Servicios Personalizados
Revista
Articulo
Indicadores
-
Citado por SciELO -
Accesos
Links relacionados
-
Similares en
SciELO
Compartir
Revista Boliviana de Física
versión On-line ISSN 1562-3823
Revista Boliviana de Física v.24 n.24 La Paz jun. 2014
CONTRIBUCIONES
EXPERIMENTO LAGO CHACALTAYA 2013
LAGO EXPERIMENT CHACALTAYA 2013
P. Mirandaf, R. Ticona, A. Velarde, H. Rivera, M. SubietaInstituto de Investigaciones Físicas, Carrera de Física
Universidad Mayor de San Andrés
c. 27 Cota-Cota, Campus Universitario, Casilla de Correos 8635
La Paz - Bolivia
Resumen
Se inicia otra etapa del experimento LAGO (Large Aperture Gamma Ray Burst Observatory) desde septiembre de 2012, con una implementación electrónica moderna consistente de dos tarjetas: una ADC de tres canales, y otra FPGA (Nexys2) que lee las señales cada 25 ns. Este nuevo equipo es compacto; se probó la funcionalidad y se recalibraron los detectores del experimento. El software ofrece mayores bondades, gracias a los cuales se optó por registrar cuentas cada 5 ms para 7 umbrales por canal; además se observa cuentas de coincidencias entre los tres canales. Se presentan los resultados actuales de la variación temporal de los tres detectores Cherenkov que están operando desde 2009 en la montaña de Chacaltaya (La Paz, Bolivia), así como la valoración de este equipo. Actualmente las cuentas diarias y mensuales pueden ser observadas en internet. Se ha visto que las variaciones diarias están en correlación con las variaciones de presión; se observa asimismo la disminución de Forbush de la actividad solar.
Código(s) PACS: 95.85.Pw - 95.85.Ry - 95.45.+i
Descriptores: Destellos de rayos gamma (GRBs) - Rayos cósmicos - Instalaciones de detección.
Abstract
Another stage of the LAGO (Large Aperture Gamma Ray Burst Observatory) experiment starts since September 2012, with modern electronic implementation consisting of two cards: one three-channel ADC, and other FPGA (Nexys2) that reads signals each 25 ns. This new device is compact; it has been tested for functionality and the detectors of the experiment were recalibrated. Due to the greater benefits of the sowtware, we could register counts every 5 ms for 7 thresholds per channel; count coincidences were observed among the three channels. We present the current results of the time variation of the three Cherenkov detectors operating since 2009 in the Chacaltaya mountain (La Paz, Bolivia), as well as the valuation of this equipment. The daily and monthly counts can be consulted online via internet. We have observed that the daily variations are correlated with variations in pressure and with the Forbush decrease in the solar activity.
ubject headings: Gamma Ray Bursts (GRBs) - Cosmic rays - Observatories and site testing.
1 Antecedentes
El experimento LAGO-Chacaltaya está ubicado en 16o21'00"S latitud y 68o07'53"W longitud, con rigidez de 12GV, a 5240msnm, ésta altura ofrece mejores posibilidades para el estudio de detección de GRB en tierra, detectando fotones secundarios mediante la técnica de partículas individuales sobrevivientes de los pequeños chubascos atmosféricos producidos por fotones de energías mayores a 1GeV. Opera desde el año 2009 con tres detectores Cherenkov, basados en tanques de agua y electrónica del experimento Auger (Bariloche-Argentina) conocidas como Local Station (LS). La adquisición de datos se actualiza con una nueva electrónica formada por dos tarjetas; una, construida en Bariloche-Argentina, es un digitizador para tres canales ([22011bArnaldi et al.Arnaldi, Haro & Asorey]), y otra FPGA adquirida, la Nexys2. Durante el workshop de LAGO en Riobamba-Ecuador el mes de julio de 2012 se inician las pruebas, los detalles de la instalación se indican en anexo A. A la nueva electrónica haremos referencia como Lago2.
La información que se genera con este nuevo equipo esta basada en 12 muestreos de 25 ns cada véz que en alguno de los detectores se muestre algún pulso, es decir como un osciloscopio de tres canales en el que dispara cualquier señal que sobrepase la linea base.
Por otro lado se continúa usando los tres detectores Cherenkov, WCD1, WCD2 y WCD3, descritos posteriormente.
El experimento Lago de Chacaltaya Bolivia, forma parte de una red de detectores en varios paises, Argentina, México, Venezuela, Perú, Colombia, Guatemala y Ecuador, bajo la Colaboracion LAGO.
1.1 Detectores Cherenkov
Basicamente son tres tanques de agua, WCD1, WCD2 y WCD3 que suman un área frontal de 9.3 m2, cada uno tiene un fotomultiplicador y tarjeta base con dos salidas de señal una del ánodo y otra señal amplificada que proviene del último dinodo, en la tabla 1 se resumen las características, en la figura 1 se describe la instalación en bloques, en la figura 2 se muestran la distribución y orientación dentro del ambiente con techo de calamina.
