportamiento de consumidores de un mismo producto, pero con diferentes nacionalidades, también afirma que los estudios transculturales sensoriales son la base para la creación de perfiles de consumo en función de cada país o cultura. En los resultados mencionan que, con estas herramientas, las pequeñas y medianas empresas pueden encontrar herramientas útiles para realizar estudios de benchmarking, definir perfiles de consumidor, o posicionar marcas; con tiempos menores y costes de implementación relativamente bajos.

Estudio de Barahona et al. (2020): Explora la relación entre los atributos sensoriales de las bebidas de café, el precio y la información del empaque. Los autores concluyen que, aunque los atributos gustativos son importantes, su influencia negativa en la percepción del precio y la información del empaque es notable. En cambio, los atributos olfativos tienen una relación positiva con estas variables, lo que refuerza la importancia del marketing sensorial en la optimización de la experiencia del consumidor.

Estudio de Buendía- Espinoza et al. (2020): También evalúa la calidad física y sensorial en taza de las variedades Typica y Mundo Novo mediante el análisis de componentes principales (ACP), durante el período 2017-2018, para identificar las variables que mejor se asocian a la calidad en taza, encontraron que dos componentes principales que en conjunto explican 73,67% de la variabilidad y que la primera componente se correlaciona, en forma directamente proporcional, con el sabor, el sabor residual, la acidez, y la apreciación, y la segunda componente con el cuerpo y el balance.

Estudio de Puerta, (2000): En este estudio se evaluó la calidad en taza de mezclas de variedades de café de la especie Coffea arabica L., mediante pruebas sensoriales. Se midieron varias variables referidas al café como: el aroma, la acidez, el amargor, el cuerpo y la impresión global y por análisis fisicoquímicos el pH, la acidez y los sólidos de la bebida. El resultado del ACP para las variables de calidad sensorial de las mezclas indicó que los dos primeros componentes explican y resumen la mayoría de los datos de las variables de calidad de las muestras analizadas (90% de la información original), donde los atributos de gusto, impresión global, y aroma representan mayores cargas y tienen elevadas correlaciones entre sí.

5. Metodología

El enfoque metodológico de este estudio se basa en un análisis cuantitativo descriptivo, no experimental, aplicando técnicas de análisis de componentes principales (ACP) para identificar y describir patrones en las variables medidas, que incluyen Aroma, Sabor, Regusto, Acidez, Cuerpo, Balance y Puntuación General, con el objetivo de evaluar y clasificar las muestras según sus características sensoriales. Para este análisis, se utilizó una base de datos obtenida de la plataforma Kaggle (CQI May-2023), reconocida por su amplia colección de conjuntos de datos y su utilidad en investigaciones académicas y proyectos.

Las encuestas se aplicaron a 207 granjas o fincas de 22 países (Tabla 1), donde el consumo y la producción del café es elevada, tales como Colombia, Brasil, Guatemala, Honduras y Etiopía entre otros.

Tabla 1. Países y cantidad de granjas evaluadas/país 

ID País País Nº granjas Porcentaje % ID País País Nº granjas Porcentaje %
1 Colombia 19 9,2 12 Uganda 3 1,4
2 Taiwán 61 29,5 13 Indonesia 3 1,4
3 Laos 3 1,4 14 Perú 4 1,9
4 Costa Rica 8 5,3 15 Panamá 2 1
5 Guatemala 21 10,1 16 Nicaragua 7 3,4
6 Tanzania 6 2,9 17 Vietnam 4 1,9
7 Etiopía 11 5,3 18 Honduras 13 6,3
8 Tailandia 12 5,8 19 El Salvador 7 3,4
9 Brasil 10 4,8 20 México 4 1,9
10 Hawái (EE.UU.) 5 2,4 21 Madagascar 1 0,5
11 Kenia 2 1 22 Myanmar 1 0,5

Esta recopilación de datos se realizó mediante el Instituto de Calidad el Café (CQI) fundada en 1996 California, Estados Unidos, cuya misión es de mejorar la calidad y el valor del café mundialmente. Esta organización cuenta con una extensa base de datos web, la cual incluye información sobre la producción, evaluación sensorial, datos sobre la genética del café, procesamiento, tipos de suelo y otros factores que pueden afectar la calidad del café. Originalmente, la base de datos fue subida por James Le Deux en 2018; sin embargo, en mayo de 2023, (Coffee Quality Data - May 2023) se han realizado varias limpiezas y filtraciones a los datos incluyendo para este trabajo.

La especie de la cual se recolectaron los datos fue el tipo de café Coffea arábica L. por ser el tipo de café más cultivado en el mundo; entre sus características más importantes se tienen:

  • • Es originario de Etiopía y Sudán del Sur.

  • • Se cultiva a altitudes de 900 a 2000 metros sobre el nivel del mar.

  • • Su sabor es suave, dulce, afrutado y herbal.

  • • Sus granos son ovalados y verdosos.

  • • Contiene más aceites y azúcares naturales que la especie del café robusta.

La principal diferencia entre el grano arábica y robusta reside en su sabor. El primero destaca por ser suave y dulce, con notas afrutadas y herbales; mientras que el segundo posee toques más amargos (al tener más cafeína) y los matices son más secos, amaderados y a pan tostado. (Puerta, 2000)

El conjunto de datos incluye información detallada sobre la percepción de calidad del café, recolectada mediante encuestas a consumidores que evaluaron diversos atributos sensoriales. La elección de este conjunto de datos se debió a su relevancia y precisión en reflejar la experiencia del consumidor, lo cual es fundamental para comprender los factores que influyen en la calidad percibida del café e identificar esta evaluación en los distintos países del mundo.

