Cuadernos Hospital de Clínicas
versión impresa ISSN 1562-6776
Cuad. - Hosp. Clín. vol.54 no.2 La Paz 2009
CASO CLÍNICO
Lactancia materna exclusiva y extracción manual de leche materna: a propósito de un caso exitoso
Exclusive breastfeeding and manual extraction of maternal milk: a success case
Eunice Zárate de Calderón
Carrera de Nutrición y Dietética, Facultad de Medicina, Universidad Mayor de San Andrés, La Paz, Bolivia.
Correspondencia: maria.zarate@umsalud.edu.bo
Cómo citar este artículo: Zárate de Calderón E. Lactancia materna exclusiva y extracción manual de leche materna: a propósito de un caso. Cuad Hosp Clín. 2009;54:118-121
PALABRAS CLAVE. Extracción manual, Lactancia materna, Leche materna, Lactancia Materna Exclusiva, Evaluación Nutricional.
KEYWORDS. Manual extraction, maternal lactation, maternal milk, exclusive breastfeeding, nutritional evaluation.
INTRODUCCIÓN
La lactancia materna es una práctica natural fundamental para el sano crecimiento y desarrollo del niño.
La producción de leche materna (LM) se inicia después del parto y la cantidad producida, dependerá en primera instancia de la succión del niño y la frecuencia en que es amamantado. La succión estimula las terminaciones nerviosas del pezón que mandan un mensaje al cerebro para que la prolactina produzca leche y para que la oxitocina permita la salida de la leche. Los estímulos paratípicos que proporciona para el crecimiento del sistema estomatognático con la succión y la deglución ejercen un movimiento complejo de la cara, los labios y la lengua, que constituyen la preparación para el lenguaje, evitan la deformación de la dentadura y previenen la caries dental.1
La demanda del niño es el principal regulador de la cantidad producida de LM. El vaciamiento continuo aumenta la actividad secretora de la glándula mamaria desencadenando un círculo de constante producción.
La lactancia materna tiene que ser exclusiva para que la madre y el niño puedan aprovechar de todas sus ventajas. Lactancia materna exclusiva (LME) quiere decir que el bebé desde el nacimiento hasta los seis meses, es alimentado únicamente con leche materna sin horario fijo a una frecuencia elevada, a libre demanda, cada vez que lo desee. De esta forma se asegura la producción adecuada de leche que incidirá en el crecimiento y desarrollo óptimos.
La madre que trabaja se enfrenta a la situación de regresar al trabajo y decidir si continuar con la lactancia exclusiva o iniciar la fórmula de leche maternizada, que en muchos casos es aconsejada como única alternativa por el profesional de salud. Entre los problemas que se producen con la lactancia mixta o el abandono de la lactancia materna exclusiva (LME), se encuentran las infecciones recurrentes por falta de higiene en la preparación y manipulación de biberones,2 el deterioro del estado nutricional debido a la dilución inapropiada de la leche, por evitar un mayor gasto económico y la falta de motivación para amamantar debida a la carencia de información y promoción de la lactancia materna como primera alternativa, con información y capacitación específica para la extracción de LM.
La extracción manual de leche materna se recomienda en caso de niños a término de muy bajo peso, niños prematuros, cuando la madre está hospitalizada, cuando no puede amamantar inmediatamente, cuando debe separarse periódicamente del niño por causa del trabajo, para prevenir o manejarla congestión mamaria o para aliviar el goteo.
La extracción manual requiere de voluntad, motivación, paciencia y constancia de la madre para realizar este trabajo, acompañadas de normas elementales de higiene, así como del apoyo del esposo y/o de la familia.
La vigilancia periódica del incremento de peso para la edad del lactante permite evaluar si la cantidad de leche materna ingerida es adecuada. La ganancia de peso debe ser suficiente y su tendencia ascendente.
Muchas mujeres piensan que no pueden producir suficiente cantidad de leche para alimentar a sus bebés, sin embargo la efectividad de la fisiología de la lactancia y la importancia de la succión, han sido observadas en mujeres nodrizas que amamantan por largos periodos puesto que la cantidad de leche producida se relaciona con el estímulo de la succión.2 La succión insuficiente, la ansiedad o la duda pueden interferir en la producción de suficiente prolactina y en el reflejo de expulsión de leche.
PRESENTACIÓN DEL CASO
Se realizó un estudio de caso en una mujer casada, universitaria de 28 años, peso 60 Kg, talla 1,57 m, que alimentó a su niña con Lactancia Materna Exclusiva (LME) hasta los 6 meses. La madre, inició la lactancia con una reserva de 10 Kg de peso, con un Estado Nutricional normal (IMC 24,3).
Mediante el análisis del Recordatorio de 24 horas y del consumo habitual, se observó que consumía 6 comidas al día, con un valor calórico total (VCT) de 1.468 Kcal (64%), Proteínas 77 g (112%), 38% de alto valor biológico (AVB). La ingesta de nutrientes presentó los siguientes niveles de adecuación: vitamina A 110%, vitamina C 167%, calcio 90%, hierro 115% con un aporte de 25% de Hierro HEM; eventualmente el porcentaje de adecuación se incrementaba a 195% los días en que tomaba sulfato ferroso. Consumía un litro de agua por día.
