SciELO - Scientific Electronic Library Online

 
vol.40 número40Aproximación geométrica del polo norte galáctico mediante estrellas del disco galácticoDinámica de circuitos de Chua con bobinas no ideales e histéresis índice de autoresíndice de materiabúsqueda de artículos
Home Pagelista alfabética de revistas  

Servicios Personalizados

Revista

Articulo

Indicadores

Links relacionados

  • No hay articulos similaresSimilares en SciELO

Compartir


Revista Boliviana de Física

versión On-line ISSN 1562-3823

Revista Boliviana de Física vol.40 no.40 La Paz nov. 2022

 

A.ARTÍCULOS

 

Metodo numérico disipativo para el problema
electrostático de un sistema bidimensional
de dieléctricos y conductores

 

Numerical dissipative method for the electrostatic
problem of a two-dimensional system of dielectrics
and conductors

 

 

Deterlino Urzagasti
Planetario Max Schreier, Universidad Mayor de San Andres Calle
Federico Zuazo No. 1976, Casilla de Correos 3164

La Paz - Bolivia durzagasti@fcpn.edu.bo
Recibido: 08 de mayo de 2022     aceptado: 05 de octubre de 2022

 

 


Resumen

Se implementa un metodo numérico para la resolución de la ecuación de onda amortiguada para el potencial electrodinamico en las regiones con ausencia de cargas y corrientes libres. La amortiguacion se da por la introducción artificial en la ecuación de onda de un término disipativo proporcional a la tasa de cambio de dicho potencial. Esto con el fin de poder obtener el potencial y campo electrico de un sistema electrostático bidimensional de conductores y dielectricos con disposiciones espaciales arbitrarias una vez que el sistema ha alcanzado el estado de equilibrio. Como aplicacion inmediata se calcula la capacidad por unidad de longitud del sistema a partir de la energía en el campo electrico obtenido. En particular, se aplica el metodo para valores típicos de la constante dieléctrica de columnas de hormigón armado.

Descriptores: Metodos numéricos — Propagación de ondas electromagnéticas — Ensayos no destructivos: ensayos electromagneticos.


Codigo(s) PACS: 02.60.-x — 94.30.Tz — 81.70.Ex


Abstract

A numerical method is implemented for solving the damped wave equation for the electro-dynamic potential in regions with no charges and no free currents. The damping is obtained by the artificial introduction of a dissipative term, proportional to the rate of change of the potential, in the wave equation. This is carried out in order to obtain the potential and electric field of a two-dimensional electrostatic system of conductors and dielectrics with arbitrary spatial arrangements once the system has reached equilibrium. As an immediate applica-tion, the capacity per unit length of the system is calculated from the obtained electrostatic energy. In particular, the method is applied for typical values of the dielectric constant of reinforced concrete columns.

Subject headings: Numerical methods — Electromagnetic wave propagation — Nondestruc-tive testing: electromagnetic testing.


 

 

1. Introducción

Desde la aparicion de las computadoras accesibles a los investigadores como herramientas utiles al lado de los calculos realizados con lápiz y papel, se han desarrollado diversos metodos numéricos para la resolucion de ecuaciones diferenciales ordinarias y en derivadas parciales en distintas areas de la física. En particular, ha sido de gran interes el desarrollo de tecnicas aplicadas a los problemas electrostáticos que no son resolubles analíticamente, aquellos que involucran sistemas complejos de cargas, conductores y dielectricos.

Así por ejemplo, el metodo de los momentos seha aplicado al calculo de distribuciones de carga y matrices de capacitancia para sistemas de alambres cilindricos rodeados de dielectricos (Clements et al. 1975). Varios anos después se ha presentado un algoritmo de FFT (Fast Fourier Transform) precorregido que reduce el tiempo de CPU requerido para calcular capacitancias de acoplamiento de estructuras tridimensionales complejas (Phillips & White 1997). Pocos anos después, la computación jerárquica de capacitancias de interconexion en tres dimensiones (3D) se ha realizado usando metodos de elementos de contornos (Gu et al. 2000), y tambien se ha aplicado el metodo de cargas de contorno en 3D para el cálculo de alta precision del potencial y del campo eléctricos en sistemas dielectricos compuestos (Murata et al. 2001).

Posteriormente, otras tecnicas importantes han sido desarrolladas, a saber: Tecnicas eficientes para resolver los problemas electrostaticos de multica-pas y con singularidad en contornos degenerados (Sumant & Cangellaris 2007; Chyuan et al. 2004) y para problemas electrostaticos de frontera abierta (Aiello et al. 2006). Tecnicas para considerar el campo electrico anormal en bordes en forma de cunas de conductores (electrodos) o en una inter-faz dielectrica, campo que puede llegar a ser considerablemente alto (Kawamoto & Takuma 2007). Asimismo, se han resuelto problemas de campo electrostatico en dos dimensiones para sistemas de multiples conductores (Safonova & Vynogradova 2011), y se han investigado diferentes tecnicas de e-lementos finitos extendidos en dos dimensiones para resolver el problema electrostatico cuando el dominio electrostatico está limitado por materiales conductores (Rochus et al. 2011). Tambien, es de destacar un metodo iterativo simple para resolver la ecuación de Laplace en dos dimensiones espaciales manteniendo las condiciones de contorno fijas (Hayt & Buck 2006).