5.1 Conjunto de datos y variables

Las variables evaluadas en este estudio se centran en aspectos sensoriales que afectan directamente la percepción de calidad del café. Puerta (1996), hace referencia a la medición de estos atributos utilizando el método descriptivo cuantitativo, y una escala de valoración de Likert, para la calificación de cada característica organoléptica del café, la cual se puede interpretar como sigue: calificaciones elevadas para cualidades equilibradas, deseables, donde el máximo valor de la puntuación corresponde a la mejor calificación; seguida por cualidades intermedias, calificando desviaciones, y puntuaciones relativamente bajas apenas tolerable y las mínimas puntuaciones (más bajas) de la escala como cualidades indeseables, calificando defectos. Esta escala descriptiva también se puede interpretar de manera cualitativa desde muy buena, equilibrada y balanceada hasta muy mala, desequilibrada y desbalanceada, entre otras.

En el presente trabajo las variables fueron valorada en una escala de 1 a 10, donde 1 indica una percepción baja o insatisfactoria y 10 representa una percepción excelente. Las variables incluidas son:

  • • Aroma: Refleja la intensidad y calidad del olor del café, un aspecto clave en la experiencia inicial del consumidor.

  • • Sabor: Evalúa la satisfacción del gusto del café, considerado uno de los factores más influyentes en la experiencia general.

  • • Regusto: Mide la percepción residual que deja el café después de ser consumido, afectando la satisfacción prolongada.

  • • Acidez: Representa el nivel de acidez percibido en el café, un atributo relevante para definir la complejidad de su perfil de sabor.

  • • Cuerpo: Describe la sensación de peso o densidad del café en la boca, influyendo en la riqueza de la experiencia sensorial.

  • • Balance: Evalúa la combinación armoniosa de los atributos sensoriales del café, lo cual es crucial para una experiencia de sabor equilibrada. Es decir, se refiere a qué tan bien funcionan juntos los diferentes componentes del sabor del café.

  • • Puntaje general: Es una calificación global otorgada por los consumidores, que sintetiza la percepción de calidad de todos los atributos anteriores.

Estas variables fueron seleccionadas para capturar una visión integral de la experiencia sensorial del café desde la perspectiva del consumidor. El análisis multivariante estadístico, en particular mediante el Análisis de Componentes Principales (ACP), permitirá reducir la complejidad de estas variables y enfocarse en los factores que tienen un mayor impacto en la calidad percibida del café.

5.2 Técnicas estadísticas

Las técnicas estadísticas utilizadas en este trabajo fueron estadística descriptiva, con medidas de tendencia central y dispersión que ayudan a resumir y describir la información a través de tablas y/o gráficos; como promedios, varianzas, desviaciones estándar, valores máximos, mínimos; entre las más usuales.

Asimismo, se usaron medidas de correlación, como el coeficiente de correlación de Pearson, que ayuda a medir y verificar la fuerza y asociación lineal entre dos variables cuantitativas y por tanto, ayuda a reducir la cantidad de variables originales que se hallen altamente correladas.

En lo que se refiere a las técnicas multidimensionales factoriales se aplicó el análisis de componentes principales que ayuda a conformar nuevos ejes, donde se sitúan la mayor cantidad de los datos; desde el punto de vista matricial, esto es equivalente a realizar una transformación lineal. Por tanto, esta técnica es útil en áreas como el análisis exploratorio de datos, la compresión de imágenes, la clasificación de los datos y la reducción de variables, desde una descripción básica, hasta un análisis complejo que involucra múltiples variables.

En lo referente a las herramientas estadísticas usadas fueron el software SPSS vs. 28 (Statistical Package for the Social Sciences) y RStudio vs. 2022.02.0

5.2.1 Estadísticos descriptivos de variables

A continuación, la Tabla 2, muestra las calificaciones medias y desviación estándar de la percepción de los atributos estudiados para el café.

En el análisis de las cualidades sensoriales del café, se puede observar que todas las variables evaluadas presentan promedios bastante similares, oscilando entre 7,5 y 7,7.

En particular, la variable "Sabor" se destaca como la cualidad mejor valorada, con una puntuación promedio de 7,7, lo que sugiere que esta característica es la que más apreciaron los encuestados en su experiencia con el café. Por otro lado, la variable "Regusto" se posiciona como la cualidad menos favorecida, con un promedio de 7,59. A pesar de esta discrepancia, la puntuación general de la calidad del café se sitúa en un promedio de 7,68 indicando que, en términos globales, las evaluaciones de los encuestados tienden a ser homogéneas.

Tabla 2. Estadísticos Descriptivos de los atributos del café. 

Variables Media Desviación estándar
Aroma 7,721 0,288
Sabor 7,745 0,280
Regusto 7,600 0,276
Acidez 7,690 0,260
Cuerpo 7,641 0,233
Balance 7,644 0,256
Puntación General 7,677 0,306

Las desviaciones estándar de los atributos en general son mínimas, lo cual indica que no hubo mucha discrepancia o variabilidad en la asignación de las puntuaciones sensoriales; la puntuación general es el atributo que presenta mayor varianza.