La madre empezó a adquirir información sobre lactancia materna y técnicas de extracción manual de leche durante sus estudios. Su interés y motivación personal contribuyeron a la decisión de proporcionar LME y extraerse leche.
Durante el amamantamiento no se observaron problemas en la técnica, tanto la posición de la madre, como el agarre y succión de la niña eran adecuados.
En el segundo mes la madre requiere dejar a la niña aproximadamente por dos horas al día, tres veces a la semana y decide extraerse leche materna logrando una extracción manual de 100 a 160 ml por extracción, que en ocasiones llegó a 200 ml. El tiempo de extracción fue de 10 a 20 minutos.
Durante su ausencia, tuvo el apoyo familiar para el cuidado de la niña y el suministro de la leche materna extraída.
Durante el amamantamiento, la madre fue muy cuidadosa en mantener el amamantamiento frecuente (12 veces/día) cada dos horas durante el día y la noche, hasta los tres meses, después de los cuales la niña fue espaciando voluntariamente las tomas de la noche cada 4 horas (total 10 veces/día) manteniendo así buenos niveles de producción de leche.
El procedimiento de extracción fue el siguiente: primero amamantaba a la niña de ambos senos iniciando la extracción en el segundo seno; luego de masajear el primer seno, continuaba la extracción con él, recolectando leche de ambos pechos en un frasco de vidrio.
A los seis meses, la madre inició la alimentación complementaria (AC) a la niña y continuó la extracción de leche materna cada vez que lo necesitaba, logrando volúmenes entre 100 y 120 ml. A once meses continuó la extracción de 50 ml cuando lo requería, a doce meses de 35 ml por extracción.
La niña nació de 40 semanas de gestación en una clínica privada. El acercamiento al seno materno fue a 50 minutos del nacimiento, la madre le dio el calostro, inició el amamantamiento a libre demanda, llegando a 12 tiempos de lactancia, 8 durante el día y 4 durante la noche el primer trimestre, y 10 tiempos de lactancia a partir de los tres meses, 8 en el día y 2 en la noche. No le dio ningún otro líquido o alimento durante los primeros 6 meses.
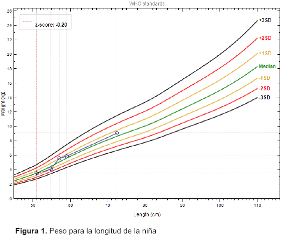
La niña tuvo un crecimiento normal durante la LME, reflejado en los indicadores de P/E (z = 0.08), L/E (z = 0.00) y P/T (z = 0.09) que se mantienen cerca de la mediana como se observa en las figuras 1, 2 y 3. (Tablas 1 y 2). Los datos fueron obtenidos del Carnet de Salud Infantil, cuyos controles se realizaron en el Centro de Salud. La niña no enfermó ni una sola vez durante este periodo.





DISCUSION
Según se observa en este caso, la madre presentó un estado nutricional normal al inicio y durante seis meses de lactancia materna exclusiva.
En Bolivia, la recomendación de energía para mujeres que dan de lactar es de 2.300 Kcal, la paciente alcanzó un 64% de ella, Dewey y Mc. Cory3 no recomiendan que se restrinja el consumo calórico a menos de 1.800 Kcal; en este caso el VCT ingerido por la madre, es inferior a ambos parámetros; hecho que permitió la utilización eficiente de las reservas de energía acumuladas para la lactancia, pues ella recuperó su peso habitual en aproximadamente 10 meses de amamantamiento, calculándose una pérdida de 233,3 gramos por semana, comparado a 500 g/semana que refiere Dusdieker.4 Las mujeres que amamantan en forma exclusiva, pierden grasa corporal sin necesidad de reducir el consumo calórico.5
El nivel de ingesta de proteínas, vitamina A y C, calcio y hierro, se encuentra adecuado a las recomendaciones. En el caso de la proteína, 68% es de AVB, por lo cual se puede asumir una digestibilidad proteínica de 90%. Se supone una eficiencia de la proteína del 70% en la conversión a proteína láctea.6
En el caso del Hierro (25% HEM), la dieta asegura una biodisponibilidad intermedia, dado que contiene algunos alimentos de origen animal y fuentes de ácido ascórbico.7 La suplementación ocasional con sulfato ferroso contribuye a elevar la biodisponibilidad.
La cantidad de agua ingerida guarda cierta relación con las calorías ingeridas 1 ml/Kcal8 pero el adicional de 496 ml, es inferior a la cantidad recomendada durante la lactancia (2 l/día).
Se observa que la información que recibió la madre en el tema fue determinante para la decisión de dar de lactar y la constancia en la práctica y la extracción. Gamboa et al, refieren que las razones que motivan la práctica de LM en un 76,0% están referidas a información recibida sobre los beneficios y técnicas,9 lo cual propicia la confianza y seguridad de las mujeres para amamantar a sus hijos y está asociado con la iniciación temprana de la LM y su duración y la iniciación tardía de fórmulas lácteas.
