1 Introducción
En los ecosistemas semiáridos el ingreso de agua a través de las precipitaciones además de ser escaso es altamente variable en el tiempo y en el espacio, como consecuencia, una de las ideas más extendidas en ecología de zonas áridas es que el agua de lluvia es utilizada mayormente por la vegetación evitando el drenaje profundo, el escurrimiento y la recarga local de los acuíferos del subsuelo. (Villagra, et al, 2013).
El monitoreo meteorológico es la medición de variables del clima (Ruiz Ayala,et al 2018) que son usadas para implementar un Sistema de Alerta Temprana que es aquel dispositivo complejo que avisa con antelación de la eventualidad de un acontecimiento natural o humano que puede causar un desastre, con el objetivo de evitarlo (Ocharan, 2007), lo cual, es importante tomar en cuenta en zonas de pocos recursos en el área rural, donde, no deben perder ni su producción ni abandonar el lugar donde viven por causa de amenazas naturales (Villarpando, 2014).
El municipio de Pasorapa ubicado en el Cono sur de Cochabamba, geográficamente se encuentra en la Segunda Sección Municipal de la Provincia Campero, en las coordenadas; 18° 05' 25'' a 18° 39' 47'' de Latitud Sud, 64° 16' 07'' a 64°53' 00'' de Longitud Oeste. (COPLADEL, 2007). Presenta un clima semiárido el cual afecta al desarrollo agrícola y pecuario del municipio, su suelo contiene cantidades de grava y piedras lo que dificulta al cultivo y presenta pocos nutrientes. La capa arable es de 0 a 30 cm ya partir de los 30 cm hace su aparición de elementos gruesos como las gravas y piedra, limitando de esta manera, en la implantación de cultivos de raíz profunda. La fertilidad de los suelos muestra bajos contenidos en Fósforo 1,4 kg/ha, y altos contenidos en Nitrógeno 80 kg/ha y Potasio 313 kg/ha Al ser suelos bajos en macronutrientes (nitrógeno fosforo y potasio) se reduce el rendimiento de los cultivos y puede ser compensado con fertilizantes a base fósforos nutricionales (COPLADEL,2007).
En los ecosistemas semiáridos, la falta de precipitación en varios meses (marzo a noviembre) afecta directamente a la capacidad de producción agropecuaria en la zona de estudio. Los datos meteorológicos obtenidos de la estación cercana de "Aiquile" muestran que los meses de déficit hídrico traducido en sequía llegan a ser desde marzo hasta noviembre. Y los meses de lluvias (diciembre a febrero) se ven modificados en intensidad siendo estas menores debido al cambio climático y el incremento de la temperatura en la zona afectada por las bajas precipitaciones.
Esta situación obliga a buscar soluciones adecuadas a la economía en la zona, para ello, existen índices que miden el nivel de la sequía como: Standarized Precipitation Index (SPI) y Aridity Index (AI), los cuales, serán expuestos y usados para lograr obtener una herramienta de monitoreo y alerta temprana.
Por tanto, el propósito del estudio es desarrollar un sistema de monitoreo meteorológico y alerta temprana de sequía en el municipio de Pasorapa para los horizontes temporales de 1, 3 y 6 meses.
2 Antecedentes
La sequía en el país es un fenómeno recurrente con los años y afecta a zonas alejadas de las capitales urbanizadas que cuentan con la comodidad de una red de agua potable. No solamente la sequía afecta a la recarga de acuíferos sino también a los cultivos de la zona y al microclima que el agua superficial genera gracias a su sola presencia. Como es un evento recurrente, pero no necesariamente periódico, es decir que puede tener atrasos o adelantos en su manifestación, es necesario contar con una herramienta para el monitoreo meteorológico y alerta temprana de la sequía.
Las alcaldías, aun teniendo el presupuesto para manejar una situación de sequía u otro tipo de amenaza, no alcanza para la implementación de medidas de mitigación en toda la zona y tampoco para lograr obtener programas informáticos de manejo de datos para el monitoreo climatológico. En este último caso, una solución que se puede dar es usar programas comunes en las computadoras que cuentan con Windows como sistema operativo siendo el más versátil el programa "Microsoft Excel 2019". Esto reduciría los costos para su operación, pero es prudente aclarar que existe la probabilidad que el producto que se obtiene del programa tenga incertidumbres por la calidad de datos.
Teniendo el programa, la alcaldía de Pasorapa podría lograr pronosticar el inicio de la sequía para prepararse con proyectos de almacenamiento de agua o dar alerta a las autoridades, Centros de Operaciones Emergencia Departamental y Municipal, Unidades de Gestión de Riesgo Departamental y Municipal para estar preparados con la implementación de los Planes de Emergencia y Contingencia y brindar una ayuda oportuna para reducir los riesgos de los desastres de sequía.