Figura 2. Estadísticos Descriptivos - Media de los atributos del café 

Al considerar las demás cualidades del café, se puede inferir que sus promedios están muy cerca entre sí. Esta similitud en las puntuaciones sugiere que los encuestados otorgaron evaluaciones comparables para estas variables, reflejando una experiencia sensorial del café que, aunque presenta diferencias en ciertos aspectos, es en general apreciada de manera uniforme. La proximidad de las calificaciones en las diferentes variables subraya una tendencia de satisfacción general entre los países encuestados, lo cual es un hallazgo significativo.

Tabla 3. Matriz de correlaciones 

Aroma Sabor Regusto Acidez Cuerpo Balance Puntuación General
Aroma 1,000 0,823 0,793 0,713 0,633 0,746 0,802
Sabor 0,823 1,000 0,877 0,811 0,740 0,852 0,878
Regusto 0,793 0,877 1,000 0,814 0,739 0,862 0,866
Acidez 0,713 0,811 0,814 1,000 0,765 0,805 0,841
Cuerpo 0,633 0,740 0,739 0,765 1,000 0,816 0,772
Balance 0,746 0,852 0,862 0,805 0,816 1,000 0,884
Puntuación General 0,802 0,878 0,866 0,841 0,772 0,884 1,000

5.2.2 Cálculo de la matriz de correlación.

Se calculó la matriz de correlación de Pearson, utilizando SPSS (Tabla 3) para evaluar las relaciones lineales entre las variables sensoriales. Esta matriz identifica la fuerza y dirección de las asociaciones entre los atributos del café, revelando si ciertas variables tienden a variar en conjunto. La matriz de correlación es fundamental en el ACP, ya que su estructura define los componentes principales y permite agrupar variables correlacionadas.

  • • Correlación entre Aroma y Sabor: La correlación entre "Aroma" y "Sabor" es de 0,823, lo cual indica una fuerte relación positiva entre ambos. Esto sugiere que, en general, un aumento en la percepción de aroma está asociado con una percepción igualmente positiva en sabor.

  • • Correlación entre Sabor y Puntuación General: La correlación de 0,878 entre "Sabor" y "Puntuación General" es una de las más altas en la matriz, lo que indica que el sabor del café es un factor crucial en la percepción global del producto. Esto implica que una mejora en el sabor tiende a mejorar significativamente la valoración general del café.

  • • Correlación entre Regusto y Balance: La correlación entre "Regusto" y "Balance" es de 0,862, sugiriendo que estos dos atributos tienden a variar en conjunto. Un buen regusto parece estar asociado con una percepción de mayor equilibrio en el café, lo cual podría ser importante en términos de satisfacción del consumidor.

  • • Correlación entre Acidez y Cuerpo: La correlación entre "Acidez" y "Cuerpo" es de 0,765, lo cual indica una relación positiva moderada. Aunque no es tan fuerte como otras correlaciones, esta relación sugiere que ambos factores están conectados, y que una percepción más intensa de la acidez podría influir en la percepción del cuerpo del café.

  • • Correlación entre Balance y Puntuación General: Con una correlación de 0,884, "Balance" y "Puntuación General" muestran la relación más alta en la matriz. Esto sugiere que la percepción de un buen balance en el café es el factor que más influye en la evaluación general del producto, haciendo del balance un atributo clave para mejorar la percepción global del café.

Todas las correlaciones son positivas y relativamente altas, indicando que los atributos sensoriales del café tienden a variar en la misma dirección. Esto es consistente con la expectativa de que una percepción positiva en un atributo influya en los demás, destacar las características como "Sabor" y "Balance" juegan un papel fundamental en la percepción general del café.

5.2.3 Componentes principales.

El Análisis de Componentes Principales (ACP) se aplicó en este estudio para reducir la dimensionalidad de los datos y simplificar la interpretación de los factores sensoriales que más influyen en la calidad del café. Este proceso estadístico identifica las combinaciones lineales de variables originales que maximizan la varianza, permitiendo que los datos se representen en un espacio de menor dimensión sin perder información crítica. En el software SPSS se manejaron las opciones descriptivas que muestran para cada variable, el número de casos válidos, la media y desviación típica; obviamente el método de extracción de factores es el de Componentes Principales que permite obtener las comunidades iniciales, los autovalores de la matriz analizada y los porcentajes de varianza asociada a cada valor, así como también se muestran las saturaciones o cargas factoriales sin rotar, las comunalidades y los autovalores de la solución factorial; se presenta el gráfico de sedimentación, el gráfico de cargas o variables y finalmente el gráfico de individuos en el plano factorial. No se aplica ningún método de rotación, que es la opción que actúa por defecto. (De la Fuente, 2011)

El Análisis de Componentes Principales (ACP) ayuda a identificar la estructura subyacente en las variables evaluadas sobre la calidad del café. A continuación, se presenta los resultados relevantes de la varianza total explicada.

5.2.4 Extracción de Componentes Principales

A partir de las correlaciones generadas, se obtuvieron los componentes principales mediante el cálculo de los valores y vectores propios, (SPSS). Los componentes principales representan combinaciones de las variables originales que capturan la mayor varianza posible de los datos. Se seleccionaron aquellos componentes que acumulan un porcentaje significativo de la varianza total, lo que permite reducir la dimensionalidad del conjunto de datos sin perdida relevante de información.

