Servicios Personalizados
Revista
Articulo
Indicadores
-
Citado por SciELO -
Accesos
Links relacionados
-
Similares en
SciELO
Compartir
Revista Boliviana de Física
versión On-line ISSN 1562-3823
Revista Boliviana de Física v.36 n.36 La Paz nov. 2020
A. ARTÍCULOS
Estructuras localizadas y extendidas de la ecuación compleja de
Ginzburg-Landau Cúbica-Quíntica-Séptica asociada a la ecuación de Sine-Gordon paramétricamente forzada y con disipación
Localized and extended structures of the complex Ginzburg-Landau Cubic-Quintic-Septic equation associated with the parametrically forced and dissipative Sine-Gordon equation
Juliana Carrasco-Mejía† & Deterlino Urzagasti
†maradejuly@gmail.com
Instituto de Investigaciones Físicas, Universidad Mayor de San Andrés
Campus Universitario, c. 27 Cota-Cota, Casilla de Correos 8635
La Paz - Bolivia
(Recibido 27 de septiembre de 2020; aceptado 30 de octubre de 2020)
Resumen
En el presente trabajo se estudió la formación de estructuras localizadas y extendidas en un sistema forzado paramétricamente cerca de la resonancia paramétrica y con débil disipación descrito por la ecuación de Sine-Gordon perturbada (SGP). Estas estructuras fueron descritas a partir de la ecuación de amplitud asociada considerando hasta los términos de séptimo orden, esto es, mediante la ecuación compleja de Ginzburg-Landau Cúbica-Quíntica-Séptica (CGL-Séptica) asociada a la ecuación SGP. No se encontraron soluciones analíticas estables localizadas; sin embargo, si se hallaron soluciones numéricas en forma tanto de estructura localizada como de patrón, encontrándose comportamientos dinámicos oscilatorios de dichas estructuras debido a la presencia de los términos de séptimo orden. Finalmente, se han comparado las regiones de existencia de solitones de los modelos SGP y CGL-Séptica.
Descriptores: Solitones - teoría Ginzburg-Landau - no lineales
Código(s) PACS: 05.45.Yv, 74.20.De, 52.35.Mw
Abstract
In the present work we studied the formation of localized and extended structures in a parametrically orced system near the parametric resonance and with weak dissipation described by the perturbed Sine-Gordon equation (SGP). These structures were described from the associated amplitude equation considering up to the seventh-order terms, i.e., by the complex Ginzburg-Landau Cubic - Quintic-Septic (CGL-Septic) equation associated with the SGP equation. No localized stable analytical solutions were found, however, numerical solutions were ound in the form of both localized structure and pattern. Oscillatory dynamic behavior of these structures was found due to the presence of the seventh order terms. finally, the soliton existence regions of the SGP and CGL-Septic models were compared.
Subject headings: Solitons - Ginzburg-Landau theory - Nonlinear phenomena
1 Introducción
La dinámica no lineal, la cual es un campo de estudio relativamente nuevo, tiene gran importancia para lograr un mejor entendimiento de los fenómenos físicos presentes en la naturaleza. Los sistemas no lineales presentan fuertes interacciones entre sus componentes, es decir, matemáticamente no cumplen con el principio de superposición por lo que su análisis resulta mucho más complicado que el de los sistemas lineales, los cuales si son iguales a la suma de sus partes permitiendo una gran simplificación de los problemas complejos. Por otra parte, los sistemas no-lineales pueden ser muy sensibles a pequeños cambios en las condiciones iniciales provocándose grandes diferencias en los comportamiento del sistema y llegándose a presentar dinámicas muy complejas y/o caóticas. Debido a estas complicaciones, la mayoría de los sistemas no lineales son imposibles de resolver analíticamente, de manera que el uso de soluciones numéricas es una herramienta invaluable en el estudio de dichos sistemas. De esta forma, con los avances computacionales se ha dado inicio al estudio de la dinámica no lineal, permitiendo experimentar con ecuaciones de una manera que antes resultaba imposible.
El comportamiento de los sistemas no lineales es descrito por ecuaciones no lineales en derivadas parciales (EDPN), las cuales son capaces de generar una variedad de estructuras espacio-temporales.
Existe un tipo especial de EDPN completamente integrables que presentan soluciones localizadas tipo-partícula, denominadas solitones. Estas son ondas solitarias capaces de preservar su forma y velocidad durante su propagación e incluso tras interactuar con otras semejantes. Una de las EDPN más importantes es la ecuación de Sine-Gordon (SG), la cual aparece en muchas áreas de la ciencia moderna, describiendo distintos fenómenos físicos principalmente en una aproximación unidimensional, incluyendo la propagación de lujos magnéticos en las uniones de Josephson, ondas en materiales ferromagnéticos , movimientos de dislocaciones en cristales, pulsos ópticos en un medio láser, y osciladores no lineales acoplados, entre otros Cuevas-Maraver et al., [2014,Braun and Kivshar, [2013,Barone and Paterno, [1982,Gulevich and Kusmartsev, [2006,eldtkeller, [1968,Nabarro, [1987,Leblond et al., [2013,Mihalache, [2012,Ivancevic and Ivancevic, [2013].
La generalización del concepto de solitón como estructura coherente ha dado lugar a una variedad de estudios sobre dinámica no lineal en los últimos años, principalmente en la formación de estructuras localizadas Coullet, [2002] y patrones Coullet et al., [1994] que han sido observadas en los sistemas alejados del equilibrio (sistemas con inyección y disipación de energía) en distintos campos de la ciencia, como por ejemplo en medios magnéticos, cristales líquidos, sistemas ópticos no lineales, luidos, reacciones químicas, por mencionar algunos Ankiewicz and Akhmediev, [2008,Descalzi et al., [2011,Eschenelder, [2012,Edwards and auve, [1994,Umbanhowar et al., [1996].
Muchos de los sistemas físicos que exhiben estructuras localizadas y extendidas están sujetos a un forzamiento paramétrico, particularmente periódico en el tiempo. Sin embargo, este tipo de perturbaciones, en el caso de la ecuación de Sine-Gordon, hacen que pierda su completa integrabilidad y presente una dinámica muy complicada. Por tanto, generalmente estos sistemas no pueden ser resueltos analíticamente y por esta razón es preciso recurrir a métodos analíticos aproximados, en particular aquellos que nos permitan describir la existencia de estas estructuras espacio-temporales. Una forma es a través de un análisis perturbativo cerca de las bifurcaciones, por medio de las denominadas ecuaciones de amplitud, válidas para sistemas débilmente disipativos, para las cuales pueden o no existir soluciones exactas Van Hecke et al., [1994,Cross and Hohenberg, [1993]; donde la ecuación compleja de Ginzburg-Landau (CGLE) es la ecuación de amplitud más general Aranson and Kramer, [2002,Akhmediev and Ankiewicz, [].
En la mayoría de los estudios realizados respecto a la descripción de estructuras localizadas y extendidas por medio de ecuaciones de amplitud, se ha tratado dichas ecuaciones hasta el orden cúbico. En trabajos recientes se mostró que términos quínticos (en particular de la CGLE) permiten la aparición de estructuras que no se aparecían en el caso cúbico, además de exhibir una mejor aproximación al sistema original.