En Pasorapa se tiene el riesgo de tener 1 de cada 2 años con sequia (Arias et al, 2014), y las comunidades de Tabacal y Pasorapilla presentan un riesgo principalmente de la amenaza de sequía que existe en los municipios del Cono Sur (Azero & Saavedra Goytia, 2020) del cual es parte el municipio de Pasorapa.
En zonas áridas y semiáridas las precipitaciones en cero especialmente en periodos cortos de 1 a 6 meses es un reto usar el Índice de Precipitación Estándar (SPI) esto debido a un inapropiado ajuste de la distribución gamma (Mahmoudi et al, 2021).
Según Wang et al, 2021 las escalas de tiempo minimas recomendas son de 20 dias en regiones humedas, 30 días para regiones semihunedas/semiaridas y de 90 días en regiones áridas. Además para reducir la incertidumbre en el cálculo de SPI estiman una base de datos de aproximadamente 70 años.
Los resultados del Índice de Precipitación Estándar (SPI) pueden ser útil al planear el uso eficiente del agua en la agricultura y ademas de poder ser utilizado para identificar áreas vulnerables y sensibles a la sequía y a los periodos cortos de lluvia. (Rassoul Zarei & Eslamian, 2017).
3 Metodología
3.1 Índice de precipitación estandarizado (SPI)
Índice estadístico que señala la anomalía de lluvia para diferentes horizontes temporales.
Para calcular cada horizonte temporal deseado se debe realizar varios pasos (Mahmoudi et al, 2021) que incluyen:
Calcular la precipitación acumulada total para cada mes usando una escala k-mes de tiempo siendo k el intervalo de mese para el horizonte calculado.
Ajustar la función gamma de distribución para cada mes.
Estimar los valores de la función de distribución para cada precipitación total.
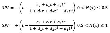
Computar los valores del SPI mediante la transformación de los valores de la función de distribución gamma en valores de variables estándar normal como se muestra en al Tabla 1 para obtener la Clase SPI.
Tabla 1. Valores de SPI (Mahmoudi et al,2021)
| Valores SPI | Clases SPI |
|---|---|
| 2 | Año extremadamente húmedo |
| 1,99 a 1,5 | Año húmedo severo |
| 1,49 a 1 | Año húmedo moderado |
| 0,99 a 0,5 | Año levemente húmedo |
| 0,49 a -0,49 | Normal |
| -0,50 a -0,99 | Sequía leve |
| -1 a -1,49 | Sequía moderada |
| -1,5 a -1,99 | Sequia severa |
| -2 | Sequía extrema |
Las fórmulas para su cálculo son las siguientes (Vicente- Serrano et al, 2010).
Siendo
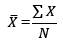
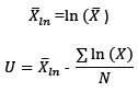
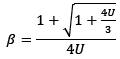
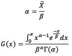
Se calcula los parámetros para computar la distribución gamma
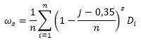
Parámetro de forma
Parámetro de escala
La probabilidad acumulada:
Donde,
Para el cálculo de SPI se usa una aproximación
Donde,
Los valores de las constantes son:
c0 =2,515517; c1=0,802853; c2 =0,010328 d1=1,432788; d2 =0,189269; d3 =0,01308
3.2 Anomalías de precipitación mensual (MPA)
Indica la diferencia de precipitación acumulada mensual respecto a la climatología de la estación.
La anomalía se define como (Nugroho et al, 2021):
Donde,
Como aclaración para un resultado que involucra un tiempo de 3 meses se tiene (Nugroho et al, 2021):
Donde,
Este cálculo refleja la variación de las precipitaciones respecto a la media general de todos los datos, esta variación puede ser negativa en el caso donde la lluvia fue menor al promedio y positivo cuando fue mayor al promedio
3.3 Anomalías mensuales de temperatura (MTA)
Índica la diferencia de temperatura media mensual respecto a la climatología de la estación.
Al igual que en la anomalía de la precipitación se toma como la diferencia entre la temperatura del mes y la media general:
Donde,
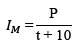
3.4 Índice de aridez (IA)
Índice estadístico que señala la diferencia entre la precipitación y la evapotranspiración potencial, dando una indicación de la posible aridez del sitio.
Índice aridez de Martonne (Hrnjak et al, 2013).
Donde, P es la precipitación media en mm, t es la temperatura media en grados centígrados. El intervalo de tiempo para la precipitación y la temperatura serán iguales a los horizontes analizados
Tabla 2. Valores para el índice de Aridez (Gabriels, 2007)
| Tipo de Clima | Índice de Aridez |
|---|---|
| Árido | 0-10 |
| Semi-árido | 11-20 |
| Mediterráneo | 21-24 |
| Semihúmedo | 25-28 |
| Húmedo | 29-35 |
| Muy húmedo | 36-55 |
| Extremadamente húmedo | >55 |
Índice de aridez de Emberger (Chowdhury, 2018).