Recientemente, el metodo de Galerkin discontinuo se ha usado para resolver problemas con conductores inmersos en dielectricos (Chen et al. 2020, Chen et al. 2021). Tambien, el método numérico de aproximación spline no polinomial se ha utilizado para resolver problemas con condiciones de Neumann de segundo orden en electrostatica (Sener 2021).

En particular, estos metodos numéricos tienen una aplicacion inmediata en el campo de los ensayos no destructivos sobre estructuras de concreto y varas metalicas (hormigones armados) (International Atomic Energy Agency 2002; Malhotra & Carino 2004), donde bajo la aplicacion de campos electricos externos, pueden conocerse ciertas caracterısticas del sistema en cuanto a la distribución de los conductores (las varas) dentro del dielectrico (el concreto) sin afectarlo.

En el presente trabajo se plantea un metodo de resolucion dinámico en el que artificialmente se introduce un termino disipativo en la ecuación de onda del potencial electrico, el cual hace que la solucion espacio-temporal decaiga a la del estado estacionario, o bien, al caso electrostatico. Para ello se considera una red uniforme en dos dimensiones espaciales sobre la cual se aplica el metodo de diferencias finitas, y para la evolucion de cada nodo de esta red se usa el metodo de Runge-Kutta de quinto orden con monitoreo del error de truncacion, lo que permite controlar la precision de los resultados obtenidos desde el inicio de la integracion.

 

2. Marco Teórico

Se considera un sistema de dielectricos y conductores con cierta regularidad en sus formas y configuraciones, de manera que siempre se pueda considerar que existe una simetrıa bidimensional perpen-dicularmente a algun eje del espacio.

Para fijar ideas, nos concentramos en el estudio de un problema especıfico consistente de una columna dielectrica rectangular (que puede ser una columna de concreto) sostenida desde su interior por conductores cilindricos delgados (que podrían ser las barras de acero de soporte), ubicadas arbitrariamente pero de manera paralela a la columna. Adicional-mente, consideramos una o dos placas conductoras que pueden ser apoyadas en dos caras opuestas de la columna con fines de medir la capacidad del sistema en el estado de equilibrio (estado electrostatico). El esquema de una seccion de este sistema se muestra en la Figura 1.

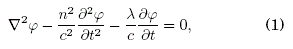
Como modelo para el potencial electrodinamico Φ consideramos la ecuacion de onda en las regiones libres de carga y con la presencia de un termino disi-pativo de coeficiente λ > 0:

donde es el índice de refraccion del medio, c la velocidad de la luz en el vacío y ∇2 = ∂2x+∂2y para el problema bidimensional planteado. La disipacion introducida hará que el sistema alcance el estado electrostatico deseado luego de transcurrido un tiempo de relajacion dado, t. Una vez alcanzado el estado de equilibrio electrostatico, se obtiene el campo electrico de

E= ∇Φ (2)

y con el mismo, la energıa electrostática en el volumen de interes:

donde la integral se extiende a todo el volumen del dielectrico.

 

3. Método de resolución numérica y su aplicación

Para la resolucion de la Ec. (1) adoptamos un metodo numérico consistente en la resolución de la parte espacial con diferencias finitas de sexto orden (Fornberg 1988) tanto para las primeras como para las segundas derivadas y con condiciones de Neumann en los bordes de la caja de integracion mostrada en la Fig. 1. En los conductores se toma el potencial con valores constantes y cerca de los conductores, donde el sexto orden de las diferencias finitas no se aplica, usamos en diferencias finitas el segundo orden "forward" o "backward" segun sea el caso para el punto mas cercano, las diferencias finitas centrales de segundo y cuarto orden para los subsiguientes puntos alejandose del conductor, y luego se retoman las diferencias finitas de sexto orden para los demas puntos.

Para la resolucion en el tiempo se usa el método de Runge-Kutta de quinto orden con un algoritmo complementario de paso variable y monitoreo del error de truncacion desarrollado en la Universidad de Cambridge en el Reino Unido (Press et al. 1992). Este algoritmo asegura la resolucion de nuestro problema con una precision de una parte en diez millones al final de cada paso de integracion temporal, haciendo ademas factible el aumento en la resolución espacial con un aumento en el numero de puntos de la red sin un significativo aumento en el tiempo com-putacional.

