Servicios Personalizados
Revista
Articulo
Indicadores
-
Citado por SciELO -
Accesos
Links relacionados
-
Similares en
SciELO
Compartir
Acta Nova
versión On-line ISSN 1683-0789
RevActaNova. v.2 n.3 Cochabamba dic. 2003
Artículo Científico
Electoral Systems, Racial Tensions and Decentralization
Vincenzo Verardi*
ECARES, CEPLAG
Cochabamba, Bolivia
e-mail: vveradi@ulb.ac.be
Abstract
In many countries, the accommodation of ethnic, linguistic and religious diversities is a major challenge. The scope of this paper is to attempt to understand which political arrangements might facilitate inter-ethnic cohabitation. It is indeed extremely important to understand which electoral system could be seen as the most efficient in reducing racial tensions both in the short and in the long run. The core of the work is the study of the effect that electoral systems have on racial tensions but also their interactive effects with decentralization. Using the best available data (coming from the International Country Risk Guide) and the techniques we believe to be the most appropriate (Interval Censored Regression) we find interesting results: first, majoritarian systems seem to be positively related to high levels of ethnic tensions while proportional representations seem particularly appropriate for reducing such tensions. Second, we find that presidentialism, is associated to lower levels of racial tensions. Finally we find that decentralization is more efficient under parliamentarism than under presidentialism for allowing a better ethnic cohabitation.
JEL Classification: D74, H40, H72
keywords: Electoral Systems, Racial Tensions, Decentralization.
No democracy can long survive which does not accept as fundamental to its very existence the recognition of the rights of minorities
Franklin D. Roosevelt (1882-1945)
1 Introduction
In many countries, the accommodation of ethnic, linguistic and religious diversities is a major challenge (Diamond and Plattner, 1994). Countries where ethnic diversity influences politics and ethnic accommodation might be difficult to achieve can be seen as being of two types: "pluralistic" and "plural". In countries of the first type, ethnic differences have been minimized in importance and politics are articulated around other dimensions than the ethnic one while, in countries of the latter type, those differences remain the most important factor in influencing political decisions (Grofman and Stockwell, 2000). Even if plural societies have to face higher risks of conflicts than pluralistic societies do, also the latter may be plagued by tensions. It is for this reason that, in recent years, many countries that seemed to enjoy a relative ethnic harmony have started adopting political reorganizations to simultaneously take into account the changes in the ethnic composition of the population1 and the increasing interest in ethnic issues, that used to be kept off the political agenda (as, for example, Quebec or Catalán nationalism respectively in Canada and Spain). In addition, the land claims of native people in "Settler" nations (such as the USA or Australia) are gaining support and can represent an additional source of conflict.
The scope of this paper is to attempt to understand which political arrangements might facilitate inter-ethnic cohabitation. It is indeed extremely important to understand which system could be seen as the most efficient in reducing racial tensions both in the short and in the long run. The core of the work will be the study of the effect that electoral systems have on racial tensions but also their interactive effects with decentralization.
As far as fiscal decentralization is concerned, it enters into the ethnic conflict reduction strategy in a number of ways. In a community characterized by significant inter-group variations in preferences, and where economies of scale are not important, decentralized provision of public services can enhance efficiency (Oates, 1999). Inter-governmental competition and the mechanism of exercising choice by citizen-voters help to reveal preferences for public goods. This is particularly true when the preferences of some geographically determined social groups are not fully considered at the central level, and when public spending is oriented towards the preferences of a minoritarian elite. In the literature, the link between electoral systems and the dissatisfaction with public goods provision has been analyzed in detail. Scholars have shown in particular that the underestimation of local preferences is typical to the majoritarian electoral rule. Indeed, in those systems, politicians try to gain the support of the pivotal voters instead of trying to please a larger coalition of voters. As a result, their probability of success during elections is maximized but the preferences of the majority are not necessarily respected. The obvious resulting dissatisfaction can cause ethnic tensions. As far as the regime type is concerned, we expect presidential systems, where the separation of powers2 assures the respect of minorities preferences, to be less prone to racial tensions than parliamentary ones where the coalition created to form the government might systematically ignore preferences of small groups.
What we try to show here is first if indeed proportional representations and presidential regimes are associated to less tensions than majoritarian systems and parliamentary regimes, second if decentralizing in the two last types of systems can be seen as a step towards ethnic harmony and finally, if decentralization in proportional representations and presidential regimes could be considered as inefficient in terms of racial tension reduction.
To attempt to answer these questions, the paper is structured as follows: after this first introductory section, Section 2 presents the motivation of the paper whereas Section 3 details our data. Section 4 describes the empirical methodology. Our empirical results are analyzed in Section 5. Section 6 summarizes and concludes.
2 Motivation
Why would political institutions influence ethnic tensions?
The basic idea is that different institutions shape economic policies and tend to favor some social groups at the expense of some others. This could clearly cause tensions. To summarize why economic policies are influenced by political institutions, let us quote Persson and Tabellini (2000a, p. 3): "The basic idea is that policy choices entail conflicts among different groups of voters, between voters and politicians (agency problem), and among politicians. The way these conflicts are resolved, and thus what fiscal policy we observe, hinges on the political institutions in place".