Donde, M es la temperatura media del mes más caluroso en grados centígrados, m es la temperatura media del mes más frio en grados centígrados
Tabla 3. Índice para Emberger (Chowdhury, 2018)
| Tipo de Clima | Índice de Aridez |
|---|---|
| Árido | <30 |
| Semi-árido | 30-50 |
| Semihúmedo | 50-90 |
| Húmedo | >90 |
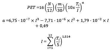
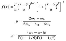
3.5 Índice de evaporación de precipitación estándar (SPEI)
Índice a escala mensual que señala la situación de sequía tomando en cuenta los efectos de la precipitación y la evaporación. Su cálculo se basa en la estimación de la Evapotranspiración potencial y el uso de la distribución log logística.
El método Thornthwaite es el más usado para la estimación de la evapotranspiración potencial. (Yang et al, 2015)
Donde,
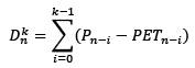
La serie de pérdidas o ganancias acumuladas del agua (
Para calcular SPEI se requiere una distribución con tres parámetros siendo la distribución log-logística que correlaciona mejor la serie D donde, 𝛼, 𝛽, 𝛾 son parámetros de escala, forma y origen respectivamente y son calculados usando el procedimiento L-momento a continuación
Donde
Donde,
Posteriormente se utiliza una distribución de probabilidad log-logística.
El valor del SPEI se puede obtener como el valor estandarizado de F(x) con la siguiente formula
Donde, P es la probabilidad de exceder un valor determinado de D y P se calcula como
SI P >0.5 entonces P = 1- P
Siendo las constantes c y d como siguen (Yang et al, 2015):
c0 =2,515517; c1=0,802853; c2 =0,010328
d1 =1,432788; d2 =0,189269; d3 =0,01308
3.6 Índice de vegetación de diferencia normalizada (NDVI)
Mide el verdor y la densidad de la vegetación captada en una imagen de satélite. Utiliza la cantidad de luz reflejada por la vegetación en crecimiento registrado por sensores de satélites.
La vegetación verde tiene una alta absorción de luz visible y refleja más luz cerca del infrarrojo, que resultan en valores positivos de NDVI.
Vegetación seca, nieve, agua, nubes y el suelo absorben más NIR (infrarrojo cercano) luz quedando como resultado valores bajos de NDVI.
Teóricamente, los valores de NDVI oscilan entre (-1) y (+1), y se reflejan más rayos en el infrarrojo cercano longitudes de onda en comparación con la longitud de onda roja. En áreas donde la vegetación verde, es más densa, el valor del índice se acerca a (+ 1) (la diferencia NIR-RED aumenta y se acerca a NIR+ROJO). Las nubes, el agua y la capa de nieve tienen valores de índice NDVI negativos (-). Suelo desnudo y la vegetación débil muestra un valor NDVI cercano a cero o (-). En un mapa NDVI que muestra las áreas donde la agricultura es intensiva, las áreas con valores bajos de NDVI apuntan a un desarrollo vegetal débil debido a una variedad de razones tales como sequía, humedad extrema, enfermedades y plagas. Por otra parte, valores altos de NDVI muestran las áreas saludables de desarrollo de la planta. Por ejemplo, en áreas consistente en roca estéril, arena o áreas generalmente nevadas, los valores de NDVI son 0,1 o menores. En arbustos y áreas de pastoreo, o en áreas cubiertas con escasa vegetación como cultivos en el período de cosecha, los valores de NDVI se observan en el rango de 0,2 - 0,5. Los valores más altos de NDVI oscilan entre 0,6 y 0,9 en bosques templados y tropicales o en la etapa de máximo crecimiento de cultivos (Dikici y Eksel, 2020)
NIR: Infrarrojo cercano
RED: Luz roja
Los valores se encuentran entre -1 y 1, una vegetación sana se encuentra entre los valores de 0,2 y 0,8 en este índice (Kandaswamy, 2011)
3.7 Distribución Normal
La distribución normal presenta 3 razones por las cuales es la distribución de probabilidad más importante siendo una de ellas como sigue: "cuando se dispone de una muestra aleatoria grande, aunque presente una distribución no normal e incluso distribuciones típicas de variables aleatorias discretas, pueden tratarse como aproximadamente distribuciones normales." (Martinez Gomez & Marí Benlloch, 2008)
Como los resultados que serán obtenidos se basan en observaciones de precipitación y temperatura el objetivo con la distribución normal será encontrar la "cantidad de meses" que coincidan con condiciones que reflejen la sequía para los índices SPI y SPEI o la aridez para los índices de Martonne y Emberger, por otro lado, para la precipitación y temperatura se tomarán otras condiciones acordes a estas observaciones.