En el presente trabajo se tiene como objetivo estudiar la existencia y las propiedades de estructuras localizadas y extendidas que presenta el modelo de Sine-Gordon unidimensional cuando es perturbado con un forzamiento paramétrico y con disipación de energía. El problema es abordado de una manera unificada por medio de la ecuación de amplitud asociada con términos de hasta séptimo orden, cuyas soluciones nos describirán los diferentes tipos de estructuras espacio-temporales que el sistema es capaz de generar; por lo cual se estudia el sistema cerca de la resonancia paramétrica. Se buscan por un lado soluciones localizadas de manera analítica y por otro lado soluciones numéricas a la CGLE Cúbica-Quíntica-Séptica asociada a la ecuación de Sine-Gordon forzada paramétricamente y con disipación.
2 Marco teórico
2.1 Estructuras localizadas y extendidas
Un solitón es considerado como una entidad tipo partícula, la cual se propaga conservando su identidad incluso tras interactuar con otros solitones Remoissenet, [2013]. Se refiere a una solución localizada de una ecuación dispersiva no-lineal, tal que puede ser entendido como el resultado del balance entre el efecto de la no-linealidad y el de la dispersión. Por otra parte, está relacionado con la propagación de ciertas ondas que no sufren atenuación en un medio disipativo, generalizándose como una estructura localizada presente en sistemas disipativos y alejados del equilibrio denominada solitón disipativo. Bajo este último contexto, una estructura disipativa puede entenderse como la encargada de permitir alcanzar un cierto orden a expensas de un continuo aporte de energía externa al sistema, por lo cual se dice que dichos sistemas concluyen en un estado de cuasi-equilibrio. De esta forma, una estructura disipativa se entiende como producto del balance dinámico entre la no-linealidad, la dispersión y la disipación.
En un sistema unidimensional, los estados localizados son entendidos como trayectorias que conectan un estado estacionario consigo mismo, es decir, desde el punto de vista de la teoría de sistemas dinámicos, son órbitas homoclónicas. Por otra parte, las soluciones tipo diferentes representan trayectorias espaciales que conectan dos estados estacionarios diferentes, correspondientes a las curvas heteroclónicas.
Por tanto, sistemas extendidos espacialmente que son mantenidos lejos del equilibrio mediante inyección y disipación de energía, son capaces de exhibir comportamientos más complejos tales como estructuras localizadas y formación de patrones Pismen, [2006,Nicolis et al., [1977,Cross and Hohenberg, [1993]. Estas estructuras representan estados que rompen localmente la simetría de traslación, es decir, son desarrolladas a partir de un estado homogéneo espacialmente.
Para nuestro particular interés, un sistema forzado paramétricamente es aquel sistema al cual se le inyecta energía por medio de la modulación temporal de alguno de sus parámetros. En el caso de un oscilador, si el parámetro varia periódicamente con una frecuencia igual al doble de la frecuencia natural del mismo ocurre lo que se denomina resonancia paramétrica, lo cual puede generar inestabilidades de los puntos de equilibrio bajo estudio. En sistemas disipativos, una manera de compensar las pérdidas de energía eficientemente es mediante el fenómeno de la resonancia paramétrica.
Se sabe que los efectos físicos producidos debido a fuerzas directas y paramétricas son diferentes, en los sistemas lineales la inestabilidad de la oscilación debido a una fuerza paramétrica no puede ser limitada por disipación como lo es en el caso de la resonancia por un forzamiento directo Landau and Lishitz, [1960].
Los sistemas reversibles temporalmente, que son perturbados con inyección y disipación de energía, son denominados sistemas cuasi-reversibles. Cuando dichos sistemas son orzados paramétricamente cerca de la resonancia paramétrica se dice que muestran una resonancia subarmónica, lo cual quiere decir que el sistema responde con una frecuencia igual a la mitad de la frecuencia de forzamiento. De este modo, el forzamiento externo da lugar a que el sistema presente biestabilidad, es decir, la coexistencia entre dos estados estables de equilibrio dentro de un rango de parámetros, generalmente se da entre el estado oscilatorio de amplitud finita con frecuencia vinculada a la del forzamiento y el estado trivial de amplitud nula. En todo caso, la presencia de biestabilidad en el sistema está asociada con la aparición de estructuras localizadas Knobloch, [2008,Clerc et al., [2009]. Cuando en dichos sistemas la disipación es pequeña, cerca de la resonancia paramétrica el sistema puede ser descrito mediante la ecuación de amplitud asociada al mismo, donde dicha ecuación nos permite estudiar estructuras localizadas en el sistema que describen la evolución de la envolvente de las oscilaciones uniformes.
2.2 Ecuación de amplitud (CGLE)
Generalmente, al tratar con sistemas dinámicos, a uno le interesa el comportamiento asintótico a largo plazo. El estado asintótico hacia el cual el sistema tiende a evolucionar es denominado un atractor, el cual, puede ser un estado estacionario o una órbita periódica, cuasi-periódica o caótica. En sistemas no-lineales extendidos espacialmente, éstos pueden ser por ejemplo patrones periódicos estacionarios o cuasi-periódicos, estados localizados ó estados desordenados, entre otros.
Cuando los parámetros del sistema cambian, sus atractores también los hacen generalmente de forma cuantitativa; sin embargo, para ciertos valores de parámetros se producen cambios cualitativos en el comportamiento del sistema donde los atractores cambian su carácter o bien desaparecen y surgen nuevos. Estos cambios cualitativos al cruzar ciertas fronteras se denominan bifurcaciones, donde su aparición a menudo viene acompañada de una inestabilidad.
El estudio cerca de las bifurcaciones es de especial interés, ya que permite describir genéricamente sistemas con más de un estado de equilibrio, y por otra parte muestra una rica dinámica del sistema ya que en esta región puede observarse una variedad de comportamientos y diferentes tipos de transiciones.