Table 1: Parámetros de los detectores de agua Cherenkov
Figure 1: Tanques de agua y equipo electrónico del experimento LAGO en Chacaltaya
Figure 2: Distribución de los detectores WCD1, WCD2 y WCD3 a 5240msnm
A continuación resumimos algunos cálculos descritos en [32009Velarde et al.]. Las paredes internas de los tanques usan materiales reflectantes de color blanco, Tyvek y lona vinilica cuyo coeficiente de reflexión fué medido usando un led violeta. El agua es filtrada, además para WCD1y2 se han agregado Amino-G, este polvo desplaza la longitud de onda (nUV a visble) y aumenta la sensibilidad del fotomultiplicador, conocido como 3-Amino-2,7-naftalenodisulfonato ácido de sodio, su fórmula es NH2C10H5(SO3H) (CAS Number 5332-41-2). La ecuación utilizada para los fotoelectrones que llegan al fotomultiplicador es:

donde Nfot/cm es el número de fotones Cherenkov por cm, H es la altura del agua, QE es la eficiencia cuántica, r la reflexión de las paredes y t el coeficiente de transparencia del agua. APM/ATanq es la relación de areas del photomultiplicador de 8" (20cm diametro) con el area total del tanque, para el pequeño y grande son 3.4×10−3 y 1.75×10−3 respectivamente (la relación entre tanques es \approxeq 0.5). Para el número de fotones que se producen dentro del agua (Nfot/cm) fue necesario realizar varios cálculos conocidos con el muón que atraviesa el tanque de forma vertical denominado Vertical Equivalent Muon (VEM) este valor es usado para calibrar el detector en energía. Los valores resultantes fueron:
- El muón pierde 2MeV/cm en agua
- Fotoelectrones Tanque chico : 106fe
- Fotoelectrones Tanque grande: 54fe
- Número de fotoelectrones producidos en agua: entre 200 a 250 por cm. Los fotoelectrones se convierten en la carga que el fotomultiplicador entrega sobre una resistencia R en corriente. La corriente entregada por el fotomultiplicador desde el último dínodo sobre la resistencia es VR=I\cdotp R luego este tiene una amplificación de voltaje V=I\cdotp R \cdotpA. La corriente I es ∆Q/∆T, con lo que el voltaje de salida que llegará al conversor ADC ( VADC) esta dado por:

Los valores correspondientes son: la ganancia del PM G=106, la carga q=1.6×10−19C, el tiempo para un fotoelectrón. TFWHM=6ns, la resistencia R=50Ω y la amplificación A=20. Al construir los histogramas de carga para los tres detectores se determinaron que las jorobas corresponden al VEM, en canal para la energía de la partícula que produjo cada pulso, estos fueron:
- WCD1 canal 315±20 = 280MeV con HV 1350V
- WCD2 canal 273±20 = 300MeV con HV 1600V
- WCD3 canal 197±20 = 300MeV con HV 1200V El histograma de peak se construye en función al pico mas alto de cada pulso, relacionando en voltajes 1V/1024, es decir que cada canal tiene 1mV. en el caso de WCD1 VEM es 280 MeV corresponde a 180 mV hay una relación de 1.6 veces. Para WCD2 300 Mev en 150 mV con una relación de 2. Esto fue útil para ver la linealidad con un generador de pulsos.
La nueva Local Station esta construida en base a dos tarjetas y otros accesorios, una tarjeta es el digitizador y la otra es la Tarjeta FPGA Nexys2 (fabricante Digilent), al que se conectan también sensores de presión y temperatura. La tarjeta digitizadora tiene tres canales de entrada para la señal análoga (impedancia de 50 ohms), un amplificador y un conversor ADC de 10 bits con el rango de 0 a 1 V. y muestreo de 25 ns. Para control de alto voltage de los fotomultiplicadores se tiene tres controles; uno via DAC y dos via PWM (Pulse Width Modulation), los tres generan el voltaje necesario de 0 a 2.5V ( ó 0 a 5V).
La tarjeta FPGA de Nexys2 opera a 40 Mhz, se comunica via USB, se carga el programa lago.xvf y arranca de inmediato. Al comunicarse via USB2 se alcanza hasta 400 Mbits (aproximadamente 40 Mbytes).
Figure 3: Partes de la nueva electrónica Lago2([12011aArnaldi et al.Arnaldi, Bertou & Sofo])
En la figura 3 se observa el conjunto de los componentes indicados y en los artículos [22011bArnaldi et al.Arnaldi, Haro & Asorey] y [12011aArnaldi et al.Arnaldi, Bertou & Sofo] se describen el uso. En un computador se recolectan los datos enviados por la Local Station y se crea un archivo horario.