El primer componente por sí solo explica el 83,11% de la varianza, lo que sugiere que es capaz de capturar la mayor parte de la información relevante de las variables analizadas. Por lo tanto, también es viable realizar el análisis utilizando únicamente el primer componente, sin comprometer la calidad de la información extraída. En el Componente 1 se representa la mayor parte de la información de las cualidades básicas y la puntuación general del café, lo que refleja la percepción global de los encuestados sobre la calidad de esta bebida, a partir Componente 2 al 7 se tiene un mínimo de rescate de la variabilidad total llegando al 1,37% con el último componente (Tabla 4).

Tabla 4. Varianza total explicada 

Componente Autovalor % de Varianza % Acumulado
1 5,817 83,106 83,106
2 0,405 5,784 88,891
3 0,226 3,235 92,125
4 0,198 2,824 94,949
5 0,136 1,943 96,892
6 0,121 1,732 98,624
7 0,096 1,376 100,000

Los resultados del análisis de componentes principales revelan que los dos primeros componentes sumados explican el 88,89% de la varianza total en los datos analizados. Esto indica que una proporción significativa de la variabilidad de las respuestas se conserva a través de estos componentes.

Sin embargo, el gráfico de sedimentación (Método del codo) abajo Figura 3, indica que el número ideal de componentes rescatados es de dos; que es donde se alcanza un mayor cambio en la variabilidad explicada. Esta Figura muestra la representación gráfica de la magnitud de los autovalores. El corte en la tendencia descendente sirve de regla para la determinación del número de factores óptimo que deben estar presentes en la solución. Siempre se muestra la representación de los autovalores de la matriz de correlaciones (o de varianzas y covarianzas) originales, independientemente del método de extracción seleccionado.

Figura 3. Gráfico de sedimentación 

5.3 Herramientas estadísticas utilizadas

Para el análisis de los datos en este estudio, se utilizó el software SPSS vs. 28 (Statistical Package for the Social Sciences). Este programa es ampliamente reconocido por su capacidad para realizar análisis estadísticos complejos y multivariantes de manera eficiente y accesible. En particular, se emplearon las siguientes funcionalidades de SPSS; permitiendo obtener resultados significativos y relevantes para la investigación sobre la percepción del café para el consumidor.

  • Análisis de Componentes Principales (ACP): Para descubrir patrones en los datos y ver cómo se relacionan las diferentes características que evalúan al café.

  • Matriz de correlación: Para evaluar las relaciones lineales entre las variables sensoriales y entender mejor su interdependencia.

  • Cálculo de valores y vectores propios: Para extraer los componentes principales que maximizan la varianza en las variables originales.

Alternativamente se utilizó RStudio vs. 2022.02.0 por su facilidad en la edición, limpieza y para comparar resultados y generar algunos gráficos.

6. Resultados

Para evaluar la percepción de calidad del café entre los consumidores, se realizó un análisis de componentes principales (ACP) sobre diversas variables sensoriales. Este enfoque permite identificar los factores que más influyen en la experiencia del consumidor y cómo se relacionan entre sí.

La interpretación de componentes principales y la varianza explicada permiten comprender cómo los datos originales se descomponen en factores fundamentales, optimizando así su análisis. Este enfoque destaca cuáles componentes capturan más información y cómo contribuyen a explicar la variabilidad total en el conjunto de datos (Tabla 4).

El análisis identificó dos componentes principales que juntos explican un 88,89% de la varianza total en las valoraciones de los consumidores sobre la calidad del café. De estos dos componentes el primero rescata 83,11% de la varianza total, con un único autovalor mayor a 1 (5,817). Este componente se asocia principalmente con las variables sensoriales clave del café, como aroma, sabor, regusto, acidez, cuerpo, balance y la puntuación general otorgada por los consumidores.

Debido a que este componente explica la mayor proporción de la varianza, se puede decir que es el que mejor representa la percepción de calidad general que los consumidores tienen del café. Mientras que el segundo componente explica un 5,78% adicional de la varianza, con un autovalor menor a uno (0,405) y aunque contribuye en menor medida, es importante para la visualización en un plano factorial.

Para efectos interpretativos visuales se tomará en cuenta la suma de ambos componentes proporcionando una visión comprensiva del 88,89% de la variabilidad de los datos, indicando que el modelo es adecuado para explicar las diferencias en la percepción de calidad del café entre los consumidores.

6.1 Interpretación de componentes

La interpretación de componentes principales y la varianza explicada es fundamental para desentrañar patrones ocultos en datos multivariados. Mediante el análisis de componentes principales (ACP), es posible reducir la dimensionalidad del conjunto de datos, concentrando la información más relevante en un número menor de componentes sin perder significativamente la variabilidad original.

La varianza explicada indica qué porcentaje de la variabilidad total es capturada por cada componente, lo cual facilita identificar aquellos que contribuyen más a la estructura de los datos.

A continuación, se presenta una descomposición de los componentes principales y su contribución a la varianza total, proporcionando una visión clara de la relevancia de cada factor; dicho de otro modo, estas puntuaciones representan las coordenadas de cada variable en el nuevo espacio de dos componentes principales.