Which constitutional features play a role in influencing the policy making?
Persson and Tabellini (1999, 2000a,b), identify two main institutional characteristics that tend to shape economic policy. The first is the political regime that can be defined as the way in which the chief of the executive is elected (and how he stays in office). The second is the electoral rule which can be defined as the way in which votes are translated into seats. We will explain the basic intuition underlying this idea in greater detail further in the paper and refer to the following paragraph just in order to define more precisely what we mean by political regime and by electoral rule.
Several political regimes exist formally, but, they can all be grossly classified either as presidential (PS) (when the chief of the executive is elected for a fixed term directly by the people) or as parliamentary (PA) (when the chief of the executive is elected inside a parliament and needs the support of the assembly to stay in office). At first glance, the differences between the two regimes might seem narrow but their implications are actually extremely important. As defined by Persson and Tabellini (1999), presidential regimes are characterized by two important features. Firstly, the decision power is split among different politicians, who are separately and directly accountable to the voters. Secondly, the maintenance of powers does not depend on a majority support in the assembly. Parliamentary regimes, on the contrary, rely on two completely different features. Firstly, proposal powers over legislation rest with the government and secondly, the survival of government depends on the support of a majority in the assembly. Consistent with this definition, in order to define a country as being presidential, we follow the coding scheme adopted by Beck, Clarke, Keefer and Walsh (1999). The first step of the procedure is the identification of how the chief of the executive is elected. If the head of the executive is popularly elected, the country will temporarily be defined as presidential but might be recoded as parliamentary if it does not fulfill the other requirements belonging to the definition. It could be that even if a country has a popularly elected president, in fact it is a parliamentary regime (or viceversa). A second check, therefore, is to see, when there is a president, if he has to share its power with an elected representative of the parliament in which case this could mean that there is no real separation of powers. If this is the case, it is important to identify the legislative power of the president. If the president can veto legislation that the parliament can override only with a super-majority or if he can appoint or dismiss cabinet ministers or dissolve the assemblies whenever he wants, the system is characterized as presidential, otherwise it is coded as parliamentary. It is for this reason that countries like France or Portugal, despite having a popularly elected president, are coded as parliamentary. In presidential systems, given that the chief of the executive is elected for a fixed term, he doesn't need the support of the assembly to stay in office. As Diermeier and Feddersen (1998) point out, legislative cohesion will not apply. As we will see later, this cohesion is one of the features that tend to shape economic policies differently between the regimes.
In addition to the regime type, we also have to consider the effects of the electoral rule. A continuum of electoral rules exists theoretically but, in practice, those rules can all be considered as being either proportional representations (-PR- when seats are allocated proportionally to the votes cast for a party), majority voting (-MA- when the winner is the candidate that received the highest number of votes in the district) or mixed (-MIXED- when some of the members are elected by PR and some by MA).
Many other constitutional features such as the minimum threshold for representation or the average district magnitude might have an effect on racial tensions as well. In this paper, given the limited amount of data available, we prefer not to go in detail too much and prefer to only consider the broadest subdivisión.
What are the predictions on racial tensions?
Let us start with the electoral rule. In terms of theoretical predictions, we rely on Milesi-Ferretti, Perotti and Rostagno (2001). Extending the strategic delegation model of Chari, Jones and Marimon (1997) and Besley and Coate (1999), Milesi-Ferretti et al. (2001) show how public finance is influenced by the electoral system3. In particular, with socially homogeneous districts, given that in majoritarian systems each district elects one representative, they show that the biggest social group in a majority of districts will have the majority in parliament. It will thus choose its preferred expenditure. On the contrary, in proportional representations, each district elects more than one representative. Several groups will be represented and expenditures will be more in line with the preferences of a larger share of the population. Our intuition is thus that in majoritarian systems, the unconsidered minorities will tend to protest and create tensions which would not happen in proportional representations since they would be represented in the parliament. Our vision is however not unanimously accepted. Indeed, even if some authors, like us, argue that proportional representations tend to have a favorable impact on peaceful arrangements between ethnic groups inside a country (Lijphart (1977), Crawford and Lijphart (1995) or Young (1998) among other support this idea), some others remain somewhat skeptical about its efficiency. For instance, de Silva (1998) believes that proportional representations can reduce ethnic tensions only if the political system is based on peaceful competitive politics which, for the author, is more the exception than the rule. Ishiyama (2000) goes even further and thinks that systems that promote grouping (as proportional representation does) tend to increase political demands for independence, whereas systems where voters vote for individuals rather than for lists (as in the case of majoritarian rules), there will be less extreme political demands. It is therefore interesting to find out which effects dominates.