1.3 Software de Lago2Esta electrónica viene con un nuevo software para adquirir datos "lago" y otro para procesar "process", ambos desarrollados en C++, estos son diagramados en las figuras 4 y 5.
Figure 4: Etapas del programa de adquisición de datos daq
Observamos que el programa lago usado como comando lago -f CHA realiza la tarea de recibir datos mientras esté en operación. También tiene otras opciones previas, tanto para elegir el trigger y el alto voltaje de cada canal, (ver anexo E ). Genera uno de los archivos de salida horaria file.dat (sin GPS o con GPS respectivamente)
- CHA_nogps_2012_10_10_00h00.dat
- CHA_2012_10_10_00h00.dat
Estos files contienen información secuencial de los pulsos, y otros parámetros como la temperatura y la presión con identificadores únicos.
Figure 5: Programa de analisis de datos genera histograma de charge y peak
El segundo archivo es el "process", éste toma como entrada el file.dat que fué la salida anterior clasifica y genera un archivo de salida file.dat.cal, este archivo tiene seis columnas que contienen datos para construir histogramas de charge y peak; al graficarlos se observa la distribución de carga y de pico [Pulse Hight Distribution (PHD)] de cada detector. Se espera que partiendo de estas informaciones file.dat y file.dat.cal cada grupo pueda generar otra información útil destinado al estudio de los GRB. El file.dat es extenso (del orden de gigabytes) y no es posible guardar aún compreso, por lo que debe ser borrado. Antes de borrar se hace correr otro programa para clasificar las sumatorias cada 5 ms en 7 canales de discriminación scalers, el programa se llama lagoS.c y el archivo de salida es file.datS.
2 Pruebas
En el computador con sistema linux se hace correr el programa lago con los argumentos que determinan las acciones paso a paso, estos son:

Para detener el processo se interrumpe con ctrl+C. Cada hora se crea el archivo de salida file.dat. En el archivo de salida se observa el registro de 12 datos que tienen el siguiente formato:
50 52 51 8 49 51 709 51 52 380 53 51 152 47 53 84 50 50 61 47 49 68 53 48 58 48 53 53 47 49 51 50 51 52 51 48 # t 1 2294066 # c 200815953
Se trata de un pulso iniciado por el canal 1 que esta conectado al detector cherenkov WCD (u otro detector o simplemente a un generador de onda). El intervalo del muestreo es 25 ns, resulta 300 ns en total, observemos 12 muestras, luego dos lineas que inician con marcas "#", la marca de # t 1 2294066 corresponde al trigger del canal, al final el tiempo del GPS, # c 200815953 corresponde al contador de eventos o triggers. La linea base está por defecto en 50, eso implica que los pulsos deben estar arriba de este valor, y los tres canales están al rededor de este umbral. El pulso del canal 1 alcanza el máximo del pico al valor 709; este valor está dentro de los limites del ADC de 10 bits de 0 a 1024. La forma del pulso se muestra en la figura 6
Figure 6: Muestreo del pulso cada 25 ns
Cuando se tienen tres detectores como en Chacaltaya, se presenta el mejor caso cuando hay coincidencia entre los tres detectores. El resultado será como en la figura 7, correpondiente a los siguientes datos.
51 50 50 48 109 49 418 638 537 354 299 197 129 132 67 102 74 62 65 60 44 69 54 54 58 55 53 55 51 52 52 49 49 51 53 52 # t 7 16231005 # c 200845539
Figure 7: Pulsos en coincidencia de tres detectores cherenkov
Para poner en operación el experimento, se realiza una serie de calibraciones para la correcta interpretaciíon de los datos, estas son: la amplificación de la se\'nal análoga, la linea base, el plateau, la selección del alto voltaje, la selección del trigger, la cantidad de datos por segundo (el rate), el análisis de las se\'nales, el registro de datos final, el manejo de los datos, el control del proyecto, la publicación de datos brutos en la web, etc.
2.1 CaracterísticasResumimos algunas características para proseguir con la calibración:
El valor del trigger que se seleccione, debe ser mayor a la linea base. Según el esquema del circuito, la linea base está seleccionada por defecto en 50 mV. Si el trigger seleccionado está cerca de la linea base, se tiene un rate mayor y por tanto, el archivo es muy grande, si está lejos de la linea base el rate y el archivo son menores, esta es una ley de potencias proporcional a la energía.