Con las condiciones adoptadas se filtrarán los valores y se graficara la “cantidad de meses” con sequía que cada año presenta a lo largo de los 30 años de estudio.
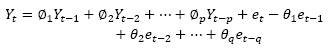
3.8 Modelo autorregresivo de media móvil
Los modelos autorregresivos (AR) se los puede acoplar a los modelos de Media Móvil (MA) formando así un nuevo modelo llamado Autorregresivo de Media Móvil (ARMA), el mismo que satisface la siguiente ecuación (Zhiña et al., 2017):
Los órdenes del modelo
Donde
3.9 Funciones usadas en Excel y programa auxiliar
En Microsoft Excel se cuenta con funciones para poder realizar el cálculo de los índices siendo el más útil la función de Distribución Gamma de Excel.
Para el cálculo del índice estándar de precipitación SPI se usan las siguientes funciones: = SI(prueba_lógica;valor_si_verdadero; valor_si_falso) que permite elegir una acción en base a una prueba lógica, =PROMEDIO(número1;número2;...), =SUMA(número1;número2;...), =LN(número) (logaritmo natural), =CONTAR(valor1;valor2;...), =RAIZ(número) (raíz cuadrada), =DISTR.GAMMA.N(x;alfa;beta;acumulado), =CONTAR.SI(rango;criterio) (contar valores con una condición lógica). También se ha hecho el uso de la opción "Asignar nombre" la cual permite guardar valores constantes o formulas en un nombre específico y ser insertado a las fórmulas de una celda simplificando así la comprensión de este.
Para el cálculo de la anomalía de la precipitación mensual MPA, anomalía de la temperatura mensual MTA, Índice de aridez (IA) de Martonne y para el Índice de aridez (IA) de Emberger se usa la siguiente función: = PROMEDIO(número1;número2;...).
Para el cálculo del Índice Estándar de Precipitación y Evaporación SPEI se utiliza la función: =CONCAT(texto1;...) sirve para unir valores en unir sola celda. Se requieren de valores de precipitación y temperatura media los cuales serán leídos en un programa de distribución libre creado para el cálculo exclusivo de este índice llamado SPEI (Vicente-Serrano S.M., 2009).
Para el cálculo de la distribución normal y lograr graficar la Función Gaussiana se usa la formula DISTR.NORM.N(x;media;desv_estándar;acumulado).
El Índice de Vegetación de Diferencia Normalizada NDVI se lo obtiene de EOS Data Análisis usando su herramienta Land Viewer el cual facilita los datos en el área seleccionada, aunque el servicio solo tiene datos de pocos meses al año.
3.10 Datos de clima recopilados de la zona
La precipitación para el municipio de Pasorapa se obtuvo de la estación "Aiquile" por ser la estación más cercana a la zona. (Figura 1). Las características ecológicas y climáticas son similares a la zona de estudio, quizá con un poco más de extrema sequía en Pasorapa.
Para los datos del Índice de Vegetación de Diferencia Normalizada NDVI, se seleccionaron todos los sensores que la página consultada presenta (Figura 2). El archivo generado se limita a un área de 200 km2 lo que obliga a dividir el municipio en áreas reducidas. (Figura 3).
3.11 Calibración y pronóstico del modelo ARMA para SPI
La calibración del modelo se realizó desde el año 1990 hasta el 2004; la validación desde el año 2005 hasta el 2019. Utilizando el método Autorregresivo de medias móviles se creó un pronóstico para los horizontes de 1, 3 y 6 meses. Para el pronóstico se usó datos existentes hasta agosto de 2022 y se proyectó hasta agosto de 2023.
4 Resultados y discusión
4.1 Monitoreo para un horizonte de 1 y 6 meses
Los resultados en la Figura 4 del Índice de Precipitación Estandarizado (SPI) del horizonte de 1 mes muestran zonas con cambios continuos de positivo a negativo (marca
), estos cambios reflejan que existen saltos en los meses de sequía, lo cual al ser una zona conocida por su aridez este resultado no es consistente.
De la misma forma en el Índice de Evaporación de Precipitación Estándar (SPEI) del horizonte de 1 mes existen picos positivos muy cortos en el tiempo (marca
) algunos interrumpen zonas temporales negativas. (Figura 4).