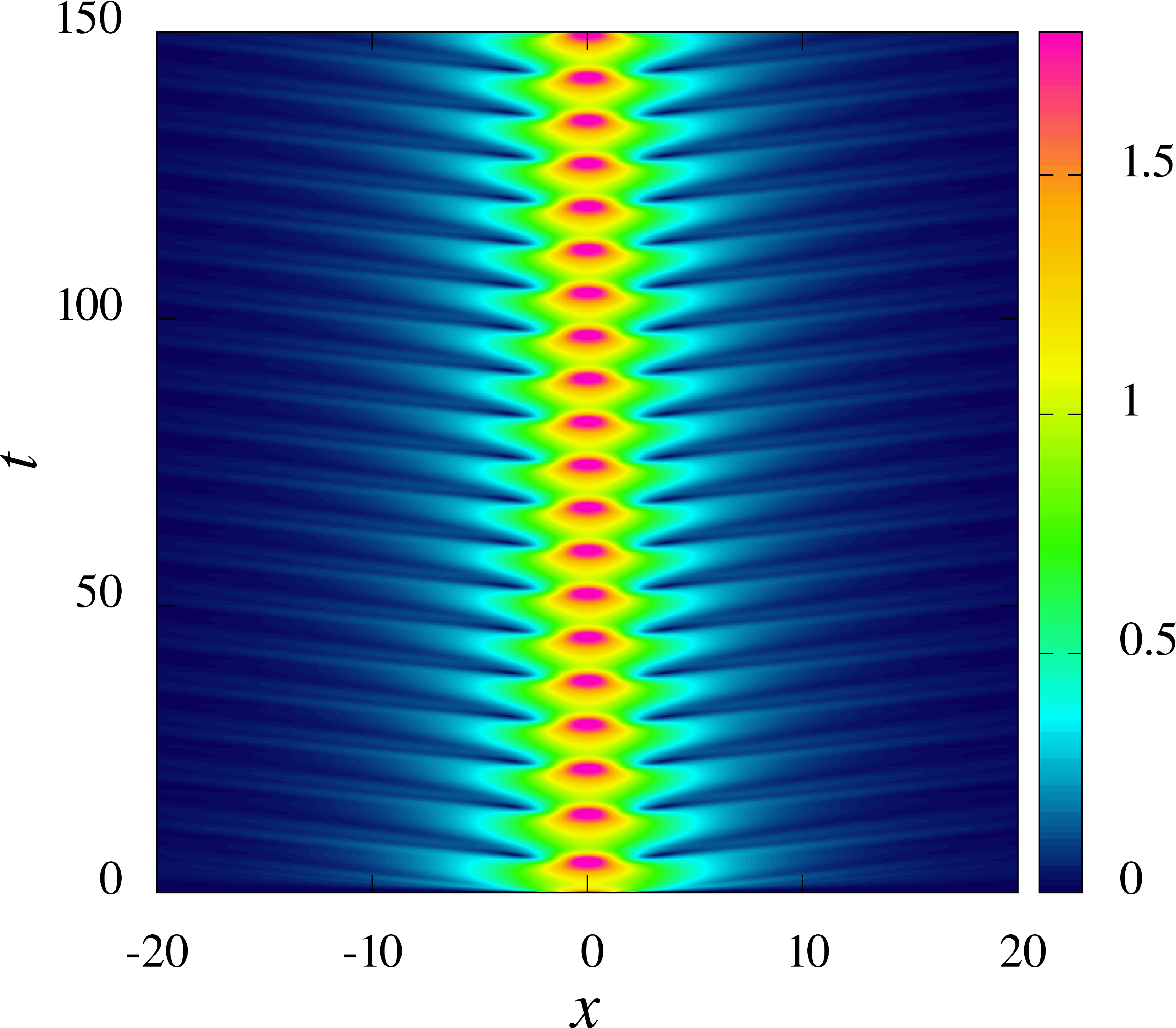
figure 1: Diagrama espacio-temporal del módulo de la amplitud |A| de un solitón disipativo estacionario y el perfil en un instante t de la parte real e imaginaria de su amplitud A, dado para los parámetros γ = 0.4 y ν = −0.26.
Las ecuaciones no lineales que describen estructuras localizadas y formación de patrones en su mayoría no pueden ser resueltas analíticamente. Sin embargo, cerca de una biurcación es posible encontrar una descripción más simplfiicada de las soluciones localizadas y extendidas en términos de solamente su amplitud, esto mediante la llamada ecuación de amplitud. Esta describe las modulaciones lentas en el espacio y tiempo de la dinámica del sistema, por lo cual representa una aproximación del sistema en estudio, que, sin embargo, conserva lo esencial del mismo. De esta forma, brinda una comprensión del comportamiento general de la formación de patrones y estructuras localizadas que se presentan en numerosos sistemas físicos.
La ecuación de amplitud más general es la ecuación compleja de Ginzburg-Landau (CGLE), empleada para modelar diversos fenómenos físicos. Entre éstos, transiciones de fase de segundo orden, superconductividad y cuerdas en teoría de campos. Provee además una descripción universal simplfiicada de los fenómenos asociados a estructuras localizadas y extendidas en sistemas débilmente disipativos extendidos espacialmente Aranson and Kramer, [2002]. Tiene diferentes tipos de soluciones incluyendo solitones, rentes de onda y patrones regulares entre otros, dependiendo de los parámetros del sistema.
Hasta la fecha se ha estudiado la CGLE Cúbica-Quíntica, dada de la forma:
∂TA=c1∂X2A+c2A−c3A|A|2+c4A|A|4,
donde A es una función compleja del espacio y el tiempo que representa una amplitud de variación lenta y los coeficientes son números complejos que dan cuenta de la disipación y de las interacciones no lineales que están relacionados con los parámetros del sistema subyacente.
figure 2: a) Diagrama espacio-temporal de |A| de un breather disipativo dado para los parámetros γ = 0.6 y ν = −0.36. b) perfil de la parte real e imaginaria de la amplitud A del breather en diferentes instantes de tiempo.
Debe tomarse en cuenta que esta ecuación es válida bajo condiciones de una débil disipación y solamente en las cercanías de una inestabilidad de un estado homogéneo principal, es decir, cerca de una biurcación.
2.3 Ecuación de Sine-Gordon amortiguada y paramétricamente forzada (SGP)
La ecuación de Sine-Gordon (SG) es una ecuación diferencial parcial no lineal hiperbólica, usualmente empleada para describir fenómenos físicos en la aproximación unidimensional, en su mayoría en el área de la física del estado sólido, por ejemplo para la propagación de lujos magnéticos en las uniones de Josephson. Está dada por øøXX−øTT=senø. Una de sus principales características es que soporta soluciones localizadas tipo solitones, donde las más simples pueden ser de dos tipos, kinks y breathers.
figure 3: Diagrama espacio-temporal de |A| de un patrón estacionario con forma de onda dado para γ = 0.5 y ν = −0.18.
La solución kink describe una excitación localizada estática o dinámica, que conecta dos estados estables de equilibrio cercanos, mientras que la solución breather es considerada como un estado ligado dinámico de un kink y un antikink, que representan un estado oscilatorio no lineal que puede ser igualmente estacionario o móvil.
Una forma de interpretar dichas soluciones es mediante el modelo mecánicosimple de una cadena infinita de péndulos acoplados a una distancia infinitesimal (caso continuo del modelo de renkel-Kontorova), donde un kink es considerado como una rotación en ø de 2π mientras x va de -∞ a +∞ y un antikink en cambio representa una rotación negativa.
Consideramos ahora el caso en el que el sistema descrito por la ecuación SG se encuentra bajo la influencia de fuerzas disipativas y campos externos, particularmente bajo un campo externo periódico en el tiempo de modo que se compensen las pérdidas disipativas y el sistema presente algún comportamiento estacionario. Por tanto, derivamos a la ecuación de Sine-Gordon perturbada con forzamiento paramétrico y disipación de energía (SGP), la cual según el modelo mecánico describe una cadena amortiguada de péndulos acoplados por resortes, cuyo soporte oscila verticalmente, y está dada por:
∂2T θ = −(w02+γ0 sin(wT))senθ−μ0 ∂Tθ+∂2Xθ,(1)
donde θ = θ(X,T) es el ángulo del péndulo con la vertical en la posición X en un instante T, w0 es la frecuencia natural de los péndulos (en el caso idealizado w02=g/l), γ0 es la amplitud del forzamiento (relacionado al desplazamiento vertical del soporte a mediante γ = aw2/l), w es la frecuencia del forzamiento y μ0 representa la disipación de energía. Esta ecuación aparece en varios sistemas físicos importantes, por ejemplo en los sistemas magnéticos donde se presenta como una ecuación de movimiento efectiva para el vector de magnetización Urzagasti et al., [2013,Zharnitsky et al., [1998], o en las uniones de Josephson largas, cuya inductancia varÃa en el espacio Guarcello et al., [2015,Grønbech-Jensen et al., [1991].