2.3 Alto Voltaje
Un fotomultiplicador funciona con un alto voltaje, éste voltaje lo proporciona un conversor DC-DC controlado por un bajo voltaje inserto en la tarjeta base. El voltaje de control está en el rango 0 ∼ 2.5 V y se obtiene 0 ∼ 2000 V (la relación es de 800), El voltaje de control es la salida de un conversor DAC. Para activar este voltaje se usa el comando lago -s hv1 1350, donde 1350 es el voltaje esperado Vi. En la práctica este voltaje sufre una modificación, expresado como un factor multiplicativo; para ambos canales tenemos:
Esta relación es usada para construir el plateau, la obtención de estos factores se redacta en anexo D 2.4 PlateauComo primer paso construimos el plateau, tomamos en cuenta dos aspectos: el trigger y el alto voltaje. En este caso dejamos el trigger constante mientras variamos el alto voltaje, incrementando en 50 voltios para construir la tabla para corridas de un minuto; a estos valores los multiplicamos por los coeficientes para obtener el alto voltaje real sobre el fotomultiplicador. Con esto construimos la curva que se presenta en la figura 8. Se observan tres pendientes, a partir de 1200 voltios es la pendiente del plateau ya que no incrementa rapidamente. Complementando con el histograma elegimos el voltaje apropiado.
Figure 8: Plateau para WCD1, WCD2 y WCD3.
Figure 9: Histograma de pico y carga para WCD1.
3 Histogramas de ajuste
Se construyen dos tipos de histogramas: uno de picos y otro de carga, (peak y charge) para tiempos de un minuto. Eligiendo el voltaje en la zona del plateau, graficamos el histograma. En él se observa la joroba representativa del VEM. En la figura 9 se presenta el comportamiento del WCD1. La curva del peak refleja los voltajes de pico para cada pulso de entrada, el rango es de 0 a 1 V para el conversor Análogo digital (ADC) de 10 bits. En binario corresponde entre 0 y 1023 canales, corresponde a la sensibilidad de 0.977 mV, el que redondemos a 1 mV/canal.
Figure 10: Histograma de pico y carga para WCD2
Figure 11: Histograma de pico y carga para WCD3
La curva de carga representa la integral de cada pulso y representa la energía de la partícula. En el pico de la joroba está la energía mínima depositada por el muón que atraviesa el tanque, esta joroba no es tan pronunciada como a nivel del mar, puesto que a mayor altura existen menos muones y mas electrones. De igual forma, para los detectores WCD2 y WCD3 se muestran en las figuras 10 y 11. Se observa que tienen diferentes comportamientos, en WCD2 existe la joroba y en WCD3 se manifiesta debilmente. De todas formas, para la calibración se requieren estos gráficos. Con la intención de comparar las curvas de carga se grafican, en la figura 12, el rango visible dentro de las jorobas, también se grafica en escala log-log fig. 13 para ver si existe cambio de pendiente, y efectivamente se observan en los tres, además se destaca la primera joroba correspondiente a los electrones.
Figure 12: Histograma de carga la joroba corresponde al VEM, WCD1 425, WCD2 272, WCD3 200
Figure 13: Histograma de carga (log log) para precisar el cambio de pendiente del VEM, WCD1 425, WCD2 272, WCD3 200
De esta forma con el plateau y el histograma se han elegido los valores de, alto voltaje, y el correspondiente promedio al minuto y segundo, para determinar los VEMs (ver tabla 2).
Table 2: Ajuste según plateau, el canal VEM del histograma de carga

En la tabla 2 se presenta el rate del WCD2 que tiene valor cercano al WCD3, mientras que el rate del WCD1 es la mitad de WCD2 debido a la proporcionalidad de áreas de cada detector. El rate de WCD3 es algo mayor que WCD2, pero está dentro de lo esperado. Este rate responde también al trigger de 70, para los tres detectores está alejado en 20 de la linea base. El alto voltaje también esta dentro el rango esperado. En las pruebas, al tratar de acercar el trigger a la linea base de 50 se observó que el tamaño del archivo horario crece exponencialmente, algunos datos experimentados son:

Está claro que para un trigger de 55, estamos a 5 canales de la linea base, equivalente a 5 mV. En la entrada del ADC tendremos 55 mV, los tres canales generaran aproximadamente 30 Gbytes/hora. Por esto el análisis demora mas de media hora en el computador. En consecuencia, se ha elegido el trigger de 70 y se obtiene entre 5 y 6 Gbytes hora, el proceso de analizar toma como 10 minutos.
4 Programas adicionales
Como se indicó anteriormente se obtiene los resultados en dos archivos, el file.dat es enorme si el trigger está cerca de la linea base, pero inevitablemente esa es la tendencia para buscar GRB. Este archivo que alcanza varios Gigabytes por hora, presenta problemas al almacenar incluso en forma comprimida; por esta razón el análisis debe ser inmediato para luego guardar el resultado y borrar el file.dat. Estos análisis comprenden: Scalers, Sigmas, GRB, Charge, Peak, Forbush y otros, además de otras facilidades como graficos diarios para control via internet. En este sentido se han confeccionado cuatro programas, dos para análisis y dos para gráficos. Los de análisis desarrollados en C++ como lagoS permite crear los Scalers (cada 5 ms) y el calib horario como archivos patrones. El programa lagoSseg permite reducir los Scalers a sumatorias por segundos, minutos y horas. Estos serán apropiados para crear gráficos temporales de forma simple. Estos programas en forma de esquema se presentan en la figura 14.