If we consider the regime type, we expect two features to play a role: for the first one that we cali "expenditures targeting", we rely on Persson and Tabellini (2000b) for theoretical predictions. For the second one, that we cali "separation of powers", we rely on Shugart and Carey (1992). Persson and Tabellini (2000b), to explain how expenditure decisions are shaped by electoral systems, depart from the simple idea that in parliamentary regimes, the governing coalition can stay in office only as long as it stays united. This is what Diermeier and Feddersen (1998) cali "legislative cohesion". Building on this idea, they show that spending in parliamentary regimes are oriented towards programs preferred by a broad coalition of voters since each member of the governing coalition has to be pleased. In presidential systems, this cohesion does not exist. As a result, the allocation of spending targets powerful minorities instead of a large coalition of voters and this could cause ethnic tensions. On the other side, it is well known that in presidential regimes, there is separation of powers. There is a president that looks at the interest of the nation while assemblies exist to represent local preferences. This implies that in presidential regimes, there is a constant check of the actions of the chief of the executive by the parliament and vice versa. In addition, given that the government does not rely on a majority in parliament to remain in office, there will be no legislative cohesion. Shugart and Carey (1992), argue that in parliamentary regimes, the assembly is extremely coercive (Diermeier and Feddersen, 1998), and this characteristic renders the opposition votes meaningless. If a minority group is not in the coalition, it will be totally ignored in the decision-making process and this could generate tensions. In presidentialism, they say this does not happen because the system preserves the viability of the opposition, without endangering stability. The executive can solicit defections on particular votes. These features tend to reduce majoritarianism and tend to consider minority preferences. An additional argument they put forward is that even if in a parliamentary regime a minority party may be able to participate in the cabinet formation, (which is not the case in presidential regimes which restrict the choice of voters to two candidates) what can happen is that if the leaders of the major parties have different preferences than those of the minor party, the latter can simply be shut out of the discussions. This is not the case in presidential regimes.
Finally, Shugart and Carey (1992) go even further and affirm that "Given multiparty competition for the assembly, a parliamentary system is good at allowing voters, with their range of partisan options, to know what they are asking for, but presidentialism makes it clearer what they are getting". This could reduce the majoritarian power of the main groups and be preferred by minorities. If we consider all this in addition to the fact that the president has the ability to act as a unifying national figure, standing above sectarian disputes (if he enjoys a broad public support), and can represent the nation to itself, becoming a symbol of moderation of the "middle ground" between rival political groupings (Harris and Reilly, 1998), we may expect presidentialism and ethnic harmony to be positively related, nevertheless given that the two effects cited above (the "expenditure" and the "separation of powers" effect) play in an opposite direction, a test is necessary.
Note that some scholars have shown that less democratic countries have less racial tensions simply because the head of the state has the strength to keep people together (a famous example is Tito in Yugoslavia). Given that it can be observed that presidential regimes are mainly concentrated in less democratic countries, it is important to control for this. Otherwise, we might capture the effect of democracy and not of separation of powers.
What are the stylized facts?
To perform this empirical study we collected many data on institutional, economic and racial variables and some important features emerged. We will describe these data in detail later. By now, it is only important to know that the racial indicator varies between zero (no conflict at all as for example in Finland, Denmark or Austria) and six (almost civil war as in Sri Lanka or the Democratic Republic of Congo). A simple statistical analysis on these variables, allowed us to find that the positive effect on the reduction of tensions by proportional representations and mixed systems seems to be confirmed. Indeed, those systems have an average Index of racial tensions which is statistically lower than to the average level in majoritarian systems. The results can be found in Table 1, below.
From Table 14, we see that majoritarian systems have an average level of tensions of 2.63 as opposed to 1.74 for mixed systems and proportional representations. In addition, when testing whether those means are significantly different from one another, we find that the t-statistic associated with such a test is about -8.20, implying that the means are statistically different. If we attempt a similar exercise but by constraining our analysis to sufficiently democratic countries only (that is, countries with a level of democracy higher than 5 out of 10 following the definition of Jaggers and Gurr, 1995), the average level of racial tensions in majoritarian systems appears to be equal to 2.32 against 1.41 in non-majoritarian systems. The t-statistic associated with the test is -5.79, meaning that we cannot, again, reject the null hypothesis that majoritarian systems have higher levels of racial tensions. Those results remain similar if we only consider highly democratic countries5. Finally, when comparing presidential and parliamentary regimes, for the broad sample containing all the countries, the average level of racial tensions is significantly higher in presidential than in parliamentary system (an average level of 2.50 against 2.03, t-test=-5.03). Note that when only considering democratic countries, this difference seems to disappear (t-stat=1.31 and 0.72 respectively for sufficiently and highly democratic countries)6.
To see the relation between racial tensions and decentralization, it is interesting to look at Figure 1. In this figure, we plotted in the x-axis the degree of decentralization measured by the ratio of local government expenditures on total government expenditures and in the y-axis the racial tension indicator described before. It seems that they are indeed negatively correlated. The data represent the 10 year average7 of racial tensions and decentralization, between 1985 and 1994, in countries having a level of democracy higher than 5 out of 10.
The relationship between the two variables appears to be strongly negative (and with a R2 of about 9%). Note however that this is an average over the sample time. If we had the data for following years, countries like Belgium or Spain would probably lie much more on the right hand side of the diagram. This is due to the fact that after the last year of our sample (1994), decentralization significantly increased in these countries. Before arguing that such a relationship exists (additional controls would, for instance, be needed), at first glance this result is interesting. This possible relationship has been suggested, among others, by scholars like Bose (1995) or Cohen (1997).