Figura 4. Comparación de resultados del Índice de precipitación Estandarizado (ISP) e Índice de Evaporación de Precipitación Estándar (SPEI) - Horizonte de 1 mes. (Elaboración propia)
En cambio, resultados en la Figura 5 del Índice de Precipitación Estandarizado (SPI) del horizonte de 6 meses muestra épocas de sequía en periodos de lluvias (marca
) y además este resultado es opuesto al obtenido por SPEI en varios periodos con la misma marca. En el último año se observa un periodo corto (marca
) que coincide con el periodo de sequía en el Índice de Evaporación de Precipitación Estándar (SPEI).

Figura 5. Comparación de resultados del Índice de precipitación Estandarizado (ISP) e Índice de Evaporación de Precipitación Estándar (SPEI) - Horizonte de 6 meses. (Elaboración propia)
Por estas observaciones solo se utilizará estos 2 horizontes para visualizar en una distribución normal la cantidad de meses por año que tengan sequía, que sean más calientes, que cuenten con poca precipitación y que sean más áridos.
4.2 Frecuencia de años de aparición de eventos de sequía
Se realiza un conteo de los meses por cada año que cumplen las siguientes condiciones:
En Índice de precipitación Estandarizado (SPI) e Índice de Evaporación de Precipitación Estándar SPEI valores menores a -0,49
En Anomalías de Precipitación (AP) valores menores a cero
En Anomalías de Temperatura (AT) valores mayores a 2 grados
En Índice de Aridez de Martonne (IA) e Índice de Aridez de Emberger (IA) valores menores a la media histórica de cada uno respectivamente
En este análisis en el Índice de Precipitación Estandarizado (SPI) un año ha obtenido 5 meses con valores menores a - 0,49, lo cual, no significa necesariamente que los meses son consecutivos, pudiendo estos estar separados por más de 1 mes entre ellos.
Las siguientes tablas muestran la cantidad de años que han presentado una cantidad específica de meses que entran en los límites de las condiciones dadas. La lectura de las tablas es como sigue para la Tabla 4: 4 meses (no necesariamente consecutivos) que tienen valores menores a -0,49 se repiten 8 años para SPI. 3 meses (no necesariamente consecutivos) que tienen valores menores a -0,49 se repiten 7 años para SPEI. 8 meses (no necesariamente consecutivos) con valores menor a cero se repiten 10 años para la Anomalía de Precipitación (AP). 2 meses (no necesariamente consecutivos) con valores mayor a 2 grados se repiten 11 años para la Anomalía de Temperatura (AT). 8 meses (no necesariamente consecutivos) con valores menor a 5 se repiten 8 años para el Índice de Aridez Martonne (IA de Martonne). 8 meses (no necesariamente consecutivos) con valores menor a 5 se repiten 9 años para el Índice de Aridez Emberger (IA de Emberger). De esta manera se lee cada índice en las Tablas 5 y 6.
Tabla 4. Cantidad de años para horizonte de 1 mes. (Elaboración propia)
| Cantidad de Meses | Cantidad de años para el horizonte de 1 mes | |||||
|---|---|---|---|---|---|---|
| SPI años | SPEI años | AP años | AT años | IA Martonne años | IA Emberger años | |
| 0 | - | 3 | - | 7 | - | - |
| 1 | 1 | 2 | - | 2 | - | - |
| 2 | 3 | 6 | - | 11 | - | - |
| 3 | 5 | 7 | - | 2 | - | - |
| 4 | 8 | 4 | - | 3 | - | - |
| 5 | 6 | 2 | 1 | 2 | 1 | - |
| 6 | 6 | 1 | 5 | 1 | 4 | 2 |
| 7 | - | 1 | 5 | - | 6 | 6 |
| 8 | 1 | 3 | 10 | 1 | 8 | 9 |
| 9 | - | - | 5 | 1 | 7 | 7 |
| 10 | - | 1 | 2 | - | 2 | 4 |
| 11 | - | - | 1 | - | 1 | 1 |
| 12 | - | - | 1 | - | 1 | 1 |
| Desv. Est. | 1,5522 | 2,5677 | 1,5742 | 2,3156 | 1,5643 | 1,4044 |
| Media | 4,2667 | 3,6000 | 7,9333 | 2,5000 | 8,0333 | 8,4000 |
Tabla 5. Cantidad de años para horizonte de 3 meses. (Elaboración propia)
| Cantidad de años para el horizonte de 3 meses | ||||||
|---|---|---|---|---|---|---|
| Cantidad de Meses | SPI años | SPEI años | AP años | AT años | IA Martonne años | IA Emberger años |
| 0 | - | 8 | - | 15 | - | - |
| 1 | 4 | 1 | - | 3 | - | - |
| 2 | 9 | 6 | - | 4 | - | - |