Figure 14: Flujogramas de programas que Construye: (a) Scalers e Histogramas, (b) Datos temporales de minutos y horas. El Scaler para 5 ms tiene una particularidad, se han dispuesto 7 niveles de discriminación para diferenciar 7 niveles de energía (en MeV para los muónes). Suponiendo que el rango binario del ADC de 10 bits es de 0 a 1023 (equivalente de 0 a 1000 mV), los umbrales se eligieron: 5, 10, 20, 50, 100, 200 y 500 por encima de la linea base. En el mismo archivo se incluyen los rates de trigger t1, t2, t3, t4, t5, t6 y t7 del archivo original file.dat. En consecuencia el formato de file.datS es de 29 columnas: tiempo(ms) 7ch1 7ch2 7ch3 7trigg y se conservan los demas comentarios que inician con #, por lo que el tiempo del GPS forma parte del archivo, así como las presiones, temperaturas y otros. A continuación como ejemplo se presenta cuatro strings del archivo CHA_2013_04_09_00h00.datS con las cuentas para los tiempos 5, 10, 15, y 20 ms, del segundo 1365465600 correspondiente el GPS.
# x h 00:00:00 09/04/2013 1365465600
5 7 7 6 3 2 1 0 16 16 15 11 7 1 0 33 33 33 13 8 1 0 7 16 0 33 0 0 0
10 9 9 9 4 3 2 0 11 11 11 5 3 1 0 26 26 25 12 5 1 0 9 11 0 26 0 0 0
15 5 5 5 4 3 0 0 23 23 22 9 5 3 0 21 21 21 9 3 1 1 5 23 0 21 0 0 0
20 15 15 15 8 4 2 1 28 28 24 10 9 4 1 22 22 22 9 7 3 0 15 28 0 22 0 0 0
En vista de que será borrado el file.dat se crea también el file.dat.calS en semejanza al generado por el process. Posteriormente, el file.datS es comprimido con bzip2. Por esta razón previamente se hace correr el programa lagoSseg para crear los archivos temporales reducidos a file.datS.seg, file.datS.min, file.datS.hor. Estos se pegan a un solo archivo diario con el comando tar, para luego ser movidos a diferentes directorios. Este es el proceso de operación en Chacaltaya, y se han creado varios scripts que son llamados desde crontab; además cada fin de hora corre el script comprimir.sh como se detalla en anexo F. Al terminar el día en el tiempo universal (horas 20:00 en Bolivia) se realizan los resumenes en gráficos estos gráficos se almacenan en un directorio de graficos. Finalmente se envia al servidor para ver lo sucedido desde cualquier otro sitio remoto. En el siguiente cuadro se incluyen los promedios al segundo de un día de operación: los siete discriminadores d1..d7 para WCD1, WCD2, WCD3, y los siete triggers t1..t7.
Table 3: Cuentas al segundo para cada scaler en un día de operación

Table 4: Dispersión para cada detector y coincidencias en un día de operación

Revisando d1 a d7 existe una dismunución exponencial, que es lógico por que corresponde a la sumatoria que incluye hasta el máximo del histograma de carga. Es decir que para d4 correspondiente al umbral 50 (100 mV), se suman las cuentas del canal 100 a 1023. Habiendo seleccionado el trigger a 70 correspondiente a d3, los d1, d2 y d3 debieran ser cercanos. En t1 a t7 se observa las cuentas individuales: t1, t2, t4 correspondientes a WCD1, WCD2, WCD3, t3 t5 t6 t7 que corresponden a las coincidencias entre los detectores.
5 Gráficos
Los datos básicos, generados por los archivos lagoS y lagoSseg son 5, muestran las variaciones temporales. Como se indicó anteriormente, se han construido tres programas graficadores, estos son útiles principalmente para controlar la buena operación del experimento los flujogramas se presentan en la figura 15.
Figure 15: Flujogramas de programa de ploteos: (a) calS, (b) temporal diario.
5.1 Información en internet
La UMSA logró instalar internet en Chacaltaya y opera con regularidad a partir del año 2013. La acción inmediata fue construir la página web www.chacaltaya.umsa.bo, en la que se han incluido gráficos con datos brutos de todo los experimentos en rayos cósmicos. Con estos graficos públicos, se controla la operación, se supervisa y se planifican acciones desde cualquier punto. Posteriormente en esta página explicaremos detalles de cada experimento.