Definiendo el nuevo tiempo como T = ct y el potencial adimensional como v = Φ/V, las ecuaciones de primer orden a resolver son

Como primeros ejemplos, aplicamos el modelo a tres casos sencillos con λ = 0.7, ε/ε0 = 1.5 y un a-rreglo espacial de 200 x 200 puntos. El primero, caso (a), el caso simple de dos placas apoyadas sobre dos caras enfrentadas de la columna rectangular. En este caso, luego de que el sistema alcanza el equilibrio, se tiene un muy buen acuerdo con el valor esperado teoricamente para la capacidad por unidad de longitud despreciando los efectos de borde, como veremos en la siguiente Seccion. Los resultados correspondientes se muestran en la primera fila de la Fig. 2.Como segundo caso, (b), agregamos al caso anterior una barra conductora cilindrica entre las placas y conectada a tierra. En este caso la integracion demora cerca de una hora hasta que el sistema llega al equilibrio. Los resultados en el equilibrio se muestran en la segunda fila de la Fig. 2.

Finalmente, como tercer caso, (c), consideramos solo una placa y una barra cilindrica conectada a tierra, cuya integracion demora alrededor de cuatro horas hasta alcanzar el estado de equilibrio y cuyos resultados en este estado se grafican en la tercera fila de la Fig. 2.

 

4. Cálculo numérico de la capacidad eléctrica para una columna de dieléctrico

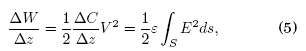
Consideremos una columna de dielectrico con seccion rectangular de lados b y d. Supongamos que en las caras separadas por la distancia d se colocan dos placas conductoras a potenciales +V y -V, respectivamente, y de ancho fb ≤ b (vease la Fig. 1). Para este sistema, la energía electrostatica por unidad de longitud vertical de la columna es

donde AC/Az es la capacidad por unidad de longitud vertical de la columna y S su seccion transversal. Ahora bien, se adopta como magnitud a determinar numericamente la capacidad por unidad de longitud de columna y por unidad de permitividad electrica dada por

En particular, sabiendo que para un sistema de placas planas y paralelas cuando se desprecian los efectos de borde la diferencia de potencial es AV = 2V = E d, tenemos que para dicho sistema AC/Aze = 4fb/d, valor que es usado solo como re-ferencial al compararse con los resultados numericos para sistemas donde en general los efectos de borde de las placas no son despreciables.

A fin de poner a prueba el metodo numérico, realizamos cuatro simulaciones para b = d = 20 yf = 1 en una caja de lado 40 y variando el valor de la permitividad electrica. Los resultados se muestran en la Tabla 1. De acuerdo a estos, las simulaciones nos reportan por un lado, una independencia de la capacidad por unidad de longitud de columna y por unidad de permitividad electrica con respecto a variaciones de esta permitividad, y por otro, resultados un poco mayores al esperado teoricamente según el último miembro de la Ec. (6). Esto ultimo es debido al aumento de la intensidad del campo electrico en las regiones cercanas a los bordes de las placas, lo cual no ha sido contemplado en el modelo teorico.

 

5. Aplicación a columnas de concreto

Aplicamos el metodo de resolución numérica bidi-mensional a ocho casos de interes, siendo los primeros cuatro para el caso de placas grandes, mostrados en la Fig. 3, y los siguientes cuatro para el caso de placas pequenas, mostrados en la Fig. 4. Los paneles (a) en estas Figuras corresponden al caso en el que no hay conductores dentro del concreto; los paneles (b) al caso en el que hay cuatro barras conductoras cilındricas colocadas simétricamente; los paneles (c) al caso en el que se perturban las posiciones de las barras en los casos (b); y finalmente, los paneles (d) corresponden al caso en el que se tiene un estribo conductor con forma cuadrada. Los parametros de la integración son los mismos que en los casos de la Fig. 2, excepto en la permitivi-dad del dielectrico, que para el caso del concreto se adopta el valor típico e/e0 = 10. Los correspondientes valores obtenidos para la capacidad por unidad de longitud de columna y por unidad de permitividad electrica dada por el miembro derecho de la Ecuación (6) se dan en la Tabla 2 para ambos casos de placas grandes y pequenas, respectivamente.

 

6. Sumario y conclusiones

Usando tecnicas numéricas de diferencias finitas y el metodo de Runge-Kutta con monitoreo del error de truncacion se han podido hallar las soluciones precisas para el potencial electrostatico y el campo electrico de un sistema bidimensional de dieléctricos y conductores con distribucion arbitraria. El método consiste en adicionar un termino disipativo en la ecuacion de onda del potencial de manera que el sistema alcance el estado estacionario luego de un dado tiempo de relajacion, que en la práctica, depende de la complejidad de la distribucion de los componentes del sistema físico. La comparacion de los resultados numericos con el resultado teórico de un capacitor de placas plano paralelas cuando se desprecian los efectos de borde es satisfactorio. El aplicar el metodo para distintos medios, se encuentra que la capacidad por unidad de longitud transversal al plano del sistema es con una muy buena aproximacion lineal con el valor de la constante dielectrica del medio.