| 3 | 5 | 6 | - | 3 | - | - |
| 4 | 8 | 1 | - | 1 | - | - |
| 5 | 2 | 2 | - | 1 | - | - |
| 6 | 2 | - | 8 | - | 8 | 7 |
| 7 | - | - | 11 | 2 | 11 | 8 |
| 8 | - | 3 | 8 | 1 | 7 | 9 |
| 9 | - | 1 | - | - | 1 | 2 |
| 10 | - | 1 | 1 | - | 1 | 2 |
| 11 | - | - | 2 | - | 1 | - |
| 12 | - | 1 | - | - | 1 | 2 |
| Desv. Est. | 1,4259 | 3,3665 | 1,3515 | 2,3657 | 1,4782 | 1,6174 |
| Media | 3,0333 | 3,3333 | 7,3667 | 1,7000 | 7,4333 | 7,7333 |
Tabla 6. Cantidad de años para horizonte de 6 meses. (Elaboración propia)
| Cantidad de Meses | Cantidad de años para el horizonte de 6 meses | |||||
|---|---|---|---|---|---|---|
| SPI años | SPEI años | AP años | AT años | IA Martonne años | IA Emberger años | |
| 0 | 3 | 10 | - | 22 | - | - |
| 1 | 1 | 8 | - | 1 | - | - |
| 2 | 4 | - | - | 3 | - | - |
| 3 | 10 | - | - | 2 | - | - |
| 4 | 9 | 1 | 1 | - | 2 | 1 |
| 5 | 1 | 3 | 8 | - | 7 | 1 |
| 6 | 2 | 1 | 15 | - | 15 | 15 |
| 7 | - | 2 | 1 | 1 | 1 | 4 |
| 8 | - | - | 1 | 1 | 1 | 4 |
| 9 | - | 1 | - | - | - | - |
| 10 | - | 2 | - | - | - | 1 |
| 11 | - | - | - | - | - | - |
| 12 | - | 2 | 4 | - | 4 | 4 |
| Desv. Est. | 1,5071 | 4,0201 | 2,2846 | 2,0160 | 2,3154 | 2,1922 |
| Media | 3,0667 | 3,3333 | 6,5667 | 0,9333 | 6,5333 | 7,2333 |
Con la cantidad de meses y su frecuencia de aparición en los diferentes años se puede obtener la desviación estándar y la media en los 30 años de observación, con ello se construye el gráfico de la distribución normal de la cantidad de meses para cada índice.
La Figura 6 corresponde al horizonte de 1 mes, se observa como el Índice de Evaporación de Precipitación Estándar (SPEI) depende más de la temperatura ya que la curva es similar a la de Anomalía de Temperatura (AT); mientras que el Índice de Aridez Martonne (IA Martonne) y el Índice de Aridez Emberger (IA Emberger) dependen más de las anomalías de la precipitación. De manera singular el Índice de Precipitación Estandarizado (SPI), aunque es calculado con la precipitación, este no muestra una dependencia de este.
La Figura 7 del horizonte de 3 meses presenta una distribución similar a la del horizonte de 1 mes, pero el Índice de Evaporación de Precipitación Estándar (SPEI) se encuentra más disperso lo que muestra que la cantidad de meses por año con el valor menor a -0,49 (sequia leve) es muy variada, esto se puede visualizar en la tabla 5, donde, se observa que existe un año donde los 12 meses presentan un valor menor a -0,49.
La Figura 8 correspondiente al horizonte de 6 meses, la anomalía de la temperatura tiene como media aproximada de 1 mes, esto se interpreta según la tabla 6 que hay casi 1 mes de mayor temperatura en 22 años de los 30 estudiados. El Índice de Evaporación de Precipitación Estándar (SPEI) se ha dispersado aún más ya que su curva se ha aplanado. Por otro lado, el Índice de Precipitación Estandarizado SPI es similar al del horizonte de 3 meses, pero con el pico en un valor menor.
Como el Índice de Aridez tanto de Martonne y Emberger dependen directamente de la temperatura, sus curvas alcanzan a superponerse sobre la precipitación. Aunque Emberger también depende de la temperatura este no logra influir significativamente el resultado en este caso. Esto se observa en las Figuras 3 al 5.
De acuerdo con lo expuesto en las Figuras de distribución normal, se observa como el horizonte 3 meses llega a ser el más estable en sus resultados y el más representativo de los horizontes al no presentar una excesiva cantidad de meses con anomalías de precipitación y aridez mientras que el SPI es similar al horizonte de 6 meses.
4.3 MONITOREO PARA UN HORIZONTE DE 3 MESES
En la Figura 9 el Índice de Precipitación Estandarizado SPI cuenta con valores negativos menos dispersos en el tiempo y en algunos casos como en las marcas
,
, con una intensidad que dura medio año. Sin embargo, en la marca
se observan valores positivos en una época de pocas lluvias esto debido a la presencia de meses con valor de cero en la precipitación.