figure 4: a) Diagrama espacio-temporal de |A| para un patrón oscilatorio periódico espacialmente dado en γ = 0.6 y ν = −0.26 y b) perfil de la parte real e imaginaria de la amplitud A en dos instantes de tiempo distintos.
Por otro lado, se sabe que en el límite cuando la amplitud del forzamiento y el término de amortiguamiento (inyección y disipación) son pequeños, es decir γ0 ∼ μ0 << 1, y considerando el caso de la resonancia paramétrica, la ecuación (1) expandida hasta el término cúbico puede reducirse a la ecuación de Schrödinger no lineal forzada paramétricamente y disipativa (PNLS de sus siglas en inglés), para la cual se conoce su diagrama de biurcación cerca a la inestabilidad subarmónica Coullet et al., [1994], e igualmente es capaz de generar estructuras localizadas y patrones Trulsen and Dysthe, [1996,Barashenkov et al., [2011].
figure 5: Diagrama espacio-temporal de |A| de una estructura localizada en medio de un patrón periódico dado para γ = 0.8 y ν = −0.21
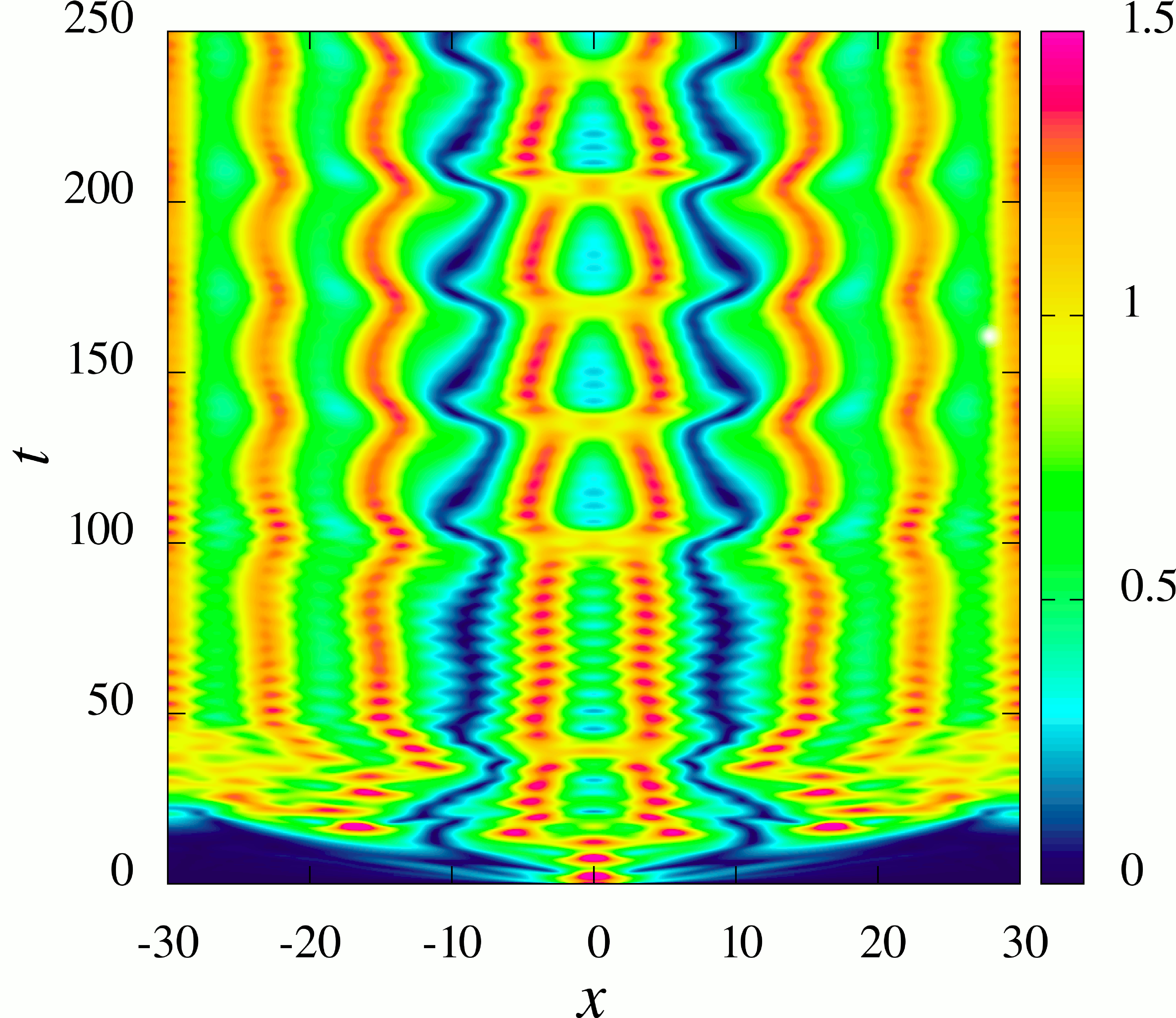
figure 6: Diagramas de fase de estructuras localizadas (solitones) obtenidas con las ecuaciones de sine-Gordon perturbada (SGP) y con la ecuación CGL-Séptica.
figure 7: Solitones obtenidas con las ecuaciones de (a) sine-Gordon perturbada (SGP) y con (b) la ecuación CGL-Séptica para los valores de parámetros μ = 0.15, ν = −0.116 y γ = 0.356.
3 Modelo
La ecuación de Sine-Gordon amortiguada y paramétricamente forzada (SGP) dada por (1) describe la clase de sistemas no-lineales de nuestro interés, que son capaces de exhibir estructuras tanto localizadas como extendidas. Nos referimos a sistemas no-lineales unidimensionales extendidos espacialmente con inyección y disipación de energía.
Nótese que cuando los términos de forzamiento y amortiguamiento son iguales a cero (μ0=γ0=0), la ecuación (1) describe un sistema conservativo con simetría temporal reduciéndose a la ecuación de Sine-Gordon, de modo que la presencia de inyección y disipación de energía en el sistema provocan que el mismo presente una dinámica espacio-temporal compleja no trivial, al mantenerlo alejado del equilibrio y volviéndolo un sistema cuasi-reversible.
Para poder describir las estructuras localizadas y extendidas que exhibe este sistema de una manera unificada y más simplfiicada, realizamos una aproximación del mismo mediante un método perturbativo por medio de la CGLE Séptica asociada, considerando al sistema débilmente disipativo.
