SciELO - Scientific Electronic Library Online

 
vol.20 número20Remote control and telescope auto-alignment system for multiangle lidar under development at CEILAP, ArgentinaOptical study of the laser beam propagation on Nd:YAG crystal slab for space LIDAR missions índice de autoresíndice de materiabúsqueda de artículos
Home Pagelista alfabética de revistas  

Servicios Personalizados

Revista

Articulo

Indicadores

Links relacionados

  • No hay articulos similaresSimilares en SciELO

Compartir


Revista Boliviana de Física

versión On-line ISSN 1562-3823

Revista Boliviana de Física v.20 n.20 La Paz  2012

 

Rayleigh lidar temperature profiles between 15 - 60 km during OZITOS campaign in Río Gallegos (51° 55’S, 69° 14’W), Argentina

Salvador, J., Wolfram, E., Orte, F., Bulnes D., D’Elia, R., Quel, E.

CEILAP (CITEDEF-CONICET), UMI-IFAECI-CNRS 3351, Juan B. de La Salle 4397, B1603ALO Villa Martelli, Argentina. Tel: +54-02966-15655090,

E-mail: jsalvador@citedef.gob.ar

Zamorano, F., Casiccia, C.

Universidad de Magallanes (UMAG), Punta Arenas, Chile


SUMMARY

The determination of temperature measurements from the Rayleigh scattering is an important remote sensing technique for obtaining stratospheric profiles. This technique is applied to signals acquired by a Rayleigh lidar (Light Detection and Ranging). Currently the Observatorio Atmosférico de la Patagonia Austral (51° 55’S, 69° 14’W) in Río Gallegos, Argentina is part of the UVO3Patagonia project in collaboration with the laboratory of Ozone and UV Radiation in the city of Punta Arenas, Chile distant 200 km, for more information www.uvo3patagonia.com. In this paper we showed the technique to measure temperature profiles in the stratosphere between 15-60 km altitude. We compared the temperature profiles obtained of the second ozone sounding campaign called OZITOS (OZone profile aT RíO GallegOS) carried out in March 2011 in Río Gallegos with the temperature profile retrieved by the Rayleigh lidar using the line of 355 nm, in the same period. The results presented in this paper are validated through intercomparisons with measurements made by MLS instrument (Microwave Limb Sounder) onboard the NASA AURA satellite platform and NCEP data.

Key words: Rayleigh lidar, temperature profile, radiosounding measurements


INTRODUCTION

The lidar emerged as a powerful technique for the remote sensing of the atmosphere. The Rayleigh scattering due to air molecules has been widely used over the past 20 years to determine the temperature profile of the atmosphere between 30 and 90 km altitude. This method allows to study the dynamics of the middle atmosphere with high vertical resolution and temporal evolution. The extension of this technique to the lower atmosphere below 30 km is limited by aerosol scattering, ozone absorption, and dense atmospheric attenuation. To overcome these difficulties, the wavelength dependent non-elastic Raman scattering technique has been employed recently (Gross et al., 1997) (Gu et al., 1997) (Nedeljkovic et al., 1993). However, Raman lidar requires a high-power laser transmitter to improve the low-level signal conditions because the Raman scattering cross section is about 3 orders of magnitude smaller than that of the Rayleigh scattering. Balloon borne instruments, rocket sounding, and satellite observations have been the main sources of information of this region. However, these datasets show many discrepancies and contain deficiencies due to poor vertical resolution and discontinuities. In this respect, the use of lidar, complements the other techniques, since the unique feature of lidar is its capability to make measurements of a number of important atmospheric parameters with excellent space and time resolution.

Since 2007, CEILAP group has installed the Observatorio Atmosférico de la Patagonia Austral. Actually we have a binational project with the laboratory of ozone and UV radiation (LabO3RUV) from Magallanes’s University called

UVO3 Patagonia, supported by Japanese Cooperation Agency (JICA). Both groups are specialized in measured the depletion ozone using differents techniques. In CEILAP group basically can obtain ozone profile using a DIAL system described (Wolfram et al., 2008). The LabO3RUV measured using ECC balloon sonde (Electrochemical Concentration Cell), developed by Komhyr (Komhyr 1969, 1971).

The final objective of this paper is to do an introduction to temperature profiles using a Rayleigh lidar which will be describe below. Also a campaign of ozonesounding made in Río Gallegos in March 2011, called OZITOS II (OZone profile aT RíO GallegOS) will be used to compare temperature profiles between 10 up to 32 km.