Motivation of the paper
The motivation of this paper is that we believe that by decentralizing expenditures, it is possible to reduce racial tensions, and this, especially in systems where minorities are under-represented. In addition, we want to understand to what extent decentralization is efficient. To give an idea of the results found in the literature that forged our ideas, we briefly summarize all the predicted effects and the existing unanswered questions around the link between electoral systems and racial tensions. For the sake of clarity, we will also present in this section the hypotheses we will test in this paper.
It is generally expected that in proportional systems, the preferences of minorities are relatively well respected thanks to their voting power and their resulting representation in parliament. This means that they can benefit from public expenditures somewhat in line with their preferences even without decentralization. This is not the case if the system is majoritarian. Here, expenditure decisions are taken without considering the preferences of minorities, a behavior which could cause racial tensions and ethnic conflicts. Lijphart (1992, 1994) argues that majoritarian political institutions, and in particular single member district elections with plurality voting in ethnically divided societies, could end up in a permanent control over the political process by the largest ethnic group and permanent exclusion of minorities. For him, this system should therefore be avoided in the case of an ethnically divided society. Some authors do not agree with this viewpoint and rather think that (e.g. de Silva , 1998) proportional representations can reduce ethnic tensions only if the political system is based on peaceful competitive politics. Others further think that (e.g. Ishiyama, 2000) systems that promote (ethnic) grouping (as proportional representation does) tend to increase political demands for independence and as a result, racial tensions could increase. We will test which effects dominates.
Lijphart (1992, 1994) adds that having a President creates another potential source of racial tensions. The election of the chief of the executive, by nature, creates an inevitable winner-takes-all conflict that tends to exacerbate ethnic tensions. In parliamentary regimes, because the government seeks the support of a broad coalition of the population, minorities will have the opportunity to express their preferences. If this idea is correct, we should find that decentralization in presidential regimes reduces ethnic tensions more than in parliamentary regimes. Lijphart (1992) suggests to adopt a parliamentary regime type constitutional design with some type of proportional representation (that he calls "consociationalism") to lower ethnic tensions. Some authors as Shugart and Carey (1992) do not agree with this vision and argue that tensions in presidential regimes will be reduced thanks to the coercive figure of the president, the representativeness of parties in the parliament and, most of all, the separation of powers between the president and the parliament.
Given that there is a debate in the literature about the effectiveness of the different systems in reducing ethnic tensions, we will test the following hypotheses:
1. Are Majoritarian electoral systems related to higher tensions than more proportional systems?
2. Are Presidential regimes associated to higher tensions than parliamentary ones?
3. Is decentralization efficient in reducing ethnic tensions and, if yes, is it as efficient under all electoral rules and regimes?
3 Data and Preliminary Analysis
In order to test the different hypotheses enumerated above, high quality data is needed. To achieve this, we decided only to work with data that are recognized by economists as being of good quality. This has the advantage of giving credible results but, unfortunately, such data are lacking for many countries and years. The next section describes our data.
3.1 Data Sources
The key variable in our analysis is the ethnic tensions indicator. This indicator is directly available from the International Country Risk Guide (ICRG). The ICRG is a publication compiled by The Political Risk Services Group, a firm that uses subjective measures to gauge investment risks for its clients. It has been available since 1980. It provides a measure of Ethnic Tensions which varies between zero and six, representing the extent of tensions within a country which are attributable to racial, nationality, or language divisions. In the original indicator, higher values indicated less ethnic tension. This is surveyed by the ICRG among local experts who assign some risk points to a preset group of factors. To ensure consistency, both between countries and over time, points are checked by ICRG editors and rounded to the closest entire number. For simplicity, we recoded the variable the other way around.
In order to get an idea of the degree of racial tensions in the real world as measured by this index, we give some examples. For instance, the well publicized tensions that exist between Flemish and Walloons in Belgium have been classified from a minimum of two to a maximum of four for some years. In Canada, the tensions are mainly between English speaking Canadians and French-speaking Canadians (in Quebec) and between these two and native Canadians. The level of racial tensions for this country ranges (in our sample) from a minimum of one out of six to a maximum of three. In the USA, the tensions between whites, blacks, asians, hispanics and native americans is coded between a minimum of zero to a maximum of one. In the more problematic South Africa, the ethnic tension indicator ranges from four to six and in very calm Costa Rica, it has always remained close to zero.
A second central variable in our work is the degree of fiscal decentralization. Identifying such a measure is a difficult task. Oates (1972) summarizes the problems of the measures of fiscal decentralization into three main points.
First, different levels of government should be weighted in different ways. Indeed, some levels are much closer to the central level than others. Second, it is necessary to identify exactly the autonomy of deciding taxes and expenditures to be made by local authorities. Third, the role of intergovernmental grants should be considered.
It is clear that applying a weighting scheme to different levels of governments is an impossible task. As is the identification of the number of relevant jurisdictions. We therefore follow the decentralization literature (Pryor (1968), Oates (1985) and Panizza(1999)) and take as a decentralization indicator the share of sub-national expenditures as a percentage of total expenditures. The data are available from the IMF Government Financial Statistics. This variable is unfortunately not available for all years and all countries.
As far as political data are concerned, we use the recently compiled "Database of Political Institutions (DPI)" (Beck et al. (1999)). This dataset contains 113 political variables for 177 countries from 1975 to 1995. For evident reasons of availability of data, we select the data from 1980 onwards.