Primeramente partimos de la ecuación de movimiento dada por la ecuación (1) con el término no lineal (senθ) desarrollado en series de Taylor hasta el séptimo orden, es decir, hacemos sinθ = θ−θ3/6+θ5/120−θ7/5040, y además el término γ0sen(wT) es expresado en su forma exponencial. A continuación, se desarrolla la variable espacio temporal en torno a su estado de equilibrio estable θ(X,T)=0. Entonces, por ser la ecuación (1) un tipo de ecuación de onda, suponemos como Ansatz de solución el siguiente:
θ(X,T)=A(x,t) e−iw0T+c.c..(2)
Debido a la presencia de los términos no lineales en el sistema, la amplitud A(x,t) de la precedente ecuación es una función compleja de las variables lentas definidas como x=bX y t=cT (donde b y c son constantes adimensionales de escalamiento), la cual representa la envolvente de la oscilación uniforme y c.c. se refiere a su complejo conjugado.
Entonces, para obtener la ecuación de amplitud asociada, sustituimos dicho Ansatz en la ecuación (1) y para que la descripción sea válida nos enfocamos particularmente en la región de resonancia paramétrica, es decir, w=2w0+ν donde ν es el parámetro de sintonización, que nos indica cuán alejada está la frecuencia de forzamiento de la resonancia paramétrica.
Tras realizar varios cálculos en los cuales fue posible despreciar los términos de ordenes superiores, los términos conjugados y además el término (∂2tA)2 suponiendo que ∂tA ∼ ∈A con ∈ << 1, y por otro lado, realizando el cambio de variable A=Ae−iνT/2 con tal de simpliicar los términos exponenciales, se obtuvo de esta forma la ecuación de amplitud CGLE Cúbica-Quíntica-Quíntica-Séptica asociada a la ecuación SGP y dada por la siguiente expresión:
donde μ = μ0/w0, ν = ν0/w0 y γ = γ0/w02, de modo que la ecuación precedente queda descrita en función de tres parámetros μ, γ y ν proporcionales a la disipación, al forzamiento y al parámetro de sintonización, respectivamente. Por otra parte, las constantes de escalamiento toman los siguientes valores b=w0 y c=w03/(μ02+4w02).
Esta ecuación gobierna la evolución temporal de la envolvente de las oscilaciones (A) y nos permite describir soluciones localizadas y formación de patrones en un sistema descrito por (1).
Nótese además que la ecuación de amplitud presenta simetrÃa de reflexión, esto significa que es invariable ante transformaciones de la forma A→−A.


figure 8: Diagrama espacio-temporal de |A| y el respectivo perfil de la parte real e imaginaria de la amplitud en un instante t para a) solitones extendidos espacialmente cuando γ = 0.4 y ν = −0.26 y b) patrón de breathers cuando γ = 0.6 y ν = −0.36. Ambas estructuras correspondientes a los mismos parámetros de los diagramas en las Figuras 1 y 2 pero con condición inicial de un estado homogéneo con amplitud distinta de cero más una leve perturbación.
4 Análisis y Resultados
4.1 Soluciones analíticas
Se buscaron soluciones estacionarias de tipo solitón para la ecuación de amplitud (3), por tanto introduciendo la representación polar de A(x,t) se propuso el siguiente Ansatz de solución:
A(x)=B sech(k x) eiø,(4)
el cual describe una de las soluciones conocidas de un solitón disipativo estacionario Miles, [1984,Barashenkov et al., [1991,Conte and Musette, [1993], tal que presenta una fase ø constante y una amplitud que es función solamente del espacio, donde B y k son constantes, es decir, que la amplitud y ancho de la solución de este tipo dependen solamente de los parámetros de la ecuación.
figure 9: Diagrama espacio-temporal de |A| de un patrón extendido y el perfil de la parte real e imaginaria del mismo cuando γ = 0.5 y ν = 0.29
Entonces, introducimos el Ansatz (4) en nuestra ecuación de amplitud (3) permitiéndonos hacer ∂t A=0. A continuación, escribiendo la amplitud en la forma A=u+iv, separamos en la ecuación la parte real de la parte imaginaria para así poder obtener un sistema de ecuaciones, el cual nos permitirá determinar los valores de las constantes B, k y ø en función de los parámetros del sistema.
Realizando varios cálculos según lo especificado, se obtuvieron los siguientes resultados:
De modo que las soluciones están restringidas en el espacio de parámetros de la siguiente manera: γ2 ≥ (2μ+νμ)2 y −1 ≤ μ(2+ν)/γ ≤ .
Sin embargo, se halló que estas soluciones exactas de la forma de secante hiperbólica existen solamente para ciertos valores de γ, (a los que se los llamó valores "exóticos" de γ) dados por: γ = ±5/4; ±4/3
Finalmente, mediante simulaciones numéricas se encontró que estas soluciones analíticas existentes, solamente para los cuatro valores de γ exóticos mencionados, son inestables, es decir, decaen rápidamente. Esto implica que la ecuación CGL Séptica asociada a la ecuación SGP no presenta soluciones analíticas localizadas estables.
4.2 Soluciones numéricas
Se obtuvieron mediante simulaciones numéricas, valores de los coeficientes μ, γ y ν para los cuales existen soluciones estables localizadas y extendidas espacialmente con comportamientos dinámicos estacionarias y oscilatorios.
Para llevar a cabo las simulaciones de la ecuación de amplitud (3) y poder hallar soluciones numéricas para la misma, se empleó el método de Runge-Kutta (RK) de quinto orden con monitoreo del error de truncamiento local para la integración de la parte temporal, con un máximo de tolerancia de 10−5; y el método de diferencias finitas de sexto orden para la integración de la parte espacial tomando como la longitud del sistema unidimensional L=60 con N=1500 puntos de la red lineal, implicando una discretización de 0.04.
figure 10: Diagrama espacio-temporal de |A| para un patrón extendido estable con oscilación temporal dado para γ = 0.75 y ν = 0.19
El programa numérico descrito fue verificado en el artículo Urzagasti et al., [2014].
La condición inicial utilizada en las simulaciones, fue la de un solitón con perfil de secante hiperbólica con su centro situado en la posición x=0, añadiendo una pequeña perturbación inicial al mismo para asegurar la estabilidad de las soluciones a encontrarse. Como se considera un caso de disipación normal, mantenemos fijo el valor del parámetro de disipación μ, por lo que el estudio se concentra principalmente en el plano (γ, ν) al que denominaremos el diagrama de fase.
Prosiguiendo, se ponen ciertas limitaciones a los valores de los coeficientes, primeramente al considerar el sistema débilmente disipativo, el término de amortiguación dado por μ debe tomar valores pequeños. Luego, μ y γ deben ser positivos (de acuerdo a la ecuación de amplitud (3)) debido a que representan la disipación e inyección de energía y debe existir un balance entre ambos, de este modo existe además un valor umbral para γ a partir del cual la aplicación de energía ya es suiciente para poder compensar las pérdidas por disipación. Este valor umbral γu es hallado mediante simulaciones numéricas para un dado μ, donde, en el caso de μ = 0.15 se encontró que γu=0.38 tal que, para valores inferiores a éste, el sistema es incapaz de soportar una solución estable distinta a la solución trivial (A=0). Para el parámetro ν no se dan mayores restricciones que considerarlo pequeño.