The analysis that we will make below is important to know since the campaign OZITOS II was principally designed for the validation of ozone profile. This paper try to use the temperature from radiosounding aboard the balloon sonde to compare the temperature profile obtained by the Rayleigh lidar temperature, and this way increase the capability of the instrument. Also we use the data from the National Centers for Environmental Prediction (NCEP) and the MLS instrument aboard satellite AURA-NASA (Acker and Leptoukh, 2007).

METHODOLOGY

The methodologies described in this section were separated in two parts: the first one describe how obtain a temperature profile from a Rayleigh lidar as a part of the DIAL system. The second one, tried describe the sensor used for the validation of temperature profile from Rayleigh lidar.

Rayleigh lidar temperature profiles

Lidar temperature measurements require that only molecular Rayleigh scattering contributes to the return signal and Mie scattering from aerosols is negligible. This is usually the case above 30 km, even after a volcanic eruption such as Mt. Pinatubo (Steinbrecht and Carswell, 1995). When the Mie scattering is notDescripción: C:\Users\Felix\Desktop\rbf20shtml\presentaciones\pre12\pre12_images\pre122xi1.jpgnegligibleDescripción: C:\Users\Felix\Desktop\rbf20shtml\presentaciones\pre12\pre12_images\pre122xi2.jpgwhich occurs typically below 30 km, the temperature value is lower than the real one due to the effects of aerosols.

The temperature algorithm only Rayleigh-scattered light signals produced by the atmosphere from the third harmonic of Nd-YAG laser at 355 nm were used. During the lidar measurements, the output of the multi-channel counters (MCS) provides the raw data as single ASCII files, with an integration time of 1 minute. The retrieval algorithm reads two raw data sets at 355 nm (high and low sensitivity), then performs a data integration variable from 1 to 3 hours. In the next step, two corrections are applied to remove systematic errors in the signals: background signals, Signal-Induced Noise (SIN). The objective of these corrections is to obtain a pure lidar backscattering signal. Then both corrected signals are merged by means of linear fitting in the 20-25 km range.

After this corrections, we retrieved the temperature profile from the lidar signal.

ECC sondes

The balloon sondes used during OZITOS II campaign are configured by a radiosounding and an ECC which is the responsible for the detection of ozone concentration. In our experiment the ECC sonde launched has also a radiosounding which can measure temperature, humidity and pressure.

The radio receptor is a Lockheed Martin LMG6. It was used for store all data emitted by the sonde. As sensor we used a meteorological radiosounding LMS6. An ECC model EN-SCI Corporation was used for measure the ozone concentration.

OZITOS II CAMPAIGN

In December 2008, the instrument DIAL for the measurements of stratospheric ozone profile deployed in the Patagonian city of Río Gallegos was accepted as part NDACC (Network for the Detection Atmospheric Composition Change). This new stage of the instrument must satisfy new requirements as intercomparisons with other kind of sensor to check the stability and guarantee a quality in the measurements. Very often different groups around the world used ECC balloon sondes for measured ozone concentration in a region between the surface up to 30 km aprox.

Though the principal objective was to make validations between DIAL and ECC balloon sondes, this paper showed the comparison between temperature profile derived with the 355 nm line as described above and the temperature profile measured with the radiosounding, during OZITOS II campaign.

Experimental design

The night March 17, 2011 both groups decided to lunch in a same night three balloon sonde in coincidence with the DIAL operation. The aim was study the minimum time of integration in the data files acquired by DIAL systems. The schedule of the experimental design is showed in Figure 1.

Figure 1. Schedule of measurement made in the OAPA during OZITOS II campaign in March 17, 2011. The red bar is the time that the lidar were measuring and blue bar the period of flight of each ozonesounding.

Where the horizontal red bar indicate the total time of measurement of the DIAL system and the blue bar indicate the time of flight of the ozonesounding. Can you show that the DIAL systems was operating more than nine hours. If we select a time of integration of three hours we can obtain three independent measurements that each one can be compared with each balloon sonde launched (same period time of flight). Now we can decrease the time of integration, and we can derivate for example more profiles.

The advantage using signals obtained by a DIAL system, is that we can use the signals in 355 nm from the Nd:YAG laser for retrieved a temperature profile without produced any interference on the ozone measurements.

Results and discussion

We have taken from the total measurement about nine hours from Rayleigh, three independent period of time which we calculated the temperature profile using a time of 180 minutes of integration. This time is quasi-coincident with the time of flight of the ozonesounding launched beside, 1 km away of the DIAL system in Río Gallegos. This means that we can compare temperature derived from both instruments.

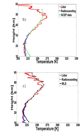
In Figure 2, we showed the comparison of the temperature profile between the Rayleigh lidar temperature and the radiosounding.