Tabla 5. Matriz de Componentes 

Variable Componente 1 Componente 2
Aroma 0,863 -0,404
Sabor 0,939 -0,137
Regusto 0,934 -0,090
Acidez 0,901 0,125
Cuerpo 0,855 0,431
Balance 0,936 0,114
Puntuación General 0,949 -0,029

Componente 1: Este componente está fuertemente relacionado con todas las variables sensoriales evaluadas en el estudio. El componente 1 está bien representado por el aroma, sabor, regusto, acidez, cuerpo, balance y puntuación general. Cada una de estas variables tiene una carga positiva en el componente, lo que indica que están estrechamente correlacionadas entre sí y contribuyen a la percepción general de calidad. Por ejemplo: "Sabor" y "Puntuación General" muestran la mayor correlación (r = 0,878), sugiriendo que el sabor es un factor clave para la valoración global del café. "Regusto" y "Sabor" también presentan una correlación alta (r = 0,877), reflejando su papel conjunto en la experiencia sensorial del café. La interpretación de este componente es que representa la calidad percibida del café, donde atributos positivos en sabor, aroma, y otras características se asocian con una mejor valoración general.

Componente 2: Aunque tiene una menor carga en la variabilidad, este componente parece capturar factores adicionales que influyen en las valoraciones, pero no están directamente relacionados con los atributos principales de sabor y aroma. Es por lo que se podría trabajar solo con el componente uno ya que este rescata la mayor variabilidad de los datos, es decir, que entre el componente 1 y 2 el componente 1 está rescatando la mayor parte de la variabilidad total.

6.1.1 Gráfico de componentes:

Seguidamente se muestra el gráfico de componentes principales en el plano, donde se muestran las variables relativas a la percepción del café, en forma de vectores para visualizar la magnitud (varianza rescatada) y la dirección en la que aporta a cada componente principal.

Si se observa con detenimiento, las flechas o vectores, se sitúan en los valores que son indicados en la anterior Tabla 5, como se trabaja con una estandarización, se espera que el nuevo eje coordenado se sitúe en 0 (media) y presenten una varianza de 1, por tanto, mientras mayor sea la magnitud del vector, mayor será la proporción de varianza rescatada en su proyección sobre los componentes principales.

Este gráfico generado a partir del análisis de componentes principales (ACP), las variables se distribuyen en cuadrantes, lo que permite interpretar la manera en la que se agrupan todas las características sensoriales.

Cuadrante I (arriba a la derecha)

Las variables de cuerpo, acidez y balance tienen valores positivos tanto en el Componente 1 como en el Componente 2, lo que significa que contribuye significativamente al análisis en ambas dimensiones principales. El cuerpo podría relacionarse con la textura y densidad del café, un factor importante en la evaluación general. Acidez y Balance también están alineados con las características positivas del producto, probablemente asociándose con la calidad percibida y el equilibrio entre los sabores.

Figura 4. Variables del Análisis de Componentes Principales. 

Cuadrante II (arriba a la izquierda)

Si bien no hay variables asociadas positivamente con este cuadrante; esto sugiere que existen atributos negativamente correlacionados con el Componente 1 pero positivamente con el Componente 2.

Cuadrante III (abajo a la izquierda)

Al igual que en el cuadrante II, no hay atributos en esta región. Esto indica que hay características con relación negativa a ambos componentes principales.

Cuadrante IV (abajo a la derecha):

Las variables de Puntuación General, Regusto, Sabor y Aroma están correlacionadas positivamente con el componente 1, lo que sugiere que son atributos fundamentales para diferenciar los productos evaluados. La Puntuación General probablemente agrupa varias percepciones de calidad (como aroma, sabor y regusto). Regusto y Sabor están vinculados a las experiencias sensoriales del café. El aroma es crucial para la percepción inicial del producto y parece ser una de las variables más destacadas en este componente. El pertenecer a este cuadrante indica que estas características son importantes en la dimensión principal, pero tienen menor relevancia o una ligera relación negativa con el componente 2.

6.2 Visualización de resultados

La sección de resultados presenta un análisis detallado de los patrones encontrados en los datos, destacando la distribución y relación entre los países evaluados en el estudio.

Recordemos que la mayor cantidad de fincas productoras de café fueron de Taiwán (61), seguida por Guatemala (21), Colombia (19), Honduras (13), Tailandia (12), Etiopía (11) y Brasil (10), principalmente (Figura 5).

Más adelante, se muestra la Figura 6, donde se pueden visualizar los países productores - consumidores de café (Coffea arabica L.), cuyo objetivo es encontrar similitudes y diferencias entre países/granjas; en función de sus características sensoriales que se representan en las dos primeras componentes principales. La idea principal es caracterizar, segmentar y describir a los países:

  • • Individuos cercanos tienen perfiles similares.

  • • Individuos alejados son diferentes entre sí.

  • • La dirección indica relaciones con las variables originales.

Figura 5. Cantidad de fincas por países 

La inclusión de una gráfica de individuos permite visualizar cómo cada observación se posiciona en el espacio de los componentes principales, proporcionando una perspectiva clara sobre las similitudes y diferencias entre ellas. Este enfoque gráfico facilita la identificación de grupos o tendencias, revelando posibles asociaciones entre individuos con características compartidas.

Figura 6. Gráfico de países según los atributos sensoriales de café en el plano de componentes principales. 

  • Colombia: En la parte lateral derecha, este país presenta alguna de sus fincas en particular, un elevado valor positivo en el componente 1 y un valor promedio en el componente 2. Este perfil indica que esa granja de Colombia (Finca El Paraíso - ver Figura 7, más adelante), posee altas puntuaciones en las variables del componente 1, reflejando una percepción positiva en Aroma, Sabor, Regusto, Acidez, Cuerpo, Balance y Puntuación General. El valor promedio en el componente 2, sugiere que la percepción de este individuo en atributos capturados por el segundo componente es indiferente, lo que le confiere un perfil de alto rendimiento en los atributos que se reflejan en el primer componente, pero con menos énfasis en otros factores explicados por el segundo componente.