En los resultados mostrados a continuación, el valor del parámetro de disipación considerado es μ = 0.15, mientras que los valores de los parámetros γ y ν que componen el diagrama de fase varían de acuerdo a las restricciones impuestas. De este modo, tras la realización de numerosas simulaciones de la ecuación de amplitud, modulando los parámetros γ y ν, se ha logrado identificar las regiones existentes dentro del diagrama de fase, en las cuales el sistema presenta diferentes tipos de soluciones estables no triviales, Entre éstas se encontraron soluciones del tipo de estructura localizada y estructura extendida espacialmente, con comportamientos estacionarios y oscilatorios en ambos casos.
Las soluciones localizadas identificadas son de dos tipos, la primera es la denominada solitón disipativo estacionario estándar (solitón estándar) con forma de un pulso estable que persiste en el tiempo, tal como se puede apreciar en la Figura 1, la cual muestra el diagrama espacio-temporal del módulo de la amplitud (|A|) del solitón sobre el estado homogéneo A=0 y el perfil en un instante t de la parte real e imaginaria de su amplitud A, al tomar como valores de los parámetros γ = 0.4 y ν = −0.26, que pertenecen al régimen estacionario hallado cuando μ = 0.15. Esta solución presenta amplitud y ancho constantes por lo que también se lo considera como un solitón estático.
Al incrementar los valores de γ y ν , se encontró el segundo tipo de estructura localizada estable llamada breather disipativo el cual está representado en la Figura 2, en la cual para los valores de γ = 0.6 y ν = −0.36 puede observarse claramente que representa un estado localizado espacialmente con oscilación compleja, donde su amplitud y ancho varían con el tiempo de forma periódica. Nótese que el objeto presenta pérdidas radiativas en forma de ondas que se propagan lateralmente hasta desaparecer.
Por otra parte se logró observar que tanto la amplitud como frecuencia de oscilación del breather dependen de los parámetros.
En ambos regímenes, de solitones estáticos y oscilatorios, al encontrarse en el límite superior del parámetro γ (o equivalente al límite inferior de ν), la estructura se torna inestable y a continuación emergen estructuras extendidas estables, también denominadas patrones extendidos, con variados comportamientos, entre éstos estacionarios, oscilatorios e incluso probablemente caóticos. En la Figura 3 se observa el diagrama espacio-temporal cuando γ = 0.4 y ν = −0.11 correspondiente a una estructura extendida estacionaria con forma de onda espacialmente desarrollada.
figure 11: Comparación de las estructuras exhibidas por la ecuación de amplitud CGL Séptica (izquierda) y por la ecuación de amplitud CGL Cúbica-Quíntica-Séptica (derecha) para los mismos valores de parámetros. a) γ = 0.6 y ν = −0.36, b) γ = 0.6 y ν = −0.26 , c) γ = 0.6 y ν = −0.36 (con condición inicial de estado homogéneo de A finita) d) γ = 0.75 y ν = 0.19.
Luego, en la Figura 4 se muestra la evolución temporal de un patrón estable periódico en el espacio, pero a diferencia del mostrado en la Figura 3 éste presenta un comportamiento oscilatorio dado para valores de los parámetros suficientemente más grandes, en este caso para γ = 0.6 y ν = −0.25.
En la Figura 5 puede apreciarse otro tipo de patrón extendido estable cuando los valores de los parámetros son γ = 0.8 y ν = −0.21, el cual puede considerarse como dos breathers ligados localizados espacialmente, los cuales se encuentran en un estado de fusión y separación continuamente en el tiempo. A su vez, ellos están rodeados de patrones periódicos en el espacio e igualmente oscilatorios.
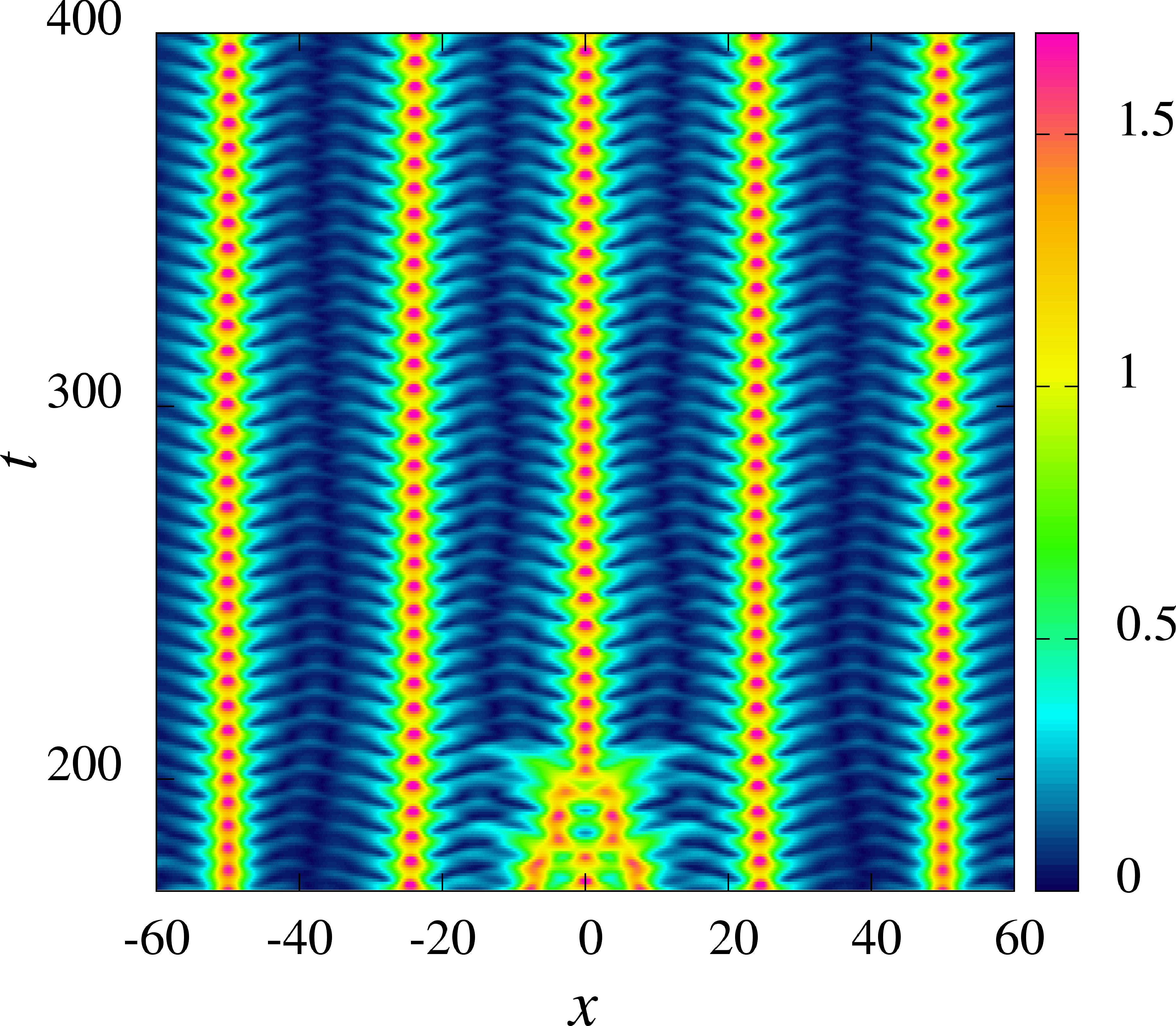
A fin de comparar los resultados del modelo de la CGLE Cúbica-Quíntica-Séptica (o simplemente CGL-Séptica) con los del modelo original descrito por la ecuación sine-Gordon perturbada (SGP), Ec. (1), se han generado los diagramas de fase γ−ν donde se encuentran numéricamente solitones persistentes, Para ello, adicionalmente se ha resuelto la ecuación SGP directamente. Estos diagramas se muestran en la Figura 6. Como se muestra en esta Figura, la región correspondiente a la CGL-Séptica es considerablemente mayor que la correspondiente a la SGP. Una otra diferencia es que la SGP no presenta soluciones tipo breather, las cuales aparecen en la parte superior del diagrama de la CGL-Séptica. Sin embargo, es de resaltar que las dos regiones se superponen en la parte inferior, para valores pequeños de γ y de −ν. Por otro lado, cabe mencionar que a la derecha de los diagramas, para menores valores de |ν|, se tienen los patrones extendidos arriba mencionados; a la izquierda de los diagramas, para mayores valores de −ν, se tienen solo soluciones nulas. Para grandes valores de γ, por arriba de γ ∼ 0.65, se tienen patrones extendidos de oscilación compleja.