Figure 16: Rate de WCD1 para 7 niveles
Figure 17: Rate de triggers de WCD1, WCD2, WCD3, coincidencias y presión
La operación del equipo comienza oprimiendo una tecla que activa el programa lago.sh desde pantalla. Cada hora se analiza el file.dat de salida con el programa comprimir.sh activado automaticamente en crontab, este crea el file.datS, y file.dat.calS. Cada fin de día a horas 20:00:00 se construyen gráficos a minutos y horas, los gráficos de minutos se publican en la web.
Figure 18: Distribución de sigmas
Figure 19:
Variación de las Cuentas Vs. Presión para WCD1, WCD2 y WCD3 para el mismo día de corrida, muestra la anticorrelación en los tres detectores. Al incorporar esta nueva electrónica, se vio que WCD1 y WCD2 operan bien, mientras que para WCD3 se realizó el mantenimiento correctivo desde el cambio de agua, hasta la tarjeta base.
Figure 20: Variación temporal anual de cuentas al segundo: WCD1, WCD2, WCD3, coincidencias WCD1y2, WCD1y3, WCD2y3 y WCD1,2y3. La inferior corresponde a la presión en mbar
Se obtuvieron nuevamente, los plateaus de cada detector. Se han adoptado otros valores de voltajes de operación. Se construyeron los programas necesarios para clasificar en 7 umbrales cada 5 ms y poder observar muones con energías entre 5 MeV a 1 GeV, que podrían reportar la detección de posible GRB mayores a 1 GeV. Se ha estabilizado la adquisición de datos y LAGO2 está en operaciíon generando datos de conteos diarios en files de 200 Mbytes. En la figura 16 se incluye el gráfico suavizado del rate diario de WCD1 con sus 7 niveles de discriminación con la finalidad de ver la variación en todo los niveles. En la figura 17 se observa la variación diaria de WCD1, WCD2, WCD3 y las coincidencias WCD1+2, 1+3, 2+3, 1+2+3 mas la variación de la presión, los cuales son promediados al segundo, y corresponden con la media de la tabla 3. Podemos afirmar que los tres detectores funcionando con mínima dispersión, en la figura 18 se incluyen las dispersiones para los 7 umbrales, a la derecha está el mas bajo ( > 5) con mayor sigma y a la izquierda el mas alto ( > 500) con menor sigma. En dicho gráfico se incluye un acercamiento sobrepuesto de las distribución gausiana y estos están dentro del orden esperado como se muestra en la tabla 4 que sirve como referencia. En el rate de un día, figura 17, la última curva representa la variación de presión, que compara con las demás curvas presenta una anticorrelación. Esto se observa con mayor claridad en la figura 19 (corresponden al umbral de 20) para los tres detectores. En este comportamiento el WCD3 presenta alguna diferencia, que se debe posiblemente a la falta de algún ajuste o corrección. Se incluye, en el gráfico de la figura 20, el comportamiento de un año completo, se observa que WCD1 permanece dentro del margen de estabilidad, mientras que WCD2 y WCD3 son sensibles pero presentan un incremento, del tipo exponencial a lo largo del tiempo, posterior a cada reiniciar el equipo. En 30 días WCD3 se incrementa el 37.5% de cuentas (1.25% día para caso lineal). En el caso de WCD2 lo propio 12.5% de incremento (0.42% día). Finalmente se incluyen tres gráficos figuras F1, F2 y F3 que se presentan en la página web, esto para monitoreo. La elaboración se realiza al finalizar el día, estos gráficos contienen datos brutos sin suavizar. Con la finalidad de ver si se observa eventos de Forbush como el sucedido el 14 de abril 2013 se incluye el gráfico F3 del mes de abril de 2013, se observa que los tres detectores presentan una variación importante que se inicia el día 14 y dura mas de dos días. Para el análisis de esta variación exclusiva se está redactando un artículo.
7 Conclusiones
El experimento Lago en Chacaltaya, en esta fase, opera desde septiembre de 2012 y regularmente desde marzo de 2013 con tres detectores herenkov, en las mismas condiciones. El umbral elegido es de 70 para los tres detectores, generando archivos horarios de 6 Gbytes que luego del análisis son borrados quedando otro archivo con sumas a 5 ms de 8 Mbytes. Por día se almacena a 200 Mbytes mas otro archivo de histogramas de 1.4 Mbytes. El promedio del rate al segundo es de 1150/m2 para trigger de 70 equivalente a 20 mV y 580/m2 para 50 mV. Las coincidencias t3, t5, t6, t7 en la figura A y según la tabla 18 corresponderían a un arreglo de t5 este-oeste con 18 cuentas, t6 norte-sur con 58 cuentas, y t7 coincidencias tipo chubasco con 27 cuentas. Las energías VEM para cada detector según la carga y de la tabla 2:
- WCD1 canal 425 para 280MeV HV 1280
- WCD2 canal 272 para 300MeV HV 1417
- WCD3 canal 200 para 300MeV HV 1342
En las figuras mensuales y anuales, se observa que WCD1 presenta cuentas casi constantes al rededor del rate con un sigma de 30. Presenta variación temporal en anticorrelación con la presión que varia el 1.8% diario. Para WCD2 y WCD3 de igual forma se tiene sigma de 50 y variación del 2% ante la presión. En WCD2 y WCD3 lo destacable con la nueva electrónica es el incremento paulatino de cuentas de un dia a otro 0.42% y 1.26% respectivamente. Este efecto parece ser por incremento de alto voltaje causado por el modo PWM usado en estos canales.