The macroeconomic data come from the "Global Development Finance and World Development Indicators". Population variables are calculated on the basis of the UN population yearbooks. The chronological index of democracy, needed for the sample selections, are taken from the Polity III database8.
Preliminary Data Analysis
This paper uses a dataset including 2340 observations over 156 countries between 1980 and 1995. However, some data are missing for some years in some countries. The racial tensions indicator is available for 119 countries and the decentralization one for 57 countries only. Given the imperfect overlapping of the two measures, we are left to work with approximately 45 countries and less than 10 years. The sample becomes even smaller when we do a sample selection and only consider sufficiently democratic countries.
Table 2 reports summary statistics: the mean and the standard deviations of our key variables. It can be seen that racial tensions have a higher mean in majoritarian systems and in presidential regimes as compared to proportional representations9 or parliamentary regimes. Moreover, there does not seem to be a significant difference in the degree of centralization of expenditures between political institutions. As stated previously, we notice that for half of the countries, no data on decentralization are available at all. Nevertheless, the missing data is equally distributed among the systems.
We should only analyze countries characterized by democratic institutions. To assess a country's democratic status, we rely on the well-known Polity III democracy indicators compiled by Jaggers and Gurr (1995). This index is available for the entire sample period and is coded between 0 and 10 with zero meaning no democracy at all and 10 full democracy. We consider two different samples. The first one, which we refer to as "broad", includes all countries and all periods for which the index of democracy is higher than 5 (out of 10). The second, which we refer to as the "narrow" sample, includes all countries and periods for which the index of democracy is higher than 8 (out of 10). The first sample allows an analysis over 76 countries and the second over 45 countries. Given that some data on decentralization are not available, some countries will not be considered.
The third important issue is to understand what percentage of the variance of the dependent variable can be attributed to within countries and between countries variations. To find out, we implement an ANOVA analysis on the raw data. Table 3 reports the results. Controlling for the fact that the sample is unbalanced, it can be seen that for the entire dataset, about 86% of variations in racial tensions can be explained by between countries variations while only 1.67% can be explained by within country variations.
Given the results, we argue that the use of an estimator that considers both the within and the between variations is required. In the next section we will explain our methodology.
4 Methodology
The regressions we want to estimate are as follows:

where i indicates the country and t the year. Racialit is the racial tension variable, Zi is the matrix of of systems fixed effects, Decit is the decentralization variable and Mit is the matrix containing the control variables. β1, β3 and γ are the vectors of coefficients respectively associated with the electoral system dummies, the degree of decentralization in the different systems and with the control variables, β2 is the coefficient associated with fiscal decentralization. Note that electoral systems are identified by dummy variables. This means that one system has to be considered as the benchmark. For the electoral rule, the benchmark will be the majoritarian system while for the regime type the benchmark will be the parliamentary system.
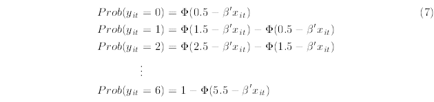
Three different methodologies are used. First we use the pooled ordinary least squares approach with one single constant. In this case we consider the "racial" variable as continuous. Second, we again consider the racial tension indicator as linear but we make an error component assumption with regional fixed effects (considering groupwise heteroskedasticity). Finally, we consider the error-component specification with regional fixed effects but where the racial tensions indicator is not considered as linear. We use a special case of the tobit estimation. In particular, even if the racial variable can take only integer values from 0 to 6, it can be seen, when looking at the way in which the index is constructed, that this is just an approximation and that the only information available is that the true value of the racial tensions indicator lies between an upper and a lower bound. To control for this, we consider the Interval Regression technique. More precisely, consider the following example. If a country receives a score of racial tensions of 5 for a given year, this means that the true value lies between 4.5 and 5.5. If it is given a zero, it means that the true value is between 0 and 0.5 and if it gets 6, it means that the true value is higher than 5.5. It appears that our sample is interval-censored and as a result, the estimation technique should be a special case of the tobit estimation. Given that the methodology is not very frequently used, we briefly outline it here.
The three specifications we consider are the following:
1. Pooled Linear Regression:
In the general specification (1), the hypothesis on the error-term is:
![]()
which we call the pooled hypothesis.
2. Regional Fixed-Effects, Error Component Linear Regression model:
In the general specification (1), the hypothesis on the error-term is:
![]()
In this case we consider the groupwise heteroskedasticity correction (that we call E.C. groupwise Het). In this case cov(εit,εjs) = 0 for i ≠ j or t ≠ s and cov(εit,εit) = Var(εit) =
of and the FGLSDV10 is a good estimator)
3. Regional Fixed-Effects, Error Component Non-Linear (Interval-Censored) Regression
If the true value of the racial indicator is lower than 0.5, our indicator will be given a zero value. If the true value lies between 0.5 and 1.5, our indicator will be coded as equal to one, and so on. In other words11,

and in the general specification (1), the hypothesis on the error-term is that:
![]()
The two first methods are standard so we will not spend too much time on explaining them. By contrast, the third is less commonly used because of its computational heaviness, so further details are necessary.