  • Etiopía: En la parte superior central, posicionado muy cerca y encima del eje Y, esta granja (Yhaenu PLC Farm - Figura 7), muestra valores promedio en el componente 1 y puntuaciones elevadas y positivas en el componente 2. Esto indica que esta finca tiene una percepción media en la mayoría de los atributos sensoriales, mientras que el valor positivo en el componente 2 sugiere una elevada puntuación en los atributos Cuerpo, Acidez y Balance principalmente.

  • El Salvador: Ubicado en la esquina superior izquierda, esta finca de El Salvador (Rosario de María II - Figura 7), presenta un valor negativo en el componente 1 y positivo en el componente 2. El valor negativo en el componente 1 indica que tiene puntuaciones bajas en la mayoría de las variables sensoriales, lo que sugiere una percepción negativa en estos atributos. Sin embargo, el valor positivo en el componente 2 sugiere que existen algunas características adicionales en bajas proporciones como el cuerpo del café, por ejemplo, que diferencian a esta granja en particular. En conjunto, esto sugiere que esta finca muestra una percepción baja en los atributos del componente 1 pero se distingue por otras cualidades capturadas en el componente 2, como ser principalmente Cuerpo, Acidez y Balance.

  • Brasil: Localizado en la esquina inferior izquierda (III cuadrante), la finca (Walter Matter - Figura 7) de este país tiene valores negativos en ambos componentes. Esto indica una baja percepción en las variables del componente 1, así como en las características adicionales representadas por el componente 2. En otras palabras, esta granja de Brasil muestra una puntuación muy baja en todos los atributos evaluados, lo cual sugiere una percepción general débil.

  • Parte lateral derecha (Cuadrantes I y IV): El área central, que incluye la mayoría de los puntos, representa a las fincas con valores cercanos a cero en ambos componentes. Estos individuos presentan percepciones intermedias en los atributos de Aroma, Sabor, Regusto, Acidez, Cuerpo, Balance y Puntuación General, así como en las características adicionales del componente 2. Este grupo representa una percepción desde equilibrada y promedio en todos los atributos sensoriales del café, hasta puntuaciones elevadas en los mismos.

  • Parte lateral izquierda (Cuadrantes II y III): Este grupo tiene valores negativos en ambos componentes. Esto sugiere en general que las fincas de este grupo presentan desde percepciones promedio hasta percepciones inferiores o negativas en la mayoría de los atributos. En general, representan puntuaciones bajas en ambos componentes.

Si bien en el gráfico del análisis anterior se encontraron algunos países extremos respecto a los atributos sensoriales del café, hay que resaltar que son solo algunas fincas que presentan estas ubicaciones extremas. Para visualizar mejor las granjas mencionadas, se muestra la siguiente Figura 7 de países por fincas:

Por ejemplo, la granja 1 correspondiente a Colombia según la base de datos es la Finca El Paraíso, la granja 11 de Etiopía es Yhaenu PLC Farm, la granja 7 de El salvador corresponde al nombre de Rosario de María II, área de La Pila y finalmente la última granja número 10 de Brasil es Walter Matter. No obstante, se visualiza en la Figura 7 un conjunto de datos mayoritario situado al centro de los ejes; lo cual indica que son países cuyas granjas se sitúan en una ubicación promedio respecto a las calificaciones sensoriales del café Coffea arabica L.

Figura 7. Granjas por países 

7. Discusión

Se observa cómo los resultados obtenidos coinciden con investigaciones previas que destacan la importancia de los atributos sensoriales en la percepción de calidad del café. Se puede constatar que el sabor y el balance juegan un papel crucial en la experiencia de los países productores- consumidores, además se analizan las implicaciones para el mercado, sugiriendo que las marcas de café deben centrarse en estos atributos para mejorar la satisfacción del cliente.

7.1 Comparación con estudios previos

Los resultados obtenidos en este estudio sobre la percepción de la calidad del café coinciden con investigaciones previas que destacan la importancia de los atributos sensoriales en la valoración global del producto. Estudios previamente realizados subrayan que el sabor es el principal factor en la percepción de calidad por parte del consumidor, seguido de cerca por atributos como el aroma y el regusto. Estos estudios previos encontraron que, en distintos mercados de café, los consumidores priorizan las características sensoriales que afectan la experiencia general del producto (Maldonado-Radillo, Jiménez, & Carranza, 2013). En particular, se menciona que el balance entre sabor y cuerpo es determinante en la fidelización de los clientes, un hallazgo consistente con los resultados de nuestro análisis, donde el componente principal muestra una alta carga en variables de sabor y balance (Ibarra-Morales, Woolfolk-Gallego, Meza-López, & Gelain-Rodríguez, 2020). La intensidad de las características sensoriales de las variedades de café Caturra, Colombia, Borbón y Típica depende del proceso de tostación; a mayor grado de tostación el amargo se intensifica y la acidez disminuye; también se aprecian muy buenas características sensoriales en todas las variedades de café arábica con acidez alta y cuerpo moderado. La acidez y el amargo de la variedad Colombia se destacan con relación a las propiedades de las otras variedades, resultados que coinciden con investigaciones anteriores. (Puerta, 2000).

Esta alineación con estudios anteriores sugiere que la percepción de calidad del café está basada en aspectos sensoriales de manera universal, lo cual es relevante para empresas en mercados diversos.