References
- 12011aArnaldi et al.Arnaldi, Bertou & Sofo]
- Arnaldi H., Bertou, X. & Sofo M. (2011)a, Data analysis of the high bandwidth LAGO Electronics (Centro Atómico Bariloche)
- [22011bArnaldi et al.Arnaldi, Haro & Asorey]
- Arnaldi H., Haro M. S. & Asorey H. G. (2011)b, Lago Oficial Electronic guide, Electrónica LAGO:Guia de Conexión de Hardwarem Interfaces LAGO, New Lago Electronic Getting Starded (Centro Atómico Bariloche)
- [32009Velarde et al.]
- Velarde A., Ticona R., Miranda P., Rivera H. & Quispe J. (2009), Revista Boliviana de Física 15, 32
A Lago2 Instalación
Los pasos para la instalación de la tarjeta electrónica Nexyx2 y la digitizadora: Usamos la información solicitada a la colaboración LAGO en Bariloche ([22011bArnaldi et al.Arnaldi, Haro & Asorey]) contiene detalles importantes para la operación y las primeras pruebas. Aún asi fueron necesarias otras aclaraciones. Las pruebas se realizaron en el laboratorio de rayos Cósmicos del IIF en La Paz Bolivia.
-El Computador sistema linux
-Instalar el programa compilado lago en PC.
-Habilitar a usuario acceso a USB.
-Conectar PC-Nexys2 con cable USB.
-La tarjeta digitizadora contiene jumpers que se deben seleccionar.
-Conectar tarjeta digitizadora y Nexys2 -En Nexys2 el switch 7 en ON.
-En Nexys2 el jumper 9 en JTAG
-En Nexys2 el jumper 7 de power en Wall.
-Alimentar a Nexys2 con fuente externa de +12V dc.
-En Nexys2 el push button 1 es usado para restituir los triggers.
lago -x lago.xsvf. Observar que los leds en Nexys2 muestran su nuevo comportamiento, (LD0 ON). Luego se inicializan los niveles de trigger con:
lago -s t1 100 Se selecciona el alto voltaje del fotomultiplicador:
lago -s hv1 1350 Finalmente se corre el programa que recibe datos.
lago -f CHA. Para iniciar con la recepción de se\'nal conectar alguna se\'nal a la entrada de uno de los tres canales, la se\'nal puede ser de detector o de generador de pulsos, como indicio los leds3, 4 y 5 se vuelven intermitentes. Una vez iniciado, los datos se graban en el archivo CHA_2013_03_09_12h00.dat, automáticamente con la fecha y hora extraida del PC. En nuestro caso el PC opera en linux Suse 11.4, mientras que las recomendaciones del readme que viene en el software de la tarjeta son para Ubuntu, es decir, no son totalmente compatibles, pero bajando via internet el ejecutable o compilando en otro PC con Ubuntu, se logra el programa lago puesto que este utiliza drivers de USB que proporciona la Nexys2 lo que hace que la comunicación sea exclusiva. En los scripts del anexo E se observan retardos sleep 10 , estos son usados para una correcta toma de datos, el caso especial es la puesta de HV de WCD2 y WCD3 controlados por la técnica usada PWM, le toma varios segundos comenzando de cero hasta alcanzar el alto voltaje elegido.
C Corrida
En los scripts E y F se resumen las acciones automáticas para la corrida del experimento lago. El script E inicializa y pone a operar creando archivos horarios, el script F es corrido cada hora activado por el crontab, el trabajo principal es hacer correr el programa de análisis lagoS (similar al programa process mas scalesrs) y luego borra el archivo horario *.dat por ser grande. El resto de los scripts son para crear archivos de segundos, minutos, horas y gráficos.
D Factor para alto voltaje
La relación entre el voltaje seleccionado en el argumento del comando (lago -s hv1 1350) y el voltage en el photomultiplicador, se vió, que no es directa debido a que en el canal 1 usa DAC y en los canales 2 y 3 genera voltaje mediante PWM, por tal razón, fue necesario construir una tabla de relación entre el voltaje que se selecciona y el voltaje que entrega el DAC para el alto voltaje del photomultiplicador. En la tabla D, se apunta el resultado, tomando en cuenta que la tarjeta base del photomultiplicador tiene un regulador dc-dc que opera de 0 a 5V y sale de 0 a 2000 V, tambien contiene un amplificador de 2 dentro de la tarjeta base con lo que la entrada se reduce al rango 0 a 2.5 V equivale 0 a 2000 V, es decir una relación de 800. Cuando el voltaje de entrada exede a 2.5 V la salida se sostiene en el máximo de 2000 V.