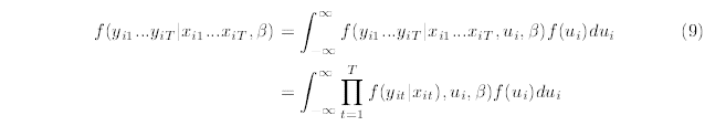
Keeping the same notation as before, the structural interval regression model for a possibly unbalanced panel of data should be12:
![]()
If εit is considered as standard normal the panel nature of the data is irrelevant. Therefore13:

If we make an error component assumption, and assume that:
![]()
we make the usual assumption that ui and vit are i.i.d. normally distributed, independent of xi1...xiT, with zero means and variances
and
.
Using ƒ as a generic notation for density or probability mass function, the likelihood function can be written as:

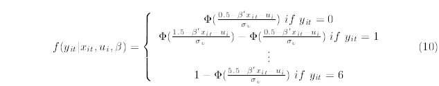
For the random effect interval regression model, the expressions in the likelihood function are given by:

The density of ui is:

The joint probability is then:

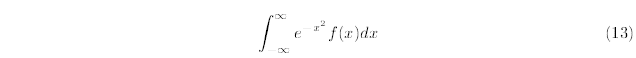
The integral in (12) must be computed numerically through the algorithm described in Butler and Moffitt (1982). Basically, the idea is that the function is of the form:

which is amenable to Gauss-Hermite quadrature for computation. The resulting coefficients are the random effect Interval Regression estimators.
It can be argued that decentralization is endogeneous. To correct for this issue, we implement a 2sls methodology where the size of the country (measured as the total area in squared kilometers) and the total population, as proposed by Panizza (1999), are used as instruments. We have chosen these instruments because it is well accepted in the literature that decentralization is correlated with the size of the countries, and both variables indeed reflect the size of the country. We do not correct for the possible endogeneity of the electoral system because it does not change over time in our sample, and can hence be considered as pre-determined. The econometric estimation should therefore be unbiased.
5 Empirical Results
We start by presenting the results obtained with the electoral rule, then with decentralization. As stated in the first section, the between countries variation is much stronger than the within country variation. Two regression techniques are therefore plausible. The first is the between group estimation that constrains the sample size. We do not use this technique because of the number of degrees of freedom constraint. The second is the use of an Error Component specification with regional fixed effects. This approach is appropriate if individual effects are uncorrelated with the other regressors. It is possible to test for this with a Hausman specification test. Before running the estimations, we will apply this test and check whether the technique is appropriate. We will show that this is the case. Regional fixed effects are controlled for through dummy variables identifying whether the region is Eastern Asia and Pacific, Eastern Europe and central Asia, Middle East and North Africa, Southern Asia, Western Europe and Northern America, Sub Sahara Africa or Latin America. In addition to regional fixed effects, we also control for the legal origin, if the country is an exporter of non-oil primary goods, the degree of ethno-linguistic fractionalization and for per-capita GDP.
Table 4 reports the results of the Hausman test associated with the appropriateness of the error-component specification. For all the samples, the test statistics are lower than the critical value of the Xu and Xi4 statistics at a level of 5% (that is, 23.68 and 25.00 respectively). The hypothesis that the individual effects are uncorrelated with the other regressors in the model cannot be rejected.
5.1 Regression Results
Table 5 reports the results of the regression of racial tensions on the decentralization variable, the electoral rule variables and the control variables. We first consider some linear approximations of the two samples and then the Interval Regression estimation. Regional and time dummies are included but omitted from the table.
The main results are as follows. First, and as expected, Ethno-Linguistic fractionalization is positively correlated with racial tensions in all regressions. A second interesting finding is that in the narrow sample, proportional representations are associated with lower levels of tensions than majoritarian systems. This could be taken as some evidence that minorities are less well represented in majoritarian systems when the country is sufficiently democratic. A third result is that in majority systems, decentralization reduces ethnic tensions. This could be explained by the fact that when minorities have the opportunity to decide on what to target spending, they will be less dissatisfied. This effect is much smaller in proportional systems since minorities have already had the opportunity to express their preferences through their representation in parliament. This result holds both for the linear approximation estimation and for the interval regression and in all the samples considered. Nevertheless, it can be argued that decentralization is not exogenous with respect to racial tensions and estimations could be biased. To correct for this, in the next section, we apply a two-stage estimation technique.
5.2 Endogeneity Correction
To consider the possibility of an endogeneity problem, we apply a two-stages estimation. The instruments chosen are the log of total population (in thousands) and the log of the size of the country (in squared kilometers). The choice of these instruments is not random. Panizza (1999) shows that there is a significant relationship between the size of the country (which can be measured either by the area in squared kilometers or by the total population) and decentralization. In addition he shows that by taking the logarithm of these variables, the fit of the regression improves given the non-linear relationship between the size of the country and decentralization.