Con Índice de Evaporación de Precipitación Estándar SPEI los valores negativos concuerdan con las precipitaciones y el aumento de temperatura ya que este índice depende de estas dos variables, en las marcas
el resultado del índice muestra una relación directa entre la baja precipitación y el incremento de la temperatura como se espera debido a la fórmula que se utiliza para este índice. (Figura 9).
Existen periodos donde la Anomalía de Precipitación presenta una reducción en épocas donde la Anomalía de Temperatura es positiva (marca
) y contrariamente la precipitación es mayor cuando la anomalía de temperatura es negativa o cercana a cero (marca
). Estos resultados no se refieren a que ambos dependen uno del otro. (Figura 9).
Ambos índices de aridez muestran un resultado similar aun cuando Martonne solo depende de la precipitación mientras que Emberger depende de la precipitación y la temperatura. En la marca
valores son mínimos lo mismo se puede observar en el mismo periodo en la precipitación mientras que en la marca
los valores son mayores y también la precipitación es alta. Los resultaos para índice de aridez de Martonne son menores a 10 y los del Emberger son menores a 35 esto indica que la zona tiene un clima árido aun con las precipitaciones excesivas en ciertos periodos como los años 1991,2001,2014. (Figura 9).
4.4 Índice de vegetación de diferencia normalizada (NDVI)A
Los valores en el rango de 0,2 a 0,8 muestran que la vegetación cuenta con buena salud. Los meses de junio a octubre que corresponden a la época invernal e inicios de la primavera y donde normalmente no hay lluvias (época de estiaje) los valores de NDVI son negativos. Desde junio de 2017 se observa un descenso repentino de los valores del NDVI, lo cual, demuestra que puede ser un síntoma de deterioro de la salud de la vegetación. Esto se puede explicar por los incendios forestales que ocurren en la época de estiaje. Las repeticiones de meses en la gráfica indican valores tomados en el mismo mes, pero en diferentes áreas del municipio (Figura 10).
4.5 Pronóstico del modelo ARMA para el horizonte de 1 y 6 meses
El pronóstico de Índice de Precipitación Estandarizado (SPI) del horizonte de 1 mes de la Figura 11 se presenta periodos observados con valores positivos y negativos de manera intercalada en periodos cortos como ser en el año 2010 en la marca se observa este comportamiento con valores observados de 1,65;-1,01;-1,01 y el pronosticado es de -0,12:2,08;-0,98 respectivamente
Tabla 7. Coeficientes y la sumatoria de los errores al cuadrado para el Horizonte de 1 mes
| 𝜃𝑞 | ∅𝑝 | Suma Error |
| 0,89736943 | 0,99165361 | 285,407828 |
El Índice de Precipitación Estandarizado (SPI) para el horizonte de 6 meses en su validación se ajusta de manera adecuada sin embargo en los años 2020 a 2021 el periodo negativo pronosticado
es demasiado prolongado en el tiempo ya que el observado es completamente positivo.
Tabla 8. Coeficientes y la sumatoria de los errores al cuadrado para el Horizonte de 6 meses
| 𝜃𝑞 | ∅𝑝 | Suma Error |
| 0,90378391 | 0,99948444 | 145,558119 |
4.6 Pronóstico del modelo ARMA para el horizonte de 3 meses
En la Figura 12 el Índice de Precipitación Estandarizado (SPI) pronosticado se asemeja al Índice de Precipitación Estandarizado SPI observado en el periodo de validación de 2005 a 2019. Con este método los resultados de la proyección son relevantes hasta un máximo de 1 año a futuro posteriormente los valores se van acercando a cero.
En la marca
el pronóstico es positivo mientras que los valores observados son negativos, por otro lado, en la marca
correspondiente al año 2023 presenta valores negativos pronosticados lo cual es indicador de posibles sequías.
Los picos en el Índice de Precipitación Estandarizado SPI de los datos observados en las marcas
para un pronóstico, no es necesario ser reproducidos con exactitud debido a que son considerados eventos extraordinarios que solo se presentan pocas veces.
Tabla 9. Coeficientes y la sumatoria de los errores al cuadrado para el Horizonte de 3 meses
| 𝜃𝑞 | ∅𝑝 | Suma Error |
| 0,89329249 | 0,99505795 | 202,1036005 |
En un estudio anterior (Cerpa et al., 2022) destaca que en zonas áridas y en escalas cortas de tiempo el SPI falla al detectar épocas secas. En este caso particular existe un comportamiento característico de los resultados donde los valores negativos concuerdan con épocas de precipitación alta, mientras que los valores positivos se igualan con épocas de bajas precipitaciones. El cambio de signo se debe a las condiciones para aplicar la fórmula que se basa en la probabilidad de ocurrencia de cero precipitaciones, mientras esta ocurrencia de ceros sea mayor al 50% de las veces en el intervalo de tiempo estudiado el signo será positivo lo cual correspondería a humedad.