B Habilitación Nexys2
Habilitar a usuarrio el acceso a USB y comunicarse con Nexys2. Se realiza creando el archivo /etc/udev/rules.d/52-nexys-usb.rules con el siguiente contenido en una sola linea.
SYSFS{idVendor}=="1443", MODE="666" ACTION==
"add", SYSFS{idVendor}=="0403", SYSFS{manufa
cturer}=="Digilent", MODE="666", RUN+="/usr/
local/sbin/dftdrvdtch %s{busnum} %s{devnum}"
Table 5: Equivalencia de Voltaje seleccionado y entregado por el hardware

Figure 21: Relación de voltaje entrada salida
De este cuadro obtenemos los factores 1.115 y 0.746 indicadas en las ecuaciones y , para seleccionar el correcto alto voltaje (ejemplo: lago -s hv 1 1210 selecciona 1350 V por el canal 1 y 1125 V por el canal 2 ó 3.), ésto indica que el argumento introducido en el comando será modificado según la tabla D o la curva en la figura D1.
E lago.sh
#!/bin/sh
if ps h -C lago
then
echo "El programa lago ya esta corriendo"
exit
fi
cd /home/lago/lago2/lago/
./lago -x lago.xsvf
echo "sleep 5 secconds" ; sleep 5
./lago -s t1 70 ; sleep 1
./lago -s t2 70 ; sleep 1
./lago -s t3 70 ; sleep 1
./lago -s hv1 1150 ; sleep 1
./lago -s hv2 1900 ; sleep 1
./lago -s hv3 1800
echo "sleep 10 secconds Setting High Voltage" ; sleep 10
./lago -a
echo "sleep 15 secconds to run and HV setup from PWM" ; sleep 15
echo "RUN LAGO2 !!!"
while true
do ./lago -f CHA
done
F comprimir.sh
#!/bin/sh
## comprimir.sh scripts para manejo de files bruto de Lago
## P.Miranda, Lago2 sep-2012
[ "$#" == "1" ] && [ "$1" == "-h" ] && {
echo "Programa de scripts para comprimir datos brutos de LAGO"
echo " sh comprimir.sh"
echo " sh comprimir.sh FileTipo.dat"
exit
}
DIR=$HOME/lago2/lago
cd $DIR
hora=`date +%Y_%m_%d_%Hh00.dat --date="+11800 sec"`
dia=`date +%Y_%m_%d.dat --date="+11800 sec"`
mes=`date +%Y_%m.dat`
lab=CHA_
file=$lab$hora; ! [ -r $file ] && lab=CHA_nogps_
[ "$#" == "1" ] && { Nl=`expr length $1`
let Nf=$Nl-19; let Nlab=$Nl-20
lab=`expr substr $1 1 $Nlab`
hora=`expr substr $1 $Nf 20`
dia=`expr substr $1 $Nf 10`.dat
mes=`expr substr $1 $Nf 7`.dat
}
file=$lab$hora
filedia=$lab$dia
filemes=$lab$mes
! [ -r $file ] && echo "El file No Existe: $file" && exit
./lagoS $DIR/$file
rm -f $DIR/$file
./lagoSseg $DIR/$file"S"
bzip2 $DIR/$file"S"
tar -rf $DIR/datos_zip/$filedia"S.bz2.tar" $file"S.bz2"
rm -f $DIR/$file"S.bz2"
tar -rf $DIR/datos_zip/$filedia".calS.tar" $file".calS"
rm -f $DIR/$file".calS"
cat $DIR/$file"S.seg" >> $DIR/datos_seg/$filedia"S.seg"
rm -f $file"S.seg"
cat $DIR/$file"S.min" >> $DIR/datos_min/$filedia"S.min"
rm -f $file"S.min"
cat $DIR/$file"S.hor" >> $DIR/datos_hor/$filedia"S.hor"
cat $DIR/$file"S.hor" >> $DIR/datos_hor/$filemes"S.hor"
rm -f $file"S.hor"
Figure 22: Variación temporal diaria en bruto para WCD1,WCD2,WCD3 para los 7 umbrales, y t1 a t7
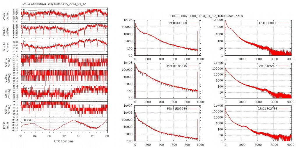
Figure 23: (izquierda)Variación temporal en detalle de datos brutos de un día, (derecha) Peak y Charge de una hora
Figure 24: Variación temporal mensual