Controlling for the possible endogeneity of our variable, it appears that the results still hold and become even more interesting. The fact that decentralization helps to reduce racial tensions in majoritarian systems is confirmed. In mixed systems and in proportional representations, this effect, though not absent, is much less important. In presidential regimes, the effect of decentralization seems to be less important in the ethnic conflict reduction strategy than in parliamentary regimes. However, this result depends strongly on the methodology used. It can also be seen that the OLS estimator was biased upwards and now proportional representations and mixed systems are associated, as predicted, with a negative and significative coefficient. This seems to support the idea that proportional representations tend to reduce ethnic tensions. Presidentialism also seems to be negatively correlated with racial tensions (but this result does not hold for the linear approximation with groupwise heteroskedasticity).
As far as the size of the effect is concerned, we see that, all things being equal, with proportional representation with no decentralization and a majoritarian system with a level of decentralization of 30%, the effect on the political features on racial tensions should be similar. To give a practical example, we could say that if Canada and Norway were comparable (for example with the same ethnic composition), then they would also have a similar level of racial tensions. Indeed Canada is majoritarian and decentralized (at a level of 60%) while Norway is proportional and decentralized (at 33%). This result can easily be obtained with the coefficients associated with decentralization in both systems and the system dummy14.
6 Conclusion
In the ethnic conflict reduction strategy literature, no consensus has been reached about which electoral system is the most effective in reducing racial tensions. Several convincing arguments have been proposed for one system or the other. In this paper we rely on the "Political Economics" literature to identify the probable outcomes of each system. The predicted outcomes are as follows:
1. In Proportional Representations there should be less racial tensions than respectively in majoritarian systems and under presidentialism, since minorities are better represented in parliament.
2. In Presidential regimes there should be less racial tensions than in Parliamentary regimes if the separation of powers effect dominates the government expenditures targeting effect.
3. Decentralization of expenditures should reduce ethnic tensions more in Majoritarian systems and Parliamentary regimes than respectively under Proportional Representations or under Presidentialism because of the departing level described in point 1 and 2 here above.
We tested for the hypotheses using the best available data and the techniques we believe to be the most appropriate. Our results are interesting. Majoritarian systems seem to be robustly positively related to ethnic tensions while Proportional Representations seem particularly appropriate for reducing such tensions. As far as decentralization is concerned, it seems to be particularly efficient in majoritarian systems, but less in proportional representations. This is probably due to the fact that even without decentralization, racial tensions are low in proportional democracies. Regarding presidentialism, we find a robust evidence on its direct effect on racial tensions. We also find that decentralization is more efficient under parliamentarism than under presidentialism for reducing racial tensions.
With this paper we do not have the wish to deduce any strong policy implications. It might be a good starting point for better understanding which system is most suited for ethnically divided societies. It could also be considered as an additional argument in favor of decentralization in majoritarian systems given that this political arrangement is much easier to achieve than a constitutional modification of the electoral rule.
What we hope we have also done, is to show that, even if it is well known that increasing democracy tends to increase demands for self-determination (Alesina, Perotti and Spolaore, 1996 or Panizza, 1999), electoral systems are an extremely good weapon to achieve a consensual "pluralistic" democratic society and not a conflictual "plural" one.
Our results could also mean that majoritarian systems are more prone to separatism than proportional representations because of the higher racial tensions. By decentralizing in majoritarian systems, this eventuality should become less likely. It could also mean that presidential systems are less prone to separatism than parliamentary ones.
Notas
*I especially wish to thank professors Gérard Roland, Francoise Thys-Clément, Marjorie Gassner, Michele Cincera and Thierry Verdier for their comments and their support for this paper. I would also thank all my collegues at ECARES that helped me to do this work and in particular Abdul Nury and Natalie Chen for their useful suggestions. Of course any remaining mistakes should only be attributed to the author.
†ECARES, Universitè Libre de Bruxelles-CP 139- av. F.D. Roosevelt, 1050, Brussels, Belgium.
‡Universidad Mayor de San Simón, Casilla 559-Edificio Decanato 2do piso, Facultad de Ciencias Económicas, Cochabamba, Bolivia.
1Caused by increased immigration mainly from former colonies.
2This means that there is an independence between the executive and the legislative. A typical example of this are the United States where the relative powers of the President and of the Congress are clearly separate. In addition both powers can check and sanction the behaviour of the other.
3Note that with a totally different model, Persson and Tabellini (1999) get similar results.
4Note that N indicates the total number of observations. This test of comparison of means is performed on the entire set of data. If we make a similar test on the country's average tension indicator, the results remain similar. It is important to notice that to reject the null hypothesis of equality of means, the t-statistic calculated and presented in the last line should be higher of the critical value of the t distribution, that, at a level of significance of 5% is 1.96 (when the degrees of freedom are high).
5That is, countries with a level of democracy larger or equal to 8 out of 10.
6This result is interesting given that it suggests that when democracy is low, since there is no clear separation of powers between the executive and the legislative, presidentialism is not well suited to reduce ethnic tensions. It is less effective than parliamentarism since in the latter a respect of preference of minorities is guaranteed through the representation of ethnic parties in the parliament. Once democracy and the separation of powers are reached, the two regimes become equivalent.
7Note that for some countries it is an average over the years where democracy was sufficiently high.
8The index is bounded between 0 (no democracy at all) and 10 (total democracy).
9And Mixed systems.
10Feasible Generalized Least Squares Dummy Variable.