Según las Tablas 7, 8 y 9 la suma de error para 1 mes es el mayor y la suma de error para 6 meses es el menor, sin embargo, la gráfica para el horizonte de 6 meses refleja un periodo positivo casi constante entre 2020 y 2022 que difiere mucho con los horizontes de 1 y 3 meses. Por lo tanto, de acuerdo al análisis anterior se tomará el horizonte con menor suma de errores entre el horizonte 1 y 3 meses siendo el horizonte de 3 meses el que tiene un resultado más coherente con los datos observados para el Índice de Precipitación Estandarizado (SPI), esto es consistente con las conclusiones de los autores Zhiña et al, 2017. El modelo ARMA se ha realizado el cálculo con pasos hacia adelante para obtener los valores iniciales del primer año, para el pronóstico los pasos hacia atrás.
5 Conclusiones
Mediante el programa Excel se logra tener resultados que reflejan la situación de sequía y aridez en la zona de estudio (municipio de Pasorapa) usando datos de precipitación y temperatura. Para el cálculo del Índice de Evaporación de Precipitación Estandarizado (SPEI) con el programa libre llamado SPEI es necesario ordenar los datos y separarlos con punto y coma (;) lo cual facilita Excel.
Del Índice de Evaporación de Precipitación Estandarizado (SPEI) se ha observado que por aproximadamente 14 años ha durado una sequía leve a moderada empezando desde 1992 y terminando en 2005, siendo en el año 2018 y 2019 un posible inicio de ese mismo ciclo de sequía.
Con Índice de Precipitación Estandarizado (SPI) los resultados son similares al del Índice de Evaporación de Precipitación Estandarizado (SPEI) pero no así en la intensidad de la sequía. Además, aun presenta el problema de valores positivos en periodos de precipitación cero.
Las anomalías de precipitación (MPA) y temperatura mensual (MTA) en la zona muestran que cuando no existe lluvia, la temperatura sube, y en los últimos años la temperatura ha logrado llegar a una diferencia con la media histórica de 6 grados.
El índice de aridez (IA) de los métodos Martonne y Emberger muestran una tendencia a la aridez en la zona, teniendo pocos intervalos de tiempo en los que llega a ser semi-árido e incluso húmedo dependiendo de la cantidad de precipitación.
El Índice de Vegetación de Diferencia Normalizada (NDVI) muestra que en el municipio las plantas han sufrido en su salud justamente en los años con menor precipitación que son 2015, 2017 y 2018 en los cuales están bajo en índice de 0.2, mientras que en otros años con lluvias moderadas a leves las plantas no han presentado ese estrés.
Los pronósticos de sequía muestran un mejor resultado para el Índice de Precipitación Estandarizado (SPI) del horizonte de 3 meses y el Índice de Precipitación Estandarizado (SPI) de 6 meses.
El modelo ARMA, para obtener valores iniciales del primer año se ha utilizado el paso hacia adelante en el cálculo, mientras que para el pronóstico se ha utilizado el paso hacia atrás.
El relleno de datos faltantes en la precipitación y temperatura muestran consistencia en los resultados de la misma manera se ha utilizado el modelo ARMA, la limitante de este método es el requerimiento de datos completos hacia atrás, aunque se los puede rellenar con pasos hacia adelante lo que se ha realizado para los meses de enero a marzo de 1990 esto supone que el pronóstico estará influenciado por datos futuros.
6 Recomendaciones
El pronóstico del Índice de precipitación Estandarizada (SPI) fue realizado con un solo método (ARMA) lo cual puede ser mejorado con otros modelos de tipo probabilístico o redes neuronales que den mejores resultados, por otro lado, el Índice de Evaporación de Precipitación Estandarizado (SPEI) también puede ser usado para el pronóstico y posterior comparación entre ambos Índices.
Usando la distribución normal al momento de buscar los años que tengan mayor cantidad de valores negativos para el SPI y SPEI o valores que sean favorables para la sequía en los demás índices es necesario encontrar criterios para los límites que utilicen otra metodología.
Exceptuando al SPI y al SPEI los demás índices fueron reescalados para su comparación en una sola Figura por años lo cual afecta en la lectura más detallada. Es necesario cambiar las escalas para otro tamaño de hoja.
Los datos consultados y usados para el procesamiento presentaban periodos prolongados sin datos lo que provoca realizar el rellenado de estos, en este estudio el rellenado también ha sido con el método (ARMA), se sugiere usar otro método que sea más adecuado para este proceso.
















