7.2 Interpretación en el contexto de la investigación

El análisis de componentes principales en este estudio identificó dos factores fundamentales que explican la mayoría de la varianza en las evaluaciones de calidad del café. El Componente 1 agrupa variables como el aroma, sabor, regusto, acidez, cuerpo, balance y puntaje general, y captura aproximadamente el 90% de la varianza. Esto sugiere que este componente representa una evaluación integral de la calidad sensorial del café, englobando todos los atributos que los consumidores asocian con un café de alta calidad. El Componente 2, aunque explica un porcentaje menor de la varianza, indica posibles variaciones individuales en la percepción de atributos secundarios, pero no fueron tomados como relevantes en este estudio. En el contexto del problema de investigación, estos componentes reflejan las dimensiones relevantes en las que el café es evaluado por los consumidores, con un énfasis en el sabor y la armonía sensorial general como indicadores primordiales de calidad.

7.3 Implicaciones de los Resultados

Los resultados de este estudio tienen importantes implicaciones para las marcas de café y las cafeterías que buscan posicionarse en un mercado competitivo. La identificación del sabor y el balance como los factores más valorados sugiere que los esfuerzos de desarrollo de producto y marketing deben centrarse en mejorar estos atributos. Además, estos hallazgos pueden guiar a las nuevas empresas en el mercado de café a priorizar la calidad sensorial y el balance de los atributos de sus productos, lo que podría incrementar la satisfacción del cliente y fomentar la lealtad.

Las cafeterías pueden también diferenciarse enfocándose en proporcionar una experiencia sensorial completa que combine el sabor y el balance de manera atractiva para sus clientes.

8. Conclusiones

Los resultados del Análisis de Componentes Principales revelan que el sabor, seguido de cerca por el aroma y el balance, son los atributos sensoriales más importantes en la percepción de la calidad del café. De hecho, el sabor se destaca como el factor más influyente en las preferencias de los consumidores. Esto se respalda con el primer componente identificado en el análisis, que explica un 83,11% de la variabilidad original y agrupa estas tres cualidades importantes del café. Además, hay una correlación positiva y significativa entre el sabor y la calificación general del café (r = 0,878). Esto significa que cualquier mejora en el sabor podría tener un impacto muy positivo en la satisfacción general del cliente. Aunque atributos como la acidez y el cuerpo tienen un peso menor en la percepción general, también juegan un papel importante al contribuir a una experiencia sensorial más rica y compleja. Esta complejidad puede resultar atractiva para muchos consumidores, añadiendo una dimensión adicional al disfrute del café.

Asimismo, esta técnica multivariante permitió visualizar algunos países cuyas fincas tienen particularidades extremas (ya sean positivas o negativas) respecto a las cualidades sensoriales del café, y que se podrían plantear mejoras o estrategias para incrementar la calidad de esta bebida (por países).

8.1 Limitaciones del estudio

Los aspectos que pueden haber limitado el alcance del estudio:

  • Tamaño de la muestra: Aunque se tomaron datos a más de 207 granjas productoras-consumidoras de café (Coffea arabica L)., con un grupo más amplio y diverso de participantes se podría proporcionar resultados más representativos. Una muestra que incluya una mayor variedad de perfiles demográficos y culturales permitiría obtener una visión más precisa de cómo se perciben los atributos del café en diferentes segmentos de la población.

  • Datos auto informados: La recolección de datos se basa en percepciones subjetivas, lo que puede introducir sesgos personales. Las preferencias individuales y las experiencias previas con el café pueden influir en la valoración de sus atributos sensoriales. Este factor implica que los resultados reflejan percepciones individuales más que medidas objetivas, y los análisis deben interpretarse en función de esta subjetividad inherente.

  • Uso de una escala de 1 a 10: Si bien la escala de 1 a 10 facilita la clasificación y análisis de los atributos sensoriales, esta puede resultar simplificada para captar la complejidad de la experiencia gustativa. Una escala mayor o la incorporación de herramientas de evaluación sensorial específicas podrían brindar una visión más matizada y detallada de la percepción de calidad, reflejando con mayor precisión las sutilezas que los consumidores perciben en el café.

8.2 Recomendaciones

Desde el punto de vista de las cafeterías, deberían enfocarse en estrategias que mejoren el perfil de sabor de sus productos. Esto podría incluir la optimización de los procesos de selección y tostado de granos, así como la realización de catas regulares para garantizar un control constante de la calidad. Al centrar sus esfuerzos en el sabor como el principal atributo de satisfacción, las empresas de café podrán posicionarse de manera más efectiva en el mercado. Además, es fundamental encontrar un balance adecuado entre los atributos de sabor, aroma y cuerpo. Este enfoque ayudará a las cafeterías a destacarse en un mercado competitivo y a desarrollar una identidad de marca única y atractiva.

Por último, diversificar los perfiles del café puede ser una estrategia muy efectiva. Aunque el cuerpo y la acidez no son los atributos más influyentes en la percepción de calidad, ofrecer diferentes perfiles que resalten estos elementos puede atraer a consumidores con preferencias específicas (Alvarado, 2004). Esto podría incluir productos con distintas intensidades de acidez o variantes que exploren diferentes grados de cuerpo. De esta manera, las cafeterías no solo diversifican su oferta, sino que también apelan a una gama más amplia de gustos entre los consumidores.