Mas aún, a in de comparar los comportamientos espacio-temporales en los modelos dados por la SGP y la CGL-Séptica, se muestran en la Figura 7 los diagramas espacio-temporales de los solitones correspondientes a los parámetros comunes de valores μ = 0.15, ν = −0.116 y γ = 0.356. Como se puede apreciar en esta Figura, la solución de la SGP muestra las oscilaciones monótonas propias de la integración directa, mientras que la solución de la CGL-Séptica carece de esas oscilaciones pues han sido apartadas de dicha ecuación, ya que ella estudia solo el comportamiento de la envolvente de la solución de la SGP.
Adicionalmente, se analizó la ecuación en la región donde presenta soluciones localizadas, pero desde un estado inicial de patrón extendido periódico espacialmente; para esto, usando una condición inicial de un estado homogéneo espacialmente de amplitud constante distinta de cero (|A|=0.5) con una perturbación inicial tal que surge dicho patrón. Se graficó la evolución temporal del módulo de la amplitud |A| para los mismos valores de los parámetros correspondientes a las Figuras 1 y 2, es decir, correspondientes al solitón estándar y al breather, respectivamente, obteniéndose así patrones extendidos de comportamiento estacionario y oscilatorio complejo como se muestra en la Figura 8(a) cuando γ = 0.4 y ν = −0.26 y en la Figura 8(b) cuando γ = 0.6 y ν = −0.36.
El estado homogéneo perturbado se transforma en numerosas estructuras localizadas, ya sea solitones of breathers disipativos, que van interactuando entre sí, fusionándose por pares hasta estar suficientemente separados unos de otros y alcanzar Finalmente un estado estacionario evolucionando paralelamente, esto es, formando un patrón extendido periódico. Puede observarse que tras las variadas interacciones entre las estructuras localizadas, con la presencia de emisión de radiación lateral, éstas mantienen su carácter, en este caso el de solitón disipativo estacionario (fig. 8(a)) y el de breather disipativo (fig. 8(b)). Estos comportamientos permiten apreciar la coexistencia entre dos diferentes estados estables del sistema, de modo que el estado final depende fuertemente de las condiciones iniciales.
Es posible decir que un solitón disipativo surge como un resultado de la coexistencia entre el estado homogéneo estable y el estado de patrón periódico espacialmente que emerge en el área de la inestabilidad paramétrica que presenta el sistema.
Nótese que las estructuras descritas anteriormente aparecen para valores negativos del parámetro ν. Por otro lado, cuando dicho parámetro toma valores positivos, surgen patrones extendidos estables periódicos espacialmente. Por ejemplo, cuando γ = 0.5 y ν = 0.29 aparece un patrón estacionario periódico en el espacio como se muestra en la Figura 9 correspondiente al diagrama espacio-temporal de dicho patrón. Este estado puede ser entendido en el sistema como una onda estacionaria espacialmente, en torno a su estado homogéneo de A=0. A continuación, al incrementarse el valor de γ dichos patrones se vuelven oscilatorios en el tiempo como puede observarse en la Figura 10, la cual es obtenida para γ = 0.75 y ν = 0.19.
En esta región, a partir de las simulaciones realizadas se observa que a medida que se incrementa el forzamiento externo γ, la amplitud de las estructuras aumenta mientras que su ancho disminuye. Tómese en cuenta que las estructuras extendidas descritas anteriormente presentan un periodo de relajación, diferente para cada caso, hacia un estado de equilibrio estable, de manera que en alguna de las Figuras anteriores se muestra la evolución temporal cuando están ya cerca de alcanzar dicho estado de equilibrio estable.
Como segundo estudio, en el presente trabajo se realizaron simulaciones de la ecuación de amplitud CGL Cúbica-Quíntica asociada a la ecuación SGP. Esta última corresponde a la ecuación (3) cuando los términos correspondientes al séptimo orden, no al séptimo grado, no son considerados.
Entonces, resolviendo numéricamente, tomando valores de γ y ν que se encuentren dentro de los intervalos para los cuales la ecuación de amplitud CGL Séptica exhibe estructuras estables localizadas y extendidas, y manteniendo fijo μ = 0.15, se observó que para los valores de los parámetros correspondientes al solitón estacionario mostrado en la Figura 1 y al breather de la Figura 2, es decir, para γ = 0.4 y ν = −0.26 y para γ = 0.6 y ν = −0.36, respectivamente, que la ecuación CGL Cúbica-Quíntica si presenta solitones disipativos estacionarios, observándose la misma estructura de la Figura 11(d), sin embargo, ya no exhibe estados localizados de oscilación compleja como el breather, en su lugar mantiene un estado de solitón disipativo estacionario como muestra la Figura 11(a), aunque con la amplitud y ancho del breather.
Más aún, la ecuación CGL Cúbica-Quíntica no presenta ningún tipo de estructura oscilatoria tanto localizada como extendida espacialmente (al menos en las regiones analizadas cerca de la biurcación), como se puede apreciar en la Figura 11. Se observa que las estructuras con comportamiento dinámico oscilatorio, soluciones de la ecuación CGL Séptica (Figuras 2, 3, 8(b) y 10) ya no están presentes en la ecuación CGL Cúbica-Quíntica, sino se muestran como estados estacionarios estáticos.
5 Conclusiones
Se ha obtenido en primer lugar la ecuación de amplitud CGL Cúbica-Quíntica-Séptica asociada a la ecuación de sine-Gordon amortiguada y forzada paramétricamente mediante un análisis perturbativo cerca de la región de resonancia paramétrica, para la cual no se han encontrado soluciones analíticas estables de tipo secante hiperbólica.