La extracción manual constituye una alternativa importante para el mantenimiento de la lactancia exclusiva, cuyo método no es conocido por las madres; un estudio refiere que 42,7% de las madres chilenas no lo conocían.9
La cantidad de leche extraída en una toma, permite asumir una producción láctea mayor a 850 ml/día que cubre las necesidades nutricionales del lactante.
El espaciamiento natural de las tomas nocturnas, podría estar favorecido por la máxima concentración nocturna de los nucleótidos adenosina, guanosina y uridina en la leche materna, que excitan o relajan el sistema nervioso central, promoviendo el reposo o el sueño.10
La extracción manual, estimula el mecanismo homeostático que gobierna la salida de la leche: estimulación endócrina (prolactina-oxitocina) y el grado de vaciamiento del seno.11 El masaje realizado por la madre estimula las células secretoras y las células musculares facilitando la producción y la contracción para la salida de leche.
Justamente debido al mecanismo de regulación del volumen de leche producida según la demanda del lactante,12 los volúmenes de leche extraída fueron disminuyendo gradualmente a partir de los seis meses, pues la niña empezó a ingerir alimentos complementarios que incrementaron su aporte energético nutricional, disminuyendo la frecuencia de lactancia.
La madre cumplió con las prácticas recomendadas a favor de la LME que dependían de ella, excepto el apego precoz cuando le trajeron a la niña a 50 minutos del nacimiento en la clínica privada.
El resultado observado en el estado nutricional de la niña alimentada con Lactancia Materna Exclusiva fue muy satisfactorio. El control mensual de los indicadores peso para la edad (P/E), peso para la talla (P/T) y longitud para la edad (L/E), según el Patrón de Referencia Internacional de Crecimiento Infantil de la OMS para lactantes, permite observar una curva de crecimiento adecuada en dichos índices, que son el reflejo de una práctica exitosa de lactancia materna exclusiva. Este hecho ratifica la importancia de mantener la LME y el enorme beneficio del apoyo de la extracción de leche materna dirigida a este propósito.
REFERENCIAS
1. Cujiño ML. Lactancia materna: factor protectivo de la dentición/Breast feeding: teething protective facts. En: Hacia la promoción de la salud; (en línea) 2004, Diciembre (21 de septiembre de 2009) (9):45-51. URL disponible en: http://bases.bireme.br/cgibin/wxislind.exe/iah/online/?IsisScript=iah/iah.xis&base=LILACS&lang=es&nextAction=lnk&exprSearch=lactancia&label=lactancia
2. Jellife D, Jeliffe P, Arango R, Labbok M, Delgado H, Gonzáles T. Últimos descubrimientos sobre la excepcionalidad de la Leche Materna. [Conferencia]. En: Guatemala: INCAP, Mayo 1991. [ Links ]
3. Dewey KG, Mc Cory MA. Effects of dieting and physical activity on pregnancy and lactation. Am J Clin Nutr. 1994;59(suppl):4468.
4. Dusdieker LB, Hemingway DL, Stumbo PJ. Is milk production impaired by dieting during lactation?. Am J Clin Nutr. 1994;59:833. [ Links ]
5. Dewey KG, Heinig MJ, Nommsen LA. Maternal weight-loss patterns during prolonged lactation. Am J Clin Nutr. 1993;58:162. [ Links ]
6. Fajen C. Nutrición durante el embarazo y la lactación. En: Mahan K, Escott-Stump S, editores. Nutrición y Dietoterapia de Krause. México: Mc. Graw-Hill; 2003. p. 181-212 [ Links ]
7. Torún B, Menchú MT, Elias LG. Recomendaciones Dietéticas Diarias del INCAP. Guatemala: Publicación INCAP ME/057; 1994. [ Links ]
8. Whitmire SJ. Agua, electrolitos y equilibrio ácido básico. En: Mahan K, Escott-Stump S, editores. Nutrición y Dietoterapia de Krause. México: Mc. Graw-Hill; 2003. p. 166-177. [ Links ]
9. Gamboa EM, López N, Prada GE, Gallo KY. Conocimientos Actitudes y Prácticas relacionadas con Lactancia Materna en mujeres en edad fértil en una población vulnerable. Rev chil nutr. 2008;35(1):43-52 [ Links ]
10. Sánchez CL, Cubero J, Sánchez J, Chanclón B, Rivero M, Rodríguez AB, Barriga C. The possible role of human milk nucleotides as sleep inducers. Nutr Neurosci. 2009;12(1):2-8. [ Links ]
11. Hopkinson J, Heird W. Maternal response to two electric breast pumps. Breastfeed Med. 2009; 4(1 ):17-23. [ Links ]
12. Akre J, editor. Alimentación Infantil bases fisiológicas. Guatemala: INCAP; 1992. p. 77-93.











uBio 