11Note that
is the true unobservable value of the dependent variable.
12The link to our general specification is trivial.
13(where Φ(.) is a commonly used notation for the cumulative density function of the standard normal distribution).
14Note that we have considered the linear approximation for the sake of simplicity. To be more precise it might have been better to use marginal effects which is much more complicated and brings similar results in our case.
References
[1] Alesina, A., Perotti, R. and Spolaore, E. (1996). "Together or Separately? Assessing the Cost and Benefits of Political and Fiscal Unions". European Economic Review, 39, pp. 751-758.
[2] Beck, T. Clarck, G. Groff, A. Keefer, P. and Walsh, P. (1999). "New Tools and New Tests in Comparative Political Economy: The Database of Political Institutions", mimeo, The World Bank.
[3] Besley, T and Coate, S. (1999). "Centralized versus Decentralized Provision of Local Public Goods: A Political Economy Analysis," NBER Working Papers 7084-
[4] Bose, S. (1995). "State Crisis and Nationalities Conflict in Sri Lanka and Yugoslavia", Comparative Political Studies, 28,1, pp.87-116.
[5] Buttler, J. and Moffitt, R. (1982). "A Computationnally Efficient Quadrature Procedure for the One Factor Multinomial Probit Model", Econometrica, 50, pp.761-764.
[6] Chari, V., Jones, L. and Marimon, R. (1997), "On the Economics of Split-Ticket Voting in Representative Democracies". American Economic Review 87, pp.957-976.
[7] Cohen, S. (1997). "Proportional Versus Majoritarian Ethnic Conflict Management in Democracies". Comparative Political Studies, 30,5, pp.607-630.
[8] Crawford, B and Lijphart, A. (1995). "Explaining Political and Economic Change in Post-Communist Eastern Europe: Old Legacies, New Institutions, Hegemonic Norms, and International Pressures", Comparative Political Studies, 28,2, pp.171-199
[9] de Silva, M. (1998). Electoral Systems, In: Young(Ed.), 1998, pp.72-109.
[10] Diamond, L. and Plattner, F. (1994). "Nationalism, Ethnic Conflict, and Democracy", Baltimore:John Hopkins University Press.
[11] Diermeier D. and Feddersen, T. (1998). "Cohesion in Legislatures and Vote of Confidence Procedure". American Political Science Review 92, pp. 611-621.
[12] Grofman B. and and R. Stockwell (2000)."Institutional Design in Plural Societies: Mitigating Ethnic Conflict and Fostering State Democracy", mimeo, School of Social Sciences, University of California, Irvine.
[13] Harris, P. and Reilly, B. (1998). "Democracy and Deep-Rooted Conflict: Options for Negotiators", International Institute for Democracy and Electoral Assistance. Stockholm, Sweden.
[14] Jaggers, K and Gurr, T (1995). "Tracking Democracy's Third Wave with the Polity III Data", Journal of Peace Research 32, pp. 469-482.
[15] Ishiyama, J. (2000). "Institutions and Ethnopolitical Conflict in Post-Communist Politics". Nationalism and Ethnic Politics 6, pp. 51-67.
[16] Lijphart, A. (1977). "Democracy in Plural Societies". New Haven, CT: University of California Press.
[17] Lijphart, A. (1985). "The field of Electoral Systems Research: A critical Survey", Electoral Studies, 4,1, pp.3-14.
[18] Lijphart, A. (1992). "Parliamentary Versus Presidential Government". Oxford University Press
[19] Lijphart, A. (1994). "Electoral Systems and Party Systems: A study of Twenty-Seven Democracies 1945-1990". Oxford University Press.
[20] Oates, W. (1972). Fiscal Federalism, Harcourt Brace Jovanovich, New York.
[21] Oates, W.E.(1985). "Searching for Leviathan: An Empirical Study". American Economic Review 75, 4, pp.748-757.
[22] Oates, W. E. (1999). "An Essay on Fiscal Federalism", Journal of Economic Literature, 37, 3, pp. 1120-1149
[23] Milesi-Ferretti, G-MA. Perotti, R. Rostagno, MA. (2001). "Electoral Systems and the Composition of Public Spending", mimeo, Columbia University.
[24] Panizza, U. (1999). "On the Determinants of Fiscal Centralization: Theory and Evidence", Journal of Public Economics, 74, pp.97-139.
[25] Persson, T. and Tabellini, G. (1999). "The Size and Scope of Government: Comparative Politics with Rational Politicians", European Economic Review 43, pp. 699-735.
[26] Persson, T. Tabellini, G. (2000a) "Political Institutions and Policy Outcomes: What are the stylized Facts?", mimeo, Bocconi University.
[27] Persson, T. Tabellini, G. (2000b) "Political Economics: Explaining Economic Policy". The MIT Press.
[28] Pryor, F. (1968). Public Expenditure in Communist and Capitalist Nations, George Allen and Unwin, London
[29] Shugart, M. and Carey, J. (1992). "Presidents and Assemblies", Cambridge University Press.
[30] Young, C. 1998 (Ed.). "Ethnic Diversity and Public Policy: A Comparative Inquiry", UNRISD, MacMillan Press.




