Por otra parte, se han realizado simulaciones numéricas de la ecuación de amplitud para condiciones de disipación pequeña constante encontrándose por un lado, soluciones localizadas en forma de solitones disipativos estacionarios y de breathers disipativos, y por otro lado estructuras extendidas periódicas espacialmente con comportamientos estacionarios y oscilatorios, éstas para distintas regiones del espacio de parámetros (γ,ν).
Por último, mediante una comparación entre las estructuras localizadas y extendidas de la ecuación de amplitud CGL Séptica y de la misma pero desarrollada hasta el quinto orden, se mostró una dinámica nueva del sistema subyacente exhibida solamente por la CGL Séptica asociada a la SGP, correspondiente a los estados oscilatorios (breathers) ya sean localizados en el espacio o en una configuración de patrón periódico espacialmente.
Finalmente, se ha realizado la comparación del modelo de la ecuación CGL Cúbica-Quíntica-Séptica con el modelo original de la ecuación de sine-Gordon amortiguada y forzada a través de sus correspondientes diagramas de fase (γ,ν) de solitones, encontrando que éstos se superponen en la región de valores bajos de γ y de |ν|.
Conflicto de intereses Los autores declaran que no hay conflicto de intereses con respecto a la publicación de éste documento.
Referencias
J. Cuevas-Maraver, author P. Kevrekidis, and author . Williams, title The Sine-Gordon Model and Its Applications: from Pendula and Josephson Junctions to Gravity and High-energy Physics, Vol. volume 10 ( publisher Springer, year 2014) NoStop
O. M. Braun and author Y. Kivshar, title The renkel-Kontorova model: concepts, methods, and applications ( publisher Springer Science & Business Media, year 2013) NoStop [ Links ]
A. Barone and author G. Paterno, ( year 1982) NoStop [ Links ]
[Gulevich and Kusmartsev 2006]
D. Gulevich and author . Kusmartsev, journal journal Physical Review Letters volume 97, pages 017004 ( year 2006) NoStop [ Links ]
E. eldtkeller, journal journal Physica Status Solidi (b) volume 27, pages 161 ( year 1968) NoStop [ Links ]
Nabarro, journal journal Dover Publications Inc., New York volume 264 ( year 1987) NoStop [ Links ]
H. Leblond, author H. Triki, and author D. Mihalache, journal journal Rom. Rep. Phys volume 65, pages 925 ( year 2013) NoStop [ Links ]
D. Mihalache, journal journal Rom. J. Phys volume 57, pages 352 ( year 2012) NoStop [ Links ]
[Ivancevic and Ivancevic 2013]
V. G. Ivancevic and author T. T. Ivancevic, journal journal arXiv preprint arXiv:1305.0613 ( year 2013) NoStop [ Links ]
P. Coullet, journal journal International Journal of Biurcation and Chaos volume 12, pages 2445 ( year 2002) NoStop
P. Coullet, author T. risch, and author G. Sonnino, journal journal Physical Review E volume 49, pages 2087 ( year 1994) NoStop [ Links ]
[Ankiewicz and Akhmediev 2008]
A. Ankiewicz and author N. Akhmediev, title Dissipative Solitons: from Optics to Biology and Medicine ( publisher Springer, year 2008) NoStop
O. Descalzi, author M. G. Clerc, author S. Residori, and author G. Assanto, title Localized states in physics: solitons and patterns ( publisher Springer Science & Business Media, year 2011) NoStop [ Links ]
A. H. Eschenelder, title Magnetic bubble technology, Vol. volume 14 ( publisher Springer Science & Business Media, year 2012) NoStop [ Links ]
W. S. Edwards and author S. auve, journal journal Journal of luid Mechanics volume 278, pages 123 ( year 1994) NoStop
P. B. Umbanhowar, author . Melo, author H. L. Swinney, et al., journal journal Nature volume 382, pages 793 ( year 1996) NoStop [ Links ]
M. Van Hecke, author P. Hohenberg, and author W. Van Saarloos, journal journal fundamental Problems in Statistical Mechanics VIII , pages 245 ( year 1994) NoStop
M. C. Cross and author P. C. Hohenberg, journal journal Reviews of Modern Physics volume 65, pages 851 ( year 1993) NoStop
I. S. Aranson and author L. Kramer, journal journal Reviews of Modern Physics volume 74, pages 99 ( year 2002) NoStop
N. Akhmediev and author A. Ankiewicz, journal Dissipative Solitons , pages 1 NoStop [ Links ]
M. Remoissenet, title Waves called solitons: concepts and experiments ( publisher Springer Science & Business Media, year 2013) NoStop [ Links ]
L. M. Pismen, title Patterns and interaces in dissipative dynamics ( publisher Springer Science & Business Media, year 2006) NoStop [ Links ]
G. Nicolis, author I. Prigogine, et al., title Sel-organization in nonequilibrium systems, Vol. volume 191977 ( publisher Wiley, New York, year 1977) NoStop [ Links ]
L. Landau and author E. Lishitz, title Classical mechanics, ( year 1960) NoStop [ Links ]
E. Knobloch, journal journal Nonlinearity volume 21, pages T45 ( year 2008) NoStop [ Links ]
M. G. Clerc, author S. Coulibaly, and author D. Laroze, journal journal International Journal of Biurcation and Chaos volume 19, pages 3525 ( year 2009) NoStop
D. Urzagasti, author D. Laroze, author M. Clerc, and author H. Pleiner, journal journal EPL (Europhysics Letters) volume 104, pages 40001 ( year 2013) NoStop [ Links ]
V. Zharnitsky, author I. Mitkov, and author M. Levi, journal journal Physical Review B volume 57, pages 5033 ( year 1998) NoStop [ Links ]
C. Guarcello, author K. edorov, author D. Valenti, author B. Spagnolo, and author A. Ustinov, journal journal arXiv preprint arXiv:1501.04037 ( year 2015) NoStop [ Links ]
N. Grønbech-Jensen, author P. Lomdahl, and author M. Samuelsen, journal journal Physics Letters A volume 154, pages 14 ( year 1991) NoStop [ Links ]
K. Trulsen and author K. B. Dysthe, journal journal Wave Motion volume 24, pages 281 ( year 1996) NoStop [ Links ]
I. Barashenkov, author E. Zemlyanaya, and author T. Van Heerden, journal journal Physical Review E volume 83, pages 056609 ( year 2011) NoStop [ Links ]
J. W. Miles, journal journal Journal of luid Mechanics volume 148, pages 451 ( year 1984) NoStop
I. Barashenkov, author M. Bogdan, and author V. Korobov, journal journal EPL (Europhysics Letters) volume 15, pages 113 ( year 1991) NoStop [ Links ]
R. Conte and author M. Musette, journal journal Physica D: Nonlinear Phenomena volume 69, pages 1 ( year 1993) NoStop [ Links ]
D. Urzagasti, author D. Laroze, and author H. Pleiner, journal journal The European Physical Journal Special Topics volume 223, pages 141 ( year 2014) NoStop [ Links ]
