Figure 2. Comparison of the temperature profiles; a), b), c) are the temperature profile by the Rayleigh lidar (red line) compared with radiosounding (blue line). b) show the comparison with NCEP data (dashed green line with square) for March 17, 2011 in Río Gallegos and c) show the comparison with a MLS sensor(dashed black line with square) aboard AURA-NASA in March 17, 2011 lat=- 51.74 °, lon= -75.23 °, time: 06:03:09 (UTC).

The region of comparison between both instruments is a disvantage due they have different heights of cover.

In the case of the Rayleigh lidar we can obtain temperature profile from aprox. 10 km up to 60 km. While in the balloon sonde only we can measured temperature profile between the surface up to 32 km. The effective zone where both instruments can be compared, cover the range 10 to 32 km, aprox, limited in the lower part for the lidar and in the higher part for the balloon burst altitude.

The Figure 2 has shown the good agreement between the diferent profiles, having a relative error lidar - radiosounding lower than 4 %. Additional in b) we superposed the NCEP data for the same day of measurement, and c) show the comparison with the data provided by the MLS instrument aboard the plataform AURA-NASA.

CONCLUSION

This paper has shown three independent temperature profiles derivated with a Rayleigh temperature lidar for one day (March 17, 2011). These profiles were obtained as a part of the OZITOS II Campaign described above. In each measurement the Rayleigh temperature profiles were compared with the radiosounding aboard the balloon sonde. The effective region for the comparison can be established due figure 2 in the region between 10 up to 30 km aprox. Both instruments have shown good agreement in this region, with a typical relative error lower than 4 %. We have observed also that in this night the three lidar profiles are similar, indicating that the atmospheric conditions were stable. As a comparison with other instrument as the NCEP data and MLS instrument aboard the AURA-NASA satellite has been to do it. It measurements were superposed in the profiles b) and c) (figure 2) showing very good agreement in the region above 20 km. For the region below both measurements (NCEP data and MLS) indicate a discrepancy very similar when are compared with the radiosounding and temperature lidar profiles.

ACKNOWLEDGMENTS

The authors would like to thank JICA (Japan International Cooperation Agency) by financial support of UVO3 Patagonia Project; the CNRS in France for their collaboration in facilitating the shelter and part of the electronic instruments of DIAL.

Analyses used in this paper were produced with the Giovanni online data system, developed and maintained by the NASA GES DISC.

REFERENCES

1.- Acker and, J. G., G. Leptoukh, (2007), Online Analysis Enhances Use of NASA Earth Science Data”, Eos, Trans. AGU, Vol. 88, No. 2, pages 14 and 17.        [ Links ]

2.- Gross, M.R., McGee, T.J., Ferrare, R.A., Singh, U.N., Kimvilakani, P, (1997), Temperature measurements made with a combined Rayleigh–Mie and Raman lidar, Applied Optics ,36, pp, 5987–5995.        [ Links ]

3.- Gu, Y.Y., Gardner, C.S., Castleberg, P.A., Papen, G.C., Kelley, M.C, (1997), Validation of the lidar in-space technology experiment: stratosphere temperature and aerosol measurements,Applied Optics, 36, pp, 5148–5157.        [ Links ]

4.- Komhyr, W.D., (1969), Electrochemical concentration cells for gas analysis, Ann. Geoph., 25, 203-210.        [ Links ]

5.- Komhyr, W.D., (1971), Development of an ECC- Ozonesonde, NOAA Techn. Rep. ERL 200-APCL 18ARL-149.        [ Links ]

6.- Nedeljkovic, D., Hauchecorne, A., Chanin, M.L, (1993), Rotational Raman lidar to measure the atmospheric- temperature from the ground to 30 km, IEEE Transactions on Geoscience and Remote Sensing, 31,pp, 90–101.        [ Links ]

7.- Steinbrecht, W., and A.I. Carswell, (1995), Evaluation of the effect of Mount Pinatubo aerosol on differential absortion lidar measurements of stratospheric ozone. J.Geophys. Res.100, 1215-1233.        [ Links ]

8.- Wolfram, A. E., J. Salvador, R. D’Elia, C. Casiccia, N. Paes Leme, A. Pazmiño, J. Porteneuve, S. Godin-Beekman, H. Nakane and E. J. Quel, (2008), New Differential absorption lidar for stratospheric ozone monitoring in Patagonia, south Argentina, J. Opt. A: Pure Appl. Opt. 10, 104021 (7pp). oi:10.1088/1464-4258/10/10/104021.

Creative Commons License Todo el contenido de esta revista, excepto dónde está identificado, está bajo una Licencia Creative Commons