Referencias Bibliográficas

Alvarado, G. (2004). Atributos de Calidad de la Semilla de Café de las Variedades Colombia y Tabi. Avances Técnicos Cenicafé, 324, 1- 4. [ Links ]

Astudillo Loja, J. J. (2016). Diseño e implementación del laboratorio de análisis sensorial para la empresa "ITALIMENTOS. CÍA. LTDA" [Tesis de licenciatura, Universidad del Azuay]. [ Links ]

B., F. (2023). Coffee quality data (CQI May-2023) [Data set]. [ Links ]

Barahona, I., Sanmiguel Jaimes, E. M., & Yang, J.-B. (2020). Atributos sensoriales de las bebidas de café y su relación con el precio y la información del empaque: un estudio de caso de las preferencias de los clientes colombianos. First published: 16 January 2020. [ Links ]

Buendía-Espinoza, J. C., Maldonado-Torres, R., Amador-Atlahua, L., & Álvarez-Sánchez, M. E. (2020). Identificación de elementos discriminatorios para caracterizar el Coffea arabica L. empleando componentes principales. Revista mexicana de ciencias agrícolas, 11(1), 1-12. [ Links ]

Bui, D. L., & Nguyen, H. H. (2021). El marketing sensorial y la satisfacción del cliente: una historia del segundo mayor exportador de café. Publicado el 11 de noviembre de 2021. [ Links ]

De la Fuente Fernández, S. (2011). Análisis componentes principales. Universidad Autónoma de Madrid - UAM. Facultad de Ciencias Económicas y Empresariales. Madrid, España. [ Links ]

Dillon, W. R. & Goldstein, M. (1984), Multivariate Analysis, Methods and Applications, John Wiley and Sons, New York. [ Links ]

Hair, J. F., Anderson, R. E., Tatham, R. L., & Black, W. C. (2004). Análisis multivariante.Links ]

Ibarra-Morales, L. E., Woolfolk-Gallego, L. E., Meza-López, B. I., & Gelain-Rodríguez, E. T. (2020). Evaluación de la calidad en el servicio: una aplicación práctica en un establecimiento de café. Revista CEA, 6(11), 89 - 107. [ Links ]

Jaimes, E. M. S., & Barahona, I. T. (2016). Los análisis sensoriales en la evaluación de marcas comerciales de café. Una aplicación de los mapas proyectivos. DYNA management, 4(1), 20. [ Links ]

Krishna A, Schwarz N. "Sensory marketing, embodiment, and grounded cognition: a review and introduction". Journal of Consumer Psychology. 2014. Vol 24-2. p159-168. DOI http://dx.doi.org/10.1016/j.jcps.2013.12.006Links ]

Kotler, P., & Keller, K. L. (2016). Marketing Management (15th ed.). Pearson Education. [ Links ]

Krzanowski, W. J. & Marriot, F. H. C. (1994), Multivariate Analysis. Part 1 Distributions, Ordination and Inference, Edward Arnold, London [ Links ]

Maldonado-Radillo, S. E., Guillén Jiménez, A. M., & Carranza Prieto, R. E. (2013). Factores determinantes de la calidad del servicio de una cafetería en el campus de una universidad pública. Revista Internacional Administración & Finanzas, 6(1), 109 - 118. [ Links ]

Meilgaard M. C., Carr B. T., Civille G. V. (2006). Sensory evaluation techniques. CRC Press: Boca Raton, FL, USA. 464p. ISBN: 9780849338397-CAT# 3839 [ Links ]

Monroy, L. G. D., & Rivera, M. A. M. (2012). Análisis estadístico de datos multivariados. Universidad Nacional de Colombia. [ Links ]

Pardo P.J.G., Fernández J.C. (2008). "El marketing como instrumento de creación de valor en la empresa industrial". DYNA-Ingeniería e Industria. Vol 83-5. [ Links ]

Puerta, G. I. (1996). Escala para la evaluación de la calidad de la bebida de café verde Coffea arabica L, proceso vía húmeda. Cenicafé 47(4): 231-234. [ Links ]

Puerta, G. I. (2000). Calidad en taza de algunas mezclas de variedades de café de la especie Coffea arabica L. Cenicafé 51(1): 5-19. [ Links ]

Schiffman, L. G., & Kanuk, L. L. (2010). Consumer Behavior (10th ed.). Pearson Education. [ Links ]

Spence, C., et al. (2017). Sensory marketing: Research on the perceptual, emotional, and behavioral effects of sensory inputs on consumer decisions. Journal of Consumer Psychology. [ Links ]

Villarroel, L., Álvarez, J., & Maldonado, D. (2003). Aplicación del análisis de componentes principales en el desarrollo de productos. Acta Nova, 2(3), 399-408. Universidad Católica Boliviana. [ Links ]

Zeithaml, V. A. (1988). Consumer perceptions of price, quality, and value: A means-end model and synthesis of evidence. Journal of Marketing, 52(3), 2-22. [ Links ]

NOTAS

1 Es el método habitual para maximizar una función de varias variables sujeta a restricciones.

2 Matriz cuadrada que no tiene inversa.

3 PRESS es la sigla que hace referencia a "PREdiction Sum of Squares".

Recibido: 12 de Noviembre de 2024; Aprobado: 15 de Diciembre de 2024

*Autor para correspondencia: Vivian Espinoza Romano vespinoza@ucb.edu.bo

Creative Commons License Este es un artículo publicado en acceso abierto bajo una licencia Creative Commons