Finalmente, el problema planteado esta dirigido a la realizacion de ensayos no destructivos en columnas de hormigon armado tales que los resultados de sus mediciones puedan ser analizados y comparados con los de las realizadas en laboratorio y con los de las simulaciones numericas. Esta última tarea ha sido desarrollada y descrita en este reporte. Una siguiente etapa consistirıa en la comparación de los resultados de las simulaciones con los experimentales en laboratorio y su correspondiente sistematizacion, previa a la aplicación del conjunto en el trabajo de campo y de forma rutinaria.

 

Agradecimientos

Agradezco al Dr. Eduardo Palenque, responsable del proyecto de Servicios del Laboratorio de Materia Condensada de la Carrera de Fısica, Universidad Mayor de San Andres, por haberme incluido en dicho proyecto, gracias a lo cual he podido desarrollar el presente trabajo.

Conflicto de intereses El autor declara que no hay conflicto de intereses con respecto a la publicacion de éste documento.

 

Referencias

(Aiello et al. 2006)

Aiello G., Alfonzetti S., Dilettoso E. & Salerno N. 2006, IEEE Transactions on Magnetics, 42, 579        [ Links ]

(Chen et al. 2020)

Chen L., Dong M. & Bagci H. 2020, IEEE Access, 8, 7531        [ Links ]

(Chen et al. 2020)

Chen L., Dong M., Li P. & Bagci H. 2021, International Journal of Numerical Modelling: Electronic Networks, Devices and Fields, 34        [ Links ]

(Chyuan et al. 2004)

Chyuan S.-W., Liao Y.-S. & Chen J.-T. 2004, Semiconductor Science and Technology, 19        [ Links ]

(Clements et al. 1975)

Clements J., Paul C. & Adams A. 1975, IEEE Transactions on Electromagnetic Compatibility, EMC-17, 238        [ Links ]

(Fornberg 1988)

Fornberg B. 1988, Math. Comp., 51, 699        [ Links ]

(Gu et al. 2000)

Gu J., Hong X. & Wang Z. 2000, in Asia and South Pacific Design Automation Conference (Los Alamitos, CA, USA: IEEE Computer Society), 447        [ Links ]

(Hayt & Buck 2006)

Hayt W. H. & Buck J. A. 2006, Teoría electromagnética, 7th edn. (México: McGraw-Hill), 525        [ Links ]

(International Atomic Energy Agency 2002)

International Atomic Energy Agency, V. A. 2002, Guidebook on non-destructive testing of concrete structures, Tech. rep., International Atomic Energy Agency (IAEA)        [ Links ]

(Kawamoto & Takuma 2007)

Kawamoto T. & Takuma T. 2007, Electrical Engineering in Japan, 159, 1        [ Links ]

(Malhotra & Carino 2004)

Malhotra V. M. & Carino N. J. 2004, Handbook on Nondestructive Testing of Concrete (CRC Press)        [ Links ]

(Murata et al. 2001)

Murata H., Ohye T. & Shimoyama H. 2001, in Charged Particle Detection, Diagnostics, and Imaging, ed. E. Munro & J. A. Rouse, Vol. 4510 (SPIE), 107-118        [ Links ]

(Phillips & White 1997)

Phillips J. R. & White J. K. 1997, IEEE Transactions on Computer-Aided Design of Integrated Circuits and Systems, 16, 1059        [ Links ]

(Press et al. 1992)

Press W. H., Teukolsky S. A., Vetterling W. T. & Flannery B. P. 1992, Numerical Recipes in FORTRAN, 2nd edn. (UK: Cambridge University Press)        [ Links ]

(Rochus et al. 2011)

Rochus V., Van Miegroet L., Rixen D. J. & Duysinx P. 2011, International Journal for Numerical Methods in Engineering, 85, 1207        [ Links ]

(Safonova & Vynogradova 2011)

Safonova G. & Vynogradova E. 2011, in 2011 XXXth URSI General Assembly and Scientific Symposium, 1-4        [ Links ]

(Sener 2021)

Sener G. 2021, The Applied Computational Electromagnetics Society Journal (ACES), 32, 289        [ Links ]

(Sumant & Cangellaris 2007)

Sumant P. S. & Cangellaris A. C. 2007, International Journal of Numerical Modelling: Electronic Networks, Devices and Fields, 20, 253        [ Links ]

 

 

Creative Commons License Todo el contenido de esta revista, excepto dónde está identificado, está bajo una Licencia Creative Commons